Abstract
Engineering protein translation machinery to incorporate noncanonical amino acids (ncAAs) into proteins has advanced applications ranging from proteomics to single-molecule studies. As applications of ncAAs emerge, efficient ncAA incorporation is crucial to exploiting unique chemistries. We have established a quantitative reporter platform to evaluate ncAA incorporation in response to the TAG (amber) codon in yeast. This yeast display-based reporter utilizes an antibody fragment containing an amber codon at which a ncAA is incorporated when the appropriate orthogonal translation system (OTS) is present. Epitope tags at both termini allow for flow cytometry-based endpoint readouts of OTS efficiency and fidelity. Using this reporter, we evaluated several factors that influence amber suppression, including the amber codon position and different aminoacyl-tRNA synthetase/tRNA (aaRS/tRNA) pairs. Interestingly, previously described aaRSs evolved from different parent enzymes to incorporate O-methyl-L-tyrosine exhibit vastly different behavior. Escherichia coli leucyl-tRNA synthetase variants demonstrated efficient incorporation of a range of ncAAs, and we discovered unreported activities of several variants. Compared to a plate reader-based reporter, our assay yields more precise bulk-level measurements while also supporting single-cell readouts compatible with cell sorting. This platform is expected to allow quantitative elucidation of principles dictating efficient stop codon suppression and evolution of next-generation stop codon suppression systems to further enhance genetic code manipulation in eukaryotes. These efforts will improve our understanding of how the genetic code can be further evolved while expanding the range of chemical diversity available in proteins for applications ranging from fundamental epigenetics studies to engineering new classes of therapeutics.
Keywords: Yeast display, noncanonical amino acids, amber suppression, expanded genetic code, aminoacyl-tRNA synthetase
Graphical Abstract

Protein translation machinery found in a wide range of organisms supports the alteration and expansion of the genetic code using noncanonical amino acids (ncAAs; also referred to as unnatural amino acids (uAAs), nonstandard amino acids (nsAAs), or nonnatural amino acids (nAAs)).1-4 Engineering translation apparatuses to support ncAA incorporation in response to one or more codons has led to applications ranging from proteomics and protein biophysics to bioconjugate chemistry and single-molecule studies.2, 5-13 As applications of genetically encoded ncAAs continue to emerge, highly efficient encoding of ncAAs is crucial to exploiting a broad range of chemical functionality in proteins. In some cases, Escherichia coli-based residue-specific ncAA incorporation, where a group of codons that normally encodes a canonical amino acid (cAA) is recoded as a ncAA, has yielded proteins containing multiple instances of a ncAA with a high degree of cAA replacement.14 However, this strategy can be limited by the need to completely replace one of the cAAs of a protein, potentially disrupting the target protein’s structure or function. Alternatively, encoding a ncAA in response to a stop codon, such as the TAG (amber) codon, allows for a 21st amino acid to be encoded alongside the full set of cAAs. This is achieved by introducing an orthogonal translation system (OTS) consisting of an aminoacyl-tRNA synthetase/tRNA (aaRS/tRNA) pair that, ideally, should not interact with the native translation machinery of the host.15, 16 Achieving both high efficiency and high fidelity during readthrough of stop codons remains a significant challenge for the field. Previous work has shown that careful engineering of the OTS is necessary to encode ncAAs with translation efficiencies approaching those observed with cognate codons.17 There are several important properties of the OTS that must be considered when adding an amino acid to the genetic code, including the catalytic characteristics and expression level of the aaRS, the sequence and expression level of the tRNA, and the affinity and specificity of the aaRS-tRNA interaction. Several strategies for engineering these properties have led to more efficient stop codon readthrough, especially in E. coli.7 In addition to the OTS, other components of the translation apparatus and the composition of the genome itself can have major impacts on stop codon suppression.17-30 Although engineering many of these components has led to enhanced genetic code manipulation, it remains difficult to quantify the relative contributions of individual factors that improve ncAA incorporation (for example, aaRS catalytic efficiency versus genome composition). Quantitative, robust measurements are essential to systematically evaluate the efficiencies of genetic code manipulation systems and to identify the most effective strategies for improving the performance of these systems.
Previous work quantifying ncAA incorporation via stop codon suppression in cells has largely focused on bulk measurements utilizing GFP or other fluorescence-based reporters containing one or more stop codons in which only readthrough leads to a fluorescence protein product.2, 31 These measurements can be performed in most laboratories due to the wide availability of multiwell plate readers, but data emerging from these approaches are not always reported in comparison to expression of fluorescent reporters containing only cAAs, making comparison between experiments, distinct OTSs, or hosts challenging. Recently, a reporter system in E. coli suitable for quantifying both stop codon readthrough and cAA misincorporation frequency was described that utilizes a dual fluorescent protein reporter with red fluorescent protein (RFP) and GFP connected by a linker containing a TAG codon.32 This RFP-TAG-GFP reporter provides a carefully controlled method for comparing readthrough measurements between diverse systems, but requires continuous overnight monitoring in a plate reader and is limited to bulk measurements. Thus, this quantitative method is relatively low in throughput and does not support the endpoint measurements required for rapid assessment of readthrough events in millions of single cells. Other recent work in E. coli has demonstrated that fluorescent protein reporters can be used with flow cytometry to isolate aaRS variants that support full-length protein production with stop codon suppression on a single-cell basis.33, 34 The utility of this approach in quantifying which factors dictate efficient stop codon suppression has yet to be described. Refining these quantitative approaches is important for understanding and enhancing genetic code manipulation.
In addition to the need for further refining stop codon readthrough measurements, there remains a critical need to rigorously quantify ncAA incorporation in cells from species other than E. coli, as cells from other organisms facilitate basic biological studies and engineering applications beyond those possible in the most common laboratory bacterium. Saccharomyces cerevisiae exemplifies this need, as it is a simple eukaryotic organism that supports the study of basic aspects of eukaryotic biology including genetics, genomics, and chromatin organization and remodeling.35-37 S. cerevisiae is also a crucial engineering platform for synthetic biology, protein engineering, and metabolic engineering, exemplified by technologies such as powerful and quantitative yeast display platforms for protein engineering.38, 39 Despite these advantages, very little work has been done to leverage yeast in the context of genetic code manipulation. In order to fully exploit applications of ncAAs in yeast, it is essential to quantitatively characterize genetic code manipulation to understand the capabilities of existing yeast-based systems and to identify strategies for enhancing stop codon suppression in the organism.
Here, we describe a strategy for quantifying the stop codon readthrough efficiency and fidelity of amber suppression systems on the surface of yeast (Figure 1). The display format enables the use of flow cytometry to analyze suppression events at the level of both single cells and populations, providing insights into cell-to-cell variability in performance and an overall set of metrics for the bulk population. Epitope tags encoded upstream and downstream of a TAG codon provide a means of carefully measuring reporter display levels and stop codon readthrough. Our findings indicate that this flow cytometry-based format supports endpoint measurements of stop codon readthrough with a higher degree of precision than a fluorescent protein-based reporter system. We used the platform to characterize variants of multiple OTSs derived from the E. coli tyrosyl- and leucyl-tRNA synthetase pairs (TyrRS/tRNACUATyr and LeuRS/tRNACUALeu).40, 41 The system supports assessments of factors that affect stop codon suppression, including plasmid copy number and positioning of the amber codon within the reporter. In a survey of the readthrough capabilities of several OTS variants with a range of commercially available ncAAs, we found several examples of highly efficient stop codon readthrough with combinations of ncAAs and variants of the E. coli LeuRS that have not previously been reported. The robustness of the flow cytometry-based reporter system described here makes it an ideal platform for quantitatively assessing the contributions of individual factors to genetic code manipulation and for high throughput screening to enhance stop codon readthrough in this critical eukaryotic model organism. In yeast, this reporter will enable yeast display-based evolution of proteins containing an expanded range of chemical functionality and studies of basic biology in which encoding additional chemical functionality is essential to dissect specific biological processes. Furthermore, enhancements to genetic code manipulation and evolved OTSs obtained with this platform are expected to be readily transferrable to eukaryotic cells from mammals and other organisms, facilitating enhanced genetic code manipulation in a wide range of eukaryotes.
Figure 1.
Reporter system architecture and stop codon readthrough detection via flow cytometry. (a) Schematic representation of the reporter construct containing an amber (TAG) codon at the L1 position of the light chain of an antibody fragment (scFv) and the amber suppression construct containing an orthogonal aminoacyl-tRNA synthetase (aaRS) and tRNA. A control reporter construct containing an aspartic acid (GAT; WT codon in Figure 1c) in place of the amber codon is used for normalization. (b) Insertion of a noncanonical amino acid (ncAA) at the TAG codon by the aaRS/tRNA pair leads to readthrough of the stop codon, resulting in the display of the full, ncAA-containing reporter protein on the yeast surface. When translation is terminated at the TAG position, this leads to the display of a truncated construct on the yeast surface. (c) Flow cytometry plots of stop codon readthrough performed in cells expressing a variant of the E. coli leucyl-tRNA synthetase referred to as LeuOmeRS.41 Detection of HA (N-terminal) and c-Myc (C-terminal) epitope tags to compare WT codon and TAG codon readthrough was performed in the absence and presence of OmeY (−OmeY and +OmeY, respectively).
Results and Discussion
Yeast-displayed reporter of stop codon suppression.
In this work, we utilized a derivative of the yeast display vector pCTCON2 encoding an antibody fragment as the basis for the reporter system (Figure 1a). A TAG (amber) stop codon was inserted at the first position of the light chain of the single-chain variable fragment (scFv position L1) in order to allow incorporation of a noncanonical amino acid (ncAA) via amber suppression; based on the crystal structure of similar antibodies, we anticipated that the L1 position of the antibody fragment would tolerate numerous amino acid substitutions.42 To ensure the modularity of the system, the aaRS/tRNA pair comprising the orthogonal translation system (OTS) is constitutively expressed on a separate suppression plasmid (Figure 1a) as we have described previously.43, 44 When both the reporter and suppression plasmids are present within an S. cerevisiae yeast display strain such as RJY100,43 any full-length protein display on the yeast surface results in the presentation of the N- and C-terminal epitope tags (HA and c-Myc, respectively) that can be detected via flow cytometry, whereas the display of a truncated construct results in the presentation of only the N-terminal tag (Figure 1b, c). In contrast to previously described readthrough reporters in yeast,23,43-45 this system allows for the investigation of OTS efficiency and specificity while enabling normalization to the total number of constructs for which protein synthesis was initiated (including both truncated and full-length proteins). As first pointed out by Barrick and coworkers, monitoring total translation initiation events versus full-length reporter levels facilitates quantitative measurement of the readthrough of a specific stop codon.32 The choice of an antibody as the displayed construct in the reporter is somewhat arbitrary, as the epitope tags that enable quantification of readthrough efficiency flank the antibody and do not depend on the antibody’s function. Figure 1c depicts a series of flow cytometry-based readthrough experiments utilizing a variant of the E. coli leucyl-tRNA synthetase originally engineered to incorporate O-methyl-L-tyrosine (OmeY; 1 in Figure 2) into proteins.41 The individual dot plots with cells containing “LeuOmeRS” and the corresponding suppressor tRNA confirm the feasibility of measuring readthrough on a cell-by-cell basis while also clearly revealing the cell-to-cell variability in detected levels of the N- and C-termini of the reporter construct, especially in the populations harboring the reporter containing a TAG codon. Qualitatively, the populations exhibit significant differences dependent on the presence or absence of 1 during induction and the presence of a TAG codon in the reporter. Finally, the data highlight the importance of performing careful controls for generating population-level statistics, as normalizing the data based on positive controls is needed to account for cellular autofluorescence and antibody crossreactivity (see also below). The characteristics of the reporter depicted here indicate that the reporter has all of the necessary features to support quantitative readthrough measurements.
Figure 2.
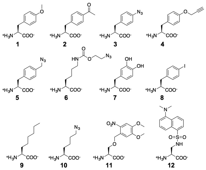
Structures of ncAAs referred to in this study. 1: O-methyl-L-tyrosine (OmeY); 2: p-acetyl-L-phenylalanine (AcF); 3: p-azido-L-phenylalanine (AzF); 4: p-propargyloxy-L-phenylalanine (OPG); 5: 4-azidomethyl-L-phenylalanine (AZMF); 6: H-L-Lys(EO-N3)-OH (LysN3); 7: 3,4-dihydroxy-L-phenylalanine (DOPA); 8: 4-iodo-L-phenylalanine (IPhe); 9: L-α-aminocaprylic acid; 10: Nε-azido-L-lysine (AzK); 11: 4,5-dimethoxy-2-nitrobenzyl-L-serine (DMNB-Ser); 12: (2S)-2-amino-3-({[5-(dimethylamino)naphthalen-1-yl]sulfonyl}amino)propanoic acid (dansylalanine, DanAla).
Comparison of yeast-displayed and fluorescent protein readthrough reporters.
To benchmark the performance of our reporter, we measured stop codon readthrough in display format and compared it against the RFP-TAG-GFP reporter system that we modified for use in yeast (Figure 3). These comparisons were made using several variants of the E. coli tyrosyl-tRNA synthetase/tRNATyr orthogonal pair and the ncAAs 1-3 (Figure 2), all of which are commonly utilized in genetic code manipulation.23, 44, 46 Assessing the performance of these two reporter systems head-to-head with endpoint measurements was essential, as the ability to use endpoint measurements would facilitate high throughput, quantitative screening with flow cytometry (the RFP-TAG-GFP reporter has not previously been evaluated in yeast or assessed for its ability to support endpoint measurements).32 Following the introduction of the RFP-TAG-GFP construct downstream of the same Gal1-10 promoter utilized for yeast display, we performed experiments to generate relative readthrough efficiency (RRE) and maximum misincorporation frequency (MMF) of three OTSs with their “cognate” ncAAs (i.e. the ncAA the aaRS was originally designed and selected for efficient incorporation of) for the display and fluorescent reporter formats as outlined in Figure 3a-c. In this case, the intracellular RFP and GFP signals are functionally equivalent to N-terminal and C-terminal detection of the display reporter construct, respectively. RRE quantifies the readthrough of a stop codon in comparison to the readthrough of a cognate codon (typical range of 0 to 1, with readthrough efficiency equaling the readthrough of the cognate codon at a value of 1), and MMF quantifies the maximum frequency with which a stop codon is read through aberrantly with a cAA instead of the ncAA of interest (range of 0 to 1, highest fidelity occurring at a value of 0).32 The RRE equation eliminates potential skewing of data due to the crossreactivity of antibodies used during detection on the flow cytometer, as any fluorescence detected due to crossreactivity is accounted for by having N- and C-terminal detection in both the numerator and denominator of the quantitative metric used here (see also SI Figure 1). Time course experiments performed to evaluate induction times indicated that induction for 12 hours or longer lead to precise RRE and MMF values, while shorter times do not (SI Figure 2). Following inductions of reporter constructs, we measured display levels or fluorescent protein levels as appropriate for the two reporters. Figure 3d-e depict the resulting RRE and MMF values for data collected with each reporter on the same graph, with the flow cytometry-based data also shown separately below. These data indicate that, under the endpoint measurement conditions used here, data generated with the flow cytometry-based reporter yields RRE and MMF data with much lower error in comparison to data generated with the RFP-TAG-GFP reporter. This lower level of error facilitates the detection of relatively small changes in RRE, such as those observed for different ncAAs used with the same aaRS as in Figure 3e. While the same trends appear in the data obtained with the fluorescent protein reporter system, no distinctions between readthrough efficiencies can be made between the different conditions investigated in these experiments due to the high error present in these measurements. While it is likely that obtaining more biological replicates or performing continuous monitoring of sample fluorescence during induction of the fluorescent reporter system would yield more precise RRE and MMF values, doing so would make data generation and analysis more complex and eliminate the possibility of performing endpoint measurements. Another possibility is that assessing the RFP-TAG-GFP system on a flow cytometer could yield readthrough efficiencies similar to that observed in display format. While no flow cytometer capable of reading out RFP fluorescence was readily available during the course of this work, this question could be investigated in future studies. The results here demonstrate that the use of a yeast display-based reporter with flow cytometry readouts yields robust and precise measurements of stop codon readthrough suitable for evaluating orthogonal translation systems.
Figure 3.
Use of detectable fluorescent signals to compare stop codon readthrough efficiency and specificity. (a) Expected detectable fluorescent signals for the yeast display reporter and fluorescent protein reporter constructs with either the wild-type (WT) or TAG codons in the absence (−) or presence (+) of a ncAA. (b) Schematic representation of RFP-(TAC/TAG)-GFP reporter construct32 with either a wild-type tyrosine (TAC) or amber codon (TAG) in the linker between the fluorescent proteins. (c) Equations to calculate relative readthrough efficiency (RRE) and maximum misincorporation frequency (MMF) using the detectable fluorescent signals, shown here for the case of the yeast display reporter.32 (d) Comparison of RRE and MMF for fluorescent protein and yeast display reporters with three aaRSs and their cognate amino acids performed in biological triplicate: acetyl-phenylalanyl-tRNA synthetase (TyrAcFRS)44, 46 and p-acetyl-L-phenyalanine (AcF, 2); azido-phenyalanyl-tRNA synthetase (TyrAzFRS)44 and p-azido-L-phenylalanine (AzF, 3); and O-methyltyrosyl-tRNA synthetase (TyrOmeRS)23 and O-methyl-L-tyrosine (OmeY, 1). Flow cytometry data alone shown in bottom graph. (e) Comparison of RRE and MMF to determine the specificity of TyrAcFRS with AcF (2), AzF (3), and OmeY (1) using the yeast display reporter with flow cytometry and the fluorescent protein reporter with a plate reader, both in biological triplicate. Flow cytometry data alone shown in bottom graph.
Evaluation of factors known to affect stop codon readthrough efficiency.
Having confirmed that the yeast display reporter allows for precise measurements of stop codon readthrough, we used the reporter to evaluate other factors known to contribute to amber suppression in yeast. We compared the efficiency and specificity of two OTSs derived from E. coli reported to support the incorporation of OmeY: LeuOmeRS/tRNACUALeu41 with an additional T252A mutation in the editing domain, and TyrOmeRS/tRNACUATyr.23 The data shown in Figure 4a indicate that the LeuRS-based OTS has a much higher RRE and lower MMF than the TyrRS-based OTS (Figure 4a). Given the structural similarities between tyrosine and OmeY in comparison to leucine versus OmeY, this result is surprising. The distinct RREs may be attributable to differences in expression levels of the aaRSs or tRNAs (not measured here), or may be the result of the LeuRS variant’s higher catalytic activity in yeast. The drastically lower misincorporation levels of LeuOmeRS may be partially explained by the presence of a T252A mutation in the editing active site of the enzyme, which is known to eliminate tRNALeu charged with leucine and other small aliphatic amino acids present in the cell. However, this editing site mutant is not expected to enable discrimination against the larger canonical aromatic amino acids,47, 48 suggesting that the remodeled active site of the LeuRS variant discriminates against aromatic amino acids and other cAAs under the induction conditions used in this work.49 Regardless of the molecular explanations for differences in aaRS behavior, these results further confirm the utility of our reporter system in characterizing OTS performance and underscore the importance of comparing different OTSs in carefully controlled experiments to identify the best performing systems.
Figure 4.
Evaluating factors contributing to stop codon suppression with the yeast display-based reporter system. (a) Relative readthrough efficiency and maximum misincorporation frequency for TyrOmeRS23 and LeuOmeRS41 in cells induced in the presence of OmeY and representative corresponding flow cytometry plots. (b) RRE and MMF for TyrAcFRS44 in centromeric (pRS315) and episomal (pRS425) vectors in cells induced in the presence of AcF and representative corresponding flow cytometry plots. (c) RRE and MMF for TyrAcFRS and LeuOmeRS with reporter constructs containing TAG codons at either the first position in the light chain (L1), the 67th position in the light chain (L67), or the 74th position in the heavy chain (H74) of the antibody. Cells containing the OTSs and reporter systems were induced in the presence or absence of their cognate ncAAs (AcF and OmeY for TyrAcFRS and LeuOmeRS, respectively).
We also evaluated whether our reporter system could provide insights into the effects of expressing the same OTS from two distinct vector backbones. To do so, we cloned the entire TyrAcFRS44 OTS from the pRS315 yeast centromeric plasmid backbone (approximately 1 copy/cell)50, 51 into a pRS425 episomal plasmid (approximately 20 copies per cell).52 Yeast were transformed with identical reporter systems (TAG or WT control) and one of the two suppressor plasmids. Figure 4b shows the results of readthrough experiments performed following induction of the cells expressing the OTS from a low- or high-copy plasmid in the presence or absence of AcF. The RRE and MMF clearly indicate that, at the bulk level, constitutively expressing the OTS from the pRS315 backbone results in more consistent and efficient stop codon readthrough in comparison to expressing the OTS from the pRS425 backbone. Examination of the flow cytometry plots revealed that cells transformed with the episomal suppressor construct exhibit heterogeneous behavior, with some cells exhibiting high levels of both c-Myc and HA detection. This implies that the copy number of the pRS425 construct is extremely variable from cell to cell, which in turn results in a subset of cells that exhibit apparently efficient readthrough, while others display undetectable levels of full-length proteins. The presence of a population exhibiting high readthrough levels suggests that a suppressor system that more uniformly supports high-level expression of the OTS could improve stop codon readthrough in yeast. We also repeated the RRE and MMF analysis making the assumption that the OTS plasmids are distributed bimodally in the transformed yeast populations. In this analysis, we excluded the portion of each population that exhibits background levels of c-Myc and have presumably lost the OTS prior to induction (SI Figure 3). When these gated populations were subjected to RRE and MMF analysis, calculated RRE values increased, while calculated MMF values decreased, indicating improved readthrough frequency and ncAA incorporation fidelity in the gated populations. These observations further support the notion that higher plasmid retention would improve OTS performance in yeast, and merit further study in future work. The observations made here would not have been possible with a fluorescent protein-based assay in a plate reader in which only whole-population assessments are made. The ability to measure stop codon readthrough in both single cells and in the overall population is extremely useful for determining how modulations to stop codon suppression components affect ncAA incorporation at both the cellular and population levels.
To begin to investigate the generality of our yeast display-based reporter, we tested whether our reporter supports quantification of readthrough events at other positions in the scFv, as both local stop codon context and the position of a stop codon for suppression within a gene can affect the balance of readthrough versus termination.53-56 Here, we repositioned the amber stop codon at two more positions within the parent antibody construct: one at the 67th position in the light chain, and one at the 74th position of the heavy chain of the antibody fragment. Based on antibody crystal structures, both of these positions were anticipated to be permissive of fairly drastic ncAA substitutions.42 RRE and MMF were assessed at each of the three positions (L1, L67, and H74) with the E. coli TyrAcFRS and LeuOmeRS OTSs with their cognate ncAAs.41, 44 The data shown in Figure 4c indicate similar, indistinguishable levels of readthrough efficiency and specificity at all three stop codon positions tested here, confirming the suitability of our reporter system for evaluating readthrough events at a range of ncAA insertion sites. We also used this series of experiments to evaluate the day-to-day performance of the reporter system. Identical experiments performed on three separate days confirmed the general consistency of the RRE and MMF data obtained across the different stop codon positions and OTSs utilized (SI Figure 4). While position-dependent differences in stop codon readthrough efficiency were not observed in these particular experiments, our demonstration of consistent readthrough measurements at multiple positions suggests that the reporter we have established here will support the careful examination of stop codon readthrough events irrespective of the location of the stop codon in the future.
Having validated the utility of the display-based reporter system under various conditions, we used the reporter to survey the range of ncAAs that numerous existing OTSs are capable of utilizing to support stop codon readthrough. The OTSs we tested consisted of the TyrAcFRS variant44 and LeuOmeRS variant41 described above and four additional E. coli LeuRS variants reported previously,57-59 based on the high readthrough capabilities of LeuOmeRS with OmeY (Figure 4a). For two of the four additional LeuRS variants, we selected variants that have been reported to incorporate the bulky ncAAs 11 (LeuRS BH5 T252A) and 12 (LeuRSB8T252A), hypothesizing that these variants would be able to support stop codon readthrough with a number of other bulky ncAAs (note: the structures of 11 and 12 are shown here for reference; neither of these amino acids were commercially available for testing in this work). We also evaluated the mutants PLRS1 and PLRS2, which have been characterized as polyspecific aaRSs capable of accepting a range of aliphatic ncAAs, including 9, in stop codon readthrough in mammalian cells and in yeast.59-61 Although we cloned a number of OTSs based on pyrrolysyl-tRNA synthetase/tRNA pairs from Methanosarcina barkeri and Methanosarcina mazei into our suppression system, we did not detect readthrough activity in several experiments with subsets of amino acids 1-10 (SI Figure 5). Figure 5a-b summarize the relative readthrough efficiencies and maximum misincorporation frequencies determined for the six variants with amino acids 1-10 (error is reported in SI Table 1). The values reported here are derived from cultures in which 1 mM of the L isomer of ncAA was added to the induction media based on titration experiments to evaluate the concentration dependence of readthrough efficiency (Figure 5c). These titrations indicate that a concentration of 1 mM ncAA approaches the plateau of relative readthrough efficiencies with the cognate ncAAs of OTSs derived from both E. coli TyrRS/tRNATyr and LeuRS/tRNATyr pairs. Up to 1 mM ncAA concentration in the induction media, we did not note any changes in display levels of the reporter, even in control cells containing reporters with no TAG codons (SI Figure 6). At higher ncAA concentrations, the basicity of the ncAA stocks added to the induction media decreases observed display levels (this effect could be countered by adjusting the pH of the ncAA stocks prior to supplementation of the induction media; see also Figure 5 and SI Figure 6).
Figure 5.
Comprehensive evaluations of OTS performance. (a) RRE for 6 aaRS/tRNA pairs in cells induced in the presence of one of 10 ncAAs (see SI Table 1 for error of RRE measurements). (b) MMF for 6 aaRS/tRNA pairs in cells induced in the presence of one of 10 ncAAs (see SI Table 1 for error of MMF measurements). (c) RRE and MMF for TyrAcFRS and LeuOmeRS expressed in cells induced in the presence of OmeY at concentrations ranging from 1 μM to 10 mM. (d) Copper-catalyzed azide-alkyne cycloaddition chemistry experiments to confirm the presence of azide- and alkyne-containing ncAAs in the reporter proteins displayed on the yeast surface. The data for LeuOmeRS + AzMF (5) were obtained in a separate experiment from the data for the other samples. Because the data depicted here come from fluorescence values observed on the flow cytometer that may vary from day-to-day, the data obtained for LeuOmeRS + 5 are depicted separately from the other data reported here.
TyrAcFRS supported moderate-level stop codon suppression activity with ncAAs 1-4 and 8 (the ncAAs that were most structurally similar to its cognate ncAA 2), consistent with previous reports.44 Despite its polyspecific behavior, TyrAcFRS did not exhibit high levels of cAA misincorporation for ncAAs 1-4 or 8 (higher levels of misincorporation were observed in the cases of ncAAs that the OTS did not incorporate well). The highest overall levels of amber codon readthrough were observed with LeuOmeRS expressed in cells induced in the presence of 1, 4, 5, and 8. The high level of readthrough with several chemically reactive ncAAs is anticipated to be advantageous for preparing proteins containing bioorthogonally reactive groups in yeast; the high levels of readthrough with 4, 5, and 8 supported by LeuOmeRS have not previously been reported. Moreover, the ncAAs that support moderate to high readthrough efficiencies with TyrAcFRS and LeuOmeRS are distinct, further highlighting the importance of carefully evaluating readthrough system performance with quantitative measurements to determine performance with individual ncAAs. LeuRS BH5 T252A supported moderate levels of stop codon suppression with 6 and low levels with 9, but did not exhibit detectable readthrough with any other ncAAs tested. The use of 6 and 9 to support TAG readthrough with this variant have not previously been reported. LeuRSB8T252A exhibited modest readthrough levels when cells containing this OTS were induced in the presence of 6, but close to background levels of readthrough for all other ncAAs tested. Similarly, PLRS1 generally supported low levels of readthrough with most ncAAs, with detectable readthrough activities observed for 6 and 9. PLRS2 exhibited the highest background level of stop codon readthrough with cAAs out of the aaRSs tested here, but also demonstrated the highest observed readthrough efficiency for incorporation of 9 while discriminating against the azide-substituted alkyl chain side group of 10. PLRS1 and PLRS2 were both selected for characterization here based their ability to support protein synthesis with 9 in mammalian cells.59 Our observations that PLRS1 and PLRS2 exhibit different levels of fidelity and readthrough efficiency than that reported in mammalian cells highlight the importance of considering cellular context (i.e., mammalian host versus yeast host) when evaluating stop codon readthrough and OTS performance. Despite these differences in performance, the results of this work and other findings confirm that yeast remains a logical starting point for engineering OTSs for eukaryotes, especially OTSs based on E. coli aaRS/tRNA pairs. While not every OTS may exhibit exactly the same behavior in all organisms, coupling the powerful, quantitative reporter system described here with yeast display-based screening and other protein engineering approaches in yeast is anticipated to enable the identification of a range of new OTSs for broad application in eukaryotic organisms.
The display-based reporter also enabled direct functional confirmation that we were able to successfully install the “clickable” amino acids with the use of copper-catalyzed azide-alkyne cycloaddition (CuAAC) chemistry on the yeast surface.44, 62 Figure 5d depicts the results of CuAAC functionalization of cells displaying clickable ncAA side chains with biotin probes containing the complementary functional groups. In all cases, the detected levels of biotin are substantially elevated above background levels when cells display a clickable ncAA, while cells not displaying a clickable ncAA and treated with the biotin probes under CuAAC conditions exhibit levels of fluorescence similar to the levels of untreated cells (Figure 5d and SI Figure 7). It is apparent that the level of biotin detected after CuAAC depends on the ncAA utilized during readthrough; this may in part be the result of varying levels of RRE. However, when comparing a “normalized” biotin level divided by the c-Myc detection with the RRE, we did not observe a strong correlation between the two variables for the four ncAAs tested here, suggesting that direct quantification of reaction products may not always yield accurate information about the efficiency of genetic code manipulation (SI Figure 7).63 Steric considerations of CuAAC, such as where clickable groups are located in relationship to aromatic rings, may partially explain the lack of correlation.64-67 Evaluation of additional clickable ncAAs could result in a more definitive evaluation of the relationship between RRE and normalized biotin detection in this system (SI Figure 7). Regardless, our results demonstrate that a bioorthogonal functional readout can be used to evaluate whether chemically reactive ncAAs retain their functionality after being displayed in proteins on the yeast surface, further highlighting the utility of evaluating readthrough in a display format.
In this work, we have demonstrated that a yeast display-based stop codon readthrough reporter platform is a powerful tool supporting robust and precise measurements of ncAA incorporation efficiency and specificity. The reporter enables a significantly higher level of precision in endpoint measurements than that achievable in a multiwell plate reader, with the added benefit of providing simultaneous single cell- and population-level assessments of stop codon readthrough. Here, we performed assessments of OTSs derived from different parent aaRS/tRNA pairs and found that ncAA incorporation in response to a stop codon is highly dependent on the aaRS from which the OTS is derived. We found in particular that OTSs derived from the E. coli LeuRS exhibit high levels of readthrough while efficiently discriminating against the cAAs, suggesting that further engineering of the E. coli LeuRS could yield a broad range of highly active OTSs for use in eukaryotes. While the expression of an OTS from an episomal vector resulted in decreased relative readthrough efficiency at the population level, the extreme cell-to-cell variability observed in the data suggests that future engineering efforts to uniformly increase OTS expression levels may enhance OTS performance. We also confirmed that our reporter system supports the repositioning of the stop codon within the reporter construct, suggesting that applications in which the location of a ncAA within a construct of interest must be changed will be straightforward to achieve in yeast display format.
Additionally, we evaluated the efficiency and fidelity of six aaRS/tRNA pairs with ten ncAAs. Several mutants originally evolved in yeast demonstrated high efficiencies for their cognate ncAAs as expected, and some aaRSs exhibited high-level readthrough with ncAAs for which suppression data had not been previously reported. Two mutants reported to support high readthrough efficiency in mammalian cells showed somewhat altered efficiency and specificity for their cognate ncAAs in the work described here. As discussed above, this observation is not unusual and highlights the importance of cellular context when evaluating stop codon suppression systems; this observation should not deter work to rapidly and efficiently evolve aaRS/tRNA pairs in yeast for use in mammalian systems. In particular, the OTS variants based on the E. coli LeuRS/tRNA pair can only be evolved in yeast with currently available genetic code manipulation technologies, and doing so is highly desirable given the high readthrough efficiencies observed for some OTSs in this work. We note that stop codon readthrough measurements obtained in display format are performed only after the polypeptides in question have emerged from the yeast secretory pathway. This raises the possibility that polypeptide-dependent differences in interactions with the secretion machinery may influence the apparent readthrough efficiencies we report with our system. While we cannot rule out this possibility, the potential for confounding factors that obscure readthrough efficiency is not unique to our system. For example, in the case of fluorescent protein reporters, protein folding times and construct degradation each complicate the measurement of “pure” readthrough efficiencies.32, 68 In fact, our display-based system is more likely to accurately quantify readthrough efficiency in secreted proteins because the displayed reporters are exported via the same cellular machinery as secreted proteins. In any case, the display-based reporter described here is valuable because it supports rapid endpoint measurements to provide robust and precise readouts of the efficiency and specificity of aaRSs in yeast, making it suitable for high throughput screening in ways that are not supported with existing fluorescent protein reporters. The quantitative observations made in this work should have immediate applications, including the enhancement of a previously described antibody display/secretion system with more efficient OTSs.43 Moreover, previous work has shown that inserting ncAAs into antibody complementarity determining regions can enhance antibody binding function in unexpected ways,69 or can be useful for dissecting the contributions of individual functional groups on antibody function.70 The robustness of the yeast display-based platform described here should make it suitable for generating antibodies containing a range of ncAAs for further characterization and evolution.44 The platform described here will also be invaluable for evolving OTSs, and perhaps even the genomes of organisms containing the OTSs, for enhanced genetic code manipulation.71, 72 These efforts will improve our understanding of how the genetic code can be further evolved while expanding the range of chemical diversity available in proteins for applications ranging from fundamental studies of epigenetics to engineering new classes of therapeutics.
Methods
Materials.
All enzymes used for molecular biology were from New England Biolabs. Synthetic oligonucleotides for cloning and sequencing were purchased from Eurofins Genomics, and synthetic gene blocks were purchased from Integrated DNA Technologies. Epoch Life Science kits were used for plasmid DNA purification. Sources of noncanonical amino acids are listed below in the “Yeast transformations, propagation, and induction” section.
Media preparation and yeast strain construction.
The preparation of liquid and solid media was performed as described previously43, 73 with a slight modification from the media amino acid supplement used previously; the new recipe utilized in this study is reported in SI Table 2. Unless otherwise noted, all SD-SCAA and SG-SCAA media used here were prepared without tryptophan (TRP), leucine (LEU) or uracil (URA). The strain RJY100 was constructed using standard homologous recombination approaches and has been described in detail previously.43
Reporter plasmid construction.
The pCTCON2-based reporter construct encodes the FAPB2.3.6 antibody fragment, which recognizes both the human and murine forms of fibroblast activation protein (FAP) (J.A. Van Deventer, unpublished results). We took this antibody fragment and cloned in TAG codons at the L1, L67, and H74 positions via Gibson assembly. Primers were designed with 30 base pairs of overlap with flanking DNA regions. All resulting constructs were sequence verified. All sequencing in this work was performed by Eurofins Genomics (Louisville, KY) or Quintara Biosciences (Cambridge, MA).
Suppressor plasmid construction.
The previously reported pRS315-AcFRS plasmid44 was modified to produce a construct with the unique restriction enzyme sites NcoI and NdeI directly located on either end of the aaRS gene. The AcFRS gene was amplified with primers containing the restriction enzyme sites, and the subsequent amplified DNA was used as a primer for a second round of PCR on pRS315-AcFRS to amplify the entire plasmid. The second PCR reaction was digested with DpnI to remove intact original plasmid DNA and retain amplified whole plasmid DNA, and was then transformed into E. coli and plated on selective media. Colonies were inoculated in selective liquid media, grown to saturation, miniprepped, and sequenced. To make three of the E. coli leucyl-tRNA synthetase variants, we first amplified the E. coli leucyl-tRNA synthetase and tRNA (EcLeuRS) from plasmid pA1mEL.74 We used Gibson assembly to introduce the tRNA into a suppression construct containing the Methanosarcina mazei pyrrolysyl-tRNA synthetase with NcoI and NdeI sites as described above as well as the corresponding tRNACUAPyl (MmPylRS; see SI for complete cloning information for this construct) and then exchanged the MmPylRS gene for the EcLeuRS using a standard restriction enzyme digest and ligation at the NcoI and NdeI sites. The resulting plasmid was named pRS315-EcLeuRS. EcLeuRS was amplified with primers containing mutations reported in aaRS variants with improved ncAA recognition and charging capabilities: OMeYRS,41 LeuRS BH5 T252A,57 and LeuRSB8T252A.58 The T252A editing active site mutation, which results in the hydrolysis of leucine from tRNALeu, was also introduced in OMeYRS. Each aaRS variant mutation was introduced via PCR and assembled using Gibson assembly. The resulting plasmids were sequence verified, and designated with the names of their parental plasmid backbone followed by the name or modified name of the aaRS: pRS315-LeuOmeRS, pRS315-LeuRSBH5T252A, and pRS315-LeuRSB8T252A. The PLRS1 and PLRS2 aaRSs were kindly gifted to us by Professor Abhishek Chatterjee at Boston College. The genes encoding PLRS1 and PLRS2 were amplified with primers containing NcoI and NdeI restriction enzyme sites, digested, and then ligated into the pRS315-EcLeuRS backbone containing the leucyl tRNA suppressor. The resulting plasmids were sequence verified, and designated with the names of their parental plasmid backbone followed by the name of the aaRS: pRS315-PLRS1 and pRS315-PLRS2.
Cloning AcFRS into “high copy” vector pRS425.
The AcFRS and tRNACUATyr genes were digested from pRS315-AcFRS using restriction enzymes SacI and PstI, and ligated into a pRS425 vector digested with the same enzymes. Resulting plasmid DNA was sequence verified, and designated with the name of its parental plasmid: pRS425-AcFRS.
Preparing noncanonical amino acid liquid stocks.
All ncAA stocks were prepared at a final concentration of 50 mM concentration of the L-isomer. DI water was added to the solid ncAA to approximately 90% of the final volume needed to make the stock, and 6.0 N NaOH was used to fully dissolve the ncAA powder in the water. Water was added to the final volume and the solution was sterile filtered through a 0.2 micron filter. No pH adjustment was performed unless otherwise noted. Filtered solutions were stored at 4°C.
Yeast transformations, propagation, and induction.
The reporter construct plasmids pCTCON2-FAPB2.3.6L1TAG or pCTCON2-FAPB2.3.6 (wild-type reporter with no TAG codon) (both contain a TRP marker) and aaRS/tRNA suppression plasmids (LEU marker) were transformed simultaneously into Zymo competent RJY100 cells, plated on solid SD-SCAA media (–TRP –LEU –URA), and grown at 30°C until colonies appeared (3 days). Transformation of RJY100 cells with reporter constructs pCTCON2-FAPB2.3.6L67TAG and pCTCON2-FAPB2.3.6H74TAG with pRS315-TyrAcFRS and pRS315-LeuOmeRS proceeded similarly.
Biological triplicates were used for all quantitative measurement experiments. All cells were grown and induced in tubes regardless of whether readthrough was assessed on a flow cytometer or on a plate reader. To propagate samples with biological replicates and prepare them for induction, three separate colonies from each transformation were inoculated in 5 mL selective media and allowed to grow to saturation at 30°C (2–3 days). For cases where liquid colonies were already available, samples from saturated cultures stored at 4°C were pelleted and resuspended to an OD600 of 0.5-1.0 in 5 mL fresh media and allowed to grow to saturation overnight. Following saturation, the cultures were diluted to an OD600 of 1 in fresh media and grown at 30°C until reaching mid log phase (OD 2–5; 4–8 h). Cells were pelleted (30 s at 12,000 rpm and 4°C) and resuspended to an OD600 of 1 in induction media (cells containing reporter construct only: SG-SCAA (–TRP –URA); cells containing both reporter constructs and suppression constructs: SG-SCAA (–LEU –TRP –URA)). To enable site-specific incorporation of ncAAs, SG-SCAA was supplemented with 1mM final concentration of the L isomer of the following ncAAs: O-methyl-L-tyrosine (Chem-Impex International, Inc.), p-acetyl-L-phenylalanine (SynChem, Inc.), p-azido-L-phenylalanine (Chem-Impex International, Inc.), 4-iodo-L-phenylalanine (AstaTech, Inc.), 3,4-dihydroxy-L-phenylalanine (Alfa Aesar), p-propargyloxy-L-phenylalanine (Iris Biotech GmbH), 4-azidomethyl-L-phenylalanine (SynChem, Inc.), H-L-Lys(EO-N3)-OH (Iris Biotech GmbH), L-α-aminocaprylic acid (Acros Organics), or Nε-azido-L-lysine (Chem-Impex International, Inc.) and grown at 20°C for 16 h (except in case of time courses; see SI for methods on time course inductions).
Flow cytometry data collection and analysis.
Freshly induced samples (see above) or samples subjected to click chemistry reactions (see below) were labeled in 1.7 mL microcentrifuge tubes or 96-well V-bottom plates. Flow cytometry was performed on an Attune NxT flow cytometer (Life Technologies) at the Tufts University Science and Technology Center.
To label samples in tubes, ~2 million cells per sample (1 mL of culture at an OD600 of 1 contains approximately 10 million cells) were transferred to microcentrifuge tubes and pelleted (30 s at 12 000 rpm and 4°C). The samples were washed three times in 1 mL PBSA (PBS, pH 7.4, with 0.1% w/v BSA) and then resuspended in 50 μL PBSA. Primary labeling was performed at room temperature on a rotary wheel for 30 min using antibodies or other ligands in concentrations as described in SI Table 3; labeling reagents varied depending on the experiment type. Cells were then diluted in 950 μL ice-cold PBSA, pelleted at 4°C, and transferred to ice. All remaining labeling steps were performed on ice with ice-cold PBSA and in a chilled microcentrifuge. Cells were washed twice and resuspended in 50 μL ice-cold PBSA. Secondary labeling was performed for 15 min on ice in the dark using the reagents described in SI Table 3. Cells were diluted in 950 μL ice-cold PBSA, then pelleted and washed with 1 mL ice-cold PBSA and placed on ice in the dark. Immediately prior to flow cytometric analysis, each cell sample was resuspended in 500 μL ice-cold PBSA.
To label samples in plates, 2 million cells per sample were transferred into a 96-well V-bottom plate and pelleted (5 min at 2,400 rpm and 4°C). Samples were washed three times in 200 μL PBSA, then resuspended in 50 μL PBSA containing primary detection reagents as outlined in SI Table 3. Plates were incubated with rotation (150 rpm) at room temperature on a Southwest Science digital orbital shaker for 30 min. Cells were then diluted in 150 μL cold PBSA, pelleted and washed twice with 200 μL ice-cold PBSA. The washed samples were resuspended in 50 μL PBSA containing secondary labels as outlined in SI Table 3 and incubated in the dark on ice for 15 min. After incubation, cells were diluted in 150 μL ice-cold PBSA, pelleted and washed once in 200 μL ice-cold PBSA. Samples were then pelleted and left covered on ice. Immediately prior to flow cytometry analysis, samples were resuspended in ice-cold PBSA (200 μL per well). All experimental flow cytometry data were collected using biological triplicates.
Plate reader data collection.
To measure RFP and GFP levels with the pCTCON2-RYG and pCTCON2-RXG reporters co-transformed with suppression constructs, ~2 million cells per sample of freshly induced cells (see above) were transferred to Corning black clear-bottom 96-well plate. Samples were pelleted for 5 min at 2,400 rpm and then washed three times in 200 μL PBSA, then kept at 4°C until fluorescence measurements were taken. A culture containing pCTCON2-FAPB2.3.6 with no suppressor was used for the cell blank. All samples including the cell blank were run in biological triplicate and resuspended in 200 μL room temperature PBSA before measurements were taken. Fluorescence and OD measurements were performed using a SpectraMax i3X plate reader (Molecular Devices, LLC., San Jose, California). OD readings were taken as endpoint measurements at 600 nm. RFP and GFP readings were taken as endpoint measurements with RFP excitation and emission wavelengths set at 550 nm and 675 nm, respectively. The GFP excitation and emission wavelengths were set to 480 nm and 525 nm, respectively.
Calculating RRE and MMF.
Flow cytometry data analysis was performed using FlowJo and Microsoft Excel. For each sample collected on the flow cytometer we (1) gated the overall population for single cell events to exclude doublet and triplet data from the downstream analysis, (2) took median fluorescence intensity (MFI) data for HA and c-Myc epitope detection of displaying cells (i.e. cells displaying HA epitope) and uninduced cells (i.e. cells not displaying HA or c-Myc epitope), (3) subtracted uninduced cell MFI values from MFI values for the subset of cells identified as having displayed reporters (i.e. HA-displaying cells), and finally (4) calculated the RRE and MMF values using equations from Figure 3. The standard deviation of the three biological replicates was taken following step (3) and propagated to calculate error. Equations used to propagate error are shown in supporting information.
Click chemistry.
All copper-catalyzed azide-alkyne cycloaddition (CuAAC) click chemistry reactions were performed in microcentrifuge tubes with ~2 million freshly induced cells used per sample, essentially as described previously.44 Biotin-(PEG)4-alkyne and biotin-(PEG)4-azide were dissolved in DMSO at a concentration of 20mM. Samples were pelleted and washed three times in room temperature PBSA and resuspended in 220 μL PBS before reactions. CuAAC was performed using the general protocol of Hong et al. (2009).67 Except for the recommended alkyne and azide concentrations, all other aspects of the protocol were followed, including the order of reagent addition. Samples were vortexed after addition of each reagent. Biotin-alkyne and biotin-azide were added to all reactions at a final concentration of 100 μM. All reactions proceeded for 15 min at room temperature in sealed microcentrifuge tubes, after which time samples were diluted in 1 mL ice-cold PBSA, pelleted at 4°C and washed three times in 1 mL ice-cold PBSA. After completion of click chemistry reactions, samples were subjected to flow cytometry analysis (described above).
Supplementary Material
Acknowledgements
This work was supported by a grant from the Army Research Office (W911NF-16-1-0175), the Tufts Faculty Research Awards Committee and Tufts startup funds (to J.A.V.). J.T.S. was supported in part by an NSF Graduate Research Fellowship (ID: 2016231237). M.L. was supported in part by a grant from the National Institutes of Health (R03 CA211839-01). Plasmids pR*G and pRYG were a gift from Jeffrey Barrick at the University of Texas. Plasmids SMH99 and SMH108 were a gift from Jason Chin at the Medical Research Council Laboratory of Molecular Biology. pTECH-chAcK3RS(IPYE) was a gift from David Liu (Addgene plasmid # 104069) at Harvard University. pTECH-chPylRS(IPYE) was a gift from Dieter Söll (Addgene plasmid # 99222) at Yale University.
Abbreviations
- aaRS
aminoacyl-tRNA synthetase
- OTS
orthogonal translation system
- ncAA
noncanonical amino acid (also nonstandard amino acid, non-native amino acid, non-natural amino acid, or unnatural amino acid)
- cAA
canonical amino acid
- RRE
relative readthrough efficiency
- MMF
maximum misincorporation efficiency
- EcLeuRS
E. coli leucyl-tRNA synthetase
- EcTyrRS
E. coli tyrosyl-tRNA synthetase
- TyrAcFRS
E. coli acetylphenylalanyl-tRNA synthetase from tyrosyl-tRNA synthetase parent
- TyrAzFRS
E. coli azidophenylalanyl-tRNA synthetase from tyrosyl-tRNA synthetase parent
- TyrOmeRS
E. coli O-methyltyrosyl-tRNA synthetase from tyrosyl-tRNA synthetase parent
- LeuOmeRS
E. coli O-methyltyrosyl-tRNA synthetase from leucyl-tRNA synthetase parent
- OmeY
O-methyl-L-tyrosine
- AcF
p-acetyl-L-phenylalanine
- AzF
p-azido-L-phenylalanine
Footnotes
Supporting Information
Supplementary tables 1-4 list error associated with relative readthrough efficiency and maximum misincorporation frequency, amino acid composition of media, and labeling conditions for flow cytometry. Supplementary figures 1-7 detail results from labeling reagent crossreactivity, time courses for yeast induction, repeats of RRE and MMF experiments on multiple days, M. mazei and M. barkeri pyrrolysyl-tRNA synthetase incorporation experiments, ncAA concentration gradient experiments, and further click chemistry data.
Notes
The authors declare no competing financial interests.
References
- [1].Wiltschi B (2016) Incorporation of non-canonical amino acids into proteins in yeast, Fungal Genet Biol 89, 137–156. [DOI] [PubMed] [Google Scholar]
- [2].Dumas A, Lercher L, Spicer CD, and Davis BG (2015) Designing logical codon reassignment - Expanding the chemistry in biology, Chem Sci 6, 50–69. [DOI] [PMC free article] [PubMed] [Google Scholar]
- [3].Italia JS, Zheng Y, Kelemen RE, Erickson SB, Addy PS, and Chatterjee A (2017) Expanding the genetic code of mammalian cells, Biochem Soc Trans 45, 555–562. [DOI] [PubMed] [Google Scholar]
- [4].Chin JW (2017) Expanding and reprogramming the genetic code, Nature 550, 53–60. [DOI] [PubMed] [Google Scholar]
- [5].Davis L, and Chin JW (2012) Designer proteins: applications of genetic code expansion in cell biology, Nat Rev Mol Cell Biol 13, 168–182. [DOI] [PubMed] [Google Scholar]
- [6].Kim CH, Axup JY, and Schultz PG (2013) Protein conjugation with genetically encoded unnatural amino acids, Curr Opin Chem Biol 17, 412–419. [DOI] [PMC free article] [PubMed] [Google Scholar]
- [7].Liu CC, and Schultz PG (2010) Adding new chemistries to the genetic code, Annu Rev Biochem 79, 413–444. [DOI] [PubMed] [Google Scholar]
- [8].Neumann H (2012) Rewiring translation - Genetic code expansion and its applications, FEBS Lett 586, 2057–2064. [DOI] [PubMed] [Google Scholar]
- [9].Wang Q, Parrish AR, and Wang L (2009) Expanding the genetic code for biological studies, Chem Biol 16, 323–336. [DOI] [PMC free article] [PubMed] [Google Scholar]
- [10].Zheng S, and Kwon I (2012) Manipulation of enzyme properties by noncanonical amino acid incorporation, Biotechnol J 7, 47–60. [DOI] [PubMed] [Google Scholar]
- [11].Elliott TS, Townsley FM, Bianco A, Ernst RJ, Sachdeva A, Elsasser SJ, Davis L, Lang K, Pisa R, Greiss S, Lilley KS, and Chin JW (2014) Proteome labeling and protein identification in specific tissues and at specific developmental stages in an animal, Nature Biotechnology 32, 465–472. [DOI] [PMC free article] [PubMed] [Google Scholar]
- [12].Ngo JT, and Tirrell DA (2011) Noncanonical amino acids in the interrogation of cellular protein synthesis, Acc Chem Res 44, 677–685. [DOI] [PMC free article] [PubMed] [Google Scholar]
- [13].Yuet KP, Doma MK, Ngo JT, Sweredoski MJ, Graham RL, Moradian A, Hess S, Schuman EM, Sternberg PW, and Tirrell DA (2015) Cell-specific proteomic analysis in Caenorhabditis elegans, Proc Natl Acad Sci U S A 112, 2705–2710. [DOI] [PMC free article] [PubMed] [Google Scholar]
- [14].Johnson JA, Lu YY, Van Deventer JA, and Tirrell DA (2010) Residue-specific incorporation of non-canonical amino acids into proteins: recent developments and applications, Curr Opin Chem Biol 14, 774–780. [DOI] [PMC free article] [PubMed] [Google Scholar]
- [15].Liu CC, Jewett MC, Chin JW, and Voigt CA (2018) Toward an orthogonal central dogma, Nat Chem Biol 14, 103–106. [DOI] [PMC free article] [PubMed] [Google Scholar]
- [16].Soye BJD, Patel JR, Isaacs FJ, and Jewett MC (2015) Repurposing the translation apparatus for synthetic biology, Curr Opin Chem Biol 28, 83–90. [DOI] [PMC free article] [PubMed] [Google Scholar]
- [17].Gan R, Perez JG, Carlson ED, Ntai I, Isaacs FJ, Kelleher NL, and Jewett MC (2017) Translation System Engineering in Escherichia coli Enhances Non-Canonical Amino Acid Incorporation into Proteins, Biotechnology and Bioengineering 114, 1074–1086. [DOI] [PMC free article] [PubMed] [Google Scholar]
- [18].Lang K, and Chin JW (2014) Cellular incorporation of unnatural amino acids and bioorthogonal labeling of proteins, Chem Rev 114, 4764–4806. [DOI] [PubMed] [Google Scholar]
- [19].Fan C, Ip K, and Soll D (2016) Expanding the genetic code of Escherichia coli with phosphotyrosine, FEBS Lett 590, 3040–3047. [DOI] [PMC free article] [PubMed] [Google Scholar]
- [20].Park HS, Hohn MJ, Umehara T, Guo LT, Osborne EM, Benner J, Noren CJ, Rinehart J, and Soll D (2011) Expanding the genetic code of Escherichia coli with phosphoserine, Science 333, 1151–1154. [DOI] [PMC free article] [PubMed] [Google Scholar]
- [21].Schmied WH, Elsasser SJ, Uttamapinant C, and Chin JW (2014) Efficient multisite unnatural amino acid incorporation in mammalian cells via optimized pyrrolysyl tRNA synthetase/tRNA expression and engineered eRF1, J Am Chem Soc 136, 15577–15583. [DOI] [PMC free article] [PubMed] [Google Scholar]
- [22].Bezerra AR, Guimaraes AR, and Santos MA (2015) Non-Standard Genetic Codes Define New Concepts for Protein Engineering, Life (Basel) 5, 1610–1628. [DOI] [PMC free article] [PubMed] [Google Scholar]
- [23].Wang Q, and Wang L (2008) New methods enabling efficient incorporation of unnatural amino acids in yeast, J Am Chem Soc 130, 6066–6067. [DOI] [PubMed] [Google Scholar]
- [24].Isaacs FJ, Carr PA, Wang HH, Lajoie MJ, Sterling B, Kraal L, Tolonen AC, Gianoulis TA, Goodman DB, Reppas NB, Emig CJ, Bang D, Hwang SJ, Jewett MC, Jacobson JM, and Church GM (2011) Precise manipulation of chromosomes in vivo enables genome-wide codon replacement, Science 333, 348–353. [DOI] [PMC free article] [PubMed] [Google Scholar]
- [25].Lajoie MJ, Rovner AJ, Goodman DB, Aerni HR, Haimovich AD, Kuznetsov G, Mercer JA, Wang HH, Carr PA, Mosberg JA, Rohland N, Schultz PG, Jacobson JM, Rinehart J, Church GM, and Isaacs FJ (2013) Genomically recoded organisms expand biological functions, Science 342, 357–360. [DOI] [PMC free article] [PubMed] [Google Scholar]
- [26].Huang Y, Russell WK, Wan W, Pai PJ, Russell DH, and Liu W (2010) A convenient method for genetic incorporation of multiple noncanonical amino acids into one protein in Escherichia coli, Mol Biosyst 6, 683–686. [DOI] [PubMed] [Google Scholar]
- [27].Mukai T, Kobayashi T, Hino N, Yanagisawa T, Sakamoto K, and Yokoyama S (2008) Adding l-lysine derivatives to the genetic code of mammalian cells with engineered pyrrolysyl-tRNA synthetases, Biochem Biophys Res Commun 371, 818–822. [DOI] [PubMed] [Google Scholar]
- [28].Chen PR, Groff D, Guo JT, Ou WJ, Cellitti S, Geierstanger BH, and Schultz PG (2009) A Facile System for Encoding Unnatural Amino Acids in Mammalian Cells, Angew Chem Int Edit 48, 4052–4055. [DOI] [PMC free article] [PubMed] [Google Scholar]
- [29].Gautier A, Nguyen DP, Lusic H, An WA, Deiters A, and Chin JW (2010) Genetically Encoded Photocontrol of Protein Localization in Mammalian Cells, Journal of the American Chemical Society 132, 4086–4088. [DOI] [PubMed] [Google Scholar]
- [30].Xiao H, Chatterjee A, Choi SH, Bajjuri KM, Sinha SC, and Schultz PG (2013) Genetic Incorporation of Multiple Unnatural Amino Acids into Proteins in Mammalian Cells, Angew Chem Int Edit 52, 14080–14083. [DOI] [PMC free article] [PubMed] [Google Scholar]
- [31].Chatterjee A, Guo J, Lee HS, and Schultz PG (2013) A genetically encoded fluorescent probe in mammalian cells, J Am Chem Soc 135, 12540–12543. [DOI] [PMC free article] [PubMed] [Google Scholar]
- [32].Monk JW, Leonard SP, Brown CW, Hammerling MJ, Mortensen C, Gutierrez AE, Shin NY, Watkins E, Mishler DM, and Barrick JE (2017) Rapid and Inexpensive Evaluation of Nonstandard Amino Acid Incorporation in Escherichia coli, ACS Synth Biol 6, 45–54. [DOI] [PubMed] [Google Scholar]
- [33].Amiram M, Haimovich AD, Fan C, Wang YS, Aerni HR, Ntai I, Moonan DW, Ma NJ, Rovner AJ, Hong SH, Kelleher NL, Goodman AL, Jewett MC, Soll D, Rinehart J, and Isaacs FJ (2015) Evolution of translation machinery in recoded bacteria enables multi-site incorporation of nonstandard amino acids, Nat Biotechnol 33, 1272–1279. [DOI] [PMC free article] [PubMed] [Google Scholar]
- [34].Hohl A, Karan R, Akal A, Renn D, Liu X, Dharamarajnadar A, Ghoprade SA, Groll M, Rueping M, and Eppinger J (2017) Engineering a promiscuous pyrrolysyl-tRNA synthetase by a high throughput FACS screen, bioRxiv. [DOI] [PMC free article] [PubMed] [Google Scholar]
- [35].Karathia H, Vilaprinyo E, Sorribas A, and Alves R (2011) Saccharomyces cerevisiae as a Model Organism: A Comparative Study, PloS One 6, e16015. [DOI] [PMC free article] [PubMed] [Google Scholar]
- [36].Duina AA, Miller ME, and Keeney JB (2014) Budding yeast for budding geneticists: a primer on the Saccharomyces cerevisiae model system, Genetics 197, 33–48. [DOI] [PMC free article] [PubMed] [Google Scholar]
- [37].Hartwell LH (2004) Yeast and cancer, Biosci Rep 24, 523–544. [DOI] [PubMed] [Google Scholar]
- [38].Boder ET, and Wittrup KD (1997) Yeast surface display for screening combinatorial polypeptide libraries, Nat Biotechnol 15, 553–557. [DOI] [PubMed] [Google Scholar]
- [39].Gai SA, and Wittrup KD (2007) Yeast surface display for protein engineering and characterization, Curr Opin Struct Biol 17, 467–473. [DOI] [PMC free article] [PubMed] [Google Scholar]
- [40].Chin JW, Cropp TA, Chu S, Meggers E, and Schultz PG (2003) Progress toward an expanded eukaryotic genetic code, Chem Biol 10, 511–519. [DOI] [PubMed] [Google Scholar]
- [41].Wu N, Deiters A, Cropp TA, King D, and Schultz PG (2004) A genetically encoded photocaged amino acid, J Am Chem Soc 126, 14306–14307. [DOI] [PubMed] [Google Scholar]
- [42].Eigenbrot C, Randal M, Presta L, Carter P, and Kossiakoff AA (1993) X-ray structures of the antigen-binding domains from three variants of humanized anti-p185HER2 antibody 4D5 and comparison with molecular modeling, J Mol Biol 229, 969–995. [DOI] [PubMed] [Google Scholar]
- [43].Van Deventer JA, Kelly RL, Rajan S, Wittrup KD, and Sidhu SS (2015) A switchable yeast display/secretion system, Protein Eng Des Sel 28, 317–325. [DOI] [PMC free article] [PubMed] [Google Scholar]
- [44].Van Deventer JA, Le DN, Zhao J, Kehoe HP, and Kelly RL (2016) A platform for constructing, evaluating, and screening bioconjugates on the yeast surface, Protein Eng Des Sel 29, 485–494. [DOI] [PMC free article] [PubMed] [Google Scholar]
- [45].Chen S, Schultz PG, and Brock A (2007) An improved system for the generation and analysis of mutant proteins containing unnatural amino acids in Saccharomyces cerevisiae, J Mol Biol 371, 112–122. [DOI] [PubMed] [Google Scholar]
- [46].Chin JW, Cropp TA, Anderson JC, Mukherji M, Zhang Z, and Schultz PG (2003) An expanded eukaryotic genetic code, Science 301, 964–967. [DOI] [PubMed] [Google Scholar]
- [47].Tang Y, Wang P, Van Deventer JA, Link AJ, and Tirrell DA (2009) Introduction of an Aliphatic Ketone into Recombinant Proteins in a Bacterial Strain that Overexpresses an Editing-Impaired Leucyl-tRNA Synthetase, Chembiochem 10, 2188–2190. [DOI] [PMC free article] [PubMed] [Google Scholar]
- [48].Mursinna RS, and Martinis SA (2002) Rational design to block amino acid editing of a tRNA synthetase, J Am Chem Soc 124, 7286–7287. [DOI] [PubMed] [Google Scholar]
- [49].Mursinna RS, Lincecum TL, and Martinis SA (2001) A conserved threonine within Escherichia coli leucyl-tRNA synthetase prevents hydrolytic editing of leucyl-tRNA(Leu), Biochemistry 40, 5376–5381. [DOI] [PubMed] [Google Scholar]
- [50].Romanos MA, Scorer CA, and Clare JJ (1992) Foreign Gene-Expression in Yeast – a Review, Yeast 8, 423–488. [DOI] [PubMed] [Google Scholar]
- [51].Clarke L, and Carbon J (1980) Isolation of a yeast centromere and construction of functional small circular chromosomes, Nature 287, 504–509. [DOI] [PubMed] [Google Scholar]
- [52].Christianson TW, Sikorski RS, Dante M, Shero JH, and Hieter P (1992) Multifunctional yeast high-copy-number shuttle vectors, Gene 110, 119–122. [DOI] [PubMed] [Google Scholar]
- [53].Presnyak V, Alhusaini N, Chen YH, Martin S, Morris N, Kline N, Olson S, Weinberg D, Baker KE, Graveley BR, and Coller J (2015) Codon optimality is a major determinant of mRNA stability, Cell 160, 1111–1124. [DOI] [PMC free article] [PubMed] [Google Scholar]
- [54].Harigaya Y, and Parker R (2016) Codon optimality and mRNA decay, Cell Res 26, 1269–1270. [DOI] [PMC free article] [PubMed] [Google Scholar]
- [55].Hanson G, and Coller J (2018) Codon optimality, bias and usage in translation and mRNA decay, Nat Rev Mol Cell Biol 19, 20–30. [DOI] [PMC free article] [PubMed] [Google Scholar]
- [56].Pott M, Schmidt MJ, and Summerer D (2014) Evolved sequence contexts for highly efficient amber suppression with noncanonical amino acids, ACS Chem Biol 9, 2815–2822. [DOI] [PubMed] [Google Scholar]
- [57].Lemke EA, Summerer D, Geierstanger BH, Brittain SM, and Schultz PG (2007) Control of protein phosphorylation with a genetically encoded photocaged amino acid, Nat Chem Biol 3, 769–772. [DOI] [PubMed] [Google Scholar]
- [58].Summerer D, Chen S, Wu N, Deiters A, Chin JW, and Schultz PG (2006) A genetically encoded fluorescent amino acid, Proc Natl Acad Sci U S A 103, 9785–9789. [DOI] [PMC free article] [PubMed] [Google Scholar]
- [59].Zheng Y, Mukherjee R, Chin MA, Igo P, Gilgenast MJ, and Chatterjee A (2018) Expanding the Scope of Single- and Double-Noncanonical Amino Acid Mutagenesis in Mammalian Cells Using Orthogonal Polyspecific Leucyl-tRNA Synthetases, Biochemistry 57, 441–445. [DOI] [PMC free article] [PubMed] [Google Scholar]
- [60].Ai HW, Shen W, Brustad E, and Schultz PG (2010) Genetically encoded alkenes in yeast, Angew Chem Int Ed Engl 49, 935–937. [DOI] [PubMed] [Google Scholar]
- [61].Brustad E, Bushey ML, Brock A, Chittuluru J, and Schultz PG (2008) A promiscuous aminoacyl-tRNA synthetase that incorporates cysteine, methionine, and alanine homologs into proteins, Bioorg Med Chem Lett 18, 6004–6006. [DOI] [PubMed] [Google Scholar]
- [62].Niquille DL, Hansen DA, Mori T, Fercher D, Kries H, and Hilvert D (2018) Nonribosomal biosynthesis of backbone-modified peptides, Nat Chem 10, 282–287. [DOI] [PubMed] [Google Scholar]
- [63].Tanrikulu IC, Schmitt E, Mechulam Y, Goddard WA, and Tirrell DA (2009) Discovery of Escherichia coli methionyl-tRNA synthetase mutants for efficient labeling of proteins with azidonorleucine in vivo, P Natl Acad Sci USA 106, 15285–15290. [DOI] [PMC free article] [PubMed] [Google Scholar]
- [64].Kislukhin AA, Hong VP, Breitenkamp KE, and Finn MG (2013) Relative Performance of Alkynes in Copper-Catalyzed Azide-Alkyne Cycloaddition, Bioconjugate Chem 24, 684–689. [DOI] [PMC free article] [PubMed] [Google Scholar]
- [65].Poon CK, Chapman R, Jolliffe KA, and Perrier S (2012) Pushing the limits of copper mediated azide-alkyne cycloaddition (CuAAC) to conjugate polymeric chains to cyclic peptides, Polym Chem-Uk 3, 1820–1826. [Google Scholar]
- [66].Amblard F, Cho JH, and Schinazi RF (2009) Cu(I)-catalyzed Huisgen azide-alkyne 1,3-dipolar cycloaddition reaction in nucleoside, nucleotide, and oligonucleotide chemistry, Chem Rev 109, 4207–4220. [DOI] [PMC free article] [PubMed] [Google Scholar]
- [67].Hong V, Presolski SI, Ma C, and Finn MG (2009) Analysis and optimization of copper-catalyzed azide-alkyne cycloaddition for bioconjugation, Angew Chem Int Ed Engl 48, 9879–9883. [DOI] [PMC free article] [PubMed] [Google Scholar]
- [68].Lo CA, Kays I, Emran F, Lin TJ, Cvetkovska V, and Chen BE (2015) Quantification of Protein Levels in Single Living Cells, Cell Rep 13, 2634–2644. [DOI] [PubMed] [Google Scholar]
- [69].Van Deventer JA, Yuet KP, Yoo TH, and Tirrell DA (2014) Cell surface display yields evolvable, clickable antibody fragments, Chembiochem 15, 1777–1781. [DOI] [PMC free article] [PubMed] [Google Scholar]
- [70].Li X, Hitomi J, and Liu CC (2018) Characterization of a Sulfated Anti-HIV Antibody Using an Expanded Genetic Code, Biochemistry 57, 2903–2907. [DOI] [PubMed] [Google Scholar]
- [71].Thyer R, Shroff R, Klein DR, d'Oelsnitz S, Cotham VC, Byrom M, Brodbelt JS, and Ellington AD (2018) Custom selenoprotein production enabled by laboratory evolution of recoded bacterial strains, Nat Biotechnol 36, 624–631. [DOI] [PMC free article] [PubMed] [Google Scholar]
- [72].Wannier TM, Kunjapur AM, Rice DP, McDonald MJ, Desai MM, and Church GM (2018) Adaptive evolution of genomically recoded Escherichia coli, Proc Natl Acad Sci U S A 115, 3090–3095. [DOI] [PMC free article] [PubMed] [Google Scholar]
- [73].Van Deventer JA, and Wittrup KD (2014) Yeast surface display for antibody isolation: library construction, library screening, and affinity maturation, Methods Mol Biol 1131, 151–181. [DOI] [PubMed] [Google Scholar]
- [74].Kwon OH, Yoo TH, Othon CM, Van Deventer JA, Tirrell DA, and Zewail AH (2010) Hydration dynamics at fluorinated protein surfaces, P Natl Acad Sci USA 107, 17101–17106. [DOI] [PMC free article] [PubMed] [Google Scholar]
Associated Data
This section collects any data citations, data availability statements, or supplementary materials included in this article.





