Abstract
A novel series of new etodolac hydrazide derivatives, 1-[2-(1,8-diethyl-1,3,4,9-tetrahydropyrano[3,4-b]indole-1-yl)acetyl]-4-alkyl/aryl thiosemicarbazides [3a-h] have been synthesized in this study. The structures of the new compounds were determined by spectral (FT-IR, 1H-NMR, 13C-NMR and LC-MS) methods. Inhibition of hepatitis C virus NS5B RNA dependent RNA polymerase activity by etodolac thiosemicarbazides was evaluated in vitro by primer dependent elongation assays. The most active compounds of this series were 3a (SGK 224), 3d (SGK 227) and 3e (SGK 229) with IC50 values of 18.7 μM, 29.2 μM and 16.8 μM, respectively. Binding mode investigations of the most active compound 1-[2-(1,8-diethyl-1,3,4,9-tetrahydropyrano[3,4-b]indole-1-yl)acetyl]-4-allyl thiosemicarbazide (3e) suggested that TP-II of HCV NS5B polymerase may be the potential binding site for etodolac thiosemicarbazides and provided clues for modifications to improve the potency of etodolac derivatives.
Keywords: thiosemicarbazide; etodolac; Hepatit C NS5B polymerase; pyrano[3,4-b]indole
Etodolak tiyosemikarbazitleri: Yeni bir sınıf hepatit C virüsü NS5B polimeraz inhibitörleri
Bu çalışmada bir seri yeni etodolak hidrazit türevleri olan 1-[2-(1,8-dietil-1,3,4,9-tetrahidropirano[3,4-b]indol-1-il)asetil]-4-alkil/aril tiyosemikarbazitler (3a-h) sentezlenmiştir. Sentezlenmiş olan bu yeni bileşikler spektral metotlar (FT-IR, 1H-NMR, 13C-NMR ve LC-MS) ile tanımlanmışlardır. Etodolak tiyosemikarbazitlerinin Hepatit C NS5B RNA bağımlı RNA polimeraz aktivitesi inhibisyonu New Jersey Medical School, UMDNJ Department of Biochemistry and Molecular Biology bölümünde değerlendirilmiştir. En aktif olanları, sırasıyla 18.7 μM, 29.2 μM ve 16.8 μM IC50 değerlerine sahip olan 3a (SGK224), 3d (SGK 227) ve 3e (SGK229) bileşikleridir. Bileşik 1-[2-(1,8-dietil-1,3,4,9-tetrahidropirano[3,4-b]indol-1-il)asetil]-4-allil tiyosemikarbazit (3e)’nin enzime bağlanma bölgeleri incelendiğinde, HCV NS5B polimerazın TP-II bölgesinin etodolak tiyosemikarbazitleri için potansiyel bağlanma bölgesi olabileceği düşünülmüş, dolayısıyla bu sonuçlar etodolak türevlerinin geliştirilmesine olanak sağlamaktadır.
ANAHTAR KELİMELER: tiyosemikarbazit; etodolak; hepatit C NS5B polimeraz; pirano[3,4-b]indol
INTRODUCTION
Etodolac (R,S) 2-[1,8-diethyl-1,3,4-tetrahydropyrano (3,4-b)indole-1-yl]acetic acid is a nonsteroidal antiinflammatory agent with analgesic and antipyretic properties. Etodolac has inhibitory effect on cyclooxygenase-2 (COX-2) activation (1). It is used in the treatment of osteoarthritis, rheumatoid arthritis, ankylosing spondylitis, and other rheumatic disorders. Its pharmacological activities are related to inhibition of prostaglandin biosynthesis at the site of inflammation and pain. Etodolac has pyrano[3,4-b]indole basic skeleton. In recent studies, compounds, containing the pyrano[3,4-b]indole scaffold have been reported to exhibit anti-hepatitis C virus NS5B polymerase activity (2,3). The hepatitis C virus (HCV) is a significant global human pathogen. The HCV NS5B RNAdependent RNA polymerase (RdRp) is crucial for replicating the viral RNA genome and a promising target for new approaches towards treatment of hepatitis C, because the liver cell does not contain any protein with a similar activity.
Gopalsamy et al. previously reported 1,3,4,9-tetrahydropyrano [3,4-b] indole derivatives as potent and selective HCV NS5B inhibitors (4). Since etodolac contain 1,3,4-tetrahydropyrano[3,4-b] indole tricyclic heterocyclic scaffold similar to that present in Gopalsamy’s compounds (4), we decided to explore thiosemicarbazide derivatives of etodolac as potential anti-NS5B agents. The thiosemicarbazide modification at the carboxyl center of etodolac was chosen based on its ability to generate a valuable building block for the synthesis of five-membered heterocycles. Therefore, the thiosemicarbazide is a highly efficient pharmacophore in molecular design. On the other hand, various derivatives of thiosemicarbazide have been reported to possess interesting biological activities such as antimicrobial (5–8), anticonvulsant (9), antibacterial (10–12), antifungal (13–17), anti-inflammatory (18,19) antiviral (20) and anticancer activities (21–24). In this study, we have explored the therapeutic potential of the thiosemicarbazide scaffold against HCV NS5B. The inhibitory potency of thiosemicarbazide against HCV replicase has not been examined to-date.
In continuation of our interest in the chemical and biological properties of etodolac derivatives as well as based on our previous studies on the synthesis of biologically active etodolac hydrazide derivatives, namely 2-(1,8-diethyl-1,3,4,9-tetrahydropyrano[3,4-b]indole-1-yl)acetohydrazide [2] and a novel series of new etodolac hydrazide derivatives; 2-(1,8-diethyl-1,3,4,9-tetrahydropyrano[3,4-b]indole-1-yl) acetic acid[(5-nitro-2-furyl/substitutedphenyl)methylene]hydrazides and 3-(2-(1,8-diethyl-1,3,4,9-tetrahydropyrano [3,4-b]indole-1-yl) acetylhydrazono)-2-alkyl/aryl-4-thiazolidinones [25], we present in this work novel etodolac thiosemicarbazide derivatives (3a-h) and investigation of their HCV NS5B polymerase inhibitory activity. The characterization of these compounds were identified with the help of elemental analysis, UV, FT-IR, 1H-NMR, 13C-NMR and LC-MS spectral data while their purities were analyzed by thin layer chromatography (TLC).
EXPERIMENTAL
Chemistry
All chemicals were purchased from Merck, Sigma-Aldrich or Fluka. Reactions were monitored by TLC on silicagel plates purchased from Merck. Melting points of the synthesized compounds were determined in Schmelzpunktgerät SMP II melting point apparatus and uncorrected. Purity of the compounds was checked TLC plates precoated with silica gel G using solvent systems M1, petroleum ether: ethyl acetate (30:70, v/v); M2, petroleum ether: ethyl acetate (60:40, v/v); M3, petroleum ether: ethyl acetate (40:60, v/v); M4, petroleum ether: ethyl acetate (70:30, v/v). The spots were located under UV light (254 nm) (t=21°C). Elemental analyses were performed on a VarioMICRO V1.5.7. instrument. FT-IR spectra were recorded on Shimadzu FTIR-8400S spectrophotometer. 1H-NMR spectra were recorded on Bruker AVANCE-DPX 400 (400 MHz) NMR spectrometers using DMSO-d6 as solvent. Chemical shifts (δ) were reported in parts per million (ppm). Data a reported as follows: chemical shift, multiplicity (b.s.: broad singlet, d: doublet, m: multiplet, s: singlet and t:triplet), coupling constants (Hz), integration. Mass spectra (MS) were determined on a Agilent 1100 LC-MS mass spectrometer.
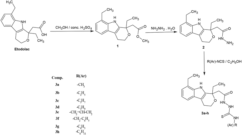
Preparation of methyl (1,8-diethyl-1,3,4,9-tetrahydropyrano [3,4-b] indole-1-yl) acetate 1 and 2- (1,8-Diethyl-1,3,4,9-tetrahydropyrano [3,4-b] indole-1-yl)acetohydrazide 2
Etodolac (0.01 mol) and methanol (16 mL) were refluxed for 3 h in a few drops of concentrated sulfuric acid. The contents of the flask were subsequently cooled and neutralized by using NaHCO3 (5%). The resulting precipitate was filtered, dried and recrystallized twice from ethanol to obtain compound 1.
Methanolic solution of compound 1 (0.01 mol) and hydrazine-hydrate (80%, 7 mL) were refluxed for 3h. The reaction mixture was then cooled, diluted with water and allowed to stand overnight. The precipitated solid was washed with water, dried and recrystallized twice from petroleum ether to give compound 2. m.p. 186–188 °C. (m.p 185–187 °C in ref 25).
General procedure for the synthesis of 1-[2-(1,8-diethyl-1,3,4,9-tetrahydropyrano[3,4-b]indole-1-yl)acetyl]-4-alkyl/aryl thiosemicarbazides [3a-h]
A solution of 0.01 mol of compound 2 and equimolar amount of appropriate isothiocyanate in 20 mL of ethanol was heated under reflux for 2 h. The precipitate obtained was filtered-off, washed with water, followed by two washings with boiling ethanol.
1-[2-(1,8-Diethyl-1,3,4,9-tetrahydropyrano[3,4-b]indole-1-yl)acetyl]-4-methyl thiosemicarbazide, 3a
White solid. Yield 60%, m.p. 208–211°C. Rf x100: 76.9 (M1). IR (vmax cm−1): 3343,3215 (indole and thiosemicarbazide NH), 1674 (C=O), 1198 (C=S). 1H NMR (400 MHz, DMSO-d6) δ ppm: 0.65 (t, 3H, −CH2-CH3 at C1); 1.26 (t, 3H,-CH2-CH3, at C8); 1.87–2.04 (m, 2H, −CH2-CH3 at C1); 2.66–2.88 (m, 9H, −CH2-CONH at C1, −CH2-CH3 at C8, −CH2 at C4 and NH-CH3); 3.97–4.00 (m, 2H, −CH2 at C3); 6.88–7.26 (m, 3H, Ar-H); 7.34 (b.s, 1H, N4-H); 9.35 (s, 1H, indole N-H); 9.58 (s, 1H, N2-H); 10.48 (s, 1H, N1-H). 13C NMR (100 MHz, DMSO-d6/TMS) δ ppm: 8.33 (C-12); 14.98 (C-10); 22.43 (C-9); 24.35 (C-4); 31.20 (C-11); 31.79 (NH-CH3); 43.07 (C-13); 61.06 (C-3); 76.57 (C-1); 108.21 (C-4a); 116.64 (C-6); 119.99 (C-5); 120.95 (C-7); 127.22 (C-5a); 127.84 (C-8); 135.79 (C-1a); 137.44 (C-8a); 170.21 (C=O); 183.79 (C=S). Analysis for C19H26N4O2S.1/2 H2O (383.527). Calcd: C, 60.94; H, 7.00; N, 14.96; S, 8.56%. Found: C, 59.50; H, 7.09; N, 14.60; S, 8.36%.
1-[2-(1,8-Diethyl-1,3,4,9-tetrahydropyrano[3,4-b]indole-1-yl)acetyl]-4-ethyl thiosemicarbazide, 3b
White solid. Yield 82%, m.p. 215°C. Rf × 100: 44 (M2). IR (vmax, cm−1): 3377, 3308 (indole and thiosemicarbazide NH), 1674 (C=O), 1217 (C=S). 1H NMR (400 MHz, DMSO-d6) δ ppm: 0.62 (t, 3H, −CH2-CH3 at C1); 1.02–1.08 (m, 3H, −CH2-CH3 at C8); 1.26 (t, 3H, NH-CH2-CH3); 2.02–2.06 (m, 2H, −CH2-CH3 at C1); 2.66–2.87 (m, 6H, −CH2-CH3 at C8, −CH2-CO-NH at C1 and −CH2 at C4), 2.95–3.56 (m, 2H, NH-CH2-CH3); 3.99–4.02 (m, 2H, −CH2 at C3), 6.89–7.26 (m, 3H, Ar-H), 7.31 (b.s, 1H, N4-H), 9.35 (s, 1H, indole N-H), 9.65 (s, 1H, N2-H), 10.51 (s, 1H, N1-H). 13C NMR (100 MHz, DMSO-d6/TMS) δ ppm: 8.26 (C-12); 14.67 (NH-CH2-CH3); 14.91 (C-10); 22.28 (C-9); 24.52 (C-4); 30.93 (C-11); 42.70 (C-13); 51.84 (NH-CH2-CH3); 60.81 (C-3); 76.32 (C-1); 107.61 (C-4a); 115.94 (C-6); 119.30 (C-5); 120.26 (C-7); 126.37 (C-5a); 127.09 (C-8); 134.97 (C-1a); 136.35 (C-8a); 168.95 (C=O); 170.52 (C=S). MS-API-ES, m/z (%): 389.1 ([M+]+1 6.4); 388.1 (([M+], 21.4); 387.1 (100); 267.6 (2.9); 225.4 (1.8); 169.2 (2.7). Analysis for C20H28N4O2S (388.527). Calcd: C, 61.83; H, 7.26; N, 14.42; S, 8.25%. Found: C, 61.73; H, 7.00; N, 13.94; S, 7.65%.
1-[2-(1,8-Diethyl-1,3,4,9-tetrahydropyrano[3,4-b]indole-1-yl) acetyl]-4-propyl thiosemicarbazide, 3c
White solid. Yield 84%, m.p. 225°C. Rf × 100: 32.26 (M3). IR (vmax, cm−1): 3289 (indole and thiosemicarbazide NH), 1674 (C=O), 1211 (C=S). 1H NMR (400 MHz, DMSO-d6) δ ppm: 0.61 (t, 3H, −CH2-CH3 at C1); 0.83 (t, 3H, −CH2-CH3 at C8); 1.25 (t, 3H, NH-CH2-CH2-CH3); 1.44–1.47 (m, 2H, −CH2-CH3 at C1); 1.94–2.04 (m, 2H, NH-CH2-CH2-CH3); 2.66–2.87 (m, 6H, −CH2- CONH at C1, −CH2-CH3 at C8 and −CH2 at C4); 3.17–3.38 (m, 2H, NH-CH2-CH2-CH3); 3.92–4.00 (m, 2H,–CH2 at C3); 6.88–7.26 (m, 3H, Ar-H); 7.27 (b.s, 1H, N4-H); 9.38 (s, 1H, indole N-H); 9.69 (s, 1H, N2-H); 10.53 (s, 1H, N1-H). Analysis for C21H30N4O2S (402.554). Calcd: C, 62.66; H, 7.51; N, 13.92; S, 7.97%. Found: C, 62.91; H, 7.38; N, 13.80; S, 7.98%.
1-[2-(1,8-Diethyl-1,3,4,9-tetrahydropyrano[3,4-b]indole-1-yl)acetyl]-4-butyl thiosemicarbazide, 3d
White solid. Yield 71%, m.p. 180–181°C. Rf × 100: 32.26 (M3). IR (vmax, cm−1): 3331, 3215 (indole and thiosemicarbazide NH); 1674 (C=O); 1205 (C=S). 1H NMR (400 MHz, DMSO-d6) δ ppm: 0.61 (t, 3H, −CH2-CH3 at C1); 0.87 (t, 3H, −CH2-CH3 at C8); 1.24–1.29 (m, 5H, NH-CH2-CH2-CH2-CH3 and −CH2-CH3 at C1); 1.39–1.43 (m, 2H, NH-CH2-CH2-CH2-CH3); 1.93–2.04 (m, 2H, NH-CH2-CH2-CH2-CH3); 2.68–3.53 (m, 8H, −CH2-CH3 at C8, −CH2-CONH at C1, −CH2 at C4 and NH-CH2-CH2-CH2-CH3); 3.90–4.01 (m, 2H,–CH2 at C3); 6.89–7.25 (m, 3H, Ar-H); 7.26 (b.s, 1H,N4-H); 9.37 (s, 1H, indole N-H); 9.68 (s, 1H, N2-H); 10.52 (s, 1H, N1-H). Analysis for C22H32N4O2S (416.580). Calcd: C, 63.43; H, 7.74; N, 13.45; S, 7.70%. Found: C, 63.91; H, 7.58; N, 13.49; S, 7.29%.
1-[2-(1,8-Diethyl-1,3,4,9-tetrahydropyrano[3,4-b]indole-1-yl)acetyl]-4-allyl thiosemicarbazide, 3e
White solid. Yield 72%, m.p. 213°C. Rf × 100: 33.87 (M3). IR (vmax, cm−1): 3287 (indole and thiosemicarbazide NH); 1674 (C=O); 1211 (C=S). 1H NMR (400 MHz, DMSO-d6) δ ppm: 0.62 (t, 3H, −CH2-CH3 at C1); 1.25 (t, 3H, CH2-CH3 at C8); 1.96–2.03 (m, 2H,-CH2-CH3 at C1); 2.65–2.69 (m, 2H, −CH2-CH3 at C8); 2.74–2.87 (m, 4H, −CH2-CONH at C1 and–CH2 at C4); 3.98–4.18 (m, 4H, NH-CH2-CH=CH2 and −CH2 at C3); 5.04–5.07 (d, 1H, NH-CH2-CH=CH2, J=10.3 Hz, cis); 5.12–5.17 (d, 1H, NH-CH2-CH=CH2, J=17.2 Hz, trans); 5.72–5.87 (m, 1H, NH-CH2-CH=CH2); 6.88–7.25 (m, 3H, Ar-H); 7.50 (b.s, 1H, N4-H); 9.49 (s, 1H, indole N-H); 9.72 (s, 1H, N2-H); 10.51 (s, 1H, N1-H). Analysis for C21H28N4O2S (400.580). Calcd: C, 62.97; H, 7.05; N, 13.99; S, 8.01%. Found: C, 63.08; H, 6.87; N, 13.97; S, 8.09%.
1-[2-(1,8-Diethyl-1,3,4,9-tetrahydropyrano[3,4-b]indole-1-yl)acetyl]-4-benzyl thiosemicarbazide, 3f
Light cream solid. Yield 83%, m.p. 148–150°C. Rf × 100: 37.50 (M1). IR (vmax, cm−1): 3330, 3233 (indole and thiosemicarbazide NH); 1675 (C=O); 1188 (C=S). 1H NMR (400 MHz, DMSO-d6) δ ppm: 0.54 (t, 3H, −CH2-CH3 at C1); 1.24 (t, 3H, −CH2-CH3 at C8); 1.92–2.00 (m, 2H, −CH2-CH3 at C1); 2.53–2.58 (m, 2H, −CH2-CH3 at C8); 2.73–2.85 (m, 4H, −CH2-CONH at and −CH2 at C4); 3.73–3.84 (m, 2H, NH-CH2-); 4.65–4.73 (m, 2H,–CH2 at C3); 6.87–7.33 (m, 8H, Ar-H); 7.85 (b.s, 1H, N4-H); 9.56 (s, 1H, indole N-H); 9.76 (s, 1H, N2-H); 10.49 (s, 1H, N1-H). Analysis for C25H30N4O2S (450.596). Calcd: C, 66.64; H, 6.71; N, 12.43; S, 7.12%. Found: C, 65.87; H, 6.67; N, 11.98; S, 7.63%.
1-[2-(1,8-Diethyl-1,3,4,9-tetrahydropyrano[3,4-b]indole-1-yl)acetyl]-4-phenyl thiosemicarbazide, 3g
Light yellow solid. Yield 97%, m.p. 164°C. Rf × 100: 23.81 (M1). IR (vmax, cm−1): 3339, 3283 (indole and thiosemicarbazide NH); 1688 (C=O); 1211 (C=S). 1H NMR (400 MHz, DMSO-d6) δ ppm: 0.62 (t, 3H, −CH2-CH3 at C1); 1.26 (t, 3H, −CH2-CH3 at C8); 2.05–2.08 (m, 2H, −CH2-CH3 at C1); 2.65–2.69 (m, 2H, −CH2-CH3 at C8); 2.80–3.42 (m, 4H, −CH2-CONH at and −CH2 at C4); 3.99–4.02 (m, 2H, −CH2 at C3); 6.88–7.53 (m, 8H, Ar-H); 9.08 (b.s, 1H, N4-H); 9.84 (s, 1H, indole N-H); 9.96 (s, 1H, N2-H); 10.52 (s, 1H, N1-H). Analysis for C24H28N4O2S (436.570). Calcd: C, 66.03; H, 6.46; N, 12.83; S, 7.34%. Found: C, 65.53; H, 6.21; N, 12.34; S, 7.00%.
1-[2-(1,8-Diethyl-1,3,4,9-tetrahydropyrano[3,4-b]indole-1-yl)acetyl]-4-cyclohexyl thiosemicarbazide, 3h
White solid. Yield 63%, m.p. 205°C. Rf × 100: 46.43 (M4). IR (vmax, cm−1): 3275 (indole and thiosemicarbazide NH); 1676 (C=O); 1213 (C=S). 1H NMR (400 MHz, DMSO-d6) δ ppm: 0.58 (t, 3H, −CH2-CH3 at C1); 1.06–1.16 (m, 3H, −CH2-CH3 at C8); 1.23–2.05 (m, 13H, −CH2-CH3 at C1 and C6H11); 2.68–2.87 (m, 6H, −CH2-CH3 at C8, −CH2-CONH at C1 and −CH2 at C4); 3.92–4.06 (m, 2H,–CH2 at C3); 6.88–7.26 (m, 3H, Ar-H); 7.03 (b.s, 1H, N4-H); 9.41 (s, 1H, indole N-H); 9.75 (s, 1H, N2-H); 10.55 (s, 1H, N1-H). Analysis for C24H34N4O2S (442.617). Calcd: C, 65.13; H, 7.74; N, 12.66; S, 7.24%. Found: C, 65.38; H, 7.63; N, 12.59; S, 7.69%.
Biological activity
HCV NS5B polymerase inhibitory activity
All synthesized compounds were evaluated for inhibition of hepatitis C virus NS5B RNA dependent RNA polymerase activity in primer dependent elongation assays as previously described. The biological activity of the compounds against NS5B polymerase were evaluated in a reaction buffer containing 20 mM Tris-HCl (pH 7.0), 100 mM NaCl, 100 mM sodium glutamate, 0.1 mM DTT, 0.01% BSA, 0.01% Tween-20, 5% glycerol, 20 U/mL of RNase Out, 0.25 μM of poly rA/U12, 25 μM UTP, 2 μCi [∞−32P]UTP, 300 ng of NS5BCΔ21 and 1.0 mM MnCl2 with or without inhibitors (100 μM) in a total volume of 25 μl for 1h at 30°C as previously described (26–28). Reactions were terminated by the addition of ice-cold 5% (v/v) trichloroacetic acid (TCA) containing 0.5 mM pyrophosphate. Reaction products were precipitated on GF-B filters and quantified on a liquid scintillation counter. NS5B activity in the presence of DMSO control was set at 100% and that in the presence of the compounds was determined relative to this control.
Molecular modeling
Ligand structure preparation
Etodolac derivatives 3a, 3d and 3e were built using the fragment dictionary of Maestro 9.0 and energy minimized by Macromodel program v9.7 (Schrödinger, Inc., New York, NY, 2009) using the OPLSAA force field with the steepest descent followed by truncated Newton conjugate gradient protocol. The low-energy 3D structures of etodolac derivatives were generated with the following parameters present in LigPrep v2.3: different protonation states at physiological pH, all possible tautomers, ring conformations and stereoisomers. The output obtained from the LigPrep run was used as input for docking simulations.
Protein structure preparation
The X-ray co-crystal structure of HCV NS5B-PF868554 (PDB ID: 3FRZ) obtained from the RCSB Protein Data Bank was used for docking into thumb pocket-II (29). The protein structure was refined by means of default parameters mentioned in Protein Preparation Tool present in Maestro v9.0 and Impact program v5.5 (Schrödinger, Inc., New York, NY, 2009), in which the protonation states of residues were adjusted to the dominant ionic forms at pH 7.4. Refined HCV NS5B structure was further used to generate energy grid by selecting bound inhibitor (PF868554) as reference ligand.
Docking protocol
The Ligprep file containing etodolac derivatives was docked at the TP-II of NS5B using the “Standard Precision” (SP) Glide docking program v5.0 (Schrödinger, Inc., New York, NY, 2009) and the default parameters. The top scoring pose of 3e within the TP-II was used for graphical analysis. All computations were carried out on a Dell Precision 470n dual processor with the Linux OS (Red Hat Enterprise WS 4.0).
RESULTS AND DISCUSSION
Synthesis of Etodolac thiosemicarbazides
Etodolac (R,S) 2-[1,8-diethyl-1,3,4-tetrahydropyrano(3,4-b)indole-1-yl]acetic acid was chosen as the starting compound to design several novel thiosemicarbazides. Methyl 2-(1,8-diethyl-1,3,4,9-tetrahydropyrano[3,4-b]indole-1-yl)acetate 1 was prepared by the reaction of etodolac and methanol in the presence of a few drops of concentrated sulfuric acid. The reaction of compound 1 with hydrazine-hydrate in methanol resulted in 2-(1,8-diethyl-1,3,4,9-tetrahydropyrano[3,4-b]indole-1-yl) acetohydrazide 2. We synthesized compound 1 (SGK196) and compound 2 (SGK197) in previous study (25). Compound 2 and alkyl/aryl isothiocyanates were heated in ethanol to yield new 1-[2-(1,8-diethyl-1,3,4,9-tetrahydropyrano[3,4-b]indole-1-yl)acetyl]-4-alkyl/aryl thiosemicarbazides [3a-h]. Synthetic route to etodolac thiosemicarbazides is shown in Scheme 1. Purification of the synthesized compounds in this study was confirmed by thin layer chromatography. The structures of compounds derived from etodolac, were identified with the help of FT-IR, 1H-NMR, 13C-NMR and LC-MS spectral data, besides elementel analysis.
SCHEME 1.
Synthetic route of compounds 3a-h.
Etodolac thiosemicarbazides were characterized by IR spectra with C=O band at 1674–1688 cm–1 and C=S band at 1188–1217 cm–1 (20, 30–32). The UV data of selected prototype 3a was exhibited characteristic K bands arising from chromophoric C=S group at 244 nm (20). 1H-NMR data was also in agreement with the formation of thiosemicarbazides. In the 1H-NMR spectra, all protons were seen accordingly to the expected chemical shift and integral values. For the thiosemicarbazides, the signals of the proton linked to N1-N2 and N4 nitrogens were shown at 10.48–10.55, 9.58–9.96 and 7.03–9.08 ppm, respectively. In addition, NH protons of compound 3b was observed to exchange with D2O in the spectrum. In the 1H NMR spectra, all protons were seen according to the expected chemical shifts and integration values (7, 11, 33–35.). In the 13C-NMR spectra of selected prototype compounds 3a and 3b, thiosemicarbazide C=O gave 170.21 and 168.95 ppm, respectively. The peaks resonated at 183.79 and 170.52 ppm in the 13C-NMR spectrum of these compounds, assigned for C=S, confirming thione form of thiosemicarbazides (36,37). The 13C-NMR spectra of the compounds displayed the appropriate number of resonances that exactly assembled the number of carbon atoms. The MS-API-ES of the selected compound 3b displayed molecular ion at m/z 388 which confirmed its molecular weight. The major fragmentation pattern involved the cleavage of the CONH-NH-CS bonds of amide moiety (32, 38). Fragmentation pattern for the representative compound 3b which is given in Scheme 3 also supported the expected structure.
SCHEME 3.
MS fragmentation patterns of compound 3b
Biological Activity
The ability of the compounds to inhibit HCV NS5B RdRp activity was investigated in vitro by polyrA-U12 extrension assays described in experimental section (28). The compounds 3a-h were reconstituted in DMSO as 10 mM stocks, and serially diluted in DMSO to obtain working stocks. Preliminary screening was carried out at 100 μM to identify a wider range of compounds. Percentage inhibition of HCV NS5B RdRp activity was determined at 0.1 mM concentration of the indicated compounds and represents an average of at least two independent measurements in duplicate. NS5B RdRp activity in the absence of the inhibitor was taken as 100 percent after subtraction of residual background activity. The concentration of DMSO in all reactions was kept constant at 5%.
The compounds exhibited inhibition of NS5B RdRp activity ranging from ~23.4% to 76.2% at 100 μM concentration (Table 1). The IC50 values of compounds exhibiting ≥50% inhibition at 0.1 mM concentration were determined from dose-response curves using 8–10 concentrations of each compound in duplicate in two independent experiments. Curves were fitted to data points using nonlinear regression analysis and IC50 values were interpolated from the resulting curves using GraphPad Prism 3.03 software. Wedelolactone (IC50=36.1 μM), a previously characterized NS5B inhibitor, was included as an internal reference standard.
TABLE 1.
Anti-HCV NS5B RdRp Activity of Compounds 3a-h
| Comp. | Lab. Code | % Inhibition (100 μM) |
IC50 (μM) |
|---|---|---|---|
| 3a | SGK 224 | 76.2±0.5 | 18.7±1.2 |
| 3b | SGK 225 | 49.9±0.3 | |
| 3c | SGK 226 | 34.6±1.1 | |
| 3d | SGK 227 | 68.7±0.9 | 29.2±1.4 |
| 3e | SGK 229 | 78.6±2.1 | 16.8±1.2 |
| 3f | SGK 228 | 23.4±1.8 | |
| 3g | SGK 230 | 38.9±0.9 | |
| 3h | SGK-313 | 47.4±0.9 |
Etodolac, the parent molecule, included in this investigation for comparison with its derivatives, exhibited the lowest activity against NS5B of ~10%. Among these, the most active thiosemicarbazide compounds were 3a (SGK 224), 3d (SGK 227) and 3e (SGK 229) with IC50 values of 18.7 μM, 29.2 μM and 16.8 μM, respectively.
To understand the probable molecular mechanism of etodolac derivatives in interfering with NS5B polymerase activity, we have performed molecular docking study using Glide docking software. Since the structurally related pyranoindoles have been previously shown to inhibit NS5B activity through binding to TP-II, we performed docking calculations at TP-II site (3, 39). Analysis of the binding energy data for the docked conformations of R-versus S-isomers of compounds 3a, 3d and 3e showed that R-isomers bind favorably as compared to their S-counterparts. For example, compounds 3a (Glidescore for R = −5.65 kcal/mol and for S = −5.48 kcal/mol), 3d (Glidescore for R = −6.44 kcal/mol and for S = −5.65 kcal/mol) and 3e (Glides-core for R = −6.71 kcal/mol and for S = −6.62 kcal/mol).
The binding mode of (R)-isomer of the etodolac derivative 3e within the TP-II of HCV NS5B polymerase is shown in Scheme 4. The ethyl substituent on indole nucleus forms hydrophobic interactions with the side chains of Ile482, Val485 and Leu489. The indole nucleus is stabilized by hydrophobic interactions with the side chains of Leu419, Met423, Tyr477, Ile482, and Leu497. The indole ring–NH forms hydrogen bonding interaction with the S atom of Met423 (NH---S-Met423, 2.3 Å). The ethyloxepine moiety is mainly stabilized by hydrophobic contacts with the side chain of Tyr477 and Trp528. The carbonyl oxygen atom of the thiosemicarbazide group forms electro-static interaction with the backbone–NH of Ser476 (C=O---HN-Ser476, 3.5 Å). One of the–NH group of thiosemicarbazide function may enter into electrostatic interaction with the backbone of Trp528 (-NH---O=C-Trp528, 3.6 Å). The C=S group is stabilized by electrostatic contact with the side chain amide group of Asn527 −C=S---H2N-Asn527, 3.5 Å). The terminal allyl group is stabilized by hydrophobic and pi-pi interactions with Ala376 and His475, respectively.
SCHEME 4.
Glide-SP predicted binding model of compound (R)-3e (SGK229) within the TP-II of HCV NS5B polymerase
Amino acid residues are shown as stick model with the atoms colored as carbon – green, hydrogen – white, nitrogen – blue and oxygen – red whereas inhibitor is shown as ball and stick model with the same color scheme as above except carbon atoms are represented in orange. Dotted red line indicates hydrogen bonding interaction whereas dotted cyan line indicates potential electrostatic contact with distances in Å.
CONCLUSION
In this study, a series of novel etodolac thiosemicarbazide derivatives were synthesized and evaluated for inhibition of hepatitis C virus NS5B RNA dependent RNA polymerase activity. The etodolac thiosemicarbazides; 3a (IC50: 18.7 μM), 3d (IC50: 29.2 μM) and 3e (IC50: 16.8 μM) are the most potent compounds. Molecular docking and binding mode investigations also suggest that thiosemicarbazide scaffold may be optimized for generating new analogues with improved anti-NS5B potency. Based on these studies, we are now in the process of synthesizing modified analogues in order to generate more effective hepatitis C virus NS5B RNA dependent RNA polymerase inhibitors.
SCHEME 2.
13C-NMR spectral data of compounds 3a and 3b.
ACKNOWLEDGEMENTS
This work was supported by The Scientific and Technical Research Council of Turkey (TÜBİTAK), Research Fund Project Number: SBAG-HYD-339 (108S257) to S.G.K and . the National Institute of Health Research Grant DK066837 to N.K.-B. Etodolac was supplied by Bilim Pharmaceutical Industry.
Footnotes
This work was partly presented at the 10th International Symposium on Pharmaceutical Sciences ISOPS-10, June 26–29, 2012, Ankara, Turkey.
REFERENCES
- 1.Jones RA. Etodolac (Lodine®): Profile of an established selective COX-2 inhibitor Inflammopharmacology 2001; 9:63–70. [Google Scholar]
- 2.Gopalsamy A, Ciszewski GM, Shi M, Park K. Carbazole and cyclopentaindole derivatives to treat infection with hepatitis C virus. 2006; Patent No: US 2006/0063821.
- 3.LaPorte MG, Draper TL, Miller LE, Blackledge CW, Leister LK, Amparo E, Hussey AR, Young DC, Chunduru SK, Benetatos CA, Rhodes G, Gopalsamy A, Herbertz T, Burns CJ, Condon SM. The discovery and structure-activity relationships of pyrano[3,4-b]indole based inhibitors of hepatitis C virus NS5B polymerase. Bioorg Med Chem Lett 2010; 20:2968–73. [DOI] [PubMed] [Google Scholar]
- 4.Gopalsamy A, Lim K, Ciszewski G, Park K, Ellingboe JW, Bloom J, Insaf S, Upeslacis J, Mansour TS, Krishna-murthy G, Damarla M, Pyatski Y, Ho D, Howe AY, Orlowski M, Feld B, O’Connell J. Discovery of pyrano[3,4-b]indoles as potent and selective HCV NS5B polymerase inhibitors. J Med Chem 2004; 47:6603–8. [DOI] [PubMed] [Google Scholar]
- 5.Durgun BB, Rollas S, Apaydin S, Öztürk R. Synthesis and antimicrobial activity of some new 1-[4-(4-fluorobenzoylamino)-benzoyl]-4-substituted thiosemicarbazides. Drug Metabol Drug Interact 1995; 12: 145–50. [DOI] [PubMed] [Google Scholar]
- 6.Ulusoy N, Ergenç N, Ötük Sanış G. Synthesis, characterizations and antimicrobial evaluation of new 1-acyl-4-substituted thiosemicarbazide and 2,5-disubstituted 1,3,4-thiadiazole derivatives. Acta Pharm Turc 1996; 38: 111–6. [Google Scholar]
- 7.Doğan HN, Rollas S, Erdeniz H. Synthesis, structure elucidation and antimicrobial activity of some 3-hydroxy-2-naphthoic acid hydrazide derivatives. Il Farmaco 1998; 53:462–7. [DOI] [PubMed] [Google Scholar]
- 8.Liesen AP, de Aquino TM, Carvalho CS, Lima VT, de Araújo JM, de Lima JG, de Faria AR, de Melo EJ, Alves AJ, Alves EW, Alves AQ, Góes AJ. Synthesis and evaluation of anti-Toxoplasma gondii and antimicrobial activities of thiosemicarbazides, 4-thiazolidinones and 1,3,4-thiadiazoles. Eur J Med Chem 2010; 45:3685–91. [DOI] [PubMed] [Google Scholar]
- 9.Botros S, Khalil NA, Naguib BH, El-Dash Y. Synthesis and anticonvulsant activity of new phenytoin derivatives. Eur J Med Chem 2012; 60:57–63. [DOI] [PubMed] [Google Scholar]
- 10.Doğan HN, Duran A, Yemni E. Synthesis and antibacterial activity of 1-(3-hydroxy-2-naphthoyl)-4-substituted thiosemicarbazides. Drug Metabol Drug Interact 1999; 15:187–95. [DOI] [PubMed] [Google Scholar]
- 11.Plech T, Wujec M, Siwek A, Kosikowska U, Malm A. Synthesis and antimicrobial activity of thiosemicarbazides, s-triazoles and their Mannich bases bearing 3-chlorophenyl moiety. Eur J Med Chem 2011; 46:241–8. [DOI] [PubMed] [Google Scholar]
- 12.Siwek A, Stączek P, Stefańska J. Synthesis and structure-activity relationship studies of 4-arylthiosemicarbazides as topoisomerase IV inhibitors with Gram-positive antibacterial activity. Search for molecular basis of antibacterial activity of thiosemicarbazides. Eur J Med Chem 2011; 46:5717–26. [DOI] [PubMed] [Google Scholar]
- 13.Kalyoncuoğlu N, Rollas S, Sür-Altiner D, Yeğenoğlu Y, Anğ O. 1-[p-(Benzoylamino)benzoyl]-4-substituted thiosemicarbazides: synthesis and antibacterial and antifungal activities. Pharmazie 1992; 47:796–7. [PubMed] [Google Scholar]
- 14.Rollas S, Karakuş S, Durgun BB, Kiraz M, Erdeniz H. Synthesis and antimicrobial activity of some 1,4-disubstituted thiosemicarbazide and 2,5-disubstituted 1,3,4-thiadiazole derivatives. Il Farmaco 1996; 51:811–4. [PubMed] [Google Scholar]
- 15.Terzioğlu Klip N, Çapan G, Gürsoy A, Uzun M, Satana D. Synthesis, structure, and antifungal evaluation of some novel 1,2,4-triazolylmercaptoacetylthiosemicarbazide and 1,2,4-triazolylmercaptomethyl-1,3,4-thiadiazole analogs. J Enzyme Inhib Med Chem 2010; 25:126–31. [DOI] [PubMed] [Google Scholar]
- 16.Cesur Z, Güner H, Ötük G. Synthesis and antimicrobial activity of new imidazo[2,1-b]thiazole derivatives. Eur J Med Chem 1994; 29:981–3. [Google Scholar]
- 17.Siwek A, Stefańska J, Dzitko K, Ruszczak A. Antifungal effect of 4-arylthiosemicarbazides against Candida species. Search for molecular basis of antifungal activity of thiosemicarbazide derivatives. J Mol Model 2012; 18:4159–70. [DOI] [PMC free article] [PubMed] [Google Scholar]
- 18.Şahin G, Palaska E, Kelicen P, Demirdamar R, Altinok G. Synthesis of some new 1-acylthiosemicarbazides, 1,3,4-oxadiazoles, 1,3,4-thiadiazoles and 1,2,4-triazole-3-thiones and their anti-inflammatory activities. Arzneimittelforschung 2001; 51:478–84. [DOI] [PubMed] [Google Scholar]
- 19.Rabea SM, El-Koussi NA, Hassan HY, Aboul-Fadl T. Synthesis of 5-phenyl-1-(3-pyridyl)-1H-1,2,4-triazole-3-carboxylic acid derivatives of potential anti-inflammatory activity. Arch Pharm (Weinheim) 2006; 339:32–40. [DOI] [PubMed] [Google Scholar]
- 20.Küçükgüzel ŞG, Kocatepe A, De Clercq E, Şahin F, Güllüce M. Synthesis and biological activity of 4-thiazolidinones, thiosemicarbazides derived from diflunisal hydrazide. Eur J Med Chem 2006; 41:353–9. [DOI] [PubMed] [Google Scholar]
- 21.El-Sabbagh OI, Rady HM. Synthesis of new acridines and hydrazones derived from cyclic β-diketone for cytotoxic and antiviral evaluation. Eur J Med Chem 2009; 44:3680–6. [DOI] [PubMed] [Google Scholar]
- 22.Xu K, Thornalley PJ. Antitumour activity of sphingoid base adducts of phenethyl isothiocyanate. Bioorg Med Chem Lett 2000; 10:53–4. [DOI] [PubMed] [Google Scholar]
- 23.He J, Wang X, Zhao X, Liang Y, He H, Fu L. Synthesis and antitumor activity of novel quinazoline derivatives containing thiosemicarbazide moiety. Eur J Med Chem 2012; 54:925–30. [DOI] [PubMed] [Google Scholar]
- 24.Al-Saadi MS, Faidallah HM, Rostom SA. Synthesis and biological evaluation of some 2,4,5-trisubstituted thiazole derivatives as potential antimicrobial and anticancer agents. Arch Pharm (Weinheim) 2012; 341:424–34. [DOI] [PubMed] [Google Scholar]
- 25.Çıkla P, Derya Özsavcı D, Bingöl-Özakpınar Ö, Şener A, Çevik Ö, Suna Özbaş-Turan S, Akbuğa J, Şahin F, Küçükgüzel ŞG. Synthesis, cytotoxicity and pro-apoptosis of etodolac hydrazide derivatives as anticancer agents. Arch Pharm (Weinheim). 2013; 346:367–79 [DOI] [PubMed] [Google Scholar]
- 26.Chen Y, Bopda-Waffo A, Basu A, Krishnan R, Silberstein E, Taylor DR, Talele TT, Arora P, Kaushik-Basu N. Characterization of aurintricarboxylic acid as a potent hepatitis C virus replicase inhibitor. Antivir Chem Chemother 2009; 20:19–36. [DOI] [PubMed] [Google Scholar]
- 27.Kaushik-Basu N, Bopda-Waffo A, Talele TT, Basu A, Chen Y, Küçükgüzel ŞG. 4-Thiazolidinones: a novel class of hepatitis C virus NS5B polymerase inhibitors. Front Biosci 2008; 13:3857–68. [DOI] [PubMed] [Google Scholar]
- 28.Kaushik-Basu N, Bopda-Waffo A, Talele TT, Basu A, Costa PR, da Silva AJ, Sarafianos SG, Noel F. Identification and characterization of coumestans as novel HCV NS5B polymerase inhibitors. Nucleic Acids Res 2008; 36:1482–96. [DOI] [PMC free article] [PubMed] [Google Scholar]
- 29.Li H, Tatlock J, Linton A, Gonzalez J, Jewell T, Patel L, Ludlum S, Drowns M, Rahavendran SV, Skor H, Hunter R, Shi ST, Herlihy KJ, Parge H, Hickey M, Yu X, Chau F, Nonomiya J, Lewis C. Discovery of (R)-6-cyclopentyl-6-(2-(2,6-diethylpyridin-4-yl)ethyl)-3-((5,7-dime-thyl-[1,2,4]triazolo[1,5-a]pyrimidin-2-yl)methyl)-4-hydroxy-5,6-dihydropyran-2-one (PF-00868554) as a potent and orally available hepatitis C virus polymerase inhibitor. J Med Chem 2009; 52:1255–8. [DOI] [PubMed] [Google Scholar]
- 30.Rollas S Bazı 1-aroil-4-alkil/ariltiyosemikarbazitler. Doğa Bilim Dergisi Tıp 1983; 7:65–72 [Google Scholar]
- 31.Palaska E, Şahin G, Kelicen P, Durlu NT, Altinok G. Synthesis and anti-inflammatory activity of 1-acylthiosemicarbazides, 1,3,4-oxadiazoles, 1,3,4-thiadiazoles and 1,2,4-triazole-3-thiones. Il Farmaco 2002; 57:101–7. [DOI] [PubMed] [Google Scholar]
- 32.Çapan G, Ulusoy N, Ergenç N, Kiraz M. New 6-phenylimidazo[2,1-b]thiazole derivates: Synthesis and antifungal activity. Monatsh. für Chemie 1999; 130:1399–407. [Google Scholar]
- 33.Küçükgüzel ŞG, Oruç EE, Rollas S, Şahin F, Özbek A. Synthesis, characterisation and biological activity of novel 4-thiazolidinones, 1,3,4-oxadiazoles and some related compounds. Eur J Med Chem 2002; 37:197–206. [DOI] [PubMed] [Google Scholar]
- 34.Wujec M, Stefańska J, Siwek A, Tatarczak M. Synthesis, lipophilicity and antimicrobial activity of new derivatives of thiosemicarbazides and 1,2,4-triazoline-5-thione. Acta Pol Pharm 2009; 66:73–82. [PubMed] [Google Scholar]
- 35.Tatar E, Küçükgüzel İ, De Clercq, Şahin F, Güllüce M. Synthesis, characterization and screening of antimicrobial, antituberculosis, antiviral and anticancer activity of novel 1,3-thiazolidine-4-ones derived from 1-[2-(benzoylamino)-4-(methylthio)butyryl]-4-alkyl/arylalkyl thiosemicarbazides. Arkivoc 2008;, 14:191–210. [Google Scholar]
- 36.Gürsoy A, Karali N. Synthesis and anticonvulsant activity of new acylthiosemicarbazides and thiazolidones. Il Farmaco 1995; 50:857–66. [PubMed] [Google Scholar]
- 37.Abdel-Aziz M, Abdel-Rahman HM. Synthesis and anti-mycobacterial evaluation of some pyrazine-2-carboxylic acid hydrazide derivatives. Eur J Med Chem 2010; 45: 3384–8. [DOI] [PubMed] [Google Scholar]
- 38.Salgın-Gökşen U, Gökhan-Kelekçi N, Göktaş Ö, Köysal Y, Kılıç E, Işik Ş, Aktay G, Özalp M.1-Acylthiosemicarbazides, 1,2,4-triazole-5(4H)-thiones, 1,3,4-thiadiazoles and hydrazones containing 5-methyl-2-benzoxazolinones: Synthesis, analgesic-anti-inflammatory and antimicrobial activities. Bioorg Med Chem 2007; 15:5738–51. [DOI] [PubMed] [Google Scholar]
- 39.Howe AY, Cheng H, Thompson I, Chunduru SK, Herrmann S, O’Connell J, Agarwal A, Chopra R, Del Vecchio AM. Molecular mechanism of a thumb domain hepatitis C virus nonnucleoside RNA-dependent RNA polymerase inhibitor. Antimicrob Agents Chemother 2006; 50:4103–113. [DOI] [PMC free article] [PubMed] [Google Scholar]




