Abstract
Approximately 3 billion people, most of whom live in Asia, Africa, and the Americas, rely on solid fuels (i.e. wood, crop wastes, dung, charcoal) and kerosene for their cooking needs. Exposure to household air pollution from burning these fuels is estimated to account for approximately 3 million premature deaths a year. Cleaner fuels – such as liquefied petroleum gas, biogas, electricity, and certain compressed biomass fuels – have the potential to alleviate much of this significant health burden. A wide variety of clean cooking intervention programs are being implemented around the world, but very few of these efforts have been analyzed to enable global learning. The Clean Cooking Implementation Science Network (ISN), supported by the U.S. National Institutes of Health (NIH) and partners, identified the need to augment the publicly available literature concerning what has worked well and in what context. The ISN has supported the development of a systematic set of case studies, contained in this Special Issue, examining clean cooking program rollouts in a variety of low- and middle-income settings around the world. We used the RE-AIM (reach, effectiveness, adaptation, implementation, maintenance) framework to coordinate and evaluate the case studies. This paper describes the clean cooking case studies project, introduces the individual studies contained herein, and proposes a general conceptual model to support future planning and evaluation of household energy programs.
Introduction
Approximately 3 billion people, most of whom live in Asia, Africa, and the Americas, rely on solid fuels (i.e. wood, crop wastes, dung, charcoal) and kerosene for their everyday cooking energy needs. Socio-economic development over the last 30–40 years has resulted in relatively lower percentages of people using these fuels, but the concurrent increases in population mean that the absolute number of people relying on them has not changed (World Health Organization, 2014a). If policies on energy access for poor countries do not change radically, particularly in Africa, we will see little – if any – further reduction in the numbers of people relying on pollutingsolid fuels and kerosene (International Energy Agency, 2016).
Reliance on these more polluting fuels leads to several serious and interrelated health, development, and environmental challenges. The use of inefficient, often unvented, stoves results in adverse health impacts due to high levels of exposure to household air pollution (HAP), and draws on the time of (mainly) women and children, including for collection and processing of wood fuel. While traditional wood fuel use is not often a major driver of deforestation, it is a significant cause of forest degradation, especially in Africa (Ahrends et al., 2010; Hosonuma et al., 2012), and accelerates climate warming. The climate impact occurs through a mix of non-renewable harvesting of wood fuel, charcoal production, and emissions of products of incomplete combustion, including fine particulate matter, black carbon, carbon monoxide, and methane (Bailis, Drigo, Ghilardi, & Masera, 2015; Food and Agriculture Organization, 2010; Masera, Bailis, Drigo, Ghilardi, & Ruiz-Mercado, 2015).
The public health impact of HAP is estimated to be between 2.2– 4.3 million premature deaths per year, largely from pneumonia in children, but also from chronic respiratory disease, lung cancer, stroke, and cardiovascular disease in adults (GBD 2016 Risk Factors Collaborators, 2017; World Health Organization, 2014b). HAP also increases the risk of vision loss through cataracts, is a risk factor for low birth weight, and contributes to ambient air pollution and its concomitant health burdens. Beyond the air pollution-related health impacts, traditional cooking is also responsible for a substantial share of the global burden of severe burns and injury, with 95% of deaths from burns occurring in developing countries.
The WHO Indoor Air Quality Guidelines (IAQ Guidelines) for Household Fuel Combustion, published in 2014, provide recommendations to assist countries in designing policy that can reduce and ultimately eliminate the adverse health impacts of HAP (World Health Organization, 2014b). The evidence underlying these recommendations identified two key issues for policy on cleaner household energy:
The relationship between exposure to fine particulate matter smaller than 2.5 microns (PM2.5) and health risks for most health outcomes linked to HAP exposure is non-linear, such that exposure levels need to be reduced to values close to the actual guideline (10 μg/m3) to avert the majority of the adverse health impacts (Burnett et al., 2014; World Health Organization, 2014b).
While improved solid fuel stoves in everyday use, especially those with flues/chimneys, were found to result in substantial reductions of around 40–50% on average in kitchen PM2.5, the resulting levels were still well above the WHO guideline. This finding implies that substantive health benefits would not be achieved with currently available improved biomass stoves, and that sustained community-wide use of clean fuels such as LPG, biogas, ethanol, and electricity is required (Bruce et al., 2015; Pope, Bruce, Dherani, Jagoe, & Rehfuess, 2017). Studies investigating the effects of improved biomass stoves on health outcomes such as childhood pneumonia have generally resulted in small if any effects on health, findings that leading researchers suggest may be driven by PM2.5 exposure reductions that were insufficient to achieve health gains (Miele & Checkley, 2017).
The International Organization for Standardization’s (ISO) Interim Workshop Agreement (IWA) Guidelines for evaluating cookstove performance (ISO/IWA, 2012) (and new international standards for cookstoves and clean cooking solutions, in development) provide tiered ratings (scored from 0 to 4) based on four dimensions of performance: Fuel Use (Efficiency), Emissions, Indoor Emissions, and Safety. These laboratory test-based standards are now increasingly being applied to assess the potential benefits of candidate stoves and fuels. Results for the Emissions dimension are based on measured emissions of CO and PM2.5 using the Water Boiling Test protocol (Global Alliance for Clean Cookstoves, 2014).
It is important to note that the effectiveness of “improved” stoves at reducing levels of household air pollution when in everyday use in the home is often diminished relative to laboratory evaluations, due to a variety of factors influencing quality of fuels and energy use behaviors at the household and community levels (Ezzati & Baumgartner, 2017; Wathore, Mortimer, & Grieshop, 2017). Based on this evidence, the WHO IAQ Guidelines emphasize the importance of giving priority to the cleanest fuels – i.e. gas (natural gas, LPG and biogas), electricity, and other modern fuels that are the least polluting energy solutions (Recommendation 1) – while recognizing that this will not be achievable for all in the short- to medium-term (Recommendation 2). It is pointed out, however, that improved/advanced biomass stoves promoted as ‘interim’ technologies should perform well enough to deliver some health benefit. Moreover, while safety from burns and related injuries related to cooking is only beginning to be well documented (Diekman & Pope, 2014; Global Alliance for Clean Cookstoves, 2018b), our ultimate objective is to accelerate cooking that is both clean and safe.
We chose to focus on the technologies that have received the IWA Tier-4 (highest) ratings for emissions for selecting the “clean” cooking programs eligible for inclusion in this case study series. This criterion limited the case studies to those programs focused on gas stoves (biogas/liquefied petroleum gas)1, alcohol (ethanol/methanol), electricity, and the very limited number of biomass stove/fuel combinations that have met the ISO Tier-4 standard for emissions, all of which used processed biomass fuels such as biomass pellets in fan-assisted stoves (Global Alliance for Clean Cookstoves, 2018a; Shen et al., 2018). We have focused on the above technologies because they can conceivably displace most cooking practices in homes in LMICs, and broad scale-up of each is feasible and already in motion in multiple countries. While other technologies, such as solar photovoltaics to power induction cooktops, may offer promise in the future, they are generally not yet feasible at scale in low-income settings (Puzzolo, Pope, Stanistreet, Rehfuess, & Bruce, 2016).
The papers in this series reflect a collaborative effort under the Clean Cooking Implementation Science Network (ISN) supported by the National Institutes of Health (NIH) and partners. The ISN, an implementation science platform, aims to develop tools, methods, and evidence to advance the uptake and sustained use of clean fuel-based cooking in Low and Middle-Income Countries (LMICs). We aim to move beyond the technology, epidemiology and efficacy studies that have dominated the first generation of HAP and clean cooking research, and to accelerate implementation of the cleanest possible options with a clearer understanding of the contextual and programmatic features that facilitate and constrain both research and programs (Puzzolo et al., 2016; Rosenthal et al., 2017). Indeed, the field of implementation science offers an important approach to these issues and may help accelerate scale-up of the most promising technologies by identifying and addressing national, regional, and local challenges related to adoption and sustained use of clean cooking technologies.
The ISN identified the need for a systematic set of case studies examining clean cooking program rollouts during a network meeting in May of 2016. Research, practice and policy communities need to critically examine the “natural experiments” unfolding around the world in order to build robust and actionable evidence on what works to promote energy transitions and to further understand the barriers and facilitators of adoption of clean cooking alternatives. Literature documenting these efforts is sparse and frequently buried in the gray literature, which has inhibited learning beyond general programmatic description.
To move beyond general identification of probable facilitators and barriers to scaling up use of clean cooking fuels and technologies, we need quantitative and qualitative analyses and cross-program comparisons of processes and results. As such, the case studies in this series are an important step toward building the experiential base for more generalized learning. The identification of cases and the steps we have taken to develop them represent a network-driven process led by ISN members. Following a consensus meeting of the ISN, a working group comprising the authors of this manuscript laid out fundamental criteria and a process for case selection. These included the need for representation across the portfolio of clean cooking technologies and for inclusion of both historical programs and current ones intended to be taken to further scale (retrospective and prospective evaluations). The working group also stipulated a minimum size of programs (at least 2500 homes), and that case study developers demonstrate the existence of a critical mass of existing information about the program.
NIH staff distributed an invitation through the network that offered financial support for the development of the case studies. Proposals were reviewed initially by the case study working group and finalists were reviewed by the ISN Steering Committee. Because few of the initially competitive proposals focused on non-LPG fuels, we reached out to individuals and organizations to solicit additional proposals on wood pellets, ethanol and biogas to round out the portfolio.
We chose to use a widely-utilized implementation science framework, Reach, Effectiveness, Adoption, Implementation, Maintenance (RE-AIM) as an organizing method to identify and evaluate the case studies. RE-AIM was first developed in 1999 as a tool to encourage the balance between internal and external validity when developing and testing interventions, with the goal of increasing the generalizability of research findings and producing programs and policies with a higher likelihood for uptake and sustainability (R. E. Glasgow, Vogt, & Boles, 1999). Since then it has been employed over a wide range of public health domains: in planning as well as reporting, in research as well as applied to policies and community interventions, and in numerous applications within environmental health (Gaglio, Shoup, & Glasgow, 2013; King, Glasgow, & Leeman-Castillo, 2010).
Briefly, the dimensions of RE-AIM can be summarized as in (Russell E. Glasgow & Estabrooks, 2018):
Reach is the number, proportion of the intended audience, and the representativeness of participants compared with the intended audience, i.e.: “Who is (was) intended to benefit and who actually participates or is exposed to the intervention?”
Effectiveness is the degree to which the intervention changes intended outcomes, including producing unintended or negative results, i.e.: “What are (were) the most important benefits you are trying to achieve and what is (was) the likelihood of negative outcomes?”
Adoption is the number and proportion of settings and staff members that agree to initiate program or policy change and how representative they are of the intended audience in terms of the setting and the staff, i.e.: “Where is (was) the program or policy applied (and who applied it)?”
Implementation is the degree to which those settings and staff members deliver a program or apply a policy as intended, the adaptations made, and the related costs, i.e.: “How consistently is (was) the program or policy delivered, what adaptations to the original plans were made, and how much does (did) it cost?”
Maintenance is sustained effectiveness at the participant level and sustained (or adapted) delivery at the setting or staff level, i.e.: “When will (did) the initiative become fully operational, how long do results last, and how long will (was) the initiative sustained?”
The RE-AIM framework was utilized at multiple points in the case study development process: to evaluate proposals, as a guide for case study developers in gathering data, to generalize across the case studies, and by some authors as a framework for structuring their manuscripts. A manuscript documenting this process in detail is in preparation (Quinn et al., in preparation).
An initial workshop among case study developers and other ISN members was held shortly after the selection of projects, in June 2017, to share approaches and common objectives. A second workshop to present and discuss findings was held six months later, in December 2017. Initial drafts of the studies were reviewed by ISN members and the editorial team prior to revisions and submission for peer review to this journal. The resulting case studies that have been recommended for publication through peer review are outlined below, and each is presented in detail by the investigators in this Special Issue.
Description of Case studies
The case studies presented here illustrate a variety of fuel and stove types in multiple contexts across Sub-Saharan Africa, Asia, and Latin America (Fig 1 and Table 1). Because LPG is the clean fuel with the greatest current and historical scale-up activities around the world, it is unsurprising that five of the eleven projects selected focus on efforts around this technology. The other six projects comprise two using ethanol, two using biogas digesters and stoves, and two focused on compressed biomass fuels (pellets and briquettes).
Figure 1:
Global map of ISN clean fuel case studies.
Table 1:
ISN case studies with basic summary information
| Case Study Country & cooking fuel | Case Study Title | Target Population; Reach of program; Time frame | Implementing Organization(s) | Stated Program Objectives | Main funding sources |
|---|---|---|---|---|---|
| Cambodia (biogas) |
Assessment of the Cambodian National Biodigester Program |
Target: 500,000 rural households with at least 2 cows or 5 pigs. Reach: 26,000 + rural households. Time frame: 2006-present. |
NBP is an independent entity that is hosted by the Cambodian Ministry of Agriculture, Forestry and Fisheries (MAFF) | Create a self-financing biodigester market in Cambodia | MAFF Hivos - through prepaid purchase of the carbon stream Additional support from: People in Need (PIN); Polarstern; IFAD; Cooperation Committee for Cambodia (CCC); Cambodia Climate Change Alliance (CCCA is a consortium of donors including the EU, UNDP, SIDAand DANIDA);SNV - Foreign aid funds from Government of Netherlands (2006–2015) -- note that SNV no longer supports the project. |
| Cameroon (LPG) |
The Government-led initiative for LPG scale-up in Cameroon: programme development and initial evaluation |
Target: 58% of the population (to reach an additional 18 million people, allowing for projected population increase) by 2030. Time frame: Masterplan for LPG scale up approved by government in 2016. Investment program to 2030. |
Multisectoral committee, led by the Ministry of Water Resources and Energy and Global LPG Partnership | Drivers are to increase access to clean energy resources, improve public health, reduce deforestation and the adverse effects of climate change caused by deforestation, while increasing economic development. | Masterplan development via EU Infrastructure Fund. Program investment recommendation of 400 million Euros 2016–2030 to be secured from multiple sources, plus continued government subsidy to smooth LPG refill price |
| China (compressed biomass) |
Development of Renewable, Densified Biomass for Household Energy in China |
Target: Ten predominantly northern and northeastern provinces in China Time Frame: Approximately 2012 to present |
Ministry of Agriculture at a national level; Varying support at the provincial level for local factories | Support development of renewable energy resources through biomass utilization technologies and industries. | Ministry of Agriculture at a national level; Varying support at the provincial level for local factories |
| Ecuador (LPG; induction) |
Government Policy, Clean Fuel Access, and Persistent Fuel Stacking in Ecuador |
Target:
LPG: never specified. Induction: 3.5 million homes. Reach: LPG: 91% of Ecuadorian homes. Induction: 670,000 homes Time frame: LPG: 1970s -present; Induction: 2014-present. |
LPG: Agency for Regulation and Control of Hydrocarbons; Induction: Ministry of Electricity and Renewable Energy; Agency for Regulation and Control of Electricity; electricity utilities |
LPG: Part of broad social welfare efforts; Induction: utilize new hydroelectric power generation and reduce fiscal burden of LPG subsidy |
The Government of Ecuador is responsible for all funding associated with the LPG subsidy (approx. US$681 million peryear) and the induction cookstoves program (expansion of electricity networks; 220V wiring; electricity subsidy). Cost of stoves borne by households. |
| Ethiopia (ethanol) | A case study of the ethanol CleanCook stove intervention and potential scale-up in Ethiopia |
Target: 75,000 refugees in Ethiopia, and 600,000 households in Addis Ababa. Reach: 45,000 households (60%) refugee population; <0.01%of Addis Ababa population Time frame: 2006 -present. |
Project Gaia Inc.; Gaia Association | Set up safe, efficient, commercially viable supply chain of ethanol fuel to households in Addis Ababa. Meet the fuel demands of refugees; improve the protection and wellbeing of refugees; reduce indoor air pollution; eliminate the need for firewood collection | UNHCR and associated donors--$1 to 1.5 million peryear, on average over the 10-yearsfrom 2008 to 2018. (The highest single year was about $2.2 million.) Project Gaia - average of $60,000 to $100,000/year Other funds, bilateral government awards and foundation awards— awarded from time to time. |
| Ghana (LPG) | Ghana’s Rural Liquefied Petroleum Gas Program Scale Up: A case study |
Target: No publicized target, but scope is rural communities nationwide. Reach: 149,500 rural households as of late 2017. Field surveys in 5 communities indicate that only 8% of households use stoves 18 months after intervention. Time frame: 2014-present. |
Ghana Ministry of Energy | Contribute to achieving 50% access to LPG by 2020 (from about 23% in 2014). | Government of Ghana funds; no data available on magnitude of funding. |
| Indonesia (LPG) | The Mega Conversion Program from kerosene to LPG in Indonesia: lessons learned and recommendations for future clean cooking energy expansion |
Target: 42 million households using kerosene as primary cooking fuel by 2012. Reach: 50 million households by 2016 Time frame: 2007-present (current efforts aimed at targeting the LPG subsidy to the poor). |
Ministry of Energy and Mineral Resources and other ministries; Pertamina National Oil Company | Reduce the cost to the government of the kerosene subsidy | The Government of Indonesia is responsible for all funding associated with the LPG subsidy. US $1.02 billion spent between 2007–2016; but US $16.2 billion savings as compared to kerosene subsidy. |
| Kenya; Tanzania; Uganda (biogas) |
Africa Biogas Partnership Program: A Review of Clean Cooking Implementation through Market Development in East Africa |
Target: 500,000 rural households with at least 2 crossbreed and stabled cows. Reach: 27,000 households by 2017 Time frame: 2009-present. |
National Implementing Agencies (Kenya Biogas Program; Centre for Agricultural Mechanization and Technology-CAMARTEC; Biogas Solutions Uganda Ltd) | Contribute to MDGs/SDGs through dissemination of domestic biodigesters as a local, sustainable energy source aiming at development of a commercial, market oriented sector | Ministry of Foreign Affairs of the Netherlands |
| Nigeria (ethanol) | Building a Consumer Market for Ethanol/Methanol Cooking Fuel in Lagos, Nigeria |
Target: 500,000 households in Lagos metropolis by 2019. Currently completing an African Development Bank pilot study on Ethanol/Methanol fuel and CleanCook stoves in 30 homes in Lagos, which will be followed by a 2500 stove commercial pilot in Lagos and eventual scale-up to 500,000 stoves in Lagos and surrounding areas in 2 years Time frame: 2017 -present. |
Project Gaia, Shell Exploratory, Forte Oil, UNIKEM, Berkerley Air and University of Chicago | Introduce the CleanCook ethanol stove into Nigeria. Develop a robust and sustainable commercial supply-chain for ethanol/methanol cooking fuel and determine affordable price points for the stoves and ethanol/methanol fuel | Shell Oil and private partners, African Development Bank |
| Peru (LPG) |
An evaluation of the Fondo de Inclusion Social Energetico program to promote access to liquefied petroleum gas in Peru |
Target: Approximately 1.5 million households living in poverty; eligibility criteria include households with LPG stoves and: income less thanS/. 18,000 soles (USD5,500)/year, no or minimal (<30 kWh/month) electricity, HH living in poverty according to SISFOH, precarious housing. Reach: 1.5 million households registered; ~928,000 households active as of October 2017. Time frame: 2012 -present. |
Supervisory Organism for Investment in Energy and Mining, housed within the Ministry of Energy and Mining; private electricity distributors, and LPG agents | Provide access to cleaner energy to the most vulnerable populations across Peru | US$82.3 million, fully funded by energy surcharge system |
| Rwanda (biomass pellets and Mimi Moto fan gasifying stove) |
Implementation and scale-up of a biomass pellet and improved cookstove enterprise in Rwanda |
Target: 20,000 households in Rubavu District and 3800 in Kigeme Refugee Camp by end of 2018. Reach: 1,800 in Rubavu District 300 in Kigeme Refugee Camp as of 2017. Time frame: 2012-present. |
Inyenyeri (for-profit renewable energy company) | To market a sustainable and cost effective and clean cooking option (pellets and Tier 4 fan gasifying cookstoves) to Rwandan households. | The Mulago Foundation; The World Bank; IKEA Foundation; Althelia Ecosphere; Energy and Environment Partnership of Southern and East Africa; Sail Family Foundation; Osprey Foundation; StichtingDOEN; UNHCR; AECF Funding Innovation for Business in Africa; Segal Family Foundation |
The programs reflect different time scales: from decades-long efforts (e.g. Ecuador) to active programs early in their inception (e.g. Nigeria); and different geographic scales: from nationwide initiatives (Indonesia) to those targeted to restricted zones and refugee camps (Ethiopia). Most are retrospective, but some of the case studies describe programs that are actively in development (e.g. Cameroon). The teams developing these case studies consist of social and natural scientists collaborating with NGOs and policymakers.
It is also important to note that while several of the programs described in this issue cite health improvements as an objective, and that is our principal interest, none of these programs was explicitly motivated by, nor financed for, health gains as a primary goal. Rather, a diversity of environmental, economic, and other social protection goals have been primary.
The studies draw on academic literature, policy and program reports and documentation, household surveys, and structured and unstructured interviews with policymakers, development professionals, entrepreneurs and community representatives. All studies include both quantitative and qualitative data.
All studies were asked to focus on questions related to scale-up and to include policy and program background where possible, as well as household-level information on uptake and use of the technology. RE-AIM was adapted to this purpose and used as a framework to organize and compare key elements of the very diverse information relating to the differing fuels, settings, scales and stages of the programs, as well as the differing interests of the case study teams. A summarized version of that data is available in the Supplementary Information. (See Supplementary Information).
Liquefied petroleum gas (LPG)
The five LPG programs in this series differ substantially from one another in scale, geographical context, financing, and distribution approach. However, all are programs set up by national governments. The oldest program described here is the national program in Ecuador, which began in the 1970s and today reaches approximately 90% of households across the country (Gould et al, in this issue). Its success is primarily a function of the very large subsidy provided by the national government. However, the subsidy has also created a substantial financial burden to the government, and Ecuador has more recently also launched an electric induction stove program. Meanwhile, Indonesia’s kerosene-to-LPG conversion program started in 2007 and is still advancing to the most remote parts of this sprawling nation of 260 million inhabitants (Thoday et al., in this issue). In 2012, the Peruvian government launched an innovative LPG subsidy as part of its Fund for Social Inclusion for Energy to reach the poor (Pollard et al., in this issue). In Ghana, the Ministry of Energy began targeting rural households in 2014, with free LPG cookstoves and fuel cylinders in support of a national target of 50% LPG access by 2020 (Asante et al., in this issue). The newest program is that of Cameroon. As of 2016, this country has set an ambitious national target of scaling up LPG usage from 15% to almost 60% of households by 2035 (Bruce et al., in this issue).
Biogas
Biogas from household-scale digesters is a growing technology with promise in settings with ready access to animal waste to feed digesters. The program in Cambodia, initiated in 2006 (Hyman et al, in this issue), highlights the importance of skilled craftsmen to construct and maintain permanent digesters in order to support the sustainability of this clean fuel. The multi-national East Africa Biogas initiative, which began in 2009 (Clemens et al., in this issue) similarly points to maintenance of digesters as a key concern, despite reported user satisfaction with HAP reductions. Both of these biogas initiatives are financed by the Dutch government under models that aim to develop self-sustaining markets and to achieve an eventual transition away from reliance on donor support.
Alcohol fuel
Alcohol-based stoves, typically using ethanol, methanol or an ethanol/methanol blend, are powered by this clean liquid fuel that can be produced from a variety of sources, most often from sugar (ethanol) or methane or natural gas (methanol). Despite its long history, this technology has received less attention from development agencies than many other cooking fuels (Ozier et al., in this issue). Benka-Coker and colleagues (Benka-Coker et al., in this issue) report the experience since 2006 of two distinct ethanol cooking programs in Ethiopia: (i) a UNHCR-funded initiative with free ethanol stoves and fuel in refugee camps, and (ii) two models – currently at small scale – for market-based ethanol cooking in urban Addis Ababa. Although cooking with ethanol has been found to be popular and safe, the programs have encountered significant fuel supply interruptions. Moreover, the ethanol stove to date has been designed only to address pot cooking and has not addressed baking of the traditional Ethiopian injera, with the exception of the smaller-sized injera cooked by ethnic Somali people. In Nigeria, a private corporation (SNEPCo) is financing an effort to pilot an ethanol-stove distribution and sales program in Lagos, building on positive results from a small-scale health effects trial in Ibadan, Nigeria. This pilot study, initiated in 2017, is being studied by Olopade and colleagues (Ozier et al,. in this issue) and they report early findings and guidance for evaluation of the full program when it is further along.
Compressed biomass (pellets and briquettes)
Perhaps the program that differs most from the others is the compressed biomass fuel program in rural China, analyzed here by Carter et al. (Carter et al., in this issue). This program, unlike most others in this series, takes place in regions where there are substantial heating needs. As China grapples with its air pollution problems, the need for cleaner alternatives to coal and wood for heating and cooking is clear. A way to repurpose crop residue into compressed fuel would seem to offer a compelling alternative to burning the fields. In this case study, Carter et al. focus primarily on issues influencing the large-scale production of these compressed biomass fuels.
The challenge of sustainable, reliable, high quality and cost-effective production and supply of compressed wood pellets for combustion is also a theme of the Rwanda case study (Jagger et al., in this issue). This innovative effort from a private start-up company, initiated in 2012, aims to match community needs with socially conscious health and environment objectives that bridge both rural and urban users. Among the lessons in this study is that the identification of workable price “packages” to meet the needs of poorer households is a complex issue influenced greatly by cultural financial habits and cash flow.
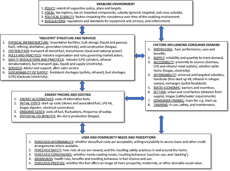
Clean Fuels Logic Model
The case studies in this Special Issue allow the opportunity to find points of commonality and comparison across a variety of clean stove and fuel programs in a number of LMIC settings. Drawing on previous work by Puzzolo et al. on enablers and barriers to clean fuel scale up and adoption (Puzzolo et al., 2016), we previously published a basic logic model to aid planning and evaluation of LPG cooking programs with health endpoints (Rosenthal et al., 2017). Here we have attempted to adapt and generalize that model across the five fuel types using lessons from the case studies in this volume (Figure 2).
Figure 2.
Generalized logic model for clean fuel scale-up.
We propose this conceptual model as a starting point for clean fuel policy and program communities to use in considering the overall needs to be anticipated in planning for a new initiative. It will not replace fuel specific analyses at national or local levels, but may be useful to identifying key components and linkages of the respective fuel systems, to aid in their evaluation across the spectrum of fuels at several scales. Deeper household energy analyses should further employ the facilitators and barriers work by Puzzolo et al. with close attention to local influences.
In this generalized version of the model, the same five main areas have been retained, while specific items within each area have been extended, and examples of their relevance to the various fuels featured are provided. While all five areas are inter-linked, they all operate somewhat independently, as key areas of influence. If, for example, we look at the fundamental issue of fuel costs, prices, and affordability, we can see how the model helps to explain the various factors at work, drawing on some of the experience from the case studies:
Government is key in setting the enabling environment, with the right policies, tax structures, and subsidy arrangements (where applicable); governments have a critical role in funding and managing these policies.
Government policy and regulation will impact how the industry structure and services function, and their costs (and hence prices), but there are also aspects of industry operations that may be more or less outside the control of government policy. For example, interruptions in supply of ethanol, as seen with production from the main sugar factories in Ethiopia, may affect prices as well as availability.
These policies also impact on fuel pricing directly, although there are other factors at work, including international prices which the government cannot directly control, e.g. for LPG, (although governments can smooth these if the LPG market is regulated, as in the case of Cameroon, Indonesia, Ecuador, etc.).
Then there are factors influencing consumer demand, which are complex and partly independent of government actions. For eample, government may provide free start-up fuel and stoves as with LPG in rural Ghana and Indonesia, but in the Ethiopian refugee camps, fuel and stoves have been provided free by UNHCR and managed by Project Gaia. In the China study, farmers can exchange biomass feedstock for compressed pellets, thereby disposing of waste they are no longer allowed (by law) to burn, and reducing the cost of the fuel.
Finally, there is a set of user and community needs and perceptions around prices and affordability. Although these perceptions are highly influenced by pricing, subsidy, etc., in other ‘areas’ of the model, community and individual-specific factors may lead to differences even among those with similar income and pricing profiles. For example, people used to buying wood, kerosene or charcoal at periodic intervals may view the prospect of saving up to buy a large LPG refill every few weeks more positively than people who are able to gather free fuel on a daily basis. People in different communities may also have differing aspirations for cleaner fuel based on marketing or other factors, or have contrasting experiences of fuel safety that influence their perceptions and habits.
Key questions emerging across the case studies
The ISN’s overall strategy for learning from this case study project includes a follow-on series of cross-cutting papers on themes that have emerged from the case studies in this Special Issue. These manuscripts, currently in preparation, will provide in-depth dives into specific facets of clean cooking programs that could provide insight to policymakers, program managers, and researchers. For example:
How can clean fuel be supplied in a reliable and predictable manner? Many of the clean fuels we have examined have been threatened by periodic fuel supply challenges, whether because of market circumstances (e.g. due to international price fluctuations for LPG) or technical challenges in production (e.g. due to quality and quantity of raw materials for biomass fuels, Jagger et al.; or for ethanol refinement, Benka-Coker et al.). Any interruption in supply of a clean fuel creates a powerful incentive or even a necessity to revert temporarily or permanently to solid fuel use, as cooking and heating needs don’t cease. Efforts to examine fuel supply challenges, and to develop strategies to overcome them, are keenly needed.
How can we address the fact that households everywhere “stack” cooking technologies? An implicit assumption in clean cooking programs has been that newer, cleaner fuels would completely replace dirtier fuels. Where case studies have been able to examine household-level stove use, however, a main finding is that households overwhelmingly continue to use traditional biomass-burning stoves in addition to the clean fuel stove, a practice called “fuel stacking.” This practice has been widely documented in the case of improved biomass stoves (e.g., (Ruiz-Mercado & Masera, 2015)), and is shown in this issue to be pervasive for clean fuels as well, driven by factors including fuel prices and the perceived suitability of specific stoves for different cooking tasks. These case studies illustrate that even when clean fuels are heavily subsidized (see, for example, Gould et al., in this issue), a subset of households continue to rely on traditional stoves and fuels to meet some of their cooking needs. In general, programs do not take into account that fuel stacking is the norm and do not take actions to reduce stacking with traditional polluting fuels. This important result should inform household energy programs going forward, as people have a range of daily needs for fuel/cooking that need to be recognized and accommodated. This may require multi-pronged strategies that assess required energy services and promote a “cleaner stack” of multiple fuels and technologies that provide those services, rather than reliance on a single clean fuel to meet all user needs.
-
What financing and leadership models will lead to the greatest impact, particularly for the most vulnerable? Most clean fuel programs include some type of public financing, at least initially. Fuel subsidies, rebates, loans, credits, etc. can either be unrelated to income or targeted to households in an income bracket, often focusing on poor to lower-middle income levels. The overarching question here then is, how can we achieve the greatest impact for the most vulnerable/poorest people in poor countries? Is it better to build a market at the national scale (e.g. Indonesia, Ecuador) that reaches the greatest number of homes and will trickle down to the poorest? Should efforts instead be directed to building a program targeted to vulnerable populations at the outset, while often focusing on much smaller numbers (e.g. Ethiopia)? Alternatively, as some programs envision, is a mixed model that combines micro-loans (Cameroon) and/or needs based subsidies (Peru) for some targeted populations, while aiming to encourage market-based recovery of costs or for-profit enterprise, likely to be most successful?
The most ambitious national programs featured in this special issue are those of Indonesia and Ecuador, both middle income countries that already offer substantial universal subsidies to fuel users (and initial LPG conversion packages in Indonesia). Both are attempting to adjust these to either move toward the cleanest fuel option (hydroelectricity in Ecuador) or create directed-tothe-poor subsidies (Indonesia). At the other extreme, we see a highly targeted program to selected refugee populations in Ethiopia to address basic needs with a clean fuel (ethanol) and initial plans to scale up from that effort.
Most of the other programs are attempting to maximize the number of households that can participate practically and with available budgets, and some general national or regional population scale goals. For example, Peru’s Fondo de Inclusión Social Energético (FISE) program provides means-tested subsidies for LPG. In several LPG programs, increasing access to the poor is facilitated by producing smaller cylinders that enable more frequent, smaller purchases for those with more modest cash on hand. In Rwanda, the Inyenyeri company has experimented with a similar concept of smaller packages for pellet purchases.
How can Implementation Science help inform clean cooking program rollout and evaluation? In this case study series we have made use of tools developed within the field of Implementation Science – most notably the RE-AIM framework – in an attempt to evaluate numerous facets of these clean cooking programs, from their targets and goals through their implementation to their eventual sustainability. We found the use of Implementation Science frameworks in this project to be beneficial for data identification, data synthesis, reporting, and making comparisons across studies. Nonetheless, the application of RE-AIM to this endeavor was not without a learning curve. For example, this case study project required operationalizing the framework for the particularities of clean cooking programs, most of which were not designed with clearly identifiable public health goals foremost. We have subsequently conducted surveys among the case study authors to assess their views concerning the value of RE-AIM in the development of these cases: the results of the survey and associated analyses will be presented in a forthcoming manuscript. Further development of a list of clean cooking-specific implementation strategies and implementation outcomes is also planned as an extension of the learning from this project.
- What data gaps are most critical to address in future efforts? Finally, the development of these case studies has highlighted several areas where critical data that would enable impact assessment, particularly for health effects, is notably missing. The three most critical areas of need are listed below:
- Improved fuel use indicator data in surveys. Historically, most programs have relied on cursory survey data to assess household fuel use. Questions documenting a household’s “primary fuel,” while widely available and simple to collect, are not adequate indicators of use, exposure or environmental impact. Lucikly, progress is being made (under the leadership of the the World Bank and International Energy Agency) to deploy a multitier tracking framework (International Energy Agency (IEA) and the World Bank, 2015) that provides a more detailed assessment of secondary fuels and patterns of fuel usage to address all the major sources of energy for cooking, heating, and lighting within household. These more sophisticated survey tools will greatly improve our ability to assess risk from HAP exposure in a multitude of global contexts.
- Repeated measures to track sustained use. Beyond a focus on initial uptake, understanding consumer patterns of fuel use and stacking over a longer term (two to five-year period) is important to advance our understanding of how people respond to programs in a changing environment. For example, Asante et al. (Asante et al., in this issue) note that in the Ghana case, only 8% of LPG stove recipients report continued use of their stove 18 months post-intervention. Repeated measures of cooking behaviors in the same households at one, two and five years following the onset of a clean cooking program will be an important contribution to program evaluation and impact assessment. At least some of these measures should be objective, for example from heat sensors that are deployed as stove use monitors.
- HAP exposure measures. Substantially reduced personal exposures to fine particulate matter and other HAP emissions, to beneficially impact health, are the ultimate aim of the household air pollution community. However, evaluating exposure toward this aim is technically challenging, expensive and very time consuming. Developing simpler, more cost-effective tools for the non-specialist and/or developing reasonable proxies for exposure would be a significant aid to both the scientific and development practice communities. Personal air pollution monitoring in subsampled populations, as well as stove use monitors or time-activity diaries to better inform likely exposures, will also be important to help fill this important knowledge gap. Outdoor air pollution exposures also need to be much more explicitly measured and understood in the settings where household air pollution is problematic.
Conclusion
This Special Issue on Scaling Up Clean Fuel Cooking Programs in Low- and Middle-Income Countries is an initial effort to document, analyze and disseminate case studies on clean fuel and technology programs in settings across Asia, Africa, and Latin America. We believe the studies in this volume offer some important early lessons and anticipate that a broad community of potentially interested scientists, policymakers and practitioners will find these of use in designing, evaluating and adapting related efforts.
As mentioned above, several of the themes raised in this Special Issue will be analyzed in a series of cross-cutting analytical papers that are currently in development and draw on the case studies in this volume. Furthermore, the ISN is currently planning for dissemination of these case studies and the lessons contained herein beyond the academic literature, to help the broader community to develop well-informed household energy policy and associated practices that support health gains around the world.
The case studies presented here are not comprehensive. Ideally, this literature will be expanded with other documented cases in the future. There are a several important clean fuel development and distribution programs around the world that we have not been able to include in this series, but that merit substantial attention. These include: the enormous effort currently underway by the Government of India to scale up access to LPG in Below Poverty Line households; the Moroccan program that began promoting LPG in the 1950s and more heavily in the 1970s with a shift to smaller 3kg cylinders; electrification programs in Africa and elsewhere; and smaller-scale biogas and compressed wood programs with private financing.
We suggest that applying implementation science models and frameworks – such as RE-AIM – can be useful in future endeavors to document clean energy programs, as these frameworks allow the user to gain a comprehensive understanding of drivers of success and constraints in these efforts. We also suggest that where possible, revisiting several of the more nascent programs documented here in two to five years will yield important lessons regarding their sustainability.
While our focus in developing these case studies was to document programs most likely to yield health gains, this important goal is not the principal driver of most of the clean cooking programs we have profiled. Although health is often cited as a valuable outcome, most of these programs, and indeed most programs around the world today, are principally driven by economic development, environmental (forest) conservation, climate change mitigation and/or gender empowerment concerns (Goldemberg, Martinez-Gomez, Sagar, & Smith, 2018; Rosenthal, Quinn, Grieshop, Pillarisetti, & Glass, 2018) One result of this mismatch is that programs may be missing important opportunities to maximize health, minimize associated costs, and integrate with other services. Multidisciplinary and multisector approaches to understanding barriers and facilitators to adoption and program implementation are clearly necessary, but coordinated national policies for household energy are still uncommon. Encouragingly, some country programs profiled here (e.g. Cameroon) have presented national energy “masterplans” that represent a step forward in inter-agency coordination. This follows advice provided by the sustainable energy for all (SE4All) community, which has recognized that coordinated national policies for household fuels are important: to provide a supporting regulatory environment, minimize perverse or conflicting incentives, and to maximize access to clean fuel options . It remains to be seen, however, whether clean cooking programs can be effectively designed to achieve the multiple goals they often cite.
Supplementary Material
Highlights.
A wide variety of clean fuel intervention programs are being implemented around the world, but very few of these efforts have been analyzed to enable global learning.
The Clean Cooking Implementation Science Network (ISN), supported by the NIH and partners, identified the need to augment the publicly available literature concerning what has worked well and in what contexts .
The ISN solicited proposals for case studies of clean cooking program rollouts in a variety of low- and middle-income settings around the world. Eligible technologies were gas (including LPG and biogas), electricity, alcohol (ethanol/methanol), and lowemissions biomass pellets/briquettes combined with semi-gasifying stoves.
Eleven case studies were selected for development, spanning programs in South America, Africa, and Asia.
The case study series employs an implementation science framework, Reach-Effectiveness-Adoption-Implementation-Maintenance (RE-AIM) to systematically evaluate programs in focused on scaling up the cleanest stoves and fuels for cooking.
Acknowledgments
Funding: Work on this manuscript and the series of Case Studies presented in this Special Issue was supported through the Clean Cooking Implementation Science Network (ISN) with funds from the National Institutes of Health Common Fund program for Global Health.
Footnotes
Publisher's Disclaimer: This is a PDF file of an unedited manuscript that has been accepted for publication. As a service to our customers we are providing this early version of the manuscript. The manuscript will undergo copyediting, typesetting, and review of the resulting proof before it is published in its final citable form. Please note that during the production process errors may be discovered which could affect the content, and all legal disclaimers that apply to the journal pertain.
Although to date no biogas stoves have been tested against the ISO/IWA standards, biogas fuels have been previously shown to have combustion efficiencies and particle emissions comparable to LPG. See, for example: Smith , K., Uma, R., Kishore, V., Lata, K., Joshi, V., Zhang, J., et al. (2000). Greenhouse Gases from Small-scale Combustion Devices in Developing Countries, Phase IIa: Household Stoves in India: U.S. Environmental Protection Agency, Office of Research and Development.
The views expressed in this article are those of the authors only, and do not reflect the views of the National Institutes of Health.
References
- Ahrends A, Burgess ND, Milledge SAH, Bulling MT, Fisher B, Smart JCR, et al. (2010). Predictable waves of sequential forest degradation and biodiversity loss spreading from an African city. PNAS, 107(33), 14556–14561. [DOI] [PMC free article] [PubMed] [Google Scholar]
- Bailis R, Drigo R, Ghilardi A, & Masera O (2015). The carbon footprint of traditional woodfuels. Nature Climate Change, 5, 266–272. [Google Scholar]
- Bruce N, Pope D, Rehfuess E, Balakrishnan K, Adair-Rohani H, & Dora C (2015). WHO indoor air quality guidelines on household fuel combustion: Strategy implications of new evidence on interventions and exposure-risk functions. Atmospheric Environment, 106, 451–457. [Google Scholar]
- Burnett RT, Pope CA 3rd, Ezzati M, Olives C, Lim SS, Mehta S, et al. (2014). An integrated risk function for estimating the global burden of disease attributable to ambient fine particulate matter exposure. Environ Health Perspect, 122(4), 397–403. [DOI] [PMC free article] [PubMed] [Google Scholar]
- Diekman ST, & Pope D (2014). WHO Indoor Air Quality Guidelines: Household Fuel Combustion Review 10: Burns and Poisoning. Geneva: World Health Organization. [PubMed] [Google Scholar]
- Ezzati M, & Baumgartner JC (2017). Household energy and health: where next for research and practice? Lancet, 389(10065), 130–132. [DOI] [PubMed] [Google Scholar]
- Food and Agriculture Organization. (2010). What woodfuels can do to mitigate climate change (No. 978–92-5–106653-9).
- Gaglio B, Shoup JA, & Glasgow RE (2013). The RE-AIM Framework: A Systematic Review of Use Over Time. Am J Public Health, 103(6), e38–e46. [DOI] [PMC free article] [PubMed] [Google Scholar]
- GBD 2016 Risk Factors Collaborators. (2017). Global, regional, and national comparative risk assessment of 84 behavioural, environmental and occupational, and metabolic risks or clusters of risks, 1990–2016: a systematic analysis for the Global Burden of Disease Study 2016 - The Lancet. The Lancet, 390(10100), 1345–1422. [DOI] [PMC free article] [PubMed] [Google Scholar]
- Glasgow RE, & Estabrooks PE (2018). Pragmatic Applications of RE-AIM for Health Care Initiatives in Community and Clinical Settings. Preventing Chronic Disease, 15. [DOI] [PMC free article] [PubMed] [Google Scholar]
- Glasgow RE, Vogt TM, & Boles SM (1999). Evaluating the public health impact of health promotion interventions: the RE-AIM framework. Am J Public Health, 89(9), 1322–1327. [DOI] [PMC free article] [PubMed] [Google Scholar]
- Global Alliance for Clean Cookstoves. (2014). The Water Boiling Test Version 4.2.3: Cookstove Emissions and Efficiency in a Controlled Laboratory Setting. from http://cleancookstoves.org/technology-and-fuels/testing/protocols.html
- Global Alliance for Clean Cookstoves. (2018a). Clean Cooking Catalog. Retrieved May 7, 2018, from http://catalog.cleancookstoves.org/stoves
- Global Alliance for Clean Cookstoves. (2018b). Measuring the global burden of burns—two new tools for researchers. from http://cleancookstoves.org/about/news/01-21-2018-measuring-the-global-burden-of-burns-two-new-tools-for-researchers.html
- Goldemberg J, Martinez-Gomez J, Sagar A, & Smith KR (2018). Household air pollution, health, and climate change: cleaning the air. Environmental Research Letters, 13(3). [Google Scholar]
- Hosonuma N, Herold M, de Sy V, de Fries RS, Brockhaus M, Verchot L, et al. (2012). An assessment of deforestation and forest degradation drivers in developing countries. Environmental Research Letters, 7(4). [Google Scholar]
- International Energy Agency. (2016). World Energy Outlook 2016. Paris, France: OECD/IEA. [Google Scholar]
- International Energy Agency (IEA) and the World Bank. (2015). Sustainable Energy for All 2015—Progress Toward Sustainable Energy. World Bank, Washington DC. [Google Scholar]
- ISO/IWA. (2012). Guidelines for evaluating cookstove performance. Retrieved Feb 25, 2018, from https://www.iso.org/obp/ui/#iso:std:iso:iwa:11:ed-1:v1:en
- King DK, Glasgow RE, & Leeman-Castillo B (2010). Reaiming RE-AIM: using the model to plan, implement, and evaluate the effects of environmental change approaches to enhancing population health. Am J Public Health, 100(11), 2076–2084. [DOI] [PMC free article] [PubMed] [Google Scholar]
- Masera OR, Bailis R, Drigo R, Ghilardi A, & Ruiz-Mercado I (2015). Environmental Burden of Traditional Bioenergy Use. Annual Review of Environment and Resources, 40, 121–150. [Google Scholar]
- Miele CH, & Checkley W (2017). Clean Fuels to Reduce Household Air Pollution and Improve Health. Still Hoping to Answer Why and How. Am J Respir Crit Care Med, 195(12), 1552–1554. [DOI] [PMC free article] [PubMed] [Google Scholar]
- Pope D, Bruce N, Dherani M, Jagoe K, & Rehfuess E (2017). Real-life effectiveness of ‘improved’ stoves and clean fuels in reducing PM2.5 and CO: Systematic review and meta-analysis. Environment International, 101, 7–18. [DOI] [PubMed] [Google Scholar]
- Puzzolo E, Pope D, Stanistreet D, Rehfuess EA, & Bruce NG (2016). Clean fuels for resource-poor settings: A systematic review of barriers and enablers to adoption and sustained use. Environ Res, 146, 218–234. [DOI] [PubMed] [Google Scholar]
- Rosenthal J, Balakrishnan K, Bruce N, Chambers D, Graham J, Jack D, et al. (2017). Implementation Science to Accelerate Clean Cooking for Public Health. Environ Health Perspect, 125(1), A3–A7. [DOI] [PMC free article] [PubMed] [Google Scholar]
- Rosenthal J, Quinn A, Grieshop AP, Pillarisetti A, & Glass RI (2018). Clean cooking and the SDGs: Integrated analytical approaches to guide energy interventions for health and environment goals. Energy for Sustainable Development, 42(Supplement C), 152–159. [DOI] [PMC free article] [PubMed] [Google Scholar]
- Ruiz-Mercado I, & Masera O (2015). Patterns of Stove Use in the Context of Fuel-Device Stacking: Rationale and Implications . Ecohealth, 12(1), 42–56. [DOI] [PubMed] [Google Scholar]
- Shen G, Hays MD, Smith KR, Williams C, Faircloth JW, & Jetter JJ (2018). Evaluating the Performance of Household Liquefied Petroleum Gas Cookstoves. Environ Sci Technol, 52(2), 904–915. [DOI] [PMC free article] [PubMed] [Google Scholar]
- Smith K, Uma R, Kishore V, Lata K, Joshi V, Zhang J, et al. (2000). Greenhouse Gases from Small-scale Combustion Devices in Developing Countries, Phase IIa: Household Stoves in India: U.S. Environmental Protection Agency, Office of Research and Development. [Google Scholar]
- Wathore R, Mortimer K, & Grieshop AP (2017). In-use emissions and estimated impacts of traditional, natural- and forced-draft cookstoves in rural Malawi. Environ Sci Technol, 51(3), 1929–1938. [DOI] [PMC free article] [PubMed] [Google Scholar]
- World Health Organization. (2014a). WHO Household energy database WHO Retrieved Feb 25, 2018, from http://www.who.int/airpollution/data/household-energy-database/en/
- World Health Organization. (2014b). WHO indoor air quality guidelines: household fuel combustion. from http://www.who.int/indoorair/guidelines/hhfc/HHFC_guidelines.pdf [PubMed]
Associated Data
This section collects any data citations, data availability statements, or supplementary materials included in this article.


