Abstract
The Zeroth Law implies that the three systems, each separately in equilibrium and having the same temperature, must remain so when brought in pairwise or simultaneous thermal contact with each other. We examine numerically the conformity of the logarithmic thermostat with the Zeroth Law of thermodynamics. Three specific scenarios, with different heat reservoirs, are investigated. For each scenario, the system of interest, S1 – a single harmonic oscillator, is coupled with two heat reservoirs, S2 and S3. S2 and S3 are variously chosen to be from the Nosé-Hoover, the Hoover-Holian, the C1,2 and the logarithmic thermostats. In the scenarios involving logarithmic thermostat, we observe a violation of the Zeroth Law of thermodynamics, in computationally achievable time, at low to moderate coupling strengths: (i) the kinetic and configurational temperatures of the systems are different, (ii) momentum distribution of log thermostat is non-Gaussian, and (iii) a temperature gradient is created between the kinetic and configurational variables of the log thermostat.
Introduction
The Zeroth Law of thermodynamics defines an equivalence relation for systems in mutual thermal equilibrium, rendering possible the calibration of thermometers and the measurement of temperature1,2. Let the condition of thermal equilibrium between two systems, S1 and S2, be given by the unique relation where is the complete set of thermodynamic variables necessary to define the equilibrium state of system J(J = 1, 2, 3). The Zeroth Law states that3
| 1 |
This transitivity of thermal equilibrium helps establish a common temperature of the three systems and forms the basis of thermometry.
The universality of the Zeroth Law has made it a prerequisite for understanding thermodynamics in the context of both classical and statistical framework. Within the statistical framework, it plays a defining role in deriving the canonical distribution in both the traditional (Gibbs’) treament4 as well as the informational theoretic approach5. To make the last statement more clear, consider an isolated system comprising of two subsystems, denoted by subscripts 1 and 2. Let the energy of two subsystems be: E1 and E2. Let the corresponding entropy be and . In canonical ensemble, one maximizes the total entropy under the constraint that total energy of the isolated system is constant i.e.:
| 2 |
While writing these equations, we have assumed that the interaction energy between the two systems is small enough to be neglected. Taking the total differentials of the two6 we get:
| 3 |
Dividing the two equations we get . This situation can be generalized to a case where there are N subsystems within the system. The fact that the entire system is in equilibrium implies that the subsystems are also in equilibrium with each other. Zeroth law enables the partition of the space of thermodynamic states of the subsystems into classes of equivalence. These classes are defined as isotherms, each of which is associated with a unique “empirical temperature”, T7. Thus, although mutual thermal equilibrium is a prerequisite for the Zeroth Law, the thermodynamic definition of temperature relies on the Zeroth Law of thermodynamics as empirical temperature is defined through it.
In Jaynes’ informational theoretic approach, the Zeroth Law comes into picture through the Lagrangian multiplier associated with the average energy constraint5,6,8 and is solved by invoking the argument that the temperature of S1 is the same as S2 Interested readers are referred to5 for more details. It has recently been shown that an initially nonequilibrium system in contact with a heat bath moves, on an average, towards equilibrium, suggesting the validity of the Zeroth (as well as the Second) Law of thermodynamics for thermostatted molecular dynamics9.
As is evident from the discussion so far, the Zeroth Law is intrinsically connected to heat reservoirs. An ideal heat reservoir possesses infinite heat capacity so that the energy transferred by the reservoir does not alter its temperature. Such a reservoir is usually assumed to be extremely large. Despite recent advances in computing, we still lack the ability of simulating a system beyond a few billion particles whereas even a mole comprises of 1023 particles. In order to get around this limitation, computational models utilize synthetic techniques, called thermostat algorithms, in order to capture the essence of ideal heat reservoirs In simple terms, thermostat algorithms10–16, are mathematical constructs to mimic ideal heat reservoirs so that energy exchange processes occurring in real systems may be studied computationally. Regardless of being deterministic or stochastic, the thermostats, when coupled with a system must ensure a constant temperature environment for the system as they play the role of a heat-bath1,17–20. However, simply ensuring constant temperature computationally does not guarantee that these algorithms will not violate established thermodynamic principles. In fact, the merit of a good temperature control algorithm should not only be determined by how well it controls the temperature but also whether it conforms to different thermodynamic and dynamical-systems principles21. In this context, the Zeroth Law of thermodynamics is amongst the most fundamental principles of thermodynamics that must be satisfied.
Beginning with conceptually simple velocity rescaling techniques10, where velocities are scaled to obtain the desired temperature, we now have several stochastic11,22 and deterministic13–16,23 algorithms that can sample the dynamics from correct equilibrium distributions while satisfying different thermodynamic properties. These algorithms control either the kinetic temperature13–15 defined by,
| 4 |
or the configurational22–24 temperature defined by,
| 5 |
or both of them together16. Here, Φ(.) denotes the potential energy of the system and ▽ is the gradient operation with respect to the phase-space variables. The control is typically achieved by modifying the Hamiltonian, or equivalently the Newtonian, evolution equations in different ways. However, most of these modifications come with a price – the Hamiltonian formalism is lost. A breakthrough has been provided recently25,26 which is the subject of this paper: the logarithmic thermostat with an infinite heat capacity has a Hamiltonian basis. In the present work, we analyze the compatibility of the logarithmic thermostat with the Zeroth Law of thermodynamics.
In the next section, details of the logarithmic thermostat are presented, followed by a brief description of the different non-ergodic and ergodic thermostats employed in the present study. The subsequent sections detail the methodology employed in this study, and the main conclusions drawn from it.
The logarithmic Thermostat
The logarithmic thermostat, also known as the log oscillator or the log thermostat, is a deterministic thermostat that controls the kinetic temperature, (4), of the system. The name arises due to the logarithmic nature of its Hamiltonian:
| 6 |
where, s and ps denote, respectively, the position and velocity of the thermostat with mass ms, and b represents an arbitrary constant with dimensions of length squared (taken as unity in the present study). It is a standard practice to add constant δ in the equations for preventing the singularity of the potential energy at origin. Upon invoking the virial theorem under the assumption δ ≪ s2, the following holds true:
| 7 |
A consequence of (7) is that the kinetic temperature of the thermostat (or in other words, average kinetic energy) is always equal to kBTK, regardless of the total energy of the thermostat. It is also easy to check that the momentum of the logarithmic thermostat is distributed normally26. Thus, we see that the logarithmic thermostat can mimic the behavior of an ideal heat reservoir.
Unlike Nosé’s original thermostat13, the logarithmic thermostat theoretically generates canonical dynamics without necessitating the use of any time scaling parameter. The thermostatted dynamics can be obtained through Hamiltonian equations directly. For example, when a system with Hamiltonian is coupled to the logarithmic thermostat through an interaction, h(q, s), the total Hamiltonian of the composite system is given by
| 8 |
The resulting equations of motion are:
| 9 |
and the phase-space distribution of the system is sampled according to:
| 10 |
Here, H* is the potential of mean force associated with the system phase-space variables27. When the interaction is weak, the system follows Gibbs’ distribution . In absence of the interaction term, h, the system and the logarithmic thermostat may be thought of as separated by an adiabatic wall. The nature of interaction, as we will show later, plays an important role determining the thermodynamic consistency of the logarithmic thermostat. It is important to note that the equations of motion (9) require ergodicity in the extended system for a proper sampling from a canonical distribution26. While a highly non-linear coupling enhances the ergodicity of the logarithmic thermostat26, it comes at the cost of losing Gibbs’ distribution.
However, a logarithmic thermostat cannot be used as a temperature control mechanism in molecular dynamics simulations because of the fundamental deficiencies identified by researchers. The equilibration time, even for small systems, has been estimated to be too large28, rendering the numerical implementation unfeasible. Further, the log thermostat does not perform the role of a computational “thermostat” since it does not equilibrate small atomic clusters29 and has negative configurational temperature in one dimensional systems. Neither does it allow a heat flow even in presence of a large temperature gradient30. Under strong coupling, the log thermostat additionally violates both equipartition and virial theorems31.
In the present work, we demonstrate that the logarithmic thermostat violates the Zeroth Law of thermodynamics in computationally achievable time in several scenarios, and relate it to the existing deficiencies highlighted before. Our system of interest, S1, is a single harmonic oscillator (cf. (1)). In the first scenario, S1 is coupled with an ergodic heat reservoir, S2, at kBTK/C = 1 (TK/C denotes controlling either kinetic or configurational temperature). Simultaneously, S1 is also coupled with an NH thermostatted oscillator, S3, also kept at kBTK = 1. In this scenario, the ergodic heat reservoir, S2, is chosen either as a Hoover-Holian thermostat21 (HH) or the higher order configurational thermostat24 (C1,2). As an NH thermostatted oscillator is known to be non-ergodic, it serves as the base test case with which other results are compared. In the second scenario, S3 becomes a logarithmic thermostat. In the third scenario, both S2 and S3 are chosen as logarithmic oscillators.
The three thermostats - NH, HH and C1,2 are discussed next.
A nonergodic and two ergodic thermostats
Nosé-Hoover thermostat
The pioneering work of Nosé13 was simplified by Hoover14 to give the Nosé-Hoover (NH) equations. NH thermostat revolutionized the field of constant temperature molecular dynamics simulations. It controls the kinetic temperature, (4), by means of a friction-like variable that has its own evolution equation. When coupled with a single harmonic oscillator of unit mass and stiffness at temperature kBTK = 1, the NH thermostatted equations become:
| 11 |
Here, ζ represents the effects of the entire heat reservoir. However, the Nosé-Hoover algorithm suffers from the problem of being nonergodic for a single harmonic oscillator32. Only 6% of the trajectories are chaotic while the remaining 94% lie on tori33.
Hoover-Holian thermostat
The issue of nonergodicity can be tackled by simultaneously controlling the first two moments of kinetic energy21. The resulting Hoover-Holian (HH) thermostat (kept at kBT = 1) when coupled with a single harmonic oscillator (with unit mass and stiffness constant) becomes:
| 12 |
Here, η and ξ denote the thermostat variables that control the first and the second moments of the kinetic energy, respectively. Note that the system is thermostatted at a temperature of unity. Hamiltonian corresponding to the HH equations, (12), remains unknown so far. It is easy to check that the equations of motion represented by (12) satisfy the extended phase-space distribution33,
| 13 |
which is a product of four independent standard normal random variables. The dynamics samples the phase-space in accordance with (13), and unlike the Nosé-Hoover algorithm, results in an ergodic thermostat21,33.
C1,2 thermostat
The higher-order configurational thermostat (C1,2 thermostat) is the configurational analogue of the HH thermostat24. It controls the first two orders of the configurational temperature using two thermostat variables. The equations of motion of a C1,2 thermostatted single harmonic oscillator, with unit mass and stiffness, are:
| 14 |
Here, η and ξ denote the thermostat variables that now control the first two orders of configurational temperature, respectively. The equations of motion, (14), is able to overcome the nonergodicity of the deterministic first-order configurational temperature based thermostat23. The extended phase-space density due to (14) is similar to that shown in (13). It has been shown that, like the HH thermostat, the C1,2 thermostat has no “holes” in the dynamics, and generates a phase-space distribution that is consistent with the Gibbsian prediction for a single harmonic oscillator.
Zeroth Law investigations
Zeroth Law is concerned with the mutual thermal equilibrium of three bodies. It implies that three systems, each separately in equilibrium and having the same temperature, must remain so when brought in pairwise or simultaneous thermal contact with each other. In the present work, we create a similar scenario (see Fig. 1) – the system of interest, S1, which is a single harmonic oscillator, is simultaneously coupled to two heat reservoirs, S2 and S3, both kept at the same temperature. Different scenarios are investigated: in the first scenario, S2 is one of the two ergodic thermostats (HH or C1,2) and S3 is an NH thermostatted oscillator, in the second scenario, S3 is changed to a logarithmic oscillator while keeping other details the same as in the first scenario, and in the third scenario, both S2 and S3 comprise of logarithmic oscillators.The choice of S2 in the first two scenarios as ergodic is deliberate so that when S1, the single harmonic oscillator, is coupled to it, equilibration of S1 occurs according to Gibbsian canonical ensemble. Selecting a non-ergodic thermostat may pose problems for thermal equilibration.
Figure 1.

Setup for testing the Zeroth Law. The system, S1, comprises a single harmonic oscillator. Heat Reservoir S2 is one of the three thermostats – HH, C1,2 or the logarithmic thermostat, and the Heat Reservoir S3 is either the NH thermostatted single harmonic oscillator, or the logarithmic thermostat.
For all cases considered here, S1, the single harmonic oscillator is fully thermalized and has reached an equilibrium state. S1 is neither subjected to any flux of mass nor energy. The flux of mass may be determined by looking at the average velocity, 〈p1〉 of the oscillator. Likewise, energy flux may be determined by , where 〈…〉 denotes the time average. For all the different cases investigated in this study, 〈p1〉 ≈ 0 and .
First Scenario – Zeroth Law for the NH thermostat
In this section, the results of the first scenario are discussed. Two specific cases are considered – (i) Case A1: S2 as the HH thermostat, and (ii) Case A2: S2 as the C1,2 thermostat. In both these cases, S3 is an NH thermostatted harmonic oscillator.
Case A1: S2 = HH Thermostat, S3 = NH Thermostat
The temperature of both heat reservoirs are such that kBT = 1. While coupling between the HH thermostat and the single harmonic oscillator is inherent (see (12)), the coupling between the single harmonic oscillator and the NH thermostatted single harmonic oscillator is taken to be harmonic. The combined equations of motion of the system may be written as:
| 15 |
Here (q1, p1) represent the system variables (S1), (η, ξ) represent the HH thermostat (S2), (q3, p3, ζ) represent the NH thermostatted oscillator (S3) and k = 0.01, 0.10, 1.00 represents the interaction strength between S1 and S3. The equations of motion are solved using classic Runge-Kutta for 100 billion time steps, with each time step being equal to Δt = 0.001. All variables are initialized at unity. Kinetic temperature, TK, of S1 and S3 are given by: and , respectively, while the configurational temperature, TC, of S1 and S3 are given by:
| 16 |
Since both reservoirs are kept at the same temperature, given sufficient time, TK of S1, S2 and S3 must agree with each other according to the Zeroth Law, and so must TC. Not only that, being in equilibrium necessarily means that TK and TC must be the same for each system. All these equalities are demonstrated in Table 1, the maximum difference from the desired values being smaller than 0.6%. Later on, we will see that these essential features are not retained when S3 is replaced by a logarithmic thermostat.
Table 1.
Time averaged value of kinetic and configurational temperatures, TK and TC, respectively, for the various cases investigated in this study.
| k | Case A1 | Case A2 | Case B1 | Case B2 | Case C1 | |||||||||||||
|---|---|---|---|---|---|---|---|---|---|---|---|---|---|---|---|---|---|---|
| T K | T C | T K | T C | T K | T C | T K | T C | T K | ||||||||||
| S 1 | S 3 | S 1 | S 3 | S 1 | S 3 | S 1 | S 3 | S 1 | S 3 | S 1 | S 3 | S 1 | S 3 | S 1 | S 3 | S 1 | S3 | |
| 0.0 | — | — | — | — | — | — | — | — | — | — | — | — | — | — | — | — | 1.003 | 1.000 |
| 0.01 | 0.997 | 1.002 | 1.006 | 1.004 | 1.001 | 1.002 | 1.004 | 1.011 | 1.000 | 1.047 | 1.000 | 2.726 | 0.999 | 0.944 | 1.000 | 1.052 | 1.979 | 1.986 |
| 0.1 | 1.003 | 1.000 | 1.001 | 1.000 | 1.001 | 0.997 | 0.998 | 1.001 | 0.999 | 1.020 | 1.000 | 1.284 | 1.001 | 0.966 | 1.000 | 0.986 | 2.000 | 1.996 |
| 1.0 | 1.001 | 1.001 | 1.005 | 1.000 | 0.999 | 1.000 | 1.000 | 0.999 | 1.001 | 0.999 | 0.999 | 0.993 | 1.000 | 1.000 | 1.002 | 0.999 | 2.009 | 2.010 |
The desired temperature is unity. Notice, the difference between TK and TC for cases B1 and B2 that involve log thermostat as S3. S1, the single harmonic oscillator, displays correct temperature. In these cases, a temperature gradient is not only created between S1 and S3, but also within the configurational and kinetic variables of S3. For case C1, where S2 and S3 are log thermostats, the instant a coupling is introduced, the temperature of the system goes haywire. Please note that the temperature corresponding to S2 were found to be statistically indifferent from that of S1 (except in case C1), and hence not listed for the first two cases.
An additional consequence of the Zeroth Law is the canonical nature of the momentum distribution function for each of S1, S2 and S3, which in this case implies a standard normal distribution. Such a distribution is possible for S3 only when the NH thermostatted oscillator displays ergodicity. The marginal momentum distributions, shown in Fig. 2(a), are in agreement with the standard normal distribution irrespective of coupling strength. Note that a more complete proof of canonical nature involves looking at joint probability distribution functions34. Other ergodic oscillators, when coupled with the HH oscillator also show similar features33. As would be seen later, such conformity is typically absent for the logarithmic thermostat at low to moderate coupling interaction (see Fig. 2(c)). A failure to demonstrate the correct momentum distribution would have indicated a deviation from canonical nature, which in turn would have implied a lack of equilibrium, and hence would have violated the Zeroth Law.
Figure 2.
Momentum distributions of S3 and S1 (right inset) for the different cases analyzed in the work: (a) Case A1 with S2 = HH thermostat and S3 = NH thermostat, (b) Case A2 with S2 = C1,2 thermostat, S3 = NH thermostat, (c) Case B1 with S2 = HH thermostat and S3 = Log thermostat, and (d) Case C1 with both S2 and S3 = Log thermostat. For each case, S1 is a single harmonic oscillator. Cases with S3 = NH thermostat have the correct standard normal distribution of momentum irrespective of the system. For Case B1, correct momentum distribution of S1 is obtained at all coupling strengths, however, S3 has the correct momentum distribution only at high coupling. For case C1, the computed temperature is double that of desired temperature. Conformity of the velocity distributions with each other and with a standard normal distribution suggests that the Zeroth Law is satisfied only for cases A1 and A2.
Case A2 : S2 = C1,2Thermostat, S3 = NH Thermostat
This case presents an interesting situation – the C1,2 thermostat controls only the configurational temperature by acting upon the configurational variables, while the NH thermostat controls only the kinetic temperature by altering the momentum evolution equations. Equality of configurational (as well as kinetic) temperatures throughout the composite system provides a mechanism for checking if the Zeroth Law holds true in this case. The equations of motion solved in this case are:
| 17 |
where, F = −[q1 + k(q1 − q3)] and U = k(q1 − q3)2. The expressions of TK and TC for both S1 and S3 remain the same as in case A1. For TC to be equal for S1 and S3, the following must hold true:
| 18 |
It is easy to check that for the composite system (assuming ergodicity), 〈q3〉 = 〈q1〉 = 0. Thus, in this case, apart from the equality of kinetic and configurational temperatures, we perform additional tests on the equality of the first and the second moments of the variables q1 and q3. The equations of motion are solved using classic Runge-Kutta for 100 billion time steps, with each time step being equal to Δt = 0.001.
The results for this case, shown in Table 1, are found to be essentially the same as that of case A1: (i) TK of S1 and S3 agree with each other, (ii) TC of S1 and S3 agree with each other, and (iii) TK and TC of each system agree with each other. and are found to be equal as are 〈q1〉 = 〈q3〉 = 0 are demonstrated numerically in Table 2. The marginal momentum distribution functions for S3 and S1 are shown in Fig. 2(b) and its right inset, respectively. Both the NH oscillator as well as S1 show a remarkable conformity with the standard normal distribution, just like in case A1. The inset on the left shows the phase space plot of the NH oscillator, (q3, p3), highlighting its ergodic nature.
Table 2.
Case A2: Verification of 〈q1〉 = 〈q3〉 = 0 and which is a consequence of ergodicity.
| k | 〈q1〉 | 〈q3〉 | ||
|---|---|---|---|---|
| 0.01 | −0.001 | 0.002 | 0.995 | 1.006 |
| 0.1 | 0.001 | 0.000 | 0.959 | 0.958 |
| 1.0 | −0.001 | 0.000 | 0.816 | 0.815 |
Second Scenario – Zeroth Law for the logarithmic thermostat
We now investigate what happens when NH thermostat of the first scenario is replaced by a logarithmic thermostat (cases B1 and B2). The equations of motion with a log-thermostat are “stiff”, and require smaller time-step for numerical integration. As a result, an integration time-step of Δt = 0.00025 is used. The equations of motion are solved for 800 billion time steps with classic 4th order Runge-Kutta algorithm. All variables are initialized at unity, unless otherwise specified.
Case B1: S2 = HH Thermostat, S3 = Log Thermostat
In this case, the single harmonic oscillator (S1) is coupled with the ergodic HH thermostat (S2) and the logarithmic thermostat (S3). The coupling between S1 and S3 is taken as harmonic, with spring constant k. The equations of motion are:
| 19 |
Variables q3 and p3 denote the logarithmic thermostat’s position and momentum, respectively. We keep δ = 0.01, and consider three values of the spring constant k = 0.01, 0.1 and 1.0, denoting, respectively, the cases of weak, moderate and strong interaction with the system. TK for S1 and S3 are: and , respectively. The expressions for TC for S1 and S3 are:
| 20 |
The existence of a single unique temperature of a system is necessary for the Zeroth Law of thermodynamics to hold true35. Further the different measures of temperature are necessarily equal for a closed equilibrium system7,36,37. In fact, extending the Zeroth Law for non-equilibrium situations is problematic because of the absence of a unique value of temperature38,39 of a system. TK and TC of the different oscillators for this case are shown in Table 1. Unlike in the first scenario, here we observe that at low to moderate coupling strengths, TK of the logarithmic thermostat does not reach the desired value of unity during the simulation run – a deviation of 2% to 5% is observed, which is significant compared to the cases A1 and A2. TC, on the other hand, deviates from the desired value even more – 28% to 172%. Further, TC ≠ TK for the logarithmic thermostat – a clear violation of the Zeroth Law. Interestingly, the single harmonic oscillator, S1, faithfully reproduces the desired kinetic and configurational temperatures. Further, at weak and moderate interaction strengths, the dynamics of the logarithmic thermostat is substantially different from that of the single harmonic oscillator (see Fig. 3). Although the dynamics of the logarithmic thermostat appears to be phase-space filling, a majority of the trajectory points are confined within a small region. This problem is predominant at small and moderate interaction strengths. In fact, for k = 0.01, there is an evidence of a hole in the dynamics.
Figure 3.
Phase space trajectory of S3 in case B1 due to: (a) weak interaction at k = 0.01, (b) moderate interaction at k = 0.10 and strong interaction at k = 1.0. The inset figures at top (in red) represent the phase-space trajectory of the S1 at the corresponding interaction strengths. The inset figures at bottom (in blue) a provide a zoomed-in view of the trajectory of S3. Notice the difference in the phase-space trajectories between the logarithmic thermostat and the single harmonic oscillator at a particular interaction strength. The zoomed-in inset views show a hole in the dynamics at weak interaction and improper sampling around origin at moderate interaction.
The information embedded in the momentum distribution functions is more detailed than just its second moment. In canonical ensemble, in addition to the standard deviation of momentum distribution being equal to the temperature, the entire distribution must also be Gaussian. Utilizing this, in the previous scenario, we argued that the NH thermostatted oscillator displays a good thermalizing behavior. However, in the present case, the velocity distribution function, shown in Fig. 2(c), shows a marked deviation from Gaussianity at low and moderate coupling. In other words, the phase-space of the logarithmic thermostat does not get sampled from a canonical ensemble as evidenced from Fig. 3. At strong interaction, however, the velocity distribution improves, and the deviation ceases to exist, but this comes at a cost: the dynamics now samples from (10) instead of the standard canonical distribution function. The single harmonic oscillator, on the other hand, always demonstrates faithfully a Gaussian velocity distribution. The improved behavior of the log thermostat at strong coupling makes us conjecture that instead of S3 thermalizing S1, it is the other way around.
Thus, in this case we observe that, in computationally achievable time, – (i) there are significant differences between the temperatures (both TK and TC) of S1 and S3 in equilibrium, (ii) a temperature difference is created between the momentum and the configurational variables of S3, violating the principles of equilibrium thermodynamics, (iii) at low to moderate coupling, the phase-space of S3 does not get sampled from a canonical distribution, rendering the momentum distributions different from a standard normal distribution.
Case B2: S2 = C1,2Thermostat, S3 = Log Thermostat
In this case, the HH thermostat is replaced with the C1,2 thermostat as S2. The equations of motion to be solved are:
| 21 |
where, F = −[q1 + k(q1 − q3)] and U = k(q1 − q3)2. The expressions of TK and TC remain the same as in case B1.
Time averaged values of TK and TC of S1 and S3, for this case, are shown in the Table 1. Like in case B1, the situation does not improve here at low and moderate interaction strengths. While S1 again faithfully demonstrates the correct kinetic and configurational temperatures, such is not the case for the logarithmic thermostat. The inequality of TK and TC for the logarithmic thermostat, at low and moderate interaction strengths, suggest a non-unique temperature of the system, and effectively creates a temperature gradient between the kinetic and configurational variables, unlike in case A2. Thus, again a violation of the Zeroth Law, in computationally achievable time, is observed.
Third Scenario – Zeroth Law with two coupled logarithmic thermostats
Case C1: S2 = Log Thermostat, S3 = Log Thermostat
We now investigate the third scenario where two logarithmic thermostats are coupled to S1 harmonically, but with different strengths, k and k*. A similar situation was investigated before in nonequilibrium30 – S1 comprised of a ϕ4 chain, and a temperature difference was created between the two ends of the chain through two logarithmic thermostats. However, no heat flow was observed. In the present scenario, the temperatures of the two thermostats are kept at unity. The harmonic coupling between the thermostats is taken such that the evolution equations are:
| 22 |
k* is chosen as 1.0, while three values of k are used: 0.01, 0.1, 1.0 with δ equaling 0.01. The initial conditions are taken as: (q2, p2, q1, p1, q3, p3) = (1, 2, 2, 3, 3, 4). This third scenario corresponds to a situation where one can define a Hamiltonian. However, we still employ the non-symplectic 4th order Runge-Kutta method for solving the equations of motion to maintain consistency. The fluctuations in total energy of the system is of the order of 10−7, the relative error (in %) is of the order of 10−5, and the cumulative error is of the order of 10−3 as shown in Fig. 4. Since our objective is not to study the energy conserving nature of the log thermostat, using the 4th order Runge-Kutta method for solution does not have any significant bearing. We remind the readers that the equations of motion (22) correspond to the case where the temperature is set at unity. As a consequence, the velocities of the logarithmic thermostats for all cases must sample from a standard-normal distribution. The velocity distributions, which are both non-gaussian, are shown in Fig. 2(d).
Figure 4.
(a) Instantaneous Relative Error in Energy and (b) Cumulative Relative Error in Energy for case C1 with k = 0.01.
Despite 800 billion integration time steps, at small values of , we observe TK of the two oscillators to be different (see Table 1). While the Zeroth Law is satisfied for the moderate and strong interaction, it is disconcerting to see that TK is twice the desired temperature in every case. Note that TK has been computed as , the time-averaged value of second moment of velocity. The results are around instead, if the temperatures were computed as 〈(pi − E[pi])2〉t, the second moment of velocity around its mean. Interestingly, when k = 0, i.e. S3 is decoupled, the log-thermostats behave expectedly, with temperature commensurate with the desired temperature of unity, and the values are independent of the nature of second moment (central or non-central). It has been previously argued that the details of the thermal contact are not important40, however, we find system temperature to change with changing values of k.
Summary and Conclusions
Zeroth Law helps us to identify the temperature of a statistical-mechanical system, and forms a cornerstone of thermodynamics. Recently, it has been shown mathematically that a non-isothermal system relaxes to canonical equilibrium conditions, with all components of the system having the same temperature41. Therefore, if two thermostatted systems (at same temperature) are coupled to each other, each of them must individually satisfy the Zeroth Law. In this article, we explore numerically if the Zeroth Law is satisfied for the logarithmic thermostat. The summary of findings are shown in Table 3.
Table 3.
Summary of findings. SHO = single harmonic oscillator.
| Case | S 1 | S 2 | S 3 | Findings |
|---|---|---|---|---|
| A 1 | SHO | HH thermostat | NH thermostat | For all coupling strengths in case A: |
| A 2 | C1,2 thermostat | 1. TK and TC of S1, S2 and S3 are in agreement with each other. | ||
| 2. Momentum distribution follows a standard normal distribution | ||||
| B 1 | SHO | HH thermostat | Log thermostat | At low to moderate coupling strengths: |
| 1. TK and TC of S1, S2 and S3 are different from each other | ||||
| B 2 | C1,2 thermostat | 2. Momentum distribution of S3 is not standard normal. | ||
| At larger coupling strengths, Gibbs’ canonical sampling is lost. | ||||
| C 1 | SHO | Log thermostat | Log thermostat | Momentum distribution is not standard normal and temperature control fails |
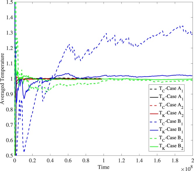
The temporal evolution of TK and TC for S3 in cases A1, A2, B1 and B1 for k = 0.1 are shown in Fig. 5. Note that in cases A1 and A2, i.e. with the NH thermostat as S3, convergence to the desired value of unity is achieved very quickly. On the other hand, for cases B1 and B2, such convergence is typically absent throughout. The picture does not change with k = 0.01. Our results indicate that coupling an ergodic system with the logarithmic thermostat does not guarantee a canonical distribution for the logarithmic thermostat at small to moderate interaction strengths, and consequently it may display an incorrect temperature. When two logarithmic thermostats are coupled, the combined system goes haywire – the temperature of all components shoot up to twice the desired value. kinetic temperature of both the logarithmic thermostats is almost twice the desired value.
Figure 5.

Time evolution of averaged temperatures for S3 under different cases. Note that in cases A1 and A2, i.e. with the NH thermostat as S3, convergence to the desired value of unity is achieved very quickly. On the other hand, for cases B1 and B2, such convergence is typically absent throughout. The results are plotted with k = 0.1.
Violation of the Zeroth Law by the logarithmic thermostat in computationally achievable time is a consequence of the flaws demonstrated previously by other researchers28–31. In view of the large equilibration time of the log thermostat28 and its inability to engender heat flow30, the heat flow within the single harmonic oscillator is approximately zero despite the differences in TK and TC of the single harmonic oscillator and the logarithmic thermostat. Coupling to a “good” thermostatted system improves the phase-space sampling of the logarithmic thermostat in some cases, however, the improvement is not sufficient to make its TK = TC primarily because of its poor thermalizing behavior29. At strong coupling, we find that the improvement in the performance comes at the cost of violating the equipartition and virial theorems31.
Lastly, the method outlined in this paper may serve as a test for the goodness of other thermostats as well.
Author Contributions
P.K.P. and B.B. contributed equally. All authors reviewed the manuscript.
Competing Interests
The authors declare no competing interests.
Footnotes
Publisher's note: Springer Nature remains neutral with regard to jurisdictional claims in published maps and institutional affiliations.
References
- 1. Hoover, W. G. & Hoover, C. G. Time reversibility, computer simulation, algorithms, chaos, vol. 1. (World Scientific, 2012).
- 2.Balian, R. Non-Equilibrium Thermodynamics From Microphysics to Macrophysics: Methods and Applications of Statistical Physics. (Springer Science and Business Media, 2007).
- 3.Landsberg, P. T. Thermodynamics and statistical mechanics. (Courier Corporation, 2014).
- 4.Huang, K. Introduction to statistical physics. (CRC Press, 2009).
- 5.Meléndez M, Español P. Gibbs-jaynes entropy versus relative entropy. Journal of Statistical Physics. 2014;155:93–105. doi: 10.1007/s10955-014-0954-6. [DOI] [Google Scholar]
- 6.Biro T, Ürmössy K. Alcor. The European Physical Journal Special Topics. 2008;155:1–12. doi: 10.1140/epjst/e2008-00583-4. [DOI] [Google Scholar]
- 7.Casas-Vázquez J, Jou D. Temperature in non-equilibrium states: a review of open problems and current proposals. Reports on Progress in Physics. 2003;66:1937. doi: 10.1088/0034-4885/66/11/R03. [DOI] [Google Scholar]
- 8.Abe S, Rajagopal A. Microcanonical foundation for systems with power-law distributions. Journal of Physics A: Mathematical and General. 2000;33:8733. doi: 10.1088/0305-4470/33/48/311. [DOI] [Google Scholar]
- 9.Evans DJ, Williams SR, Searles DJ. A proof of clausius’ theorem for time reversible deterministic microscopic dynamics. The Journal of Chemical Physics. 2011;134:204113. doi: 10.1063/1.3592531. [DOI] [PubMed] [Google Scholar]
- 10.Woodcock LV. Isothermal molecular dynamics calculations for liquid salts. Chemical Physics Letters. 1971;10:257–261. doi: 10.1016/0009-2614(71)80281-6. [DOI] [Google Scholar]
- 11.Andersen HC. Molecular dynamics simulations at constant pressure and/or temperature. The Journal of Chemical Physics. 1980;72:2384–2393. doi: 10.1063/1.439486. [DOI] [Google Scholar]
- 12.Hoover WG, Ladd AJC, Moran B. High-strain-rate plastic flow studied via nonequilibrium molecular dynamics. Physical Review Letters. 1982;48:1818–1820. doi: 10.1103/PhysRevLett.48.1818. [DOI] [Google Scholar]
- 13.Nosé S. A unified formulation of the constant temperature molecular dynamics methods. The Journal of Chemical Physics. 1984;81:511–519. doi: 10.1063/1.447334. [DOI] [Google Scholar]
- 14.Hoover WG. Canonical dynamics: Equilibrium phase-space distributions. Physical Review A. 1985;31:1695–1697. doi: 10.1103/PhysRevA.31.1695. [DOI] [PubMed] [Google Scholar]
- 15.Martyna GJ, Klein ML, Tuckerman M. Nosé–hoover chains: The canonical ensemble via continuous dynamics. The Journal of Chemical Physics. 1992;97:2635–2643. doi: 10.1063/1.463940. [DOI] [Google Scholar]
- 16.Patra PK, Bhattacharya B. A deterministic thermostat for controlling temperature using all degrees of freedom. The Journal of Chemical Physics. 2014;140:064106. doi: 10.1063/1.4864204. [DOI] [PubMed] [Google Scholar]
- 17.Berendsen HJ, Postma JV, van Gunsteren WF, DiNola A, Haak J. Molecular dynamics with coupling to an external bath. The Journal of chemical physics. 1984;81:3684–3690. doi: 10.1063/1.448118. [DOI] [Google Scholar]
- 18.Nosé S. Constant temperature molecular dynamics methods. Progress of Theoretical Physics Supplement. 1991;103:1–46. doi: 10.1143/PTPS.103.1. [DOI] [Google Scholar]
- 19.Nosé S. An extension of the canonical ensemble molecular dynamics method. Molecular Physics. 1986;57:187–191. doi: 10.1080/00268978600100141. [DOI] [Google Scholar]
- 20.Liu, W. K., Karpov, E. G. & Park, H. S. Nano mechanics and materials: theory, multiscale methods and applications. (John Wiley & Sons, 2006).
- 21.Hoover WG, Holian BL. Kinetic moments method for the canonical ensemble distribution. Physics Letters A. 1996;211:253–257. doi: 10.1016/0375-9601(95)00973-6. [DOI] [Google Scholar]
- 22.Samoletov AA, Dettmann CP, Chaplain MAJ. Notes on configurational thermostat schemes. The Journal of Chemical Physics. 2010;132:246101–2. doi: 10.1063/1.3453655. [DOI] [PubMed] [Google Scholar]
- 23.Braga C, Travis KP. A configurational temperature nosé-hoover thermostat. The Journal of Chemical Physics. 2005;123:134101–15. doi: 10.1063/1.2013227. [DOI] [PubMed] [Google Scholar]
- 24.Patra PK, Bhattacharya B. An ergodic configurational thermostat using selective control of higher order temperatures. The Journal of Chemical Physics. 2015;142:194103. doi: 10.1063/1.4921119. [DOI] [PubMed] [Google Scholar]
- 25.Campisi M, Zhan F, Talkner P, Hänggi P. Logarithmic oscillators: ideal hamiltonian thermostats. Physical review letters. 2012;108:250601. doi: 10.1103/PhysRevLett.108.250601. [DOI] [PubMed] [Google Scholar]
- 26.Campisi M, Hänggi P. Thermostated hamiltonian dynamics with log oscillators. The Journal of Physical Chemistry B. 2013;117:12829–12835. doi: 10.1021/jp4020417. [DOI] [PubMed] [Google Scholar]
- 27.Jarzynski C. Nonequilibrium work theorem for a system strongly coupled to a thermal environment. Journal of Statistical Mechanics: Theory and Experiment. 2004;2004:P09005. doi: 10.1088/1742-5468/2004/09/P09005. [DOI] [Google Scholar]
- 28.Meléndez M, Hoover WG, Español P. Comment on logarithmic oscillators: Ideal hamiltonian thermostats. Physical Review Letters. 2013;110:028901. doi: 10.1103/PhysRevLett.110.028901. [DOI] [PubMed] [Google Scholar]
- 29.Sponseller D, Blaisten-Barojas E. Failure of logarithmic oscillators to serve as a thermostat for small atomic clusters. Physical Review E. 2014;89:021301. doi: 10.1103/PhysRevE.89.021301. [DOI] [PubMed] [Google Scholar]
- 30.Hoover WG, Hoover CG. Hamiltonian thermostats fail to promote heat flow. Communications in Nonlinear Science and Numerical Simulation. 2013;18:3365–3372. doi: 10.1016/j.cnsns.2013.05.010. [DOI] [Google Scholar]
- 31.Chen, K., He, D. & Zhao, H. Violation of the virial theorem and generalized equipartition theorem for logarithmic oscillators serving as a thermostat. arXiv preprint arXiv:1612.06472 (2016). [DOI] [PMC free article] [PubMed]
- 32.Posch HA, Hoover WG, Vesely FJ. Canonical dynamics of the nosé oscillator: Stability, order, and chaos. Physical Review A. 1986;33:4253–4265. doi: 10.1103/PhysRevA.33.4253. [DOI] [PubMed] [Google Scholar]
- 33. Patra, P. K., Sprott, J. C., Hoover, W. G. & Hoover, C. G. Deterministic time-reversible thermostats: chaos, ergodicity, and the zeroth law of thermodynamics. Molecular Physics 1–10 (2015).
- 34.Patra PK, Bhattacharya B. Nonergodicity of the nose-hoover chain thermostat in computationally achievable time. Physical Review E. 2014;90:043304. doi: 10.1103/PhysRevE.90.043304. [DOI] [PubMed] [Google Scholar]
- 35.Makse HA, Kurchan J. Testing the thermodynamic approach to granular matter with a numerical model of a decisive experiment. Nature. 2002;415:614. doi: 10.1038/415614a. [DOI] [PubMed] [Google Scholar]
- 36.Baranyai A. On the configurational temperature of simple fluids. The Journal of Chemical Physics. 2000;112:3964–3966. doi: 10.1063/1.480995. [DOI] [Google Scholar]
- 37.Hoover WG, Hoover CG. Nonequilibrium temperature and thermometry in heat-conducting φ4 models. Physical Review E. 2008;77:041104. doi: 10.1103/PhysRevE.77.041104. [DOI] [PubMed] [Google Scholar]
- 38.Hatano T, Jou D. Measuring nonequilibrium temperature of forced oscillators. Physical Review E. 2003;67:026121. doi: 10.1103/PhysRevE.67.026121. [DOI] [PubMed] [Google Scholar]
- 39.Patra PK, Batra RC. Nonequilibrium temperature measurement in a thermal conduction process. Physical Review E. 2017;95:013302. doi: 10.1103/PhysRevE.95.013302. [DOI] [PubMed] [Google Scholar]
- 40.Morriss GP, Chung T, Angstmann C. Thermal contact. Entropy. 2008;10:786–798. doi: 10.3390/e10040786. [DOI] [Google Scholar]
- 41.Evans DJ, Williams SR, Rondoni L. A mathematical proof of the zeroth law of thermodynamics and the nonlinear fourier law for heat flow. The Journal of Chemical Physics. 2012;137:194109. doi: 10.1063/1.4766734. [DOI] [PubMed] [Google Scholar]



