Abstract
A self-healing polybenzoxazine is synthesized solely based on dynamic ester bonds. For this purpose, an anhydride (succinic anhydride) was added into bisphenol F derived benzoxazine monomer before thermocuring. Owing to the transesterification of newly formed ester bonds, the thermoset network behaves as a thermoplastic at 140 °C in the presence of Zn (Ac)2, and shows self-healing properties even after multiple damage-healing cycles. Furthermore, kinetics study indicates that the transesterification is a first-order reaction and the activation energy is about 135.4 kJ/mol. This study proposes a facile and economical way to prepare self-healing polybenzoxazine. It has promising applications in coating, adhesive, and other smart materials that rely on structurally dynamic polymers.
Introduction
Over the past few decades, there has been an explosive interest in developing self-healing materials because of their built-in ability to repair physical damage, effectively avoiding catastrophic failure and extending the working life1,2. According to the healing mechanisms, self-healing materials can be divided into types of extrinsic self-healing and intrinsic self-healing3. The former achieve their self-healing process through releasing healing agents from capsules. The latter is based on a dynamic, reversible linkage/reaction, such as reversible covalent bonds, metalligand interactions, and multiple hydrogen bonding4,5. Particularly, reversible interactions are of particular interest due to their capability to heal repeated damage at the same position6.
Recently, elegant dynamic covalent chemistries have been introduced in thermosetting polymers to yield self-healing or stress-relaxation properties7,8. In 2011, Montarnal and co-workers designed and realized covalently crosslinked epoxy networks that behaved like silica which could be malleable, reparable, and recyclable9. The underlying concept was to allow for reversible exchange reactions by transesterification. The chemistry was versatile, relied on readily available ingredients, and did not require any special equipment. Based on the theoretical study, a number of self-healing thermosetting polymers have been reported in recent years10. For example, Leibler et.al demonstrated the healing capability of epoxy-acid and epoxy-anhydride thermoset networks at 50 °C7. Lu et.al reported a shape memory and healable epoxy based on esterification between diglycidyl ether of bisphenol A and phthalic anhydride11.
Polybenzoxazine (PBZ) is a relatively new phenolic resin and has gained considerable attention in recent years12. Compared to conventional novolac and resole type phenolic resins, PBZ exhibits various outstanding characteristics, including high modulus and strength, chemical and thermal stabilities and near-zero shrinkage upon curing13,14. The synthesis of polybenzoxazines can simply be achieved by thermally activated ring-opening polymerization of its corresponding 1,3-benzoxazine monomers with or without a catalyst. The properties of polybenzoxazines resins can be regulated by various chemistries, which endow polybenzoxazines with a promising application in many fields15–23. However, synthesis of bulk polybenzoxazines with self-healing property has scarcely been investigated, though some polybenzoxazine precursor has been used as a self-healing additive17,24,25. Most recently, Mustafa Arslan et al. reported that self-healing PBZ thermoset could be achieved based on the supramolecular attraction26 and S-S bond cleavage-reformation reaction27. Yagci, Yusuf et al. prepared a self-healing poly(propylene oxide)-polybenzoxazine thermosets by photoinduced coumarine dimerization28. The performance of the resultant material was appealing but the always involved conventional main chain precursor synthesis methodology requiring multiple steps was somewhat complicated.
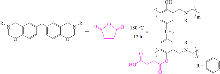
Herein, we were interested in designing self-healing polybenzoxazines solely based on dynamic ester bond. Accordingly, a small amount of succinic anhydride was added into the benzoxazine monomers and ester bond form between the anhydride and phenolic hydroxyl groups after thermocuring (Fig. 1). The mechanical properties of the network were characterized by DMA and fatigue test. Additionally, the kinetics of transesterification was investigated using TGA method. The results illustrated that the synthesized polybenzoxazines could be reprocessed at higher temperature, and its capability to heal repeated damage at the same position could also be achieved.
Figure 1.

Synthesis of PBZ-SA thermoset from BZ monomer and SA.
Results and discussion
The curing processes of the benzoxazine monomer/SA/Zn(Ac)2 mixtures were monitored by DSC at a heating rate of 10 °C min−1 from 25 °C to 300 °C. As shown in Fig. S1, the neat benzoxazine displays exothermic peaks in the temperature range from 180 °C to 240 °C, In contrast, the addition of SA and Zn(Ac)2 results in two exothermic peaks at lower temperatures, which suggested that complex reaction mechanisms were present and the curing process of the neat benzoxazine was promoted. Figure 2 shows the FT-IR spectra of PBZ-SA2 thermoset compared with pure PBZ and BZ monomer. The oxazine ring of BF showed three characteristic peaks at 934 cm−1, 1026 cm−1, and 1223 cm−1, assigned to the ring symmetric and anti-symmetric stretching of the C-O-C bond29–31. However, the three peaks in PBZ were almost disappeared completely, and characteristic peaks assigned to tetra-substituted benzene (1450–1480 cm−1) increased32. The results clearly demonstrated the ring-opening reaction of the BZ monomer33. With introduction of SA in PBZ network, new peaks attributed to the stretching vibration of the carbonyl (C=O) in the base of ester bond34 and Zn(Ac)235 immerged at 1735 and 1655 cm−1, respectively. This illustrated that ester bond was formed between phenolic hydroxyl group of PBZ and SA after thermocuring.
Figure 2.

FT-IR spectra of the BZ monomer, pure PBZ and PBZ-SA2 thermoset.
Dynamic mechanical analyses were performed to measure the mobility of the chain segments in the network. As shown in Fig. 3a, the E′ values of PBZ-SA3 and PBZ-SA4 network with more SA was obvious higher than that of PBZ-SA1 and PBZ-SA2, especially at lower temperature (35–100 °C). On the contrary, the glass transition temperatures (Tg) of PBZ-SA3 (138 °C) and PBZ-SA4 (133 °C), which could be reflected by the tanδ peaks, were apparently lower than that of PBZ-SA1 (148 °C) and PBZ-SA2 (144 °C). One of possible reasons for this was that the crosslink density of the thermoset increased by adding SA36, however, more transesterification reaction would happen, which might improve the flexibility of the network simultaneously37. In addition, by only increasing the Zn(Ac)2 content, it was noted that the E′ of the PBZ-SA2 and PBZ-SA4 had no marked change when compared to PBZ-SA1 and PBZ-SA3, respectively, while the Tg values showed a slightly decrease. It could explained by that Zn(Ac)2 could only accelerate transesterification reaction while the total number of ester bonds remained unchanged9. Similarly, as shown Fig. 3b, obvious deformation was observed in all PBZ-SA samples (right column) after thermal deformation test, and the volume of overflow part increased with more Zn(Ac)2 was added. In sharp contrast, the PBZ thermoset (left column) would not flow for lack of SA or Zn(Ac)2.
Figure 3.
(a) spectra of PBZ-SA thermosets with different composition and (b) images of the thermosets after thermal deformation test.
In order to demonstrate the self-repairing capability of the PBZ-SA, the optical micrographs of the cut and healed specimens was presented in Fig. 4a. Initially, a cut with 65.8 μm was found. With prolong of the healing time, the damaged area significantly decreased, and width of the damage came to 6.1 μm after 30 min. After heating at 140 °C for 40 min, the damage was almost totally healed. Further, as the ability of repeated recovery was a primary advantage for healable materials prepared via reversible bond exchange, the self-healing ability of the present thermoset network at a same site was investigated through multiple damage-healing cycles. As presented in Fig. 4b, the E′ values of PBZ-SA samples decreases from 2.88 GPa to 2.10 GPa after the first damage, but the loss could be regained mostly (2.86 GPa) after heating. The healing efficiencies of the PBZ-SA samples after one, two, and three healing cycles was 99%, 92% and 89%, respectively, when comparing E′ values of the healed sample to the original sample. In contrast, the PBZ-SA network without containing Zn(Ac)2 could not be repaired by healing, and its E′ values decreased linearly after damage. In the present work, as illustrated in Fig. 4c, the healing behavior arose from dynamic ester bonds present at the interface of a cut10. With the existence of Zn(Ac)2, the rate of ester bond breaking-reforming raised and the free phenolic hydroxyl and carboxyl group could form bridges with those on the adjacent surface to span the divide at the site of damage38.
Figure 4.
(a) Time-dependent change for the cut on the surface of PBZ-SA2 film, (b) storage modulus of PBZ-SA2 after the damage-healing cycle, (c) an illustration of the self-healing process for the PBZ-SA thermoset.
To study the kinetics of transesterification reaction in thermoset network, SA was replaced by dimethyl phthalate (DMP), and the reaction rate could be determined by calculating the amount of released methyl alcohol during the isothermal TGA test (Fig. 5a). As shown in Fig. 5b, the weight of PDP-BZ kept dropping with ongoing of heating at 180 °C. This implied that the transesterification reaction did occur in the system.39 Moreover, the weight loss of the system was more remarkable at 190 and 200 °C, indicating an increase of transesterification reaction rate. Additionally, it was noted that natural logarithm of na (mole number of methyl alcohol) yield a linear relationship with the reaction time for all the conditions (Fig. 5c). This suggested that transesterification reaction between phenolic hydroxyl of PBZ and DMP could be treated as a first-order reaction40. According to the integrated Arrhenius equation41:
| 1 |
A plot of lnk versus 1/T should result in a linear relationship with the slope equal to −Ea/R. As illustrated by the Arrhenius plots in Fig. 5c (inset), the two variables shows a good linear relationship (correlation coefficient, 0.986) and the activation energy was calculated to be 135.4 kJ/mol.
Figure 5.
(a) The transesterification reaction between PBZ and DMP, (b) Isothermal TGA curves of PBZ-DMP mixture treated at different temperature. (c) The plots of ln(nA) versus the reaction time, inset is the plots of lnk against 1/T.
Conclusion
In conclusion, based on the strategy of dynamic ester bonds, a new self-healing polybenzoxazine was synthesized through reactions between succinic anhydide and phenolic hydroxyl group of polybenzoxazine. The self-healing properties of the network were observed by optical microscopy, DMA and fatigue test. The results illustrated it was possible to achieve bulk-state self-healing in the polybenzoxazines thermoset via ester bond exchange. Particularly, in the presence of accelerator (Zn(Ac)2), the dynamic covalent nature of the bonds allowed healing to occur over multiple cycles. Furthermore, the TGA test indicates that the transesterification reaction could be treated as a first-order reaction and the activation energy was estimated to be 135.4 kJ/mol. Through this study, it was clear that introduction of dynamic ester bond did promise a successful approach to achieve self-healing polybenzoxazines, which could further expanding its use in high performance materials.
Methods
Materials
Bisphenol F based benzoxazine (BZ, 75 wt% in butanone) was obtained from Huntsman investment Co., Ltd (Utah, USA). succinic anhydride (SA), zinc acetate (Zn(Ac)2) and dimethyl phthalate (DIP) were purchased from Aladdin Reagent Co. (Shanghai, China). The reagents and solvents were used as received.
Synthesis of self-healing polybenzoxazines thermoset
BZ, SA, and Zn(Ac)2 were mixed at 40 °C and degassed using a conditioning mixer (AR-100, Thinky, Japan). Then, the resulting mixture was dried at 60 °C under vacuum to remove butanone, and thermocured at 180 °C for 12 h. By changing the mole ratio of the BF/SA/Zn(Ac)2 mixture from 1:0.25:0.05, 1:0.25:0.1, 1:0.5:0.05 to 1:0.5:0.1, the obtained thermoset was coded as PBZ-SA1, PBZ-SA2, PBZ-SA3 and PBZ-SA4, respectively. FTIR (Nicolet Company, Madison, USA), and DMA (Q800 DMA, USA) were used to characterize the thermoset network. To reduce the errors generated in the forming process, the BZ/SA/Zn(AC)2 mixtures were cured to composite samples with standard filter paper (pore size of 18 mm) as a reinforcement filler for all the DMA tests.
Synthesis of PBZ-DMP thermoset
To study the kinetics of transesterification reaction, SA was replaced by DMP and a PBZ-DMP thermoset was prepared through a process similar to the self-healing polybenzoxazines. The molar ratio of BF/DMP/Zn(Ac)2 mixture was set as 1:0.25:0.1 and the transesterification was monitored using a isothermal TGA (TGA/SDTA851, Switzerland) method.
Measurements
Thermal deformation test was performed as follows: the cured thermoset piece was placed between two metal pads, and one of the pads has a round opening (diameter, 20 mm). Then, the pads were clamped by two binder clips with a force of ~10 N, and heated at 140 °C (30 min) for observation.
The multiple self-healing ability of the thermoset at a same site was performed on a fatigue machine (SJY-500, Shandu, China).The three-point bending method was applied, with a loading force of 25 N at a frequency of 3 Hz (Fig. S2). During each healing cycle, the sample was firstly subjected to 2000 times of impact breakage on the fatigue machine, and then healed by heat treatment at 140 °C for 1 h. The storage modulus (E′) of the recycled thermosets was determined using the DMA machine.
Electronic supplementary material
Acknowledgements
This work was supported by the Natural Science Foundation of China (51573167), and Public Welfare Technology Application Research Project of Zhejiang Province (2017C33154).
Author Contributions
F.Y.F. wrote the manuscript; W.L.Z. performed the D.M.A. test. Y.Z. conducted the T.G.A. experiment; M.Q.H. designed this experiment and was in charge of the whole experiment conduction; X.D.L. helped analyze the data of D.M.A. and T.G.A.
Competing Interests
The authors declare no competing interests.
Footnotes
Electronic supplementary material
Supplementary information accompanies this paper at 10.1038/s41598-018-27942-9.
Publisher's note: Springer Nature remains neutral with regard to jurisdictional claims in published maps and institutional affiliations.
References
- 1.Song H, Wang ZJ, He XD, Duan J. Self-healing of damage inside metals triggered by electropulsing stimuli. Sci Rep. 2017;7:7097. doi: 10.1038/s41598-017-06635-9. [DOI] [PMC free article] [PubMed] [Google Scholar]
- 2.Li CH, et al. A highly stretchable autonomous self-healing elastomer. Nat Chem. 2016;8:619–625. doi: 10.1038/nchem.2492. [DOI] [PubMed] [Google Scholar]
- 3.Wang YX, et al. One-pot fabrication of triple-network structure hydrogels with high-strength and self-healing properties. Mater. Lett. 2017;207:53–56. doi: 10.1016/j.matlet.2017.07.056. [DOI] [Google Scholar]
- 4.Chao A, Negulescu J, Zhang D. Dynamic covalent polymer networks based on degenerative imine bond exchange: tuning the malleability and self-healing properties by solvent. Macromolecules. 2016;49:6277–6284. doi: 10.1021/acs.macromol.6b01443. [DOI] [Google Scholar]
- 5.Zechel S, et al. Intrinsic self-healing polymers with a high E-modulus based on dynamic reversible urea bonds. Npg. Asia. Mater. 2017;9:e420. doi: 10.1038/am.2017.125. [DOI] [Google Scholar]
- 6.Zulfiqar U, et al. Durable and self-healing superhydrophobic surfaces for building materials. Mater. Lett. 2017;192:56–59. doi: 10.1016/j.matlet.2017.01.070. [DOI] [Google Scholar]
- 7.Capelot M, Montarnal D, Tournilhac F, Leibler L. Metal-catalyzed transesterification for healing and assembling of thermosets. J. Am. Chem. Soc. 2012;134:7664–7667. doi: 10.1021/ja302894k. [DOI] [PubMed] [Google Scholar]
- 8.Altuna FI, Pettarin V, Williams RJJ. Self-healable polymer networks based on the cross-linking of epoxidised soybean oil by an aqueous citric acid solution. Green. Chem. 2013;15:3360–3366. doi: 10.1039/c3gc41384e. [DOI] [Google Scholar]
- 9.Montarnal D, Capelot M, Tournilhac F, Leibler L. Silica-like malleable materials from permanent organic networks. Science. 2011;334:965–968. doi: 10.1126/science.1212648. [DOI] [PubMed] [Google Scholar]
- 10.Cromwell OR, Chung J, Guan Z. Malleable and self-healing covalent polymer networks through tunable dynamic boronic ester bonds. J. Am. Chem. Soc. 2015;137:6492–6495. doi: 10.1021/jacs.5b03551. [DOI] [PubMed] [Google Scholar]
- 11.Lu L, Pan J, Li G. Recyclable high-performance epoxy based on transesterification reaction. J. Mater. Chem. A. 2017;5:21505–21513. doi: 10.1039/C7TA06397K. [DOI] [Google Scholar]
- 12.Kiskan B, Ghosh NN, Yagci Y. Polybenzoxazine-based composites as high-performance materials. Polym. Int. 2011;60:167–177. doi: 10.1002/pi.2961. [DOI] [Google Scholar]
- 13.Yagci Y, Kiskan B, Ghosh NN. Recent advancement on polybenzoxazine-a newly developed high performance thermoset. J. Polym. Sci. Pol. Chem. 2009;47:5565–5576. doi: 10.1002/pola.23597. [DOI] [Google Scholar]
- 14.Dumas L, Bonnaud L, Olivier M, Poorteman M, Dubois P. High performance bio-based benzoxazine networks from resorcinol and hydroquinone. Eur. Polym. J. 2016;75:486–494. doi: 10.1016/j.eurpolymj.2016.01.021. [DOI] [Google Scholar]
- 15.Wang H, Zhu R, Yang P, Gu Y. A study on the chain propagation of benzoxazine. Polym. Chem. 2016;7:860–866. doi: 10.1039/C5PY01397F. [DOI] [Google Scholar]
- 16.Patil DM, Phalak GA, Mhaske ST. Enhancement of anti-corrosive performances of cardanol based amine functional benzoxazine resin by copolymerizing with epoxy resins. Prog. Org. Coat. 2017;105:18–28. doi: 10.1016/j.porgcoat.2016.10.027. [DOI] [Google Scholar]
- 17.Taskin OS, Kiskan B, Yagci Y. Polybenzoxazine precursors as self-healing agents for polysulfones. Macromolecules. 2013;46:8773–8778. doi: 10.1021/ma4019153. [DOI] [Google Scholar]
- 18.Hariharan A, Srinivasan K, Murthy C, Alagar M. A novel imidazole-core-based benzoxazine and its blends for high-performance applications. Ind. Eng. Chem. Res. 2017;56:9347–9354. doi: 10.1021/acs.iecr.7b01816. [DOI] [Google Scholar]
- 19.Agag T, Takeichi T. Synthesis and characterization of novel benzoxazine monomers containing allyl groups and their high performance thermosets. Macromolecules. 2003;36:6010–6017. doi: 10.1021/ma021775q. [DOI] [Google Scholar]
- 20.Dumas L, Bonnaud L, Olivier M, Poorteman M, Dubois P. Multiscale benzoxazine composites: The role of pristine CNTs as efficient reinforcing agents for high-performance applications. Compos. Part B-Eng. 2017;112:57–65. doi: 10.1016/j.compositesb.2016.12.039. [DOI] [Google Scholar]
- 21.Rajamanikam R, Pichaimani P, Kumar M, Muthukaruppan A. Optical and thermomechanical behavior of benzoxazine functionalized ZnO reinforced polybenzoxazine nanocomposites. Polym. Composite. 2017;38:1881–1889. doi: 10.1002/pc.23758. [DOI] [Google Scholar]
- 22.Wang X, et al. Toughening and reinforcing of benzoxazine resins using a new hyperbranched polyether epoxy as a non-phase-separation modifier. Polymer. 2017;121:217–227. doi: 10.1016/j.polymer.2017.05.069. [DOI] [Google Scholar]
- 23.Yan H, et al. Synthesis of an intrinsically flame retardant bio-based benzoxazine resin. Polymer. 2016;97:418–427. doi: 10.1016/j.polymer.2016.05.053. [DOI] [Google Scholar]
- 24.Kiskan B, Yagci Y. Self‐healing of poly(propylene oxide)‐polybenzoxazine thermosets by photoinduced coumarine dimerization. J. Polym. Sci. Pol. Chem. 2015;52:2911–2918. doi: 10.1002/pola.27323. [DOI] [Google Scholar]
- 25.Chou CI, Liu YL. High performance thermosets from a curable Diels-Alder polymer possessing benzoxazine groups in the main chain. J. Polym. Sci. Pol. Chem. 2010;46:6509–6517. doi: 10.1002/pola.22960. [DOI] [Google Scholar]
- 26.Arslan M, Kiskan B, Yagci Y. Benzoxazine-based thermosets with autonomous self-healing ability. Macromolecules. 2015;48:1329–1334. doi: 10.1021/ma5025126. [DOI] [Google Scholar]
- 27.Arslan M, Kiskan B, Yagci Y. Recycling and self-healing of polybenzoxazines with dynamic sulfide linkages. Sci. Rep. 2017;7:5207. doi: 10.1038/s41598-017-05608-2. [DOI] [PMC free article] [PubMed] [Google Scholar]
- 28.Kiskan B, Yagci Y. Self-healing of poly(propylene oxide)-polybenzoxazine thermosets by photoinduced coumarine dimerization. J. Polym. Sci. Pol. Chem. 2014;52:2911–2918. doi: 10.1002/pola.27323. [DOI] [Google Scholar]
- 29.Wang J, Xu YZ, Fu YF, Liu XD. Latent curing systems stabilized by reaction equilibrium in homogeneous mixtures of benzoxazine and amine. Sci. Rep. 2016;6:38584. doi: 10.1038/srep38584. [DOI] [PMC free article] [PubMed] [Google Scholar]
- 30.Nakamura Y, et al. Relation of the chemical structure of polycyanurates to thermal and mechanical properties. J. Polym. Sci. Pol. Chem. 1969;7:3089–3100. doi: 10.1002/pol.1969.150071105. [DOI] [Google Scholar]
- 31.Gillham JK, Mentzer CC. Thermosetting reactions: Thermochemical reactions of triallyl cyanurate and triallyl isocyanurate. J. Appl Polym Sci. 1973;17:2301–2301. doi: 10.1002/app.1973.070170728. [DOI] [Google Scholar]
- 32.Zhang K, Han L, Froimowicz P, Ishida H. A Smart latent catalyst containing o-trifluoroacetamide functional benzoxazine: precursor for low temperature formation of very high performance polybenzoxazole with low dielectric constant and high thermal stability. Macromolecules. 2017;50:6552–6560. doi: 10.1021/acs.macromol.7b00887. [DOI] [Google Scholar]
- 33.Garea SA, Iovu H, Nicolescu A, Deleanu C. Thermal polymerization of benzoxazine monomers followed by GPC, FTIR and DETA. Polym. Test. 2007;26:162–171. doi: 10.1016/j.polymertesting.2006.09.011. [DOI] [Google Scholar]
- 34.Zhang B, Mei JQ, Chen B, Chen HQ. Digestibility, physicochemical and structural properties of octenyl succinic anhydride-modified cassava starches with different degree of substitution. Food Chem. 2017;229:136. doi: 10.1016/j.foodchem.2017.02.061. [DOI] [PubMed] [Google Scholar]
- 35.Luo M, Guan P, Liu WH. The identification of several saturated fatty acids and their salts by means of infrared spectrometry. Spectrosc. Spect. Anal. 2007;27:250. [PubMed] [Google Scholar]
- 36.Wang, H., Yang, P., Zhu, R. & Gu, Y. Preparation and characterization of novel multi-branched polymers in situ cured from benzoxazine/epoxy resin/primary amines blends. Rsc. Adv. 6 (2016).
- 37.Zhang H, et al. Recyclable polydimethylsiloxane network crosslinked by dynamic transesterification reaction. Sci. Rep. 2017;7:11833. doi: 10.1038/s41598-017-11485-6. [DOI] [PMC free article] [PubMed] [Google Scholar]
- 38.Zuo Y, Gou Z, Zhang C, Feng S. Polysiloxane-based autonomic self-Healing elastomers obtained through dynamic boronic ester bonds prepared by thiol-ene “click” chemistry. Macromol. Rapid. Comm. 2016;37:1052–1059. doi: 10.1002/marc.201600155. [DOI] [PubMed] [Google Scholar]
- 39.Yao F, Wu Q, Lei Y, Guo W, Xu Y. Thermal decomposition kinetics of natural fibers: Activation energy with dynamic thermogravimetric analysis. Polym. Degrad. Stabil. 2008;93:90–98. doi: 10.1016/j.polymdegradstab.2007.10.012. [DOI] [Google Scholar]
- 40.Hu H, Ying W, Fang D. Reaction and deactivation kinetics of methanol-to-olefins process based on a special TGA reactor. J. Nat. Gas. Chem. 2010;19:409–416. doi: 10.1016/S1003-9953(09)60097-9. [DOI] [Google Scholar]
- 41.Luo Q, He B, Liang M, Kong A, Li J. Continuous transesterification to produce biodiesel under HTCC/Na2SiO3/NWF composite catalytic membrane in flow-through membrane reactor. Fuel. 2017;197:51–57. doi: 10.1016/j.fuel.2016.12.089. [DOI] [Google Scholar]
Associated Data
This section collects any data citations, data availability statements, or supplementary materials included in this article.



