Abstract
Objectives:
Cognitive impairment is an important aspect of Parkinson’s disease (PD), but there is considerable heterogeneity in its presentation. This investigation aims to identify and characterize latent cognitive phenotypes in early PD.
Methods:
Latent class analysis, a data-driven, person-centered, cluster analysis was performed on cognitive data from the Parkinson’s Progressive Markers Initiative baseline visit. This analytic method facilitates identification of naturally occurring endophenotypes. Resulting classes were compared across biomarker, symptom, and demographic data.
Results:
Six cognitive phenotypes were identified. Three demonstrated consistent performance across indicators, representing poor (“Weak-Overall”), average (“Typical-Overall”), and strong (“Strong-Overall”) cognition. The remaining classes demonstrated unique patterns of cognition, characterized by “Strong-Memory,” “Weak-Visuospatial,” and “Amnestic” profiles. The Amnestic class evidenced greater tremor severity and anosmia, but was unassociated with biomarkers linked with Alzheimer’s disease. The Weak-Overall class was older and reported more non-motor features associated with cognitive decline, including anxiety, depression, autonomic dysfunction, anosmia, and REM sleep behaviors. The Strong-Overall class was younger, more female, and reported less dysautonomia and anosmia. Classes were unrelated to disease duration, functional independence, or available biomarkers.
Conclusions:
Latent cognitive phenotypes with focal patterns of impairment were observed in recently diagnosed individuals with PD. Cognitive profiles were found to be independent of traditional biomarkers and motoric indices of disease progression. Only globally impaired class was associated with previously reported indicators of cognitive decline, suggesting this group may drive the effects reported in studies using variable-based analysis. Longitudinal and neuroanatomical characterization of classes will yield further insight into the evolution of cognitive change in the disease.
Keywords: Endophenotypes, Cognitive dysfunction, Cluster analysis, Neurocognitive disorders, Parkinson disease, Movement disorders
INTRODUCTION
Alterations in cognitive functioning are estimated to occur in upward of 30% of newly diagnosed individuals with Parkinson’s disease (PD), and decline in cognition has been associated with dementia in up to 80% of individuals longitudinally (Aarsland, Andersen, Larsen, Lolk, & Kragh-Sørensen, 2003; Aarsland & Kurz, 2010a, 2010b; Hely et al., 1999; Litvan et al., 2011; Meireles & Massano, 2012). Recent characterization of mild cognitive impairment (PD-MCI) reflects emerging understanding of the prevalence of cognitive change in the absence of functional impairment (Litvan et al., 2012; Weintraub et al., 2015).
Cognitive decline is critically important to clinical and functional outcomes in PD (e.g., quality of life for the patient/ caregiver, level of disability) and has previously been associated with other non-motor symptoms, particularly apathy, anxiety, fatigue, gastrointestinal, and psychiatric symptoms (Aarsland, Larsen, Tandberg, & Laake, 2000; Barone et al., 2009; Marder et al., 1991). Recognition of the importance and prevalence of non-motor symptoms supports an understanding of PD as a complex syndrome involving alterations in cognitive, affective, and behavioral regulation, which can precede the emergence of motor symptoms (Barone et al., 2009, 2011; Chaudhuri, Healy, & Schapira, 2006; Postuma et al., 2012).
There is significant variability in the nature and severity of observed cognitive change in PD, particularly early in the disease. Changes in processing speed, attention, working memory, aspects of executive functioning, and visuospatial perception are commonly reported (Cormack, Aarsland, Ballard, & Tove, 2004; Emre et al., 2007; Goldman & Litvan, 2011; Kudlicka, Clare, & Hindle, 2011; Meireles &Massano, 2012). Retention of information in memory is relatively preserved, although initial learning and voluntary recall are often impaired (Emre et al., 2007). Given the heterogeneity, identifying naturally occurring subtypes of the disorder is critical to better understand the syndrome (Litvan et al., 2011). Recognition of focal deficits early in the disorder may be of particular importance as focal deficits may be more readily overlooked by the clinician and may presage more global cognitive decline.
PD-MCI has previously been described using criteria adapted from investigations of prodromal Alzheimer’s disease, and currently requires evidence of decline on only one or more measures of cognition (Litvan et al., 2012; Petersen, 2004; Petersen et al., 1999). While these criteria allow for standardized investigation of PD-MCI going forward, they do not speak to the precise nature or classification of cognitive decline in PD. Meaningful, naturally occurring subtypes of cognitive change in PD, if they exist within this disorder, have yet to be identified or characterized.
Latent class analysis (LCA) represents a type of person- centered cluster analysis well-suited for the identification of subgroups within heterogeneous populations. Person- centered methods are ideal when the goal is to explore associations between individuals, rather than variables (Jung & Wickrama, 2008; Muthén & Muthén, 2000). Resulting classes reflect naturally occurring patterns of individual performance. Most investigations of cognition in early PD use traditional, variable-based analysis (e.g., ANOVA, regression) and often report generally intact cognition. This type of analysis does not allow for data-driven investigation of people with atypical presentations, or focal cognitive decline. The strength of latent class analysis, in contrast, is its ability to use data-driven methods to identify self-segregating groups who are not intact.
Previous cluster studies of PD have typically used variable-based cluster methods (Dujardin et al., 2013; Reijnders, Ehrt, Lousberg, Aarsland, & Leentjens, 2009). Dujardin and colleagues (2013) explored cognitive changes in the absence of motor symptoms. They observed five clusters, two of which (approximately 60% of the sample) evidenced minimal impairment, whereas the other three classes demonstrated increasing levels of global impairment, an effect largely driven by increasing disease severity (Dujardin et al., 2013). Reijnders and colleagues (2009) found clusters whose characteristics were remarkably similar to those observed by Lewis and colleagues (2005; described below); however, their cognitive data were derived from the MMSE, an abbreviated bedside screener.
The four previous person-centered investigation of latent classification in this population used k-means analyses, including a recent study using the Parkinson’s Progressive Markers Initiative (PPMI) cohort (Erro et al., 2016; Graham & Sagar, 1999; Lewis et al., 2005; Post, Speelman, Haan, & CARPA-study group, 2008). This technique is inferior to likelihood estimation modeling because of its higher false positive rate, sensitivity to outliers, dependence on experimenter-determined data standardization, and the absence of “fit statistics” which allow the researcher to empirically discriminate between different models (see Magidson & Vermunt, 2002).
Graham and Sagar (1999) looked at motor and cognitive data among patients at all disease stages, and found three classes reflecting motor-only impairment, motor and cognitive impairment, and rapidly progressing motor and cognitive decline. Notably, they did not observe an association between motor and cognitive phenotypes. Two other studies focused on individuals earlier in disease course (mean disease duration = 7.8 years, Lewis et al., 2005; disease onset < 20 months, Post et al., 2008), and used cognitive, neuropsychiatric, and motor indictors to derive classes. They observed four classes reflecting primary motor phenotypes: a young-onset, tremor-dominant, rapidly progressing motor, and non-tremor class.
Within the PPMI dataset, several studies have explored clusters in an attempt to parse phenotypes (Erro et al., 2016; Simuni et al., 2016). Erro and colleagues (2016) performed a k-means cluster analysis using both motor and non-motor data from the PPMI study, and found three clusters, characterized by minimal motor/non-motor burden, significant motor burden with significant non-motor symptoms (particularly apathy and hallucinations), and significant motor burden with minimal non-motor symptoms. Notably, these investigators used only the brief cognitive screener in their analysis of cognition (The Montreal Cognitive Assessment; Nasreddine et al., 2005), and found no differences in cognitive performance across their derived clusters.
Simuni and colleagues (2016) explored the longitudinal stability of the previously characterized tremor-dominant and postural-instability classes, and found significant classification difference between the baseline and 1-year assessments, an effect that was not driven by initiation of medication. More broadly, the PPMI cohort has reported significant associations between age of onset (stratified by decade), more severe motor and non-motor features, and dopamine dysfunction (Pagano, Ferrara, Brooks, & Pavese, 2016).
The aim of the present study was to identify latent classes of individuals with self-segregating patterns of performance on an abbreviated cognitive assessment. Although motor and affective symptoms remain important symptoms associated with PD, the current study chose to focus exclusively on cognition in class creation as other cluster analyses of individuals with PD have focused on motor indicators, or have explored cognition in conjunction with motor features. LCA using likelihood estimation modeling has previously been applied to an investigations of cognition in Alzheimer’s disease (Scheltens et al., 2016), but has yet to be used to identify cognitive phenotypes in early PD. Using LCA, we sought to identify cognitive phenotypes, and then characterize those phenotypes across motor, neuropsychiatric, genetic, and biologic markers.
METHODS
Participants
Data were drawn from the baseline and screening visits of the PPMI, a multicenter longitudinal investigation of PD progression. Patients (n = 424) were drawn from the “De Novo PD” subject group (see Table 3 for basic demographic information). For inclusion in this group, the individual had to be unmedicated, within <2 years of diagnosis, and demonstrate striatal dopamine transporter (DaT) deficit on imaging (Parkinson Progression Marker Initiative, 2011). Prodromal and SWEDD (subjects with Scans without Evidence of Dopamine Deficiency) cohorts were excluded. Each center involved in PPMI participant recruitment and monitoring received approval from an ethics committee on human research. Written consent for study involvement was attained from all study participants before their entry.
Table 3.
Demographic and disease characteristics of each class
| Weak- Overall (n = 20) |
Typical-Overall (n = 149) |
Strong-Memory (n = 23) |
Weak-Visuospatial (n = 47) |
Amnestic (n = 51) |
Strong-Overall (n = 134) |
Overall sample (n = 424) |
|||
|---|---|---|---|---|---|---|---|---|---|
| Demographics | 1 | 2 | 3 | 4 | 5 | 6 | Total | F | Post-hoc |
| Education (years) Age (years) |
11.84(4.17) 67.74 (7.37) |
15.75 (2.89) 62.53 (8.98) |
14.82 (3) 60.41 (8.71) |
14.89 (2.92) 65.13 (8.41) |
14.88 (2.83) 66.92 (7.19) |
16.39 (2.5) 56.72 (9.94) |
15.51 (3) 61.7 (9.68) |
10.08** 14.64** χ2 |
1< all; 4, 5 < 6 2< 5; 6 < 1,2,4, 5 |
| Female White Hispanic Right-handed ≠ APOE e4 carrier |
4 (20%) 15 (75.0%) 2 (10.0%) 17 (85.0) 5(29.4%) |
31 (20.8%) 142 (95.3%) 1 (0.7%) 134 (89.9%) 33 (23.9%) |
17 (73.9%) 21 (91.3%) 1 (4.3%) 20 (87.0%) 7 (30.4%) |
21 (44.7%) 42 (89.4%) 2 (4.3%) 39 (83.0%) 12 (29.3%) |
8 (15.7%) 48 (94.1%) 0 (0.0%) 46 (90.2%) 13 (29.5%) |
64 (47.8%) 126 (94.0%) 3 (2.2%) 119 (88.8%) 25 (20.7%) |
145 (34.2%) 394 (92.9%) 9(2.1%) 375 (88.4%) 95 (24.7%) |
50.81*** 12.41* 10.18^ 5.06 2.73 |
|
| Diagnostic motor symptoms | χ2 | ||||||||
| Effected side ....Left ....Right ....Both Tremor Rigidity Bradykinesia Postural instability |
9 (45.0%) 11 (55.0%) 0 (0.0%) 15 (75.0%) 18 (90.0%) 18 (90.0%) 2 (10.0%) |
56 (37.6%) 88 (59.1%) 5 (3.4%) 113 (75.8%) 116(78.4%) 122 (82.4%) 12 (8.2%) |
6(26.1%) 16 (69.6%) 1 (4.3%) 14 (60.9%) 18 (78.3%) 19 (82.6%) 3 (13.0%) |
24 (51.1%) 22 (46.8%) 1 (2.1%) 42 (89.4%) 36 (76.6%) 37 (78.7%) 0 (0.0%) |
24 (47.1%) 27 (52.9%) 0 (0.0%) 42 (82.4%) 33 (64.7%) 38 (77.6%) 4 (8.0%) |
60 (44.8%) 71 (53.0%) 3 (2.2%) 106 (79.1%) 102 (77.3%) 115 (85.8%) 8 (6.1%) |
179 (42.2%) 235 (55.4%) 10 (2.4%) 332 (78.3%) 323 (76.7%) 349 (82.9%) 29 (6.9%) |
8.30 8.70 6.38 3.11 5.72 |
|
| MDS-UPDRS | |||||||||
| Total score ....Part I ....Part II ....Part III Tremor score PIGD score |
37.16(13.38) 7.05 (4.12) 6.15 (3.39) 24.4(11.60) 0.48 (0.35) 0.32(0.18) |
32.59 (13.39) 5.83 (4.52) 6.02 (4.41) 20.1 (9.21) 0.53 (0.35) 0.24 (0.24) |
35.18 (15.76) 6.83 (4.45) 7.26 (5.30) 21.74 (8.79) 0.46 (0.31) 0.3 (0.24) |
33.47 (13.01) 5.35 (3.48) 6.36 (4.34) 21.74 (8.57) 0.53 (0.30) 0.22 (0.20) |
33.29 (12.77) 6.58 (5.09) 5.96 (4.59) 23.1 (9.49) 0.65 (0.39) 0.21 (0.21) |
29.02 (12.00) 5.17 (3.69) 4.95 (3.69) 18.52 (7.80) 0.44 (0.30) 0.18 (0.16) |
32.02 (13.11) 5.77 (4.24) 5.78 (4.24) 20.44 (8.98) 0.51 (0.34) 0.22 (0.21) |
2.47* 1.66 1.92^ 3.31** 3.13** 3.03* |
6 <5; (6 < 1) 6<5 (6 < 1) |
| Other characteristics | |||||||||
| # Relatives with PD ADL Disease duration (mo.) Hoehn & Yahr |
0.37 (0.83) 90.50 (6.67) 5.05 (5.15) 1.53 (0.51) |
0.35 (0.63) 93.42 (5.52) 6.09 (5.37) 1.59 (0.49) |
0.14 (0.35) 91.52 (7.3) 6.82 (8.17) 1.77 (0.43) |
0.16 (0.42) 93.72 (5.46) 6.47 (6.1) 1.69 (0.47) |
0.41 (0.83) 92.84 (6.19) 7.88 (7.29) 1.69 (0.47) |
0.34 (0.74) 93.28 (6.07) 6.69 (7.26) 1.44(0.53) |
0.32 (0.68) 93.1 (5.94) 6.53 (6.48) 1.57 (0.51) |
1.16 1.33 0.80 3.70** |
6 < 5, (6 <3,4) |
Note.
= reflects subsample (n = 384) with available genotyping.
= p < 0.10
= p < 0.05
= p < 0.01
= p < 0.001.
Disease duration refers to the length of time between study enrollment and the time at which the patient met clinical diagnostic criteria for PD. Bolded cells reflect classes with larger than expected proportion of associated characteristic; Italicized cells reflect classes with smaller than expected proportions.
Post-hoc relationships in parenthesis indicator marginal significance (0.05 <p < 0.10).
MDS-UPDRS = Movement Disorders Society Unified Parkinson’s Disease Rating Scale; PIDG = postural instability-gait disturbance; ADL = activities of daily living.
Measures
Cognitive assessment
Assessments within PPMI have previously been described (Pereira et al., 2014). Briefly, learning and memory were assessed using the Hopkins Verbal Learning Test - Revised (HVLT-R), a word-list learning task (Brandt & Benedict, 2001). Perceptual discrimination, working memory, and processing speed were assessed using the Judgment of Line Orientation (JLO-SF), a letter-number sequencing task (LNS), and a symbol-digit coding task (SDMT), respectively (Benton, Varney, & Hamsher, 1978; Smith, 1982; Wechsler, 2008). Semantic fluency was assessed with three prompts (animals, vegetables, fruits; Gladsjo et al., 1999).
Motor
The Movement Disorders Society Unified Parkinson’s Disease Rating Scale (MDS-UPDRS; Goetz et al., 2007, 2008) quantified motor impairment, and included score for tremor and postural-instability/gait-disturbance (PIGD) severity (Alves, Larsen, Emre, Wentzel-Larsen, & Aarsland, 2006; Burn et al., 2006; Stebbins et al., 2013). The Hoehn and Yahr scale was used as an indicator of disease stage/ severity (Hoehn & Yahr, 1967).
Neuropsychiatric and behavioral
Depression and anxiety were assessed using the 15-item Geriatric Depression Scale (GDS-15) and the State-Trait Anxiety Inventory (STAI), respectively (Almeida & Almeida, 1999; Knight, Waal-Manning, & Spears, 1983; Sheikh & Yesavage, 1986; Weintraub, Oehlberg, Katz, & Stern, 2006). Self-report questionnaires were used to assess REM sleep behavior (Stiasny-Kolster et al., 2007), daytime fatigue (Epworth Sleepiness Scale; ESS; Johns, 1991), dys- autonomia (SCOPA-AUT; Visser, Marinus, Stiggelbout, & Van Hilten, 2004), and functional independence (Schwab & England, 1969). Olfaction was assessed using the University of Pennsylvania Smell Identification Test (UPSIT; Doty, Frye, & Agrawal, 1989).
Biomarker
Detailed protocols for cerebrospinal fluid (CSF) collection and assay, genetic testing, and striatal dopamine transporter imaging within the PPMI study have previously been reported (Federoff, Jimenez-Rolando, Nalls, & Singleton, 2012; Kang et al., 2013; Nalls et al., 2016; Siepel et al., 2014). In brief, CSF biomarkers include β-amyloid 1–42 (amyloid-β), total tau, tau phosphorylated at threonine 181 (p-tau), and α-synuclein. Genetic information was limited to apolipoprotein E (APOE) genotype (e2/e3/e4 haplotypes). Striatal binding ratios (SBR) were derived for the caudate nucleus and puta-men using single photon emission CT (SPECT) imaging with [123I]FP-CIT radioligand. Binding was calculated using a standardized volume of interest template for each region, in comparison with an occipital reference region. SBR for the left and right putamen, as well as the left and right caudate, were included in group comparisons.
Statistical Analysis
Statistical approach
LCA’s analytic procedure is analogous to the multi-step procedure typically used in exploratory factor analysis (EFA), a variable-based cluster analyses. In EFA, clusters of variables are first identified (Step 1), then each cluster is labeled based on the characteristics of the variables making up each cluster (Step 2), and then clusters are compared to each other and to other constructs of interest, including demographic variables (Step 3). In standard approaches to EFA, covariates (including those constructs of interest probed in Step 3) are not typically included in the initial cluster identification. LCA follows an analogous three-step method, with cognitive variables serving as cluster indicators. Demographic indicators associated with both cognition and PD course were explored only after creation of classes. An identical procedure has been used to examine cognition in early Alzheimer’s disease (Scheltens et al., 2016).
Indicators
Class indicator variables included average verbal fluency, total across-trial learning, delayed recall of learned information, and number of correct items on coding, perceptual judgment, and sequencing tasks. Variables were Z-transformed against the mean of all available cases from the PPMI study. This was done to preserve the relative distribution of each indicator variable while improving interpretability of results across classes and relative to a more diverse sample that includes healthy controls.
Normalized (age-adjusted) standard scores and percentiles were not used as indicators due to concerns that transformation of raw scores against multiple different normative samples could introduce subtle systematic bias (assuming some deviation between the normative and current sample characteristics, or between normative samples for different tasks). Redundant non-cognitive variables were omitted for conceptual focality. That there is some degree of overlap in cognitive constructs is a limitation of the PPMI dataset and would represent a significant flaw in traditional, variable- based methods. Our analytic method was chosen in part because it directly addresses methodological overlap. In other words, within LCA, classes are identified based on what is different about them, rather than by what they share.
Model selection
Procedures for the selection of latent class models have previously been described (Masyn, 2013). In brief, models with an increasing number of forced latent classes (estimated using Mplus 6.2; Muthén & Muthén, 2010) were compared across measures of relative fit (e.g., Akaike Information Criterion [AIC], Bayesian Information Criterion [BIC], sample-size adjusted Bayesian Information Criterion [aBIC]), parsimony (e.g., bootstrapped likelihood ratio test; LRT), and class stability (entropy). Models were then vetted to ensure individual classes were of sufficient class size (classes <5% of the sample suggest over-fitting) and conceptually meaningful (e.g., reflecting different patterns of performance; Nylund, Asparouhov, & Muthén, 2007).
Class characterization
Subsequent analyses comparing latent classes used ANOVA with pairwise post hoc comparison and Sidak correction (for continuous outcomes) and chi-square tests. Classes were given qualitative labels based on their performance across indicator variables. Although age-corrected standard scores were not used in class creation, they can provide important clinical information (e.g., presence/absence of clinical impairment relative to age), and were used to further qualify class performance across indicators. Secondary analyses then characterized resultant classes along (1) demographic factors, (2) diagnostic and motor features, (3) non-motor symptoms noted above, and (4) biomarker data.
Demographic differences were not entered as covariates in across-group analyses for reasons laid out in detail by Miller and Chapman (2001). In brief, they explain that use of demographic covariates (e.g., age, education) is appropriate when group differences are the result of randomness, as in classic experimental design where assignment to treatment conditions is randomized. In these instances, removing variance associated with demographic variables isolates the treatment effect and clarifies interpretation. In contrast, when preexisting groups are studied, “…observed differences may reflect some meaningful, substantive differences that are attributable to group membership” (Miller & Chapman, 2001).
In other words, in our study, demographic variables were not controlled for in initial class analysis or in subsequent across-group analyses because we believe these variables may be inextricably intertwined with constructs of interest in such a way that isolation of either component would introduce bias. This point is particularly salient given the exploratory, holistic nature of the current study.
RESULTS
Class Selection and Characterization
Significant improvement in model fit was evident until the seventh class (Table 1), which resulted in a negative variance error and small class size (<4% of the analyzed sample). The six-class solution demonstrated the lowest BIC statistic, good class stability, and unique patterns of performance across classes, and was thus chosen as the best fit solution. Class stability, reflected in entropy, suggests statistically meaningful partitioning of variance and indicates that cognitive profiles, are stable in their self-segregation.
Table 1.
Indices of fit, parsimony, and relative entropy for models with classes 1–7
| No. of classes | 1 | 2 | 3 | 4 | 5 | 6 | 7 |
|---|---|---|---|---|---|---|---|
| No. of free parameters | 19 | 26 | 33 | 40 | 47 | 54 | |
| Log likelihood | −3411.445 | −3187.66 | −3112.25 | −3084.68 | −3051.82 | −3028.19 | −3011.99 |
| AIC BIC ABIC |
6846.891 6895.488 6857.408 |
6413.32 6490.26 6429.97 |
6276.5 6381.79 6299.29 |
6235.37 6369.01 6264.29 |
6183.64 6345.63 6218.7 |
6150.38 6340.72 6191.57 |
6131.98 6350.67 6179.3 |
| LMR p |
. . |
437.25 <0.001 |
147.34 0.005 |
53.86 0.76 |
64.21 0.017 |
46.17 0.032 |
31.66 <0.001 |
| BLRT 2XDif p(Ho:k-1, H1:k) |
. . . |
−3411.45 447.57 <0.001 |
−3187.66 150.82 <0.001 |
−3112.25 55.13 <0.001 |
−3084.68 65.72 <0.001 |
−3051.82 47.26 <0.001 |
−3028.192 32.404 <0.001 |
| Entropy | . | 0.77 | 0.78 | 0.79 | 0.81 | 0.82 | 0.84 |
AIC = Akaike Information Criterion; BIC = Bayesian Information Criterion; ABIC = sample-size adjusted Bayesian Information Criterion; LMR = Lo-Mendell-Rubin; BLRT = Bootstrap Likelihood Ratio Test.
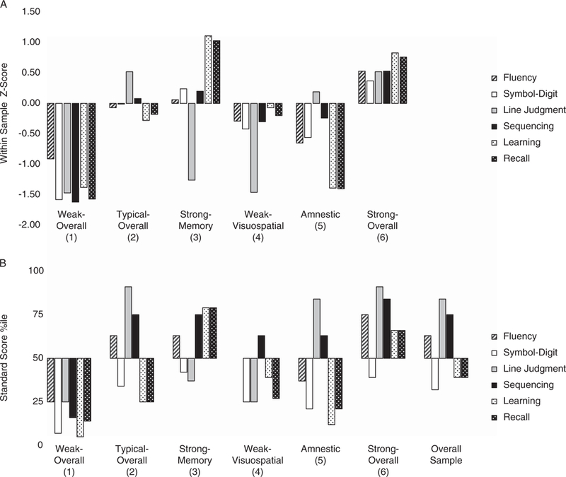
Visualization of mean z-scores across the six classes (Figure 1A) revealed characteristic patterns of functioning. Class 1 (n = 20), Class 2 (n = 144), and Class 6 (n = 126) demonstrated relatively consistent performance across indicators. Relative to the overall sample, Class 1 (“Weak- Overall”) demonstrated poorer performance (–1.64 ≤ z ≤ –0.94), Class 2 (“Typical-Overall”) demonstrated typical performance (–0.29 ≤ z ≤ 0.52), and Class 6 (“Strong-Overall”) demonstrated stronger performance (0.37 ≤ z ≤ 0.83) across domains.
Fig. 1.

Mean z-scores for cognitive indicator variables within each derived class (A) and percentile value of mean age-corrected standard scores for cognitive indicator variables within each derived class (B).
The three remaining classes, derived empirically and without a priori assumptions about the level or nature of impairment, reflect novel cognitive phenotypes whose deficits were inconsistent across domains. Class 3 (n = 23, “Strong-Memory”) demonstrated strong learning and memory (z > 1.0) and poor visuospatial discrimination (z < –1.0). Class 4 (n = 47; “Weak-Visuospatial”) demonstrated an isolated weakness in visuospatial discrimination (z < –1.4). Class 5 (n = 51; “Amnestic”) demonstrated very weak learning and memory (z <–1.3), with subtler difficulties in fluency and processing speed (–0.78 < z < –0.59).
Qualitative examination of age-corrected standard scores across derived classes revealed grossly similar patterns of performance, albeit with some important differences. For the PD sample as a whole, across-sample means revealed stronger than average performance on visuospatial discrimination (84th percentile) and sequencing (75th percentile) tasks, and slightly weaker than average performance on coding (32nd percentile; Figure 1B).
Regarding individual class performance, mean values for Weak-Overall class fell at or below the 25th percentile across domains. The Strong-Memory class demonstrated learning and memory abilities above the 75th percentile, whereas these abilities in the Amnestic class fell below the 25th percentile. The Weak-Visuospatial class demonstrated visuospatial discrimination abilities at the 25th percentile. The Strong-Overall class demonstrated mean values at or above the 60th percentile in all domains except on the measure of processing speed (coding), which was generally depressed across the entire sample.
Within the Typical-Overall class, performance across most domains fell between the 75th and 25th percentile, with the exception of the measure of visuospatial abilities, which fell at the 91st percentile. Although performance on this measure was notably above average for the Typical-Overall group relative to the normative sample, the PD sample as a whole demonstrated above average performance.
Class Comparison
Significant across-class differences were observed across all indicators (F(5,423) > 30.54; p <.001; Table 2). All pairwise post hoc results reported below are significant at the p <.05 level.
Table 2.
Means, SDs, and across-class comparisons of cognitive indicator variables used in class creation
| Weak- Overall |
Typical- Overall |
Strong- Memory |
Weak- Visuospatial |
Amnestic | Strong- Overall |
||||
|---|---|---|---|---|---|---|---|---|---|
| Class | 1 | 2 | 3 | 4 | 5 | 6 | Overall sample | F | Post-hoc |
| Semantic fluency | 12.50 (3.54) | 15.81 (3.20) | 17.43 (2.12) | 14.57 (2.90) | 13.13 (2.75) | 18.82 (3.75) | 16.23 (3.87) | 34.68*** | 1,4, 5 <3, 6 1, 5 < 2; 2 < 6 |
| Symbol-Digit Modalities Test | 23.80 (7.96) | 42.15 (8.67) | 44.52 (9.01) | 36.53 (7.94) | 35.25 (7.20) | 45.92 (7.82) | 41.15 (9.72) | 36.92*** | 1 < all 4, 5 <2, 3, 6 2<6 |
| Judgment of Line Orientation | 18.70 (3.39) | 27.58 (2.11) | 19.48 (2.27) | 18.68 (2.99) | 26.12 (2.87) | 27.55 (2.24) | 25.55 (4.25) | 174.36*** | 1, 3, 4 < 2, 5, 6 5 <2, 6 |
| Letter Number Sequencing | 5.75 (1.55) | 10.64 (2.13) | 10.96 (2.85) | 9.55 (2.02) | 9.69 (2.28) | 11.91 (2.52) | 10.59 (2.66) | 30.54*** | 1<all 2,4,5 <6 |
| HVLT - Learning | 17.40 (2.37) | 23.03 (2.77) | 30.3 (2.64) | 24.23 (2.71) | 17.29 (3.07) | 28.86 (2.65) | 24.44 (4.97) | 194.10*** | 1, 5 <2, 3, 4, 6 1,2, 4, 5 <3, 6 |
| HVLT - Recall | 4.25 (2.05) | 7.93 (1.32) | 11.26 (0.81) | 7.96 (1.50) | 4.63 (1.76) | 10.51 (1.08) | 8.36 (2.51) | 207.03*** | 1, 5 <2, 3, 4, 6 1,2, 4, 5 <3, 6 |
Note.
= p<0.001; HVLT=Hopkins Verbal Learning Test.
Weak-Overall, Typical-Overall, Strong-Overall classes
Consistent with qualitative interpretation of class profiles, the Weak-Overall, Typical-Overall, and Strong-Overall classes were significantly different from each other (Weak- Overall < Typical-Overall < Strong-Overall) across all cognitive indices with the exception of perceptual discrimination measure, where the Typical-Overall and Strong-Overall classes were significantly different from (greater than) the Weak-Overall class, but not each other.
Strong-Memory class
On indices of fluency, processing speed, and working memory, the Strong-Memory class performed better than the Weak-Overall class. It was not statistically different from the Typical-Overall and Strong-Overall classes. The Strong- Memory class’s visual discrimination score fell significantly below that of the Typical-Overall and Strong-Overall, but not Weak-Overall, classes. In contrast, the Strong-Memory class’s learning and memory were significantly greater relative to the Weak-Overall and Typical-Overall classes, but not the Strong-Overall classes, on these indices.
Amnestic class
The Amnestic class was not significantly different from the Weak-Overall class on measures of memory and fluency, but was significantly stronger than this class on measures of processing speed, working memory, and visual discrimination. Relative to the Typical-Overall and Strong- Overall classes, the Amnestic class had significantly poorer fluency, processing speed, visual discrimination, and learning and memory. For working memory, the Amnestic class fell above the Weak-Overall and below the Strong-Overall classes, but was not significantly different from the Typical- Overall class.
Weak-Visuospatial class
The Weak-Visuospatial class was not significantly different from the Weak-Overall class on measures of fluency or visual discrimination, but was significantly stronger on measures of learning and memory, working memory, and processing speed. The Weak-Visuospatial class was not significantly different from the Typical-Overall class on measures of memory, working memory, or fluency, but fell significantly below the Typical-Overall class on indices of processing speed and visual discrimination. Relative to the Strong- Overall class, the Weak-Visuospatial class performed significantly more poorly across cognitive domains.
Demographics
Classes differed significantly across age (F(5,423) = 14.64; p <.01) and education (F(5,423) = 10.08; p <.001; Table 3). The Strong-Overall class was significantly younger than the Weak-Overall, Typical-Overall, Weak-Visuospatial, and Amnestic classes, and had a significantly higher level of education relative to the Weak-Visuospatial and Amnestic classes. The Typical-Overall class was significantly younger than the Amnestic class. The Weak-Overall class was significantly less educated than all classes.
Classes differed in distribution of gender (χ2(5) = 50.81; p <.001) and race (χ2(5) = 12.41; p =.03). Examination of adjusted-standardized residuals revealed women were overrepresented in the Strong-Memory and Strong-Overall classes, whereas men were overrepresented in the Typical- Overall and Amnestic classes. The Weak-Overall class also had a higher proportion of minorities. Classes were not different across handedness (χ2(10) = 5.06;p =.89), ethnicity (χ2(5) = 10.18; p =.07), number of relatives with diagnosis (F(5,423) = 1.16; p =.33), duration of disease (F(5,423) = 0.80; p =.55), or functional impairment (F(5,423) = 1.33; p =.25). Disease duration refers to the length of time between study enrollment and the time at which the participant met clinical criteria for PD.
Hoehn and Yahr severity was significantly different across classes (F(5,423) = 3.70; p <.01). This effect was driven by the Strong-Overall class, which had a significantly lower score relative to the Amnestic class, and was also marginally significantly lower than both the Strong-Memory and Weak- Visuospatial classes (p =.05).
Motor features
Diagnostic motor features, including laterality of motor change (χ2(10) = 8.30; p = 0.60), and presence of tremor, rigidity, or postural instability (χ2(5) < 8.70; p > 0.12), did not differ across classes (Table 3). For clinician-rated motor disturbance using the MDS-UPDRS, significant across-class differences were found in Total (F(5,423) = 2.47; p <.04) and Part III (F(5,423) = 3.31; p <.01) scores, as well as TD and PIGD indices (F(5,423) > 3.13; p <.02). There were no significant pairwise post hoc comparisons for Total score or PIGD score, although there was a trend for the Weak-Overall class to have a higher PIGD score than the Strong-Overall class (p =.05). Consistent with the Hoehn and Yahr severity rating, the Amnestic class had significantly higher Part III and TD scores relative to the Strong-Overall class (p <.05).
Neuropsychiatric and behavioral features
Significant across-class differences were found in current depression (F(5,423) = 2.34; p =.04), trait anxiety (F (5,423) = 2.30; p =.04), REM sleep behaviors (F(5,423) = 2.30; p =.04), smell identification (F(5,423) = 5.64; p <.001), and autonomic dysfunction (F(5,423) = 3.99; p <.01), but not in state anxiety, overall anxiety (F(5,423) < 1.83; p >.11), or daytime sleepiness (F(5,423) = 0.69; p =.64) (Table 4).
Table 4.
Means and SDs of reported non-motor symptoms and available biomarkers
| Weak- Overall |
Typical- Overall |
Strong- Memory |
Weak-Visuospatial | Amnestic | Strong- Overall |
||||
|---|---|---|---|---|---|---|---|---|---|
| Non-motor | 1 | 2 | 3 | 4 | 5 | 6 | Total sample | F | Post-hoc |
| GDS | 3.50 (2.40) | 2.07 (2.20) | 2.30 (2.44) | 1.98 (1.86) | 3.04 (2.88) | 2.29 (2.64) | 2.33 (2.45) | 2.34* | |
| STAI | 76.95 (20.09) | 65.66 (16.52) | 70.43 (17.23) | 68.95 (16.83) | 68.60 (18.24) | 66.39 (18.13) | 67.39 (17.59) | 1.83 | |
| State | 37.25 (10.77) | 32.40 (9.62) | 34.39 (10.27) | 34.61 (10.40) | 33.62 (10.34) | 32.08 (10.73) | 33.01 (10.26) | 1.35 | |
| Trait | 39.70 (10.63) | 33.26 (7.85) | 36.04 (8.73) | 34.20 (7.50) | 34.90 (8.98) | 34.31 (9.03) | 34.35 (8.60) | 2.28 | 2 < 1 |
| RBD | 5.40 (2.98) | 4.13 (2.66) | 4.61 (3.19) | 4.13 (2.86) | 4.60 (2.92) | 3.62 (2.38) | 4.11 (2.70) | 2.30* | (6 < 1) |
| ESS | 6.35 (3.62) | 5.49 (3.10) | 5.13 (3.51) | 5.60 (4.06) | 6.10(3.87) | 5.99 (3.41) | 5.76 (3.45) | 0.69 | |
| UPSIT | 16.55 (8.08) | 21.81 (8.25) | 23.52 (8.31) | 19.47 (8.74) | 21.73 (7.57) | 24.60 (7.77) | 22.27 (8.29) | 5.64*** | 1,4 < 6; |
| (1 < 2, 3); (2 < 6) |
|||||||||
| SCOPA-AUT | 13.60(10.32) | 9.28 (6.07) | 11.48 (6.12) | 8.60 (5.41) | 11.31 (6.37) | 8.64(5.31) | 9.57 (6.18) | 3.99** | 2, 4, 6 < 1 |
| CSF | |||||||||
| Amyloid-β | 339.47 (105.90) | 366.94 (98.88) | 372.26 (105.59) | 352.46 (95.73) | 376.43 (118.27) | 383.27 (94.46) | 370.72 (100.56) | 1.16 | |
| α-Synuclein | 1635.89 (795.93) | 1835.18 (676.41) | 1694.3 (700.73) | 1712.43 (732.94) | 1874.65 (952.21) | 1938.44 (845.84) | 1842.14 (783.96) | 1.10 | |
| p-Tau | 13.11 (6.37) | 15.23 (10.83) | 17.23 (13.66) | 15.04 (8.77) | 17.1 (9.71) | 15.84 (9.49) | 15.65 (10.05) | 0.65 | |
| Total Tau | 44.58 (17.55) | 44.26 (17.15) | 42.61 (17.98) | 44.43 (18.98) | 47.57 (23.28) | 44.6 (17.35) | 44.72 (18.28) | 0.33 | |
| DaT binding | |||||||||
| Caudate (L) | 1.84 (0.60) | 1.98 (0.63) | 2.09 (0.68) | 1.82 (0.72) | 2.04 (0.53) | 2.07 (0.64) | 2.00 (0.64) | 1.44 | |
| Caudate (R) | 1.95 (0.62) | 1.98 (0.66) | 2.14 (0.64) | 1.82 (0.72) | 1.90 (0.71) | 2.06 (0.65) | 1.98 (0.67) | 1.24 | |
| Putamen (L) | 0.79 (0.42) | 0.87 (0.44) | 0.82 (0.39) | 0.77 (0.48) | 0.90 (0.46) | 0.93 (0.44) | 0.88 (0.45) | 1.06 | |
| Putamen (R) | 0.95 (0.40) | 0.94 (0.46) | 1.05 (0.38) | 0.84 (0.48) | 0.94 (0.51) | 1.01 (0.39) | 0.96 (0.44) | 1.16 | |
Note.
= p < 0.05;
= p < 0.01;
= p < 0.001.
Post-hoc relationships in parenthesis indicator marginal significance (0.05 <p < 0.10).
GDS = Geriatric Depression Scale; STAI = State-Trait Anxiety Inventory; RBD = REM Sleep Behavior Disorder Questionnaire; ESS = Epworth Sleepiness Scale; UPSIT = University of Pennsylvania Smell Identification Test; CSF = cerebrospinal fluid; DaT = dopamine transporter binding.
Post hoc tests revealed no significant pairwise comparisons across depression or REM sleep behaviors, although there was a trend (p =.08) for the Weak-Overall to experience more RBD than the Strong-Overall class. The Weak-Overall class drove other significant findings, and reported more trait-anxiety than the Typical-Overall class, more dysautonomia than the Typical-Overall, Weak-Visuospatial, and Strong-Overall classes, and poorer olfaction than the Strong-Overall class. The Amnestic class also performed significantly more poorly on smell identification than the Strong-Overall class.
Biomarkers
No significant across-class differences were found for CSF indicators (F(5,411) < 1.16; p >.33; Table 4), DaT striatal binding ratios in the putamen or caudate (F(5,407) < 1.44; p >.21; Table 4), or proportion of individuals with at least one APOE4 allele (χ2(5) = 2.73; p =.74; Table 3).
DISCUSSION
Using a data-driven, person-centered approach, six cognitive phenotypes were identified within a sample of patients recently diagnosed with PD. Cognitive phenotypes reflected self-segregating clusters of individuals with unique patterns of cognition defined by focal weakness (e.g., Weak-Visuospatial, Amnestic classes), focal strength (e.g., Strong-Memory class), and performance which was globally concordant across cognitive domains (e.g., Typical-Overall, Weak-Overall, and Strong-Overall classes). This is the first study to use data-driven methods to identify focal weakness in memory and visuospatial perception within PD. Consistent with previous work, the globally weak class demonstrated more non-motor symptoms commonly associated with cognitive decline. Contrary to previous work, however, classes were not associated with disease duration, functional independence, or available biomarkers.
Among those with “focal” cognitive profiles, only the Amnestic class demonstrated greater tremor severity and anosmia. Focal memory difficulties in the Amnestic class suggest learning and memory may be preferentially impacted in a subset of individuals with PD. This could reflect cooccurrence of Alzheimer’s disease (AD) pathology; however, the absence of expected biases in e4 allele distribution and CSF-tau reduce this likelihood.
Most of the observed classes were small (6–12% of the overall sample), and although this limited statistical power for secondary analyses, it also demonstrates the utility and conceptual power of LCA. In traditional, variable-based methods, the Amnestic class (i.e., a small, discrete group with a focal difficulties in learning and memory) and Strong-Memory class (i.e., a small, discrete group with above-average learning but nearly-impaired visual perception) would be aggregated, and their individual effects would cancel out. Visuospatial deficits are often reported in Parkinsonian syndromes, although these reports are inconsistently replicated. The identification of a small, self-segregating class with focally impaired visuospatial abilities may explain these inconsistencies. Visuospatial decline in other synuclei-nopathies has been associated with an increased density of Lewy body pathology in associated cortical areas. The focality of this impairment within the Weak-Visuospatial class, and relative preservation of memory, language, and processing speed, may implicate a similar process.
Consistent with previous work, the Weak-Overall class, which was older and reported less education, reported more anxiety, depression, dysautonomia, anosmia, and non-significant increases in REM sleep behaviors and postural instability. The Strong-Overall class, which was younger, more female, and more educated, evidenced less motor disturbance, dysautonomia and anosmia. These classes drove significant across-class differences in age and education, and it is important to note that although these differences were statistically significant, their clinical significance is less clear. Maximum difference in mean class age was approximately 10 years, whereas maximum difference in education was four years. Notably, these classes drove many of the significant across-class results on secondary measures.
The Strong-Overall class demonstrated a consistent positive association between cognition and disease severity across both motor and behavioral indices. The Weak-Overall class often demonstrated greater severity on secondary indicators (e.g., anxiety, dysautonomia), but not always. Although largely confirmatory, these results are important, as they represent replication of previous findings using a novel analytic method. On important measures such as clinician-rated motor signs, disease severity, and functioning, the Weak-Overall class was not different from other classes. Reduced cognitive reserve (e.g., education level) and reduced “neural reserve” secondary to age (Stern, 2009) may contribute to poor cognition in the Weak-Overall class. However, this class also evidenced greater severity in several characteristics (e.g., anxiety, REM sleep behavior, postural instability) which are not related to reserve but are associated with premotor manifestations of the disease and a more precipitous cognitive decline.
Greater disease burden might also account for poor cognition in the Weak-Overall class, however, this class demonstrated the shortest disease duration, and was not different from the Strong-Overall class in clinician-rated motor severity. In other words, these results suggest a possible discrepancy between cognitive decline and disease progression as it is currently understood.
The discrepancy between cognitive severity and motor severity raises the possibility that the Weak-Overall class represents a “late-motor-onset” form of the disease. Uncoupling PD diagnosis from emergence of motor signs would be more consistent with emerging conceptualization of PD as a complex multi-dimensional syndrome with a protracted non-motor prodrome. Reconceptualization of PD as a diagnosis defined by any functionally impairing disruption to cognitive, affective, or motoric circuit, secondary to progressive loss of mesocortical or mesostriatal dopaminergic innervation, would have important implications for how we understand disease severity.
With regard to research, this could significantly impact study design for clinical trials (e.g., randomization, longitudinal assessment of progression). Clinically, earlier recognition of cognitive or affective “prodrome” as active disease could facilitate targeted intervention (e.g., to preserve motor functioning). Re-conceptualizing the Weak-Overall class as “late-motor” onset might imply an earlier age of onset, which could resolve the discrepancy between the severity of cognitive decline and disease duration. Similarly, The Strong-Overall class could be similarly considered an “early- motor-onset” form of the disease. It is unclear where the remaining classes would fall on this spectrum, and it is possible they reflect trajectories of decline determined by penetration of a-synuclein in specific circuits and regions of cortex.
Class results are also grossly consistent with previous investigations of PD-MCI (Dujardin et al., 2013; Goldman, Weis, Stebbins, Bernard, & Goetz, 2012). The Typical- Overall or Strong-Overall classes did not demonstrate evidence of possible impairment and made up a majority of the sample, which is consistent with the notion that many individuals with PD may not qualify for a diagnosis of cognitive disorder early in disease course. Much like the “Weak- Overall” class, “multiple-domain” PD-MCI was associated with poorer axial functioning and global cognition (Goldman et al., 2012). Similarly, Dujardin and colleagues (2013) found subtle or no decline in ~60% of their sample, similar to the proportion within the Strong-Overall and Typical-Overall classes. Whereas Dujardin identified three additional clusters that segregated based on severity of disease, the current study identified four classes of people with unique patterns of cognitive functioning that varied independently from severity of disease, and thus better capture the complex cognitive presentation seen clinically.
The absence of an association with biomarker data is also consistent with previous research, both in the PPMI sample and in the literature more broadly. Siepel and colleagues found only a small association between striatal binding, fluency, and sequencing in this sample at baseline, an effect which was no longer significant when controlling for age (Siepel et al., 2014). Previous studies examining CSF biomarkers for AD in PD samples have shown mixed results, with some supporting a relationship between lower tau in PD (Montine et al., 2010; Shi et al., 2011; Zhang et al., 2008), and others failing to support such an association (Compta et al., 2009; Mollenhauer et al., 2006; Parnetti et al., 2008).
Consistent with our findings, the APOE e4 allele has previously been reported to have no significant association with PD (Federoff et al., 2012), despite significant associations with cognitive change in AD. Within the PPMI sample, initial reports of CSF biomarkers found small but significant associations between CSF biomarker levels and motor, but not cognitive, performance (Kang et al., 2013). However, an association between amyloid-β and cognition was found prospectively (Terrelonge, Marder, Weintraub, & Alcalay, 2016), suggesting biomarker differences may emerge longitudinally.
There are several important limitations to this investigation. The PPMI’s cognitive assessment is limited, and lacks indicators of nonverbal memory, executive abilities (e.g., inhibition, switching, abstract reasoning) or estimates of premorbid functioning, and this analysis would be greatly improved with a greater breadth of cognitive domains. We also chose to focus exclusively on cognitive phenotypes, and inclusion of motoric and other biomarker data in initial class creation may have yielded a broader characterization of naturally occurring phenotypes. Additionally, the number of post hoc analyses, although mitigated in part by the within analysis Sidak correction, raises the chance of a possible Type I error. Replication of these phenotypes in other samples, and longitudinal follow-up to assess their stability, will be necessary, as it is currently unclear what extent these classes represent temporally stable phenotypes.
The clinical relevance of these cognitive phenotypes to patient experience, or to pathology, remain to be determined. The unique profiles associated with the Strong-Memory, Weak-Visuospatial, and Amnestic classes suggest that, in early PD, significant and focal changes in cognition can occur, and may reflect latent phenotypes of the disorder which, due to historical reliance on variable-based methods, have yet to be fully characterized. Understanding cognition in PD using person-centered analyses facilitates a more fine- grain characterization and minimizes error inherent in use of a priori thresholds for impairment. Such an approach is particularly useful at a time when the field’s understanding of the nature, and progression, of the non-motor syndrome is evolving rapidly.
ACKNOWLEDGMENTS
The authors have no financial relationships or conflicts of interest to disclose. Drs. Banks and Walsh receive salary support from the National Institute of General Medical Sciences (grant: P20GM109025). Dr. LaBelle receives support from the Joan and Norman Chapman Foundation. Drs. LaBelle, Walsh, and Banks are employed by the Cleveland Clinic Nevada. Data used in the preparation of this article were obtained from the PPMI database (www.ppmi-info.org/data). PPMI, a public-private partnership, is funded by the Michael J. Fox Foundation (MJFF). The MJFF is responsible for PPMI study design and data collection, but is not involved in data analysis. Details regarding PPMI have been previously published (Marek, K., Jennings, D., Lasch, S., Siderowf, A., Tanner, C., Simuni, T., et al. (2011). The Parkinson Progression Marker Initiative (PPMI). Progress in Neurobiology, 95, 629–635). For up-to-date information on the study, visit www.ppmi-info.org.
REFERENCES
- Aarsland D, Andersen K, Larsen JP, Lolk A, & Kragh-Sørensen P (2003). Prevalence and characteristics of dementia in Parkinson disease: An 8-year prospective study. Archives of Neurology, 60(3), 387–392. [DOI] [PubMed] [Google Scholar]
- Aarsland D, & Kurz MW (2010a). The epidemiology of dementia associated with Parkinson’s disease. Brain Pathology, 20(3), 633–639. [DOI] [PMC free article] [PubMed] [Google Scholar]
- Aarsland D, & Kurz MW (2010b). The epidemiology of dementia associated with Parkinson disease. Journal of the Neurological Sciences, 289(1), 18–22. [DOI] [PubMed] [Google Scholar]
- Aarsland D, Larsen JP, Tandberg E, & Laake K (2000). Predictors of nursing home placement in Parkinson’s disease: A population-based, prospective study. Journal of the American Geriatrics Society, 48(8), 938–942. [DOI] [PubMed] [Google Scholar]
- Almeida OP, & Almeida SA (1999). Short versions of the geriatric depression scale: A study of their validity for the diagnosis of a major depressive episode according to ICD-10 and DSM-IV. International Journal of Geriatric Psychiatry, 14(10), 858–865. [DOI] [PubMed] [Google Scholar]
- Alves G, Larsen JP, Emre M, Wentzel-Larsen T, & Aarsland D (2006). Changes in motor subtype and risk for incident dementia in Parkinson’s disease. Movement Disorders, 21(8), 1123–1130. [DOI] [PubMed] [Google Scholar]
- Barone P, Aarsland D, Burn D, Emre M, Kulisevsky J, & Weintraub D (2011). Cognitive impairment in nondemented Parkinson’s disease. Movement Disorders, 26(14), 2483–2495. [DOI] [PubMed] [Google Scholar]
- Barone P, Antonini A, Colosimo C, Marconi R, Morgante L, Avarello TP, ... Del Dotto P (2009). The PRIAMO study: A multicenter assessment of nonmotor symptoms and their impact on quality of life in Parkinson’ s disease. Movement Disorders, 24(11), 1641–1649. [DOI] [PubMed] [Google Scholar]
- Benton AL, Varney NR, & Hamsher KD (1978). Visuospatial judgment. A clinical test. Archives of Neurology, 35(6), 364–367. [DOI] [PubMed] [Google Scholar]
- Brandt J, & Benedict R (2001). Hopkins Verbal Learning Test- Revised. Odessa, FL: Psychological Assessment Resources. [Google Scholar]
- Burn DJ, Rowan EN, Allan LM, Molloy S, O’Brien JT, & McKeith IG (2006). Motor subtype and cognitive decline in Parkinson’s disease, Parkinson’s disease with dementia, and dementia with Lewy bodies. Journal of Neurology, Neurosurgery, and Psychiatry, 77(5), 585–589. [DOI] [PMC free article] [PubMed] [Google Scholar]
- Chaudhuri KR, Healy DG, & Schapira AHV (2006). Non-motor symptoms of Parkinson’s disease: Diagnosis and management. The Lancet. Neurology, 5(3), 235–245. [DOI] [PubMed] [Google Scholar]
- Compta Y, Martí MJ, Ibarretxe-Bilbao N, Junqué C, Valldeoriola F, Muñoz E, ... Tolosa E (2009). Cerebrospinal tau, phospho-tau, and beta-amyloid and neuropsychological functions in Parkinson’ s disease. Movement Disorders, 24(15), 2203–2210. [DOI] [PubMed] [Google Scholar]
- Cormack F, Aarsland D, Ballard C, & Tove MJ (2004). Pentagon drawing and neuropsychological performance in Dementia with Lewy Bodies, Alzheimer’s disease, Parkinson’s disease and Parkinson’s disease with dementia. International Journal of Geriatric Psychiatry, 19, 371–377. [DOI] [PubMed] [Google Scholar]
- Doty RL, Frye RE, & Agrawal U (1989). Internal consistency reliability of the fractionated and whole University of Pennsylvania Smell Identification Test. Perception & Psychophysics, 45(5), 381–384. [DOI] [PubMed] [Google Scholar]
- Dujardin K, Leentjens AFG, Langlois C, Moonen AJH, Duits AA, Carette AS, & Duhamel A (2013). The spectrum of cognitive disorders in Parkinson’ s disease: A data-driven approach. Movement Disorders, 28(2), 183–189. [DOI] [PubMed] [Google Scholar]
- Emre M, Aarsland D, Brown R, Burn DJ, Duyckaerts C, Mizuno Y, ... Dubois B (2007). Clinical diagnostic criteria for dementia associated with Parkinson’s disease. Movement Disorders, 22(12), 1689–1707. [DOI] [PubMed] [Google Scholar]
- Erro R, Picillo M, Vitale C, Palladino R, Amboni M, Moccia M, ... Barone P (2016). Clinical clusters and dopaminergic dysfunction in de-novo Parkinson disease. Parkinsonism & Related Disorders, 28, 137–140. [DOI] [PubMed] [Google Scholar]
- Federoff M, Jimenez-Rolando B, Nalls MA, & Singleton AB (2012). A large study reveals no association between APOE and Parkinson’s disease. Neurobiology of Disease, 46(2), 389–392. [DOI] [PMC free article] [PubMed] [Google Scholar]
- Gladsjo JA, Schuman CC, Evans JD, Peavy GM, Miller SW, & Heaton RK (1999). Norms for letter and category fluency: Demographic corrections for age, education, and ethnicity. Assessment, 6(2), 147–178. [DOI] [PubMed] [Google Scholar]
- Goetz CG, Fahn S, Martinez-Martin P, Poewe W, Sampaio C, Stebbins GT, ... LaPelle N (2007). Movement Disorder Society-sponsored revision of the Unified Parkinson’s Disease Rating Scale (MDS-UPDRS): Process, format, and clinimetric testing plan. Movement Disorders, 22(1), 41–47. [DOI] [PubMed] [Google Scholar]
- Goetz CG, Tilley BC, Shaftman SR, Stebbins GT, Fahn S, & Martinez-Martin P,… Movement Disorder Society UPDRS Revision Task Force. (2008). Movement Disorder Society- sponsored revision of the Unified Parkinson’s Disease Rating Scale (MDS-UPDRS): Scale presentation and clinimetric testing results. Movement Disorders, 23(15), 2129–2170. [DOI] [PubMed] [Google Scholar]
- Goldman JG, & Litvan I (2011). Mild cognitive impairment in Parkinson’s disease. Minerva Medica, 102(6), 441–459. [PMC free article] [PubMed] [Google Scholar]
- Goldman JG, Weis H, Stebbins G, Bernard B, & Goetz CG (2012). Clinical differences among mild cognitive impairment subtypes in Parkinson’s disease. Movement Disorders, 27(9), 1129–1136. [DOI] [PMC free article] [PubMed] [Google Scholar]
- Graham JM, & Sagar HJ (1999). A data-driven approach to the study of heterogeneity in idiopathic Parkinson’ s disease: Identification of three distinct subtypes. Movement Disorders, 14(1), 10–20. [DOI] [PubMed] [Google Scholar]
- Hely MA, Morris JG, Traficante R, Reid WG, O’Sullivan DJ, & Williamson PM (1999). The sydney multicentre study of Parkinson’s disease: Progression and mortality at 10 years. Journal of Neurology, Neurosurgery, and Psychiatry, 67(3), 300–307. [DOI] [PMC free article] [PubMed] [Google Scholar]
- Hoehn MM, & Yahr MD (1967). Parkinsonism: Onset, progression and mortality. Neurology, 17(5), 427–442. [DOI] [PubMed] [Google Scholar]
- Johns MW (1991). A new method for measuring daytime sleepiness: The Epworth sleepiness scale. Sleep, 14(6), 540–545. [DOI] [PubMed] [Google Scholar]
- Jung T, & Wickrama KAS (2008). An introduction to latent class growth analysis and growth mixture modeling. Social and Personality Psychology Compass, 1, 302–317. [Google Scholar]
- Kang J-H, Irwin DJ, Chen-Plotkin AS, Siderowf A, Caspell C, Coffey CS, ... Shaw LM (2013). Association of cerebrospinal fluid β-amyloid 1–42, T-tau, P-tau181, and a-synuclein levels with clinical features of drug-naive patients with early Parkinson disease. JAMA Neurology, 70(10), 1277–1287. [DOI] [PMC free article] [PubMed] [Google Scholar]
- Knight RG, Waal-Manning HJ, & Spears GF (1983). Some norms and reliability data for the State-Trait Anxiety Inventory and the Zung Self-Rating Depression scale. The British Journal of Clinical Psychology, 22(Pt 4), 245–249. [DOI] [PubMed] [Google Scholar]
- Kudlicka A, Clare L, & Hindle JV (2011). Executive functions in Parkinson’s disease: Systematic review and meta-analysis. Movement Disorders, 26(13), 2305–2315. [DOI] [PubMed] [Google Scholar]
- Lewis SJG, Foltynie T, Blackwell AD, Robbins TW, Owen AM, & Barker RA (2005). Heterogeneity of Parkinson’s disease in the early clinical stages using a data driven approach. Journal of Neurology, Neurosurgery, and Psychiatry, 76(3), 343–348. [DOI] [PMC free article] [PubMed] [Google Scholar]
- Litvan I, Aarsland D, Adler CH, Goldman JG, Kulisevsky J, Mollenhauer B, ... Weintraub D (2011). MDS task force on mild cognitive impairment in Parkinson’s disease: Critical review of PD-MCI. Movement Disorders, 26(10), 1814–1824. [DOI] [PMC free article] [PubMed] [Google Scholar]
- Litvan I, Goldman JG, Tröster AI, Schmand BA, Weintraub D, Petersen RC, ... Emre M (2012). Diagnostic criteria for mild cognitive impairment in Parkinson’s disease: Movement Disorder Society Task Force guidelines. Movement Disorders, 27(3), 349–356. [DOI] [PMC free article] [PubMed] [Google Scholar]
- Magidson J, & Vermunt JK (2002). Latent class models for clustering: A comparison with K-means. Canadian Journal of Marketing Research, 20(1), 37–44. [Google Scholar]
- Marder K, Leung D, Tang M, Bell K, Dooneief G, Cote L, ... Mayeux R (1991). Are demented patients with Parkinson’ s disease accurately reflected in prevalence surveys? A survival analysis. Neurology, 41(8), 1240–1243. [DOI] [PubMed] [Google Scholar]
- Masyn KE (2013). Latent class analysis and finite mixture modeling The Oxford handbook of quantitative methods in psychology, (Vol. 2). New York: Oxford University Press. [Google Scholar]
- Meireles J, & Massano J (2012). Cognitive Impairment and Dementia in Parkinson’s Disease: Clinical Features, Diagnosis, and Management. Frontiers in Neurology, 3, 1–15. [DOI] [PMC free article] [PubMed] [Google Scholar]
- Miller GA, & Chapman JP (2001). Misunderstanding analysis of covariance. Journal of Abnormal Psychology, 110(1), 40–48. [DOI] [PubMed] [Google Scholar]
- Mollenhauer B, Trenkwalder C, von Ahsen N, Bibl M, Steinacker P, Brechlin P, . Otto M (2006). Beta-amlyoid 1–42 and tau-protein in cerebrospinal fluid of patients with Parkinson’s disease dementia. Dementia and Geriatric Cognitive Disorders, 22(3), 200–208. [DOI] [PubMed] [Google Scholar]
- Montine TJ, Shi M, Quinn JF, Peskind ER, Craft S, Ginghina C, ... Zhang J (2010). CSF Aβ 42 and tau in Parkinson’s disease with cognitive impairment. Movement Disorders, 25(15), 2682–2685. [DOI] [PMC free article] [PubMed] [Google Scholar]
- Muthén BO, & Muthén LK (2000). Integrating person-centered and variable-centered analyses: Growth mixture modeling with latent trajectory classes. Alcoholism, Clinical and Experimental Research, 24(6), 882–891. [PubMed] [Google Scholar]
- Muthén LK, & Muthén BO (2010). Mplus User’ s Guide (6th ed.). Los Angeles, CA: Muthén & Muthén. [Google Scholar]
- Nalls MA, Keller MF, Hernandez DG, Chen L, Stone DJ, Singleton AB, & Parkinson’s Progression Marker Initiative (PPMI) investigators. (2016). Baseline genetic associations in the Parkinson’s Progression Markers Initiative (PPMI). Movement Disorders, 31(1), 79–85. [DOI] [PMC free article] [PubMed] [Google Scholar]
- Nasreddine ZS, Phillips NA, Bedirian V, Charbonneau S, Whitehead V, Collin I, ... Chertkow H (2005). The Montreal Cognitive Assessment, MoCA: A brief screening tool for mild cognitive impairment. Journal of the American Geriatrics Society, 53(4), 695–699. [DOI] [PubMed] [Google Scholar]
- Nylund KL, Asparouhov T, & Muthén BO (2007). Deciding on the number of classes in latent class analysis and growth mixture modeling: A Monte Carlo simulation study. Structural Equation Modeling, 14(4), 535–569. [Google Scholar]
- Pagano G, Ferrara N, Brooks DJ, & Pavese N (2016). Age at onset and Parkinson disease phenotype. Neurology, 86(15), 1400–1407. [DOI] [PMC free article] [PubMed] [Google Scholar]
- Parkinson Progression Marker Initiative. (2011). The Parkinson Progression Marker Initiative (PPMI). Progress in Neurobiology, 95(4), 629–635. [DOI] [PMC free article] [PubMed] [Google Scholar]
- Parnetti L, Tiraboschi P, Lanari A, Peducci M, Padiglioni C, D’Amore C,... Calabresi P (2008). Cerebrospinal fluid biomarkers in Parkinson’s Disease with dementia and dementia with lewy bodies. Biological Psychiatry, 64(10), 850–855. [DOI] [PubMed] [Google Scholar]
- Pereira JB, Svenningsson P, Weintraub D, Brønnick K, Lebedev A, Westman E, & Aarsland D (2014). Initial cognitive decline is associated with cortical thinning in early Parkinson disease. Neurology, 82(22), 2017–2025. [DOI] [PMC free article] [PubMed] [Google Scholar]
- Petersen RC (2004). Mild cognitive impairment as a diagnostic entity. Journal of Internal Medicine, 256(3), 183–194. [DOI] [PubMed] [Google Scholar]
- Petersen RC, Smith GE, Waring SC, Ivnik RJ, Tangalos EG, & Kokmen E (1999). Mild cognitive impairment: Clinical characterization and outcome. Archives of Neurology, 56(3), 303–308. [DOI] [PubMed] [Google Scholar]
- Post B, Speelman JD, Haan RJ, & CARPA-study group. (2008) Clinical heterogeneity in newly diagnosed Parkinson’s disease. Journal of Neurology, 255(5), 716–722. [DOI] [PubMed] [Google Scholar]
- Postuma RB, Aarsland D, Barone P, Burn DJ, Hawkes CH, Oertel W, & Ziemssen T (2012). Identifying prodromal Parkinson’s disease: Pre-motor disorders in Parkinson’s disease. Movement Disorders, 27(5), 617–626. [DOI] [PubMed] [Google Scholar]
- Reijnders JS, Ehrt U, Lousberg R, Aarsland D, & Leentjens AF(2009) The association between motor subtypes and psychopathology in Parkinson’s disease. Parkinsonism and Related Disorders, 15(5), 379–382. [DOI] [PubMed] [Google Scholar]
- Scheltens NME, Galindo-Garre F, Pijnenburg YAL, van der Vlies AE, Smits LL, Koene T, ... van der Flier WM (2016). The identification of cognitive subtypes in Alzheimer’s disease dementia using latent class analysis. Journal of Neurology, Neurosurgery, and Psychiatry, 87, 235–243. [DOI] [PubMed] [Google Scholar]
- Schwab RS, & England A (1969). Projection technique for evaluating surgery in Parkinson’ s disease In Gillingham F & Donaldson ML (Eds.), Third synopsium on Parkinson’s disease (pp. 152–157). Edinburgh: Livingston. [Google Scholar]
- Sheikh J, & Yesavage J (1986). Geriatric Depression Scale (GDS): Recent evidence and development of a shorter version In Brink T (Ed.), Clinical gerontology: A guide to assessment and intervention. (pp. 165–173). Philadelphia: The Haworth Press. [Google Scholar]
- Shi M, Bradner J, Hancock AM, Chung KA, Quinn JF, Peskind ER, ... Zhang J (2011). Cerebrospinal fluid biomarkers for Parkinson disease diagnosis and progression. Annals of Neurology, 69(3), 570–580. [DOI] [PMC free article] [PubMed] [Google Scholar]
- Siepel FJ, Brønnick KS, Booij J, Ravina BM, Lebedev AV, Pereira JB, ... Aarsland D (2014). Cognitive executive impairment and dopaminergic deficits in de novo Parkinson’s disease. Movement Disorders, 29(14), 1802–1808. [DOI] [PubMed] [Google Scholar]
- Simuni T, Caspell-Garcia C, Coffey C, Lasch S, Tanner C, Marek K, & PPMI Investigators. (2016). How stable are Parkinson’ s disease subtypes in de novo patients: Analysis of the PPMI cohort? Parkinsonism & Related Disorders, 28, 62–67. [DOI] [PubMed] [Google Scholar]
- Smith A (1982). Symbol digit modalities test: Manual. Los Angeles, CA: Western Psychological Services. [Google Scholar]
- Stebbins GT, Goetz CG, Burn DJ, Jankovic J, Khoo TK, & Tilley BC (2013). How to identify tremor dominant and postural instability/gait difficulty groups with the movement disorder society unified Parkinson’s disease rating scale: Comparison with the unified Parkinson’s disease rating scale. Movement Disorders, 28(5), 668–670. [DOI] [PubMed] [Google Scholar]
- Stern Y (2009). Cognitive Reserve. Neuropsychologia, 47(10), 2015–2028. [DOI] [PMC free article] [PubMed] [Google Scholar]
- Stiasny-Kolster K, Mayer G, Schäfer S, Möller JC, Heinzel- Gutenbrunner M, & Oertel WH (2007). The REM sleep behavior disorder screening questionnaire-A new diagnostic instrument. Movement Disorders, 22(16), 2386–2393. [DOI] [PubMed] [Google Scholar]
- Terrelonge M Jr., Marder KS, Weintraub D, & Alcalay RN (2016). CSF β-Amyloid 1–42 predicts progression to cognitive impairment in newly diagnosed Parkinson disease. Journal of Molecular Neuroscience: MN, 58(1), 88–92. [DOI] [PMC free article] [PubMed] [Google Scholar]
- Visser M, Marinus J, Stiggelbout AM, & Van Hilten JJ (2004). Assessment of autonomic dysfunction in Parkinson’s disease: The SCOPA-AUT. Movement Disorders, 19(11), 1306–1312. [DOI] [PubMed] [Google Scholar]
- Wechsler D (2008). Wechsler Adult Intelligence Scale (4th ed.). San Antonio, TX: Psychological Corporation. [Google Scholar]
- Weintraub D, Oehlberg KA, Katz IR, & Stern MB (2006). Test characteristics of the 15-item geriatric depression scale and Hamilton depression rating scale in Parkinson disease. The American Journal of Geriatric Psychiatry, 14(2), 169–175. [DOI] [PMC free article] [PubMed] [Google Scholar]
- Weintraub D, Simuni T, Caspell-Garcia C, Coffey C, Lasch S, Siderowf A, ... Sims JR (2015). Cognitive performance and neuropsychiatric symptoms in early, untreated Parkinson’s disease. Movement Disorders, 30(7), 919–927. [DOI] [PMC free article] [PubMed] [Google Scholar]
- Zhang J, Sokal I, Peskind ER, Quinn JF, Jankovic J, Kenney C,. Montine TJ (2008). CSF multianalyte profile distinguishes Alzheimer and Parkinson diseases. American Journal of Clinical Pathology, 129(4), 526–529. [DOI] [PMC free article] [PubMed] [Google Scholar]
