Abstract
Superconducting FeSe0.8Te0.2 thin films on SrTiO3, LaAlO3 and CaF2 substrates were electrochemically etched in an ionic liquid, DEME-TFSI, electrolyte with a gate bias of 5 V. Superconductivity at 38 K was observed on all substrates after the etching of films with a thickness greater than 30 nm, despite the different Tc values of 8 K, 12 K and 19 K observed before etching on SrTiO3, LaAlO3 and CaF2 substrates, respectively. Tc returned to its original value with the removal of the gate bias. The observation of Tc enhancement for these thick films indicates that the Tc enhancement is unrelated to any interfacial effects between the film and the substrate. The sheet resistance and Hall coefficient of the surface conducting layer were estimated from the gate bias dependence of the transport properties. The sheet resistances of the surface conducting layers of the films on LaAlO3 and CaF2 showed identical temperature dependence, and the Hall coefficient was found to be almost independent of temperature and to take values of −0.05 to −0.2 m2/C, corresponding to 4–17 electrons per FeSe0.8Te0.2 unit cell area in two dimensions. These common transport properties on various substrates suggest that the superconductivity at 38 K appears in the surface conducting layer as a result of an electrochemical reaction between the surface of the FeSe0.8Te0.2 thin film and the ionic liquid electrolyte.
Introduction
FeSe is an iron-based superconductor with the simplest possible composition and exhibits superconductivity at 8.5 K1. FeSe has recently attracted considerable attention owing to the enhancements in the superconducting transition temperature (Tc) that can be achieved through various methods. The Tc of a one-unit-cell FeSe thin film on a SrTiO3 substrate has been reported to take values of 105 K and 85 K based on an in situ resistivity measurement and a diamagnetic measurement, respectively2,3. Spectroscopic studies of monolayer and several-layer FeSe on SrTiO3 have revealed superconducting gaps corresponding to 65 K and 80 K by means of angle-resolved photoemission spectroscopy (ARPES) and scanning tunneling microscopy (STM), respectively4–6. These values are much higher than the bulk Tc values of all known iron-based superconductors. A Tc of 48 K has also been observed in several-layer FeSe on SrTiO3 with carrier doping by K ions7. This Tc enhancement has been suggested to originate from charge transfer from the oxide substrate to the ultrathin FeSe film6. Tc enhancements of up to approximately 40 K have also been reported following the insertion of cations or a (Li0.8Fe0.2)OH layer to the FeSe mother compound8–14. Recently, electrostatic carrier doping on ultrathin FeSe films and flakes has also been found to enhance Tc up to approximately 40 K15–19. The authors of these studies employed an electric double layer transistor (EDLT) configuration with an ionic liquid, diethylmethyl(2-methoxyethyl)ammonium bis(trifluoromethylsulfonyl)imide (DEME-TFSI), as a gate electrolyte for tuning the high-density carriers20–22. Since no additional phase other than FeSe was found in the X-ray diffraction (XRD) data18, the Tc enhancement was concluded to originate from electrostatic carrier doping. In addition, a thickness dependence study conducted by means of the electrochemical etching of FeSe showed that Tc enhancement occurred only when the film was thinner than 15 nm16,19, probably indicating that the interface between the film and the substrate also plays an important role in the Tc enhancement.
We have previously reported Tc enhancements in FeSe1−xTex thin films on various substrates23–26. The observed Tc values depend on both the Te content and the substrate material. For example, the Tc values for FeSe0.8Te0.2 films on CaF2 and LaAlO3 substrates are enhanced to 20 K and 12 K, respectively, in contrast to the Tc of 8 K observed for FeSe0.8Te0.2 on SrTiO3. This can be explained by differences in the a-axis lattice constants of FeSe0.8Te0.2 films on different substrates24. In this paper, we report the enhancement of Tc up to 38 K for thick FeSe0.8Te0.2 films on various substrates prepared via EDLT fabrication with the ionic liquid DEME-TFSI. By means of electrochemical etching with the ionic liquid16, the film thickness was varied. The application of a gate bias resulted in the formation of a surface conducting layer with a Tc of 38 K; with the removal of the gate bias, the surface conducting layer disappeared, causing Tc to return to its original value. We also estimated the transport properties of the surface conducting layer. The surface conducting layer exhibited electron conduction with a common dependence of the mobility on temperature on various substrates.
Results
Characterization of FeSe0.8Te0.2 thin films
The film thickness and crystal quality were examined via XRD measurements. Figure 1(a) shows the XRD patterns of FeSe0.8Te0.2 thin films fabricated on LaAlO3 (LAO), CaF2 and SrTiO3 (STO) substrates. All samples exhibited (001), (002) and (004) peaks, while the (003) peak for the film on the LAO substrate was obscured by a (002) peak of the substrate. The c-axis lattice constants for the films on the LAO, CaF2 and STO substrates were 5.69, 5.72 and 5.70 A, respectively, consistent with previous reports23,24. The full widths at half maximum (FWHMs) of the rocking curves for the (001) peak were 0.4, 0.7 and 1 deg. for the films on the LAO, CaF2 and STO substrates, respectively; these values are also almost the same as those reported previously (0.2–0.6 deg.)23, demonstrating that all of these films consisted of high-quality single-phase samples. X-ray reflectivity (XRR) measurements revealed clear thickness fringes for all films, as shown in Fig. 1(b), indicating a smooth surface and a sharp interface between the film and the substrate. In addition, all XRR curves were well fitted by the model structure, and we estimated the thicknesses as shown in Fig. 1(b). The film thicknesses were also confirmed by atomic force microscopy (AFM) images of the films.
Figure 1.
(a) X-ray diffraction (XRD) patterns of FeSe0.8Te0.2 thin films on LaAlO3 (LAO), CaF2 and SrTiO3 (STO) substrates. (b) X-ray reflectivity (XRR) patterns of the films. The black lines represent fit curves. The estimated thickness is shown in each panel.
Superconducting properties of pristine and etched FeSe0.8Te0.2 thin films
The superconducting properties of the samples when subjected to gating and etching were examined for a gate bias (VG) of 5 V. As shown in Fig. 2(a), the EDLT samples were patterned in Hall bars with six electrodes, and a Pt film was placed alongside each Hall-bar-instrumented sample to act as a gate electrode. Figure 2(c,d) show the temperature (T) dependences of the sheet resistance (RS) for samples of FeSe0.8Te0.2 films on LAO and CaF2 substrates (LAO and CaF2 samples), respectively. First, the RS-T curves of the pristine sample before etching were measured for VG values of of 0 V and 5 V. Then, the temperature was increased to 250 K with a VG of 5 V while monitoring the gate current (IG), as shown in Fig. 2(b). The channel was electrochemically etched, and the drain current (ID) was gradually decreased. The product of IG and time is a Faradaic charge (QF) that is proportional to the amount of charge of the reacted ions. After etching, T was decreased while maintaining VG = 5 V, and the RS–T curve was measured. After several cycles of etching, the VG dependence of the RS–T curve for the etched sample was measured via the following procedure: First, the RS–T curve was measured for a VG of 5 V. Then, the temperature was increased to 250 K without VG, and the RS–T curve for VG = 0 V was measured. Finally, a VG of 5 V was again applied at 250 K, and the RS–T curve for VG = 5 V was measured again. We show the R-T curves of the pristine and etched samples for VG = 5 V, VG = 0 V, and VG = 5 V. The RS–T curves of the pristine samples remained almost unchanged between the VG values of 0 V and 5 V. In contrast, Tc was enhanced after several cycles of etching at VG = 5 V. Tc increased from 12 K to 38 K for the LAO sample and from 19 K to 38 K for the CaF2 sample. As shown in S. Fig. 3 in the Supplementary Information, critical magnetic field at 0 K was also enhanced from 47 T to 67 T on films on the LAO substrate. The coherence length at 0 K was 3.8 nm to 3.1 nm. With the removal of VG, RS increased, and Tc returned to the value of the pristine sample. With the application of a VG of 5 V, RS slightly decreased, and Tc was enhanced to 38 K for both samples. Notably, the RS value at VG = 5 V after the removal of the initial VG was larger than that before the removal of VG. Since the sheet resistance due to electrostatic carrier doping should always have the same value at VG = 5 V, this difference suggests that the change in RS can be attributed to some other origin than electrostatic carrier doping. In addition, the Tc for VG = 0 V was different for the LAO and CaF2 sample because of different lattice constant of the FeSe0.8Te0.2 films. If the surface conducting layer is produced by an electrostatic carrier doping, it is natural that the surface conducting layer also show different Tc values for VG = 5 V. Then, the Tc enhancement to 38 K for both samples also suggests that the origin of the carrier doping is not the electrostatic doping. This will be discussed later. Figure 2(e,f) show the T dependences of the Hall coefficient (RH) for the same samples shown in Fig. 2(c,d), respectively. RH was almost zero above 80 K and showed an increase with decreasing temperature below 40 K for the pristine samples. In contrast, RH was always negative at all temperatures for the etched samples at VG = 5 V. The RH-T behavior returned to almost the original one after the application of VG = 0 V. These results indicate that the etching at VG = 5 V resulted in the formation of a conducting layer on the surface, with a Tc of 38 K, for both the LAO and CaF2 samples. Since RH was negative, electron conduction dominated in the conductive layer. In addition, since the transport properties of the pristine and etched samples were almost the same for a VG of 0 V, it can be concluded that the surface conductive layer disappeared with the removal of VG from the etched sample.
Figure 2.
Changes in the superconducting and transport properties of FeSe0.8Te0.2 samples subjected to electrochemical etching and gating. (a) A photographic image of the electric double layer transistor (EDLT) device on the FeSe0.8Te0.2/LAO sample. The four-terminal resistance and the Hall resistance were simultaneously measured with the Hall bar electrodes. The ionic liquid electrolyte was placed between the film and the Pt gate. (b) The time dependences of the drain current (ID) and the gate current (IG) during electrochemical etching at VG = 5 V and 250 K for the FeSe0.8Te0.2/LAO sample. IG corresponds to the Faradaic current, and the product of IG and time corresponds to the Faradaic charge (QF). (c,d) The temperature (T) dependences of the sheet resistance (RS) for the FeSe0.8Te0.2 samples fabricated on the LAO and CaF2 substrates, respectively. Each panel shows the RS-T curves with and without gating for the pristine and etched samples. For each etched sample, bias voltages VG of 5 V (red solid line), 0 V (red broken line), and 5 V (purple solid line) were applied in that order. For each pristine sample, bias voltages VG of 0 V (blue broken line) and 5 V (blue solid line) were applied in that order. (e,f) The T dependences of the Hall coefficient (RH) for the samples on the LAO and CaF2 substrates, respectively. Each panel shows the RH-T curves with and without gating for the pristine and etched samples.
Thickness dependence of the superconducting properties of FeSe0.8Te0.2 thin films
The thickness dependence of the superconducting properties was also examined for the LAO, CaF2 and STO samples. Figure 3(a–c) show the RS-T curves of the LAO, CaF2 and STO samples, respectively, with various thicknesses (numbers of etching cycles). RS is normalized to the RS value at 100 K. For the LAO and CaF2 samples, Tc was enhanced after several cycles of etching. The CaF2 sample showed a two-step superconducting transition during the initial stage of etching. A similar two-step transition has been reported for an EDLT configuration on an FeSe flake with a gate bias of approximately 4 V and has been ascribed to the inhomogeneity of the carrier distribution15. In addition, the normalized RS-T curves after the Tc enhancement were nearly identical. In contrast, for the STO sample, Tc was gradually enhanced from 8 K to 38 K over many cycles. We estimated the onset temperature (Tconset) of superconductivity from the RS-T curve as shown in Fig. 3(a). We also estimated the thickness after n cycles of etching, thickness(n), from the following equation:
where QF is the Faradaic charge for each cycle, thickness(XRR) is the film thickness before etching as estimated from the XRR measurement, and ntotal is the total number of cycles needed for the etching of the entire film. After the total etching of the film, the sample resistance is larger than MOhm. In addition, the film totally disappeared after the etching experiment. Therefore, we assumed the entire film was etched during the ntotal cycles of etching. Figure 3(d) shows the thickness dependence of Tconset for the LAO, CaF2 and STO samples. Tc started to increase only after two cycles of etching and saturated at 38 K after four cycles for the LAO and CaF2 samples. As reported in the previous paragraph, Tc decreased to its original value with the removal of VG at 250 K, but it returned to 38 K after the next application of VG = 5 V for the next cycle. The STO sample showed Tc enhancement from 8 K to 16 K at a thickness of 30 nm and a further Tc enhancement to 38 K at a thickness of 10 nm. Since Tc enhancement was observed for thick samples on all substrates, and since Tc changed with the application and removal of VG, we conclude that this Tc enhancement was not affected by the interface between the substrate and the film but instead originated from the surface conducting layer produced by VG = 5 V.
Figure 3.
Variations in the superconducting transition temperature with changes in thickness for FeSe0.8Te0.2 samples on various substrates. (a–c) The T dependences of RS (normalized to the RS value at 100 K, RS(100 K)) for LAO, CaF2 and STO samples, respectively, subjected to electrochemical etching at VG = 5 V. (d) The thickness dependences of Tconset for the three samples. Filled symbols correspond to the data shown in (a–c), for which the thickness was estimated from QF. Open symbols correspond to other samples whose thicknesses after etching were directly measured via TEM, as shown in Fig. 4.
The thickness of the samples which showed the Tc enhancement was confirmed by means of transmission electron microscopy (TEM) and XRD measurements. We performed corresponding etching experiments using other samples on LAO, CaF2 and STO substrates and terminated the etching process after several cycles. All of the etched samples showed superconductivity at Tc values above 34 K. The film thickness after etching was directly obtained via TEM measurements. The thickness dependences of Tconset for these samples are shown in Fig. 3(d). The FeSe0.8Te0.2 films on LAO, CaF2 and STO substrates all showed Tc enhancement for films with thicknesses greater than 30 nm. As shown in Fig. 4(a,b) and in S. Fig. 1(a,e) in the Supplementary Information, the interface between the substrate and the film was smooth for all films, and a clear periodicity of the atomic arrays was observed. The bright region at the interface probably indicates Se diffusion from the film into the substrate27,28. For the film on the LAO substrate, the clear periodicity remained at the surface, and no additional layer was found on the film, as shown in Fig. 4(a). On the CaF2 and STO substrates, a disordered FeOx layer was found on the ordered region with clear periodicity. The Tc enhancement probably occurred in this ordered region. XRD patterns recorded before and after etching indicated that the peak position remained unchanged and that no new peak was present after etching, as shown in Fig. 4(c); the only observed difference was a decrease in the peak intensity. In addition, the FWHM of the rocking curve for the (001) peak remained unchanged, as shown in Fig. 4(d). These XRD data indicated that no new phase was created in the film by the etching process. Thus, no electrochemical reaction occurred in the bulk of the film; instead, such reactions took place only at the surface.
Figure 4.
TEM and XRD data for the same sample on a LAO substrate before (pristine) and after (etched) electrochemical etching. (a,b) TEM images of the etched sample. (c,d) XRD patterns and rocking curves, respectively, for the (001) diffraction peak of the FeSe0.8Te0.2 film. The intensity is normalized to the intensity at ω = 0.
We also examined the thickness dependence of Tc for FeSe films on LAO and STO substrates. As shown in S. Fig. 2(a,b), these films showed Tc enhancements of up to 30 or 40 K upon etching. On STO substrates, only films with thicknesses below 12 nm showed Tc enhancement. This finding coincides with those of previous reports16. In contrast, a film with a thickness of 30 nm on the LAO substrate showed Tc enhancement, similar to the behavior of FeSe0.8Te0.2 films. Notably, several FeSe0.8Te0.2 samples on CaF2 and STO substrates showed Tc enhancement to above 37 K only for thicknesses below 10 nm. The different critical thicknesses for FeSe and FeSe0.8Te0.2 films on different substrates were probably due to differences in the homogeneity of the films. As shown in S. Fig. 1(a,e) in the Supplementary Information, a disordered region was observed in the FeSe0.8Te0.2 film on STO. In addition, a disordered Fe (or FeOx) layer was observed on top of the FeSe0.8Te0.2 films on CaF2 and STO substrates. These TEM images indicate that the film quality depends on the substrate and that the best quality is achieved for FeSe0.8Te0.2 films on LAO substrates. We consider that good film quality throughout the entire film is necessary for the occurrence of Tc enhancement for a thick film. Thus, although we did not perform TEM measurements of all of these samples, the lack of Tc enhancement to 38 K for the thick films on some samples might have been due to insufficient film homogeneity, especially near the surface.
Discussion
Finally, we discuss the origin of the Tc enhancement. The Tc enhancement has been reported to be due to charge accumulation on the surface of the FeSe15,16,18. However, an electrochemically reacted layer on the surface may also show a high Tc, since FeSe samples intercalated with alkali ions and/or organic molecules present Tc values above 40 K8,9. To distinguish electrostatic charge accumulation from electrochemical reaction, we estimated the sheet resistance and Hall coefficient of the surface layer. The resistance tensor, ρ, and the conductance tensor, σ, are represented by the following equations:
| 1 |
| 2 |
where B is the magnetic field applied during the Hall measurement. The σ of a sample at VG = 5 V is equal to the sum of the σ values of the sample at VG = 0 V and of the surface conducting layer produced by a VG of 5 V. Therefore, the sheet resistance and Hall coefficient of the surface conducting layer, RSsurface and RHsurface, obey the following equations:
| 3 |
| 4 |
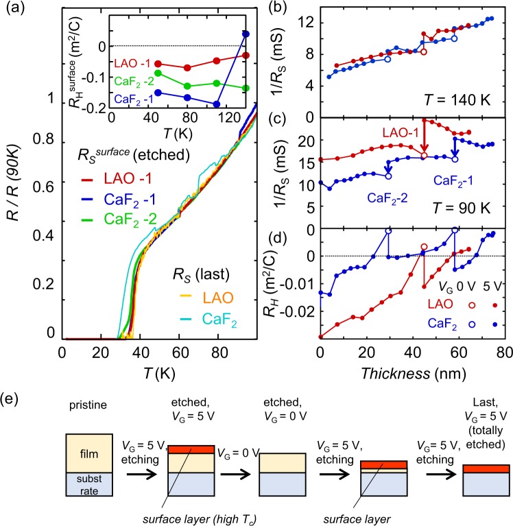
As shown in Fig. 5(b–d), we examined the changes in the sheet resistance and Hall coefficient for one VG cycle of a LAO sample (LAO-1, as shown in Fig. 2(c)) and two VG cycles of a CaF2 sample (CaF2-1 and CaF2-2, where the data for CaF2-1 are shown in Fig. 2(d)). Figure 5(a) shows the temperature dependence of RSsurface normalized to the value at 90 K. The RS-T curves for the LAO and CaF2 samples just before the last etching cycle, RS(last), are also plotted. All curves follow almost the same profile. This indicates that the transport properties, such as the electron mobility and scattering time, of all samples exhibited identical temperature dependences. As shown in the inset of Fig. 5(a), RH was almost independent of temperature and negative for all samples. Electron-type conduction is a common feature in previous reports on the Tc enhancement of FeSe7,15–18, and the vanishing of the hole pocket at the Fermi level has been considered to be the origin of the Tc enhancement7,15,16. The observed Hall coefficient values of 0.05 to 0.2 m2/C correspond to 4–17 electrons per unit cell in two dimensions (0.376 nm × 0.376 nm). If such a high density of carriers were electrostatically accumulated on the surface, then electrons would be strongly scattered at the surface, and the scattering time should change with the variation in the accumulated carrier density29. However, no such change was observed in the R-T curves. In addition, as shown previously in Fig. 2(c,d), the removal of VG irreversibly changed RS, suggesting that the origin of the change in RS is some other phenomenon than electrostatic carrier doping. Therefore, a different cause of carrier doping other than the electric field effect is likely responsible for the Tc enhancement.
Figure 5.
Superconducting transition for the surface conducting layer and changes in the transport properties with electrochemical etching for various samples. (a) The T dependence of the RS values of the surface conducting layer (RSsurface), normalized to the value at 90 K. RSsurface was estimated from the change in the sheet conductance between VG values of 5 V and 0 V. Data for three VG cycles of two samples, labeled as LAO-1, CaF2-1 and CaF2-2 in (c), are shown. The RS-T curves just before the last etching cycle for the LAO and CaF2 samples are also plotted. The inset shows the RH values of the surface conducting layers of the LAO-1, CaF2-1 and CaF2-2 samples as a function of temperature. (b–d) Values of 1/RS at 140 K and 50 K and of RH at 50 K, respectively, as functions of the film thickness for the LAO and CaF2 samples. VG was changed from 5 V to 0 V once and twice during the etching of the LAO and CaF2 samples, respectively. (e) Schematic illustration of the evolution of a sample during etching. A surface layer is formed during etching and disappears with the removal of the gate bias.
Both the irreversible change in RS with VG and the lack of variation in the electron mobility with the carrier doping can be explained by assuming that the surface conducting layer is formed not by the accumulation of electrostatic charge but by an electrochemical reaction between the FeSe0.8Te0.2 and the ionic liquid. We hypothesize that the etching of the film and the formation of the surface conducting layer occurred simultaneously with the application of the VG of 5 V. One potential candidate of the forming reaction of the surface conducting layer is an electrochemical intercalation of DEME+ ion,
Since observed QF during the reaction was much larger than QF needed for this reaction, other electrochemical reaction, such as electrochemical decomposition of DEME-TFSI and dissolution of FeSe0.8Te0.2, also occurs. We discussed on the possible electrochemical reactions in the Supplementary Information. In addition, we hypothesize that when this VG was removed, the surface conducting layer disappeared, probably due to decomposition or peeling off from the surface. Then, the abrupt decrease in the sheet conductance occurred with the removal of VG. In addition, both the electron mobility and the volume charge carrier density should be identical among LAO-1, CaF2-1 and CaF2-2. This hypothesis was also supported by the change in the sheet conductance with the repeated etching of the LAO and CaF2 samples, as shown in Fig. 5(d). The sheet conductance at 50 K decreased with the removal of VG and, with repeated etching, gradually increased after this reduction. This behavior can be explained by an increase in the thickness of the surface conducting layer with repeated etching. If the conductance of the surface conducting layer is higher than that of the bulk FeSe0.8Te0.2 film at 50 K, then repeated etching will increase the sheet conductance at low temperatures. As the number of etching cycles increases, the ratio of the thickness of the surface conducting layer to the total film thickness will increase. Then, just before the film is totally removed, the surface conducting layer will cover almost the entire film. Consistent with this picture, the temperature dependences of the sheet resistance just before the last etching cycle for both the LAO and CaF2 samples were also identical to that for the surface conducting layer, as shown in Fig. 5(a). We also examined two dimensionality of the superconductivity on the surface conducting layer. When the superconducting layer is thinner than the superconducting coherence length, it behaves as a two dimensional superconductor. However, as shown in S. Fig. 4 in the Supplementary Information, the surface conducting layer did not behave as a two dimensional superconductor. This suggests that superconducting layer is electrochemically formed and relatively thick.
Conclusion
In conclusion, a surface conducting layer with a Tc of 38 K was formed with the electrochemical etching of FeSe0.8Te0.2 thin films on LAO, CaF2 and STO substrates. Since the thicknesses of all etched samples with Tc values of 38 K were greater than 30 nm, the enhancement of Tc cannot be related to any interaction between the film and the substrate. In addition, Tc enhancement was also observed for an FeSe thin film on a LAO substrate with a thickness of approximately 30 nm. The surface conducting layer again showed almost identical temperature dependences between the sheet resistance and the Hall coefficient. This finding suggests that the surface conducting layer is formed not by the accumulation of electrostatic charge on the FeSe0.8Te0.2 surface but by an electrochemical reaction between the FeSe0.8Te0.2 and the ionic liquid electrolyte. Hall coefficient measurements showed that the surface conducting layer contained 4–17 electrons per unit cell in two dimensions, with an overall negative charge. From TEM measurements, we could observe a smooth interface between the substrate and the film and a clear periodicity of the atomic arrays in the etched FeSe0.8Te0.2 film on the LAO substrate. These observations indicate that the formation of the surface conducting layer did not affect the bulk region of the film, and the surface conducting layer completely disappeared with the removal of VG. We consider that previous studies on carrier doping in ultrathin FeSe film can be classified into two groups: those that show a Tc of approximately 40 K for a several-layer FeSe film and those that show a Tc above 65 K for a monolayer FeSe on STO. Our results indicate that the electrochemical doping of FeSe and FeSe0.8Te0.2 can result in the formation of a superconducting layer with a Tc of approximately 40 K and that no interfacial interaction is necessary for the enhancement of Tc to 40 K. However, we think that the interface between FeSe and STO is probably essential for the enhancement of Tc above 65 K. We believe that it will be possible to prepare monolayer FeSe with a Tc above 65 K with further study of the electrochemical etching of FeSe.
Methods
FeSe and FeSe0.8Te0.2 thin films were deposited by means of pulsed laser deposition (PLD) with a KrF eximer laser and an FeSe or FeSe0.8Te0.2 polycrystalline target. The fabrication conditions are described in detail elsewhere30,31. We used a commercially available STO (001) substrate with a step-and-terrace surface, a LAO (001) substrate and a CaF2 (001) substrate. AFM and XRD measurements were carried out prior to device fabrication. Au(100 nm)/Ti (20 nm) films were formed via electron-beam evaporation at a base pressure of 10−5 Torr. Since FeSe0.8Te0.2 thin films can be damaged by exposure to high temperatures (above 100 deg. Celsius) and water during the standard processes of photolithography and dry etching, we employed a sandblasting technique at room temperature for the fabrication of Hall bar electrodes. The films were coated with a dry film resist patterned via photolithography and were etched by sandblasting with alumina emery (#220). The Hall bar electrodes and wires were coated with a silicone sealant to prevent electrochemical reactions between the electrolyte and the Au/Ti electrode. The ionic liquid DEME-TFSI was dropped onto the channel area of the Hall bar configuration and the Pt film. Electrochemical etching and transport measurements were carried out in a He atmosphere with a Quantum Design Physical Property Measurement System (PPMS) at temperatures from 300 K to 2 K.
Electronic supplementary material
Acknowledgements
This work was supported in part by JSPS KAKENHI (Grant Numbers 25708039 and 25220604) and CREST-JST.
Author Contributions
S.K., Y.K. and K.U. designed the research and analyzed the data. S.K. and Y.S. contributed to the device fabrication and the measurements of the transport properties and device characteristics. A.I. contributed to the TEM measurements. D.A., F.N., Y.I. and A.M. contributed to the film fabrication and to the XRD and AFM measurements. The text and figures of the paper were prepared by S.K., K.U. and A.M. All authors contributed to discussing the results reported in the manuscript.
Competing Interests
The authors declare no competing interests.
Footnotes
Publisher's note: Springer Nature remains neutral with regard to jurisdictional claims in published maps and institutional affiliations.
Electronic supplementary material
Supplementary information accompanies this paper at 10.1038/s41598-018-33121-7.
References
- 1.Hsu F-C, et al. Superconductivity in the PbO-type structure α-FeSe. Proc. Natl. Acad. Sci. 2008;105:14262–14264. doi: 10.1073/pnas.0807325105. [DOI] [PMC free article] [PubMed] [Google Scholar]
- 2.Ge J-F, et al. Superconductivity above 100 K in single-layer FeSe films on doped SrTiO3. Nat. Mater. 2015;14:285–289. doi: 10.1038/nmat4153. [DOI] [PubMed] [Google Scholar]
- 3.Sun Y, et al. High temperature superconducting FeSe films on SrTiO3 substrates. Sci. Rep. 2014;4:6040. doi: 10.1038/srep06040. [DOI] [PMC free article] [PubMed] [Google Scholar]
- 4.He S, et al. Phase diagram and electronic indication of high-temperature superconductivity at 65 K in single-layer FeSe films. Nat. Mater. 2013;12:605–610. doi: 10.1038/nmat3648. [DOI] [PubMed] [Google Scholar]
- 5.Qing-Yan W, et al. Interface-Induced High-Temperature Superconductivity in Single Unit-Cell FeSe Films on SrTiO3. Chin. Phys. Lett. 2012;29:037402. doi: 10.1088/0256-307X/29/3/037402. [DOI] [Google Scholar]
- 6.Tan S, et al. Interface-induced superconductivity and strain-dependent spin density waves in FeSe/SrTiO3 thin films. Nat. Mater. 2013;12:634–640. doi: 10.1038/nmat3654. [DOI] [PubMed] [Google Scholar]
- 7.Miyata Y, Nakayama K, Sugawara K, Sato T, Takahashi T. High-temperature superconductivity in potassium-coated multilayer FeSe thin films. Nat. Mater. 2015;14:775–779. doi: 10.1038/nmat4302. [DOI] [PubMed] [Google Scholar]
- 8.Burrard-Lucas M, et al. Enhancement of the superconducting transition temperature of FeSe by intercalation of a molecular spacer layer. Nat. Mater. 2013;12:15–19. doi: 10.1038/nmat3464. [DOI] [PubMed] [Google Scholar]
- 9.Hatakeda T, et al. New Alkali-Metal- and 2-Phenethylamine-Intercalated Superconductors Ax(C8H11N)yFe1−zSe (A = Li, Na) with the Largest Interlayer Spacings and Tc ∼ 40 K. J. Phys. Soc. Jpn. 2016;85:103702. doi: 10.7566/JPSJ.85.103702. [DOI] [Google Scholar]
- 10.Wang AF, et al. Superconductivity at 32 K in single-crystalline RbxFe2−ySe2. Phys. Rev. B. 2011;83:060512. doi: 10.1103/PhysRevB.83.060512. [DOI] [Google Scholar]
- 11.Zhang Y, et al. Nodeless superconducting gap in AxFe2Se2 (A = K, Cs) revealed by angle-resolved photoemission spectroscopy. Nat. Mater. 2011;10:273–277. doi: 10.1038/nmat2981. [DOI] [PubMed] [Google Scholar]
- 12.Ying TP, et al. Observation of superconductivity at 30∼46K in AxFe2Se2 (A = Li, Na, Ba, Sr, Ca, Yb, and Eu) Sci. Rep. 2012;2:426. doi: 10.1038/srep00426. [DOI] [PMC free article] [PubMed] [Google Scholar]
- 13.Krzton-Maziopa A, et al. Synthesis of a new alkali metal–organic solvent intercalated iron selenide superconductor with T c ≈ 45 K. J. Phys. Condens. Matter. 2012;24:382202. doi: 10.1088/0953-8984/24/38/382202. [DOI] [PubMed] [Google Scholar]
- 14.Lu XF, et al. Coexistence of superconductivity and antiferromagnetism in (Li0.8Fe0.2)OHFeSe. Nat. Mater. 2015;14:325–329. doi: 10.1038/nmat4155. [DOI] [PubMed] [Google Scholar]
- 15.Lei B, et al. Evolution of High-Temperature Superconductivity from a Low-Tc Phase Tuned by Carrier Concentration in FeSe Thin Flakes. Phys. Rev. Lett. 2016;116:077002. doi: 10.1103/PhysRevLett.116.077002. [DOI] [PubMed] [Google Scholar]
- 16.Shiogai J, Ito Y, Mitsuhashi T, Nojima T, Tsukazaki A. Electric-field-induced superconductivity in electrochemically etched ultrathin FeSe films on SrTiO3 and MgO. Nat. Phys. 2016;12:42–46. doi: 10.1038/nphys3530. [DOI] [Google Scholar]
- 17.Hanzawa K, Sato H, Hiramatsu H, Kamiya T, Hosono H. Key Factors for Insulator -Superconductor Transition in FeSe Thin Films by Electric Field. IEEE Trans. Appl. Supercond. 2017;27:1–5. doi: 10.1109/TASC.2016.2639738. [DOI] [Google Scholar]
- 18.Hanzawa K, Sato H, Hiramatsu H, Kamiya T, Hosono H. Electric field-induced superconducting transition of insulating FeSe thin film at 35 K. Proc. Natl. Acad. Sci. 2016;113:3986–3990. doi: 10.1073/pnas.1520810113. [DOI] [PMC free article] [PubMed] [Google Scholar]
- 19.Shiogai J, Miyakawa T, Ito Y, Nojima T, Tsukazaki A. Unified trend of superconducting transition temperature versus Hall coefficient for ultrathin FeSe films prepared on different oxide substrates. Phys. Rev. B. 2017;95:115101. doi: 10.1103/PhysRevB.95.115101. [DOI] [Google Scholar]
- 20.Ueno K, et al. Electric-field-induced superconductivity in an insulator. Nat Mater. 2008;7:855–858. doi: 10.1038/nmat2298. [DOI] [PubMed] [Google Scholar]
- 21.Yuan H, et al. High-Density Carrier Accumulation in ZnO Field-Effect Transistors Gated by Electric Double Layers of Ionic Liquids. Adv. Funct. Mater. 2009;19:1046–1053. doi: 10.1002/adfm.200801633. [DOI] [Google Scholar]
- 22.Ueno K, et al. Field-Induced Superconductivity in Electric Double Layer Transistors. J. Phys. Soc. Jpn. 2014;83:032001. doi: 10.7566/JPSJ.83.032001. [DOI] [Google Scholar]
- 23.Imai Y, Sawada Y, Nabeshima F, Maeda A. Suppression of phase separation and giant enhancement of superconducting transition temperature in FeSe1−xTex thin films. Proc. Natl. Acad. Sci. USA. 2015;112:1937–1940. doi: 10.1073/pnas.1418994112. [DOI] [PMC free article] [PubMed] [Google Scholar]
- 24.Imai Y, et al. Control of structural transition in FeSe1−xTex thin films by changing substrate materials. Sci. Rep. 2017;7:46653. doi: 10.1038/srep46653. [DOI] [PMC free article] [PubMed] [Google Scholar]
- 25.Tsukada I, et al. Epitaxial Growth of FeSe0.5Te0.5 Thin Films on CaF2 Substrates with High Critical Current Density. Appl. Phys. Express. 2011;4:053101. doi: 10.1143/APEX.4.053101. [DOI] [Google Scholar]
- 26.Nabeshima F, Imai Y, Hanawa M, Tsukada I, Maeda A. Enhancement of the superconducting transition temperature in FeSe epitaxial thin films by anisotropic compression. Appl. Phys. Lett. 2013;103:172602. doi: 10.1063/1.4826945. [DOI] [Google Scholar]
- 27.Ichinose A, et al. Microscopic analysis of the chemical reaction between Fe(Te, Se) thin films and underlying CaF2. Supercond. Sci. Technol. 2013;26:075002. doi: 10.1088/0953-2048/26/7/075002. [DOI] [Google Scholar]
- 28.Tsukada I, Ichinose A, Nabeshima F, Imai Y, Maeda A. Origin of lattice compression of FeSe1−xTex thin films on CaF2 substrates. AIP Adv. 2016;6:095314. doi: 10.1063/1.4963646. [DOI] [Google Scholar]
- 29.Sato Y, Doi K, Katayama Y, Ueno K. Electrolyte dependence of transport properties of SrTiO3 electric double layer transistors. Jpn. J. Appl. Phys. 2017;56:051101. doi: 10.7567/JJAP.56.051101. [DOI] [Google Scholar]
- 30.Imai Y, et al. Superconductivity of FeSe0.5Te0.5 Thin Films Grown by Pulsed Laser Deposition. Jpn. J. Appl. Phys. 2010;49:023101. doi: 10.1143/JJAP.49.023101. [DOI] [Google Scholar]
- 31.Imai Y, et al. Systematic Comparison of Eight Substrates in the Growth of FeSe0.5Te0.5 Superconducting Thin Films. Appl. Phys. Express. 2010;3:043102. doi: 10.1143/APEX.3.043102. [DOI] [Google Scholar]
Associated Data
This section collects any data citations, data availability statements, or supplementary materials included in this article.





