Abstract
We performed a molecular modeling analysis of 100 nucleotide-like bisphosphates and 46 non-nucleotide arylurea derivatives previously reported as P2Y1R binders using the recently solved hP2Y1R structures. We initially docked the compounds at the X-ray structures and identified the binding modes of representative compounds highlighting key patterns in the structure–activity relationship (SAR). We subsequently subjected receptor complexes with selected key agonists (2MeSADP and MRS2268) and antagonists (MRS2500 and BPTU) to membrane molecular dynamics (MD) simulations (at least 200 ns run in triplicate, simulation time 0.6–1.6 μs per ligand system) while considering alternative protonation states of nucleotides. Comparing the temporal evolution of the ligand–protein interaction patterns with available site-directed mutagenesis (SDM) data and P2Y1R apo state simulation provided further SAR insights and suggested reasonable explanations for loss/gain of binding affinity as well as the most relevant charged species for nucleotide ligands. The MD analysis also predicted local conformational changes required for the receptor inactive state to accommodate nucleotide agonists.
Graphical Abstract

1. INTRODUCTION
The P2Y receptors (P2YRs) are G protein-coupled receptors (GPCRs) activated by extracellular nucleotides.1 To date, eight distinct mammalian P2YR subtypes have been cloned and characterized. Based on G protein-signaling selectivity and structural similarity, P2YRs are divided into two subfamilies: P2Y12R-like Gi coupled receptors (P2Y12, P2Y13, and P2Y14) and P2Y1R-like Gq coupled receptors (P2Y1, P2Y2, P2Y4, P2Y6, and P2Y11). The P2Y1R is activated by endogenous ADP (Chart 1) and is expressed at high levels in the human prostate, ovary, small intestine, colon, and placenta.2 This receptor is involved in several disease states such as cancer, pain, and traumatic injury in the brain.3–6 The P2Y1R was also reported to mediate the positive autocrine signal of ATP in human pancreatic β-cells, thus playing a role in the regulation of electrical activity, intracellular Ca2+ levels, and insulin secretion.7 However, the most studied role of P2Y1R in physiological processes is the initiation of platelet activation and aggregation, as it entails potential pharmaceutical applications.1 Indeed, P2Y1R antagonists have been developed as experimental antithrombotic drugs.8
Chart 1.
Structure of Representative P2Y1R Ligands Discussed in This Study
The human (h) P2Y1R X-ray structures (Figure 1) in complex with a nucleotide (orthosteric) antagonist (1′R, 2′S, 4′S, 5′S)-4-(2-iodo-6-methylamino-purin-9-yl)-1-[(phosphato)- methyl]-2-(phosphato)-bicyclo[3.1.0]hexane (MRS2500, Chart 1) and with a non-nucleotide (allosteric) antagonist 1-(2-(2-(tert-butyl)phenoxy)pyridin-3-yl)-3-(4-(trifluoromethoxy)-phenyl)urea (BPTU, Chart 1) were recently reported.9 The structures confirmed the overall GPCR architecture characterized by an extracellular amino terminus (N-Term), an intracellular carboxy terminus, and seven transmembrane-spanning helixes (TMs) connected by three extracellular and three intracellular loops (ELs and ILs, respectively). In the extracellular domain, four cysteine residues connect the N-terminal domain to TM7 and EL1 to EL2 through two disulfide bridges. The two protein structures are nearly identical in conformation, but the two ligand-binding sites are disparate, i.e., they do not overlap and are located in completely different receptor regions (Figure 1C). The binding site for MRS2500 involves mainly distal extracellular regions around the opening to the canonical orthosteric binding site, while BPTU binds at an allosteric site located on the outer hydrophobic surface of the TM bundle and is in contact with the phospholipid bilayer. It is hypothesized that the charged MRS2500 approaches from the extracellular aqueous medium, while the uncharged BPTU approaches through the phospholipid bilayer.9 Although cholesterol binding sites were previously noted at the phospholipid interface of many GPCRs,10 the BPTU binding site is unique and does not correspond to a P2Y1R cholesterol binding site (Figure 1C). The unusual location of BTPU on the outer perimeter of the receptor protein, therefore, expanded the range of sites considered for binding of chemically diverse allosteric GPCR modulators.
Figure 1.
Contacts between the P2Y1R X-ray structure and the cocrystallized ligand MRS2500 23 (A) and BPTU 41 (B). H-bonds, π–π stacking interactions, and hydrophobic contacts are depicted as orange dashed lines, cyan dotted lines, and continuous green lines, respectively. (C) High-resolution X-ray crystallographic structures of the hP2Y1R showing the binding sites for orthosteric antagonist MRS2500 (23) (purple atoms) and allosteric antagonist (NAM) BPTU (41) (gray atoms). The surfaces of the binding site region in contact with MRS2500 and BPTU are shown in purple and gray, respectively.
From a pharmacological perspective, MRS2500 is a high affinity (Ki = 0.8 nM) P2Y1R-selective antagonist that was shown to inhibit ADP-induced platelet aggregation and thrombus formation in rodents and the cynomolgus monkey.11,12 From the structural standpoint, MRS2500 is a nucleoside 3′,5′-bisphosphate containing a sterically constrained bicyclo[3.1.0]hexane (methanocarba) ring system in a North (N) conformation in place of the ribose tetrahydrofuryl ring.13 Nucleotide-like ligands are well-known P2Y1Rs binders, and in the last two decades extensive synthetic efforts have been devoted to elucidating their SAR.14–23 BPTU is a non-nucleotide antagonist (Ki = 6.0 nM) belonging to a series of arylurea derivatives that require a hydrophobic character for P2Y1R affinity, which has also been explored for antithrombotic activity.24–30
Molecular recognition at the P2Y1R has been studied using site-directed mutagenesis (SDM)9,31,37–41 (Table 1), and SAR analysis of both nucleotide14–23 and non-nucleotide24–30,34–36 ligands (mainly antagonists). Unlike for other Class A GPCRs, the lack of a suitable receptor template severely limited the success of structure-based approaches, which relied upon homology models to elucidate the ligand recognition at the P2YRs.31,32 The availability of P2YR crystallographic structures9,33,42 now offers the opportunity to decipher at the molecular level the SAR and SDM data at the P2Y1R by analyzing ligand–receptor interaction patterns with high resolution. In this study, we analyzed the SAR of 146 previously published P2Y1R binders (Table S1) by docking them to the inactive crystallographic hP2Y1R structure with the aim of deciphering the role of specific protein residues surrounding the cocrystallized ligands.
Table 1.
Summary of Available Mutagenesis Data for Orthosteric Ligands at the hP2Y1Ra
| P2Y1R residue (BW number34) | interaction with MRS2500 in the X-ray complex | mutagenesis data available |
|---|---|---|
| Proximity to Adenine Core | ||
| C42 (N-term) | surrounds C2-iodo group | C42A: reduces receptor surface expression and 2MeSADP efficacy38 |
| L44 (N-term) | hydrophobic contact with adenine | L44A: abolishes 2MeSADP binding9 |
| N283 (6.58) | bidentate H-bond with N6 and N7 | N283A: abolishes 2MeSADP binding9 |
| A286 (6.61) | proximity to N6 methyl group | A286W: no effect on 2MeSADP binding, strongly reduces MRS2500 binding9 |
| R287 (6.62) | π-cation interaction with adenine | R287A/Q/E: reduces 2MeSADP efficacy.38 R287K: partial rescue of 2MeSADP efficacy.38 |
| D300 (7.29) | NDb | D300A: slightly reduces 2MeSADP efficacy38 |
| Y303 (7.32) | π–π interaction with adenine, H-bond with 3′-phosphate | Y303F: no effect on 2MeSADP binding, strongly reduces MRS2500 binding9 |
| Proximity to 3′-Phosphate | ||
| K46 (N-term) | salt-bridge with 3′-phosphate | K46A: no effect on 2MeSADP binding, reduces MRS2500 binding9 |
| Y110 (2.63) | H-bond with 3′-phosphate | Y110F: abolishes 2MeSADP binding9 |
| R195 (EL2) | salt-bridge with 3′-phosphate | R195A: no effect on 2MeSADP binding, reduces MRS2500 binding.9 R195A: no effect on 2MeSADP efficacy.38 |
| Proximity to (N)-Methanocarba Ring | ||
| Y203 (EL2) | hydrophobic contact with methanocarba ring | Y203A: abolishes 2MeSADP binding.9 Y203A: reduces 2MeSADP efficacy and binding and slightly reduce MRS2179c binding.31 Y203F: partial rescue of 2MeSADP efficacy and binding, no effect on MRS2179c binding.31 |
| Proximity to 5′-Phosphate | ||
| D204 (EL2) | backbone H-bond with 5′-phosphate | D204A/N/E: reduces 2MeSADP efficacy38 |
| T205 (EL2) | two H-bonds with 5′-phosphate | T205A: abolishes 2MeSADP binding9 |
| Y306 (7.35) | H-bond with 5′-phosphate | Y306F: strongly reduces binding of 2MeSADP and MRS2500.9 Y306A/F: reduces 2MeSADP efficacy and binding, minor effect on MRS2179c binding.31 |
| Q307 (7.36) | NDb | Q307A: reduces 2MeSADP efficacy;37 slightly reduces MR2179b binding, reduces 2MeSADP potency and MRS2179c affinity41 |
| R310 (7.39) | salt-bridge with 5′-phosphate, water mediated interaction with 3′-phosphate | R310A: abolishes 2MeSADP efficacy.37 R310 K: partial rescue of 2MeSADP efficacy;37 reduces 2MeSADP potency, no effect on MRS2179c affinity41 |
The residues are grouped according to their proximity to substitutions around the nucleoside scaffold as observed in the MRS2500-hP2Y1R X-ray complex. Residues conserved at other P2Y1R-like subtypes (according to the alignment reported in Figure S2) are highlighted in bold.
Not detected.
MRS2179: 2′-deoxy-N6-methyladenosine 3′,5′-bisphosphate.
We also applied molecular dynamics (MD) to hP2Y1R homology models in complex with the two cocrystallized antagonists, MRS2500 and BPTU, and a nucleotide agonist MRS2268 (Chart 1), closely related to MRS2500, to shed light on the differences between the orthosteric and allosteric antagonists43 and on the effect of chemical modifications that toggle between agonist and antagonist functional behavior. We also complemented our analysis by running MD simulations of the apo receptor (by removing the ligand from the MRS2500-hP2Y1R X-ray complex) and the modeled complex with the synthetic agonist most commonly used in SDM experiments, 2-methylthioadenosine 5′-diphosphate (2MeSADP, Chart 1). This analysis overcomes previous limitations and opens new horizons for the future derivatization of known ligands to enhance pharmacological properties and the discovery of novel chemotypes by in silico methods44,45 for the P2Y1R and other closely related receptors.
2. MATERIALS AND METHODS
2.1. Protein Preparation
We based our molecular modeling analysis on the two recently reported P2Y1R crystallographic structures in complex with the nucleotide antagonist MRS2500 (Protein Data Bank (PDB)46 ID: 4XNW) and the non-nucleotide antagonist BPTU (PDB ID: 4XNV).9 The structures were prepared using the Protein Preparation Wizard tool implemented in the Schrödinger suite47 by removing cocrystallized hetero groups and water molecules. Hydrogen atoms and missing side chains of residues whose backbone coordinates were observed in the X-ray structure were added. The orientations of polar hydrogens were optimized, and the protonation states of titrable residues were determined according to H-bond patterns with surrounding residues. At the end of the preparation procedure, the overall structure was minimized with harmonic restraints on the heavy atoms (RMSD < 0.30 Å, default convergence criteria) to remove strain.
For the docking analysis, the fusion protein replacing IL3 in the X-ray construct was retained, whereas for the MD simulation homology models restoring the hP2Y1R native sequence (UniProt ID: P47900) based on the X-ray structures were built with Prime48 (knowledge-based method, ClustalW alignment). The models were then prepared with the Protein Preparation Wizard tool implemented in the Schrödinger suite47 as described above, except for the protomeric state of histidine residues that were all considered protonated on the delta nitrogen.
2.2. Docking
Structures of P2Y1R ligands, collected from the literature, were built and prepared for docking using the Builder and the LigPrep tools implemented in the Schrödinger suite.49 Specifically, possible ionization states at pH 7 ± 1 and tautomers were generated using Epik,50 and geometries were optimized using the OPLS_2005 force field. Molecular docking of P2Y1R ligands at the crystal structures was performed with the Glide package from the Schrödinger suite:51 nucleotide-like ligands (both agonists and antagonists) were docked at the MRS2500-bound P2Y1R structure, whereas non-nucleotide antagonists were docked at the BPTU-bound P2Y1R structure. In both cases, a Glide Grid was centered on the centroid of the cocrystallized ligand, by using an inner box (ligand diameter midpoint box) of 14 Å × 14 Å × 14 Å and an outer box (box within which all the ligand atoms must be contained) that extended 20 Å in each direction from the inner one. Docking was performed considering the protein residues rigid while using the standard precision (SP) scoring function for all the compounds and the extra precision (XP) scoring function for selected representative ligands listed in Tables 3 and 4, respectively. Nucleoside ligands did not display significant differences in the poses returned by the two scoring functions. However, the XP scoring function discerned better between active and inactive non-nucleotide ligands, probably due to the more hydrophobic nature of the ligand–protein interactions. The top scoring docking conformations for each ligand were subjected to visual inspection and final binding poses were selected on the basis of the protein–ligand interactions that were established rather than the calculated docking score. To this aim, we used the interaction pattern established by the MRS2500 and BPTU X-ray complexes (Figure 1A and B) as reference. Specifically, for nucleotide ligands poses correctly placing the phosphate groups were selected, whereas for non-nucleotide ligands poses featuring at least one H-bond with L1022.55 and correctly placing ring A in the hydrophobic cavity between TM2 and TM3 were preferred. In most cases, the selected docking poses ranked second or third.
Table 3.
Nucleotide-like Compounds Discussed in This Studya
| ||||||||
|---|---|---|---|---|---|---|---|---|
| no. | adenine substitution | ribose substitution | IC50 or as notedb (EC 50) [μM] | ref | ||||
|
|
|
|||||||
| R (n) C2 | R1 N6 | R2 C8 | R3 C2′ | R4 C3′ | R5 C5′ | |||
| Ribose Derivatives | ||||||||
| 1c | H | NH2 | H | H | OPO3H2 | OPO3H2 | 5.76 ± 0.68 (6.26 ± 2.52) | 15 |
| 2 | Cl | NH2 | H | H | OPO3H2 | OPO3H2 | 2.01 ± 0.83 | 15 |
| 3 | H | NH2 | Br | H | OPO3H2 | OPO3H2 | 36.7 ± 8.6 | 15 |
| 4 | H | NH2 | H | OPO3H2 | H | Cl | NEh | 15 |
| 5 | H | NH2 | H | OCH3 | OPO3H2 | OPO3H2 | 12.4 ± 2.9 (12.9 ± 3.4) | 15 |
| 6 | H | NH2 | CH3 | H | OPO3H2 | OPO3H2 | 75.1 ± 14.5 | 16 |
| 7 | H | NH2 | H | OPO3H2 | OPO3H2 | H | >100 d | 17 |
| 8e | H | NHCH3 | H | H | OPO3H2 | OPO3H2 | 0.330 ± 0.059 | 15 |
| 9 | H | NHCH2CH3 | H | H | OPO3H2 | OPO3H2 | 1.08 ± 0.38 | 15 |
| 10 | H | NH(CH2)2CH3 | H | H | OPO3H2 | OPO3H2 | >100 d | 15 |
| 11 | H | N(CH3)2 | H | H | OPO3H2 | OPO3H2 | 46.7 ± 20.8 | 15 |
| 12 | H | NHCH3 | H | OPO3H2 | H | OPO3H2 | 0.324 ± 0.054 | 15 |
| 13c | Cl | NHCH3 | H | H | OPO3H2 | OPO3H2 | 0.206 ± 0.053 | 16 |
| 14 | SCH3 | NHCH3 | H | H | OPO3H2 | OPO3H2 | 0.362 ± 0.119 | 16 |
| 15e | SCH2CH3 | NHCH3 | H | H | OPO3H2 | OPO3H2 | 0.98 ± 0.27 | 16 |
| 16 | S(CH2)2CH3 | NHCH3 | H | H | OPO3H2 | OPO3H2 | 0.449 ± 0.190 | 16 |
| Methanocarba Derivatives | ||||||||
| 17 | H | NH2 | H | OPO3H2 | OPO3H2 | NEh (0.155 ± 0.021f) | 17 | |
| 18c,g | H | NH2 | H | OPO3H2 | OPO3H2 | ~40 (18.9 ± 5.7c) | 17 | |
| 19 | H | NHCH3 | H | OPO3H2 | OPO3H2 | 0.157 ± 0.060 | 13 | |
| 20 | F | NHCH3 | H | OPO3H2 | OPO3H2 | 0.356 ± 0.122 | 13 | |
| 21 | Cl | NHCH3 | H | OPO3H2 | OPO3H2 | 0.0516 ± 0.0008 | 17 | |
| 22e | Br | NHCH3 | H | OPO3H2 | OPO3H2 | 0.037 ± 0.006 | 13 | |
| 23e | I | NHCH3 | H | OPO3H2 | OPO3H2 | 0.0084 ± 0.0008 | 13 | |
| 24 | I | NHCH3 | H | OPO3H2 | OH | 1.56 ± 0.54 | 19 | |
| 25 | CH3 | NHCH3 | H | OPO3H2 | OPO3H2 | 0.049 ± 0.001 | 13 | |
| 26 | (CH2)5CH3 | NHCH3 | H | OPO3H2 | OPO3H2 | 0.452 ± 0.221 | 13 | |
| 27 | C≡CH | NHCH3 | H | OPO3H2 | OPO3H2 | 0.095 ± 0.039 | 19 | |
| 28 | C≡C(CH2)2–CO2H | NHCH3 | H | OPO3H2 | OPO3H2 | 0.023 ± 0.003 | 20 | |
| 29 | C≡C(CH2)2–CONH–(CH2)4NH2 | NHCH3 | H | OPO3H2 | OPO3H2 | 0.132 ± 0.017 | 20 | |
| Other Ring Systems | ||||||||
| 30e,g | Cl | NHCH3 | 1.74 ± 0.80 | 23 | ||||
| 31g | Cl | NHCH3 | 0.805 ± 0.349 | 17 | ||||
| 32g | Cl | NHCH3 | 0.566 ± 0.224 | 17 | ||||
| Acyclic Derivatives | ||||||||
| 33 | H (n = 2) | NH2 | OPO3H2 | OPO3H2 | >50 | 22 | ||
| 34 | Cl (n = 2) | NH2 | OPO3H2 | OPO3H2 | 7.75 ± 1.41 | 22 | ||
| 35 | Cl (n = 0) | NHCH3 | OPO3H2 | OPO3H2 | 4.56 ± 1.38 | 23 | ||
| 36e | Cl (n = 1) | NHCH3 | OPO3H2 | OPO3H2 | 0.48 ± 0.13 | 23 | ||
| 37 | H (n = 2) | NHCH3 | OPO3H2 | OPO3H2 | 1.60 ± 0.47 | 22 | ||
| 38 | Cl (n = 2) | NHCH3 | OPO3H2 | OPO3H2 | 0.840 ± 0.130 | 16, 22 | ||
| 39 | H (n = 3) | NHCH | OPO3H2 | OPO3H2 | >30 | 22 | ||
| 40 | H (n = 4) | NHCH | OPO3H2 | OPO3H2 | >50 | 22 | ||
Compounds were previously reported and tested at the P2Y1R.
Compounds from refs 14, 15, 16, 23, and 24 were tested at the tP2Y1R. Compounds from refs 13 and 19 were tested at the hP2Y1R. If agonist effect is present, an EC50 (μM) is indicated.
Compound 1 has partial (12% of maximal) agonist activity. Compound 13 has partial (35% of maximal) agonist activity. Compound 18 has partial (50% of maximal) agonist activity.
Small inhibition at 30–100 μM.
8, MRS2179; 13, MRS2216; 17, MRS2268; 21, MRS2279; 23, MRS2500; 36, MRS2298; 38, MRS2286.
Compound 17 displays agonist activity (% of maximal increase = 92%) but not antagonist activity.
Ribose-like moiety is a derivative of 18, bicyclo[3.1.0]hexane; 30, cyclopropane; 31, cyclobutane; 32, 1,5-anhydrohexitol.
No antagonist effect.
Table 4.
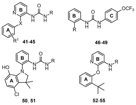
Non-nucleotide Compounds Discussed in This Studyd
| |||||
|---|---|---|---|---|---|
| No. | R | R1 | X | Ki(nm)a | Ref. |
| 41c | 4-OCF3-Ph | 2-t-Bu | O | 6.0 ± 0.6 | 24 |
|
| |||||
| Substitutions on ring A | |||||
| 42 | 4-Cl-Ph | 3-CF3 | O | 69 ± 23 | 24 |
| 43 | CH2-Ph | 3-CF3 | O | >5000 | 24 |
| 44 | 2,4-di-F-Ph | 4-Me | O | >5000 | 24 |
|
| |||||
| Replacement of ether linker | |||||
| 45 | 4-Me-Ph | 2-t-Bu | NMe | >5000 | 24 |
| 46 |
|
8.7 ± 1.7 | 27 | ||
| 47 |
|
7.3 ± 0.6 | 27 | ||
| 48 |
|
830 ± 5 | 27 | ||
| 49 |
|
4.3 ± 2.6 | 27 | ||
| 50 |
|
b | 28 | ||
| 51 |
|
b | 28 | ||
|
| |||||
| Replacement of urea moiety | |||||
| 52 |
|
11 | 30 | ||
| 53 |
|
2500 | 30 | ||
| 54 |
|
45 | 30 | ||
| 55 |
|
>36,000 | 27 | ||
Compounds were tested at the hP2Y1R.
Binding Ki values were not reported for compounds 50 and 51, but their reported IC50 values in calcium mobilization determined using a fluorescent imaging plate reader (FLIPR) are 0.14 ± 0.04 and 0.39 ± 0.28 nM, respectively.
41, BPTU.
Compounds were previously reported and tested in binding at the P2Y1R.
2.3. Molecular Dynamics
MD simulations were performed on hP2Y1R homology models in the apo form and in complex with the nucleotide 3′,5′-bisphosphate ligands MRS2500 and MRS2268, the nucleotide diphosphate agonist 2MeSADP, and the non-nucleotide urea derivative BPTU. The apo receptor was modeled by removing the ligand from the MRS2500-hP2Y1R complex. Bisphosphate ligands (MRS2500 and MRS2268, Chart 1) were modeled by considering the following charged species: the −4 species with both phosphate groups deprotonated, two −3 species with either the 3′-phosphate (“−3a”) or the 5′-phosphate (“−3b”) completely deprotonated, and the −2 species with both the 3′-phosphate and the 5′-phosphate half deprotonated (see Figure S1). The hP2Y1R complexes with MRS2268 and 2MeSADP were built “in situ” starting from the MRS2500-bound complex and virtually modifying the ligand to the desired structure. A computational pipeline (Supporting Information) exploiting HTMD52 (Acellera, Barcelona Spain, version 1.5.4) was used to perform MD system setup, equilibration, and production. The ligand–protein complexes were embedded into an 80 Å × 80 Å 1-palmitoyl-2-oleoyl-sn-glycero-3-phosphocholine (POPC) membrane leaflet generated through the VMD Membrane Plugin tool.53 Overlapping lipids (within 0.6 Å) were removed upon protein insertion, and the systems were solvated with TIP3P54 water and neutralized by Na+/Cl− counterions (final concentration 0.154 M). MD simulations with periodic boundary conditions were carried out with the ACEMD engine (Acellera, version 2016.10.27)55 using the CHARMM3656,57/CGenFF(3.0.1)58,59 force fields for lipid, protein, and ligand atoms, respectively. Ligand parameters were obtained by analogy through the ParamChem service (https://cgenff.paramchem.org, accessed 08/2017, version 1.0.0) without modification.
The systems were equilibrated by performing a 5000-step minimization followed by 40 ns of MD simulation in the NPT ensemble by applying initial constraints that were linearly reduced after 20 ns using the following scaling factors: 0.7 for the ligand atoms, 0.8 for α carbon atoms, and 0.4 for the other protein atoms. During the equilibration procedure, the temperature was maintained at 310 K using a Langevin thermostat with a low damping constant of 1 ps−1, and the pressure was maintained at 1 atm using a Berendensen barostat. Bond lengths involving hydrogen atoms were constrained using the M-SHAKE60 algorithm with an integration time step of 2 fs. The equilibrated systems were then subjected to 200 ns of unrestrained MD simulations (NVT ensemble, damping constant of 0.1 ps−1). Long-range Coulombic interactions were handled using the particle mesh Ewald summation method (PME)61 with grid size rounded to the approximate integer value of cell wall dimensions. A nonbonded cutoff distance of 9 Å with a switching distance of 7.5 Å was used. The simulations were run in part on an in-house built cluster equipped with three 970, two 980Ti, and one 1080 NVIDIA GPUs (Nvidia, Santa Clara, CA) and in part by exploiting the high-performance computational capabilities of the Biowulf Linux GPU cluster at the National Institutes of Health, Bethesda, MD (http://biowulf.nih.gov). As detailed in Table 2, all simulations were run at least for 200 ns in triplicate.
Table 2.
Summary of MD Simulation Performeda
| ligand/system | species | number of replicas × simulation time (ns) | total simulation time (μs) | |
|---|---|---|---|---|
|
| ||||
| per species | per ligand/system | |||
| MRS2500 | −4 | 3 × 200 | 0.6 | 2.4 |
| −3a | 3 × 200 | 0.6 | ||
| −3b | 3 × 200 | 0.6 | ||
| −2 | 3 × 200 | 0.6 | ||
| MRS2268 | −4 | 3 × 200 | 0.6 | 3.0 |
| −3a | 3 × 400 | 1.2 | ||
| −3b | 3 × 200 | 0.6 | ||
| −2 | 3 × 200 | 0.6 | ||
| 2MeSADP | −3 | 3 × 200 | 0.6 | 0.6 |
| BPTU | NAb | 4 × 400 | NA | 1.6 |
| apo | NA | 3 × 200 | NA | 0.6 |
Species legend: −4, fully deprotonated 3′,5′-bisphosphate; −3a, deprotonated 5′-phosphate; −3b, deprotonated 3′-phosphate; −2 half deprotonated 3′,5′-bisphosphate.
Not applicable.
2.4. Trajectory Analysis
MD trajectory analysis was performed with customized tcl and bash scripts exploiting the NAMD 2.1062 mdenergy function and the root mean square deviation (RMSD) trajectory tool (RSMDTT) implemented in VMD.53 Selection of representative trajectories was based upon the agreement of the ligand–protein interaction pattern and SDM data. In general, among the replicas, the trajectory returning the lowest RMSD value for the ligand was preferred. Analysis of ribose pseudorotation phase angle (P)63 was performed with an in house tcl script, by using the following equation and the standard definition of ribose dihedral angles υ0–υ4:
Salt-bridge interactions and their “persistency”, i.e. percentage of simulation time with N–O distance < 4.0 Å for each identified pair of oppositely charged residues, were computed with the Salt Bridges Plugin implemented in VMD53 and a bash script, respectively.
3. RESULTS
We performed a molecular modeling analysis of previously reported P2Y1R ligands using the recently solved hP2Y1R X-ray structures to rationalize SAR and SDM data. We collected 100 nucleotide-like bisphosphates and 46 non-nucleotide aryl urea derivatives (full list of compounds in Table S1) structurally related to MRS2500 and BPTU, respectively, that were previously pharmacologically characterized as P2Y1R binders (mainly antagonists). The corresponding structures and pharmacological data are reported in Tables 3 and 4. For both classes of compounds, we followed a stepwise procedure. We initially performed a docking analysis of all the ligands in Table S1 at the corresponding hP2Y1R X-ray structure (Glide, standard precision (SP) scoring function). We then inspected all the binding poses and selected 55 representative compounds (40 nucleotide and 15 non-nucleotide ligands), whose binding modes highlighted key patterns in the SAR. We thereafter repeated the docking calculations for these compounds by using the more accurate extra precision (XP) scoring function (see Materials and Methods). We subsequently complemented the docking analysis with membrane MD simulations (at least 200 ns run in triplicate) of the X-ray structures and a few key modeled complexes to evaluate the temporal evolution of the ligand–protein interactions and compare them with the available SAR and SDM data (Table 1). It should be noted that the pharmacological data collected for some nucleotide compounds in Table 3 were determined at P2Y1R in turkey (t) erythrocytes15–17,22,23 or rat (r) platelets,18 whereas for newer compounds, the data at the hP2Y1R were reported.13 Nonetheless, we docked all the compounds at the hP2Y1R, because we expected a good interspecies correspondence in the binding mode and ligand interactions at the P2Y1R. This assumption is based on the 7TM domain sequence identities between hP2Y1R/rP2Y1R and hP2Y1R/tP2Y1R of 96% and 89%, respectively, and the observation that all the residues with their side chains within 6 Å of MRS2500 and BPTU in the corresponding X-ray structures are conserved in the three subtypes (Figure S2). However, because of the heterogeneity of the reported data, we did not attempt to explain subtle differences in the binding affinities. Here, we focus instead on understanding the role of (i) specific chemical modifications of ligands and of (ii) residues in the receptor binding sites in determining and modulating the ligand binding affinity. A detailed analysis of the starting X-ray structures as well as of the SAR of compounds listed in Tables 3 and 4 is reported in the Supporting Information. A graphic summary of the discussed SAR data is depicted in Chart 2.
Chart 2.
Graphic Summary of Collected SAR Data for (A) Nucleotide and Non-nucleotide (B) Ligands
3.1. SAR and Docking of Nucleotide Ligands
3.1.1. Adenine Ring Functionalization
The substitution requirements for the adenine ring that emerged from the SAR analysis (see Supporting Information and Chart 2A) can be summarized as follows: (i) the optimal N6-alkyl substituent is a methyl group (8; Ki = 0.330 μM); (ii) there is a steric limit for C2-alkyl substitution; (iii) a two-methylene spacer is optimal to functionalize C2-alkynyl derivatives with H-bond capable moieties (28 and 29; Ki = 0.023 and 0.132 μM, respectively); and (iv) C8-substitution is not tolerated.
The docking poses of selected derivatives bearing different N6 (Figure 2A), C2-alkyl (Figure 2B), C2-alkynyl (Figure 2C), and C8 (Figure 2D) substituents help rationalize these observations. The N6-group (Figure 2A) is hosted in a small hydrophobic pocket at the interface between TM6 and TM7. As the length and the steric hindrance of the N6-alkyl group increases, the corresponding docking poses show a shift of the adenine scaffold with respect to the reference X-ray complex toward the solvent environment (see for example the docking pose of the N6-propyl derivative 10, green carbon sticks in Figure 2A), which disrupts the H-bond network with N2836.58 (according to conventional TM numbering64). Small C2 substituents, such as the 2-thioether of 14 (ribose derivative, Figure 2B) and the ethynyl moiety of 27 (methanocarba derivative, Figure 2C), fit into a small hydrophobic cavity delimited by C42 (N-term), A43 (N-term), and Q291 (EL3). The introduction of an iodine atom (MRS2500, 23) enables a halogen bond65 with the backbone carbonyl of C42 (N-term) (Figure 2B). As this cavity expands toward the EC environment and the flexible EL region, the larger C2 group of 26 (C2-n-pentyl methanocarba, Figure 2B) can be accommodated without disrupting the bidentate H-bond between the adenine core and N2836.58. However, the hydrophobic chain of 26 lies almost completely solvent exposed, which might account for its 9-fold weaker binding affinity with respect to 25 (26 vs 25; Ki = 0.452 and 0.049 μM, respectively). Consistent with this hypothesis, in the docking poses of 28 and 29 (Figure 2C), the amide and the carboxylic acid moieties, respectively, establish additional H-bond interactions with the side chain of K196 (EL2) and the backbone of K41 (N-term). We speculate that these additional interactions mitigate the solvent-exposure of the C2 substituent and account for the recovered activity of the functionalized C2-alkynyl derivatives (28 and 29; Ki = 0.023 and 0.132 μM, respectively). The introduction of a C8 substituent (Figure 2D) disfavors the anti-glycosidic bond conformation that was observed in the hP2Y1-MRS2500 X-ray complex, due to the steric hindrance caused by the C8-group’s proximity to the 5′-phosphate group. Although the ligand placement of 3 (C8–Br) and 6 (C8-CH3) in the binding site with an anti-conformation is still possible (Figure 2D), there is a steric clash between the N2836.58 side chain and the C8 substituent.
Figure 2.
Docking analysis of the effect of substituents on the adenine core in nucleoside-like antagonists binding at the MRS2500-bound hP2Y1R X-ray structure (cyan ribbons). (A) N6-substitution: Superposition of the docking poses of 2′-deoxyadenosine 3′,5′-bisphosphates 8 (yellow carbon sticks), 9 (pink carbon sticks), 10 (green carbon sticks), and 11 (orange carbons sticks). (B) C2-alkyl-substitution: Superposition of the docking poses of 2-methylthio-2′-deoxyadenosine 3′,5′-bisphosphate 14 (green carbon sticks) and 2-hexyl-2′-deoxy-(N)-methanocarba-adenosine 3′,5′-bisphosphate 26 (orange carbon sticks) and the X-ray binding pose of MRS2500 (compound 23, pink carbon sticks). (C) C2-alkyl-substitution: Superposition of the docking poses of 27 (green carbon sticks), 28 (magenta carbon sticks), 29 (orange carbon sticks). (D) Superposition of the docking poses of 8-bromo-2′-deoxyadenosine 3′,5′-bisphosphate 3 (magenta carbon sticks) and 8-methyl-2′-deoxyadenosine 3′,5′-bisphosphates 6 (blue carbon sticks). Side chains of residues surrounding the ligands are shown in sticks (gray carbons), and polar interactions are indicated by dashed orange lines. Steric clashes are represented as solid red lines. Nonpolar hydrogen atoms are omitted. The surface of the binding site region in contact with the N6 and C2 substituent is shown in gray.
3.1.2. Phosphate Ester Substitution
SAR analysis of phosphate ester regioisomers clearly identified the 5′-phosphate group as fundamental for the binding affinity (5′-bisphosphate derivatives 8 and 12 are active; 5′-chloro and 5′-H derivatives 4 and 7, respectively, are inactive). In the docking poses of 12 (2′,5′-bisphosphate) and 8 (3′,5′-bisphosphate) (Figure 3A), the phosphate groups of both ligands superimpose well with the phosphate groups of MRS2500 (23) and establish the same electrostatic interactions with polar and positively charged residues in the EL2. Those interactions were not detected in the docking pose of the inactive 2′,3′-bisphosphate derivative 7 (Figure 3B), thus suggesting that the interactions anchoring the 5′-phosphate group to the EL2 play a role in determining the binding affinity.
Figure 3.
Docking analysis of the effect of phosphate esters regioisomers in nucleoside-like antagonists binding at the MRS2500-bound hP2Y1R X-ray structure (cyan ribbons). (A) Superposition of the docking poses of 3′,5′-bisphosphate derivative 8 (orange carbon sticks) and 2′,5′-bisphosphate derivative 12 (yellow carbon sticks) and the X-ray binding mode of MRS2500 (compound 23, pink carbon sticks). (B) Docking pose of 2′,3′-bisphosphate derivative 7 (yellow carbon sticks). Side chains of some residues important for ligand recognition are shown in sticks (gray carbons), and polar interactions are indicated by red dashed lines. Nonpolar hydrogen atoms are omitted.
3.1.3. Ribose Ring Substitution
Binding data of ring-constrained nucleosides identified the receptor preference for a North envelope conformation in the ribose ring (cf. 17 vs 18).17 Ribose substitution with other aliphatic rings (30–32) revealed a linear relationship in binding affinity with the ring size, whereas for acyclic derivatives (33–40), no clear trend emerged (see the Supporting Information). In the docking poses of methanocarba (Figure 4A), cyclic (Figures 4B and S3), and acyclic (Figure 4C) nucleotides, the ligands adopted binding modes nearly identical to those of MRS2500 (23) with the phosphate groups superimposing well on those of the cocrystallized ligand. We therefore hypothesize that the affinity modulation arises from the different flexibility of the ribose ring substitutes, which might affect the stability of the network of interactions anchoring the phosphate groups.
Figure 4.

Docking analysis of the effect of ribose substitutes in nucleotide-like antagonists binding at the MRS2500-bound hP2Y1R X-ray structure (cyan ribbons). (A) Methanocarba derivatives: Super-position of the docking poses of 2′-deoxy-(N)-methanocarbaadenosine 3′,5′-bisphosphate 17 (yellow carbon sticks) and 2′-deoxy-(S)-methanocarba-adenosine 3′,5′-bisphosphate 18 (orange carbon sticks). (B) Other ring systems: Superposition of the docking pose of 1,5-anhydrohexitol-containing bisphosphate analogue 31 (yellow carbon sticks) and the X-ray binding mode of MRS2500 (compound 23, pink carbon sticks). (C) Acyclic systems: Super-position of the docking poses of acyclic adenine nucleotides 34 (orange carbon sticks), 40 (magenta carbon sticks), 35 (pink carbon sticks), and 36 (yellow carbons sticks). Side chains of some residues important for ligand recognition are shown in sticks (gray carbons), and polar interactions are indicated by red dashed lines. Nonpolar hydrogen atoms are omitted.
3.1.4. Nucleotide Agonists
The data collected from literature (Table 3 and Supporting Information) identified both the N6 and the 5′ substituents as key modulators of the functional P2Y1R activity of 3′,5′-bisphosphate nucleotides. In particular, the presence of both a 6-NH2 group and a 5′-phosphate ester seemed indispensable for receptor activation: N6-alkyl substitution shifts the activity from agonist (MRS2268 (17)) or partial agonist (1, 5) to antagonist (MRS2179 (8), 19), and the nucleoside 2′,3′-bisphosphate derivative 7 bearing 6-NH2 is an antagonist. On the other hand, the introduction of a C2 substituent was detrimental and shifted the activity from partial agonism to antagonism (1 vs 2). However, the presence of N6-alkyl and C2 substituents, which causes the loss of agonist activity in the 3′,5′-bisphosphate nucleotide series, is compatible with receptor activation by ADP analogues, such as N6-methyl-(N)-methanocarba-ATP and the prototype hP2Y1R agonist 2MeSADP.66,67
To date, an agonist-bound P2Y1R X-ray structure is not yet available. We therefore docked nucleotide-like agonists (1, 5, and MRS2268 (17)) at the P2Y1R X-ray structure in complex with MRS2500 (23). The resulting docking pose analysis (data not shown), however, was not able to rationalize the differences in the functional efficacy of structurally related analogues, as the scaffolds of agonists and antagonists (e.g., MRS2500 (23) and MRS2268 (17)) were perfectly superimposed, thus making the compounds indistinguishable. We therefore investigated the role of the N6 and the 5′ substituents in agonist recognition through MD simulation by modeling receptor complexes with key agonists (see sections 3.3.2 and 3.3.3).
3.2. SAR and Docking of Non-nucleotide Antagonists
The SAR of non-nucleotide antagonists (see Supporting Information and Chart 2B) highlighted (i) the substitution pattern of ring A and (ii) the geometry and nature of the linkers connecting the aromatic rings as key binding affinity determinants. Although the arylureas bind in a shallow site that contacts less than a half of the ligand surface, the docking poses of selected derivatives (Figures 5 and S4) were consistent with the SAR reported in Table 4.
Figure 5.

Docking analysis of the binding of non-nucleoside antagonists binding at the BPTU-bound hP2Y1R X-ray structure (gray ribbons). (A) Effect of ring A substitution: Docking pose of meta-substituted BPTU analogue 42 (orange carbon sticks). (B) Effect of ether linker replacement: Superposition of the docking poses of tetrahydroquinoline derivative 47 (green carbon sticks) and 7-hydroxyl indoline derivative 50 (purple carbon sticks). (D) Effect of urea moiety bioisosteres: Superposition of the docking poses of diarylamine derivatives 52 (blue carbon sticks) and 54 f(yellow carbons sticks). Side chains of some residues important for ligand recognition are shown in sticks (gray carbons), and polar and π–π interactions are indicated by dashed orange and cyan lines, respectively. Nonpolar hydrogen atoms are omitted.
3.2.1. Effect of Ring A Substitutions
Introduction of hydrophobic substituents in ring A is tolerated only in the ortho (BPTU, 41; Ki = 6 nM) and meta (42, Ki = 69 nM) position. According to our docking analysis, a m-trifluoromethyl moiety (42, Figure 5A) enables ring A to fit in the hydrophobic cavity between TM2 and TM3, whereas a para substituent (44, Figure S4A) does not. Moreover, the position of ring A substituents also orients the entire scaffold, which in turn affects the interactions established by rings B and C. As reported in Table 4, the affinity of m-trifluoromethyl derivatives depends upon the substitution pattern of ring C (42, Ki = 69 nM vs 43 and 44, Ki > 5000 nM).24 In the docking pose of 42 (Figure 5A), the scaffold is slightly turned with respect to the placement of BPTU (41) in the X-ray complex. The different orientation causes less favorable π–π stacking interactions between ring B and F119 (EL1) and between ring C and F621.43 and F661.47, which likely accounts for the lower affinity of 42 with respect to BPTU (41). In the docking poses of 43 and 44 (data not shown), both π–π stacking interactions were lost.
3.2.2. Effect of Ether Linker Replacement
The ether linker connecting rings A and B can be replaced by amine functions enclosed in bicyclic systems such as indoline or tetrahydroquinoline moieties, with the introduction of a 7-hydroxyl group in the indoline ring improving the binding affinity. The super-imposition of the docking poses of 47 and 50 (Figure 5B, green and purple carbon sticks, respectively), show that the ligands share the same interaction pattern of the cocrystallized BPTU (41), with the hydroxyl moiety of 50 establishing an additional H-bond interaction with Q1273.28, which might account for its higher binding affinity (50, IC50 = 0.14 nM). The amine linker geometry is fundamental to ensure the binding of the compounds. As shown in Figure S3, the steric hindrance brought by a methyl substituent on the amine linker (45, Figure S4B) or by a fused seven-membered ring (48, Figure S4C) does not allow ring A to fit in the cavity delimited by TM1 and TM2.
3.2.3. Effect of Urea Replacement
The urea moiety connecting rings B and C can be replaced by an amine group contained within five-membered heterocyclic rings (52–54), thus suggesting that only one H-bond with the backbone of L1022.55 is needed to bind at the P2Y1R. In the docking poses of compounds 52 and 54 (Figure 5C, blue and yellow carbon sticks, respectively), the loss of the bidentate H-bond with L1022.55 is compensated by an additional π–π stacking interaction with F621.43 in TM1, while all the other key interactions are preserved. As with the linker connecting rings A and B, the linker replacing the urea moiety also needs to satisfy specific geometric requirements. As depicted in Figure S3, the introduction of a nonplanar heterocyclic ring (53, Figure S4D) or a sterically hindered substituted heterocyclic ring (55, Figure S4E) pushes ring C toward the membrane environment and away from TM1, thus disrupting the two π–π stacking interactions with F621.43 and F661.47.
3.3. Molecular Dynamics
3.3.1. MRS2500-hP2Y1R Complex
Initially, we analyzed the stability of the interaction pattern as detected in the X-ray complex (Figure 1A, detailed description in the Supporting Information). For this purpose, we simulated MRS2500 (23) (as well as MRS2268 (17)) in different protonation states (see Table 1 and Figure S1) bearing a total net charge of −4 (both phosphates fully deprotonated), −3 (one phosphate fully deprotonated, and one-half protonated), and −2 (both phosphates half deprotonated). For the −3 species, we considered both the case in which the 3′- and the 5′-phosphate are fully deprotonated (hereby denoted as “−3a” and “−3b” species, respectively, Figure S1).
To evaluate the ligand stability, we computed the RMSD value during the production runs for the protein α carbon atoms (Cα), the ligand barycenter, and the barycenter of the different functional units composing the ligand, i.e. the adenine core, the 3′- and the 5′-phosphate groups, and the (N)-methanocarba ring. As reported in Table 5, the −3a species returned the lowest average RMSD values for the protein Cα, and two out of three trajectories returned the lowest RMSD values for the ligand barycenter. Breaking down the RMSD values per functional group revealed that for the other species, the higher ligand fluctuation was due to a position shift of the phosphate esters. A graphical comparison between the initial X-ray binding mode and the final ligand position in each trajectory and for each charged species is shown in Figure S5. A careful analysis of all the trajectories highlighted that the phosphate group protonation state considerably affected the ligand–protein interaction pattern. In particular, the ligand retained the binding mode observed in the X-ray complex only when the 5′-phosphate group was half protonated and the 3′-phosphate was fully deprotonated (−3a species). In the simulations with the −4 species, the 5′-phosphate group lost the H-bonds with T205 (side chain) and D204 (backbone) in EL2 and moved toward TM1 to establish salt bridge and H-bond interactions with residues located in TM7 (Figure S6A). Protonating the 3′-phosphate (−3b species), instead, resulted in this group moving higher in the binding site by maintaining the interaction with R195 (EL2), while disengaging K46 (N-Term) and Y3037.32, and the 5′-phosphate moving toward TM7 to establish salt-bridge interactions with R3107.39 (Figure S6B). When considering the −2 species, although the ligand retained its initial placement for most of the trajectory, the salt-bridge between the 3′-phosphate and K46 (N-Term) was lost and the K46 side chain moved away from the binding site (Figure S6C).
Table 5.
Average RMSD Values Calculated during the MD Production Runsa
| ligand | species | run no. | RMSD [Å] | |||||
|---|---|---|---|---|---|---|---|---|
|
| ||||||||
| Cα | ligand | 3′Pb | 5′Pc/αP | adenine | N-methd | |||
| MRS2500 | −4 | s1 | 2.428 | 2.247 | 2.886 | 2.871 | 1.720 | 1.853 |
| −4 | s2 | 2.428 | 1.866 | 2.047 | 2.199 | 1.499 | 1.870 | |
| −4 | s3 | 2.698 | 2.696 | 3.220 | 3.609 | 2.082 | 2.161 | |
| −3a | s1 | 1.451 | 1.136 | 1.920 | 0.891 | 0.924 | 0.622 | |
| −3a | s2 | 1.569 | 0.951 | 1.276 | 0.776 | 0.888 | 0.669 | |
| −3a | s3 | 1.943 | 2.992 | 0.825 | 1.186 | 4.390 | 1.225 | |
| −3b | s1 | 1.774 | 1.471 | 1.824 | 1.981 | 1.109 | 0.782 | |
| −3b | s2 | 2.294 | 1.503 | 1.854 | 2.000 | 1.167 | 0.999 | |
| −3b | s3 | 1.743 | 1.965 | 3.103 | 2.750 | 1.131 | 1.050 | |
| −2 | s1 | 1.566 | 1.950 | 2.172 | 2.111 | 1.788 | 1.640 | |
| −2 | s2 | 1.702 | 1.715 | 2.314 | 1.180 | 1.752 | 1.275 | |
| −2 | s3 | 1.867 | 1.887 | 2.670 | 1.496 | 1.974 | 0.954 | |
| MRS2268 | −4 | s1 | 1.556 | 1.239 | 1.486 | 1.871 | 0.800 | 0.652 |
| −4 | s2 | 2.018 | 1.385 | 1.767 | 2.025 | 0.828 | 0.969 | |
| −4 | s3 | 1.479 | 1.406 | 2.073 | 1.857 | 0.719 | 0.990 | |
| −3a | s1e | 1.656 | 1.586 | 1.824 | 2.024 | 1.257 | 1.216 | |
| −3a | s2e | 2.252 | 1.979 | 2.873 | 2.168 | 1.166 | 1.848 | |
| −3a | s3e | 2.444 | 1.532 | 2.38 | 0.947 | 1.334 | 1.209 | |
| −3b | s1 | 1.909 | 1.589 | 1.580 | 1.930 | 1.351 | 1.448 | |
| −3b | s2 | 1.946 | 1.135 | 0.683 | 2.116 | 0.794 | 0.660 | |
| −3b | s3 | 1.845 | 1.831 | 2.205 | 2.064 | 1.464 | 1.553 | |
| −2 | s1 | 2.155 | 0.938 | 1.037 | 0.956 | 0.920 | 0.734 | |
| −2 | s2 | 2.063 | 2.072 | 2.320 | 2.880 | 1.506 | 1.603 | |
| −2 | s3 | 1.980 | 1.148 | 1.381 | 1.268 | 0.916 | 0.959 | |
| 2MeSADP | −3 | s1 | 1.593 | 1.247 | 2.019 | 1.242 | 0.889 | 1.108 |
| −3 | s2 | 1.575 | 2.098 | 2.415 | 3.619 | 1.200 | 1.803 | |
| −3 | s3 | 1.789 | 1.626 | 2.161 | 1.721 | 1.498 | 1.295 | |
| BPTU | NA | s1e | 2.323 | 1.835 | ||||
| NA | s2e | 3.036 | 2.197 | |||||
| NA | s3e | 2.355 | 1.825 | |||||
| NA | s4e | 2.522 | 1.743 | |||||
| apo | NA | s1 | 1.905 | |||||
| NA | s2 | 1.855 | ||||||
| NA | s3 | 1.811 | ||||||
The trajectories were aligned on protein Cα, and the first frame coordinates were taken as reference. Selected trajectories for video visualization and detailed visual inspection are highlighted in bold. The simulations were run for 200 ns unless otherwise specified.
3′-Phosphate group in MRS2500 and MRS2268 and β-phosphate group in 2MeSADP.
5′-Phosphate group in MRS2500 and MRS2268 and α-phosphate group in 2MeSADP.
(N)- Methanocarba ring in MRS2500 and MRS2268 and ribose ring in 2MeSADP.
Simulation length: 400 ns.
We note that the X-ray structure was determined in a pH range between 7.0 and 8.0,9 and the ligand protonation state in the crystallographic complex might not reflect its protonation state in solution (during binding affinity data determination) or at physiological conditions in the body. We therefore compared the outcome of the MD simulations of the different species with available SDM data (Table 1) as well. The mutation of residues surrounding the 5′-phosphate of MRS2500 (23) in the X-ray complex, namely T205 (EL2), Y3067.35, and R3107.39, to alanine impairs the binding of both bisphosphate antagonist and diphosphate agonist ligands (Table 1). Interestingly, the R310K mutant recovered the affinity for the diphosphate agonist 2MeSADP (and did affect the binding of bisphosphate antagonists), while the Y306F mutation reduced affinity for both ligand types. These data suggest that two H-bond donors (T205 and Y306) and a positively charged residue (R310) are required in the binding site region surrounding the 5′-phosphate of MRS2500 (23). The ratio of H-bond donors and positively charged residues, in turn, supports the hypothesis that the 5′-phosphate carries a −1 charge to mimic the α-phosphate group of the endogenous hP2Y1R agonist ADP. On the other hand, the binding effects of mutating residues surrounding the 3′-phosphate of MRS2500 (23) in the X-ray complex, such as Y3037.32, K46 (N-term), and R1957.39, suggest that a H-bond donor (Y303F mutant strongly reduces MRS2500 binding) and two positively charged residues are required to host the 3′-phosphate. Again, the ratio of H-bond donors and positively charged residues required in this region supports the hypothesis that the 3′-phosphate of MRS2500 (23) group carries a −2 charge. Therefore, our analysis envisaging the −3a species as the most relevant species for MRS2500 (23) is consistent with both the SDM data and the role conceived for the 5′-phosphate group of nucleotide-like ligands, i.e. to mimic the α-phosphate of the endogenous hP2Y1R agonist ADP, which carries a −1 and a −2 charge under physiological conditions on the α- and β-phosphate group, respectively.
Following this preliminary analysis, we analyzed the simulations obtained for the −3a species in more detail and selected a representative replica (highlighted in bold in Table 5) for trajectory visualization (Video S1). With respect to the starting initial X-ray complex, the interaction pattern established by MRS2500 (23) was stable over time. The only observable difference was the loss of the bidentate H-bond interaction between the ligand’s adenine core and the N2836.58 side chain. Although this result was quite surprising, in all the simulations we performed (accounting for a total simulation time of 2.4 μs), the N6-methyl group pointed toward the TM bundle, thereby disrupting the bidentate interaction with N2836.58. This behavior is consistent with the electrostatic potential of the small cavity at the interface between TM6 and TM7 featuring polar residues such as Q291 (EL3) and N2997.28 in the region facing the EC side and hydrophobic residues such as V3027.31 and A2866.61 in the region facing the TM bundle (Figure 6A and B).
Figure 6.
(top) Final state of the simulation of the MRS2500-hP2Y1R complex for the −3a species (selected trajectory: run s2): (A) Side view facing TM6, TM7, and TM1 and (B) top view. (bottom) Final state of the simulation of the (C) 2MeSADP-hP2Y1R complex (selected trajectory: run s1) and the (D) MRS2268-hP2Y1R complex for the −3b species (selected trajectory: run s3). Side chains of some residues important for ligand recognition are shown in sticks (cyan carbons) with polar interactions depicted as dashed orange lines. Nonpolar ligand hydrogen atoms and all protein hydrogen atoms are omitted. Residues surrounding the N6 group of MRS2500 in panels A and B are depicted as wired surface color-coded according to the residue type (blue positively charged; green polar or aromatic; white hydrophobic). Water molecules surrounding the ligand in panels C and D are represented as a transparent blue surface.
3.3.2. 2MeSADP-hP2Y1R Complex
Mutation of the residues surrounding the 3′-phosphate group of MRS2500 (23) in the X-ray structure does not affect the binding of 2MeSADP (Table 1). This observation suggests that the region hosting the β- phosphate of ADP might not coincide with the one hosting the 3′-phosphate group of MRS2500 (23) in the X-ray complex. To validate this hypothesis, we carried out 200 ns of MD simulation (run in triplicate) of the modeled hP2Y1R complex with 2MeSADP and compared the results with the simulation of the complex with MRS2500 (23). To this end, we assumed that 2MeSADP binds in the same nucleotide binding site and built the ligand in place by virtually modifying MRS2500 (23) in the corresponding X-ray complex. All the trajectories were visually inspected and selection of the most representative run was based upon the comparison of the ligand-interaction pattern observed and the available SDM data (Table 1). As expected, in two out of three trajectories, the highest RMSD values were obtained for the coordinates of the agonist β-phosphate atoms. The trajectory returning the highest RMSD values (run s2) featured the ligand moving higher in the binding site, the α-phosphate group disengaging from the H-bond network with the T205 (EL2) side chain and the D204 (EL2) backbone, and the β-phosphate group establishing H-bond and salt-bridges interaction with the side chains of Y3037.32, R195 (EL2), and K46 (N-Term). As this interaction pattern disagreed with the available SDM data (Table 1), this trajectory was no longer considered. In the other two trajectories (see visualization of run s1 in Video S2), the α-phosphate group established persistent H-bond interactions with the side chains of T205 (EL2) and Y3067.35 and the backbone of D204 (EL2), while the β-phosphate group established a salt-bridge with R3107.39. R195 (EL2) interacted intermittently with the β-phosphate group and the ribose C2′ and C3′ hydroxyl moieties, whereas K46 (N-term) moved away from the binding site. This is consistent with mutagenesis data showing that both the K46A and the R195A mutations do not affect 2MeSADP binding.9 The loss of persistent salt-bridges with R195 (EL2) and K46 (N-Term) predicted in the MRS2500-hP2Y1R complex, allowed water molecules to diffuse into the binding region surrounding the ribose hydroxyl and β-phosphate group moieties (Figure 6C). During the simulation, the adenine core retained its initial position and established a stable H-bond with N2836.58, although not persistently bidentate. The ribose ring maintained a North pucker conformation for 96.5% of the trajectory by adopting mostly (~84.8% of the simulated time) the C3′-endo conformation (0 < P < 36°) with the C3′ hydroxyl moiety establishing an intramolecular H-bond with the β-phosphate group. This interaction pattern was in better agreement with the experimental SDM data and served as criteria for comparing the MD simulations of the (N)-methanocarba 3′,5′-bisphosphate agonist MRS2268 (17).
3.3.3. MRS2268-hP2Y1R Complex
The selection of both the most relevant protonation state and a representative trajectory to visualize for MRS2268 (17) was not straightforward. As mentioned above, to date, an agonist-hP2Y1R complex X-ray structure has not been solved, thus limiting our knowledge of the receptor conformational changes required to switch from the inactive to active state. X-ray evidence available for another P2YR family member, i.e. the P2Y12R, in complex with an agonist33 and an antagonist,41 revealed an unpredicted EC domain plasticity, suggesting that a nucleotide-like agonist binding at the receptor active state might adopt a slightly different binding mode with respect to the one observed in the MRS2500-hP2Y1R X-ray complex. Moreover, a detailed knowledge of the factors affecting the functional activity of nucleotide 3′,5′-bisphosphate agonists like MRS2268 at the hP2Y1R is still lacking, as SDM data available thus far have assessed the role of specific site mutations in determining (i) the binding affinity of nucleotide 3′,5′-bisphosphate antagonists (MRS2500 (23) and MRS2179 (8)) and (ii) the binding affinity and functional selectivity of nucleotide 5′-diphosphate agonists (2MeSADP). Considering these limitations, the selection of the trajectories for the MRS2268-hP2Y1R complex was guided by the knowledge gained from the SAR described in section 3.1.4, which identified the 6-NH2 and the 5′-phosphate groups as fundamental to confer agonist activity to 3′,5′-bisphosphate ligands. We therefore focused on the interaction patterns involving those two key substitutions when analyzing the MRS2268-hP2Y1R complex simulations and compared the results with the analysis of the hP2Y1R in complex with MRS2500 (23) and 2MeSADP described in the previous sections. We also focused on the species carrying a total net charge of −3, i.e. −3a and −3b and describe here the differences between them. A depiction of the final state of a selected trajectory for each of the other two charged species initially considered, along with a brief description of the main features of all the trajectories, is reported in Figure S7.
At variance with the MD simulation in complex with MRS2500, in all the simulations in complex with MRS2268 (17), the ligand moved deeper in the binding site following conformational rearrangements of the EC region and established persistent H-bond interactions with the side chains of N2836.58 and N2997.28 through the 6-NH2 group and adenine N7.
In the simulations of the −3a species of MRS2268 (Video S3 representing the visualization of run s3), the agonist 5′-phosphate group established an additional H-bond with the side chain of Y3067.35. In the other two trajectories (data not shown), the H-bond interactions with the side chain of T205 (EL2) and the backbone of D204 (EL2) were less persistent, and the 5′-phosphate established an alternative network of H-bonds and salt-bridges involving the side chains of N2836.58 and R2876.62, respectively. This alternative H-bond network was also detected at the end of the selected trajectory visualized in Video S3. On the other hand, the interaction pattern around the 3′-phosphate was stable and persistent in all the trajectories.
In the simulations of the −3b species of MRS2268 (Video S4 representing the visualization of run s2), a slightly different interaction pattern around the 5′-phosphate was observed. At the beginning of the simulation, the 5′-phosphate established an additional H-bond with Y3067.35, while maintaining the network of H-bonds with residues in the EL2 and the salt-bridge with R3107.39. After ~30 ns, the ligand moved deeper in the binding site and the 5′-phosphate established an additional salt-bridge with R1283.29. The interaction around the 3′-phosphate was stably maintained and also involved a H-bond interaction with Y1102.63. In the other two trajectories, the side chain of R195 (EL2) moved away from the 3′-phosphate group and allowed water molecules to diffuse into the binding site, analogously to that observed in the simulations with 2MeSADP (e.g., the final snapshot of run s3 in Figure 6D).
3.3.4. BPTU-hP2Y1R Complex
In the MD simulations of the BPTU-hP2Y1R complex (accounting for a total simulation time of 1.6 μs), the ligand position remained stable. With respect to the initial ligand-protein interaction pattern, the H-bond with L1022.55 involved only one urea nitrogen atom, as anticipated from the SAR analysis (see Video S4 representing the visualization of run s3). The three aromatic moieties maintained stable π–π stacking interactions, in particular between ring C and F621.43 and F661.47, and between ring B and F119 (EL1). In the trajectory visualization, M1233.24 strongly contributed to maintaining the hydrophobic cavity hosting ring A. In another trajectory (s2) TM7 was bent outward at the end of the simulation (Figure S8A), whereas in run s4, after approximately 389 ns, the ligand escaped the binding site and moved toward the EC environment. During the ligand egress pathway (Figure S8B), a π–π stacking interaction anchored ring C to F1092.62, ring B maintained a π–π stacking interaction with F119 (EL1), and ring A was still partially occupying the hydrophobic cavity at the interface between TM1 and TM2. We therefore hypothesize that the placement of ring A in the hydrophobic spot might represent an initial stage of ligand binding to facilitate the scaffold anchoring at the TMs.
3.3.5. Comparison with the Apo hP2Y1R
We analyzed (i) the formation of salt-bridges, (ii) distribution of water molecules, and (iii) TM movement during the MD simulation as a function of the presence or absence of a ligand. To this end, we compared the MD simulations of ligand-bound complexes with the apo receptor, to rule out aspects presumably representing intrinsic features of the receptor.
Persistency of Salt-Bridges
The analysis of the cumulative persistency of salt-bridges among the replicas is reported in Table 6, whereas the detailed per-replica analyses of ligand– protein complexes are reported in Tables S2–S5. In the tables, only salt-bridges having a persistency higher than 20% of the simulation time (i.e., being present for at least 120 ns) for at least one system (Table 6) or one replica (Tables S2–S5) are reported. The salt-bridge connecting the EC tip of TM5 and TM6 (D2896.64-R2125.33) was found in all the systems and likely represents an intrinsic feature of the hP2Y1R. The salt-bridge between the side chains of D208 (EL2) and K41 (N-Term) was persistent in the MD simulations with the nucleotide agonist MRS2268 and present for about only 30% of the simulation time in the apo and BPTU-bound receptors. In those systems, the salt-bridge creates a pocket cap that shields the adenine core of MRS2268 from the EC medium. Consistent with this hypothesis, the salt-bridge was not formed in the simulation of nucleotide ligands bearing a C2-substituent (MRS2500 and 2MeSADP). More detailed analysis of the corresponding trajectories revealed that the C2 substituent prevented K41 (N-Term) from approaching D208 (EL2) by establishing van der Waals interactions with the K41 side chain carbon atoms.
Table 6.
Persistency of Salt-Bridge Interactions Expressed as Percent of the Total Simulation Time for Each Ligand/Species in Which the O–N Distance of the Residues Composing the Ion Pair Was Less than 4.0 Åa
| ion pair | MRS2500 (−3a)b | MRS2268 (−3a)c | MRS2268 (−3b)b | BPTUd | apob | 2MeSADPb |
|---|---|---|---|---|---|---|
| D289-R212 | 94.10 | 71.03 | 65.40 | 62.45 | 73.53 | 63.47 |
| D208-K41 | 22.22 | 83.85 | 68.12 | 33.49 | 32.95 | 17.43 |
| D204-K280 | 67.63 | 68.63 | 57.70 | 6.02 | 1.23 | 1.00 |
| D204-R310 | 13.07 | 2.74 | 0.27 | 59.86 | 7.65 | 2.38 |
| D204-R128 | 1.02 | 22.81 | 1.15 | 11.99 | 1.93 | 1.12 |
| D204-R287 | 0.00 | 0.00 | 0.00 | 1.58 | 26.32 | 0.00 |
| D208-R287 | 2.92 | 6.41 | 26.58 | 26.26 | 57.97 | 7.50 |
| D329-R149 | 0.03 | 56.69 | 25.57 | 52.38 | 14.83 | 50.37 |
| D329-K257 | 33.80 | 4.05 | 6.85 | 31.16 | 14.27 | 50.87 |
| D329-R333 | 27.23 | 11.11 | 14.35 | 2.28 | 45.88 | 7.12 |
| D300-K46 | 0.00 | 0.00 | 5.12 | 31.19 | 0.73 | 0.00 |
| D300-R301 | 0.00 | 57.89 | 19.70 | 0.21 | 0.05 | 0.00 |
| D289-R285 | 5.87 | 51.71 | 9.38 | 4.12 | 6.65 | 8.20 |
| D121-K125 | 1.65 | 5.95 | 11.90 | 12.52 | 25.02 | 17.18 |
| D250-R256 | 0.55 | 52.49 | 0.05 | 2.19 | 2.47 | 0.40 |
Persistency values >50% are highlighted in bold.
Total simulation time: 0.6 μs.
Total simulation time: 1.2 μs.
Total simulation time: 1.6 μs.
In our simulations, the D204(EL2)-K2806.55 salt-bridge is a characteristic of 3′,5′-bisphosphate ligands. Indeed, in the simulation with 2MeSADP, K2806.55 moved away from the binding site and established H-bond interactions with the Y2145.35, H1323.33, and Y1363.37 side chains and was therefore not available to interact with D204. SDM data37,41 showed that the K280A mutant affected the 2MeSADP affinity and efficacy, while reducing the binding of MRS2179. Moreover, SDM data also confirmed that both the H132A and Y136A mutations slightly reduced 2MeSADP potency.37 Our MD analysis agrees with these observations and suggests that the effects of the K280A mutation on the binding of diphosphate and 3′,5′-bisphosphate nucleotides arises from two different phenomena, i.e. (i) the lack of an interaction network involving residues in TM3 putatively participating in receptor activation and (ii) the loss of the D204(EL2)-K2806.55 salt-bridge contributing to delimit the lower portion of the site hosting the 3′,5′-bisphosphate nucleotides. Interestingly, in the BPTU-bound complex, D240 (EL2) is involved in salt-bridges with R3107.39 that were detected in previously published MD simulation of the hP2Y1R68. In the simulation with the nucleotide ligands this salt-bridge was not feasible, because R3107.39 established ionic interaction with the ligands’ phosphate moieties. In the simulation of the apo receptor, R2876.62 underwent conformational changes and established salt-bridges with D208 (EL2) and to a minor extent D204 (EL2). Overall, these results suggest that, when the orthosteric site is not occupied, changes in the orientation of the D204 (EL2) and R2876.62 side chains occur and contribute to reshape the binding cavity. This hypothesis agrees with SDM data envisaging a role for these two residues in receptor activation.38
The different set of salt-bridges involving D329 (IC tip of TM7/H8) suggests a role for this residue in establishing ionic locks that might stabilize the receptor in different conformational states. However, it was difficult to identify a clear pattern among different types of ligands and correlate them with the presence/absence of a specific salt-bridge. A few salt-bridges were also observed only in the MRS2268-hP2Y1R complex and reflected the conformational changes occurring at the EC tip of TM6/7 (D2896.64-R2856.60 and D3007.29-R3017.30), presumably to accommodate the 6-NH2 moiety and the outward bending of TM5 (D250(IL3)-R2566.31).
Analysis of Water Molecule Distribution and TM Movements
We compared graphically the number of water molecules present within the TM bundle at the end of the selected trajectories previously described. As depicted in Figure 7, with respect to the complex with MRS2500 (Figure 7A), orthosteric agonists (mostly 2MeSADP and, to a minor extent, MRS2268) enabled a higher number of water molecules to diffuse into the TM bundle (Figure 7C–E). We ascribe this phenomenon to a side chain rotation of R195 (EL2), which during the MD simulation was disengaged from ionic interactions with the nucleotide agonists, while remaining tightly bound to the 3′-phosphate of MRS2500. However, the comparison with the apo and BPTU-bound receptor structures (Figure 7B and C) clearly shows that the diffusion of water molecules also occurred when the orthosteric binding site was unoccupied. Therefore, the diffusion of water molecules cannot be considered, at least in the context of our simulations, as an activation signature of the receptor. Interestingly, in the final structure extracted from the MD trajectory of the 2MeSADP-hP2Y1R complex (Figure 7C), the water molecules diffused into a specific area of the cavity lying under the orthosteric binding site. By visualizing the residues surrounding this accessory binding site, we identified a set of hydrophobic residues (Figure 7G and H) whose mutation affected 2MeSADP efficacy in SDM experiments.31,37,38,41 Although their role in receptor activation is unclear, we hypothesize that they might constitute an accessory binding site hosting the adenine core of dinucleotides.
Figure 7.
Distribution of water molecules (cyan transparent surface) in the final state of the MD simulation of hP2Y1R (cyan ribbons): (A) complex with MRS2500 (−3a species); (B) complex with BPTU; (C) apo form (run s3); (D) complex with 2MeSADP; (E) complex with MRS2268 (−3a species); and (F) complex with MRS2268 (−3b species). Distribution of water molecules (cyan beads) during the MD simulation of hP2Y1R (cyan ribbons) in complex with 2MeSADP: (G) initial state; (H) progression of water molecules after 200 ns. Residues surrounding regions filled with water molecules are highlighted as sticks.
Analysis of TM movements, measured by calculating the RMSD value of each TM centroid with respect to the initial conformation after the equilibration phase (Table S6), and superimposition of the final structures extracted from the selected MD trajectories (Figure S9) confirmed that, during the MD simulation, the receptor persisted in an inactive-like conformation. Nonetheless, specific conformational rearrangements were observed as a function of the presence or absence of a bound ligand, as well as of the ligand type (agonist, antagonist, allosteric modulator). In particular, (i) EL2 moved away from the orthosteric binding site in the agonist-bound complexes (see Figure S9A and C); (ii) in the simulations of MRS2268, the −3a species resembled the MRS2500-hP2Y1R complex (data not shown), whereas the −3b species resembled the 2MeSADP-hP2Y1R complex (Figure S9C); (iii) BPTU conformationally locked TM1 and TM2 by impeding the outward movement of their IC tips (Figure S9A); and (iv) in the apo and BPTU-bound systems conformational rearrangements occurred that reshaped the orthosteric binding site with part of the N-Term creating a pocket cap (already described in the Persistency of Salt-Bridges section).
4. DISCUSSION
The P2Y1R is a current target for antithrombotic therapy and a potential target for other conditions such as cancer, diabetes, CNS disorders, and pain. In this study, we used the recently solved X-ray structures of the hP2Y1R complexes with an orthosteric nucleotide antagonist, (N)-methanocarba 3′,5′-bisphosphate MRS2500 (23), and a non-nucleotide allosteric antagonist, diarylurea BPTU (41), to perform a molecular modeling analysis aimed at rationalizing the SAR of 146 known P2Y1R binders collected from literature. We initially docked nucleotide-like and non-nucleotide ligands at the corresponding X-ray structures based on their structural similarity with the cocrystallized ligand. The obtained docking poses served as a basis to rationalize binding data collected from literature. We subsequently validated some of the hypotheses suggested by the docking analysis with MD simulation of selected key ligand–protein complexes complemented with a reflection on the available SDM data. To this aim, we included in our analysis also MD simulation of the prototypical agonist 2MeADP.
The docking analysis suggested that the modulation of nucleotide ligand affinity is determined by (i) the loss of bidentate H-bond with N2836.58 caused by the steric limit imposed by the hydrophobic pocket at the interface of TM6 and TM7 hosting the N6-alkyl group; (ii) the steric limit of a contiguous hydrophobic pocket delimited by the N-Term and EL3 in hosting C2-alkyl groups forcing bulky substituents to be exposed to the EC aqueous environment; (iii) the mitigation of solvent exposure of hydrophobic C2 substituents with the introduction of a properly spaced functional group amenable to establish additional H-bonds with charged residues in EL2 and N-Term; and (iv) the loss of the anti-conformation imposed by the introduction of a C8-substituent.
The MD analysis of the MRS2500-hP2Y1R complex identified the most relevant ligand protonation state, which agreed with the available SDM data, validated docking hypotheses ii–iv, and provided an alternative explanation for hypothesis i. In particular, MD simulation confirmed the preference for (i) the North conformation of the ribose ring of 2MeSADP, which explained the higher affinity of N-methanocarba compared to the corresponding (S)-methanocarba isomers and (ii) the anti-configuration of the glycosidic bond for all considered ligands, corroborating the detrimental effect of introducing a C8 substituent. The analysis of salt-bridges (Table 6) also confirmed the availability of the K196 (EL2) and K41 (N-term) side chains for additional H-bond interactions with the ligand, as those residues did not engage in salt-bridges with nearby negatively charged residues during 3.6 μs of MD simulation. Concerning hypothesis i, we did not detect the presence of a stable bidentate H-bond between the adenine core of MRS2500 (23) and the side chain of N2836.58. This observation was also supported by analyzing the electrostatic potential of residues surrounding the N6 substituent of the nucleotide-like antagonist as well as with this substituent’s role in determining the functional affinity of the ligands. We therefore hypothesize that the affinity decrease as a function of increasing the size of the N6-alkyl substituent in nucleotide-like antagonists arises from the solvent exposure of the adenine core imposed by the small size of the hydrophobic cavity delimited by A2866.61 and V3027.31. This hypothesis is supported by the observation that during the MD simulation of all the nucleotide ligands considered, the adenine core establishes van der Waals interactions with the R2876.62 and L44 (N-Term) side chains that created a hydrophobic spot hosting the adenine ring. Our analysis is in agreement with available SDM data showing the loss of 2MeSADP binding as a result of an L44A mutation (Table 1).
In line with these results, the docking analysis failed to provide an explanation for the modulation of the functional activity as a function of the presence of a 6-NH2 and the 5′-phosphate ester in 3′,5′-bisphosphate nucleotides, as the predicted binding modes of structurally related agonists and antagonists were nearly identical and involved the same interaction pattern.
The MD analysis of the hP2Y1R modeled in complex with MRS2268 (17, a close analogue of MRS2500 (23)) provided further insights suggesting that the formation of a bidentate H-bond with N2836.58, which was not present in the MD simulation of the MRS2500-hP2Y1R complex, might be involved in agonist recognition and, presumably, be implicated in receptor activation. Moreover, in the simulation of both the −3-charged species considered for MRS2268, an additional H-bond was established between the 6-NH2 group and adenine N7 of the ligand and the side chain of N2997.28, a residue whose role in ligand binding and receptor activation has not yet been assessed by SDM.
The docking analysis of non-nucleotide antagonists suggested that (i) the reciprocal placement of the three aromatic features plays a significant role in the binding at the P2Y1R and that (ii) a bidentate H-bond with L1022.55 is not strictly required for compound affinity. The BPTU-hP2Y1R complex MD analysis confirmed these hypotheses and identified additional residues that might play a role in stabilizing the ligand in the allosteric binding site, such as F1092.62 and M1233.24.
The analysis of salt-bridge interactions established during the MD simulation provided a structural explanation for the role of D204 (EL2) and K2806.55 in affecting 2MeSADP affinity and efficacy, and in affecting nucleotide ligand binding, by suggesting a role for this ion pair in delimiting the lower portion of the orthosteric binding site hosting 3′,5′-bisphosphate ligands. Our analysis of salt-bridges was also in agreement with previously published MD simulation performed by another research group,68 identifying the D204 (EL2)-R3107.39 salt bridge as a specific feature of the allosteric modulation mediated by BPTU. Moreover, our analysis of saltbridges also identified residues whose conformational changes might: (i) reshape the orthosteric binding cavity in the presence or absence of an orthosteric ligand (e.g., R2876.62 and K41 (N-Term)); (ii) stabilize the receptor inactive state (D329); and (iii) help accommodate 3′,5′-bisphosphate agonists.
The analysis of the water molecule distribution in the final state of the MD simulated ligand–receptor complexes highlighted that when the orthosteric site was unoccupied or occupied by a nucleotide agonist, a higher number of water molecules diffused into the TM bundle. The fewer water molecules diffusing into the cavity when MRS2500 was bound were ascribed to a salt-bridge interaction established between the 3′-phosphate and the R195 (EL2) side chain, presumably forming a steric lock. Interestingly, the distribution of water molecules within the TM domain in 2MeSADP-hP2Y1R surrounded a cluster of hydrophobic residues lying below the orthosteric binding site, that have been shown to be implicated in modulating the agonist efficacy.31,37,38,41 We speculate that this cavity might represent an accessory binding site to host a second nucleobase.
Finally, the analysis of TM movements and superimposition among the different final structures extracted from the MD trajectories suggested that the simulated time was not enough to appreciate significant conformational changes and that the receptor persisted in an inactive-like state. Indeed, conformational changes associated with receptor activation occur on a longer time-scale and presumably involve energy barriers that are usually inaccessible within a few μs of classical MD simulation. Moreover, as X-ray evidence has shown for the P2Y12R,33,42 there is a chance that the receptor active states in the P2Y family might differ considerably from the inactive states. Hopefully, an X-ray structure of the P2Y1R in complex with an agonist will help overcome these limitations by providing a structural template to unravel the structural factors governing receptor activation.
5. CONCLUSIONS
We provided a structural basis to explain and predict steric and conformational factors affecting the binding affinity and functional efficacy of both orthosteric nucleotide ligands and allosteric non-nucleotide antagonists at the hP2Y1R. The validation of the binding modes of these two structural classes provides a predictive tool for new analogue design. Moreover, the analysis of sequence conservation among P2Y1-like receptor subtypes, for which X-ray structures are not yet available, can guide the design of subtype selective binders.
Supplementary Material
Acknowledgments
This research was supported by the National Institutes of Health (Intramural Research Program of the NIDDK, ZIADK031117, and ZIADK031126). A.C. is very grateful to Dr. Alberto Cuzzolin and Dr. Mattia Sturlese (Universitàdegli Studi di Padova) for their help with the tcl programming language.
Footnotes
Author Contributions
S.P. collected binding data and performed molecular docking calculations. R.D.O. performed molecular dynamics simulations. A.C. oversaw molecular dynamics simulations, analyzed the data, and wrote the manuscript. K.A.J. oversaw the whole project and wrote the manuscript. All authors have given approval to the final version of the manuscript.
Notes
The authors declare no competing financial interest.
The Supporting Information is available free of charge on the ACS Publications website at DOI: 10.1021/acs.jcim.7b00528.
Supplementary data analysis (detailed description of SAR and initial X-ray complexes), Figures S1–S9 (P2Y1-like receptors sequence alignment, additional docking figures of nucleotide and non-nucleotide ligands, comparison between MRS2500 initial and final position during MD simulation of the different species considered, final state of MD simulation runs not considered, superimposition of protein structures extracted from selected trajectories) and Tables S1–S6 (structures of initially docked compounds, salt-bridges persistency during MD simulation of selected complexes, and TM movements during MD simulations) (PDF)
HTMD computational protocol (PDF)
Video of MD simulations of the MRS2500(−3a)-hP2Y1R X-ray complex (AVI)
Video of MD simulations of the modeled 2MeSADPhP2Y1R complex (AVI)
Video of MD simulations of the modeled MRS2268-(−3a)-hP2Y1R complex (AVI)
Video of MD simulations of the modeled MRS2268-(−3b)-hP2Y1R complex (AVI)
Video of MD simulations of the BPTU-hP2Y1R X-ray complex (AVI)
Final 3D coordinates of the MRS2500(−3a)-hP2Y1R complex extracted from run s2 (PDB)
Initial 3D coordinates, topology, and parameters of the 2MeSADP-hP2Y1R system (ZIP)
Final 3D coordinates of the 2MeSADP-hP2Y1R complex extracted from run s1 (PDB)
Initial 3D coordinates, topology, and parameters of the apo hP2Y1R system (ZIP)
Final 3D coordinates of the MRS268(−3a)-hP2Y1R complex extracted from run s3 (PDB)
Initial 3D coordinates, topology, and parameters of the BPTU-hP2Y1R system (ZIP)
Final 3D coordinates of the MRS268(−3b)-hP2Y1R complex extracted from run s2 (PDB)
Final 3D coordinates of the BPTU-hP2Y1R complex extracted from run s3 (PDB)
Initial 3D coordinates, topology, and parameters of the MRS2268(−3a)-hP2Y1R system (ZIP)
Initial 3D coordinates, topology, and parameters of the MRS2268(−3b)-hP2Y1R system (ZIP)
Final 3D coordinates of apo hP2Y1R structure extracted from run s3 (PDB)
Initial 3D coordinates, topology, and parameters of the MRS2500(−3a)-hP2Y1R system (ZIP)
References
- 1.Abbracchio MP, Burnstock G, Boeynaems JM, Barnard EA, Boyer JL, Kennedy C, Knight GE, Fumagalli M, Gachet C, Jacobson KA, Weisman GA International Union of Pharmacology LVIII. Update on the P2Y G Protein-Coupled Nucleotide Receptors: From Molecular Mechanisms and Pathophysiology to Therapy. Pharmacol Rev. 2006;58:281–341. doi: 10.1124/pr.58.3.3. [DOI] [PMC free article] [PubMed] [Google Scholar]
- 2.Janssens R, Communi D, Pirotton S, Samson M, Parmentier M, Boeynaems JM. Cloning and Tissue Distribution of the Human P2Y1 Receptor. Biochem Biophys Res Commun. 1996;221:588–593. doi: 10.1006/bbrc.1996.0640. [DOI] [PubMed] [Google Scholar]
- 3.Wei Q, Costanzi S, Liu QZ, Gao ZG, Jacobson KA. Activation of the P2Y1 Receptor Induces Apoptosis and Inhibits Proliferation of Prostate Cancer Cells. Biochem Pharmacol. 2011;82:418–425. doi: 10.1016/j.bcp.2011.05.013. [DOI] [PMC free article] [PubMed] [Google Scholar]
- 4.Malin SA, Molliver DC. Gi- and Gq-Coupled ADP (P2Y) Receptors Act in Opposition to Modulate Nociceptive Signaling and Inflammatory Pain Behavior. Mol Pain. 2010;6:21. doi: 10.1186/1744-8069-6-21. [DOI] [PMC free article] [PubMed] [Google Scholar]
- 5.Cao X, Li LP, Qin XH, Li SJ, Zhang M, Wang Q, Hu HH, Fang YY, Gao YB, Li XW, Sun LR, Xiong WC, Gao TM, Zhu XH. Astrocytic Adenosine 5′-Triphosphate Release Regulates the Proliferation of Neural Stem Cells in the Adult Hippocampus. Stem Cells. 2013;31:1633–1643. doi: 10.1002/stem.1408. [DOI] [PubMed] [Google Scholar]
- 6.Talley Watts L, Sprague S, Zheng W, Garling RJ, Jimenez D, Digicaylioglu M, Lechleiter J. Purinergic 2Y1 Receptor Stimulation Decreases Cerebral Edema and Reactive Gliosis in a Traumatic Brain Injury Model. J Neurotrauma. 2013;30:55–66. doi: 10.1089/neu.2012.2488. [DOI] [PubMed] [Google Scholar]
- 7.Khan S, Yan-Do R, Duong E, Wu X, Bautista A, Cheley S, MacDonald PE, Braun M. Autocrine Activation of P2Y1 Receptors Couples Ca2+ Influx to Ca2+ Release in Human Pancreatic Beta Cells. Diabetologia. 2014;57:2535–2545. doi: 10.1007/s00125-014-3368-8. [DOI] [PubMed] [Google Scholar]
- 8.Jacobson KA, Deflorian F, Mishra S, Costanzi S. Pharmacochemistry of the Platelet Purinergic Receptors. Purinergic Signalling. 2011;7:305–324. doi: 10.1007/s11302-011-9216-0. [DOI] [PMC free article] [PubMed] [Google Scholar]
- 9.Zhang D, Gao ZG, Zhang K, Kiselev E, Crane S, Wang J, Paoletta S, Yi C, Ma L, Zhang W, Han GW, Liu H, Cherezov V, Katritch V, Jiang H, Stevens RC, Jacobson KA, Zhao Q, Wu B. Two Disparate Ligand-Binding Sites in the Human P2Y1 Receptor. Nature. 2015;520:317–321. doi: 10.1038/nature14287. [DOI] [PMC free article] [PubMed] [Google Scholar]
- 10.Garland SL. What is The Potential of G Protein-Coupled Receptor Allosteric Sites in Drug Design? Future Med Chem. 2014;6:729–732. doi: 10.4155/fmc.14.32. [DOI] [PubMed] [Google Scholar]
- 11.Hechler B, Nonne C, Roh EJ, Cattaneo M, Cazenave JP, Lanza F, Jacobson KA, Gachet C. MRS2500 [2-Iodo-N6-methyl-(N)-methanocarba-2′-deoxyadenosine-3′,5′-bisphosphate], a Potent, Selective and Stable Antagonist of the P2Y1 Receptor, with Strong Antithrombotic Activity in Mice. J Pharmacol Exp Ther. 2005;316:556–563. doi: 10.1124/jpet.105.094037. [DOI] [PMC free article] [PubMed] [Google Scholar]
- 12.Wong PC, Watson C, Crain EJ. The P2Y1 Receptor Antagonist MRS2500 Prevents Carotid Artery Thrombosis in Cynomolgus Monkeys. J Thromb Thrombolysis. 2016;41:514–521. doi: 10.1007/s11239-015-1302-7. [DOI] [PubMed] [Google Scholar]
- 13.Kim HS, Ohno M, Xu B, Kim HO, Choi Y, Ji XD, Maddileti S, Marquez VE, Harden TK, Jacobson KA. 2- Substitution of Adenine Nucleotide Analogues Containing a Bicyclo[3.1.0]hexane Ring System Locked in a Northern Conformation: Enhanced Potency as P2Y1 Receptor Antagonists. J Med Chem. 2003;46:4974–4987. doi: 10.1021/jm030127+. [DOI] [PMC free article] [PubMed] [Google Scholar]
- 14.Jacobson KA, Paoletta S, Katritch V, Wu B, Gao ZG, Zhao Q, Stevens RC, Kiselev E. Nucleotides Acting at P2Y Receptors: Connecting Structure and Function. Mol Pharmacol. 2015;88:220–230. doi: 10.1124/mol.114.095711. [DOI] [PMC free article] [PubMed] [Google Scholar]
- 15.Camaioni E, Boyer JL, Mohanram A, Harden TK, Jacobson KA. Deoxyadenosine-bisphosphate Derivatives as Potent Antagonists at P2Y1 Receptors. J Med Chem. 1998;41:183–190. doi: 10.1021/jm970433l. [DOI] [PMC free article] [PubMed] [Google Scholar]
- 16.Nandanan E, Camaioni E, Jang SY, Kim YC, Cristalli G, Herdewijn P, Secrist JA, 3rd, Tiwari KN, Mohanram A, Harden TK, Boyer JL, Jacobson KA. Structure Activity Relationships of Bisphosphate Nucleotide Derivatives as P2Y1 Receptor Antagonists and Partial Agonists. J Med Chem. 1999;42:1625–1638. doi: 10.1021/jm980657j. [DOI] [PMC free article] [PubMed] [Google Scholar]
- 17.Nandanan E, Jang SY, Moro S, Kim HO, Siddiqui MA, Russ P, Marquez VE, Busson R, Herdewijn P, Harden TK, Boyer JL, Jacobson KA. Synthesis; biological activity, and molecular modeling of ribose-modified adenosine bisphosphate analogues as P2Y1 receptor ligands. J Med Chem. 2000;43:829–842. doi: 10.1021/jm990249v. [DOI] [PMC free article] [PubMed] [Google Scholar]
- 18.Xu B, Stephens A, Kirschenheuter G, Greslin AF, Cheng X, Sennelo J, Cattaneo M, Zighetti ML, Chen A, Kim SA, Kim HS, Bischofberger N, Cook G, Jacobson KA. Acyclic Analogues of Adenosine Bisphosphates as P2Y Receptor Antagonists: Phosphate Substitution Leads to Multiple Pathways of Inhibition of Platelet Aggregation. J Med Chem. 2002;45:5694–5709. doi: 10.1021/jm020173u. [DOI] [PMC free article] [PubMed] [Google Scholar]
- 19.Costanzi S, Tikhonova IG, Ohno M, Roh EJ, Joshi BV, Colson AO, Houston D, Maddileti S, Harden TK, Jacobson KA. P2Y1 Antagonists: Combining Receptor-Based Modeling and QSAR for a Quantitative Prediction of the Biological Activity Based on Consensus Scoring. J Med Chem. 2007;50:3229–3241. doi: 10.1021/jm0700971. [DOI] [PubMed] [Google Scholar]
- 20.de Castro S, Maruoka H, Hong K, Kilbey SM, 2nd, Costanzi S, Hechler B, Brown GG, Jr, Gachet C, Harden TK, Jacobson KA. Functionalized Congeners of P2Y1 Receptor Antagonists: 2-Alkynyl (N)-Methanocarba 2′-Deoxyadenosine 3′,5′-Bisphosphate Analogues and Conjugation to a Polyamidoamine (PAMAM) Dendrimer Carrier. Bioconjugate Chem. 2010;21:1190– 1205. doi: 10.1021/bc900569u. [DOI] [PMC free article] [PubMed] [Google Scholar]
- 21.Raboisson P, Baurand A, Cazenave JP, Gachet C, Schultz D, Spiess B, Bourguignon JJ. A General Approach Toward the Synthesis of C-Nucleoside Pyrazolo[1,5-A]-1,3,5-Triazines and their 3′,5′-Bisphosphate C-Nucleotide Analogues as the First Reported in vivo stable P2Y1-Receptor Antagonists. J Org Chem. 2002;67:8063– 8071. doi: 10.1021/jo026268l. [DOI] [PubMed] [Google Scholar]
- 22.Kim YC, Gallo-Rodriguez C, Jang SY, Nandanan E, Adams M, Harden TK, Boyer JL, Jacobson KA. Acyclic Analogues of Deoxyadenosine Bisphosphates as P2Y1 Receptor Antagonists. J Med Chem. 2000;43:746–755. doi: 10.1021/jm9905211. [DOI] [PMC free article] [PubMed] [Google Scholar]
- 23.Kim HS, Barak D, Harden TK, Boyer JL, Jacobson KA. Acyclic and Cyclopropyl Analogues of Adenosine Bisphosphate Antagonists of the P2Y1 Receptor: Structure Activity Relationships and Receptor Docking. J Med Chem. 2001;44:3092–3108. doi: 10.1021/jm010082h. [DOI] [PMC free article] [PubMed] [Google Scholar]
- 24.Chao H, Turdi H, Herpin TF, Roberge JY, Liu Y, Schnur DM, Poss MA, Rehfuss R, Hua J, Wu Q, Price LA, Abell LM, Schumacher WA, Bostwick JS, Steinbacher TE, Stewart AB, Ogletree ML, Huang CS, Chang M, Cacace AM, Arcuri MJ, Celani D, Wexler RR, Lawrence RM. Discovery of 2-(Phenoxypyridine)-3-Phenylureas as Small Molecule P2Y1 Antagonists. J Med Chem. 2013;56:1704–1714. doi: 10.1021/jm301708u. [DOI] [PubMed] [Google Scholar]
- 25.Qiao JX, Wang TC, Ruel R, Thibeault C, L’Heureux A, Schumacher WA, Spronk SA, Hiebert S, Bouthillier G, Lloyd J, Pi Z, Schnur DM, Abell LM, Hua J, Price LA, Liu E, Wu Q, Steinbacher TE, Bostwick JS, Chang M, Zheng J, Gao Q, Ma B, McDonnell PA, Huang CS, Rehfuss R, Wexler RR, Lam PY. Conformationally Constrained Ortho-Anilino Diaryl Ureas: Discovery of 1-(2-(1′-neopentylspiro[indoline-3,4′-piperidine]-1-yl)- phenyl)-3-(4-(trifluoromethoxy)phenyl)urea, a Potent, Selective, and Bioavailable P2Y1 Antagonist. J Med Chem. 2013;56:9275–9295. doi: 10.1021/jm4013906. [DOI] [PubMed] [Google Scholar]
- 26.Jeon YT, Yang W, Qiao JX, Li L, Ruel R, Thibeault C, Hiebert S, Wang TC, Wang Y, Liu Y, Clark CG, Wong HS, Zhu J, Wu DR, Sun D, Chen BC, Mathur A, Chacko SA, Malley M, Chen XQ, Shen H, Huang CS, Schumacher WA, Bostwick JS, Stewart AB, Price LA, Hua J, Li D, Levesque PC, Seiffert DA, Rehfuss R, Wexler RR, Lam PY. Identification of 1-{2-[4-Chloro-1′-(2,2-dimethylpropyl)-7-hydroxy-1,2- dihydrospiro[indole-3,4′-piperidine]-1-yl]phenyl}-3-{5-chloro-[1,3]-thiazolo[5,4-b]pyridin-2-yl}urea, a Potent, Efficacious and Orally Bioavailable P2Y1 Antagonist as an Antiplatelet Agent. Bioorg Med Chem Lett. 2014;24:1294–1298. doi: 10.1016/j.bmcl.2014.01.066. [DOI] [PubMed] [Google Scholar]
- 27.Hu CH, Qiao JX, Han Y, Wang TC, Hua J, Price LA, Wu Q, Shen H, Huang CS, Rehfuss R, Wexler RR, Lam PY. 2-Amino-1,3,4-thiadiazoles in the 7-Hydroxy-N-Neopentyl Spiropiperidine Indolinyl Series as Potent P2Y1 Receptor Antagonists. Bioorg Med Chem Lett. 2014;24:2481–2485. doi: 10.1016/j.bmcl.2014.04.011. [DOI] [PubMed] [Google Scholar]
- 28.Yang W, Wang Y, Lai A, Qiao JX, Wang TC, Hua J, Price LA, Shen H, Chen XQ, Wong P, Crain E, Watson C, Huang CS, Seiffert DA, Rehfuss R, Wexler RR, Lam PY. Discovery of 4-Aryl-7-hydroxyindoline-Based P2Y1 Antagonists as Novel Antiplatelet Agents. J Med Chem. 2014;57:6150–6164. doi: 10.1021/jm5006226. [DOI] [PubMed] [Google Scholar]
- 29.Wang TC, Qiao JX, Clark CG, Jua J, Price LA, Wu Q, Chang M, Zheng J, Huang CS, Everlof G, Schumacher WA, Wong PC, Seiffert DA, Stewart AB, Bostwick JS, Crain EJ, Watson CA, Rehfuss R, Wexler RR, Lam PY. Discovery of Diarylurea P2Y1 Antagonists with Improved Aqueous Solubility. Bioorg Med Chem Lett. 2013;23:3239–3243. doi: 10.1016/j.bmcl.2013.03.125. [DOI] [PubMed] [Google Scholar]
- 30.Ruel R, L’Heureux A, Thibeault C, Daris JP, Martel A, Price LA, Wu Q, Hua J, Wexler RR, Rehfuss R, Lam PY. New Azole Antagonists with High Affinity for the P2Y1 Receptor. Bioorg Med Chem Lett. 2013;23:3519–3522. doi: 10.1016/j.bmcl.2013.04.041. [DOI] [PubMed] [Google Scholar]
- 31.Costanzi S, Mamedova L, Gao ZG, Jacobson KA. Architecture of P2Y Nucleotide Receptors: Structural Comparison Based on Sequence Analysis, Mutagenesis, and Homology Modeling. J Med Chem. 2004;47:5393–5404. doi: 10.1021/jm049914c. [DOI] [PMC free article] [PubMed] [Google Scholar]
- 32.Ivanov AA, Costanzi S, Jacobson KA. Defining the nucleotide binding sites of P2Y receptors using rhodopsin-based homology modeling. J Comput-Aided Mol Des. 2006;20:417–426. doi: 10.1007/s10822-006-9054-2. [DOI] [PubMed] [Google Scholar]
- 33.Zhang J, Zhang K, Gao ZG, Paoletta S, Zhang D, Han GW, Li T, Ma L, Zhang W, Müller CE, Yang H, Jiang H, Cherezov V, Katritch V, Jacobson KA, Stevens RC, Wu B, Zhao Q. Agonist-Bound Structure of the Human P2Y12 Receptor. Nature. 2014;509:119–122. doi: 10.1038/nature13288. [DOI] [PMC free article] [PubMed] [Google Scholar]
- 34.Kim YC, Lee JS, Sak K, Marteau F, Mamedova L, Boeynaems JM, Jacobson KA. Synthesis of Pyridoxal Phosphate Derivatives with Antagonist Activity at the P2Y13 Receptor. Biochem Pharmacol. 2005;70:266–274. doi: 10.1016/j.bcp.2005.04.021. [DOI] [PMC free article] [PubMed] [Google Scholar]
- 35.Morales-Ramos A, Mecom JS, Kiesow TJ, Graybill TL, Brown GD, Aiyar NV, Davenport EA, Kallal LA, Knapp-Reed BA, Li P, Londregan AT, Morrow DM, Senadhi S, Thalji RK, Zhao S, Burns-Kurtis CL, Marino JP., Jr Tetrahydro-4-quinolinamines Identified as Novel P2Y1 Receptor Antagonists. Bioorg Med Chem Lett. 2008;18:6222–6226. doi: 10.1016/j.bmcl.2008.09.102. [DOI] [PubMed] [Google Scholar]
- 36.Costanzi S, Kumar TS, Balasubramanian R, Harden TK, Jacobson KA. Virtual Screening Leads to the Discovery of Novel Non-Nucleotide P2Y1 Receptor Antagonists. Bioorg Med Chem. 2012;20:5254–5261. doi: 10.1016/j.bmc.2012.06.044. [DOI] [PMC free article] [PubMed] [Google Scholar]
- 37.Jiang Q, Guo D, Lee BX, Van Rhee AM, Kim YC, Nicholas RA, Schachter JB, Harden TK, Jacobson KA. A Mutational Analysis of Residues Essential for Ligand Recognition at the Human P2Y1 Receptor. Mol Pharmacol. 1997;52:499–507. doi: 10.1124/mol.52.3.499. [DOI] [PMC free article] [PubMed] [Google Scholar]
- 38.Hoffmann C, Moro S, Nicholas RA, Harden TK, Jacobson KA. The Role of Amino Acids in Extracellular Loops of the Human P2Y1 Receptor in Surface Expression and Activation Processes. J Biol Chem. 1999;274:14639–14647. doi: 10.1074/jbc.274.21.14639. [DOI] [PMC free article] [PubMed] [Google Scholar]
- 39.Guo D, von Kügelgen I, Moro S, Kim YC, Jacobson KA. Evidence for the Recognition of Non-Nucleotide Antagonists Within the Transmembrane Domains of the Human P2Y1 Receptor. Drug Dev Res. 2002;57:173–181. doi: 10.1002/ddr.10145. [DOI] [PMC free article] [PubMed] [Google Scholar]
- 40.Hoffmann CA, Soltysiak K, West PL, Jacobson KA. Shift in Purine/Pyrimidine Base Recognition upon Exchanging Extracellular Domains in P2Y1/6 Chimeric Receptors. Biochem Pharmacol. 2004;68:2075–2086. doi: 10.1016/j.bcp.2004.07.014. [DOI] [PMC free article] [PubMed] [Google Scholar]
- 41.Moro S, Guo D, Camaioni E, Boyer GL, Harden TK, Jacobson KA. Human P2Y1 Receptor: Molecular Modeling and Site- Directed Mutagenesis as Tools to Identify Agonist and Antagonist Recognition Sites. J Med Chem. 1998;41:1456–1466. doi: 10.1021/jm970684u. [DOI] [PMC free article] [PubMed] [Google Scholar]
- 42.Zhang K, Zhang J, Gao ZG, Zhang D, Zhu L, Han GW, Moss SM, Paoletta S, Kiselev E, Lu W, Fenalti G, Zhang W, Müller CE, Yang H, Jiang H, Cherezov V, Katritch V, Jacobson KA, Stevens RC, Wu B, Zhao Q. Structure of the Human P2Y12 Receptor in Complex with an Antithrombotic Drug. Nature. 2014;509:115–118. doi: 10.1038/nature13083. [DOI] [PMC free article] [PubMed] [Google Scholar]
- 43.Gao ZG, Jacobson KA. Distinct Signaling Patterns of Allosteric Antagonism at the P2Y1 Receptor. Mol Pharmacol. 2017;92:613–626. doi: 10.1124/mol.117.109660. [DOI] [PMC free article] [PubMed] [Google Scholar]
- 44.Katritch V, Jaakola VP, Lane JR, Lin J, Ijzerman AP, Yeager M, Kufareva I, Stevens RC, Abagyan R. Structure-Based Discovery of Novel Chemotypes for Adenosine A2A Receptor Antagonists. J Med Chem. 2010;53:1799–1809. doi: 10.1021/jm901647p. [DOI] [PMC free article] [PubMed] [Google Scholar]
- 45.Gutiérrez de Terán H. The Roles of Computational Chemistry in the Ligand Design of G Protein-Coupled Receptors: How Far Have We Come and What Should We Expect? Future Med Chem. 2014;6:251–254. doi: 10.4155/fmc.13.209. [DOI] [PubMed] [Google Scholar]
- 46.Bernstein FC, Koetzle TF, Williams GJ, Meyer EE, Jr, Brice MD, Rodgers JR, Kennard O, Shimanouchi T, Tasumi M. The Protein Data Bank: A Computer-Based Archival File for Macromolecular Structures. J Mol Biol. 1977;112:535–542. doi: 10.1016/s0022-2836(77)80200-3. [DOI] [PubMed] [Google Scholar]
- 47.Madhavi Sastry GM, Adzhigirey M, Day T, Annabhimoju R, Sherman W. Protein and Ligand Preparation: Parameters, Protocols, and Influence on Virtual Screening Enrichments. J Comput-Aided Mol Des. 2013;27:221–234. doi: 10.1007/s10822-013-9644-8. [DOI] [PubMed] [Google Scholar]
- 48.Prime. Schrödinger, LLC; New York, NY: 2017. [Google Scholar]
- 49.LigPrep. Schrödinger, LLC; New York, NY: 2015. [Google Scholar]
- 50.Epik. Schrödinger, LLC; New York, NY: 2015. [Google Scholar]
- 51.Glide. Schrödinger, LLC; New York, NY: 2015. [Google Scholar]
- 52.Harvey M, Giupponi G, De Fabritiis G. ACEMD: Accelerated Molecular Dynamics Simulations in the Microseconds Timescale. J Chem Theory Comput. 2009;5:1632–1639. doi: 10.1021/ct9000685. [DOI] [PubMed] [Google Scholar]
- 53.Humphrey W, Dalke A, Schulten K. VMD - Visual Molecular Dynamics. J Mol Graphics. 1996;14:33–38. doi: 10.1016/0263-7855(96)00018-5. [DOI] [PubMed] [Google Scholar]
- 54.Jorgensen WL, Chandrasekhar J, Madura JD, Impey RW, Klein ML. Comparison of Simple Potential Functions for Simulating Liquid Water. J Chem Phys. 1983;79:926–935. [Google Scholar]
- 55.Harvey M, Giupponi G, De Fabritiis G. ACEMD: Accelerated Molecular Dynamics Simulations in the Microseconds Timescale. J Chem Theory Comput. 2009;5:1632–1639. doi: 10.1021/ct9000685. [DOI] [PubMed] [Google Scholar]
- 56.Best RB, Zhu X, Shim J, Lopes PEM, Mittal J, Feig M, MacKerell AD., Jr Optimization of the Additive CHARMM All- Atom Protein Force Field Targeting Improved Sampling of the Backbone Phi, Psi and Side-Chain Chi1 And Chi2 Dihedral Angles. J Chem Theory Comput. 2012;8:3257–3273. doi: 10.1021/ct300400x. [DOI] [PMC free article] [PubMed] [Google Scholar]
- 57.Klauda JB, Venable RM, Freites JA, O’Connor JW, Tobias DJ, Mondragon-Ramirez C, Vorobyov I, MacKerell AD, Jr, Pastor RW. Update of the CHARMM All-Atom Additive Force Field for Lipids: Validation on Six Lipid Types. J Phys Chem B. 2010;114:7830–7843. doi: 10.1021/jp101759q. [DOI] [PMC free article] [PubMed] [Google Scholar]
- 58.Vanommeslaeghe K, MacKerell AD., Jr Automation of the CHARMM General Force Field (CGenFF) I: Bond Perception and Atom Typing. J Chem Inf Model. 2012;52:3144–3154. doi: 10.1021/ci300363c. [DOI] [PMC free article] [PubMed] [Google Scholar]
- 59.Vanommeslaeghe K, Raman EP, MacKerell AD., Jr Automation of the CHARMM General Force Field (CGenFF) II: Assignment of Bonded Parameters and Partial Atomic Charges. J Chem Inf Model. 2012;52:3155–3168. doi: 10.1021/ci3003649. [DOI] [PMC free article] [PubMed] [Google Scholar]
- 60.Kräutler V, Van Gunsteren WF, Hünenberger PH. A Fast SHAKE Algorithm to Solve Distance Constraint Equations for Small Molecules in Molecular Dynamics Simulations. J Comput Chem. 2001;22:501–508. [Google Scholar]
- 61.Essmann U, Perera L, Berkowitz ML, Darden T, Lee H, Pedersen LGA. Smooth Particle Mesh Ewald Method. J Chem Phys. 1995;103:8577–8593. [Google Scholar]
- 62.Phillips JC, Braun R, Wang W, Gumbart J, Tajkhorshid E, Villa E, Chipot C, Skeel RD, Kale L, Schulten K. Scalable Molecular Dynamics with NAMD. J Comput Chem. 2005;26:1781– 1802. doi: 10.1002/jcc.20289. [DOI] [PMC free article] [PubMed] [Google Scholar]
- 63.Altona C, Sundaralingam M. Conformational Analysis of the Sugar Ring in Nucleosides and Nucleotides. A New Description Using the Concept of Pseudorotation. J Am Chem Soc. 1972;94:8205– 8212. doi: 10.1021/ja00778a043. [DOI] [PubMed] [Google Scholar]
- 64.Ballesteros JA, Weinstein H. Integrated Methods for the Construction of Three Dimensional Models and Computational Probing of Structure Function Relations in G Protein-Coupled Receptors. Methods Neurosci. 1995;25:366–428. [Google Scholar]
- 65.Mendez L, Henriquez G, Sirimulla S, Narayan M. Looking Back, Looking Forward at Halogen Bonding in Drug Discovery. Molecules. 2017;22:1397. doi: 10.3390/molecules22091397. [DOI] [PMC free article] [PubMed] [Google Scholar]
- 66.Burnstock G, Fischer B, Hoyle CHV, Maillard M, Ziganshin AU, Brizzolara AL, von Isakovics A, Boyer JL, Harden TK, Jacobson KA. Structure Activity Relationship for Derivatives of Adenosine-5′-Triphopshate as Agonists at P2 Purinoceptors: Heterogeneity Within P2X and P2Y Subtypes. Drug Dev Res. 1994;31:206–219. doi: 10.1002/ddr.430310308. [DOI] [PMC free article] [PubMed] [Google Scholar]
- 67.Ravi RG, Kim HS, Servos J, Zimmermann H, Lee K, Maddileti S, Boyer JL, Harden TK, Jacobson KA. Adenine Nucleotides Analogues Locked in a Northern Methanocarba Conformation: Enhanced Stability and Potency as P2Y1 Receptor Agonists. J Med Chem. 2002;45:2090–2100. doi: 10.1021/jm010538v. [DOI] [PMC free article] [PubMed] [Google Scholar]
- 68.Yuan S, Chan HC, Vogel H, Filipek S, Stevens RC, Palczewski K. The Molecular Mechanism of P2Y1 Receptor Activation. Angew Chem, Int Ed. 2016;55:10331–10335. doi: 10.1002/anie.201605147. [DOI] [PMC free article] [PubMed] [Google Scholar]
Associated Data
This section collects any data citations, data availability statements, or supplementary materials included in this article.







