Abstract
Background
Gamma (γ)-Aminobutyric acid (GABA) as a bioactive compound is used extensively in functional foods, pharmaceuticals and agro-industry. It can be biosynthesized via decarboxylation of monosodium glutamate (MSG) or L-glutamic acid (L-Glu) by glutamate decarboxylase (GAD; EC4.1.1.15). GADs have been identified from a variety of microbial sources, such as Escherichia coli and lactic acid bacteria. However, no GADs from Streptomyces have been characterized. The present study is aimed to identify new GADs from Streptomyces strains and establish an efficient bioproduction platform for GABA in E. coli using these enzymes.
Results
By sequencing and analyzing the genomes of three Streptomyces strains, three putative GADs were discovered, including StGAD from Streptomyces toxytricini NRRL 15443, SsGAD from Streptomyces sp. MJ654-NF4 and ScGAD from Streptomyces chromofuscus ATCC 49982. The corresponding genes were cloned from these strains and heterologously expressed in E. coli BL21(DE3). The purified GAD proteins showed a similar molecular mass to GadB from E. coli BL21(DE3). The optimal reaction temperature is 37 °C for all three enzymes, while the optimum pH values for StGAD, SsGAD and ScGAD are 5.2, 3.8 and 4.2, respectively. The kinetic parameters including Vmax, Km, kcat and kcat/Km values were investigated and calculated through in vitro reactions. SsGAD and ScGAD showed high biocatalytic efficiency with kcat/Km values of 0.62 and 1.21 mM− 1·s− 1, respectively. In addition, engineered E. coli strains harboring StGAD, SsGAD and ScGAD were used as whole-cell biocatalysts for production of GABA from L-Glu. E. coli/SsGAD showed the highest capability of GABA production. The cells were repeatedly used for 10 times, with an accumulated yield of 2.771 kg/L and an average molar conversion rate of 67% within 20 h.
Conclusions
Three new GADs have been functionally characterized from Streptomyces, among which two showed higher catalytic efficiency than previously reported GADs. Engineered E. coli harboring SsGAD provides a promising cost-effective bioconversion system for industrial production of GABA.
Electronic supplementary material
The online version of this article (10.1186/s13036-019-0154-7) contains supplementary material, which is available to authorized users.
Keywords: Glutamate decarboxylase, γ-Aminobutyric acid, Streptomyces, Heterologous expression, Whole-cell biotransformation
Background
Gamma (γ)-Aminobutyric acid (GABA), also named 4-aminobutyric acid, is a non-proteinogenic water-soluble amino acid generally existing in various animal brains, plants and bacteria [1]. GABA considered as one of inhibitory neurotransmitters has been applied extensively to functional foods, pharmaceuticals and agro-industry due to its various biological activities such as hypotensive, epilepsy treatment, asthma control, sleep and memory improvement, hormone-regulating and obesity-preventing effects [2]. 2-Pyrrolidone was reported to be applied to chemically synthesize GABA, which composed the linear polymer compound named as nylon 4, a biodegradable plastic material [3]. As illustrated in Fig. 1, GABA is biosynthesized in the cells through decarboxylation of L-glutamate catalyzed by glutamate decarboxylase (GAD; EC4.1.1.15) [4, 5].
Fig. 1.
GABA production from L-glutamate by glutamate decarboxylase (GAD) with pyridoxal-5′-phosphate (PLP) as a cofactor
GAD is a pyridoxal 5′-phosphate (PLP)-dependent intracellular enzyme widely distributed in various biogenetic resources [6]. Most reported natural GADs exhibit their higher catalytic capacity under acidic conditions, and the crystal structure of E. coli GAD revealed the molecular mechanism to some extent [7–9]. The optimal catalysis pH values of bacterial GADs were reported to be in the range from 3.8 to 4.6 [10]. Obviously, this catalytic property of GAD was adverse to the industrial scale bio-manufacture of GABA on account of the cost of desalination process. There are numerous genetically engineered microorganisms reported to possess higher activity in basic conditions and enhanced GABA yield [11]. To date, GABA was mainly synthesized from MSG or L-Glu by applying the purified GAD enzyme or whole-cell/resting-cell biocatalysts [10]. The whole-cell bioconversion exhibits obvious superiority to the catalysis with purified enzyme because of its great efficiency, relatively easy preparation and low costs. Thus, it has been widely applied in industrial scale production of valuable compounds [12]. GAD has also been used in the early diagnosis of type I diabetes. GADs have been isolated from various microbial sources for industrial purposes, such as E. coli, lactic acid bacteria (LAB), Streptococcus salivarius, Bacillus megaterium, Pyrococcus horikoshii, Aspergillus oryzae and Neurospora crassa [4].
Streptomyces is rich in natural products with various biological activities, such as antibacterial, antiviral, anti-cholesterol, antiprotozoan and antitumor properties [13]. As a result, Streptomyces is well studied for natural product discovery and biosynthesis. However, GADs from this genus have never characterized. Therefore, it is of interest to explore this untapped source for new GADs and reveal their potential in GABA production. In this work, we sequenced and analyzed the genomes of three Streptomyces species including Streptomyces toxytricini NRRL 15443, Streptomyces sp. MJ654-NF4 and Streptomyces chromofuscus ATCC 49982. Each strain was found to harbor a putative gad gene, including Stgad from S. toxytricini, Ssgad from Streptomyces sp. and Scgad from S. chromofuscus. We cloned these three gad genes from the corresponding hosts and expressed them in E. coli BL21(DE3). Recombinant StGAD, SsGAD and ScGAD were purified using Ni-NTA chromatography for enzymatic studies. These enzymes were functionally characterized as L-glutamate decarboxylase and their enzymatic properties were also investigated. SsGAD and ScGAD showed higher efficiency than previously reported GADs, with kcat/Km values of 0.62 and 1.21 mM− 1·s− 1, respectively. Finally, we tested the capability of engineered E. coli BL21(DE3) strains harboring StGAD, SsGAD and ScGAD for GABA production. E. coli/SsGAD showed the best performance as whole-cell biocatalyst and gave an accumulated GABA yield of 2.771 kg/L after repeated use for 10 times. This work provides an efficient biosynthetic platform for industrial production of GABA.
Results
Amino acid sequence analysis of three putative GADs from Streptomyces
We have sequenced the genomes of S. toxytricini NRRL 15443, Streptomyces sp. MJ654-NF4, and S. chromofuscus ATCC 49982 [14, 15]. Analysis of these genomes revealed that each of these three Streptomyces strains contains a putative GAD gene. Based on the Latin names of the strains, these putative genes were named Stgad, Ssgad and Scgad, respectively. BLAST analysis of the amino acid sequences of these GADs indicated that they shared 53% or lower identities with previously reported GADs listed in Table 1. All these three putative GADs contain the amino acid residues GI(V/S) TY(F)D(T)G (245–250, numbering according to the sequence of ScGAD) conserved for the catalytic site of GADs [16, 17] in Additional file 1: Figure S1. The amino acid residues HV(I)DG(A) ASGG (276–283) are highly conserved in PLP-dependent decarboxylases, such as the GAD from Lactobacillus brevis CGMCC 1306 [18, 19]. In addition, the IN(S) T(V/A)SGHKYGLV(A)YPGVGWV(A)L(V/I)WR (307–327) motif is a PLP binding domain, in which the conserved lysine residue (K313) was indicated to be an active site for binding of PLP [16, 19]. Moreover, this lysine residue is essential for GAD decarboxylation, formation of aldimine, hydrolysis and product release. Therefore, the sequence analysis suggested that StGAD, ScGAD and SsGAD are functional GADs. A phylogenetic tree was built for the three Streptomyces GADs and several reported GADs, including Lactobacillus brevis CGMCC 1306 GAD [20], Lactobacillus plantarum Taj-Apis362 GAD [21], Listeria monocytogenes GAD [22], Lactococcus lactis subsp.cremoris MG1363 GAD [23], Bacillus cereus ATCC 10876 GAD [24], Escherichia coli BL21(DE3) GadB [25], and Escherichia coli BL21(DE3) GadA [25]. As shown in Fig. 2, all three Streptomyces GADs form their own clades that are different from those reported GADs. StGAD is in one clade, while SsGAD and ScGAD are relatively similar and were grouped into another clade.
Table 1.
Identities of StGAD, SsGAD and ScGAD with known GADs
| Known GADs | Streptomyces GADs | References | ||
|---|---|---|---|---|
| StGAD | SsGAD | ScGAD | ||
| Identities | ||||
| Escherichia coli BL21(DE3) GadB | 50% | 48% | 46% | [25] |
| Escherichia coli BL21(DE3) GadA | 50% | 48% | 46% | [25] |
| Bacillus cereus ATCC 10876 GAD | 52% | 52% | 53% | [24] |
| Listeria monocytogenes GAD | 48% | 46% | 45% | [22] |
| Lactobacillus brevis CGMCC 1306 GAD | 48% | 44% | 46% | [20] |
| Lactococcus lactis subsp.cremoris MG1363 GAD | 45% | 45% | 47% | [23] |
| Lactobacillus plantarum Taj-Apis362 GAD | 47% | 44% | 48% | [21] |
Fig. 2.
Phylogenetic tree of GADs. The GAD sequences used include StGAD, ScGAD, SsGAD, Lactobacillus brevis CGMCC 1306 GAD, Lactobacillus plantarum Taj-Apis362 GAD, Listeria monocytogenes GAD, Lactococcus lactis subsp. cremoris MG1363 GAD, Bacillus cereus ATCC 10876 GAD, Escherichia coli BL21(DE3) GadB, and Escherichia coli BL21(DE3) GadA
Overexpression and purification of recombinant StGAD, SsGAD, ScGAD and GadB
In order to functionally characterize these putative GADs, we next attempted to express these enzymes in E. coli BL21(DE3). GadB is a well characterized GAD from E. coli and thus was used as a reference enzyme for comparison. These genes were cloned from the genome of the hosts and ligated into pET28a. The resulting plasmids, including pHW1 (pET28a-GadB), pHW4 (pET28a-StGAD), pHY1 (pET28a-ScGAD) and pHY6 (pET28a-SsGAD), were expressed in E. coli BL21(DE3). SDS-PAGE analysis (Fig. 3a) showed that all proteins (52–56 kDa) can be expressed in this strain. The calculated molecular weights were 53 kDa for StGAD, 54.7 kDa for SsGAD, 56.3 kDa for ScGAD and 52.7 kDa for GadB. Notably, StGAD, SsGAD and GadB were expressed well at 28 °C, while more soluble ScGAD was produced in E. coli at 18 °C than 28 °C. These four His6-tagged GADs were purified by Ni-NTA affinity chromatography to homogeneity (Fig. 3b) for the following enzymatic studies. The isolation yields of GadB, StGAD, SsGAD and ScGAD were 60.5 ± 2.5, 33.1 ± 1.7, 50.0 ± 3.2 and 20.5 ± 2.4 mg/L, respectively.
Fig. 3.
SDS-PAGE analysis of expression and purification of GADs from E. coli BL21(DE3). a Expression of GadB, StGAD, ScGAD, and SsGAD in E. coli BL21(DE3). M: protein ladder; 1 and 2: insoluble and soluble fractions of E. coli BL21(DE3)/pET28a (vector control); 3 and 4: soluble and insoluble fractions of E. coli BL21(DE3)/GadB; 5 and 6: soluble and insoluble fractions of E. coli BL21(DE3)/StGAD; 7 and 8: soluble and insoluble fractions of E. coli BL21(DE3)/SsGAD; 9 and 10: soluble and insoluble fractions of E. coli BL21(DE3)/ScGAD. b GADs purified from the engineered E. coli BL21(DE3) strains. 1: GadB; 2: StGAD; 3: SsGAD; 4: ScGAD. StGAD, SsGAD and GadB were expressed in E. coli BL21(DE3) at 28 °C, while ScGAD was expressed at 18 °C. The target band of the GADs are in the green box
Functional identification of three Streptomyces GADs
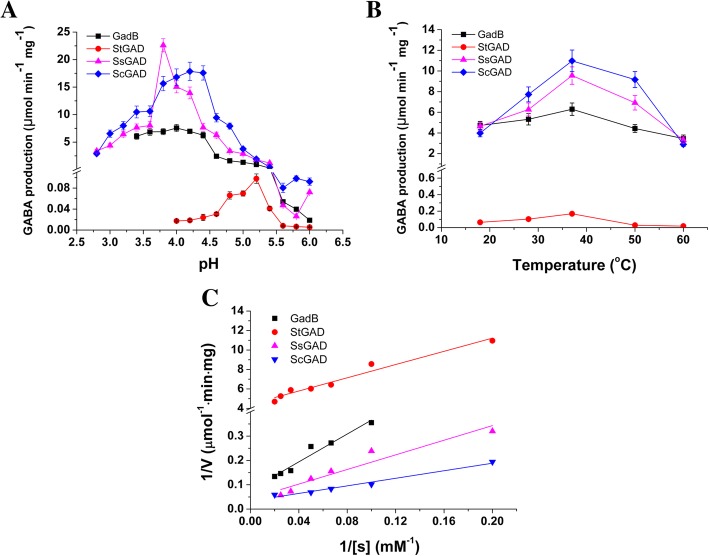
The purified GADs were subjected to in vitro reactions using monosodium glutamate (MSG) as the substrate, with GadB from E. coli as the positive control. All the three GADs were found to be able to convert MSG to GABA, confirming that they are indeed L-glutamate decarboxylases. GAD requires proton participation to perform the glutamate decarboxylation reaction [26]. The optimum pH of bacterial GADs has been reported to be in the range of 4.0–5.0 [19, 27, 28]. The activity of the three Streptomyces GADs were tested at 37 °C and different pH values ranging from 2.6 to 6.0. The optimum activity of StGAD, SsGAD, and ScGAD was observed at pH 5.2, 3.8, and 4.2, respectively (Fig. 4a). These were different from the characterized GadB for which the optimum pH value is 4 [27].
Fig. 4.
Enzymatic properties of StGAD, SsGAD, ScGAD and GadB. a Effect of the reaction pH on GAD activity; b Effect of the reaction temperature on GAD activity; c Determination of the kinetic parameters via the Lineweaver-Burk plot
We then tested the activity of StGAD, SsGAD, and ScGAD at five different reaction temperatures including 18, 28, 37, 50 and 60 °C. Interestingly, the optimal temperature for all three GADs were found to be 37 °C (Fig. 4b). The three purified GADs exhibited significantly different catalytic efficiency (p < 0.05). ScGAD exhibited the highest conversion rate, which was 68-fold and 1.7-fold of those of StGAD and GadB, respectively. Similarly, SsGAD showed around 60-fold and 1.5-fold stronger catalytic activity than those of StGAD and GadB.
Determination of the kinetic parameters of the three Streptomyces GADs
To understand the properties and catalytic efficiency of the three Streptomyces GADs, the Km, Vmax and kcat values of StGAD, SsGAD, ScGAD and GadB were measured using MSG as the substrate and were calculated from corresponding Lineweaver-Burk plots in Fig. 4c. The Km values for StGAD, SsGAD ScGAD and GadB were 7.67 ± 0.55, 35.17 ± 2.12, 23.25 ± 2.07, and 35.83 ± 2.40 mM, respectively (Table 2), indicating that these enzymes have different affinity to MSG. The Vmax values for StGAD, SsGAD and ScGAD were determined to be 0.226 ± 0.01, 23.42 ± 1.57 and 29.94 ± 2.16 μmol·min− 1·mg− 1, respectively. Among the three Streptomyces GADs, ScGAD was found to possess the highest efficiency, with a kcat/Km value of 1.21 ± 0.09 mM− 1·s− 1. SsGAD showed a kcat/Km value of 0.62 ± 0.04 mM− 1·s− 1, whereas StGAD is the least efficient, with a low kcat/Km of 0.026 ± 0.003 mM− 1·s − 1 (Table 2). The kcat/Km values of SsGAD and ScGAD are much higher than GadB, which is 0.31 ± 0.02 mM− 1·s − 1. Therefore, SsGAD and ScGAD are more efficient than those previously reported GADs [20, 28, 29].
Table 2.
Kinetic parameters for StGAD, SsGAD, ScGAD and GadB
| Kinetic parameters | Streptomyces GADs | GadB | ||
|---|---|---|---|---|
| StGAD | SsGAD | ScGAD | ||
| Vmax (μmol·min− 1·mg− 1) | 0.226 ± 0.01d | 23.42 ± 1.57b | 29.94 ± 2.16a | 12.53 ± 0.72c |
| Km (mM) | 7.67 ± 0.55c | 35.17 ± 2.12a | 23.25 ± 2.07b | 35.83 ± 2.40a |
| kcat (s− 1) | 0.20 ± 0.02d | 21.96 ± 2.08b | 28.08 ± 1.99a | 11.00 ± 0.88c |
| kcat/Km (mM− 1·s− 1) | 0.026 ± 0.003d | 0.62 ± 0.04b | 1.21 ± 0.09a | 0.31 ± 0.02c |
Data are shown as the mean ± standard deviation (n = 3). The different letters indicate significant differences among samples at a significant level of 0.05 (p < 0.05), and the same letters indicate no significant differences
Bioconversion of MSG and L-Glu into GABA using engineered E. coli as a whole-cell biocatalyst
MSG and L-glutamic acid (L-Glu) were respectively used as substrates to generate GABA. The engineered E. coli strain harboring StGAD, SsGAD or ScGAD was utilized as a whole-cell biocatalyst for GABA production. E. coli BL21(DE3)/GadB was used for comparison and wild type E. coli BL21(DE3) (WT) was used as the control. Previous studies reported that E. coli GAD showed its full activity at about pH 4–5 [1, 30]. Therefore, we conducted the whole-cell biotransformation reactions in 0.1 M sodium acetate buffer at pH 4.6. We also tested the same reactions in water only. The OD600 value of the cells in the biotransformation system was 20. Conversion of 2 M MSG or L-Glu was conducted at 37 °C for 1 h. As shown in Fig. 5a, the four engineered E. coli strains had exponentially higher yields of GABA than the wild type. Among these engineering strains, E. coli BL21(DE3)/SsGAD showed the best performance, and the yields of GABA from L-Glu reached 1366 ± 102 mM in the sodium acetate buffer and 1319 ± 116 mM in water in one single-batch reaction (Fig. 5a). However, when MSG was used as the substrate, even for E. coli BL21(DE3)/SsGAD as the best catalyst, only 14.2 ± 1.0 mM and 5.9 ± 0.3 mM GABA was obtained in the sodium acetate buffer and in water. It was observed that L-Glu was preferred by all these GAD-harboring E. coli strains, and the yields from L-Glu were much higher than those from MSG (p < 0.05) in both the sodium acetate buffer and water. For example, the yield of GABA by E. coli/SsGAD from L-Glu was 170-fold higher than that of MSG. Moreover, there was almost no significant difference between GABA production in the sodium acetate buffer and water when L-Glu was taken as the substrate (Fig. 5a). Therefore, we used L-Glu as the substrate and water as the reaction system for the following whole-cell bioconversion studies.
Fig. 5.

GABA production by whole-cell biocatalysis with enigneered E. coli strains. (a) Bioconversion of 2 M MSG/L-Glu to GABA in the sodium acetate buffer (pH 4.6) and water; (b) Effect of L-Glu concentration on GABA production. Conversions were performed at 37 °C for 1 h with a cell density of OD600 20 and PLP concentratin of 0.2 mM in water. Data are shown as the mean ± standard deviation (n = 3). The different letters indicate significant differences among samples at a significant level of 0.05 (p < 0.05), and the same letters indicate no significant differences
E. coli BL21(DE3)/StGAD, E. coli BL21(DE3)/SsGAD, E. coli BL21(DE3)/ScGAD, and E. coli BL21(DE3)/GadB were then reacted with different concentrations of L-Glu (1–7 M) in water. When the substrate concentration was lower than 4 M, the GABA production efficiency was high for all strains, with yields of 1.5–2.4 M and molar conversion rates of 77.4–88.5% within 1 h (Fig. 5b). However, when the L-Glu concentration was higher, the conversion efficiency decreased. When 7 M of L-Glu was added, the conversion ratio was reduced to 24.9–28.0 mol%. The reaction mixture system cannot be mixed well with shaking due to large amounts of insoluble L-Glu in the system, which might have impacted the reaction efficiency. Additionally, high concentrations of GABA might also inhibit the reaction. Overall, the recombinant E. coli strain harboring SsGAD exhibited a conversion capability superior to StGAD, ScGAD and GadB (Figs. 5a and b). Thus, this strain was chosen for the following whole-cell bioconversion studies.
Effects of cell and PLP concentrations on GABA production
The effects of cell amount and PLP concentration on GABA yield were evaluated with E. coli BL21(DE3)/SsGAD. We first tested the reactions of this strain at different cell concentrations ranging from OD600 2 to 32, with 7 M L-Glu at 37 °C for 2 h (Fig. 6a). The L-Glu concentration was set the highest concentration of 7 M to ensure that the substrate is enough for the high cell concentrations. It was found that the conversion rate increased with higher concentrations of cells. OD600 20 showed the highest conversion rate, with a yield of 3.3 M. Further increase in cell concentration did not yield more product, likely due to a too dense reaction system.
Fig. 6.
Optimization of GABA production by E. coli BL21(DE3)/SsGAD from L-Glu. a Effect of the cell concentration on GABA yield. The reactions were performed with 7 M L-Glu in water at 37 °C for 2 h and with a cell density of OD600 20; b Effect of the PLP concentration on GABA yield. The reaction was carried out at 37 °C for 2 h with 4 M L-Glu and a cell density of OD600 20 in water. c Time course analysis of GABA formation in single-batch reactions with 1 M, 2 M, 3 M, and 4 M L-Glu. The concentrations of cells and PLP were OD600 20 and 0.2 mM, respectively; d Batch reactions with reused E. coli BL21(DE3)/SsGAD with a cell density of OD600 20
PLP is an essential cofactor for GAD-catalyzed decarboxylation of L-Glu [4]. Various concentrations of PLP were then tested with E. coli BL21(DE3)/SsGAD at OD600 20. The reactions were performed at 37 °C for 2 h with 4 M L-Glu. Our results showed that GABA yield reached 3335 ± 75 mM with the enhancement of PLP supplementation up to 0.2 M (Fig. 6b). Further increase in the PLP concentration did not increase the production of GABA. This result agrees with those of GADs from E. coli NBRC 3806 and Lactobacillus brevis HYE1 [17, 31].
GABA production of GABA from L-Glu by repeated use of E. coli BL21(DE3)/SsGAD
We next tested whether E. coli BL21(DE3)/SsGAD can be repeatedly used for GABA production, which can reduce the production costs of GABA. The reaction time was first investigated with different concentrations of L-Glu with the cell concentration being OD600 20. When the concentration of L-Glu was 1 M, it took 2 h to reach 92 mol% conversion. However, it took a longer time to reach the highest conversion rate for 2, 3 and 4 M L-Glu (Fig. 6c). In addition, the velocity in the first hour reached the highest for all the reactions and slowed down after 1 h. At the first reaction hour, GABA was produced at 736 ± 52 mM (73.6 mol%, molar conversion ratio), 1410 ± 101 mM (70.5 mol%), 1907 ± 127 mM (63.6 mol%) and 2155 ± 177 mM (53.9 mol%) from 1, 2, 3 and 4 M L-Glu, respectively. Based on the GABA yield and productivity, 2 M L-Glu supplementation was selected for batch reactions (Fig. 6d).
For batch reactions, a cell density of OD600 20 was used. The initial concentration of L-Glu was 2 M and PLP was supplemented at 0.2 mM. The bioconversion was performed at 37 °C for 1 h before an additional 2 M L-Glu was added into reaction system. The cells were then centrifuged and re-used for the next batch. We found that E. coli BL21(DE3)/SsGAD can be used for at least 10 batches with a conversion rate of 57–77 mol% (Fig. 6d). The accumulated yield of GABA in one liter of reaction system was 26.9 mol (equal to 2.771 kg) of GABA from a total of 40 mol (equal to 5.885 kg) of L-Glu. This is higher than previously reported 614.15 g/L [1, 3, 4, 11]. The overall molar conversion rate and productivity were about 67% within 20 h and 138 g/L/h, respectively. Therefore, E. coli BL21(DE3)/SsGAD is a promising strain for GABA production.
Discussion
GAD is a PLP-dependent decarboxylase which specifically converts L-Glu into GABA. GABA attracted large interests in its industrial promise, thus, new GADs with higher decarboxylation efficiency is primary and critical to develop cost-effective GABA biosynthetic process. Although Streptomyces strains have been well explored for physiologically active compounds, characterization of GADs from this genus has never been reported. In this work, we identified three new GADs from three different Streptomyces strains. The function and catalytic activity of StGAD, SsGAD and ScGAD were tested and confirmed with reactions using pure enzymes or cells expressing these GADs.
PLP is an essential cofactor for the efficient interactions between GAD and substrate [32]. The internal aldimine was formed to link PLP and the active-site residue K279 of L. brevis CGMCC 1306 GAD, and they catalyzed the decarboxylation reaction through the formation of this kind of Schiff base. Several other amino acid residues, including Ser126, Ser127, Ser276, Ser321, Cys66, Ile206 and His278 in L. brevis CGMCC 1306 GAD, were reported to be critical in the orientation of PLP and promotion of decarboxylation reaction [19]. Hence, PLP seems to be necessary for decarboxylation reactions of GADs in vitro. However, for whole-cell biotransformation, PLP is not required because of its natural occurrence in E. coli cells. In this work, the GABA yield was increased by 45% with 0.05 mM PLP addition compared to that of without PLP addition (Fig. 6b). When the amount of PLP was over 0.2 mM, GABA production did not increase further. In addition, PLP biosynthetic genes, pdxS and pdxT from Bacillus subtilis, have been reported to be successfully introduced into lysine decarboxylase-overexpressing E. coli strain BL-CadA without exogenous PLP requirement [33]. The crystal structure of Lactobacillus brevis CGMCC 1306 GAD indicated that a putative substrate pocket containing Lys 279, Thr 64, Thr 205, Phe 65, Phe 334, Cys 66, Gln 166, and Ser 321 and a flexible loop including residues YLGGE (308–312) played the critical role on decarboxylation of L-Glu. The amino acid residue differences among StGAD, SsGAD, and ScGAD could contribute to their significant variations on Km and kcat/Km shown in Table 2.
MSG was utilized as the substrate to determine the kinetic parameters of GadB, StGAD, SsGAD and ScGAD in the in vitro reactions because of its high water solubility (~ 740 g/L). In terms of GABA production with whole-cell biotransformation, reactions with MSG and L-Glu as the substrate exhibited significantly different productivity, which was attributed to GAD’s acidic pH-dependent property. Microbial origin GADs could become inactive at pH values above 6 due to conformational changes [34]. MSG is basic in water and L-Glu is acidic. The pH value was gradually increased (5.6 ± 0.2/6.88 ± 0.1, 5.9 ± 0.1/6.98 ± 0.2, 6.1 ± 0.2/7.09 ± 0.1, and 6.3 ± 0.3/7.26 ± 0.3) when MSG was supplemented into 0.1 M of sodium acetate buffer (pH 4.6)/water at 1 M, 2 M, 3 M and 4 M because of the alpha-amino group, respectively, which makes a disadvantageous pH environment for the catalytic activity of GADs [35]. Accordingly, MSG is not a suitable substrate for GABA production using whole cells. High concentration of MSG in the reaction system increases the pH and osmotic pressure, which have harmful impacts on the decarboxylation reaction and the cells, respectively. Alternatively, L-Glu is a better substrate to biosynthesize GABA on account of maintaining the acidic pH condition, as shown in some previous studies [3, 11, 31]. Thus, in this study, we used L-Glu as the substrate to achieve a favorable acidic pH environment for GABA production. L-Glu has much lower solubility in water than MSG, around 7.5 g per liter of water at 20 °C. As a result, the majority of L-Glu in the reaction system was in solid form and it can be continuously dissolved into water as the conversion proceeds [12]. Correspondingly, much higher yields of GABA were obtained from L-Glu than MSG (Fig. 5a), supporting that L-Glu is a better substrate for GABA production using whole cells.
The whole-cell or resting cell biocatalysis has a lot of advantages over in vitro enzymatic reactions because of the simple production process, high efficiency and low costs. Although ScGAD showed a higher kcat/Km value than SsGAD (1.21 vs 0.62 mM− 1·s− 1) (Table 2), E. coli BL21(DE3)/SsGAD performed better than the strain harboring ScGAD. This is likely due to the lower expression level of ScGAD than SsGAD (20.5 vs 50 mg/L) in E. coli. The resting cells of E. coli/GADs could be reused unless they are disrupted, resulting in the release of intracellular GAD out of cells and inactivation/degradation. In our work, the engineered E. coli cells with SsGAD is a promising candidate for an economically viable industrial scale production of GABA.
Conclusions
In conclusion, we discovered three putative GAD genes from the genomes of S. toxytricini NRRL 15443, Streptomyces sp. MJ654-NF4, and S. chromofuscus ATCC 49982. These GADs, including StGAD, SsGAD, and ScGAD, were cloned and heterologously expressed in E. coli BL21(DE3). The functions of these enzymes were characterized. StGAD, SsGAD, and ScGAD showed different enzymatic characteristics, and the catalytic efficiencies were different among the GADs from different Streptomyces strains. The kcat/Km values of SsGAD and ScGAD are higher than previously reported GADs. An efficient whole-cell biocatalyst was developed from SsGAD to produce GABA in a cost-effective manner. In view of GABA production, engineered E. coli BL21(DE3)/SsGAD cells could be used for at least ten batches with an overall conversion rate of 67%. The accumulated GABA yield reached 2.771 kg from 5.885 kg L-Glu in one liter of reaction system. Thus, this engineered strain has potential applications for industrial production of GABA as a highly efficient biocatalyst.
Methods
Strains, plasmids and media
E. coli XL1-Blue was used for general cloning purposes. E. coli BL21(DE3) was used for GAD expression and GABA production. The pJET1.2 and pET28a (+) vectors were used for cloning and expression, respectively. Phusion DNA polymerase, restriction enzymes and T4 DNA ligase were purchased from New England Biolabs. All primers were synthesized by Sigma-Aldrich. E. coli strains were routinely cultivated in Luria-Bertani (LB) medium (Fisher Scientific, USA) at 37 °C. Carbenicillin and kanamycin were used at 50 μg/mL as needed for selection of correct clones. All chemicals were of analytical grade and purchased from Fisher Scientific.
Cloning of gad genes from Streptomyces and plasmid construction
Three gad genes from S. toxytricini NRRL 15443 (StGAD, GenBank accession number MK303594), Streptomyces sp. MJ654-NF4 (SsGAD, GenBank accession number MK303595), S. chromofuscus ATCC 49982 (ScGAD, GenBank accession number MK303596) and gadB from E. coli BL21(DE3) (GenBank accession number ACT43333) were PCR amplified using primers listed in Table 3. The PCR reactions were performed using the following touchdown conditions: initial denaturation at 98 °C for 5 min, followed by 20 cycles of denaturation (98 °C for 30 s), annealing (75 °C with 0.5 °C decrease in each cycle for 30 s), and elongation (72 °C for 2 min), then followed by 20 additional cycles of denaturation (98 °C for 30 s), annealing (65 °C for 30 s), and elongation (72 °C for 2 min), with a final extension at 72 °C for 10 min. The resultant 1395-bp Stgad, 1401-bp Ssgad, 1437-bp Scgad and 1401-bp gadB products were ligated into the pJET1.2 cloning vector, yielding pHW3, pHY15, pHY10 and pHW2 (Table 4). The first three plasmids were digested with NdeI and HindIII, and pHY2 that contains gadB was digested with NdeI and XhoI for verification. These gad genes were excised from the pJET1.2-derived plasmids and ligated into the pET28a (+) vector to yield pHW4, pHY6, pHY1 and pHW1 (Table 4), respectively. To confirm the sequences, these pET28a (+)-derived plasmids were then sent out for sequencing using the Sanger method.
Table 3.
Primers for amplifying the GAD genes from E. coli and Streptomyces
| Gene | Primers | Restriction site |
|---|---|---|
| gadB | Forward: 5′-CGCCATATGGATAAGAAGCAAGTAACG-3′ | NdeI |
| Reverse: 5′-CCCTCGAGTCAGGTATGTTTAAAGCTGTT-3′ | XhoI | |
| Stgad | Forward: 5′-AACATATGGCTCTCCACAAGACGAAGGA-3′ | NdeI |
| Reverse: 5′-AAAAGCTTTTAGTGGTGGAAGCCGGAGCGGGGA-3′ | HindIII | |
| Ssgad | Forward: 5′-AACATATGGCCTTGTACAAGGGCACCG-3′ | NdeI |
| Reverse: 5′-AAAAGCTTTTAGTGGTGGAAGCCGGCGCGGACC-3′ | HindIII | |
| Scgad | Forward: 5′-AACATATGCCACTCCACCAAGGCGCGGACA-3′ | NdeI |
| Reverse: 5′-AAAGCTTTTAGTGGTGGAAGGCGGTGGCGGCC-3′ | HindIII |
The restriction sites are underlined
Table 4.
List of plasmids used in this work
| Plasmids | Description | Source |
|---|---|---|
| pHW2 | gadB in pJET1.2 | This Work |
| pHW1 | gadB in pET28a | This Work |
| pHW3 | Stgad in pJET1.2 | This Work |
| pHW4 | Stgad in pET28a | This Work |
| pHY10 | Scgad in pJET1.2 | This Work |
| pHY1 | Scgad in pET28a | This Work |
| pHY15 | Ssgad in pJET1.2 | This Work |
| pHY6 | Ssgad in pET28a | This Work |
Expression of StGAD, SsGAD, ScGAD and GadB in E. coli BL21(DE3) and enzyme purification
E. coli BL21(DE3) harboring pHW4, pHY6, pHY1 and pHW1 were grown at 37 °C with shaking at 250 rpm in 3 mL of LB medium containing kanamycin (50 μg/mL) for about 12 h. The seed cultures were respectively transferred to 100 mL of LB broth containing kanamycin (50 μg/mL) with shaking at 250 rpm at 37 °C until the OD600 value reached 0.4–0.6. Isopropyl β-D-1-thiogalactopyranoside (IPTG) was added at a final concentration of 200 μM to induce GAD expression. The cultures were incubated for an additional 16 h at 28 °C (pHW4, pHY6, pHW1) or 18 °C (pHY1) with shaking at 250 rpm before harvest. After centrifugation at 12,000×g for 10 min at 4 °C, the cell pellets were re-suspended in the lysis buffer (20 mM Tris–HCl, 0.5 M NaCl, pH 7.9) with 1 mM dithiothreitol and disrupted by ultrasonication (Misonix Sonicator 3000, Misonix Inc., USA) on ice. The cell lysates were centrifuged at 12,000×g for 10 min. The supernatants were collected and analyzed by SDS-PAGE as soluble fractions. Cell debris were dissolved in 8 M urea solution and analyzed on SDS-PAGE as insoluble fractions.
To purify recombinant StGAD, SsGAD, ScGAD, and GadB, the supernatants from the cell lysates were loaded on a HisPur™ Ni-NTA affinity column (Thermo Scientific, Rockford, USA). After washing column with cold wash buffer (50 mM Tris-Hcl, 2 mM EDTA, 20 mM imidazole, pH 7.9), the recombinant StGAD, SsGAD, ScGAD, and GadB proteins were finally eluted with elution buffer (50 mM Tris-Hcl, 2 mM EDTA, 250 mM imidazole, pH 7.9). The fractions were concentrated and desalted using the 30 K Macrosep Advance Centrifugal Device (Pall Corporation, New York, USA). The protein concentrations were determined using the Bradford assay [36]. These enzymes were stored in 50% glycerol (v/v) at − 20 °C.
Sodium dodecyl sulfate-polyacrylamide gel electrophoresis (SDS-PAGE) analysis of protein expression
SDS-PAGE was performed using 12% separation gel, 4% stacking gel, and Laemmli’s Tris-glycine electrolyte buffer system at pH 8.3 on a discontinuous vertical slab electrophoresis system [6]. The standard marker was the BLUEstain™ protein ladder obtained from Gold Biotechnology Inc. (St. Louis, MO, USA) with a molecular weight range of 11–245 kDa. After electrophoresis, the gel was stained with 0.1% Coomassie brilliant blue R-250 and destained with 12–15% acetic acid in water (v/v).
Enzymatic activity assay and quantification of GABA formation
The activities of StGAD, SsGAD, ScGAD and GadB were examined through in vitro reactions based on the Berthelot method with some modifications [3, 37]. The 2.0-mL reaction mixture consisted of 200 mM Na2HPO4-citric acid buffer (pH 5.2 for StGAD, pH 3.8 for SsGAD, pH 4.2 for ScGAD and pH 4.0 for GadB), 50 mM L-MSG, 0.01 mM PLP, and 50–100 μL of purified enzyme. The mixtures were thoroughly mixed and incubated at 37 °C for 30 min and then inactivated by boiling for 5 min. The reaction mixtures were centrifuged, and supernatants were collected for measurement of GABA using the Berthelot reaction method. The Berthelot reaction was carried out with a total volume of 2.5 mL which was composed of 1.0 mL of reaction sample, 500 μL of H2O, 100 μL of 200 mM sodium borate (pH 9.0), and 500 μL of 6% phenol and 400 μL of 5% (w/v) sodium hypochlorite. The mixtures were thoroughly mixed, boiled for 10 min, and then immediately placed on ice bath for 20 min. GABA concentration was calculated by measuring the absorbance at 630 nm. 4-Aminobutyric acid (Acros Organics, New Jersey, USA) was used as standard.
Investigation of reaction conditions and kinetic parameters for the recombinant GADs
Optimum pH and temperature assay
The effect of pH on the activity of the recombinant GADs was determined using 200 mM Na2HPO4-citric acid buffer at various pH values (2.6–6.0) at 37 °C for 30 min. The effect of temperature on GAD activity was measured by incubating the enzymes at the optimum pH value for 30 min at different temperatures (18 °C – 60 °C). Subsequently, the formation of GABA in each reaction was quantified and compared.
Determination of kinetic parameters of GADs
The kinetic parameters were estimated through in vitro reactions containing different MSG concentrations from 5 mM to 100 mM, 0.01 mM PLP, 200 mM Na2HPO4-citric acid buffer with corresponding optimum pH value, and 50–100 μL of purified enzyme. The Km and Vmax values were estimated by using double reciprocal via the Lineweaver-Burk plot [17]. The kcat and kcat/Km were then calculated.
Whole-cell bioconversion process
After induction for 16 h at 28 °C or 18 °C, wild type E. coli BL21(DE3) and the engineered strains harboring StGAD, SsGAD, ScGAD and GadB were collected by centrifugation at 12,000×g for 20 min and then resuspended in the 0.1 M sodium acetate buffer at pH 4.6 or water with MSG or L-Glu as the substrate at appropriate concentrations. Cell density was indicated by the OD600 value. The reaction mixtures were incubated at 37 °C for the production of GABA.
Statistical analysis
Assays were conducted in triplicate and values were expressed as the mean ± standard deviation. Thereafter, one-way analysis of variance and subsequent Tukey-Kramer multiple-comparison tests were conducted to evaluate the significance of differences (p < 0.05).
Additional file
Supplementary data. (DOCX 43 kb)
Acknowledgements
Not applicable.
Funding
This work was finically supported by the National Natural Science Foundation of China (No. 31741102), the Agricultural and Social Development Program Project (No. 171593) of Hangzhou Science and Technology Bureau of Zhejiang Province (China), the Major Science and Technology Projects and Major Agricultural Projects of Zhejiang Province (No. 2017C02033 and No. 2018C02053) and Natural Sciences Fund of Zhejiang Province (No. LY14C200007).
Availability of data and materials
The DNA sequences of the three new GADs are available to the public in NCBI under accession numbers MK303594, MK303595, and MK303596.
Abbreviations
- GABA
Gamma(γ)-aminobutyric acid
- GAD
L-glutamate decarboxylase
- LAB
lactic acid bacteria
- L-Glu
L-glutamate or L-glutamic acid
- MSG
monosodium glutamate
- SDS-PAGE
sodium dodecyl sulfate-polyacrylamide gel electrophoresis
- WT
wild type
Authors’ contributions
JZ supervised this study. JZ and GX conceived and designed the experiments. HY, HW, OF and YQ performed the experiments. All authors analyzed the data and wrote the manuscript. All authors read and approved the final manuscript.
Ethics approval and consent to participate
Not applicable.
Consent for publication
Not applicable.
Competing interests
The authors declare that they have no competing interests.
Publisher’s Note
Springer Nature remains neutral with regard to jurisdictional claims in published maps and institutional affiliations.
Contributor Information
Gongnian Xiao, Email: xiaogongnian@126.com.
Jixun Zhan, Email: jixun.zhan@usu.edu.
References
- 1.Kang TJ, Ho NAT, Pack SP. Buffer-free production of gamma-aminobutyric acid using an engineered glutamate decarboxylase from Escherichia coli. Enzym Microb Technol. 2013;53:200–205. doi: 10.1016/j.enzmictec.2013.04.006. [DOI] [PubMed] [Google Scholar]
- 2.Diana M, Quílez J, Rafecas M. Gamma-aminobutyric acid as a bioactive compound in foods: a review. J Funct Foods. 2014;10:407–420. doi: 10.1016/j.jff.2014.07.004. [DOI] [Google Scholar]
- 3.Fan LQ, Li MW, Jun QY, Ming CQ, Jiang SJ, Shang YJ, Zhao LM. Increasing thermal stability of glutamate decarboxylase from Escherichia coli by site-directed saturation mutagenesis and its application in GABA production. J Biotechnol. 2018;278:1–9. [DOI] [PubMed]
- 4.Dhakal R, Bajpai VK, Baek KH. Production of GABA (γ-aminobutyric acid) by microorganisms: a review. Brazilian J Microbiol. 2012;43:1230–1241. doi: 10.1590/S1517-83822012000400001. [DOI] [PMC free article] [PubMed] [Google Scholar]
- 5.Xu N, Wei L, Liu J. Biotechnological advances and perspectives of gamma-aminobutyric acid production. World J Microbiol Biotechnol. 2017;33:1–11. doi: 10.1007/s11274-016-2144-y. [DOI] [PubMed] [Google Scholar]
- 6.Zhang H, Yuan YH, Chen F, Wang X. Purification and characterization of glutamate decarboxylase from rice germ. Food Chem. 2007;101:1670–6.
- 7.Le Vo TD, Ko JS, Park SJ, Lee SH, Hong SH. Efficient gamma-aminobutyric acid bioconversion by employing synthetic complex between glutamate decarboxylase and glutamate/GABA antiporter in engineered Escherichia coli. J Ind Microbiol Biotechnol. 2013;40:927–933. doi: 10.1007/s10295-013-1289-z. [DOI] [PubMed] [Google Scholar]
- 8.Shi F, Xie Y, Jiang J, Wang N, Li Y, Wang X. Directed evolution and mutagenesis of glutamate decarboxylase from Lactobacillus brevis Lb85 to broaden the range of its activity toward a near-neutral pH. Enzym Microb Technol. 2014;61–62:35–43. doi: 10.1016/j.enzmictec.2014.04.012. [DOI] [PubMed] [Google Scholar]
- 9.Choi WW, Yim SS, Lee HH, Kang JJ, Park JJ, Jeong JJ. Enhanced production of gamma-aminobutyrate (GABA) in recombinant Corynebacterium glutamicum by expressing glutamate decarboxylase active in expanded pH range. Microb Cell Factories. 2015;14(1):–11. [DOI] [PMC free article] [PubMed]
- 10.Lee SJ, Lee HS, Lee DW. Production of γ-aminobutyric acid using immobilized glutamate decarboxylase from Lactobacillus plantarum. Korean J Microbiol Biotechnol. 2015;43:300–305. doi: 10.4014/mbl.1509.09003. [DOI] [Google Scholar]
- 11.Ke C, Yang X, Rao H, Zeng W, Hu M, Tao Y, Huang J. Whole-cell conversion of L-glutamic acid into gamma-aminobutyric acid by metabolically engineered Escherichia coli. Springerplus. 2016;5:591–598. doi: 10.1186/s40064-016-2217-2. [DOI] [PMC free article] [PubMed] [Google Scholar]
- 12.Schüürmann J, Quehl P, Festel G, Jose J. Bacterial whole-cell biocatalysts by surface display of enzymes: toward industrial application. Appl Microbiol Biotechnol. 2014;98:8031–8046. doi: 10.1007/s00253-014-5897-y. [DOI] [PubMed] [Google Scholar]
- 13.Rashad FM, Fathy HM, El-Zayat AS, Elghonaimy AM. Isolation and characterization of multifunctional Streptomyces species with antimicrobial, nematicidal and phytohormone activities from marine environments in Egypt. Microbiol Res. 2015;175:34–47. doi: 10.1016/j.micres.2015.03.002. [DOI] [PubMed] [Google Scholar]
- 14.Zeng J, Decker R, Zhan J. Biochemical characterization of a type III polyketide biosynthetic gene cluster from Streptomyces toxytricini. Appl Biochem Biotechnol. 2012;166:1020–1033. doi: 10.1007/s12010-011-9490-x. [DOI] [PubMed] [Google Scholar]
- 15.Shao L, Zi J, Zeng J, Zhan J. Identification of the herboxidiene biosynthetic gene cluster in Streptomyces chromofuscus ATCC 49982. Appl Environ Microbiol. 2012;78(6):2034–2038. doi: 10.1128/AEM.06904-11. [DOI] [PMC free article] [PubMed] [Google Scholar]
- 16.Kim HW, Kashima Y, Ishikawa K, Yamano N. Purification and characterization of the first archaeal glutamate decarboxylase from Pyrococcus horikoshii. Biosci Biotechnol Biochem. 2009;73:224–227. doi: 10.1271/bbb.80583. [DOI] [PubMed] [Google Scholar]
- 17.Lim HS, Seo DH, Cha IT, Lee H, Do NY, Seo MJ. Expression and characterization of glutamate decarboxylase from Lactobacillus brevis HYE1 isolated from kimchi. World J Microbiol Biotechnol. 2018;34:1–10. doi: 10.1007/s11274-018-2427-6. [DOI] [PubMed] [Google Scholar]
- 18.Kim SH, Shin BH, Kim YH, Nam SW, Jeon SJ. Cloning and expression of a full-length glutamate decarboxylase gene from Lactobacillus brevis BH2. Biotechnol Bioprocess Eng. 2007;12:707–712. doi: 10.1007/BF02931089. [DOI] [Google Scholar]
- 19.Huang J, Fang H, Gai ZC, Mei JQ, Li JN, Hu S, Lv CJ, Zhao WR, Mei LH. Lactobacillus brevis CGMCC 1306 glutamate decarboxylase: crystal structure and functional analysis. Biochem Biophys Res Commun. 2018;503:1703–1709. doi: 10.1016/j.bbrc.2018.07.102. [DOI] [PubMed] [Google Scholar]
- 20.Huang J, Mei L, Sheng Q, Yao S, Lin D. Purification and characterization of glutamate decarboxylase of Lactobacillus brevis CGMCC 1306 isolated from fresh milk. Chin J Chem Eng. 2007;15:157–161. doi: 10.1016/S1004-9541(07)60051-2. [DOI] [Google Scholar]
- 21.Tajabadi N, Baradaran A, Ebranhimpour A, Rahim RA, Bakar FA, Manap MYA, Mohammed AS, Saari N. Overexpression and optimization of glutamate decarboxylase in Lactobacillus plantarum Taj-Apis362 for high gamma-aminobutyric acid production. Microb Biotechnol. 2015;8:623–632. doi: 10.1111/1751-7915.12254. [DOI] [PMC free article] [PubMed] [Google Scholar]
- 22.Information F. Draft genome sequences of Listeria monocytogenes serotype 4b strains 944 and 2993 and serotype 1/2c strains 198 and 2932. Genome announc. 2016;4:4–5. doi: 10.1128/genomeA.00482-16. [DOI] [PMC free article] [PubMed] [Google Scholar]
- 23.Wegmann U, Connell-motherway MO, Zomer A, Buist G, Shearman C, Canchaya C, Ventura M, Goesmann A, Gasson MJ, Kuipers OP, van Sinderen D, Kok J. Complete genome sequence of the prototype lactic acid bacterium Lactococcus lactis subsp. cremoris MG1363. J Bacteriol. 2007;189:3256–3270. doi: 10.1128/JB.01768-06. [DOI] [PMC free article] [PubMed] [Google Scholar]
- 24.Ash C, Jae F, Wallbanks S, Phylogenetic C. Twenty whole-genome. Genome announc. 2014;2:4–5. [Google Scholar]
- 25.Jeong H, Barbe V, Lee CH, Vallenet D, Yu DS, Choi SH, Couloux A, Lee SW, Yoon SH, Cattolico L, Hur CG, Park HS, Ségurens B, Kim SC, Oh TK, Lenski RE, Studier FW, Daegelen P, Kim JF. Genome sequences of Escherichia coli B strains. J Mol Biol. 2009;394:644–652. doi: 10.1016/j.jmb.2009.09.052. [DOI] [PubMed] [Google Scholar]
- 26.de Biase D, Pennacchietti E. Glutamate decarboxylase-dependent acid resistance in orally acquired bacteria: function, distribution and biomedical implications of the gadBC operon. Mol Microbiol. 2012;86:770–786. doi: 10.1111/mmi.12020. [DOI] [PubMed] [Google Scholar]
- 27.Ueno Y, Hayakawa K, Takahashi S, Oda K. Purification and characterization of glutamate decarboxylase from Lactobadllus bvevis IFO 12005. Biosci Biotechnol Biochem. 1997;61:1168–1171. doi: 10.1271/bbb.61.1168. [DOI] [PubMed] [Google Scholar]
- 28.Komatsuzaki N, Nakamura T, Kimura T, Shima J. Characterization of glutamate decarboxylase from a high γ-aminobutyric acid (GABA)-producer, Lactobacillus paracasei. Biosci Biotechnol Biochem. 2008;72:278–285. doi: 10.1271/bbb.70163. [DOI] [PubMed] [Google Scholar]
- 29.de Biase D, Tramonti A, John RA, Bossa F. Isolation, overexpression, and biochemical characterization of the two isoforms of glutamic acid decarboxylase from Escherichia coli. Protein Expres Purif. 1996;438:430–438. doi: 10.1006/prep.1996.0121. [DOI] [PubMed] [Google Scholar]
- 30.Company MJ, Academy R. Preparation of γ-aminobutyric acid using E. coli cells with high activity of glutamate decarboxylase. Appl Biochem Biotechnol. 2000;88:257–265. doi: 10.1385/ABAB:88:1-3:257. [DOI] [Google Scholar]
- 31.Yamano N, Kawasaki N, Takeda S, Nakayama A. Production of 2-pyrrolidone from biobased glutamate by using Escherichia coli. J Polym Environ. 2013;21:528–533. doi: 10.1007/s10924-012-0466-x. [DOI] [Google Scholar]
- 32.Ueno H. Enzymatic and structural aspects on glutamate decarboxylase. J Mol Catal - B Enzym. 2000;10:67–79. doi: 10.1016/S1381-1177(00)00114-4. [DOI] [Google Scholar]
- 33.Ma W, Cao W, Zhang B, Chen K, Liu Q, Li Y, Ouyang P. Engineering a pyridoxal 5′-phosphate supply for cadaverine production by using Escherichia coli whole-cell biocatalysis. Sci Rep. 2015;5:15630. [DOI] [PMC free article] [PubMed]
- 34.Dinh TH, Ho NAT, Kang TJ, Mcdonald KA, Won K. Salt-free production of γ-aminobutyric acid from glutamate using glutamate decarboxylase separated from Escherichia coli. J Chem Technol Biotechnol. 2014;89:1432–1436. doi: 10.1002/jctb.4251. [DOI] [Google Scholar]
- 35.Lund P, Tramonti A, De Biase D. Coping with low pH: molecular strategies in neutralophilic bacteria. FEMS Microbiol Rev. 2014;38:1091–1125. doi: 10.1111/1574-6976.12076. [DOI] [PubMed] [Google Scholar]
- 36.Bradford MM. A rapid and sensitive method for the quantitation of microgram quantities of protein utilizing the principle of protein-dye binding. Anal Biochem. 1976;72:248–254. doi: 10.1016/0003-2697(76)90527-3. [DOI] [PubMed] [Google Scholar]
- 37.Wang H, Huang J, Sun L, Xu F, Zhang W, Zhan J. An efficient process for co-production of γ-aminobutyric acid and probiotic Bacillus subtilis cells. Food Sci Biotechnol. 2019;28:155–163. doi: 10.1007/s10068-018-0461-7. [DOI] [PMC free article] [PubMed] [Google Scholar]
Associated Data
This section collects any data citations, data availability statements, or supplementary materials included in this article.
Supplementary Materials
Supplementary data. (DOCX 43 kb)
Data Availability Statement
The DNA sequences of the three new GADs are available to the public in NCBI under accession numbers MK303594, MK303595, and MK303596.





