Abstract
Background
Risk of sexual ill-health occurs with the onset of unsafe sexual activity, mostly among the adolescents, and continues as long as the risky activities are engaged in. Globally, and in Africa, adolescent AIDS-related mortality among adolescents has been increasing. Therefore, a systematic review and meta-analysis of epidemiology of risky sexual behaviors in college and university students in Ethiopia is mandatory.
Methods
We conducted extensive search of articles as indicated in the guideline of reporting systematic review and meta-analysis (PRISMA). Databases such as PubMed, Global Health, Africa-wides, Google advance search, Scopus, and EMBASE were accessed for literature search. The pooled estimated effect of epidemiology of risky sexual behaviors and associated factors were analyzed by using the random effects model meta-analysis and 95% CI was also considered. PROSPERO registration number is CRD42018109277.
Result
A total of 18 studies with 10,218 participants were encompassed in this meta-analysis. The estimated pooled prevalence of risky sexual behaviors among college and university students was 41.62%. Being male [OR: 2.35, with 95% (CI; 1.20, 4.59)], alcohol use [OR: 2.68, with 95% CI; (1.67, 4.33)] and watching pornography [OR: 4.74, with 95% CI; (3.21, 7.00)] were positively associated with risky sexual behaviors.
Conclusion and recommendation
Risky sexual behavior among students was high. Educational institutions should give special attention for male sex, alcohol user, and students who watch pornography.
1. Introduction
Risky sexual behavior is defined as unprotected vaginal, oral, or anal intercourse [1]. Risk of sexual ill-health occurs with the onset of unsafe sexual activity, mostly among the adolescents, and continues as long as the risky activities are engaged in. In worldwide, 14,000 per day are newly infected by HIV, more than 95% were in developing countries due to risky sexual behavior [2].
Globally, and in Africa, adolescent AIDS-related mortality among adolescents has been increasing [3].
Factors increasing young people's vulnerability to infection include poverty, lack of power in sexual relationships, violence, traditional customs such as early marriage and harmful sexual practices, and gender disparities. One result is the transactional nature of sexual relationships, where women or girls exchange sex for money, school tuition, food, or housing [2, 4].
Prevalence of risky sexual behaviors in college and university students were 26% in Uganda [5], 63% in Nigeria [6], and 63.9% in Botswana [7].
Reasons for risky sexual behavior were pleasure, curiosity, peer influence, and financial benefit [8, 9]. Approximately 19 million new STI cases occur each year: about half in young persons aged 15 to 24. About 750,000 teenagers become pregnant each year [10]. Early age of sexual debut has been leading with multiple risk behaviors, containing depression, lack of condom use, and alcohol and drug use [11]. Consequence of risky sexual behaviors unintended pregnancy, sexually transmitted infections, mental illness, suicide, abortion, and academic withdrawal or dismissal [12, 13].
Factors that associated with risky sexual behavior were drinking alcohol [14, 15], being male [16], peer pressure [17, 18], and poverty [18].
Although college and university students are at a critical period for incidence of sexual risk behaviors, still little attention is given. Therefore, the estimated pooled prevalence and associated factors in risky sexual behavior are crucial.
2. Methods
We conducted extensive search of articles as indicated in the guideline of reporting systematic review and meta-analysis (PRISMA) [19]. Databases such as PubMed, Global Health, Africa-wides, Google advance search, Scopus, and EMBASE were accessed for literature search. We conducted our search in PubMed by using the following terms and keywords: “prevalence OR epidemiology OR magnitude OR incidence AND risky sexual behavior OR risky behavior AND associated factors OR predictors OR determinants OR risk factors AND college OR higher institution OR university AND students OR student OR learner OR learners AND Ethiopia OR Ethiopian.” For the other databases, we employed specific subjects heading as advising for each databases. Furthermore, to identify other related literatures, we manually searched the reference lists of eligible articles (Figure 1).
Figure 1.
Flow chart showing how the research articles were searched, 2018.
2.1. Eligible Criteria
Two reviewers (TA and TY) evaluated the relevant articles using their title and abstracts prior to retrieval of full-text articles. The retrieved full-text articles were further screened according to prespecified inclusion and exclusion criteria. To avoid selection bias, the Joanna Briggs Institute checklist for systematic reviews and research syntheses was used, which was scored nine out of eleven [20]. We resolved disagreements by discussing with a third reviewer (YA).
2.1.1. Inclusion Criteria
Study design type-cross-sectional
Study subject-students in college and university
Article published in English language
Studies which reported magnitude of risky sexual behavior in college and university students
Studies done in Ethiopia
Study year from January, 2009 to August, 2018
2.1.2. Exclusion Criteria
Letters, reviews, and international studies and duplicate studies were excluded.
2.2. Methods for Data Extraction and Quality Assessment
We used standardized data extraction form to extract data from identified studies. The following information was extracted for each included study: the name of the first author, publication date, study design, associated factors, sample size, study settings, confounders adjusted for risk estimate (OR), and the 95% confidence interval. Data extraction from source documents was done independently by three investigators. Disagreements were resolved by consensus.
The quality of included studies was evaluated by using the Newcastle–Ottawa Scale (NOS) [21]. Sample representativeness and size, comparability between participants, ascertainment of risky sexual behavior, and statistical quality were the domains of NOS uses to assess the quality of each study. Actual agreement and agreement beyond chance (unweighted Kappa) were used to evaluate the agreement among the three reviewers. We consider the value 0 as poor agreement, 0.01–0.20 as slight agreement, 0.21–0.40 as a fair agreement, 0.41–0.60 as moderate agreement, 0.61–0.80 as substantial agreement, and 0.81–1.00 as almost perfect agreement [22]. In this review, the actual agreement and agreement beyond chance was 0.82 which is almost perfect agreement.
2.3. Data Synthesis and Analysis
STATA version14 software was used for meta-analysis and forest plots that showed combined estimates with 95% CI. The overall pooled prevalence was estimated by random effect meta-analysis [23]. Heterogeneity was evaluated using Q statistic and the I2 statistics [23]. The magnitude of statistical heterogeneity between studies was assessed using I2 statistics and value of 25%, 50%, and 75% were considered to represent low, medium, and high respectively [24]. In this review data, the I2 statistics value was 97.1 with p value ≤ 0.001 which showed there was high heterogeneity. Therefore, a random effect model was used during analysis. Meta-regression was made to explore the probable source of heterogeneity. We also carried out a leave-one out sensitivity analysis to assess the key studies that exert major impact on between-study heterogeneity. Publication bias was assessed by funnel plot and Egger's regression test. There was no publication bias.
Features of the studies: all studies were comprised in Ethiopia. The study design of all research was cross-sectional and eighteen articles were included (Table 1).
Table 1.
The prevalence of risky sexual behavior among students related to the institution, Ethiopia, 2018.
| First author | Study year | Institution | Study design | Risky sexual behavior | Sample size | Cases | Prevalence (%) |
|---|---|---|---|---|---|---|---|
| Yigzaw et al. [25] | 2013 | Addis Ababa University | Cross-sectional | Yes | 955 | 372 | 39 |
| Gemechu [26] | 2013 | Alkan College | Cross-sectional | Yes | 207 | 126 | 60.9 |
| Kebede et al. [27] | 2017 | Aksum University | Cross-sectional | Yes | 287 | 174 | 60.6 |
| Alamrew et al. [28] | 2012 | Bahirdar Private College | Cross-sectional | Yes | 771 | 391 | 50.7 |
| Taye and Nurie [29] | 2016 | Bahirdar Regular Private College | Cross-sectional | Yes | 344 | 80 | 23.3 |
| Mekonnen et al. [30] | 2013 | Debre Markos College | Cross-sectional | Yes | 714 | 238 | 33.3 |
| Mamo et al. [31] | 2016 | Debre Markos University | Cross-sectional | Yes | 631 | 282 | 44.7 |
| Dingeta et al. [32] | 2010 | Haramaya University | Cross-sectional | Yes | 1249 | 355 | 28.4 |
| Mavhandu-Mudzusi and Asgedom [33] | 2010 | Jigjiga University | Cross-sectional | Yes | 207 | 122 | 50.9 |
| Tura et al. [34] | 2009 | Jimma University | Cross-sectional | Yes | 1010 | 267 | 26.4 |
| Gebresllasie et al. [35] | 2013 | Mekele College | Cross-sectional | Yes | 590 | 151 | 25.6 |
| Fantahun et al. [36] | 2013 | Mekele University | Cross-sectional | Yes | 258 | 147 | 56.9 |
| Yarinbab et al. [37] | 2017 | Mizantape College | Cross-sectional | Yes | 331 | 116 | 35 |
| Debebe and Solomon [38] | 2014 | Mada Walabu University | Cross-sectional | Yes | 604 | 330 | 54.6 |
| Tololu [39] | 2016 | Oromia Tevt College | Cross-sectional | Yes | 410 | 201 | 49 |
| Negeri [40] | 2013 | Wolega university | Cross-sectional | Yes | 860 | 422 | 49.1 |
| Yohannes et al. [41] | 2011 | Wolayta Sodo University | Cross-sectional | Yes | 447 | 158 | 35.3 |
| Derbie et al. [42] | 2014 | Debre Tabor University | Cross-sectional | Yes | 343 | 97 | 28.3 |
3. Result
A total of 18 studies with 10,218 participants were comprised in this meta-analysis. According to different literatures in Ethiopia, the prevalence of risky sexual behavior ranged from 23.3% to 60.9%. The estimated pooled prevalence of risky sexual behaviors among college and university students was 41.62% with 95% CI (36.15, 47.10) (Figure 2).
Figure 2.
The pooled estimated prevalence of risky sexual behavior among college and university students, in Ethiopia 2018.
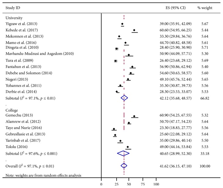
3.1. Subgroup Analysis of the Prevalence of Risky Sexual Behavior in Students
From Figure 3 subgroup analysis were performed by the institution as possible source of heterogeneity between college and university. The estimated pooled prevalence of risky sexual behavior in college and university students were 40.65% and 42.12%, respectively.
Figure 3.
Forest plot presenting of subgroup analysis of pooled estimated prevalence of sexual behavior in college and university students, in Ethiopia, 2018.
3.2. Gender Difference and Risky Sexual Behaviors
From Figure 4 a total of seven articles were comprised in this analysis. There was a significant association between gender and risky sexual behaviors. Being male was 2.35 [OR: 2.35, with 95% (CI; 1.20, 4.59)] times more likely to engage in risky sexual practice compared to females.
Figure 4.
Forest plot presenting pooled random effect size (OR) of males related to females in risky sexual behavior among college and university students in Ethiopia, 2018.
3.3. Alcohol Use and Risky Sexual Behavior
From Figure 5, three articles were built-in in this analysis. Individuals who reported to have been influenced by alcohol for their risky sexual behavior practice were 2.68 [OR: 2.68, with 95% CI; (1.67, 4.33)] times more likely to engage in risky sexual practice.
Figure 5.
Forest plot presenting pooled random effect size (OR) of alcohol use related to nonalcohol use in risky sexual behavior among college and university students in Ethiopia, 2018.
3.4. Watching Pornography and Risky Sexual Behavior
From Figure 6 three articles were identified. Individuals who were watching pornography were about 5 [OR: 4.74, with 95% CI; (3.21, 7.00)] times more likely to engage in risky sexual practice than the counter parts.
Figure 6.
Forest plot presenting pooled random effect size (OR) of watching pornography related to nonwatching of pornography in risky sexual behavior among college and university students in Ethiopia, 2018.
4. Discussion
In this study, eighteen articles were included. Of these twelve studies were in university students whereas six were in college students. In Ethiopia, the prevalence of risky sexual behavior among college and university students ranged from 23.3% to 60.9%. The estimated pooled prevalence of risky sexual behavior among college and university students in Ethiopia were 40.65% (28.99, 52.30) and 42.41% (35.68, 48.57), respectively. The overall estimated pooled prevalence of risky sexual behavior was 41.62% (36.45, 47.10). This finding was lower than the study done in Nigeria [6] and Botswana [7]. However, this finding was higher than the study done in Uganda [5]. The difference might be sample size (in Uganda, the sample size was 261 which was small).
Factors that associated with risky sexual behavior among Ethiopian college and university students were being male was 2.35 [OR: 2.35, with 95% (CI; 1.20, 4.59)] times more likely to engage in risky sexual practice compared to females which was supported by [16]. Individuals who reported to have been influenced by alcohol for their risky sexual behavior practice were 2.68 [OR: 2.68, with 95% CI; (1.67, 4.33)] times more likely to engage in risky sexual practice which was supported by [14, 15]. Watching pornography was also risk factors for risky sexual behaviors. This might be watching pornography increases the motivation of sexual desire.
5. Conclusion and Recommendation
Risky sexual behavior among students was high. Educational institutions should give special attention for male sex, alcohol user, and students who watch pornography.
Acknowledgments
The authors would like to thank all authors of the research paper included in this systematic review and meta-analysis.
Conflicts of Interest
The authors declared that there are no conflicts of interest.
Authors' Contributions
TA and TY evaluated the relevant articles using their title and abstracts prior to retrieval of full-text articles. The retrieved full-text articles were further screened according to prespecified inclusion and exclusion criteria. The authors resolved disagreements by discussing with a third reviewer YA.
References
- 1.Glen-Spyron C. Risky Sexual Behavior in Adolescence. Namibia: Belia Vida Centre; 2015. [Google Scholar]
- 2.World Health Organization. Defining Sexual Health: Report of a Technical Consultation on Sexual Health, 28–31 January 2002. Geneva, Switzerland: World Health Organization; 2006. [Google Scholar]
- 3.World Health Organization. World Health: Guidance to Support Country Implementation. Geneva, Switzerland: World Health Organization; 2017. [Google Scholar]
- 4.World Health Organization. The Sexual and Reproductive Health of Younger Adolescents: Research Issues in Developing Countries: Background Paper for Consultation. Geneva, Switzerland: World Health Organization; 2011. [Google Scholar]
- 5.Musiime K. E., Mugisha J. F. Factors associated with sexual behaviour among students of Uganda Martyrs University. International Journal of Public Health Research. 2015;3(1):1–9. [Google Scholar]
- 6.Omoteso B. A. A study of the sexual behaviour of university undergraduate students in Southwestern Nigeria. Journal of Social Sciences. 2006;12(2):129–133. doi: 10.1080/09718923.2006.11978380. [DOI] [Google Scholar]
- 7.Hoque M. E., Ntsipe T., Mokgatle-Nthabu M. Sexual practices among University students in Botswana. Gender & Behaviour. 2012;10(2):4645–4656. doi: 10.1080/17290376.2013.869649. [DOI] [PMC free article] [PubMed] [Google Scholar]
- 8.Aji J., Aji M., Ifeadike C., et al. Adolescent sexual behaviour and practices in Nigeria: a twelve year review. Afrimedic Journal. 2013;4(1):10–16. [Google Scholar]
- 9.Alimoradi Z. Contributing factors to high-risk sexual behaviors among Iranian adolescent girls: a systematic review. International Journal of Community Based Nursing and Midwifery. 2017;5(1):2–12. [PMC free article] [PubMed] [Google Scholar]
- 10.Malhotra S. Impact of the sexual revolution: consequences of risky sexual behaviors. Journal of American Physicians and Surgeons. 2008;13(3):p. 88. [Google Scholar]
- 11.Lehrer J. A., Shrier L. A., Gortmaker S., Buka S. Depressive symptoms as a longitudinal predictor of sexual risk behaviors among US middle and high school students. Pediatrics. 2006;118(1):189–200. doi: 10.1542/peds.2005-1320. [DOI] [PubMed] [Google Scholar]
- 12.Jørgensen M. J. Sexual behaviour in the general young population–factors associated with sexual risk behaviour. Aarhus, Denmark: Aarhus University; 2014. Ph.D. dissertation. [Google Scholar]
- 13.Bachanas P. J., Morris M. K., Lewis-Gess J. K., et al. Predictors of risky sexual behavior in African American adolescent girls: implications for prevention interventions. Journal of Pediatric Psychology. 2002;27(6):519–530. doi: 10.1093/jpepsy/27.6.519. [DOI] [PubMed] [Google Scholar]
- 14.Cooper M. L. Alcohol use and risky sexual behavior among college students and youth: evaluating the evidence. Journal of Studies on Alcohol, Supplement. 2002;(14):101–117. doi: 10.15288/jsas.2002.s14.101. [DOI] [PubMed] [Google Scholar]
- 15.Yi S., Tuot S., Yung K., Kim S., Chhea C., Saphonn V. Factors associated with risky sexual behavior among unmarried most-at-risk young people in Cambodia. American Journal of Public Health Research. 2014;2(5):211–220. doi: 10.12691/ajphr-2-5-5. [DOI] [Google Scholar]
- 16.Menon J., Mwaba S., Thankian K., Lwatula C. Risky sexual behaviour among university students. International STD Research & Reviews. 2016;4(1):1–7. doi: 10.9734/isrr/2016/25462. [DOI] [Google Scholar]
- 17.Ngidi N. D., Moyo S., Zulu T., Adam J. K., Krishna S. B. N. Qualitative evaluation of selected social factors that impact sexual risk-taking behaviour among African students in Kwazulu-Natal, South Africa. SAHARA-J: Journal of Social Aspects of HIV/AIDS. 2016;13(1):96–105. doi: 10.1080/17290376.2016.1218792. [DOI] [PMC free article] [PubMed] [Google Scholar]
- 18.Adeoti Y. F. Predisposing factors influencing risky sexual behaviours as expressed by undergraduates in Osun State Nigeria. Proceedings of INCEDI 2016 Conference; August 2016; Accra, Ghana. [Google Scholar]
- 19.Moher D., Liberati A., Tetzlaff J., Altman D. G. Preferred reporting items for systematic reviews and meta-analyses: the PRISMA statement. Annals of Internal Medicine. 2009;151(4):264–269. doi: 10.7326/0003-4819-151-4-200908180-00135. [DOI] [PubMed] [Google Scholar]
- 20.Porritt K., Gomersall J., Lockwood C. JBIʼs systematic reviews. AJN, American Journal of Nursing. 2014;114(6):47–52. doi: 10.1097/01.naj.0000450430.97383.64. [DOI] [PubMed] [Google Scholar]
- 21.Wells G. A., Shea B., O’Connell D., et al. NewCastle–Ottawa Quality Assessment Scale—Case Control Studies. Namibia: Belia Vida Centre; 2017. [Google Scholar]
- 22.Landis J. R., Koch G. G. The measurement of observer agreement for categorical data. Biometrics. 1977;33(1):159–174. doi: 10.2307/2529310. [DOI] [PubMed] [Google Scholar]
- 23.Borenstein M., Hedges L. V., Higgins J. P. T., Rothstein H. R. A basic introduction to fixed-effect and random-effects models for meta-analysis. Research Synthesis Methods. 2010;1(2):97–111. doi: 10.1002/jrsm.12. [DOI] [PubMed] [Google Scholar]
- 24.Higgins J. P. T., Thompson S. G., Deeks J. J., Altman D. G. Measuring inconsistency in meta-analyses. BMJ. 2003;327(7414):557–560. doi: 10.1136/bmj.327.7414.557. [DOI] [PMC free article] [PubMed] [Google Scholar]
- 25.Yigzaw M. T., Yalew A. W., Mesfin A. B., Demisie A. S. Sexual initiation and factors associated with it among Addis Ababa University undergraduate students, Addis Ababa, Ethiopia. American Journal of Health Research. 2014;2(5):260–270. doi: 10.11648/j.ajhr.20140205.17. [DOI] [Google Scholar]
- 26.Gemechu E. Premarital sexual practice among unmarried first year undergraduatestudents in Alkan University College in Addis Ababa, Ethiopia. Global Journal of Medicine and Public Health. 2014;3(2):2277–9604. [Google Scholar]
- 27.Kebede A., Molla B., Gerensea H. Assessment of risky sexual behavior and practice among Aksum University students, Shire Campus, Shire Town, Tigray, Ethiopia, 2017. BMC Research Notes. 2018;11(1):p. 88. doi: 10.1186/s13104-018-3199-7. [DOI] [PMC free article] [PubMed] [Google Scholar]
- 28.Alamrew Z., Bedimo M., Azage M. Risky sexual practices and associated factors for HIV/AIDS infection among private college students in Bahir Dar City, Northwest Ethiopia. ISRN Public Health. 2013;2013:9. doi: 10.1155/2013/763051.763051 [DOI] [Google Scholar]
- 29.Taye B., Nurie T. Assessment of premarital sexual practices and associated factors among private college regular students in Bahir dar city, Northwest Ethiopia: a cross-sectional study. International Journal of Horticulture, Agriculture and Food Science. 2017;1:60–67. [Google Scholar]
- 30.Mekonnen M., Yimer B., Wolde A. Sexual risk behaviour and associated factors among governmental higher institution students in Debre Markos town, North West Ethiopia. Public Health Open Access. 2013;2(1) doi: 10.23880/phoa-16000121. [DOI] [Google Scholar]
- 31.Mamo K., Admasu E., Berta M. Prevalence and associated factors of risky sexual behavior among Debre Markos university regular undergraduate students, Debre Markos town North West Ethiopia. Journal of Health, Medicine and Nursing. 2016;33 [Google Scholar]
- 32.Dingeta T., Oljira L., Assefa N. Patterns of sexual risk behavior among undergraduate university students in Ethiopia: a cross-sectional study. Pan African Medical Journal. 2012;12(1):p. 33. [PMC free article] [PubMed] [Google Scholar]
- 33.Mavhandu-Mudzusi A. H., Asgedom T. T. The prevalence of risky sexual behaviours amongst undergraduate students in Jigjiga University, Ethiopia. Health SA Gesondheid. 2016;21(1):179–186. doi: 10.4102/hsag.v21i0.950. [DOI] [Google Scholar]
- 34.Tura G., Alemseged F., Dejene S. Risky sexual behavior and predisposing factors among students of jimma university, Ethiopia. Ethiopian Journal of Health Sciences. 2012;22(3):170–180. [PMC free article] [PubMed] [Google Scholar]
- 35.Gebresllasie F., Tsadik M., Berhane E. Potential predictors of risk sexual behavior among private college students in Mekelle City, North Ethiopia. Pan African Medical Journal. 2017;28(1):p. 122. doi: 10.11604/pamj.2017.28.151.5370. [DOI] [PMC free article] [PubMed] [Google Scholar]
- 36.Fantahun A., Wahdey S., Gebrekirstos K. Risky sexual behaviors and predisposing factors among mekelle university college of business and economics students, Mekelle, Tigray, Ethiopia, 2013: cross sectional study. Open Journal of Advanced Drug Delivery. 2015;3(1):52–58. [Google Scholar]
- 37.Yarinbab T. E., Tawi N. Y., Darkiab I., Debele F., Ambo W. A. Risky sexual behaviors and associated factors among students of mizan aman college of health science, Southwest Ethiopia: cross-sectional study. JOJ Nursing and Health Care. 2017;8(3) [Google Scholar]
- 38.Debebe W., Solomon S. Sexual risk behaviors and its associated factors among undergraduate students in Madda Walabu University, Southeast Ethiopia: a facility based cross sectional study. Epidemiology: Open Access. 2015;5(4) doi: 10.4172/2161-1165.1000207. [DOI] [Google Scholar]
- 39.Tololu A. K. Premarital sexual practice and associated factors among robe TVET students at Robe town, Bale zone, Oromia region, Southeast Ethiopia. MOJ Public Health. 2016;5(6) doi: 10.15406/mojph.2017.05.00147. [DOI] [Google Scholar]
- 40.Negeri E. L. Determinants of risky sexual behavior, relation between HIV risk perception and condom utilization among Wollega University students in Nekemte town, Western Ethiopia. Science, Technology and Arts Research Journal. 2014;3(3):75–86. doi: 10.4314/star.v3i3.13. [DOI] [Google Scholar]
- 41.Yohannes B., Gelibo T., Tarekegn M. Prevalence and associated factors of sexually transmitted infections among students of Wolaita Sodo University, Southern Ethiopia. International Journal of Scientific & Technology Research. 2013;2(2):86–94. [Google Scholar]
- 42.Derbie A., Assefa M., Mekonnen D., Biadglegne F. Risky sexual behaviour and associated factors among students of Debre Tabor University, Northwest Ethiopia: a cross-sectional study. Ethiopian Journal of Health Development. 2016;30(1):11–18. [Google Scholar]






