Abstract
Nitrate molten salts are extensively used for sensible heat storage in Concentrated Solar Power (CSP) plants and thermal energy storage (TES) systems. They are the most promising materials for latent heat storage applications. By combining classical molecular dynamics and differential scanning calorimetry experiments, we present a systematic study of all thermostatic, high temperature properties of pure KNO3 and NaNO3 salts and their eutectic and ”solar salt” mixtures, technologically relevant. We first study, in solid and liquid regimes, their mass densities, enthalpies, thermal expansion coefficients and isothermal compressibilities. We then analyze the cP and cV specific heats of the pure salts and of the liquid phase of the mixtures. Our theoretical results allow to resolve a long-standing experimental uncertainty about the cP(T) thermal behaviour of these systems. In particular, they revisit empirical laws on the cP(T) behaviour, extensively used at industrial level in the design of TES components employing the ”solar salt” as main storage material. Our findings, numerically precise and internally consistent, can be used as a reference for the development of innovative nanomaterials based on nitrate molten salts, crucial in technologies as CSP, waste heat recovery, and advanced adiabatic compressed air energy storage.
Introduction
Molten salts are the most used materials for thermal energy storage at high temperature. This is due to several physical properties that they exhibit, which are important in industrial applications related to energy. The first factor affecting the performance of a thermal energy storage (TES) system is the thermal stability of the materials used to store heat, i.e. the temperature interval where they are liquid. The thermal stability of nitrate molten salts (MNO3, M = alkali metal), allows the heat to be stored between ≈520 K and ≈890 K, an extended range of very high temperatures. This interval is typical for pure alkali nitrates (LiNO3, NaNO3, KNO3), while their mixtures show a lower freezing point (e.g. for the eutectic NaNO3-KNO3 mixture this is 495 K). This even larger thermal stability range fits the requirements of Concentrated Solar Power (CSP) plants which, as a consequence, use nitrate molten mixtures as a heat storage medium. By 2030, it is estimated a usage of ≈1.8 × 109 tons of nitrate mixtures in CSP plants1.
Despite this extensive use of molten salts in thermal energy management, many basic and challenging issues about these materials are still unresolved, both at the experimental and theoretical level. One crucial issue is the temperature dependence of cP(T) in their liquid phase, especially concerning nitrate molten mixtures. Experimentally, different dependencies have been found, from increasing, to constant, to decreasing with T2–7. For this reason, round robin tests have been launched within the scientific and technological communities8.
A technologically relevant nitrate mixture is the so called “solar salt”, which has a weight fraction composition given by and . Industrially, for this mixture the most used empirical equation for the mass density ρ(T), at atmospheric pressure and within 530–890 K, is the function ρ(T) = α − β T, where α = 2.09 and β = 0.0006369. The empirical relation used for the specific heat is the T-increasing function cP(T) = γ + δ T where γ = 1.443 and δ = 0.0001729 (the units of T, ρ(T) and cP(T) are K, g cm−3 and Jg−1 K−1, respectively). This last equation is the result of many experimental measurements and statistical analyses all based on the use of Differential Scanning Calorimetry (DSC)10,11. However, an increasing cP(T) behaviour is more typical of weakly interacting liquids12, while nitrates belong to the class of strongly interacting ones.
In this rather complex experimental scenario, systematic theoretical results about thermostatic properties of molten salts and their mixtures are largely missing, while results for enthalpy H(T) and cP(T) of pure salts have been reported in ref.13.
As mentioned, empirical equations represent a key factor in establishing TES performances and have been crucial in the design of state-of-the-art CSP plants built recently14. Thus, revisiting them theoretically has a potentially high technological impact. Here, the validity of the mentioned cp relation will be investigated in detail and critically reconsidered.
Clearly, improvements in the performances of storage systems, connected to the energy production and reduction of electricity costs (e.g., of CSP plants), heavily rely on the maximum optimization of the thermodynamic properties of well known and new salt-based mixtures15–19.
In this work, we perform an extensive theoretical analysis, based on classical molecular dynamics (MD), of the temperature behavior of the thermostatic properties of NaNO3, KNO3 and their mixtures, with emphasis on the thermal behaviour of the specific heats cP(T) and cV(T), technologically relevant especially for the mixtures. The results are first compared with our new DSC experiments and with previous measurements. Then, they are interpreted by establishing a link between the solid-state approach to collective vibrational modes in liquids20–23, and the more standard gas-like approach24,25.
Our analysis is devoted to (i) provide a theoretical characterization, both in the solid and liquid phases, of the thermostatic properties of nitrate molten salts; (ii) resolve the issues related to the cP(T) thermal behavior in the liquid phase of relevant salt mixtures; (iii) validate the MD model13 accuracy, for further studies about, e.g., nanofluids where the suspending medium are the nitrate salts studied here. The first two points are relevant for all the applications in the CSP technology and more generally in the field of renewable energy; the third, to develop an accurate theoretical framework able to study the thermodynamic properties of salt-based fluids for thermal energy storage15–19. Our calculations are supported by a self-consistency check on the precision of our numerical methodology, only possible thanks to the fact that all relevant thermostatic properties were investigated.
Results
We will first investigate the thermostatic properties of pure potassium and sodium nitrates, in their solid and liquid regimes. Next, we will analyze the eutectic and “solar” mixtures with the ultimate goal to characterize the thermal behaviour of the specific heats in the liquid phases. All properties and methods to calculate them are described in the Methods Sections (MS).
Potassium Nitrate KNO3
Melting temperature
In order to study via MD the KNO3 properties in a large temperature regime including various phases, the starting point is to locate the solid-to-liquid transition temperature TM, at P = 1 atm. We find , which is very close to the experimental value, K. This excellent agreement gives a first indication of the accuracy of the inter-atomic potentials used13.
Moreover, it is also the result of a MD procedure to locate TM, based on the temporal evolution of a two-phase system, as described in MS 1.4. The melting point is also reported in ref.13, where a different value (TM = 513 K ± 17 K) was obtained via a thermodynamic integration-based method.
By following our procedure, in Fig. 1 we show the evolution of the three Cartesian components of the mean squared displacement (msd) of K+ and at T = 590 K and T = 595 K. At T = 590 K (), the msd shows a typical solid-like constant behavior, while at T = 595 K (), a typical liquid-like behavior.
Figure 1.

Mean squared displacement (msd) of K+ and ions, as a function of the molecular dynamics (MD) time steps. Data are shown for two temperatures, T = 590 K and T = 595 K. They are, respectively, immediately below and above the calculated melting temperature = 592.5 K. Three cartesian components for each T are shown. At T = 590 K a typical solid-like constant behavior is evident, while at T = 595 K the plot exhibits a completely different, liquid-like behavior.
Mass density and thermal expansion coefficient
Experimentally, solid KNO3 shows three polymorphic forms at P = 1 atm26: a stable form at 299 K, denoted α-KNO3; a stable phase generated by heating at T = 403 K, β-KNO3; and a third, different metastable phase γ-KNO3 obtained by cooling down the system from high temperature, resulting from an alternative kinetic path.
As we aim to characterize the specific heats in various phases, we preliminary analyze the density ρ(T) and the enthalpy H(T) temperature behavior. The results are presented in Fig. 2. Focusing first on the solid phases between 273 K and ≈600 K, we find that by heating up the α-KNO3 phase from T = 273 K, the calculated density shows a strongly non-linear behavior in the range T = [273,400] K, Fig. 2(a). This indicates the formation of a new phase, corresponding to β-KNO3. By cooling down the latter from T = 450 K, the density is once again non-linear, but the γ-KNO3 phase is obtained at room temperature.
Figure 2.
(a) Density ρ(T), (b) thermal expansion coefficient α(T) and (c,d) enthalpy H(T) of KNO3. ρ(T) and H(T) are calculated within T = 273–750 K at P = 1 atm; α(T) is computed in the liquid regime. (d) is a zoom of (c) within 273–450 K. Black and green plots are MD results calculated in this work. Red and blue full symbols are experimental results (Exp-1: ref.36; Exp-2: ref.49; Exp-3: ref.27). Vertical dashed lines correspond to the α-KNO3 to β-KNO3 transition (at the experimental K), while full vertical lines indicate the melting transition (at ). In (a), the splitting of the two green and black plots in the region T ≈ [273, 345] K is due to the KNO3 polymorphism, where two phases are obtained depending on the kinetic path followed by the system. In (c), we show the overall entalphy behavior in all investigated phases. The two different sets of data (black and green symbols) are obtained to heating up and cooling down the system. Both are best fitted with 4th degree polynomials in the solid range, while in the liquid region we find a perfectly linear behavior. The inset in (d) shows that a lower enthalpy is associated to α-KNO3, which is more stable than γ-KNO3 at T = 273 K.
In the liquid region, the density ρ(T) is, instead, a linear function with a MD slope that coincides with the experimental one27. In this regime, our values confirm quantitatively the ones reported previously13. The slope, normalized by ρ(T), gives the thermal expansion coefficient α(T), shown in Fig. 2(b). The difference between experiment and theory in α(T) reflects only the difference in the corresponding values of the density, which is within 5% in the entire T-range investigated (at T = 293 K, ρ = 2.023 g cm−3, while ρexp = 2.101 g cm−3; at T ≈ 600 K, ρ = 1.8 g cm−3, while ρex = 1.867 g cm−3). A good agreement is also obtained for the volume change at the experimental melting point, TM = 607 K. At , the MD value is %, while the experimental change is %27. Again, these density results confirm the ability of the inter-atomic potentials13 in describing the experimental findings.
Enthalpy
We next calculate the enthalpy H(T) in the whole temperature interval. In Fig. 2(c,d), a non-linear T- behavior corresponding to the density one is found in the solid range. The two MD plots in Fig. 2(c) are obtained by heating up or cooling down the system, respectively (black and green symbols). The values at T = 273 K show that the stable phase is the α-KNO3 (Fig. 2(d) inset), while the metastable γ-KNO3 phase should transform into the former with time28. In the liquid phase we find the important result that our H(T) data are perfectly linear with the temperature. Finally, by extrapolating the solid and liquid H(T) to TM, the computed value for the melting enthalpy is , which is to be compared with the experimental value of 4.
Specific Heats
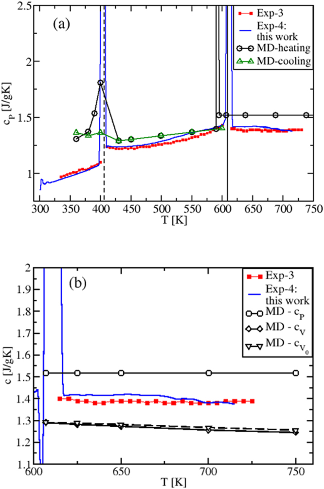
By performing the derivative of the MD enthalpy plots (fitting polynomials for H(T) were used), we now show the obtained specific heats (Fig. 3), and compare them with our experimental results and existing experiments4. The isobaric cP(T) is presented in Fig. 3(a). Remarkably, due to the H(T) non-linearity in the solid regime, the calculated cP shows a transition peak in correspondence of the solid-to-solid α-KNO3 → β-KNO3 transition (T ≈ 400 K)26 and, still in accordance with the experimental data, a slightly increasing behavior until the melting TM is reached. Importantly, Fig. 3(b) shows that in the whole temperature range of liquid stability cP has a constant value, Jg−1 K−1, in disagreement with previous theoretical results13.
Figure 3.

(a) Isobaric specific heat of KNO3, in the whole solid (at P = 1 atm) and liquid regimes investigated. In the solid phase, cP is calculated both when heating (black) and cooling (green) the system. A transition peak is shown in correspondence of the solid-to-solid α-KNO3 → β-KNO3 phase transition (T ≈ 400 K)26 when heating, in excellent agreement with the experiments. (b) Specific heats cP, cV and of KNO3 in the liquid T-range only. The simulated cP is found to be constant, while cV and are both decreasing with temperature. Exp-3: ref.4; Exp-4: this work.
Figure 3(b) also shows the MD predicted cV(T) and behaviors calculated, respectively, at constant (V) and at fixed volume (V0). The latter is chosen to be the volume immediately after the melting temperature29. As it is clear from the internal energy of the liquid state (Eq. (5), Sec. 1.2), the decrease is purely due to the smoothing and broadening of the peaks in the pair distribution functions gij(r), while in the cV(T) decrease there is the additional contribution from the variation of V(T, P = 1 atm), via the density ρ(T).
In the gas-like approach to liquids24,25, the gij(r) smoothing and broadening correspond to less defined coordination shells around given ions, from which they can more easily escape or jump at increased temperature. In the solid-state approach of refs20–23, they correspond to a shorter time between two consecutive ion jumps, known as the Frenkel time τF (and to a larger frequency ωF). This results in a temperature decrease of the number of transverse oscillating modes, which has been identified as the main cause of the decrease of 20–23.
Since cP(T) can be written as cP(T) = cV(T)(1 + γαT), where γ is the Grüneisen parameter and α is the coefficient of thermal expansion and since, typically, γ is almost T-independent30, it follows that cP(T) is the product of a temperature decreasing term, cV(T), and a temperature increasing term containing αT2,20. As a result, cP(T) must be less, or not at all sensitive to temperature changes, as we actually find. This behavior is also consistent with the experimental results found for molten alkali and alkali earth halides31 that, as KNO3, belong to the class of low viscosity ionic liquids. Previous cP(T) values13 differ from our results, since cP(T) was determined by considering, on the top of the MD interaction model, internal degrees of freedom contributions to the kinetic ideal term that are T-dependent13.
The overall agreement between experimental data and MD results in T = [400, 725] K is very good if compared to the accuracy found in the literature13, the difference being <8%. However, we note that the cP experimental data are in between the cP and cV theoretical results and show a slight tendency to decrease and oscillate with increasing T. This could be a consequence of experimental conditions closer to constant V than to constant P (sealed and small sample holder used in DSC experiments).
Isothermal compressibility
Our calculations reproduce correctly also the temperature dependence of the isothermal κT(T) in the liquid phase, Fig. 4. We evaluated κT(T) by using three different procedures, fully illustrated in Methods Section 1.3. The black plot stems from the relation κT = α2T/[ρ(cP − cV)]. The blue dot at T = 700 K is instead calculated via an alternative sequence of steps and the use of the equation κT = −V−1(∂〈V〉/∂P)T. Importantly, we can see that these data perfectly superpose. This represents a severe test to check our numerical precision and consistency, for all thermostatic quantities not directly obtainable as MD averages. We have a further confirmation of this consistency. After a suitable rescaling (MS, Eq. (9)) the blue dot value was reported in the inset of Fig. 4, together with the SNN(k) Bhatia-Thornton structure factors25,32,33, which we also calculated at T = 700 K. As it is well known25,32,33, we have the relation . In the inset, we see that, indeed, our SNN(k) curve tends to the right limit for small wave vectors k, approaching the rescaled κT that comes from a separate calculation. Also in this case the internal consistency is evident.
Figure 4.

Isothermal compressibility κT(T) of KNO3, calculated with three different methodologies. Exp: ref.50. The black plot is calculated from the relation κT = α2T/[ρ(cP − cV)]. The blue dot at T = 700 K is computed via an independent procedure and using κT = −V−1(∂〈V〉/∂P)T. The blue dot is on top of the first plot, highlighting our internal consistency. In the inset, we report the SNN(k) Bhatia-Thornton structure factors25,32,33 calculated at T = 700 K. The blue dot corresponds to the previous one. We see that SNN(k) tends to the right limit for small wave vectors k, approaching a κT (blue dot) coming from a completely different calculation, confirming the validity of our numerical procedures.
Sodium Nitrate NaNO3
We present now our results for NaNO3. To a large extent they exhibit similar features found in KNO3.
Melting temperature
The NaNO3 melting temperature is calculated to be , which is higher than the experimental value 26, but still in a reasonable agreement. ref.13 reports 591 ± 18 K.
Mass density and thermal expansion coefficient
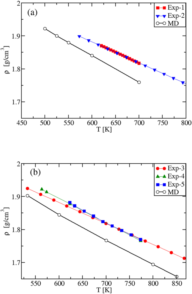
The mass density results are shown in Fig. 5(a). Also in this case, the experimental data in the solid range have a strong non-linear behavior, as in KNO3. In fact, at T = 433 K a second-order phase transition begins from the low temperature stable phase, denoted II-NaNO3, to the high temperature phase, I-NaNO334. The transition is complete at T = 544 K26, and it is due to the activation of the rotational degrees of freedom of the nitrate groups35. In this temperature range, the theory-experiment discrepancy is found to be less than 4% at T = 293 K (ρMD = 2.181 g cm−3, while ρexp = 2.257 g cm−3), and the strong non-linearity is also well reproduced. Also in this case our values confirm quantitatively the ones reported previously13. In the liquid phase, both the ρ(T) linear behavior and the set of experimental data are perfectly reproduced. However, we need to consider that in the liquid range, the experimental data refer to systems where, intrinsically, both sodium nitrates and nitrites are present (see ref.2 and references therein), while our MD results refer to pure NaNO3. Still, although this level of precision might be quite accidental, the interaction potentials used show to be, once more, highly accurate. This is also true for the liquid branch of the thermal expansion coefficient, shown in Fig. 5(b), where we see that the theoretical and experimental36 results essentially superpose.
Figure 5.
(a) Density ρ(T), (b) thermal expansion coefficient α(T) and (c) enthalpy H(T) of NaNO3. ρ(T) and H(T) are calculated in the full temperature range at P = 1 atm, α(T) in the liquid phase. Black and green plots with empty symbols are MD results calculated in this work. Full symbols are experimental results; Exp-1: ref.36; Exp-2: refs2,51; Exp-3: ref.27. In (a) and (c) vertical full lines indicate the experimental melting transition (), while shaded regions correspond to the second-order II-NaNO3 → I-NaNO3 phase transition (see text). The enthalpy MD results in the solid phase are fitted by a 4th degree polynomial, while those in the liquid phase by a linear T-function. In (b), the MD data superpose with Exp-1, while the difference with Exp-2 is around 2%.
Enthalpy
The enthalpy H(T) is reported in Fig. 5(c). As for the density, the enthalpy is non-linear in the solid phase and linear in the liquid region. By extrapolating the solid and liquid enthalpies to the experimental K, a value of J/g is obtained, in quantitative agreement with the experimental value, J/g2.
Specific Heats
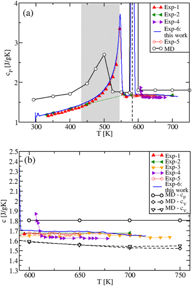
The cP values are shown in Fig. 6. In the solid phase, cP increases with T, and shows a peak in the same region where the second-order phase transition is experimentally observed26,34. This transition is also evident from the cP(T) increase observed in our DSC experimental data, also reported in the same Figure. In the liquid phase, cP(T), analogously to KNO3, has a constant value for all the investigated temperatures ( Jg−1 K−1), as shown in Fig. 6(a,b). Experimental cP(T) data are either constant, as the MD results, or exhibit a decreasing behavior. The comparison between our experimental and theoretical results show a difference of ≈7%. Instead, our MD cV(T) and show a decreasing behavior.
Figure 6.

(a) Specific heat of NaNO3 in the whole solid (at P = 1 atm) and liquid regime investigated. In the solid phase, cP increases with T and shows a peak in the same region where the second-order phase transition II-NaNO3 to I-NaNO3 is experimentally observed. The dashed vertical line corresponds to the experimental melting transition. (b) Specific heats cP and cV of NaNO3 in the liquid T-range only. As in KNO3, the simulated cP is found to be constant, while cV and are decreasing with temperature. Exp-1: ref.4; Exp-2: ref.7; Exp-3: ref.6; Exp-4: ref.52; Exp-5: ref.53.
Isothermal compressibility
Finally, as shown in Fig. 7, the T-behavior of the experimental isothermal compressibility κT(T) in the liquid regime is also well reproduced by our MD modeling. A similar self-consistency test as for KNO3, based on the use of three calculation procedures was performed for NaNO3. The test was successful, as shown by the coincidence of the black plot and the blue dot in Fig. 7 and by the correct behavior of the Bhatia-Thornton structure factors SNN(k), tending to κT at the k → 0 limit. Hence, all the considerations on accuracy and precision made for the KNO3 isothermal compressibility apply here too.
Figure 7.

(a) Isothermal compressibility κT(T) of NaNO3, calculated with three different methodologies, as in KNO3 (see Fig. 4 caption). Exp: ref.50. The black plot is calculated from the relation κT = α2T/[ρ(cP − cV)]. The blue dot at T = 700 K is computed via an independent procedure and using κT = −V−1(∂ 〈V〉/∂P)T. As in KNO3, the blue dot is on top of the first plot and the Bhatia-Thornton structure factors shown in the inset tend to κT in the k → 0 limit.
Eutectic and “Solar” Mixtures
Molten salt mixtures are technologically extremely relevant, especially when considered in their liquid phase. The characterization of their thermostatic properties is important not only for a fundamental understanding of the physics of ionic liquids at high temperature, but also for energy applications in any system containing a heat storage component. In this respect, it is also important the development of viable simulation methods to determine technological relevant binary and ternary molten salt eutectics37. In the following we will calculate, in the liquid phase only, the thermostatic properties of two relevant nitrate molten salt mixed systems: the eutectic and the “solar” mixture. Emphasis is given on the specific heats thermal behavior, where the available experiments still exhibit a high degree of controversy4–7.
The eutectic NaNO3-KNO3 mixture has the chemical composition Na0.5K0.5NO3. Due to the lower mass of Na, this corresponds to a 45.67% NaNO3–54.33% KNO3 weight percentage composition. The “solar salt” mixture has a higher content of Na, with a chemical composition of Na0.641K0.359NO3 and a weight percentage of 60% NaNO3–40% KNO3.
Mass densities
The density plots for both systems are shown in Fig. 8. The theory-experiment agreement is satisfactory. However, while for the pure salts the difference between experimental and modeling results is the same in the whole liquid phase, here the discrepancy increases as the temperature increases. This behavior could be related to the use of the Lorentz-– Berthelot approximation38 to describe the crossed interaction between Na+ and K+ particles, which is the only approximation introduced in passing from the pure components to the mixtures.
Figure 8.

(a) Density ρ(T) of (a) the eutectic mixture and (b) the “solar” mixture in the liquid phase; Exp-1: ref.54; Exp-2: ref.55; Exp-3: ref.9; Exp-4: ref.56; Exp-5: ref.57.
Specific heats
The specific heats of the mixtures are shown in Fig. 9(a,b). Importantly, we found again that the calculated values of cP are temperature independent. They are 1.673 Jg −1 K−1 and 1.704 Jg −1 K−1 for the eutectic and the “solar” mixture, respectively. The specific heat cV(T), instead, is predicted to be a decreasing function of T. As the simulations allow to compute the specific heats by keeping either the volume or the pressure strictly constant, we speculate that all the observed systematic discrepancy between the cP(T) experimental and MD results can be due to the fact that in DSC experiments aimed at measuring cP(T), the control of the experimental conditions is rather challenging, especially in the case of ionic liquids. For instance, inside the sealed sample holders partially filled by a small amount of sample, a very high and variable pressure can be generated, with the sample changing its volume as the temperature is changed. Ionic samples present extra difficulties due to the non-wetting of the sample holder surfaces. This complexity is reflected in the variety of cP(T) behaviors with temperature, as measured by DSC. As shown in Figs 3(b), 6(b) and 9(a,b), cP(T) is found to decrease, to be constant and to increase. Our MD results clarify, once for all, that working at constant pressure a constant value of cP(T) is produced, while at constant volume a decreasing cV(T) is predicted.
Figure 9.

(a) Specific heats cP and cV of the eutectic mixture in the liquid phase; Exp-1: this work. (b) Same as (a) but for the “solar” mixture. In this latter case, the experimental picture is rather complex, with decreasing/constant/increasing/oscillating behaviors of the specific heat with the temperature. Our calculated value for cP and cV are constant and decreasing, respectively. This is similar to what found in the pure salts. Note, in particular, that our calculations revisit empirical relations used industrially9, showing an increasing cP (turquoise left triangles). Exp-5: ref.6; Exp-6: ref.7; Exp-7: ref.4; Exp-8: ref.5; Exp-9: ref.6; Exp-10: this work.; Exp-11: ref.9; Exp-12: ref.19.
As a conclusion for technological applications, we then propose to reconsider the use of empirical equations showing a cP(T) temperature-dependent behavior for any molten K-Na nitrate mixture (see, e.g., the increasing cp(T) used industrially, Exp. 119 in Fig. 9(b)). We estimate that such a behavior, bringing, e.g., to a 5% overestimate of the real cp(T) value, corresponds to a loss of 0.75 h/day of electricity production in a CSP plant with a “solar” salt tank able to store energy for 15 h. On a yearly basis (and for a typical 50 MW plant), this traslates in the considerable loss of ≈12 GWh/year in the electricity production.
Due to the fact that the calculated cP values of the pure and mixed salts are T-independent, cP can be plotted against the weight fraction x of KNO3 present in the mixture. This is done in Fig. 10, where we see that by interpolating the calculated values of the four investigated compositions (pure NaNO3, eutectic, “solar salt” and pure KNO3), cP changes linearly. Although the experimental data in Fig. 10 refer to different temperatures, a linear behavior can be also identified. We then conclude that mixtures of KNO3 and NaNO3 behave as ideal mixtures. Thus, to determine the cP(x) of any mixture, no extra measurements or simulations are needed, as it is sufficient to consider a linear combination of the pure salts values with their respective weight fractions, i.e. .
Figure 10.

Specific heat cP(x) of as a function of the KNO3 weight fraction x (black plot). The vertical dashed line corresponds to the “solar” mixture, the plain to the eutectic. Dashed plots are linear interpolations of the experimental results; Exp-1: ref.58; Exp-2: ref.7; Exp-3: this work. Due to their T-dependence, all experimental values refer to averaged T values.
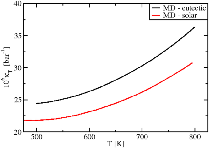
Isothermal compressibility
The MD values of the isothermal compressibility κT(T) are reported in Fig. 11. These data are the first prediction appearing in literature. By considering the accuracy of the MD results for the pure salts, highlighted in previous sections, they can be used as reference for further studies, both experimental and theoretical.
Figure 11.

MD predicted isothermal compressibility, κT(T), for the eutectic and “solar” mixtures.
Discussion
In this work, by combining classical molecular dynamics (MD) simulations and differential scanning calorimetry (DSC) experiments, we investigated the thermostatic properties of nitrate molten salts, technologically relevant materials for thermal energy storage applications. We focussed, in particular, on the thermal behavior of the specific heats of KNO3, NaNO3 and their eutectic and “solar” mixture, the latter known as “solar salt”. The motivation of our work is twofold: First, to the best of our knowledge, theoretical calculations about the thermostatic properties in the solid and liquid phase of these materials are largely missing. Second, there is a general lack of consensus about the experimentally measured specific heats as a function of temperature, especially for what concerns cP in the liquid phases.
To address these issues, we first computed the mass density, the enthalpy and the thermal expansion coefficient of pure nitrate salts, as a function of temperature. Moreover, we calculated the melting transition temperature TM and the enthalpy and the volume changes at TM. We obtained an accurate theoretical description, reproducing quantitatively the available experimental data. This allowed to reproduce several non-trivial features of solid-solid and solid-liquid phase transitions in the case of the pure salts.
Next, we characterized the specific heats in the pure salts, and, due to their technological relevance, in the mixtures. For all investigated liquid systems, we found a constant value of cP(T), while cV(T) is weakly decreasing with temperature.
Finally, we calculated the isothermal compressibility κT(T), encompassing other thermostatic properties, in excellent agreement with the experiment. This fact, together with a careful, self-consistency check based on three independent procedures to calculate this quantity, fully validates our MD numerical scheme. Thus, we expect that our results for the eutectic and “solar” mixtures have the same degree of accuracy.
The constant value of cP(T) in the liquid regime clarifies a complex experimental picture, especially in the case of the “solar” mixture, where more experimental data are available. In view of this, for this material we suggest to reconsider the empirical T-increasing function cP(T) = γ + δ T, used in the design of thermal energy storage components.
For the eutectic and “solar” salt our results also allow to say that these materials behave as ideal mixtures, i.e. the cP of any mixture can be obtained from the cP of the pure salts only.
We believe that our results are of general validity and not limited to the class of nitrate molten salts. They confirm many temperature trends observed in the thermostatic properties of strongly interacting liquids (e.g the condensed phases of alkali halides31). They provide guidelines for researchers who perform experiments on the development of salt-based fluids for thermal energy storage. These include bulk nanomaterials and colloidal suspensions in ionic compounds.
Future studies will require theoretical reference data and validated models about basic materials that compose more complex nanomaterials, as the ones provided in this work.
Methods
Computational Methods
The used classical MD model is based on a version of the Fumi and Tosi pair interaction potential39,40, i.e. the Buckingham potential, superimposed to a Coulomb potential. The inter-atomic parameters of the Buckingham potentials are taken from S. Jayaraman et al.13. This parametrization has been chosen because: (i) it reproduces the liquid and crystal phase densities of the pure KNO3 and NaNO3 within 4% of the experimental data13; (ii) it reproduces the MD partial pair distribution functions, gij(r), of the pure NaNO3 evaluated by A.K. Adya et al.41 with a Born-Mayer-Huggins type of interaction potential. The latter reproduces the experimental structure factor extracted from the measured X-ray diffraction intensity41. No further refinements of the interaction parameters, and no other approximations beyond the Lorentz– Berthelot approximation38, needed for the cross interaction parameters in the mixture case, are made. The model is sufficiently accurate for the purposes of the present study. Simulations have been performed with the LAMMPS code42,43. Initial solid configurations are taken from ref.13. The NaNO3 initial solid configuration at T = 293 K corresponds to the rhombohedral group with Z = 6, a = 5.070 Å, c = 16.82 Å. The KNO3 initial solid configuration at T = 293 K corresponds to the orthorhombic Cmc2 group with Z = 16, a = 10.825 Å, b = 18.351 Å, c = 6.435 Å. The initial liquid configurations have been generated with the PACKMOL package44. To study the pure salts, systems with 600 cations and 600 ions, for a total of 3000 particles, were constructed. To study the mixtures, 600 ions have been used while the cation numbers were 300 Na+ and 300 K+ for the equimolar mixture, and 384 Na+ and 216 K+ for the solar mixture. A time-step of 1 fs has been used. Systems were equilibrated using 106 time-steps and run with further 106 − 2 × 106 time-steps. For the solid (liquid) systems, equilibrated configurations at the lowest (highest) studied temperature were used as input for the closest next higher (lower) temperature. Other relevant parameters used are: Nosé-Hoover barostat time constant 0.5 ps; Nosé-Hoover thermostat time constant 0.1 ps; Buckingham and Coulomb interaction cutoff distance rc = 12 Å for systems with K+ ions, and rc = 11 Å for other cases; long-range force calculation accuracy 10−4. Production runs in NPT simulations were considered suitable for analysis only when the averaged equilibrated pressure was within 〈P〉 = 1 ± 1 atm. Within this range, the change in the averaged 〈H〉 is .
Thermodynamic Properties
Thermodynamically, the specific heats cV and cP are defined as:
| 1 |
| 2 |
where E is the internal energy, H the enthalpy and N the mole number, which is kept constant. These quantities are linked by the relation:
| 3 |
where α = V−1(∂V/∂T)P is the coefficient of thermal expansion, ρ = N/V is the density and κT = −V−1(∂V/∂P)T the isothermal compressibility. Eq. (3) can be also written in the form:
| 4 |
were the Grüneisen parameter, γ = α/(ρκTcV), is introduced. Typically, γ ≈ 1 and it is almost T-independent30.
In the NVT ensemble, the internal energy E in Eq. (1) is expressed by the relation:
| 5 |
where x indicates the number fraction and gij(T, r) the ij pair distribution function. If in the considered T-range all the kinetic degrees of freedom are activated, EKin is a linear function of T giving a constant term contribution to cV(T). Then the temperature contribution to cV(T) only arises from the T-dependence of the density ρ and of the pair distribution functions gij(r) appearing in the EPot term. To separate the temperature effects of these two quantities, two sets of simulations have been conducted. In the first set, a liquid density ρ0, chosen at a density close to the freezing point, is kept fixed for all the investigated T; in the second set, the ρ(T) values obtained from the NPT equilibration run are used.
Simulation Methods and Self-Consistent Check
To calculate the specific heats and other thermostatic properties in the liquid phase, the simulation is performed by a step-by-step cooling procedure. First, we worked in the NPT ensemble. Starting from a random distribution of particles44, the system is equilibrated at the highest temperature, usually the experimental decomposition temperature where the salt molecules break. The temperature is then decreased, and the equilibrated configuration of the previous T-step is used as a starting configuration for the next T. All equilibrated configurations are used to perform production runs and data analysis. When necessary, these NPT configurations are used as input for NVT ensemble simulations.
As for the specific heats, there are several ways to determine them from ensemble averages of MD trajectories38. In this work, the direct evaluation via the relations
| 6 |
is preferred due to its stability and reliability. Their evaluation is functional to a scheme aimed at the determination of all thermostatic properties. Moreover, a final self-consistency check is performed.
In detail:
Fix the pressure, P = 1 atm, and the number of moles N.
Perform NPT simulations for a set of temperatures T.
Extract the functions: V(T), ρ(T), α(T) = V−1(∂ 〈V〉/∂T)P, H(T) and cP(T) from Eq. (6).
For each value V(Ti) perform four NVT simulations at temperatures Ti ± ΔT and Ti ± 2ΔT.
Extract cV(Ti) from Eq. (6), via a four-point differentiation relation of the total energy E(T)45.
Repeat the previous point for a set of temperatures and obtain the function cV(T).
-
Calculate the isothermal compressibility κT, via three different procedures. First, for each Ti perform a set of NPT simulations in the pressure interval P ∈ [1, 600] atm. Use the equation
7 to extract κT(Ti) from a linear differentiation.
Repeat the previous point for a set of temperatures and obtain the function κT(T).
- Self-consistency check:
-
Compare the κT(T) values from step 8 with a second set of values, from the equation
8 where α(T), ρ(T) and cP(T) are obtained from step 3, and cV(T) from step 6. - Evaluate the percentage difference of κT calculated in the two ways. This difference is a severe test for: (i) the achievement of equilibrated MD configurations (slope of the equilibrated energy functions 〈10−8 ÷ 10−9); (ii) the numerical precision of the procedures to determine cP, cV, α, and κT itself.
-
| 9 |
where
| 10 |
In these equations, ρN is the number density and are Fourier transform of the cation and anion pair correlation functions hαβ(r) = gαβ(r) − 1. Here, the pair distribution functions gαβ(r) are obtained from the NVT averages . This calculation of κT through microscopic structural quantities, is a further check of the overall numerical scheme precision.
Calculations in the solid phase follow the same lines sketched for the liquid phase. The only difference is in the sequence of the MD runs, as in this case, in general, the simulations at constant pressure were performed as a step-by-step heating procedure. As for KNO3, we additionally adopted a step-by-step cooling procedure. In the initial configuration at the lowest temperature (T = 300 K), we considered the energetically stable crystallographic configuration at that temperature13,26.
Method to Simulate the Melting Transition Temperature
To calculate the solid-to-liquid transition temperature TM, we adopted an approach based on the direct simulation of a two-phases coexistence, with an explicit interface (Fig. 12). This approach has proven to be robust and reliable for systems of large size in particle number46–48. Figure 12(a) shows a system with solid and liquid phases, previously (and separately) equilibrated at a temperature close to the expected TM. By performing a simulation at , the interface will move in order to suppress the solid phase (Fig. 12(b), upper panel), while at TS < TM, the interface will move in order to suppress the liquid phase (Fig. 12(b), lower panel). The evolution of the two-phase system towards either the liquid or the solid phase is shown in Fig. 12(c). Here the mean squared displacement (msd) of the atoms is plotted as a function of the MD time steps. The solid will be characterized by a zero slope and the liquid by a slope related to the liquid self-diffusion constant. The change in slope for increasing time steps will characterize the two-to-one phase transition, in both cases. After having chosen a suitable temperature interval (which must include TM), the procedure to obtain the transition temperature consists in starting from the configuration in Fig. 12(a) and performing a set of simulations by slowly decreasing (increasing) TL (TS) until the difference ΔT = TL − TS is small enough. In our simulations we chose ΔT ≈ 5 K, as smaller values make our results unstable and strongly dependent on the coupling rates with the thermostat and the barostat. This small value defines the accuracy of the calculated melting temperature, TM = (TL + TS)/2. This approach will also allow to calculate the volume and enthalpy changes at the transition, respectively ΔVM = VL(TM + ΔT/2) − VS(TM − ΔT/2) and ΔHM = HL(TM + ΔT/2) − HS(TM − ΔT/2).
Figure 12.
Procedure to calculate the solid-to-liquid transition temperature TM by simulating the temporal evolution of a two-phase system. (a) System where the two phases coexist. (b) Depending whether the simulation temperature is or , the system will evolve, respectively, either towards a solid phase (lower configuration) or a liquid phase (upper configuration). (c) Mean squared displacement (msd) as a function of the MD time steps: a zero, constant or changing slope indicates, respectively, a solid phase, a liquid phase and an evolving phase towards one of them.
Experimental
For the four investigated systems, we have performed a set of differential scanning calorimetry measurements (DSC). High purity sodium nitrate and potassium nitrate were provided by Sigma Aldrich and the salts were used without any further purification for the present study. In order to remove the final traces of moisture, the samples were heated at 293 K with a heating plate located inside a globe box, and then the samples were encapsulated using hermetic Tzero aluminium lids and pans at argon atmosphere. Pure salt, standard sapphire and a reference (only the Al crucible) were hermetically sealed at argon atmosphere. The sapphire and the samples weights were measured by using a microbalance to 4 decimals in milligram (Mettles Toledo. X6TU Model). The specific heat values of all the samples were measured by using modulated differential scanning calorimeter (MDSC) (TA instruments, Q2000) with specific heating program. The encapsulated samples were heated at 723 K and kept isothermal for 10 minutes (to stabilize the heat flux signal). Before that, Tzero heat flow was implemented at this temperature and the sample was equilibrated at 298 K and then ±1 K was executed every 120 seconds and stay again isothermal for 10 minutes. Finally, 2 K/min heat ramp was implemented till reach at 723 K.
Data availability
The datasets generated during and/or analyzed during the current study are available from the corresponding author on reasonable request.
Acknowledgements
This work is dedicated to the memory of Prof. Sandro Massidda. Via our membership of the UK’s HPC Materials Chemistry Consortium, which is funded by EPSRC (EP/L000202), this work used the ARCHER UK National Supercomputing Service (http://www.archer.ac.uk). Nithiyanantham Udayashankar is acknowledged for experimental suggestions and useful discussions.
Author Contributions
B.DA. conceived and performed the theoretical calculations, which have been extensively discussed with A.F. M.K. and N.G. conducted the experiments. B.DA. and A.F. analyzed the results and wrote the manuscript.
Competing Interests
The authors declare no competing interests.
Footnotes
Publisher's note: Springer Nature remains neutral with regard to jurisdictional claims in published maps and institutional affiliations.
Contributor Information
B. D’Aguanno, Email: bruno.daguanno@protonmail.com
M. Karthik, Email: mkarthik@project.arci.res.in
A. Floris, Email: afloris@lincoln.ac.uk
References
- 1.International Energy Agency, Technology Roadmap Solar Thermal Electricity, 2014 edition, OECD/IEA (2014).
- 2.Bauer T, Laing D, Tamme R. Characterization of Sodium Nitrate as Phase Change Material. Int. J. Thermophys. 2012;33:91–104. doi: 10.1007/s10765-011-1113-9. [DOI] [Google Scholar]
- 3.Bauer, T., Laing, D., Kroner, U. & Tamme, R. Sodium nitrate for high temperature latent heat storage. The 11th international conference on thermal energy storage. Effstock Stockholm, Sweden, (2009).
- 4.Takahashi Y, Sakamoto R, Kamimoto M. Heat Capacities and Latent Heats of LiNO3, NaNO3, and KNO3. International Journal of Thermophysics. 1988;9(6):1081–1090. doi: 10.1007/BF01133275. [DOI] [Google Scholar]
- 5.Bradshaw, R. W. & Carling, R. W. A review of the chemical and physical properties of molten alkali nitrate salts and their effect on materials used for solar central receivers. Report SAND87-8005; Sandia National Laboratories: Albuquerque, New Mexico, USA (1987).
- 6.Carling RW. Heat capacities of NaNO3 and KNO3 from 350 to 800 K. Thermochim. Acta. 1983;60:265–275. doi: 10.1016/0040-6031(83)80248-2. [DOI] [Google Scholar]
- 7.Rogers DJ, Janz GJ. Melting-crystallization and premelting properties of sodium nitrate-potassium nitrate. Enthalpies and heat capacities. J. Chem. Eng. Data. 1982;27:424–428. doi: 10.1021/je00030a017. [DOI] [Google Scholar]
- 8.Muñoz-Sánchez, B. et al. Round Robin Test on the Measurement of the Specific Heat of Solar Salt. International Conference on Concentrating Solar Power and Chemical Energy Systems, SolarPACES 2016, Abu Dhabi, United Arab Emirates, http://elib.dlr.de/108923 (2016).
- 9.Zavoico, A. B. Solar Power Tower Design Basis Document. SAND2001-2100, Technical Report July, Sandia National Laboratories (2001).
- 10.Wunderlich, B. Thermal Analysis. New York: Academic Press. 137–140, (1990).
- 11.Pungor, E. A Practical Guide to Instrumental Analysis. Florida: Boca Raton. pp. 181–191, (1995).
- 12.Vélez C, Khayet M, Ortiz de Zárate JM. Temperature-dependent thermal properties of solid/liquid phase change even-numbered n-alkanes: n-Hexadecane, n-octadecane and n-eicosane. Applied Energy. 2015;143:383–394. doi: 10.1016/j.apenergy.2015.01.054. [DOI] [Google Scholar]
- 13.Jayaraman S, Thompson AP, von Lilienfeld OA, Maginn EJ. Molecular Simulation of the Thermal and Transport Properties of Three Alkali Nitrate Salts. Ind. Eng. Chem. Res. 2010;49(2):559–571. doi: 10.1021/ie9007216. [DOI] [Google Scholar]
- 14.Liu M, Saman W, Bruno F. Review on storage materials and thermal performance enhancement techniques for high temperature phase change thermal storage systems. Renewable and Sustainable Energy Reviews. 2012;16(4):2118–2132. doi: 10.1016/j.rser.2012.01.020. [DOI] [Google Scholar]
- 15.Arthur O, Karim MA. An investigation into the thermophysical and rheological properties of nanofluids for solar thermal applications. Renewable and Sustainable Energy Reviews. 2016;55(C):739–755. doi: 10.1016/j.rser.2015.10.065. [DOI] [Google Scholar]
- 16.Shin D, Banerjee D. Specific heat of nanofluids synthesized by dispersing alumina nanoparticles in alkali salt eutectic. International Journal of Heat and Mass Transfer. 2014;74(C):210–214. doi: 10.1016/j.ijheatmasstransfer.2014.02.066. [DOI] [Google Scholar]
- 17.Chieruzzi M, Cerritelli GF, Miliozzi A, Kenny JM. Effect of nanoparticles on heat capacity of nanofluids based on molten salts as PCM for thermal energy storage. Nanoscale Research Letters. 2013;8:448. doi: 10.1186/1556-276X-8-448. [DOI] [PMC free article] [PubMed] [Google Scholar]
- 18.Shin D, Banerjee D. Enhanced Specific Heat Capacity of Nanomaterials Synthesized by Dispersing Silica Nanoparticles in Eutectic Mixtures. J. of Heat Transfer. 2013;135(3):032801–032808. doi: 10.1115/1.4005163. [DOI] [Google Scholar]
- 19.Lu M-C, Huang C-H. Specific heat capacity of molten salt-based alumina nanofluid. Nanoscale Research Letters. 2013;8:292. doi: 10.1186/1556-276X-8-292. [DOI] [PMC free article] [PubMed] [Google Scholar]
- 20.Bolmatov D, Trachenko K. Liquid heat capacity in the approach from the solid state: Anharmonic theory. Phys. Rev. B. 2011;84:054106. doi: 10.1103/PhysRevB.84.054106. [DOI] [Google Scholar]
- 21.Trachenko K, Brazhkin VV. Collective modes and thermodynamics of the liquid state. Rep. Prog. Phys. 2016;79:016502. doi: 10.1088/0034-4885/79/1/016502. [DOI] [PubMed] [Google Scholar]
- 22.Bolmatov D, Brazhkin VV, Trachenko K. The phonon theory of liquid thermodynamics. Sci. Rep. 2012;2:421. doi: 10.1038/srep00421. [DOI] [PMC free article] [PubMed] [Google Scholar]
- 23.Yang C, Dove MT, Brazhkin VV, Trachenko K. Emergence and evolution of k-gap in spectra of liquid and supercritical states. Phys. Rev. Lett. 2017;118:215502. doi: 10.1103/PhysRevLett.118.215502. [DOI] [PubMed] [Google Scholar]
- 24.Hansen, J. P. & McDonald, I. R. Theory of Simple Liquids, Elsevier Ltd., (2013).
- 25.March, N. H. & Tosi, M. P. Atomic Dynamics in Liquids, MacMillan Press Ltd, (1976).
- 26.Vilau, R. B., Growth, Morphology and Solid State Miscibility of Alkali Nitrates, PhD Thesis, Supervised by: Cuevas-Diarte, M.A., Universitat de Barcelona (2013).
- 27.Janz, G.J. Molten Salts Handbook, Academic Press (1967).
- 28.Tuech J, Combet S. Étude Thermodynamique des Solutions Aqueuses de Nitrate de Potassium Jusq’Au de la Saturation. III - Cas de Cristallisation en Deux Étapes en Solution Sursaturée. J. Chim. Phys. 1977;74:137–142. doi: 10.1051/jcp/1977740137. [DOI] [Google Scholar]
- 29.Forsblom M, Grimvall G. Heat capacity of liquid Al: Molecular dynamics simulations. Phys. Rev. B. 2005;72:132204. doi: 10.1103/PhysRevB.72.132204. [DOI] [Google Scholar]
- 30.Anderson, L. Equations of State of Solids for Geophysics and Ceramic Science, New York, Oxford, Oxford University Press, (1995).
- 31.NIST C WebBook, SRD 69, http://webbook.nist.gov/chemistry/.
- 32.Bhatia AB, Thornton DE. Structural Aspects of the Electrical Resistivity of Binary Alloys. Phys. Rev. B. 1970;2:3004. doi: 10.1103/PhysRevB.2.3004. [DOI] [Google Scholar]
- 33.Strigari L, Rovere M, D’Aguanno B. Theory of gas– gas phase transition in rare gas binary mixtures. J. Chem. Phys. 1996;105:2020. doi: 10.1063/1.472070. [DOI] [Google Scholar]
- 34.Fermor JH, Kjekshus A. On the Elecrical Properties of NaNO3. Acta Chem. Scand. 1968;22:1628–1636. doi: 10.3891/acta.chem.scand.22-1628. [DOI] [Google Scholar]
- 35.Rao, C. N. R., Prakash, B. & Natarajan, M. Crystal Structure Transformations in Inorganic Nitrites, Nitrates and Carbonates, National Standard Reference Data System, National Bureau of Standards (1975).
- 36.Janz GJ. Molten salt data as reference standards for density, surface tension, viscosity and electrical conductance: KNO3 and NaCl. J. Phys. Chem. Ref. Data. 1980;9(4):791. doi: 10.1063/1.555634. [DOI] [Google Scholar]
- 37.Jayaraman S, Thompson AP, von Lilienfeld OA. Molten salt eutectics from atomistic simulations. Phys. Rev. E. 2011;84(R):030201. doi: 10.1103/PhysRevE.84.030201. [DOI] [PubMed] [Google Scholar]
- 38.Allen, M. P. & Tildesley, D. J. Computer Simulation of Liquids, Clarendon Press, Oxford (1991).
- 39.Fumi FG, Tosi MP. J. Phys. Chem. Solids. 1964;25:31. doi: 10.1016/0022-3697(64)90159-3. [DOI] [Google Scholar]
- 40.Fumi FG, Tosi MP. J. Phys. Chem. Solids. 1964;25:45. doi: 10.1016/0022-3697(64)90159-3. [DOI] [Google Scholar]
- 41.Adya AK, Takagi R, Kawamura K, Mikami M. Structural determination of molten NaNO3, NaNO2 and their eutectic mixture by molecular dynamics simulation and X-ray diffraction. Molecular Physics. 1987;62:227–238. doi: 10.1080/00268978700102161. [DOI] [Google Scholar]
- 42.Plimpton SJ. Fast parallel algorithm for short-rang molecular dynamics. J. Comp. Phys. 1995;117:1. doi: 10.1006/jcph.1995.1039. [DOI] [Google Scholar]
- 43.LAMMPS website: http://lammps.sandia.gov.
- 44.MartÃnez L, Andrade R, Birgin EG, MartÃnez JM. Packmol: A package for building initial configurations for molecular dynamics simulations. Journal of Computational Chemistry. 2009;30(13):2157–2164. doi: 10.1002/jcc.21224. [DOI] [PubMed] [Google Scholar]
- 45.Abramowitz, M. & Stegun, I. A. Handbook of Mathematical Functions, Dover Publications, New York (1972).
- 46.Morris JR, Song X. The melting lines of model systems calculated from coexistence simulation. J. Chem. Phys. 2002;116:9352. doi: 10.1063/1.1474581. [DOI] [Google Scholar]
- 47.Morris JR, Wang CZ, Ho KM, Can CT. Melting line of aluminum from simulations of coexisting phases. Phys. rev B. 1994;49:3109. doi: 10.1103/PhysRevB.49.3109. [DOI] [PubMed] [Google Scholar]
- 48.Belonoshko AB, Ahuja R, Johansson B. Quasi -Ab Initio Molecular Dynamic Study of Fe Melting. Phys. Rev. Lett. 2000;84:3638. doi: 10.1103/PhysRevLett.84.3638. [DOI] [PubMed] [Google Scholar]
- 49.Wang, T. High Thermal Energy Storage Density Molten Salts for Parabolic Trough Solar Power Generation, Thesis, The University of Alabama (2011).
- 50.Barton, A. F. M., Hills, G. J., Fray, O. J. & Tomlinson, J. W. High-pressure densities of molten alkali metal nitrates: compressibilities of sodium nitrate and potassium nitrate. In High Temperatures - High Pressures Vol. 2, pp. 437–452, (1970).
- 51.Tufeu R, Petitet JP, Denielou L, Le Neindre B. Experimental determination of the thermal conductivity of molten pure salts and salt mixtures. Int. J. Thermophys. 1985;6(4):315–330. doi: 10.1007/BF00500266. [DOI] [Google Scholar]
- 52.Jriri T, Rogez J, Bergman C, Mathieu JC. Thermodynamic study of the condensed phases of NaNO3, KNO3, and CsNO3, and their transitions. Thermochim. Acta. 1995;266:147. doi: 10.1016/0040-6031(95)02337-2. [DOI] [Google Scholar]
- 53.Ichikawa K, Matsumoto T. Bull. Chem. Soc. Jpn. 1983;56:2093–2100. doi: 10.1246/bcsj.56.2093. [DOI] [Google Scholar]
- 54.Janz, G. J., Allen, C. B., Bansal, N. P., Murphy, R. M. & Tomkins, R. P. T. Physical Properties Data Compilations Relevant to Energy Storage. II. Molten Salts: Data on Single and Multi-Component Salt Systems, NSRDS-NBS 61, Part 2 (1979).
- 55.Nissen DA. Thermophysical Properties of the Equimolar Mixture NaNO3-KNO3, from 300 to 600 K. J. Chem. Eng. Data. 1982;27:269–273. doi: 10.1021/je00029a012. [DOI] [Google Scholar]
- 56.Murgulescu IG, Zuca S. Electrochim. Acta. 1969;14:519–526. doi: 10.1016/0013-4686(69)87037-4. [DOI] [Google Scholar]
- 57.Polyakov, V. D., Beruli, V. D., Izv. Sekt. Fiz.-Khim. Anal., Inst. Obshch. Neorg. Khim. & Akad. Nauk SS SR, 26, 164–172 (1955).
- 58.Kawakami, M., Suzuki, K., Yokoyama, S. & Takenala, T. Heat capacity measurement of molten NaNO3-NaNO3-KNO3 by drop calorimetry, VII International Conference on Molten Slags Fluxes and Salts, The South African Institute of Mining and Metallurgy (2004).
Associated Data
This section collects any data citations, data availability statements, or supplementary materials included in this article.
Data Availability Statement
The datasets generated during and/or analyzed during the current study are available from the corresponding author on reasonable request.



