Abstract
A general route for the synthesis of a novel class of pyridazin-3-one derivatives 3 by the reaction in acetic anhydride between 3-oxo-2-arylhydrazonopropanals 1 and some active methylene compounds like p-nitrophenylacetic acid and cyanoacetic acid was established. Under these conditions the pyridazin-3-one derivatives 3 were formed as the sole isolable products in excellent yield. The 6-acetyl-3-oxopyridazine derivative 3l was reacted with DMF-DMA to afford the corresponding enaminone derivative 4, which reacts with a variety of aminoazoles to afford the corresponding azolo[1,5-a]pyrimidine derivatives 5–7. Also, in order to explore the viability and generality of a recently uncovered reaction between 3-oxo-2-arylhydrazonopropanals and active methylene compounds, a variety of 2-amino-6-aryl-5-arylazo-3-aroylpyridines 16–19 were prepared by reacting 3-oxo-2-arylhydrazonopropanals with miscellaneous active methylene compounds like 3-oxo-3-phenylpropionitrile, hetaroylacetonitriles and cyanoacetamides. These 2-aminopyridine derivatives undergo smooth reactions with cyanoacetic acid that led to the formation in high yield of a new class of 1,8-naphthyridine derivatives 24. The structures of all new substances prepared in this investigation were determined by the different analytical spectroscopic methods, in addition to the X-ray crystallographic analysis.
Keywords: pyridazin-3-one; 2-amino-5-arylazopyridine; azolo[1,5-a]pyrimidine; DMF-DMA; cyanoacetic acid; 1,8-naphthyridine
1. Introduction
Nitrogen-containing heterocyclic compounds have a diverse range of biological and pharmacological properties [1,2,3]. Pyridazine and pyridine derivatives are two of the most important heterocycles found in medicinal chemistry as they have an excellent biological activity with a wide range of applications, including antimicrobial [4,5,6], antiinflammatory and analgesic [7,8,9], anti-HIV [10], antiplasmodial [11], antitubercular [3,12], antibacterial [3,13], anticonvulsant [14,15], COX inhibitor [16], antidiabetic [17], antihypertensive [18,19], anticancer effects [20,21,22,23,24], blood platelet aggregation inhibitors [25], antidepressant and anxiolytic [26,27], antioxidant [28], antitumor [29,30] and antifungal activities [31]. For example Isoniazide and Amlodipine are two drugs containing the pyridine motif as anti-tuberculosis and anti-hypertensive respectively (Figure 1). On the basis of the above findings the pyridine and pyridazine moieties are considered privileged structures and, consequently, they have attracted the general and continuing interest of synthetic organic chemists.
Figure 1.
Drugs containing the pyridine motif.
2. Results and Discussion
In earlier investigations we developed methods for the efficient synthesis of a variety of polyfunctional azoles, azines and their fused derivatives [32,33,34,35,36]. Recent efforts in our laboratories have led to the design of new and general strategies for the preparation of 2-amino-5-arylazo-nicotinates and pyridazinones [37] that involve reactions of 3-oxo-2-arylhydrazonopropanals 1 with active methylene compounds, including ethyl cyanoacetate, and malononitrile, depending on the effect of the substituent present in the arylazo moiety. Now it was of interest to explore the scope and limitations and generality of the 3-oxo-2-arylhydrazonopropanals 1 as a precursor for the synthesis of some new polyfunctionally substituted pyridazines and pyridines. In order to establish a general route for the synthesis of pyridazin-3-one derivatives 3 as sole products we conducted the reaction between 3-oxo-2-arylhydrazonopropanals 1 and some active methylene compounds, namely p-nitrophenylacetic acid (2a), o-nitrophenylacetic acid (2b) and cyanoacetic acid (2c) in acetic anhydride. Under these conditions only the pyridazin-3-one derivatives 3 were formed as sole isolable products in excellent yield. The structure of the pyridazin-3-one derivatives 3 was established based on their spectroscopic analyses and X-ray crystallographic analysis (Scheme 1, Figure 2 and Figure 3).
Scheme 1.
Synthesis of pyridazin-3-one derivatives 3a–l.
Figure 2.
ORTEP plot of the X-ray crystallographic data determined for 3d [38].
Figure 3.
ORTEP plot of the X-ray crystallographic data determined for 3l [39].
A plausible mechanism for the formation of pyridazin-3-ones 3 (Scheme 2) involves a condensation reaction between the two substrates 1 and 2 to generates the alkylidene intermediate A, which then undergoes cyclization via elimination of another water molecule to afford smoothly the pyridazin-3-ones 3. As illustrated in this mechanism, only two consecutive eliminations of water molecules in the presence of acetic anhydride as a reaction medium were needed to afford only the pyridazin-3-ones 3 in all cases and the formation of the 5-arylazopyridines not observed, due to the absence of ammonium acetate which furnishes the ammonia that plays an essential rule in the formation of the 5-arylazopyridines as described in previous studies [37,40] and also in the forthcoming examples in this study.
Scheme 2.
A plausible mechanism for the formation of pyridazin-3-ones 3.
In order to synthesize a new class of enaminone derivatives the 6-acetyl-3-oxopyridazine derivative 3l was condensed with dimethylformamide dimethylacetal (DMF-DMA) in dioxane to yield the corresponding enaminone 4, whose 1H-NMR spectrum revealed the characteristic two doublet bands for the two olefinic CHs at δ 5.88 and 7.81, respectively, and two signals due to the two methyl groups at δ 2.84 and 3.15, respectively. Moreover MS and HRMS showed its expected M+ ion. The foregoing results prompted us to investigate the behaviour of the enaminone 4 towards some N-nucleophiles such as heterocyclic amines, as potential precursors of polyfunctionally-substituted fused pyrimidine derivatives for which we expect a broad spectrum of biological activity (Scheme 3).
Scheme 3.
Reactions of the enaminone 4 with heterocyclic amines.
Thus the enaminone 4 was reacted with 3-amino-1,2,4-triazole, 3-phenyl-5-aminopyrazole and 2-aminobenzimidazole in refluxing pyridine to afford the corresponding azolo[1,5-a]pyrimidine derivatives 5–7 that incorporate the pyridazin-3-one moiety. A plausible mechanism for the formation of triazolo[1,5-a]pyrimidine derivatives 5 is taken as a representative example to explain the reaction between the enaminone 4 and heterocyclic amines (Scheme 4).
Scheme 4.
A plausible mechanism for the formation of triazolo[1,5-a]pyrimidine derivatives 5.
First a Michael-type addition of the exocyclic amino group in the aminotriazole to the α,β-unsaturated moiety in the enaminone 4 yields the corresponding acyclic non-isolable intermediate B, which forms the intermediate C via elimination of a dimethylamine molecule, and then the intermediate C undergoes cyclization through the addition of the NH to CO group to form the intermediate D, followed by aromatization via loss of one water molecule to form finally the triazolo[1,5-a]pyrimidine derivative 5.
In a recent study [40] we have also demonstrated that 2-amino-6-aryl-5-arylazo-3-benzoylpyridines 10 were formed as the sole isolable products in the reaction between 3-oxo-3-phenylpropionitrile (9) and 3-oxo-2-arylhydrazonopropanals 8a–b containing electron poor arylhydrazone groups as substrates, possessing two electron-withdrawing nitro and Cl groups on the aryl ring of this moiety (Scheme 5).
Scheme 5.
Synthesis of 2-aminopyridines 10 [40].
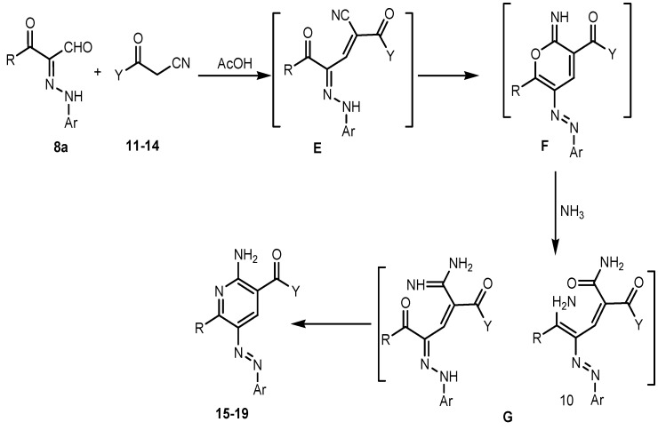
It was therefore of interest to explore the scope, limitations and extend the generality of reaction between 3-oxo-2-arylhydrazonopropanals 8a with miscellaneous active methylene compounds like 3-oxo-3-phenylpropionitrile, hetaroylacetonitriles and cyanoacetamides to afford polyfunctionally substituted 2-aminopyridines and their utility in the synthesis of 1,8-naphthyridine derivatives. Thus we explored reactions between 3-oxo-2-arylhydrazonopropanal 8a and cyanoacetylindoles 11,12 and different cyanoacetamides 13,14. These processes afford products which were shown to be the respective 2-aminopyridine derivatives 16–19 and it is believed that these 2-aminopyridines were formed via the intermediacy of E–G, as illustrated in the mechanistic pathway presented in (Scheme 6).
Scheme 6.
A plausible mechanism for the formation of 2-aminopyridines.
In contrast to the observed behaviour of 11–14 towards 8a the thiophene cyanoacetamide 15 behaves differently, affording the pyridazinimine derivatives 20 and not the 2-aminopyridine derivatives 21 or the 2-oxopyridines 22 according to the 1H-NMR spectra which showed two signals at δ ≈ 9.80 and 13.3 ppm corresponding to two NH groups, one for the imine NH and the other for the amide NH. Also the 13C-NMR spectrum showed a signal at δ ≈ 187.5 corresponding to a true ketone CO and not an amide CO. Till now the factors that make the thiophene cyanoacetamide afford the pyridazine and not pyridine are not clear, but this behaviour may be related to the nature of the thiophene heterocyclic ring and is compatible with an earlier study in which when 3-oxo-2-thiophenehydrazonopropanal reacts with ethyl cyanoacetate, it also affords the pyridazine and not the pyridine system [41]. The structures of these substances were assigned based on their spectroscopic and mass spectrometric properties and X-ray single crystal determination (Scheme 7, Figure 4).
Scheme 7.
Reaction of arylhydrazonopropanal 8a with miscellaneous active methylene compounds.
Figure 4.
ORTEP plot of the X-ray crystallographic data determined for 18 [42].
In order to complete the goal of this study we conducted a reaction between the 2-aminopyridine derivatives 10a,b and cyanoacetic acid in the presence of acetic anhydride to smoothly afford the desired 1,8-naphthyridinecarbonitrile derivatives 24a,b in very good yield. The reaction proceeds most likely via the intermediacy of 23 (Scheme 8).
Scheme 8.
Synthesis of 1,8-naphthyridines 24.
3. Experimental
3.1. General
Melting points were recorded and are reported uncorrected. The IR spectra were recorded using KBr pellets on a JASCO FTIR-6300 FT-IR spectrophotometer (Mary’s Court, Easton, MD, USA). 1H-NMR (400 MHz) or (600 MHz) and 13C-NMR (100 MHz) or (150 MHz) spectra were recorded at 25 °C using CDCl3 or DMSO-d6 solutions with TMS as an internal standard on a Bruker DPX 400 or 600 super-conducting NMR spectrometer (Rheinstetten, Germany). Chemical shifts are reported in ppm. Low-resolution electron impact mass spectra [MS (EI)] and high-resolution electron impact mass spectra [HRMS (EI)] were measured using a high resolution GC-MS (DFS) thermo spectrometer at 70.1 eV using magnetic sector mass analyzer (Bremen, Germany). Microanalyses were performed on Elementar-Vario Micro cube Analyzer (Hanau, Germany). Monitoring reactions and determining the homogeneity of the prepared compounds were performed by using thin layer chromatography (TLC) (Sigma-Aldrich). The crystal structures were determined by a Rigaku R-AXIS RAPID diffractometer (Tokyo, Japan) and Bruker X8 Prospector (Madison, WI, USA) and the crystal data collections were made by using Cu-Kα radiation. The data were collected at room temperature. The structure was solved by direct methods and was expanded using Fourier techniques. The non-hydrogen atoms were refined anisotropically. The structure was solved and refined using the Bruker SHELXTL Software Package (Structure solution program-SHELXS-97 and Refinement program-SHELXL-97) [43]. Data were corrected for the absorption effects using the multi-scan method (SADABS). Compounds 10a and 10b were prepared according to a literature procedure [40].
3.2. Synthesis
3.2.1. General Procedure for the Preparation of Pyridazin-3-one Derivatives 3a–l
Independent mixtures of 1a–l (5 mmol), p-nitrophenylacetic acid 2a or cyanoacetic acid 2b (5 mmol), in acetic anhydride (10 mL) were stirred at reflux for 1 h. The mixtures were cooled to room temperature. The formed solids were collected by filtration washed by EtOH and recrystallized from the appropriate solvent.
6-Benzoyl-4-(4-nitrophenyl)-2-phenylpyridazin-3-(2H)-one (3a). Yellow crystals, yield: (1.65 g, 82%), m.p.: 182–183 °C; IR (KBr): v/cm−1 1672, 1655 (2CO); 1H-NMR (DMSO-d6): δ =7.50 (t, J = 7.6 Hz, 1H, Ar-H), 7.55–7.60 (m, 4H, Ar-H), 7.68–7.72 (m, 3H, Ar-H), 8.093 (d, J = 8.0 Hz, 2H, Ar-H), 8.22 (d, J = 8.0 Hz, 2H, Ar-H), 8.29 (s, 1H, pyridazine H5), and 8.37–8.39 (m, 2H, Ar-H); 13C-NMR (DMSO-d6): δ = 123.9, 126.6, 128.9, 129.3, 129.4, 129.43, 130.8, 131.1, 133.9, 135.8, 137.9, 140.5, 142.1, 142.9, 148.4, 159.0 and 189.8 ppm (Ar-C and CO); MS (EI): m/z (%) 398 ([M + 1]+, 28.15), 397 (M+, 100); HRMS (EI): m/z calcd. for C23H15N3O4 (M+) 397.1057, found 397.1056. Anal. calcd. for C23H15N3O4 (397.39): C, 69.52; H, 3.80; N, 10.57. Found: C, 69.43; H, 3.95; N, 10.66. (([M + 1]+ has be changed to ([M + 1]+ and please check)
6-Benzoyl-2-(4-methoxyphenyl)-4-(4-nitrophenyl)pyridazin-3-(2H)-one (3b). Yellow crystals, yield: (1.79 g, 84%), m.p.: 167–168 °C; IR (KBr): v/cm−1 1670, 1645 (2CO); 1H-NMR (DMSO-d6): δ = 3.83 (s, 3H, OCH3), 7.09 (d, J = 8.8 Hz, 2H, Ar-H), 7.58 (t, J = 8.0 Hz, 2H, Ar-H), 7.63 (d, J = 8.8 Hz, 2H, Ar-H), 7.70 (t, J = 8.0 Hz, 1H, Ar-H), 8.08 (d, J = 8.0 Hz, 2H, Ar-H), 8.22 (d, J = 8.8 Hz, 2H, Ar-H), 8.27 (s, 1H, pyridazine H5) and 8.38 ppm (d, J = 8.8 Hz, 2H, Ar-H); 13C-NMR (DMSO-d6): δ = 55.94 (CH3), 114.3, 123.8, 127.7, 128.8, 129.2, 130.7, 131.0, 133.8, 134.9, 135.8, 137.6, 140.5, 142.6, 148.3, 159.0, 159.6 and 189.8 ppm (Ar-C and CO); MS (EI): m/z (%) 428 ([M + 1]+, 34.22), 427 (M+, 100); HRMS (EI): m/z calcd. for C24H17N3O5 (M+) 427.1162, found 427.1162.
6-Benzoyl-2-(4-chlorophenyl)-4-(4-nitrophenyl)pyridazin-3-(2H)-one (3c). Pale orange crystals, yield: (1.9 g, 89%), m.p.: 188–189 °C; IR (KBr): v/cm−1 1672, 1639 (2CO); 1H-NMR (DMSO-d6): δ = 7.50 (t, J= 8.0 Hz, 1H, Ar-H), 7.57 (t, J = 8.0 Hz, 2H, Ar-H), 7.65 (d, J = 8.8 Hz, 2H, Ar-H), 7.71 (d, J = 8.0 Hz, 2H, Ar-H), 8.10 (d, J = 8.8 Hz, 2H, Ar-H), 8.21 (d, J = 8.8 Hz, 2H, Ar-H), 8.27 (s, 1H, pyridazine H5) and 8.38 ppm (d, J = 8.8 Hz, 2H, Ar-H); 13C-NMR (DMSO-d6): δ = 123.9, 126.5, 129.0, 129.23, 129.24, 129.3, 130.7, 132.9, 134.4, 137.9, 138.8, 140.3, 141.9, 142.6, 148.3, 158.9 and 188.6 ppm (Ar-C and CO); MS (EI): m/z (%) 432 ([M + 1]+, 35.87), 431 (M+, 100); HRMS (EI): m/z calcd. for C23H1435Cl N3O4 (M+) 431.0667, found 431.0669.
6-(4-Fluorobenzoyl)-4-(4-nitrophenyl)-2-phenylpyridazin-3-(2H)-one (3d). Yellow crystals, yield: (1.7 g, 80%), m.p.: 177–178 °C; IR (KBr): v/cm−1 1677, 1655 (2CO); 1H-NMR (DMSO-d6): δ = 7.39 (t, J = 8.4 Hz, 2H, Ar-H), 7.47–7.54 (m, 3H, Ar-H), 7.68 (d, J = 8.8 Hz, 2H, Ar-H), 8.15–8.18 (m, 4H, Ar-H), 8.24 (s, 1H, pyridazine H5) and 8.34 ppm (d, J = 8.8 Hz, 2H, Ar-H); 13C-NMR (DMSO-d6): δ = 115.9, 116.1, 123.8, 126.5, 129.2, 129.3, 130.7, 132.3, 134.03, 134.10, 137.8, 140.3, 142.0, 142.7, 148.3, 158.9, 164.8, 166.4 and 188.2 ppm (Ar-C and CO); MS (EI): m/z (%) 416 ([M + 1]+, 29.69), 415 (M+, 100); HRMS (EI): m/z calcd. for C23H14F N3O4 (M+) 415.0962, found 415.0963. Crystal Data, C23H14F N3O4, M = 415.38, triclinic, a = 7.751(3) Å, b = 11.283(4) Å, c = 22.132(8) Å, V = 1873(1) Å3, α = 90.895(7)°, β = 97.459(7)°, γ = 102.263(8)°, space group: P-1 (#2), Z = 4, Dcalc = 1.473 g·cm−3, No. of reflection measured 8398, 2 θ max = 54.8°, R1 = 0.0738 [38].
2-(4-Chlorophenyl)-6-(4-fluorobenzoyl)-4-(4-nitrophenyl)pyridazin-3-(2H)-one (3e). Yellow crystals, yield: (1.9 g, 84%), m.p.: 214–215 °C; IR (KBr): v/cm−1 1675, 1643 (2CO); 1H-NMR (DMSO-d6): δ = 7.37–7.40 (m, 2H, Ar-H), 7.60 (d, J = 8.4 Hz, 2H, Ar-H), 7.72 (d, J = 8.4 Hz, 2H, Ar-H), 8.16–8.18 (m, 4H, Ar-H), 8.23 (s, 1H, pyridazine H5) and 8.33 ppm (d, J = 8.4 Hz, 2H, Ar-H); 13C-NMR (DMSO-d6): δ = 115.9, 116.1, 123.8, 128.4, 129.3, 130.7, 132.2, 133.7, 134.05, 134.11, 137.9, 140.2, 140.7, 142.9, 148.3, 158.8, 164.8, 166.5 and 188.1 ppm (Ar-C and CO); MS (EI): m/z (%) 450 ([M + 1]+, 24.91), 449 (M+, 66.15); HRMS (EI): m/z calcd. for C23H1335ClFN3O4 (M+) 449.0573, found 449.0573.
6-(4-Chlorobenzoyl)-2-(4-chlorophenyl)-4-(4-nitrophenyl)pyridazin-3-(2H)-one (3f).Yellow crystals, yield: (1.8 g, 78%), m.p.: 256–257 °C; IR (KBr): v/cm−1 1670, 1648 (2CO); 1H-NMR (DMSO-d6): δ = 7.60–7.62 (m, 4H, Ar-H), 7.72 (d, J = 8.4 Hz, 2H, Ar-H), 8.07 (d, J = 8.4 Hz, 2H, Ar-H), 8.17 (d, J = 8.4 Hz, 2H, Ar-H), 8.24 (s, 1H, pyridazine H5) and 8.34 ppm (d, J = 8.4 Hz, 2H, Ar-H); 13C-NMR (DMSO-d6): δ = 123.9, 128.3, 129.0, 129.25, 129.30, 130.7, 132.9, 133.7, 134.3, 138.0, 138.88, 140.2, 140.7, 142.7, 148.4, 158.9 and 188.5 ppm (Ar-C and CO); MS (EI): m/z (%) 466 ([M + 1]+, 40.45), 465 (M+, 100); HRMS (EI): m/z calcd. for C23H1335Cl2N3O4 (M+) 465.0277, found 465.0277.
6-(4-Bromobenzoyl)-2-(4-chloro-3-nitrophenyl)-4-(4-nitrophenyl)pyridazin-3-(2H)-one (3g). Yellow crystals, yield: (2.5 g, 91%), m.p.: 236–237 °C; IR (KBr): v/cm−1 1676, 1648 (2CO); 1H-NMR (DMSO-d6): δ = 7.80 (d, J = 7.6 Hz, 2H, Ar-H), 7.99–8.10 (m, 4H, Ar-H), 8.21 (d, J = 7.6 Hz, 2H, Ar-H), 8.29 (s, 1H, pyridazine H5), 8.38 (d, J = 7.6 Hz, 2H, Ar-H) and 8.56 ppm (s, 1H, Ar-H); 13C-NMR (DMSO-d6): δ = 123.6, 123.8, 125.7, 128.2, 129.3, 130.7, 131.5, 132.0, 132.7, 132.8, 134.7, 138.5, 139.9, 141.1, 143.4, 147.7, 148.8, 158.9 and 188.4 ppm (Ar-C and CO); MS (EI): m/z (%) 556 ([M + 2]+, 87.88), 555 ([M + 1]+, 41.10), 554 (M+, 65.05); HRMS (EI): m/z calcd. for C23H1279BrClN4O6 (M+) 553.9623, found 553.9625.
6-(4-Bromobenzoyl)-2-(4-chloro-3-nitrophenyl)-4-(2-nitrophenyl)pyridazin-3-(2H)-one (3h). Buff crystals, yield: (2.13 g, 77%), m.p.: 218–219 °C; IR (KBr): v/cm−1 1679, 1659 (2CO); 1H-NMR (DMSO-d6): δ = 7.77–7.85 (m, 4H, Ar-H), 7.94–8.01 (m, 3H, Ar-H), 8.07 (d, J = 8.8 Hz, 2H, Ar-H), 8.21 (d, J = 8.0 Hz, 1H, Ar-H), 8.26 (s, 1H, pyridazine H5) and 8.45 ppm (d, J = 2.0 Hz, 1H, Ar-H); 13C-NMR (DMSO-d6): δ = 123.5, 124.9, 125.8, 128.2, 128.4, 128.7, 131.3, 131.8, 132.0, 132.8, 133.0, 133.1, 134.5, 134.9, 140.5, 140.9, 143.5, 147.6, 148.7, 158.3 and 188.4 ppm (Ar-C and CO); MS (EI): m/z (%) 556 ([M + 2]+, 8.85), 555 ([M + 1]+, 3.44), 554 (M+, 5.15); HRMS (EI): m/z calcd. for C23H1279BrClN4O6 (M+) 553.9623, found 553.9624.
6-(4-Bromobenzoyl)-2-(4-chloro-3-nitrophenyl)-3-oxo-2,3-dihydropyridazine-4-carbonitrile (3i). Brown crystals, yield: (1.7 g, 75%), m.p.: above 300 °C; IR (KBr): v/cm−1 2220 (CN), 1688, 1654 (2CO); 1H-NMR (DMSO-d6): δ = 7.79 (d, J = 8.0 Hz, 2H, Ar-H), 7.98 (d, J = 8.0 Hz, 2H, Ar-H), 8.01–8.04 (m, 2H, Ar-H), 8.47 (s, 1H, pyridazine H5) and 8.83 ppm (s, 1H, Ar-H); 13C-NMR (DMSO-d6): δ = 113.8, 116.1, 123.6, 126.5, 128.6, 131.5, 132.1, 133.0, 133.1, 134.0, 139.5, 139.9, 142.3, 147.5, 156.5 and 187.5 ppm (Ar-C, CN and CO); MS (EI): m/z (%) 460 ([M + 2]+, 22.58), 459 ([M + 1]+, 7.04), 458 (M+, 16.81); HRMS (EI): m/z calcd. for C18H879BrClN4O4 (M+) 457.9411, found 457.9411.
6-(4-Chlorobenzoyl)-2-(4-chlorophenyl)-3-oxo-2,3-dihydropyridazine-4-carbonitrile (3j). Brown crystals, yield: (1.5 g, 81%), m.p.: above 300 °C; IR (KBr): v/cm−1 2218 (CN), 1689, 1662 (2CO); 1H-NMR (DMSO-d6): δ = 7.62–7.70 (m, 4H, Ar-H), 7.96 (d, J = 8.4 Hz, 2H, Ar-H), 8.00 (d, J = 8.4 Hz, 2H, Ar-H) and 8.77 ppm (s, 1H, pyridazine H5); MS (EI): m/z (%) 370 ([M + 1]+, 35.22), 369 (M+, 59.38); HRMS (EI): m/z calcd. for C18H9Cl2N3O2 (M+) 369.0066, found 369.0063.
6-Benzoyl-2-(4-methoxyphenyl)-3-oxo-2,3-dihydropyridazine-4-carbonitrile (3k). Brown crystals, yield: (1.4 g, 80%), m.p.: 164–165 °C; IR (KBr): v/cm−1 2219 (CN), 1695, 1659 (2CO); 1H-NMR (DMSO-d6): δ = 3.85 (s, 3H, OCH3), 7.07 (d, J = 8.8 Hz, 2H, Ar-H), 7.35–7.65 (m, 5H, Ar-H), 8.04 (d, J = 8.4 Hz, 2H, Ar-H) and 8.75 ppm (s, 1H, pyridazine H5); MS (EI): m/z (%) 332 ([M + 1]+, 16.85), 331 (M+, 68.11); HRMS (EI): m/z calcd. for C19H13N3O3 (M+) 331.0951, found 331.0949.
6-Acety-4-(4-nitrophenyl)l-2-phenylpyridazin-3-(2H)-one (3l). Yellow crystals, yield: (1.5 g, 89%), m.p.: 182–183 °C; IR (KBr): v/cm−1 1689, 1672 (2CO); 1H-NMR (DMSO-d6): δ = 2.51 (s, 3H, CH3), 7.51 (t, J = 7.8 Hz, 1H, Ar-H), 7.58 (t, J = 7.8 Hz, 2H, Ar-H), 7.70 (d, J = 7.8 Hz, 2H, Ar-H), 8.11 (s, 1H, pyridazine H5), 8.14 (d, J = 8.4 Hz, 2H, Ar-H) and 8.31 ppm (d, J = 8.4 Hz, 2H, Ar-H); 13C-NMR (DMSO-d6): δ = 25.1 (CH3), 123.8, 126.4, 126.8, 129.25, 129.30, 130.7, 137.5, 140.4, 142.0, 142.5, 148.3, 159.1 and 195.1 ppm (Ar-C and CO); MS (EI): m/z (%) 336 ([M + 1]+, 25.08), 335 (M+, 100); HRMS (EI): m/z calcd. for C18H13N3O4 (M+) 335.0900, found 335.0901. Crystal Data, C18H13N3O4, M = 335.32, monoclinic, a = 25.68(3) Å, b = 3.848(4) Å, c = 32.02(3) Å, V = 3164(5) Å3, α = γ = 90°, β = 90.62(2)°, space group: C2/c (#15), Z = 8, Dcalc = 1.408 g·cm−3, No. of reflection measured 2806, 2 θ max = 50.1°, R1 = 0.0818 [39].
(E)-6-(3-(Dimethylamino)acryloyl)-4-(4-nitrophenyl)l-2-phenylpyridazin-3-(2H)-one (4). Mixture of 3l (1.68 g, 5 mmol), N,N-dimethylformamide dimethylacetal (DMF-DMA) (0.6 g, 5 mmol) in dioxane (20 mL) were stirred at reflux for 5 h. The separated solid product obtained on standing at room temperature was collected by filtration, washed by EtOH and recrystallized from dioxane to afford the corresponding enamines 4 as orange crystal. Yellow crystals, yield: (1.70 g, 90%), m.p.: 214–215 °C; IR (KBr): v/cm−1 1678, 1644 (2CO); 1H-NMR (DMSO-d6): δ = 2.84 (s, 3H, CH3), 3.15 (s, 3H, CH3), 5.88 (d, J = 12 Hz, 1H, olefinic CH=CH), 7.49 (t, J = 7.8 Hz, 1H, Ar-H), 7.56 (t, J = 7.8 Hz, 2H, Ar-H), 7.67 (d, J = 7.8 Hz, 2H, Ar-H), 7.81 (d, J = 12 Hz, 1H, olefinic CH=CH), 8.13 (d, J = 8.4 Hz, 2H, Ar-H), 8.15 (s, 1H, pyridazine H5) and 8.30 ppm (d, J = 8.4 Hz, 2H, Ar-H); 13C-NMR (DMSO-d6): δ = 37.6 (CH3), 45.1 (CH3), 88.6, 123.7, 126.6, 127.9, 128.9, 129.30, 130.6, 137.3, 140.9, 142.3, 144.3, 148.1, 155.1, 159.1 and 180.7 ppm (Ar-C and CO); MS (EI): m/z (%) 391 ([M + 1]+, 19.75), 335 (M+, 85.07); HRMS (EI): m/z calcd. for C21H18N4O4 (M+) 390.1322, found 390.1322. Anal. calcd. for C21H18N4O4 (390.40): C, 64.61; H, 4.65; N, 14.35. Found C, 64.80; H, 4.77; N, 14.53.
3.2.2. General Procedure for the Synthesis of Azolopyrimidines 5–7
Independent mixtures of 4 (0.78 g, 2 mmol) and the appropriate heteroaromatic amine (2 mmol) in pyridine (20 mL) were stirred at reflux for 24 h. The reaction mixtures were cooled to room temperature and poured into ice cold water then acidified with hydrochloric acid (2 N), forming solids that were collected by filtration and washed with water then MeOH and recrystallized from the appropriate solvent.
4-(4-Nitrophenyl)-2-phenyl-6-(1,2,4-triazolo[1,5-a]pyrimidin-7-yl)-(2H)-pyridazin-3-one (5). Pall yellow crystals, yield: (0.7 g, 76%), m.p.: 149–150 °C; IR (KBr): v/cm−1 1668 (CO); 1H-NMR (DMSO-d6): δ = 7.54 (t, J = 8.0 Hz, 1H, Ar-H), 7.61 (t, J = 8.0 Hz, 2H, Ar-H), 7.79 (d, J = 8.0 Hz, 2H, Ar-H), 7.98 (d, J = 5.4 Hz, 1H, pyrimidine H6), 8.25 (d, J = 8.0 Hz, 2H, Ar-H), 8.38 (d, J = 8.0 Hz, 2H, Ar-H), 8.66 (s, 1H, pyridazine H5), 8.80 (s, 1H, triazole H2) and 9.48 ppm (d, J = 5.4 Hz, 1H, pyrimidine H5); MS (EI): m/z (%) 461 ([M + 1]+, 30.78), 460 (M+, 100); HRMS (EI): m/z calcd. for C26H16N6O3 (M+) 460.1278, found 460.1278.
4-(4-Nitrophenyl)-2-phenyl-6-(2-phenylpyrazolo[1,5-a]pyrimidin-7-yl)-(2H)-pyridazin-3-one (6). Yellow crystals, yield: (0.77 g, 80%), m.p.: 285–286 °C; IR (KBr): v/cm−1 1671 (CO); 1H-NMR (DMSO-d6): δ = 7.43–7.45 (m, 2H, Ar-H), 7.49 (d, J = 4.8 Hz, 1H, pyrimidine H6), 7.51–7.54 (m, 3H, Ar-H), 7.59 (t, J = 7.8 Hz, 2H, Ar-H), 7.80 (d, J = 7.8 Hz, 2H, Ar-H), 8.05 (d, J = 7.8 Hz, 2H, Ar-H), 8.23 (d, J = 8.4 Hz, 2H, Ar-H), 8.40 (d, J = 8.4 Hz, 2H, Ar-H), 8.67 (d, J = 4.8 Hz, 1H, pyrimidine H5) and 8.96 ppm (s, 1H, pyridazine H5); 13C-NMR (DMSO-d6): δ = 93.9, 107.9, 123.5, 126.1, 126.2, 128.7, 128.8, 129.0, 129.3, 130.1, 130.9, 132.1, 136.1, 138.0, 139.9, 140.2, 141.5, 147.9, 149.9, 150.6, 155.0 and 158.3 ppm (Ar-C and CO); MS (EI): m/z (%) 487 ([M + 1]+, 35.02), 486 (M+, 100); HRMS (EI): m/z calcd. for C28H18N6O3 (M+) 486.1434, found 486.1432. Anal. calcd. for C28H18N6O3 (486.49): C, 69.13; H, 3.73; N, 17.27. Found C, 69.27; H, 3.65; N, 17.39.
6-(Benzo[4,5]imidazo[1,2-a]pyrimidine-4-yl)-4-(4-nitrophenyl)-2-phenyl-(2H)-pyridazin-3-one (7). Yellow crystals, yield: (0.6 g, 73%), m.p.: above 300 °C; IR (KBr): v/cm−1 1669 (CO); 1H-NMR (DMSO-d6): δ = 7.45 (t, J = 7.8 Hz, 1H, Ar-H), 7.54 (t, J = 7.8 Hz, 1H, Ar-H), 7.57–762 (m, 3H, Ar-H), 7.74 (d, J = 5.4 Hz, 1H, pyrimidine H6), 7.80 (d, J = 8.4 Hz, 2H, Ar-H), 7.88 (d, J = 7.8 Hz, 1H, Ar-H), 8.24 (d, J = 9.0 Hz, 2H, Ar-H), 8.28 (d, J = 7.8 Hz, 1H, Ar-H), 8.34 (d, J = 9.0 Hz, 2H, Ar-H), 8.69 (s, 1H, pyridazine H5) and 9.48 ppm (d, J = 5.4 Hz, 1H, pyrimidine H5); 13C-NMR (DMSO-d6): δ = 102.9, 112.9, 119.5, 119.9, 122.5, 123.7, 126.4, 126.7, 127.8, 129.0, 129.2, 130.7, 136.6, 138.3, 140.7, 142.4, 142.7, 145.2, 148.7, 150.2, 157.0 and 159.1 ppm (Ar-C and CO); MS (EI): m/z (%) 412 ([M + 1]+, 26.11), 411 (M+, 100); HRMS (EI): m/z calcd. for C21H13N7O3 (M+) 411.1074, found 411.1074.
3.2.3. General Procedure for the Preparation of Compounds 16–20
Independent mixtures of 8a (1.03 g, 2.5 mmol), cyanoacetylindoles 11,12, cyanoacetamides 13–15 (2.5 mmol), and ammonium acetate (2 g) in acetic acid (20 mL) were stirred at reflux for 1–2 h. (progress of the reactions monitored by using TLC with 1:1 ethyl acetate/petroleum ether as eluent). The mixtures were cooled to room temperature. The formed solids were collected by filtration and crystallized from the indicated solvents to give 16–20 as pure products.
[2-Amino-6-(4-bromophenyl)-5-(4-chloro-3-nitrophenylazo)pyridin-3-yl](1-methyl-1H-indol-3-yl)-methanone (16). Recrystallized from EtOH/DMF mixture (1:1) as pale brown crystals, yield: (1.10 g, 75%), m.p.: 273–274 °C; IR (KBr): v/cm−1 3329, 3279 (NH2), 1635( (CO); 1H-NMR (DMSO-d6): δ = 3.89 (s, 3H, CH3), 7.32 (t, J = 8.0 Hz, 1H, Ar-H), 7.37 (t, J = 8.0 Hz, 1H, Ar-H), 7.62 (d, J = 8.0 Hz, 1H, Ar-H), 7.74 (d, J = 8.4 Hz, 2H, Ar-H), 7.82 (d, J = 8.4 Hz, 2H, Ar-H), 7.87 (s, 2H, NH2), 7.88–7.93 (m, 2H, Ar-H), 8.13 (s, 1H, indole H2), 8.24 (d, J = 8.0 Hz, 1H, Ar-H), 8.30 (s, 1H, Ar-H) and 8.39 ppm (s, 1H, pyridine H4); 13C-NMR (DMSO-d6 at 80 °C): δ = 33.7 (CH3), 111.2 (pyridine C3), 115.4, 117.3, 119.5, 122.1, 122.8, 123.6, 123.9, 126.2, 127.0, 127.2, 127.5, 131.0, 133.2, 133.4, 137.1, 138.2, 139.3, 145.0, 148.8, 152.0, 159.9, 160.2 and 189.0 ppm (Ar-C and CO); MS (EI): m/z (%) 590 ([M + 2]+, 37.92), 589 ([M + 1]+, 36.11), 588 (M+, 26.44); HRMS (EI): m/z Calcd. for C27H1879Br35ClN6O3 (M+) 588.0306, found 588.0306. Anal. calcd. for C27H18BrClN6O3 (589.84): C, 54.98; H, 3.08; N, 14.25. Found C, 54.83; H, 3.17; N, 14.11.
[2-Amino-6-(4-bromophenyl)-5-(4-chloro-3-nitrophenylazo)pyridin-3-yl](2-methyl-1H-indol-3-yl)- methanone (17). Recrystallized from EtOH/DMF mixture (1:1) as pale brown crystals, yield: (1.16 g, 79%), m.p.: 292–293 °C; IR (KBr): v/cm−1 3345, 3267, 3168 (NH2 and NH), 1631( (CO); 1H-NMR (DMSO-d6): δ = 2.48 (s, 3H, CH3), 7.06 (t, J = 8.0 Hz, 1H, Ar-H), 7.15 (t, J = 8.0 Hz, 1H, Ar-H), 7.42 (d, J = 8.0 Hz, 1H, Ar-H), 7.53 (d, J = 8.0 Hz, 1H, Ar-H), 7.73 (d, J = 8.4 Hz, 2H, Ar-H), 7.80–7.88 (m, 4H, Ar-H),7.94 (s, 2H, NH2), 8.19 (d, J = 2.4 Hz, 1H, Ar-H), 8.26 (s, 1H, pyridine H4) and 12.07 ppm (s, 1H, NH); 13C-NMR (DMSO-d6): δ = 14.4 (CH3), 111.5 (pyridine C3), 112.7, 117.1, 119.4, 119.9, 121.3, 122.1, 123.2, 125.7, 126.3, 127.1, 127.8, 130.6, 132.7, 133.2, 135.0, 136.1, 136.4, 144.4, 148.0, 151.1, 159.5, 160.0 and 190.2 ppm (Ar-C and CO); MS (EI): m/z (%) 590 ([M + 2]+, 28.79), 589 ([M + 1]+, 26.98), 588 (M+, 21.03); HRMS (EI): m/z Calcd. for C27H1879BrClN6O3 (M+) 588.0306, found 588.0307.
2-Amino-6-(4-bromophenyl)-N-(4-chloro-3-nitrophenyl)-5-(4-chloro-3-nitrophenylazo)nicotin-amide (18). Recrystallized from dioxane as orange crystals, yield: (1.27 g, 81%), m.p.: 299–300 °C; IR (KBr): v/cm−1 3371, 3266, 3170 (NH2 and NH), 1658 (CO); 1H-NMR (DMSO-d6): δ = 7.69 (d, J = 8.4 Hz, 2H, Ar-H), 7.74–7.76 (m, 3H, Ar-H), 7.91–7.99 (m, 3H, Ar-H), 8.04 (s, 2H, NH2), 8.28 (d, J = 2.4 Hz, 1H, Ar-H), 8.50 (d, J = 2.4 Hz, 1H, Ar-H), 8.57 (s, 1H, pyridine H4) and 11.00 ppm (s, 1H, NH); 13C-NMR (DMSO-d6): δ = 110.2 (pyridine C3), 117.0, 119.2, 119.3, 123.3, 125.4, 125.6, 126.0, 126.7, 130.5, 131.9, 133.0, 133.1, 135.9, 136.2, 138.7, 147.0, 148.0, 151.1, 159.9, 160.4 and 166.1 ppm (Ar-C and CO); MS (EI): m/z (%) 631 ([M + 2]+, 66.14), 630 ([M + 1]+, 100), 629 (M+, 50.07); HRMS (EI): m/z Calcd. for C24H1479BrCl2N7O5 (M+) 628.9611, found 628.9611. Crystal Data, C52H36Br2Cl4N14O12, M = 1350.57, triclinic, a = 8.0796(5) Å, b = 11.0560(7) Å, c = 16.1457(11) Å, V = 1336.71(15) Å3, α = 72.539(5)°, β = 76.338(5)°, γ = 86.790(6)°, space group: P-1, Z = 1, Dcalc = 1.678 g·cm−3, No. of reflection measured 6079, 2 θ max = 27.44°, R1 = 0.0386 [42].
N-(5-Acetyl-2-phenyl-2H-1,2,3-triazol-4-yl)-2-amino-6-(4-bromophenyl)-5-(4-chloro-3-nitrophenyl)-nicotinamide (19). Recrystallized from dioxane as deep orange crystals, yield: (1.19 g. 72%), m.p.: above 300 °C; IR (KBr): v/cm−1 3382, 3351, 3166 (NH2 and NH), 1689, 1659 ( (2CO); 1H-NMR (DMSO-d6): δ = 2.66 (s, 3H, CH3), 7.54 (t, J = 7.6 Hz, 1H, Ar-H), 7.65 (t, J = 7.6 Hz, 2H, Ar-H), 7.72 (d, J = 8.4 Hz, 2H, Ar-H), 7.79–7.82 (m, 2H, Ar-H), 7.99 (s, 2H, NH2), 8.07–8.10 (m, 4H, Ar-H), 9.30 (s, 1H, Ar-H), 8.74 (s, 1H, pyridine H4) and 11.21 ppm (s, 1H, NH); MS (EI): m/z (%) 661 ([M + 2]+, 77.95), 660 ([M + 1]+, 100), 659 (M+, 56.01); HRMS (EI): m/z Calcd. for C28H1979BrClN9O4 (M+) 659.0426, found 659.0428.
6-(4-Bromobenzoyl)-2-(4-chloro-3-nitrophenyl)-3-imino-2,3-dihydropyridazine-4-carboxylic acid (3-cyano-4-phenylthiophen-2-yl)amide (20a). Recrystallized from EtOH/DMF mixture (1:3) as pale brown crystals, yield: (1.27 g, 77%), m.p.: 270–271 °C; IR (KBr): v/cm−1 3426, 3346 (2 NH), 2216 (CN), 1678, 1659 (CO); 1H-NMR (DMSO-d6): δ = 7.16 (s, 1H, thiophene H5), 7.37 (t, J = 8.0 Hz, 1H, Ar-H), 7.47 (t, J = 8.0 Hz, 2H, Ar-H), 7.63 (d, J = 8.0 Hz, 2H, Ar-H), 7.75 (d, J = 8.8 Hz, 2H, Ar-H), 7.95 (d, J = 8.8 Hz, 2H, Ar-H), 8.16–8.23 (m, 2H, Ar-H), 8.73 (d, J = 2.0 Hz, 1H, Ar-H), 8.79 (s, 1H, pyridazine H5), 9.85 (s, 1H, imine NH) and 13.32 ppm (s, 1H, amide NH); 13C-NMR (DMSO-d6): δ = 94.4 (thiophene C-3), 114.9, 117.8, 125.3, 127.0, 127.7, 128.40, 128.42, 128.8, 130.9, 131.2, 131.7, 132.6, 132.8, 133.4, 134.51, 134.54, 136.8, 138.8, 146.3, 148.2, 155.0, 161.0, 163.4 and 187.4 ppm (Ar-C, CN and CO); MS (EI): m/z (%) 660 ([M + 2]+, 7.95), 659 ([M + 1]+, 2.73), 658 (M+, 6.55); HRMS (EI): m/z Calcd. for C29H1679BrClN6O4S (M+) 657.9820, found 657.9820.
6-(4-Bromobenzoyl)-2-(4-chloro-3-nitrophenyl)-3-imino-2,3-dihydropyridazine-4-carboxylic acid [4-(4-chlorophenyl)-3-cyanothiophen-2-yl]amide (20b). Recrystallized from EtOH/DMF mixture (1:3) as yellowish brown crystals, yield: (1.26 g, 73%), m.p.: 288–289 °C; IR (KBr): v/cm−1 3401, 3349 (2 NH), 2214 (CN), 1673, 1654 (CO); 1H-NMR (DMSO-d6): δ = 7.16 (s, 1H, thiophene H5), 7.53 (d, J = 8.8 Hz, 2H, Ar-H), 7.65 (d, J = 8.4 Hz, 2H, Ar-H), 7.76 (d, J = 8.8 Hz, 2H, Ar-H), 7.95 (d, J = 8.4 Hz, 2H, Ar-H), 8.17–8.19 (m, 2H, Ar-H), 8.71 (d, J = 2.0 Hz, 1H, Ar-H), 8.78 (s, 1H, pyridazine H5), 9.84 (s, 1H, imine NH) and 13.25 ppm (s, 1H, amide NH); 13C-NMR (DMSO-d6): δ = 94.1 (thiophene C-3), 115.5, 117.6, 125.2, 128.4, 128.7, 128.8, 131.0, 131.2, 131.7, 132.4, 132.6, 132.8, 133.36, 133.39, 134.5, 135.4, 138.8, 146.3, 148.1, 155.0, 161.1, 163.7 and 187.5 ppm (Ar-C, CN and CO); MS (EI): m/z (%) 694 ([M + 2]+, 11.84), 693 ([M + 1]+, 5.12), 692 (M+, 8.92); HRMS (EI): m/z Calcd. for C29H1579BrCl2N6O4S (M+) 691.9430, found 691.9432.
3.2.4. General Procedure for the Preparation of Naphthyridine Derivatives 24a,b
Independent solutions of cyanoacetic acid (0.425 g, 5 mmol) in Ac2O (10 mL) was heated at 100 °C for 5 min. then compounds 10a,b (5 mmol) were added and the reaction mixtures were heated for further 30 min. at 100 °C. Then the reaction mixtures were allowed to cool to room temperature and the formed crystalline solids were separated by filtration, washed with ethanol and recrystallized from the proper solvent.
7-(4-Bromophenyl)-6-(4-chloro-3-nitrophenylazo)-2-oxo-4-phenyl-1,2-dihydro[1,8]naphthyridine-3-carbonitrile (24a).Recrystallized from EtOH/dioxane mixture (1:1) as pale brown crystals, yield: (2.54 g, 80%), m.p.: above 300 °C; IR (KBr): v/cm−1 3397 (NH), 2220 (CN), 1673 (CO); 1H-NMR (DMSO-d6): δ = 7.51–7.53 (m, 2H, Ar-H), 7.62–7.63 (m, 3H, Ar-H), 7.71 (d, J = 8.4 Hz, 2H, Ar-H), 7.77 (d, J = 8.4 Hz, 2H, Ar-H), 7.80–7.89 (m, 3H, 2 Ar-H and pyridine H4), 8.18 (d, J = 2.4 Hz, 1H, Ar-H) and 13.33 ppm (s, 1H, NH); 13C-NMR (DMSO-d6): δ = 107.3, 113.5, 117.7, 120.0, 122.5, 123.6, 126.6, 127.0, 129.3, 129.5, 130.1, 131.1, 133.2, 133.6, 134.5, 137.5, 138.7, 145.6, 148.5, 151.4, 157.9, 158.0 and 160.7 ppm (Ar-C, CN and CO); MS (EI): m/z (%) 586 ([M + 2]+, 61.03), 585 ([M + 1]+, 84.11), 584 (M+, 47.05); HRMS (EI): m/z calcd. for C27H1479Br35ClN6O3 (M+) 583.9993, found 583.9991. Anal. calcd. for C27H14BrClN6O3 (585.81): C, 55.36; H, 2.41; N, 14.35. Found C, 55.24; H, 2.49; N, 14.27.
[7-(4-Chlorophenyl)-6-(4-chloro-3-nitrophenylazo)-2-oxo-4-phenyl-1,2-dihydro[1,8]naphthyridine-3-carbonitrile (24b). Recrystallized from EtOH/dioxane mixture (1:1) as pale brown crystals, yield: (2.21 g, 82%), m.p.: above 300 °C; IR (KBr): v/cm−1 3372 (NH), 2228 (CN), 1672 (CO); 1H-NMR (DMSO-d6): δ = 7.56–7.61 (m, 4H, Ar-H), 7.65–7.68 (m, 3H, Ar-H), 7.81–7.85 (m, 3H, Ar-H), 7.87–7.91 (m, 2H, 1 Ar-H and pyridine H4), 8.23 (d, J = 2.4 Hz, 1H, Ar-H) and 13.45 ppm (s, 1H, NH); 13C-NMR (DMSO-d6): δ = 108.2, 113.6, 114.8, 120.2, 123.9, 126.7, 127.7, 128.1, 128.8, 129.1, 130.6, 132.3, 132.9, 133.1, 134.7, 135.4, 140.6, 148.0, 150.3, 151.3, 159.3, 159.45 and 159.52 ppm (Ar-C, CN and CO); MS (EI): m/z (%) 541 ([M + 1]+, 88.31), 540 (M+, 100); HRMS (EI): m/z calcd. for C27H1435Cl2N6O3 (M+) 540.0498, found 540.0495.
4. Conclusions
The results of the study described above have led to the development of a simple approach for the synthesis of a novel class of pyridazin-3-one and 2-aminopyridine derivatives. Furthermore, the observations made during this work showed that these compounds are versatile precursors for the synthesis of some very important fused azines like azolo[1,5-a]pyrimidines and 1,8-naphthyridines, for which we expect a wide range of biological activity.
Acknowledgments
Financial support for this study was provided by the University of Kuwait through a research grant (SC03/11). The facilities of Analab/SAF supported by research grants GS01/01, GS01/05, GS01/03 and GS03/08 are gratefully acknowledged.
Supplementary Materials
Supplementary materials can be accessed at: http://www.mdpi.com/1420-3049/19/2/2637/s1.
Conflicts of Interest
The authors declare no conflict of interest.
Footnotes
Sample Availability: Samples of all compounds are available from the authors.
References and Notes
- 1.Zhmurenko L.A., Molodavkin G.M., Voronina T.A., Lezina V.P. Synthesis and antidepressant and anxiolytic activity of derivatives of pyrazolo[4,3-c]pyridine and 4-phenylhydrazinonicotinic acids. Pharm. Chem. J. 2012;46:15–19. doi: 10.1007/s11094-012-0726-z. [DOI] [Google Scholar]
- 2.Smyth L.A., Matthews T.P., Horton P.N., Hursthouse M.B., Collins I. Synthesis and reactivity of 3-amino-1H-pyrazolo[4,3-c]pyridin-4(5H)-ones: Development of a novel kinase-focussed library. Tetrahedron. 2010;66:2843–2854. doi: 10.1016/j.tet.2010.02.047. [DOI] [Google Scholar]
- 3.Suksrichavalit T., Prachayasittikul S., Nantasenamat C., Isarankura-Na-Ayudhya C., Prachayasittikul V. Copper complexes of pyridine derivatives with superoxide scavenging and antimicrobial activities. Eur. J. Med. Chem. 2009;44:3259–3265. doi: 10.1016/j.ejmech.2009.03.033. [DOI] [PubMed] [Google Scholar]
- 4.Gaonkar S.L., Rai K.M.L., Prabhuswamy B. Synthesis of novel 3-[5-ethyl-2-(2-phenoxy-ethyl)-pyridin]-5-substituted isoxazoline libraries via 1,3-dipolar cycloaddition and evaluation of antimicrobial activities. Med. Chem. Res. 2007;15:407–417. doi: 10.1007/s00044-006-0015-z. [DOI] [Google Scholar]
- 5.Butnariu R.M., Caprosu M.D., Bejan V., Mangalagiu I.I., Ungureanu M., Poiata A., Tuchilus C., Florescu M. Pyridazine and phthalazine derivatives with potential antimicrobial activity. J. Heterocycl. Chem. 2007;44:1149–1152. doi: 10.1002/jhet.5570440528. [DOI] [Google Scholar]
- 6.Kandile N.G., Mohamed M.I., Zaky H., Mohamed H.M. Novel pyridazine derivatives: Synthesis and antimicrobial activity evaluation. Eur. J. Med. Chem. 2009;44:989–1996. doi: 10.1016/j.ejmech.2008.09.047. [DOI] [PubMed] [Google Scholar]
- 7.Hosni H.M., Abdulla M.M. Anti-inflammatory and analgesic activities of some newly synthesized pyridinedicarbonitrile and benzopyranopyridine derivatives. Acta Pharm. 2008;58:175–186. doi: 10.2478/v10007-008-0005-4. [DOI] [PubMed] [Google Scholar]
- 8.Dogruer D.S., Unlu S., Kupeli E., Banoglu E., Sahin M.F. Synthesis of 2-[5,6-diphenyl-3(2H)-pyridazinone-2-yl]acetamide and 3-[5,6-diphenyl-3(2H)-pyridazinone-2-yl]propanamide derivatives as analgesic and anti inflamematory agents. Turk. J. Pharm. Sci. 2007;4:57–70. [Google Scholar]
- 9.Gökçe M., Colak M.S., Küpeli E., Sahin M.F. Synthesis and analgesic and anti-inflammatory activity of 6-phenyl/(4-methylphenyl)-3(2H)-pyridazinon-2-propionamide derivatives. Arzneim. Forsch. 2009;59:357–363. doi: 10.1055/s-0031-1296408. [DOI] [PubMed] [Google Scholar]
- 10.Ali M.A., Yar M.S., Siddiqui A.A., Sriram D., Yogeeswari P., de Clercq E. Synthesis and anti-HIV activity of N'-nicotinoyl-3-(4'-hydroxy-3'-methylphenyl)-5-[substituted phenyl]-2-pyrazo- lines. Acta Pol. Pharm. 2007;64:423–428. [PubMed] [Google Scholar]
- 11.Kumar S., Das S.K., Dey S., Maity P., Guha M., Choubey V., Panda G., Bandyopadhyay U. Antiplasmodial activity of [(aryl)arylsulfanylmethyl]pyridine. Antimicrob. Agents Chemother. 2008;52:705–715. doi: 10.1128/AAC.00898-07. [DOI] [PMC free article] [PubMed] [Google Scholar]
- 12.Lourenço M.C.S., de Souza M.V.N., Pinheiro A.C., de Lima Ferreira M., Goncalves R.S.B., Nogueira T.C.M., Peralta M.A. Evaluation of anti-tubercular activity of nicotinic and isoniazid analogues. ARKIVOC. 2007;xv:181–191. [Google Scholar]
- 13.Sharma P.C., Jain S. Synthesis and in vitro antibacterial activity of some novel N-nicotinoyl-1-ethyl-6-fluoro-1,4-dihydro-7-piperazin-1-yl-4-oxoquinoline-3-carboxylates. Acta Pol. Pharm. 2008;65:551–556. [PubMed] [Google Scholar]
- 14.Shafiee A., Rastkari N., Sharifzadeh M. Anticonvulsant activities of new 1,4-dihydropyridine derivatives containing 4-nitroimidazolyl substituents. Daru. 2004;12:81–86. [Google Scholar]
- 15.Rubat C., Coudert P., Refouvelet B., Tronche P., Bastide P., Bastide J. Anticonvulsant activity of 3-oxo-5-substituted benzylidene-6-methyl-(4H)-2-pyridazinylacetamides and 2-pyridazinylacetyl-hydrazides. Chem. Pharm. Bull. 1990;38:3009–3013. doi: 10.1248/cpb.38.3009. [DOI] [PubMed] [Google Scholar]
- 16.Chintakunta V.K., Akella V., Vedula M.S., Mamnoor P.K., Mishra P., Casturi S.R., Vangoori A., Rajagopalan R. 3-O-Substituted benzyl pyridazinone derivatives as COX inhibitors. Eur. J. Med. Chem. 2002;37:339–347. doi: 10.1016/s0223-5234(02)01336-3. [DOI] [PubMed] [Google Scholar]
- 17.Rathish I.G., Javed K., Bano S., Ahmad S., Alam M.S., Pillai K.K. Synthesis and blood glucose lowering effect of novel pyridazinone substituted benzenesulfonylurea derivatives. Eur. J. Med. Chem. 2009;44:2673–2678. doi: 10.1016/j.ejmech.2008.12.013. [DOI] [PubMed] [Google Scholar]
- 18.Barbaro R., Betti L., Botta M., Corelli F., Giannaccini G., Maccari L., Manetti F., Strappaghetti G., Corsano S. Synthesis, biological evaluation, and pharmacophore generation of new pyridazinone derivatives with affinity toward α1- and α2-adrenoceptors. J. Med. Chem. 2001;44:2118–2132. doi: 10.1021/jm010821u. [DOI] [PubMed] [Google Scholar]
- 19.Joule J.A., Mills K. Heterocyclic Chemistry. 5th ed. Wiley Blackwell; Oxford, UK: 2010. pp. 645–664. [Google Scholar]
- 20.Atanasova M., Ilieva S., Galabov B. QSAR analysis of 1,4-dihydro-4-oxo-1-(2-thiazolyl)-1,8-naphthyridines with anticancer activity. Eur. J. Med. Chem. 2007;42:1184–1192. doi: 10.1016/j.ejmech.2007.01.029. [DOI] [PubMed] [Google Scholar]
- 21.Miguel F.B., Monica C.M.L.G., Elena P.M., Berta L., de Beatriz P.T., Ana R., Nuria A., Francisco L., Dolores M.M., Olivier L., et al. Pyrazolo[3,4-c]pyridazines as novel and selective inhibitors of cyclin-dependent kinases. J. Med. Chem. 2005;48:6843–6854. doi: 10.1021/jm058013g. [DOI] [PubMed] [Google Scholar]
- 22.Malinka W., Redzicka A., Lozach O. New derivatives of pyrrolo[3,4-d]pyridazinone and their anticancer effects. Farmaco. 2004;59:457–462. doi: 10.1016/j.farmac.2004.03.002. [DOI] [PubMed] [Google Scholar]
- 23.Thapa P., Karki R., Thapa U., Jahng Y., Jung M.-J., Nam J.M., Na Y., Kwon Y., Lee E.-S. 2-Thienyl-4-furyl-6-aryl pyridine derivatives: Synthesis, topoisomerase I and II inhibitory activity, cytotoxicity, and structure–activity relationship study. Bioorg. Med. Chem. 2010;18:377–386. doi: 10.1016/j.bmc.2009.10.049. [DOI] [PubMed] [Google Scholar]
- 24.Thapa P., Karki R., Choi H., Choi J.H., Yun M., Jeong B.-S., Jung M.-J., Nam J.M., Na Y., Cho W.-J., et al. Synthesis of 2-(thienyl-2-yl or -3-yl)-4-furyl-6-aryl pyridine derivatives and evaluation of their topoisomerase I and II inhibitory activity, cytotoxicity, and structure activity relationship. Bioorg. Med. Chem. 2010;18:2245–2254. doi: 10.1016/j.bmc.2010.01.065. [DOI] [PubMed] [Google Scholar]
- 25.Sotelo E., Fraiz N., Yanez M., Terrades V., Laguna R., Cano E., Ravina E. Pyridazines. Part XXIX: Synthesis and platelet aggregation inhibition activity of 5-substituted-6-phenyl-3(2H)-pyridazinones novel aspects of their biological action. Bioorg. Med. Chem. 2002;10:2873–2882. doi: 10.1016/S0968-0896(02)00146-3. [DOI] [PubMed] [Google Scholar]
- 26.Griebel G., Perrault G., Sanger D.J. Differences in anxiolytic-like profile of two novel nonbenzodiazepine BZ (omega) receptor agonists on defensive behaviors of mice. Pharmacol. Biochem. Behav. 1999;62:689–694. doi: 10.1016/S0091-3057(98)00209-3. [DOI] [PubMed] [Google Scholar]
- 27.Wermuth C.G., Schlewer G., Bourguignon J.J., Maghioros G., Bouchet M.J., Moire C., Kan J.P., Worms P., Biziere K. 3-Aminopyridazine derivatives with atypical antidepressant, serotonergic, and dopaminergic activities. J. Med. Chem. 1989;32:528–537. doi: 10.1021/jm00123a004. [DOI] [PubMed] [Google Scholar]
- 28.Caliskan E.B., Sukuroglu M., Coban T., Banoglu E., Suzen S. Screening and evaluation of antioxidant activity of some pyridazine derivatives. J. Enz. Inhib. Med. Chem. 2008;23:225–229. doi: 10.1080/14756360701475167. [DOI] [PubMed] [Google Scholar]
- 29.Chen K., Kuo S.-C., Hsieh M.-C., Mauger A., Lin C.M., Hamel E., Lee K.-H. Antitumor agents. 178. Synthesis and biological evaluation of substituted 2-aryl-1,8-naphthyridin-4(1H)-ones as antitumor agents that inhibit tubulin polymerization. J. Med. Chem. 1997;40:3049–3056. doi: 10.1021/jm970146h. [DOI] [PubMed] [Google Scholar]
- 30.Zhang S.-X., Bastow K.F., Tachibana Y., Kuo S.-C., Hamel E., Mauger A., Narayanan V.L., Lee K.-H. Antitumor agents. 196. Substituted 2-thienyl-1,8-naphthyridin-4-ones: Their synthesis, cytotoxicity, and inhibition of tubulin polymerization. J. Med. Chem. 1999;42:4081–4087. doi: 10.1021/jm990208z. [DOI] [PubMed] [Google Scholar]
- 31.Wu J., Kang S., Luo L., Shi Q., Ma J., Yin J., Song B., Hu D., Yang S. Synthesis and antifungal activities of novel nicotinamide derivatives containing 1,3,4-oxadiazole. Chem. Cent. J. 2013;7:64. doi: 10.1186/1752-153X-7-64. [DOI] [PMC free article] [PubMed] [Google Scholar]
- 32.Behbehani H., Ibrahim H.M., Elnagdi M.H. Non-concerted nucleophilic [4+1] cycloaddition of (dimethylamino)methoxycarbene to arylazonicotinates in the synthesis of pyrazolo[3,4-c]pyridines and pyrazolo[4',3':4,5]pyrido[2,3-d]pyrimidines. Tetrahedron. 2013;69:6176–6184. doi: 10.1016/j.tet.2013.05.040. [DOI] [Google Scholar]
- 33.Behbehani H., Ibrahim H.M., Makhseed S., Mahmoud H. Applications of 2-arylhydrazononitriles in synthesis: Preparation of new indole containing 1,2,3-triazole, pyrazole and pyrazolo[1,5-a]pyrimidine derivatives and evaluation of their antimicrobial activities. Eur. J. Med. Chem. 2011;46:1813–1820. doi: 10.1016/j.ejmech.2011.02.040. [DOI] [PubMed] [Google Scholar]
- 34.Behbehani H., Ibrahim H.M., Makhseed S., Elnagdi M.H., Mahmoud H. 2-Aminothiophenes as building blocks in heterocyclic synthesis: Synthesis and antimicrobial evaluation of a new class of pyrido[1,2-a]thieno[3,2-e]pyrimidine, quinoline and pyridin-2-one derivatives. Eur. J. Med. Chem. 2012;52:51–65. doi: 10.1016/j.ejmech.2012.03.004. [DOI] [PubMed] [Google Scholar]
- 35.Behbehani H., Ibrahim H.M. 4-Thiazolidinones in heterocyclic synthesis: Synthesis of novel enaminones, azolopyrimidines and 2-arylimino-5-arylidene-4-thiazolidinones. Molecules. 2012;17:6362–6385. doi: 10.3390/molecules17066362. [DOI] [PMC free article] [PubMed] [Google Scholar]
- 36.Behbehani H., Ibrahim H.M. Organocatalysis in heterocyclic synthesis: DABCO as a mild and efficient catalytic system for the synthesis of a novel class of quinazoline, thiazolo[3,2-a]quinazoline and thiazolo[2,3-b]quinazoline derivatives. Chem. Cent. J. 2013;7:82. doi: 10.1186/1752-153X-7-82. [DOI] [PMC free article] [PubMed] [Google Scholar]
- 37.Ibrahim H.M., Behbehani H., Elnagdi M.H. Approaches towards the synthesis of a novel class of 2-amino-5-arylazonicotinate, pyridazinone and pyrido[2,3-d]pyrimidine derivatives as potent antimicrobial agents. Chem. Cent. J. 2013;7:123. doi: 10.1186/1752-153X-7-123. [DOI] [PMC free article] [PubMed] [Google Scholar]
- 38.Crystallographic data for 3d (ref. CCDC 982246) can be obtained on request from the director, Cambridge Crystallographic Data Center, 12 Union Road, Cambridge CB2 1EW, UK.
- 39.Crystallographic data for 3l (ref. CCDC 982247) can be obtained on request from the director, Cambridge Crystallographic Data Center, 12 Union Road, Cambridge CB2 1EW, UK.
- 40.Behbehani H., Ibrahim H.M. A strategy for the synthesis of 2-aryl-3-dimethylaminopyrazolo-[3,4-c]pyridines that utilizes [4+1] cycloaddition reactions of 5-arylazo-2,3,6-trisubstituted pyridines. Tetrahedron. 2013;69:10535–10543. doi: 10.1016/j.tet.2013.10.061. [DOI] [Google Scholar]
- 41.Al-Mousawi S.M., Moustafa M.S., Abdelshafy I.A., Elnagdi M.H. Reassignment of the structures of condensation products of α-keto α'-formylarylhydrazones with ethyl cyanoacetate: A novel route to ethyl 5-arylazo-2-hydroxynicotinates. Tetrahedron Lett. 2011;52:202–204. doi: 10.1016/j.tetlet.2010.10.127. [DOI] [Google Scholar]
- 42.Crystallographic data for 18 (ref. CCDC 943164) can be obtained on request from the director, Cambridge Crystallographic Data Center, 12 Union Road, Cambridge CB2 1EW, UK.
- 43.Sheldrick G.M. A short history of SHELX. Acta Cryst. 2008;A64:112–122. doi: 10.1107/S0108767307043930. [DOI] [PubMed] [Google Scholar]
Associated Data
This section collects any data citations, data availability statements, or supplementary materials included in this article.












