Abstract
Spontaneous, acute, complete thoracolumbar spinal cord injury (TL-SCI) in dogs frequently results in permanent deficits modeling chronic paralysis in people. Recovery of walking without recovery of sensation has been interpreted in dogs as reflexive spinal walking. To evaluate this assumption, this study characterized the electrophysiological status of motor and sensory long tracts and local reflex circuitry in dogs with absent recovery of sensation after acute TL-SCI and correlated findings to gait scores. Twenty dogs with permanent deficits after acute, clinically complete TL-SCI and 6 normal dogs were prospectively enrolled. Transcranial magnetic motor evoked potentials (MEPs), somatosensory evoked potentials (SSEPs), H-reflex, and F-waves were evaluated. Gait was quantified using an ordinal, open field scale (OFS) and treadmill-based stepping and coordination scores (SS, RI). MEP latency and H-reflex variables were compared between cases and controls. Associations between presence of MEPs, SSEPs, F-waves or H-reflex variables, and gait scores were determined. Pelvic limb MEPs were detected in 4 cases; no case had trans-lesional sensory conduction. Latency was longer and conduction velocity slower in cases than controls (pa = 0.0064, 0.0023, respectively). Three of 4 cases with pelvic limb MEPs were ambulatory, and gait scores (OFS, SS, RI) were each associated with presence of trans-lesional conduction (pa = 0.006, 0.006, 0.003, respectively). H threshold in cases (mean, 3.2mA ±2.5) was lower than controls (mean, 7.9mA ±3.1; pa = 0.011) and was inversely associated with treadmill-based scores, SS, and RI (pa = 0.042, 0.043, respectively). The association between pelvic limb MEPs and gait scores supports the importance of descending influence on regaining walking after severe TL-SCI in dogs rather than just activation of spinal walking. The inverse association between H-reflex threshold and gait scores implies that increases in motor neuron pool excitability might also contribute to motor recovery.
Keywords: : central pattern generator, disc extrusion, electrophysiology, motor evoked potentials
Introduction
Acute thoracolumbar spinal cord injury (TL-SCI) is common in dogs attributed to intervertebral disc herniation, trauma, and vascular events, among other causes.1–5 Functionally complete injuries, where no motor or pain perception remain below the level of injury, carry a fair to guarded prognosis depending on the cause and leave many dogs with permanent neurological deficits.1,6,7 The typical course of recovery starts with regaining pain perception, followed by motor and autonomic function. The failure to recover pain perception is taken as an indication of spinal cord transection. However, comparable to humans with SCI, complete anatomic transection is uncommon in dogs with spontaneous injuries and some dogs that never regain pain perception in their pelvic limbs or tail demonstrate remarkable, spontaneous changes in motor recovery over time.6,8–10 Reflexive pelvic limb stepping after experimental spinal cord transection, known as spinal walking, has previously been described in rodents, cats, and dogs, but the extent to which reflexive stepping movements develop in dogs after spontaneous injury and the degree to which it translates to functional walking is variable.6,11–19 Understanding why some dogs with persistent loss of pain perception recover effective walking while others do not may be important for therapy development and may provide important insights for people with SCI. Axons traversing the lesion epicenter have been demonstrated histopathologically in dogs with clinically complete lesions.8,20 In addition, intact motor and sensory conduction has been reported in this population.21
Finally, dogs that recover effective walking without recovery of pain perception may exhibit voluntary tail wagging in response to a positive stimulus.6 These data suggest that residual connections across the site of injury might provide some degree of descending, supraspinal input, resulting in enhanced motor recovery potential. Long tract conduction in this population, however, has not been examined in detail, and the role of alterations to local spinal cord circuitry post-injury is unknown. There has also been no attempt to correlate electrophysiological findings with functional recovery.
The aims of this study were to characterize the electrophysiological status of motor and sensory long tracts and local reflex circuitry in dogs with incomplete recovery from acute TL-SCI and to correlate findings to gait. We hypothesized that dogs with intact descending motor tracts would have higher gait scores and independent ambulation whereas evidence of increased motor neuron pool excitability would be associated with stepping movements, but not ambulation.
Methods
Control dogs
Clinically normal dogs were prospectively recruited to establish normal values for evoked potentials and H-reflex testing in our laboratory. Informed consent was obtained and examinations were conducted in accord with the North Carolina State University Institutional Animal Care and Use Committee (protocol #15-150-O). All dogs had to have a normal neurological examination and no history of neurological disease. Laboratory standards were already established for other electrophysiological parameters.
Case selection
Dogs were recruited prospectively from the patient pool of the Canine Spinal Cord Injury Program at the North Carolina State University (NCSU) College of Veterinary Medicine (Raleigh, NC). All dogs had chronic motor deficits ranging from paraplegia to ambulation with weakness and ataxia with absent or severely reduced hindlimb and tail pain perception (with or without urinary and fecal incontinence). In all dogs, signs were attributed to an acute TL-SCI (third thoracic to third lumbar spinal cord segments) based on neurological exam findings causing paralysis with loss of pain perception suffered a minimum of 3 months previously. Advanced imaging (computed tomography or magnetic resonance imaging) or definitive diagnosis were not required for inclusion. Exclusion criteria included muscle contractures or concurrent neuromuscular conditions that alter local reflexes or concurrent systemic conditions that would preclude safe sedation. Data collection on each dog included signalment, concomitant medications, diagnosis, lesion location, duration of injury, and past treatment of the SCI. Past therapy, including participation in interventional clinical trials, were noted, but not utilized, as exclusion criteria for the purposes of this project. Informed consent was obtained for all animals and examinations were conducted in accord with the NCSU Institutional Animal Care and Use Committee (protocol #15-004-01).
General neurological and gait evaluation
All cases underwent a neurological examination, including standard evaluation of gait, proprioception, spinal reflexes, and pain perception (Table 1). Pain perception was tested in standard fashion by squeezing vigorously (using the handle of bandage scissors or blunt-tipped forceps) over the phalanges of the hindlimbs and the base of the tail. Perception was defined as a conscious, behavioral response to the noxious stimulus such as turning around, vocalizing, or trying to bite. Medial and lateral digits were tested in all dogs. More extensive gait analysis was performed by one of the investigators (M.J.L.) assisted by a veterinary technician and consisted of walking each dog on a nonslip surface for approximately 3–5 min and on a treadmill for approximately 3 min with the speed adjusted to a comfortable walking pace for each individual (range, 0.6–1.0 mph). Dogs were allowed to acclimate to the hospital environment with these two handlers for 1–2 h preceding gait analysis. All examinations were videotaped. Gait was categorized as ambulatory (able to take at least 10 consecutive weight bearing steps unassisted) or not and quantified using an ordinal gait scale (open field score [OFS] ranging from 0 to 12).22,23 OFS greater than 4 corresponds to independent walking. Treadmill footage was scored using previously described measures of pelvic limb stepping (stepping score; SS) and coordination (regularity index; RI).24,25 Gait scores (OFS, SS, and RI) generated without sling support only were utilized for the purposes of this project.
Table 1.
Neurological Examination
| Exam parameter | Assessment |
|---|---|
| Gait | Ambulatory, nonambulatory paraparetic, paraplegic |
| Proprioceptive placing, hopping | Absent (0), delayed (1), normal (2) |
| Patellar, withdrawal reflex | Absent (0), decreased (1), normal (2), increased (3), clonus (4) |
| Hindlimb muscle tone | Decreased/flaccid, normal Increased |
| Cutaneous trunci reflex | Vertebral level of caudal border recorded |
| Hindlimb, tail nociception | Present or absent |
| Urination | Voluntary or involuntary |
Electrodiagnostic evaluation
Electrodiagnostic testing included evaluation of long tracts with transcranial magnetic stimulation (TMS) and recording of motor evoked potentials (MEPs) and cortical somatosensory evoked potentials (SSEPs) as well as evaluation of local reflex circuitry by H-reflex, F-waves, and M-waves. All procedures were performed by one of the investigators (M.J.L.) assisted by a veterinary technician. All cases were sedated with 1–4 μg/kg of intravenous (i.v.) dexmedetomidine (Dexdomitor; Orion Pharma, Espoo, Finland) and 0.1–0.2 mg/kg of i.v. butorphanol (Torbugesic; Zoetis, Kalamazoo, MI). The sedation protocol was adjusted, as needed, to ensure that dogs lay calmly. Testing was performed in lateral recumbency and was not initiated until dogs were relaxed and no longer reactive to mild tactile or auditory stimuli. The room was darkened and kept quiet throughout the duration of testing to facilitate continued relaxation through the testing period. Control dogs were sedated with the same protocol for TMS and H-reflex recordings. They were then anesthetized for SSEP recordings, which was required to ensure tolerance of the procedure in neurologically normal dogs (with normal sensation). The anesthetic protocol consisted of propofol induction (Propoflo 10 mg/mL; Abbott Laboratories, North Chicago, IL) and inhaled isoflurane for maintenance (VET ONE Fluriso; MWI, Boise, ID).
TMS was performed using a Magstim 2002 magnetic stimulator (Version 1.9; The Magstim Company Limited, Spring Gardens, UK) using a 50-mm double coil stimulator with a peak magnetic field strength of 2.5 Tesla. The center of the coil was positioned over the frontal bone of the skull on midline (at the vertex) in contact with the scalp and the current flow within each coil run in an antiparallel direction. Following a single discharge of the stimulator, MEPs were recorded from the left extensor carpi radialis muscle in the thoracic limb as a positive control and the left cranial tibial muscle in the pelvic limb by active, reference, and ground needle electrodes placed percutaneously in standard fashion and connected to an electromyograph (Nicolet VikingQuest; Natus Neurology Incorporated, Middleton, WI).26 Stimulation was repeated four times at supramaximal stimulus (90% stimulus intensity, 1-ms pulse duration, 100-μs rise time, and 2- to 10-Hz low-/high-frequency filters) for each limb. Presence (yes/no) and minimum latency of MEPs were recorded. Amplitude was not measured because of variability and the polyphasic nature of waveforms. MEPs were defined as present if detectable waveforms were identified in at least two of four trials at supramaximal intensity at a sensitivity of 200 μV/division or less and with a latency of 100 msec or less. Minimum latency was defined as the time interval measured in milliseconds from the stimulus onset to the first deflection from baseline of the resultant waveform. Path length was measured from stimulus site over the cortex following the anatomic neuronal pathway to the active electrode in the extensor carpi radialis or cranial tibial muscle and used to calculate conduction velocity.
SSEPs were recorded after electrical stimulation of the tibial nerve for the pelvic limb and ulnar nerve for the thoracic limb (as a positive control) with an electromyograph (Nicolet VikingQuest; Natus Neurology Incorporated). Active and reference stimulating needle electrodes were placed percutaneously adjacent to the tibial nerve just proximal to the tarsus and adjacent to the ulnar nerve near the carpus. Active recording needles were placed between the fifth and sixth lumbar vertebrae (L5–L6) at the level of the lamina (for recording cord dorsum potential following tibial nerve stimulation) and under the scalp overlying the contralateral somatosensory cortex (for recording of cortical potentials) with reference electrodes placed subcutaneously approximately 2 cm lateral to the L5–L6 recording electrode and just below the opening of the contralateral external ear canal, respectively.27,28 A ground electrode was placed subcutaneously between stimulating and recording needles. Stimulation was delivered at a frequency of 3.1 Hz, duration of 0.2 ms, and a stimulus intensity range from 1.2–25.0 mA with at least 200 (range, 200–400) averaged stimulations for the pelvic limb. The ulnar nerve was stimulated at the minimum intensity necessary to elicit a discernible evoked potential (range, 1.0–16.0 mA) in order to ensure patient tolerance. The presence (yes/no) and minimum latency of SSEPs and cord dorsum potentials were recorded. Minimum latency was defined as the time interval measured in milliseconds from the stimulus onset to the first deflection from baseline of the resultant waveform. Path length was measured from the recording site over the cortex following the anatomic neuronal pathway to the site of stimulation of the distal ulnar or tibial nerve. The path length from L5–L6 to the stimulation site for the tibial nerve was also recorded.
M-waves were then generated for sciatic/tibial nerve stimulating at the sciatic notch and just proximal to the tarsus and recording from the plantar interosseous muscles according to standard protocol.29,30 The stimulus had a duration of 0.1 ms and intensity was increased to supramaximal, which was defined as the intensity resulting in no further increase in wave amplitude. The maximum M-wave amplitude was measured from the largest negative to the largest positive peak and the motor nerve conduction velocity (MNCV) calculated with greater than 60 meters per second (m/s) considered normal.29 Cathode and anode of the stimulating electrodes located adjacent to the distal tibial nerve were reversed for generating F-waves with active, reference, and ground electrode placement unchanged. The tibial nerve was stimulated repetitively 16 times at a frequency of 2 Hz, duration of 0.1 ms, and supramaximal stimulus intensity producing M-waves followed by F-waves. The minimum latency of the F-waves, F-wave persistence (percentage of F-waves present in 10 stimulations), and the F-ratio [(latency F – latency M − 1)/ 2 × latency M] were recorded and compared to reference values.31,32 To record H-reflex from the plantar interosseous muscles, the distal tibial nerve was stimulated (duration, 1 ms; frequency, 0.2 Hz or less) starting at low intensity (machine minimum, 0.1 mA) and increasing gradually according to previously reported methods in dogs.33,34 The H-reflex threshold (stimulus intensity at which H-reflex first appeared) and minimum H-reflex latency were recorded. The maximum H-reflex amplitude and maximum M-wave amplitude (defined as the largest negative to the largest positive peak for each waveform) were each recorded during H-reflex testing and used to calculate the H:M ratio (maximum H amplitude/maximum M amplitude). “After discharges,” defined as electrical activity that persisted (sustained activity) or appeared randomly (episodic activity) after the onset of H-reflex and F-waves, were also noted. Sustained after discharge activity was classified into short duration (<10 ms for H-reflex, <20 ms for F-waves) versus long duration (>/ = 10 ms for H-reflex, >/ = 20 ms for F-waves). Episodic activity was categorized as present or absent for both F-wave and H-reflex recordings. Limb length, measured from the trochanteric notch to the lateral digit, was also recorded.
Statistical analysis
All analyses were performed using Jmp 12 Pro (SAS Institute Inc., Cary, NC). Presence or absence of MEPs, SSEPs, F-waves, H-reflex, after discharges, and ability to ambulate were each recorded and analyzed as categorical data. Summary statistics for continuous data (gait scores, MEP/SSEP latency, F-wave, and H-reflex variables) are reported as mean and standard deviation (SD) if normally distributed or median and range if not using the Wilk-Shapiro test for normality. The Wilcoxon rank-sum test was used to compare means for MEP latency and H-reflex variables between cases with SCI and the cohort of control dogs. Associations between presence of MEPs or SSEPs and ambulation status were established by constructing contingency tables and using Fisher's exact test. Associations between presence of MEPs or SSEPs and gait scores were determined using an ANOVA. Associations between F-wave variables or H-reflex variables and gait scores were determined by linear regression. p < 0.05 significant with adjusted p values calculated for multiple comparisons using Holm's correction calculator.
Results
Clinical information for controls
Six neurologically normal adult dogs were enrolled (Supplementary Data 1) (see online supplementary material at http://www.liebertpub.com). Median body weight was 12.5 kg (range, 6.3–41.0). Mean age was 6.5 years (SD, 2.7).
Clinical information and gait scoring in cases
Twenty dogs with SCI were enrolled (Supplementary Data 2) (see online supplementary material at http://www.liebertpub.com). There were 6 Dachshunds and 2 Dachshund/Chihuahua crosses with 10 additional breeds represented. Median body weight was 8.25 kg (range, 3.1–30.0). The mean age was 5.9 years (SD, 2.75), median duration of injury was 10.5 months (range, 4–84), and suspected or confirmed intervertebral disc disease was the most common diagnosis (14 dogs). In all dogs, neurolocalization was between the third thoracic and third lumbar spinal cord segments based on neurological exam findings. One dog had concurrent, less-pronounced deficits referable to the caudal cervical region. Eighteen dogs had no pelvic limb and tail pain perception whereas 2 dogs (1 ambulatory, 1 nonambulatory) had a severely blunted pain response, 1 with a subtle response in the medial toe of the left hindlimb and 1 with a subtle response in the medial and lateral toes of the left hindlimb. Seventeen dogs were urinary incontinent requiring manual bladder expression. No dogs demonstrated pain on spinal palpation. At the time of evaluation, 6 dogs were paraplegic, 9 were nonambulatory, but with motor, and 5 were ambulatory. The median OFS for all dogs was 1.5 (range, 0–9), median unsupported SS was 0 (range, 0–89), and median unsupported RI was 0 (range, 0.0–46.6). Information on individual dogs is presented in Supplementary Data 2 (see online supplementary material at http://www.liebertpub.com). Treatments at the time of acute injury were variable and included surgery (decompression ± stabilization) or medical management with or without formal rehabilitation therapy based on confirmed or suspected underlying cause. Eighteen dogs were not undergoing any specific or formal therapies at the time of enrollment in the reported study whereas 2 dogs participated in intermittent, formal rehabilitation sessions with a rehabilitation certified veterinarian.
Electrodiagnostic testing
Long tract and local reflex testing was feasible in all 20 cases and 6 controls. However, 1 case was removed from analysis of local circuitry and SSEPs because previous self-mutilation altered the anatomy, precluding stimulation and recording from the distal limb. Based on symmetrical signs on neurological examination and the duration of optimal sedation, all dogs were placed in right lateral recumbency and the left limbs were tested.
MEPs were present in all controls and cases when recording from the extensor carpi radialis muscle of the thoracic limb (positive control; Fig. 1A). MEPs were present in all controls and in 4 cases (including the 2 with blunted pain perception) when recording from the cranial tibial muscle of the pelvic limb, but were not detected in the remaining 16 cases (Fig. 1B,C). Mean minimum latency and conduction velocity values recorded from the cranial tibial muscle are presented for cases and controls (Table 2). Cases had significantly longer mean cranial tibial muscle MEP latency (p = 0.0064) and slower mean conduction velocity (p = 0.0023) compared to controls.
FIG. 1.
Representative MEP tracings in dogs with TL-SCI. (A) MEP recorded from extensor carpi radialis muscle; 5 mV/division, 10 ms/division. (B) No MEP recorded from cranial tibial muscle; 500 μV/division, 10 ms/division. (C) MEP recorded from cranial tibial muscle; 1 mV/division, 10 ms/division. MEP, motor evoked potential.
Table 2.
Summary Values for Pelvic Limb MEP, MNCV, and F- and H-Reflex Variables in Controls and Cases
| Mean (SD) or median (range) | |||
|---|---|---|---|
| Variable | Controls (n = 6) | Case (n = 19) | pa value |
| MEP latency | 28.5 ms (11.7) | 63 ms (18.2) (n = 4) | 0.0064* |
| MEP CV | 39.4 m/s (12) | 12 m/s (3.4) (n = 4) | 0.0023* |
| MNCV | NA | 75.2 m/s (9.7) | |
| F-wave latency | NA | 13.68 ms (3.9) | |
| F-ratio | NA | 1.55 (1.1–5.2) | |
| H-reflex latency | 14.4 ms (5.4) (n = 3) | 13.5 ms (9.7–21.6) | 0.98 |
| H-reflex threshold | 7.9 mA (3.1) (n = 3) | 3.2 mA (2.5) | 0.011* |
| H:M ratio | 0.15 (0.1) (n = 3) | 0.29 (0.2) | 0.3 |
Denotes significant difference (p < 0.05) between control and case dogs. pa refers to p value adjusted for multiple comparisons.
MEP, motor evoked potential; CV, conduction velocity; MNCV, motor nerve conduction velocity; SD, standard deviation; ms, milliseconds; m/s, meters per second; mA, milliamperes; NA, not applicable.
SSEPs and cord dorsum potentials were present following tibial stimulation in all controls under general anesthesia (external positive control; Fig. 2A). Cortical SSEPs were detected after ulnar stimulation in the 6 cases in which testing a forelimb under sedation alone was tolerated (Fig. 2B). Cord dorsum potentials were recorded over L5–L6 after tibial nerve stimulation in 18 cases (internal positive control; Fig. 2C). Testing was not performed in the case with past self-mutilation and in 1 other case because of limited duration of sedation. No cortical SSEPs were detected after tibial nerve stimulation in any cases (Fig. 2D).
FIG. 2.
Cortical SSEP and cord dorsum representative tracings. (A) Positive cortical SSEP following tibial nerve stimulation in a control. (B) Positive cortical SSEP following ulnar nerve stimulation in a case. (C) Cord dorsum potential following tibial nerve stimulation in a case. (D) Absent cortical SSEP following tibial nerve stimulation in the same case as (C). 5 ms/division, 0.5 μV/division. SSEP, somatosensory evoked potential.
Motor nerve conduction velocity (MNCV) was normal in all cases and ranged from 63 to 97 m/s (Table 2). F-waves were elicited in all cases (19 of 19), and F-wave persistence was 100% for each dog (Fig. 3; Table 2).
FIG. 3.
Superimposed, representative F-wave tracings in a case. Note the prolonged after discharges also visible to the right of the F-waves.
Three of 6 controls had a discernible H-reflex with amplitudes ranging from 0.5 to 1.2 mV (Table 2). In 2 of the 3 controls, H-reflexes were abolished at 15.4 and 18 mA (which were 9.6 and 0.8 mA, respectively, after the onset of M-waves), whereas they were not clearly abolished in 1 dog. In contrast, H-reflexes were elicited in all (19 of 19) cases with variable amplitudes ranging from 0.2 to 3.3 mV (Fig. 4; Table 2). In 12 cases, H-reflexes persisted and were not abolished at stimulation intensities up to 50 mA. In the remaining 7 cases, the intensity at which the H-reflexes disappeared was variable, but ranged from 6.0 to 34.7 mA (and was between 2.0 and 30 mA after the appearance of M-waves). H:M ratio was higher and H threshold was significantly lower in cases compared to controls (p = 0.3 and p = 0.011, respectively).
FIG. 4.
Representative H-reflex tracings in two cases. In both traces, H-reflexes appear before M waves are apparent, but note the variability of threshold intensity at the onset of H-reflex between the 2 cases. In both traces, H-reflexes are not clearly abolished as stimulus intensity is increased, although the upper limit of stimulation (50 mA) is not displayed.
After discharges were common in cases and noted after F-waves in 17 of 19 cases and after H-reflex in 16 of 19 cases (Figs. 3 and 4). They included sustained activity in which late waves appeared to persist for extended periods of variable durations and episodic, isolated electrical discharges. During F-wave testing, sustained activity was categorized as short duration (<20 ms) in 10 dogs, long duration (>/ = 20 ms) in 5 dogs, and not present in 4 dogs. During H-reflex testing, sustained after discharges of short duration (<10 ms) were present in 6 dogs, long duration (>/ = 10 ms) in 6 dogs, and absent in 7 dogs. Episodic electrical activity was noted in 15 and 7 dogs after F-waves and H-reflexes, respectively. Visible limb flexion and spasms were commonly noted in cases with after discharges. After discharges were not noted in controls.
Associations between electrodiagnostic variables, gait scores
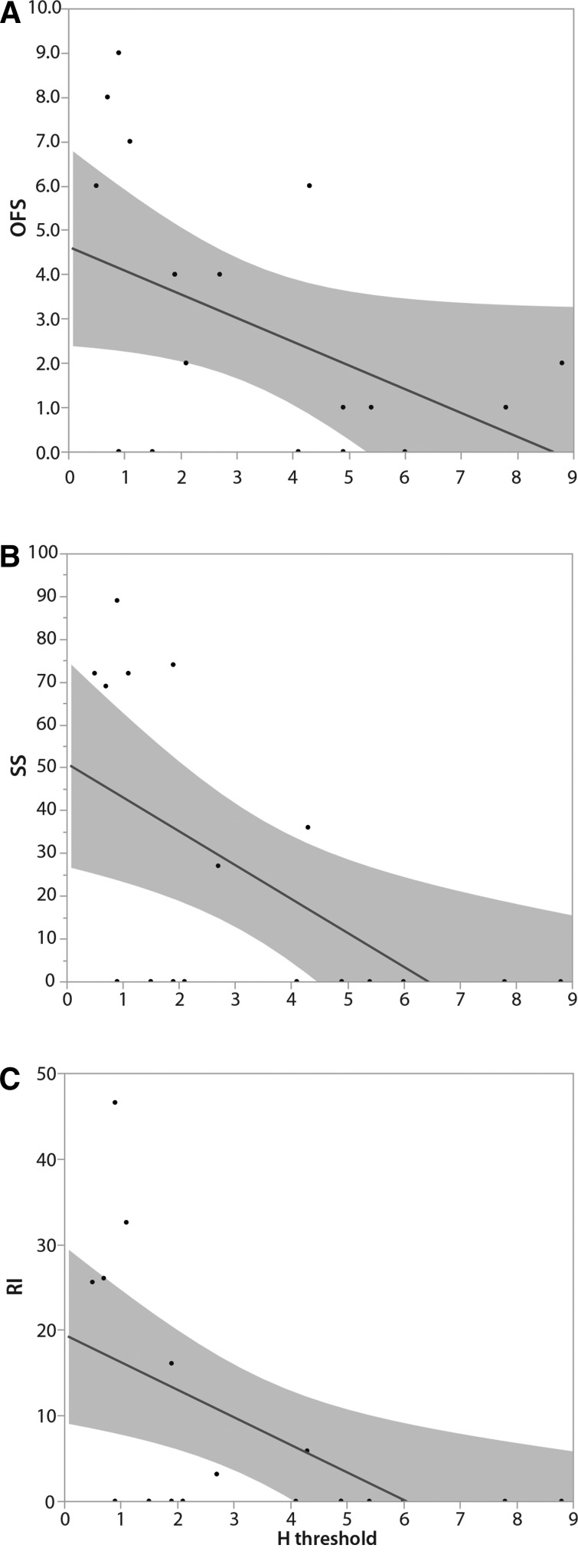
Comparison of gait scores between dogs with and without pelvic limb MEPs are outlined in Table 3. Ambulatory dogs were significantly more likely to have detectable trans-lesional spinal cord conduction (p = 0.032; pa = 0.032). Presence of pelvic limb MEPs was also significantly associated with higher OFS (p = 0.0026; pa = 0.006), SS (p = 0.0021; pa = 0.006), and RI (p = 0.0007; pa = 0.003). H-threshold was 1.5 mA (1.6) in ambulatory dogs compared to 3.8 mA (2.5) in nonambulatory dogs and is compared to gait scores in Figure 5. H-threshold was not significantly associated with walking (p = 0.12; pa = 0.12) or OFS (p = 0.056; pa = 0.11), but was inversely associated with SS (p = 0.011; pa = 0.042) and RI (p = 0.014; pa = 0.043). No significant relationships between H:M ratio, H-latency, or F-wave variables (F-latency, F-ratio), and gait scores were identified.
Table 3.
Associations between Pelvic Limb MEPs and Gait Scores
| MEP present | MEP absent | pa value | |
|---|---|---|---|
| No. Ambulatory | 3/4 (75%) | 2/16 (12.5%) | 0.032* |
| Median OFS | 6.5 (4–9) | 1 (0–8) | 0.006* |
| Median SS | 72 (27–89) | 0 (0–74) | 0.006* |
| Media RI | 29.1 (3.2–46.6) | 0 (0–26) | 0.003* |
Denotes significant difference (p < 0.05) between cases with present versus absent pelvic limb MEPs. pa refers to p value adjusted for multiple comparisons.
MEP, motor evoked potential; pa, adjusted p value; OFS, open field score; SS, stepping score; RI, regulatory index.
FIG. 5.
Associations between H threshold and gait scores in cases. (A) OFS and H threshold, R2 = 0.198, pa = 0.11. (B) SS and H threshold, R2 = 0.343, pa = 0.042. (C) RI and H threshold, R2 = 0.32, pa = 0.043. OFS, open field score; SS, stepping score; RI, regularity index; pa, corrected p value.
Discussion
This study examined dogs with severe SCI characterized by chronic loss of pain perception in the hindlimbs and tail. In this population, historically described as having clinically complete injuries, recovery of any motor function has been interpreted as exclusively reflexive, termed spinal walking. We demonstrated that trans-lesional motor conduction was present in 20% of the dogs in this study, confirming residual functional motor tract integrity despite permanent loss of pelvic limb pain perception. The presence of pelvic limb MEPs was associated with higher gait scores, implying functional significance of descending influence on the ability to regain walking post-injury in dogs labeled as having clinically complete lesions. H-reflex changes reflective of increased motor neuron excitability were also present in the same population of dogs, providing evidence of reorganization of the local spinal cord circuitry below the level of the lesion. The inverse association between H-threshold intensity and gait scores implies that plasticity of local circuitry, specifically motor neuron pool excitability, might be an additional contributing factor to the motor recovery of these dogs. These data represent a baseline from which to conduct further studies using dogs as a model of chronic paralysis and enhance our understanding of factors impacting functional recovery.
Dogs that present with clinically complete, acute TL-SCI (paraplegic with no pain perception below the level of the injury), have a variable outcome. The most common cause is acute, explosive disc herniation.4,5 When the herniation is treated by prompt decompressive surgery, approximately 58% recover pain perception, continence, and the ability to walk over 1–3 months post-operatively.6 Of the remaining dogs who never regain pain perception or continence, approximately one third recover ambulation over a more protracted period (mean, 9.5 months).6 For dogs suffering a traumatic, complete TL-SCI, the outcome is more guarded, with none recovering pain perception or autonomic function. Approximately 20% can recover ambulation in the absence of pain perception and continence; however, many dogs are euthanized at the time of injury, impacting these numbers.6 There is a widely held belief in veterinary neurology that, regardless of the cause of the SCI, delayed motor recovery exhibited by some of these dogs lacking pain perception is exclusively reflexive stepping, also known as spinal walking.
The interconnected network of neurons that produces such pelvic limb stepping is collectively referred to as the central pattern generator (CPG) and has been identified in multiple species, including dogs and people.18,35–40 The CPG is located in the lumbar cord, and the integrity and subsequent reorganization of this region after experimental injury has been suggested to be crucial and sufficient for regaining locomotion.18 Indeed, experimental transection of the TL spinal cord resulted in recovery of independent ambulation in 7 of 9 dogs by an average of 4 months after the induced injury and plateaued by 6 months.15 Subsequent retransection cranial to the original lesion in 2 dogs did not affect their motor function, providing strong evidence of functional spinal walking in dogs.15 However, the lack of motor recovery in many dogs with severe, spontaneous injuries suggests that there are important differences between experimental and naturally occurring injury. Understanding the basis of any degree of spontaneous motor recovery in dogs lacking pain perception therefore is integral to maximizing the utility of naturally occurring SCI in dogs as a model of human paralysis.
Our electrophysiological data demonstrated clearly that dogs with no pain perception may have intact motor pathways. Moreover, we demonstrated that the presence of pelvic limb MEPs was significantly associated with independent ambulation and higher gait scores. This provides strong evidence that intraspinal motor networks located below the site of injury are not completely disconnected from all supraspinal influence, and that this communication might play a role in motor recovery. Intact sensory and motor conduction has been previously identified in some chronically paralyzed dogs, although its relationship to recovery of function has not been specifically evaluated.21 The noninvasive methods utilized to evaluate long tract integrity very likely underestimated the number of dogs with intact connections and, among the individual dogs with recordable MEPs, did not allow quantification of the extent of residual trans-lesional connections. Indeed, it has previously been shown that in the acute phase of injury, evoked potentials are abolished by much less-severe SCI, with MEPs present in only 50% of ambulatory dogs with thoracolumbar lesions, consistent with studies in people and rodents.26,27,41–45 Although sensitivity appears to increase in the chronic phase, the distance between the site of stimulation (TMS) or recording (SSEPs) and the underlying neural structures is limiting.26,27 Cortical evoked potentials were more readily recorded in dogs and monkeys after stimulation at the level of the dura compared to distal tibial nerve stimulation by percutaneously placed electrodes.46 This suggests that stimulating or recording evoked potentials by electrodes placed epidurally could facilitate the identification of additional chronic SCI dogs with residual trans-lesional connections.
Motor conduction traversing the site of injury in dogs labeled as having functionally complete injuries shares some overlap with the identification of “discomplete” injuries in people.47 In these patients, with injuries designated as motor complete, additional, more-nuanced clinical evaluation shows a degree of volitional control supportive of previously unrecognized residual connections across the site of injury.48 People with neuropathologically incomplete, yet clinically complete (by standard clinical examination), SCI have also been demonstrated.9,10 Indeed, complete physical transection of the spinal cord is quite rare.8,10,20 Our findings underscore lesion heterogeneity with regard to severity and continuity, even among the most severely affected individuals, and raise the possibility that our interpretation of dogs and people with so-called complete injuries might warrant recalibration.
The lack of sensory recovery in our cases is mirrored by the absence of electrophysiological evidence for intact ascending tracts in any of the dogs in spite of positive internal and external controls. Granger and colleagues reported cortical SSEPs in 12 of 34 (35%) of dogs labeled as clinically complete.21 The difference in results could reflect technical differences or simply that their population of dogs had less-severe injuries than the population examined here.
F-waves and H-reflexes have been reported in normal dogs and have been used to evaluate spasticity in experimental SCI.31,33,34,49 However, they have not been previously reported specifically in dogs with chronic disability after spontaneous SCI. Both of these tests evaluate overlapping aspects of local reflex circuitry and, assuming normal peripheral nerve function based on normal motor nerve conduction velocity studies, they specifically provide information at the level of the spinal cord on alpha motor neurons. H-reflex and, to a lesser extent, F-waves have been used in humans with SCI as measures of motor neuron excitability, most often in the context of post-injury spasticity.50–57 F-wave variables in the dogs of this study fell within the normal range for our laboratory and published reference values.31,32 However, H-reflexes were elicited in all cases, but only 50% of controls. This is consistent with testing in people with upper motor neuron dysfunction secondary to SCI in which H-reflexes are more readily elicited and present in more widely distributed muscles affected by the injury compared to testing in healthy controls.58 H:M ratio is the primary variable analyzed for H-reflexes, with an increasing ratio (attributed to increasing H-reflex amplitude) suggestive of greater motor neuron pool excitability.50,55,59 The threshold to elicit the H-reflex has also been shown to be reduced in humans and cats with chronic SCI, again supportive of increased excitability.53,56
The trends were similar in our study where the H:M ratio was higher and the threshold for H-reflexes was significantly lower in cases compared to controls. These results provide indirect support for reorganization of local circuitry post-injury in dogs, which is consistent with the histologically confirmed plasticity in spinal cord connections below the level of a lesion in a rodent model of SCI.60 The inability to demonstrate a significant increase in H:M ratio in our cases is consistent with reported overlap between normal and SCI humans and could reflect the low number of dogs tested, prevalence and severity of spasticity, muscle group tested, and influence of patient relaxation.50,61 Low stimulus frequency, submaximal intensity, and long stimulus duration were utilized to ensure H-reflexes and not F-waves were being recorded. However, it is possible that H-reflexes were contaminated by F-waves or muscle artifact at higher intensities, especially given that the H-reflex was not clearly abolished in 12 dogs even at supramaximal stimulation, further complicating consistent amplitude measurements and H:M calculations.
H-threshold intensity was inversely associated with treadmill-based stepping and coordination scores, suggesting that dogs with increased motor neuron pool excitability have greater stepping ability. The presence and severity of after discharges when recording F-waves and H-reflexes also might provide information on excitability of the reflex circuitry post-injury, but the exact neural generators and relevance of this activity require further study. Recent work in people using epidural stimulation to generate volitional movements in clinically complete patients has demonstrated that increasing the excitability of the motor neuron pool apparently increases its responsiveness to residual descending influence.62 The fact that cases with more stepping movement had lower H-reflex thresholds suggests that the same phenomenon may be at work in these dogs. The ability to noninvasively quantify altered excitability of local circuitry in dogs after severe injury might provide a useful baseline for interventional studies warranting additional investigation of the H-reflex in a larger number of chronically paralyzed dogs.
Overall, our findings describe the descending motor tract connectivity and motor neuron excitability in dogs, providing a more complete description as a model of SCI. Further understanding of the complex interactions and plasticity between long tracts and local circuitry post-injury and their relationship to functional recovery is indicated. The ability to subcategorize electrophysiologically might facilitate choosing appropriate candidates for testing specific interventions aimed at manipulating long tracts or local circuitry with the goal of improving outcomes in severe SCI.
Supplementary Material
Author Disclosure Statement
No competing financial interests exist.
Acknowledgment
The first author was funded by T32 OD011130 - Comparative Medicine and Translational Research Training Program. The work was funded by the North Carolina State University Research and Innovation Seed Funding Program and by T32 OD011130.
References
- 1.Bartholomew K.A., Stover K.E., Olby N.J., and Moore S.A. (2016). Clinical characteristics of canine fibrocartilaginous embolic myelopathy (FCE): a systematic review of 393 cases (1973–2013). Vet. Rec. 179, 650. [DOI] [PubMed] [Google Scholar]
- 2.Bray J.P., and Burbidge H.M. (1998). The canine intervertebral disk part one: structure and function. J. Am. Anim. Hosp. Assoc. 34, 55–63 [DOI] [PubMed] [Google Scholar]
- 3.DiFazio J., and Fletcher D.J. (2013). Updates in the management of the small animal patient with neurological trauma. Vet. Clin. Small Anim. 43, 915–940 [DOI] [PubMed] [Google Scholar]
- 4.Granger N., and Carwardine D. (2014). Acute spinal cord injury tetraplegia and paraplegia in small animals. Vet. Clin. Small Anim. 44, 1131–1156 [DOI] [PubMed] [Google Scholar]
- 5.Olby N.J. (2010). The pathogenesis and treatment of acute spinal cord injuries in dogs. Vet. Clin. Small Anim. 40, 791–807 [DOI] [PubMed] [Google Scholar]
- 6.Olby N.J., Levine J., Harris T., Muñana K., Skeen T., and Sharp N. (2003). Long-term functional outcome of dogs with severe injuries of the thoracolumbar spinal cord: 87 cases (1996–2001). J. Am. Vet. Med. Assoc. 222, 762–769 [DOI] [PubMed] [Google Scholar]
- 7.Park E.H., White G.A., and Tieber L.M. (2012). Mechanisms of injury and emergency case of acute spinal cord injury dogs and cats. J. Vet. Emerg. Crit. Care 22, 160–178 [DOI] [PubMed] [Google Scholar]
- 8.Griffiths I.R. (1978). Spinal cord injuries: a pathological study of naturally occurring lesions in the dog and cat. J. Comp. Path. 88, 303–315 [DOI] [PubMed] [Google Scholar]
- 9.Hayes K.C., and Kakulas B.A. (1997). Neuropathology of human spinal cord injury sustained in sports-related activities. J. Neurotrauma 14, 235–248 [DOI] [PubMed] [Google Scholar]
- 10.Kakulas B.A., and Kaelan C. (2015). The neuropathological foundations for restorative neurology of spinal cord injury. Clin. Neurol. Neurosurg. 129, Suppl. 1, S1–S17 [DOI] [PubMed] [Google Scholar]
- 11.Barbeau H., and Rossignol S. (1987). Recovery of locomotion after chronic spinalization in the adult cat. Brain Res. 412, 84–95 [DOI] [PubMed] [Google Scholar]
- 12.Belanger M., Drew T., Provencher J., and Rossignol S. (1996). A comparison of treadmill locomotion in adult cats before and after spinal transection. J. Neurophysiol. 76, 471–491 [DOI] [PubMed] [Google Scholar]
- 13.Blauch B. (1977). Spinal reflex walking in the dog. Vet. Med. Small Anim. Clin. 72, 169–173 [PubMed] [Google Scholar]
- 14.Cohen-Adad J., Martinez M., Delivet-Mongrain H., and Rossignol S. (2014). Recovery of locomotion after partial spinal cord lesions in cats: assessment using behavioral, electrophysiological and imaging techniques. Acta Neurobiol. Exp. 74, 142–157 [DOI] [PubMed] [Google Scholar]
- 15.Handa Y., Naito A., Watanabe S., Komatsu S., and Shimizu Y. (1986). Functional recovery of locomotive behavior in the adult spinal dog. Tohoku J. Exp. Med. 148, 373–384 [DOI] [PubMed] [Google Scholar]
- 16.Ichiyama R.M., Gerasimenko Y.P., Zhong H., Roy R.R., and Edgerton V.R. (2005). Hindlimb stepping movements in complete spinal rats induced by epidural spinal cord stimulation. Neurosci. Lett. 383, 339–344 [DOI] [PubMed] [Google Scholar]
- 17.Naito A., Shimizu Y., and Handa Y. (1990). Analyses of airstepping movement in adult spinal dogs. Tohoku J. Exp. Med. 162, 41–48 [DOI] [PubMed] [Google Scholar]
- 18.Rossignol S., Bouyer L., Barthelemy D., Langlet C., and Leblond H. (2002). Recovery of locomotion in the cat following spinal cord lesions. Brain Res. Rev. 40, 257–266 [DOI] [PubMed] [Google Scholar]
- 19.Shah P.K., Gerasimenko Y., Shyu A., Lavrov I., Zhong H., Roy R.R., and Edgerton V.R. (2012). Variability in step training enhances locomotor recovery after a spinal cord injury. Eur. J. Neurosci. 36, 2054–2062 [DOI] [PMC free article] [PubMed] [Google Scholar]
- 20.Smith P.M., and Jeffery N.D. (2006). Histological and ultrastructural analysis of white matter damage after naturally-occurring spinal cord injury. Brain Pathol. 16, 99–109 [DOI] [PMC free article] [PubMed] [Google Scholar]
- 21.Granger N., Blamires H., Franklin R., and Jeffery N. (2012). Autologous olfactory mucosal cell transplants in clinical spinal cord injury: a randomized double-blinded trial in a canine translational model. Brain 135, 3227–3237 [DOI] [PMC free article] [PubMed] [Google Scholar]
- 22.Olby N.J., De Risio L., Muñana K.R., Wosar M.A., Skeen T.M., Sharp N.J., and Keene B.W. (2001). Development of a functional scoring system in dogs with acute spinal cord injuries. Am. J. Vet. Res. 62, 1624–1628 [DOI] [PubMed] [Google Scholar]
- 23.Olby N.J., Muguet-Chanoit A.C., Lim J.H., Davidian M., Mariani C.L., Freeman A.C., Platt S.R., Humphrey J., Kent M., Giovanella C., Longshore R., Early P.J., and Munana K.R. (2016). A placebo-controlled, prospective randomized clinical trial of polyethylene glycol and methylprednisolone sodium succinate in dogs with intervertebral disk herniation. J. Vet. Intern. Med. 30, 206–214 [DOI] [PMC free article] [PubMed] [Google Scholar]
- 24.Koopmans G.C., Deumens R., Honig W.M., Hamers F.P., Steinbusch H.W., and Joosten E.A. (2005). The assessment of locomotor function in spinal cord injured rats: the importance of objective analysis of coordination. J. Neurotrauma 22, 214–225 [DOI] [PubMed] [Google Scholar]
- 25.Olby N.J., Lim J.H., Babb K., Bach K, Domaracki C., Williams K., Griffith E., Harris T., and Muguet-Chanoit A. (2014). Gait scoring in dogs with thoracolumbar spinal cord injuries when walking on a treadmill. BMC Vet. Res. 10, 58. [DOI] [PMC free article] [PubMed] [Google Scholar]
- 26.Sylvestre A.M., Cockshutt J.R., Parent J.M., Brooke J.D., Holmberg D.L., and Partlow G.D. (1993). Magnetic motor evoked potentials for assessing spinal cord integrity in dogs with intervertebral disc disease. Vet. Surg. 22, 5–10 [DOI] [PubMed] [Google Scholar]
- 27.Poncelet L., Michaux C., and Balligand M. (1993). Somatosensory potentials in dogs with naturally acquired thoracolumbar spinal cord disease. Am. J. Vet. Res. 54, 1993–1941 [PubMed] [Google Scholar]
- 28.Strain G.M., Taylor D.S., Graham M.C., and Kamerling S.G. (1988). Cortical somatosensory-evoked potentials in the horse. Am. J. Vet. Res. 49, 1869–1872 [PubMed] [Google Scholar]
- 29.Lee A.F., and Bowen J.M. (1970). Evaluation of motor nerve conduction velocity in the dog. Am. J. Vet. Res. 31, 1361–1366 [PubMed] [Google Scholar]
- 30.Walker T.L., Redding R.W., and Braund K.G. (1979). Motor nerve conduction velocity and latency in the dog. Am. J. Vet. Res. 40, 1433–1439 [PubMed] [Google Scholar]
- 31.Poncelet L., and Balligand M. (1991). Nature of the late potentials and F-ratio values in dogs. Res. Vet. Sci. 51, 1–5 [DOI] [PubMed] [Google Scholar]
- 32.Steiss J.E. (1984). Linear regression to determine the relationship between F-wave latency and limb length in control dogs. Am. J. Vet. Res. 45, 2649–2650 [PubMed] [Google Scholar]
- 33.Knecht C.D., Redding R., and Hyams D. (1983). Stimulation techniques and response characteristics of the M and F waves and H reflex in dogs. Vet. Res. Comm. 6, 123–132 [DOI] [PubMed] [Google Scholar]
- 34.Sims M.H., and Selcer R.R. (1981). Occurrence and evaluation of a reflex-evoked muscle potential (H reflex) in the normal dog. Am. J. Vet. Res. 42, 975–983 [PubMed] [Google Scholar]
- 35.Bussel B., Roby-Brami A., Neris O., and Yakovleff A. (1996). Evidence for a spinal stepping generator in man. Paraplegia 34, 91–92 [DOI] [PubMed] [Google Scholar]
- 36.Calancie B., Needham-Shropshire B., Jacobs P., Willer K., Zych G., and Green BA. (1994). Involuntary stepping after chronic spinal cord injury: evidence for a central rhythm generator for locomotion in man. Brain 117, 1143–1159 [DOI] [PubMed] [Google Scholar]
- 37.Gerasimenko Y.P., Makarovskii A.N., and Nikitin O.A. (2002). Control of locomotor activity in humans and animals in the absence of supraspinal influences. Neurosci. Behav. Physiol. 32, 417–423 [DOI] [PubMed] [Google Scholar]
- 38.Guertin P.A. (2009). The mammalian central pattern generator for locomotion. Br. Res. Rev. 62, 45–56 [DOI] [PubMed] [Google Scholar]
- 39.Guertin P.A. (2014). Preclinical evidence supporting the clinical development of central pattern generator-modulating therapies for chronic spinal cord-injured patients. Front. Hum. Neurosci. 8, 272. [DOI] [PMC free article] [PubMed] [Google Scholar]
- 40.Sherrington C.S. (1910). Flexion-reflex of the limb, crossed extension-reflex and reflex stepping and standing. J Physiol 40, 28–121 [DOI] [PMC free article] [PubMed] [Google Scholar]
- 41.Guo L., Li Y., Han R., and Gelb A.W. (2016). The correlation between recordable MEPs and motor function during spinal surgery for resection of thoracic spinal cord tumor. J. Neurosurg. Anesthesiol. November 15. doi: 10.1097/ANA.0000000000000386. [Epub ahead of print] [DOI] [PubMed] [Google Scholar]
- 42.Iyer S., Maybhate A., Presacco A., and All A.H. (2010). Multi-limb acquisition of motor evoked potentials and its application in spinal cord injury. J. Neurosci. Methods 193, 210–226 [DOI] [PubMed] [Google Scholar]
- 43.Min J., Kim J.Y., Seo C.H., Jeon S.R., Choi K.H., and Jeong J.H. (2014). Changes of the electrophysiological study in dogs with acute spinal cord injury. Korean J. Neurotrauma 10, 1–5 [DOI] [PMC free article] [PubMed] [Google Scholar]
- 44.Redondo-Castro E., Navarro X., and Garcia-Alias G. (2016). Longitudinal evaluation of residual cortical and subcortical motor evoked potentials in spinal cord injured rats. J. Neurotrauma 33, 907–916 [DOI] [PubMed] [Google Scholar]
- 45.Travlos A., Pant B., and Eisen A. (1992). Transcranial magnetic stimulation for detection of preclinical cervical spondylotic myelopathy. Arch. Phys. Med. Rehabil. 73, 442–446 [PubMed] [Google Scholar]
- 46.Kaschner A.G., Sandmann W., and Larkamp H. (1984). Percutaneous flexible bipolar epidural neuroelectrode for spinal cord stimulation. J. Neurosurg. 60, 1317–1319 [DOI] [PubMed] [Google Scholar]
- 47.Dimitrijevic M.R. (1987). Neurophysiology in spinal cord injury. Paraplegia 25, 205–208 [DOI] [PubMed] [Google Scholar]
- 48.McKay W.B., Lim H.K., Priebe M.M., Stokic D.S., and Sherwood A.M. (2004). Clinical neurophysiological assessment of residual motor control in post-spinal cord injury paralysis. Neurorehabil. Neural Repair 18, 144–153 [DOI] [PubMed] [Google Scholar]
- 49.Machida M., Sato K., Asai T., and Okada A. (1983). An experimental study of the F-wave in the dog: effects of spasticity and central muscle relaxant. Electromyogr. Clin. Neurophysiol. 23, 353–360 [PubMed] [Google Scholar]
- 50.Angel R.W., and Hofmann W.W. (1963). The H reflex in normal, spastic, and rigid subjects. Arch. Neurol. 9, 591–596 [DOI] [PubMed] [Google Scholar]
- 51.Espiritu M.G., Lin C., and Burke D. (2003). Motoneuron excitability and the F wave. Muscle Nerve 27, 720–727 [DOI] [PubMed] [Google Scholar]
- 52.Fox J.E., and Hitchcock E.R. (1987). F wave size as monitor of motor neuron excitability: the effect of deafferentation. J. Neurol. Neurosurg. Psychiatry 50, 453–459 [DOI] [PMC free article] [PubMed] [Google Scholar]
- 53.Languth H.W., Teasdall R.D., and Magladery J.W. (1952). Electrophysiological studies of reflex activity in patients with lesions of the nervous system. Bull. Johns Hopkins Hosp. 91, 257–266 [PubMed] [Google Scholar]
- 54.Leis A.A., Zhou H.H., Mehta M., Harkey H.L., and Paske W.C. (1996). Behavior of the H-reflex in humans following mechanical perturbation or injury to rostral spinal cord. Muscle Nerve 19, 1373–1382 [DOI] [PubMed] [Google Scholar]
- 55.Little J.W., and Halar E.M. (1985). H-reflex changes following spinal cord injury. Arch. Phys. Med. Rehabil. 66, 19–22 [PubMed] [Google Scholar]
- 56.Magladery J.W., and Teasdall R.D. (1958). Stretch reflexes in patients with spinal cord lesions. Bull. Johns Hopkins Hosp. 103, 236–241 [PubMed] [Google Scholar]
- 57.Taylor S., Asby P., and Verrier M. (1984). Neurophysiological changes following traumatic spinal lesions in man. J. Neurol. Neurosurg. Psychiatry 47, 1102–1108 [DOI] [PMC free article] [PubMed] [Google Scholar]
- 58.Fisher M.A. (1992). H reflexes and F waves: physiology and clinical indications. Muscle Nerve 15, 1223–1233 [DOI] [PubMed] [Google Scholar]
- 59.Voerman G.E., Gregoric M., and Hermens H.J. (2005). Neurophysiological methods for the assessment of spasticity: the Hoffman reflex, the tendon reflex, and the stretch reflex. Disabil. Rehabil. 27, 33–68 [DOI] [PubMed] [Google Scholar]
- 60.Van den Brand R., Heutschi J., Barraud Q., DiGiovanna J., Bartholdi K., Huerlimann M., Friedli L., Vollenweider I., Moraud E., Duis S., Dominici N., Micera S., Musienko P., and Courtine G. (2012). Restoring voluntary control of locomotion after paralyzing spinal cord injury. Science 336, 1182–1185 [DOI] [PubMed] [Google Scholar]
- 61.Sehgal N., and McGuire J.R. (1998). Beyond ashworth electrophysiologic quantification of spasticity. Electromyography 9, 949–979 [PubMed] [Google Scholar]
- 62.Angeli C.A., Edgerton V.R., Gerasimenko Y.P., and Harkema S.J. (2014). Altering spinal cord excitability enables voluntary movements after chronic complete paralysis in humans. Brain 137, 1394–1409 [DOI] [PMC free article] [PubMed] [Google Scholar]
Associated Data
This section collects any data citations, data availability statements, or supplementary materials included in this article.





