Abstract
Individuals with high levels of psychopathic tendencies tend to show a lack of guilt, a lack of empathic concern, and a disregard for the impact of their decisions on others. However, how guilt influences social decision-making for those with high psychopathic traits is still unknown. Here, we investigated how psychopathic traits relate to the capacity to acquire knowledge about social expectations, and to what extent guilt aversion affects subsequent decision-making. 63 participants completed self-report measures of psychopathy, and then played a modified Trust Game in the role of the Trustee. Results showed that participants’ self-reported beliefs about their partner’s expectations were largely predictive of the amount of money they returned to the partner. These decisions were negatively correlated with the PPI-I scores. Furthermore, participants’ degree of guilt aversion were negatively correlated with PPI total scores. Our findings suggest that individuals with higher psychopathic traits are indeed capable of understanding the expectations of others, but do not seem to directly utilise this knowledge in their social decision-making, and experience less anticipated guilt about this. The present study provides empirical evidence of intact social knowledge coupled with decreased reciprocity and diminished guilt aversion as levels of psychopathic traits increase.
Subject terms: Computational models, Human behaviour
Introduction
Psychopathy is a personality construct characterized by impaired social-emotional processing combined with a tendency to display disruptive and antisocial behaviors1. The interpersonal-affective disturbances that lie at the core of this construct encompass a lack of empathy, guilt, and remorse2–4, and are considered to be unique to psychopathy. Psychopathy, with its distorted moral reasoning, transgressive actions, as well as deficits in social functioning, has been widely acknowledged as a risky social threat that leads to insecurity and unrest, arousing fear across society5. Moreover, disturbed behaviors associated with psychopathy are more broadly distributed in non-clinical populations with high psychopathic traits6–9. These traits can be measured using self-report questionnaires, such as the Psychopathic Personality Inventory (PPI)10 and the Self-Report Psychopathy Scale-Short form (SRP-SF)11. It is of vital importance for scientific investigations to better understand the psychological processes and mechanisms underlying psychopathic behaviors in the general population, which can also then provide novel insight into the violent mind.
Psychopathy has repeatedly been linked to poor social decision-making, partly hypothesized as due to a diminished capability for making appropriate social inferences and for following social norms and rules12–14. For example, the prisoner’s dilemma game (PDG), in which two players simultaneously and independently choose to either cooperate or defect based on reciprocal altruism or reciprocal exchange of favors, is typically used to measure cooperation. The optimal individual decision for a player in terms of pay-off is to always choose ‘defect’ as compared to ‘cooperate’, though this is considered a less prosocial choice. Previous studies have found that offenders with psychopathy showed deficits in reasoning about social rules during social exchange while being asked to predict the opponent’s behavior before making their own decision in an iterated PDG15. In addition, higher levels of psychopathy have been associated with more selfish patterns of cooperation with others in both offenders and non-offenders9,16.
Altruistic punishment occurs when individuals punish social norm violators even when this behavior is costly for the punisher17 Research has revealed that individuals with higher psychopathic traits give greater punishment to other players who treat them unfairly as compared to individuals with lower psychopathic traits, and that these punishment decisions were positively correlated to self-reported emotional gratification scores rather than sympathy scores. A mediational analysis further revealed that the predictive effect of psychopathy on emotional gratification was mediated by altruistic punishment, which suggested that the source of the punishment by the individuals with high psychopathic traits may lie in their own emotional gratification or satisfaction18. Furthermore, individuals with high psychopathic traits reduced their use of social advice during decision-making19. Together, these findings highlight different aspects of impaired social decision-making that have been associated with increasing levels of psychopathy. Understanding more about these impairments is essential, especially because they often lead to negative consequences for others13,19.
For optimal decision-making, choices made during social exchange require accurate predictions of the expectations of one’s social partner. Yet, i) it is unclear to what extent individuals with elevated levels of psychopathy possess the capacity to make the social inferences required to undergo a mutually satisfactory exchange; ii) or, whether they do have the necessary knowledge of the expectations of their interaction partner, but are simply insensitive to this social knowledge. Hypothetical moral dilemmas scenarios have previously been used to assess willingness to harm others and reason about transgressions, in comparison to non-psychopathic samples20,21. For a particular moral dilemma scenario, on the one hand, people may feel the action is wrong; on the other hand, a cost-benefit analysis is calculated in which action can lead to a better outcome. For example, people usually report the reluctance to push a human down a footbridge to stop a trolley from running over five persons. The former is a direct ‘personal’ harm, which is associated with strong negative emotional responses, eliciting moral disapproval. The latter is an indirect ‘impersonal’ harm, which sacrifice one for preserving the welfare of a large number of other people, reflecting greater concern for a rational ‘utilitarian’ decision than the emotionally aversive means22,23. The utilitarian moral response pattern among individuals with high psychopathic traits may reflect a reduced influence of affective processes on decision-making that leads to lessened interest in the expectation and welfare of others, even when they are capable of acquiring social knowledge24–26. However, a recent study using these social dilemmas found no differences in utilitarian moral judgment between psychopaths and a control group27. Hence, hypothetical moral dilemma scenarios are a limited way to answer the controversial question of whether, and to what degree, psychopaths have restricted understanding of moral knowledge and expectations of others that are used to guide judgments and decisions.
Here, we employed a model of guilt aversion as assessed by a Trust Game paradigm (Fig. 1) in order to quantify our participants’ knowledge of the expectations of others, their guilt aversion, and their social decision-making. The guilt aversion model has shown that the anticipation of guilt may be one of the potential mechanisms that motivates cooperative behavior in many social settings28. This study found that beliefs about the expectations of others motivated reciprocal behavior, and that counterfactual guilt (defined as the amount of guilt individuals would have felt had they returned less money than they believed their partner expected) also promoted reciprocal behavior. According to this model, one’s aversion to the possibility of experiencing guilt in the future prompts reciprocal decisions in the present in order to minimize this anticipation of guilt, and this can be a powerful motivator in the decision-making process. Since guiltlessness is a key feature of psychopathy, it might well be expected that high levels of psychopathic traits relate to diminished guilt aversion, and that this may play a key role in the pattern of social decisions seen in psychopathy. The general goal of the present study was to systematically explore the relationship between psychopathic traits in a non-offender sample, the generation of social inferences, and guilt aversion during social decision-making. Firstly, we investigated whether the norm violations and socially inappropriate behavior typically seen in relation to increasing levels of psychopathy were associated with a reduced understanding of social norms and expectations, or rather whether understanding is intact but that these norms and expectations are taken less into account during decision-making. Given the absence of behavioral performance differences between individuals high and low in psychopathic traits in moral and social decision-making tasks27,29,30, we hypothesized that non-incarcerated individuals scoring relatively high on psychopathy would be unimpaired in understanding others’expectations, but nevertheless would choose to ignore this social information when making reciprocal decisions19. Secondly, we examined the relationship between guilt aversion and reciprocity. Considering that individuals with high levels of psychopathic traits are more likely to engage in non-normative social behavior and express less guilt and concern about others’ emotions or welfare, we hypothesized that increasing levels of psychopathic traits should correspond to less guilt aversion and thus lessened reciprocal behavior during social decision-making. Importantly, there is evidence that the nature of the relationships between psychopathy and measures of cognitive functioning is highly dependent on the measurement of psychopathy used31,32. Therefore, we employed two instruments, the PPI and the SRP-SF, which are widely used for measuring psychopathy-related traits in community samples (Table 1). The PPI was specifically designed to assess psychopathic personality traits among the non-clinical population, and discerns eight specific constituent traits(s) and provides a continuum measurement of each trait. In addition, the SRP-SF, derived from the PCL-R (Psychopathy Checklist-Revised)33, mainly used for estimating the maladaptive behaviors among the clinical psychopathic population, was also used as a supplemental measure. We hypothesized that the PPI scores may more sensitive and predictive when assessing psychopathy traits among nonforensic (e.g., community and students) samples as compared to the SRP-SF34.
Figure 1.
The timeline of a single round of the modified Trust Game. (A) Each round begins with a fixation cross in the middle of the screen. (B) Facial pictures of Player 1 on that round. (C) Participants indicate their belief about Player 1’s investment. (D) The actual offer from Player 1. (E) Participants indicated their belief about what Player 1 had expected them to return. (F) Participants indicated the amount of money they actually wanted to return. (G) Payoff for both players revealed. (H) The real expectation of Player 1 on that round revealed.
Table 1.
Mean PPI and SRP (scale and subscale) scores (n = 63) with corresponding standard deviations (SD).
| Variable | Mean (SD) | ||
|---|---|---|---|
| All (63) | Female (50) | Male (13) | |
| Age | 22.14 (3.85) | 21.68 (0.44) | 23.92 (1.57) |
| Total PPI scoresa | 335.25 (58.33) | 332.26 (5.21) | 376.23 (9.03) |
| PPI-I (or Fearless Dominance)a | 126.38 (20.29) | 124.38 (2.76) | 134.08 (6.18) |
| PPI-II (or Antisocial impulsivity)a | 167.70 (23.94) | 162.28 (3.25)* | 188.54 (3.98)* |
| Stress immunitya | 26.22 (6.02) | 25.72 (0.84) | 28.15 (1.72) |
| Social potencya | 59.03 (11.14) | 58.54 (1.62) | 60.92 (2.81) |
| Fearlessnessa | 41.13 (8.49) | 40.12 (1.07) | 45.00 (3.00) |
| Cold-heartednessa | 43.41 (8.22) | 41.84 (1.06) | 49.46 (2.29) |
| Blame externalisationa | 33.63 (8.50) | 32.44 (1.18) | 38.23 (2.15) |
| Carefree non-planfulnessa | 39.75 (6.07) | 38.64 (0.84) | 44.00 (1.26) |
| Machiavellian egocentricitya | 58.56 (12.27) | 56.60 (1.69) | 66.08 (3.02) |
| Impulsive nonconformitya | 35.76 (7.13) | 34.60 (1.01) | 40.23 (1.41) |
| Total SRP scoresb | 47.08 (13.97) | 43.52 (1.55) | 60.77 (4.49) |
| SRP-F1b | 23.46 (8.83) | 21.18 (0.94)* | 32.23 (2.99)* |
| SRP-F2b | 23.62 (6.30) | 22.34 (0.77) | 28.54 (1.99) |
| SRP-Interpersonalb | 12.30 (5.64) | 11.24 (0.63)* | 16.38 (2.11)* |
| SRP-Affectiveb | 11.16 (3.84) | 9.94 (0.41) | 15.85 (0.98) |
| SRP-Lifestyleb | 13.97 (4.25) | 13.10 (0.55) | 17.31 (1.12) |
| SPR-Antisocialb | 9.65 (3.06) | 9.24 (0.37) | 11.23 (1.14) |
Results
General results
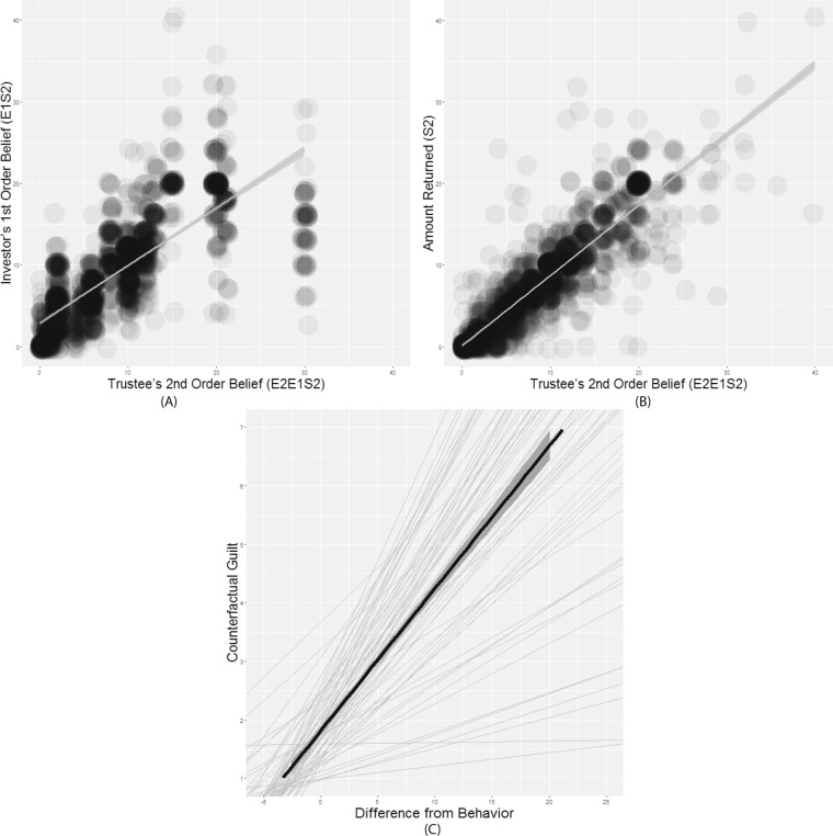
On average across all trials, Player 1 invested 48.3% (SD = 28.7%) of their endowment (Fig. 2A), and their expectation (Player 1’s 1st order belief) was that Player 2 would return 39% of the total investment (SD = 17%) (Fig. 2B). Player 2 believed that Player 1 expected them to return on average 44% (SD = 17%) of the total investment (Fig. 2C). The average percentage of the total investment that Player 2 actually decided to return was 36% (SD = 18%) (Fig. 2D). Mixed-effects regression results indicated that participants in the role of Player 2 could accurately predict Player 1’s expectations (1st Order belief) (B = 0.70, SE = 0.02, t = 37.80, p < 0.001) (Fig. 3A). In addition, Player 2’s then appeared to use their predicted Player 1’s expectation (2nd Order Belief) to guide their decisions, in that they typically returned the amount of money that they believed Player 1 expected them to return (B = 0.87, SE = 0.02, t = 42.02, p < 0.001) (Fig. 3B). Furthermore, participants reported that they would experience more counterfactual guilt if they had returned less money than they actually did (B = 0.23, SE = 0.02, t = 15.5, p < 0.001) (Fig. 3C). Taken together, these results replicate previous findings, supporting the guilt aversion model28.
Figure 2.
Descriptive statistics of the Behavioural Results. (A) Histogram of Player 1’s Investment across all trials (M = 48.3%, SD = 28.7%). (B) Histogram of the percentage of their investment (multiplied by 4) that Player 1 expects Player 2 to return (Player 1’s 1st Order Belief) (M = 39%, SD = 17%). (C) Histogram of the percentage of the transferred amount (multiplied by 4) that Player 2 believes Player 1 expects them to return (Player 2’s 2nd Order Belief) (M = 44%, SD = 17%). (D) The percentage of the transferred amount that Player 2 decides to return (M = 36%, SD = 18%).
Figure 3.
Relationships between performance measures. (A) Player 1’s 1st Order Belief (E1S2) by Player 2’s 2nd Order Belief (E2E1S2). (B) The amount returned by the Trustee (Player 2) (S2) by their 2nd Order Belief. (C) Player 2’s self-reported counterfactual guilt (the amount of guilt they would have felt had they returned less money) by the difference between their hypothetical choices from their actual behaviors. The dotted lines represent the participants’ best linear unbiased predictions (BLUPs).
Correlation between psychopathy measures and behavioral performance
To examine the relationship between decision-making and variations in psychopathic traits, we computed the correlation coefficients, and corresponding bootstrapped confidence intervals, between participants’ PPI and SRP scores (total, as well as the two main factors) and participants’ behavioral responses in the Trust Game (Table 2). Significant negative correlations were found between participants’ self-reported counterfactual guilt and their PPI total scores (r = −0.33), PPI Factor 1 scores (r = −0.25), and PPI Factor 2 scores (r = −0.29). This indicates that individuals who scored higher on psychopathic traits reported feeling less counterfactual guilt if they would have had returned less money to Player 1. Furthermore, individuals with higher scores on the PPI-I scales actually returned less money to Player 1 (PPI-I: r = −0.26). Moreover, the partial correlation analyses yielded non-significant results (see Supplement Table S1). Therefore, only PPI scores were used in subsequent analyses.
Table 2.
Correlation coefficients and bootstrapped confidence intervals between PPI/SRP scores and behavioral responses (r values, 95% confidence intervals).
| PPI | SRP | |||||
|---|---|---|---|---|---|---|
| Total | Factor I | Factor 2 | Total | Factor 1 | Factor 2 | |
| CFGuilt | −0.33** [−0.53, −0.10] | −0.25* [−0.46, −0.02] | −0.29* [−0.51, −0.04] | −0.09 [−0.41, 0.24] | −0.15 [−0.45, 0.18] | −0.18 [−0.44, 0.13] |
| PredInvest (%) | −0.08 [−0.33, 0.17] | −0.13 [−0.34, 0.09] | −0.01 [−0.27, 0.24] | 0.11 [−0.15, 0.37] | 0.03 [−0.20, 0.28] | −0.03 [−0.25, 0.21] |
| PredReturn (%) | 0.11 [−0.09, 0.31] | 0.02 [−0.18, 0.23] | 0.11 [−0.11, 0.32] | 0.09 [−0.13, 0.31] | 0.14 [−0.09, 0.37] | 0.16 [−0.09, 0.41] |
| P2Retrun (%) | −0.22 [−0.43, 0.01] | −0.26** [−0.42, −0.12] | −0.13 [−0.41, 0.16] | 0.00 [−0.26, 0.28] | 0.01 [−0.24, 0.29] | 0.02 [−0.20, 0.28] |
*p < 0.05 level (2-tailed), **p < 0.01 level (2-tailed). CFGuilt: participants’ self-reported amount of counterfactual guilt they would have felt had they returned less money. PredInvest (%): the percentage of Player 1’s investment (multiplied by 4) that Player 2 believes Player 1 expects them to return. PredRetrun (%): the percentage of Player 1’s investment (multiplied by 4) that Player 2 believes the Player 1 expects them to return. P2Return (%): the percentage of Player 1’s investment (multiplied by 4) that Player 2 actually decides to return.
Correlations between computational parameters, behavior and PPI scores
We tested whether the guilt aversion model could predict participants’ decisions. Across all participants, the mean of the parameter θ12 was 0.43 (SD = 0.17, range = [0.13,0.91]) and the mean of was 19.59 (SD = 19.93, range = [4.47,104.11]). Next, bootstrapped Pearson correlations were computed between the two free parameters and the behavioral responses, as well as PPI (total and factors) scores (see Table 3). A significant positive relationship was detected between the parameter θ12 and the amount of counterfactual guilt (r = 0.38) as well as between θ12 and the percentage of Total Amount actual returned (r = 0.72). This suggests that individuals who are more likely to report counterfactual guilt actually return more in the task, and also had higher guilt sensitivity parameter estimates. Furthermore, the parameter θ12 was significantly negatively correlated with the PPI total score (r = −0.28), indicating that higher levels of psychopathic traits corresponded to reduced guilt sensitivity. For the parameter , we only found a significant positive relationship with the counterfactual guilt (r = 0.27).
Table 3.
Correlation coefficients (r) and 95% bootstrapped confidence intervals (between brackets) for the relationship between the computational parameters, behavioral measures and PPI scales.
| Behavior | PPI | ||||
|---|---|---|---|---|---|
| CFGuilt | P2Return (%) | Total | Factor 1 | Factor2 | |
| θ12 | 0.38** [0.15, 0.58] | 0.72** [0.51, 0.86] | −0.28* [−0.50, −0.03] | −0.22 [−0.45, 0.03] | −0.23 [−0.48, 0.04] |
| φ | 0.27* [0.07, 0.45] | 0.06 [−0.34, 0.46] | −0.22 [−0.50, 0.11] | −0.14 [−0.40, 0.14] | −0.19 [−0.47, 0.12] |
Note: *p < 0.05 level (2-tailed), **p < 0.01 level (2-tailed). CFGuil: participants’ self-reported the amount of counterfactual guilt they would have felt had they returned less money. P2Return (%): the percentage of Player 1’s investment (multiplied by 4) that Player 2 actually decided to return.
Discussion
In this study, the role of guilt aversion during social decision-making in relation to psychopathic tendencies was studied in a non-clinical sample. The results indicated that elevated levels of psychopathic traits are not associated with a reduced understanding of social norms and expectations, but rather that these norms and expectations are taken less into account during social decision-making. Moreover, guilt aversion played a less prominent role in the decision-making process as the level of psychopathic tendencies increased.
The findings demonstrated a negative association between guilt aversion and PPI total scores. Additionally, participants’ self-reported counterfactual guilt showed a negative relationship with the PPI total and factor scores. Finally, reciprocal behavior, indexed by the percentage of the total investment that participants actually returned, correlated negatively with participants’ PPI-I scores. These experimental findings support the hypothesis that individuals scoring higher on psychopathic personality traits do indeed possess accurate knowledge about others’ social expectations. However, the diminished reciprocal behavior shown by these individuals indicate that they are less likely to use this knowledge when making monetary decisions in a social context19, and that a reduced aversion to anticipated feelings of guilt plays a role in driving this tendency to disregard the expectations of others.
The relationship between the capacity for social inferencing, decision-making, and psychopathy has typically been studied in the context of moral reasoning. Many studies on this topic have employed hypothetical moral dilemmas to study how psychopathy might be related to judgments about the appropriateness of a given choice that affects others24,35. These studies provided initial indications that individuals with a high level of psychopathy may show more ‘utilitarian’ moral decisions. One explanation for these results could be that these individuals are not capable of properly incorporating social-affective information to guide their decisions36. However, other studies have found that having a high level of psychopathy is related to an intact capacity to discern right from wrong27,37, as well as an unaffected capacity to make social inferences such as those concerning the intentionality of others’ actions when making considerations about fairness38. Our results are in agreement with the latter body of findings, as they indicate that the capacity to generate beliefs about others’ expectations does not diminish as the level of psychopathic traits increases.
We also found that a high level of psychopathy is associated with less aversion to anticipated feelings of guilt when generating monetary choices based on social beliefs, in general agreement with previous findings. It has been proposed that it is the affective component of decision-making which is impaired in psychopathy rather than the cognitive component39.
Blair12 suggested the processing of social-affective information (e.g., sad or fearful facial expressions) signaling when one’s own choices have detrimental outcomes for others is impaired in psychopathy, and that this impairment interferes with social and moral decision-making20,40. Indeed, some studies have found diminished physiological reactions to negative emotional stimuli (e.g., fearful and angry faces) among psychopathic offenders during passive observation as compared to nonpsychopathic controls41,42. Other recent investigations have attempted to pinpoint how deficient processing of social-affective information translates to impaired social decision-making as a function of psychopathy level. For example, Marsh and Cardinale36 reported that psychopathy was associated with a reduced ability to recognize behaviors that cause fear in others, and moral transgressions based on these behaviors were more likely to be rated as being acceptable. Another study found that increased utilitarian tendencies as the presence of psychopathic traits increases were partly driven by a reduced aversion to engaging in actions that are harmful to others43. Finally, Seara-Cardoso and colleagues44 discovered that the modulation of anticipation of guilt by the insula interacted with the interpersonal features of psychopathy. Our finding that guilt aversion decreases as psychopathy scores increase is in agreement with the notion that impairments in the affective domain interfere with other cognitive operations subserving social decision-making. Furthermore, the formal approach employed in our study provides significant advances as it allows us to disentangle and quantify separate cognitive processes within a well-defined and validated mechanism describing the nature of their interactions during social decision-making.
One critical note is that we should remain cautious in extrapolating our results, obtained in a healthy sample, to incarcerated populations with severe levels of psychopathology. Nonetheless, as psychopathy has become more accepted as a constellation of personality traits, dimensional analyses with larger sample sizes would provide novel and valuable angles for further understanding the in-depth nature of psychopathy. Another point is that gender distribution was not optimal in our sample, though there is evidence showing that empathic processing and moral reasoning in fact do not differ between genders as a function of psychopathy scores in community samples45,46. This adds support to the validity of our results, but due to the novelty of our approach, it remains important to replicate our results in larger, gender-balanced, samples in the future.
A final issue is that our auxiliary measure of psychopathy (the SRP-SF) failed to yield any significant correlations, and thus led to different results as compared to the PPI. This is in accordance with studies showing that the specific psychopathy instrument used has a large effect on the nature of both the significance and direction of the correlations. Across previous studies, the relationship between psychopathic traits and executive functions were divergent when assessing psychopathic traits using PCL-R and Multidimensional Personality Questionnaire (MPQ), that estimated the factors of psychopathy within a broad inventory of normal personality functioning31. Moreover, individuals with high psychopathic traits have also shown inconsistent results in executive and social functions27. One potential reason might be that different measures may be qualitatively and quantitatively non-comparable though assessing a similar factor of psychopathy. In our case, this lack of effect is not entirely unsurprising given that we oversampled the upper and lower extremes of the distribution of psychopathy scores based on the PPI total scores. While this approach helps to maximize the inclusion of relatively extreme PPI scores in the experimental sample, it does not lead to a similar effect for the distribution of the SRP-SF scores. Note also that the PPI and the SRP show strong differences in how they conceptualize and measure psychopathy, especially at the factor level47. Thus, it is likely that our oversampling procedure to maximize the tails of the PPI total score distribution had a suboptimal effect on the distribution of SRP (factor) scores. The distribution of the SRP-SF total score in our sample (see Supplementary Fig. S3) confirmed this explanation that most of our participants dropped to the lower SRP total score distribution. Moreover, the SRP-SF, derived from the PCL-R, has been examined, though in a limited way, in terms of the factor structure in community samples. However, findings have been inconsistent34,48. As compared to PPI, it is mainly used for estimating maladaptive behaviors among clinical psychopathy samples. Ongoing development of the SRP scale has involved adding a greater number of antisocial behavior items as compared to the PPI34. Our correlation results support the suggestion that SRP scores (both the total score and the two main factor scores) are correlated with the PPI-II rather than PPI-I. The PPI-I is the factor that represents the interpersonal (e.g., charm, grandiosity, and deceitfulness), and affective (e.g. lack of remorse, empathy, and emotional depth) traits of psychopathy, which reflect low guilt and deficient emotion processing49. In contrast, the PPI-II is the factor that captures the impulsive and chronic antisocial tendencies associated with psychopathy, and is related to the inhibition control deficit. It is therefore reasonable that the PPI-I is more relevant to the current interpersonal decision-making context as compared to the PPI-II. Our results also support this idea in that a significant positive predictive effect was detected between the PPI-I score and the subsequent reciprocal decision-making (see Results), but a similar effect was not found with the PPI-II.
In conclusion, the present study showed that individuals scoring high on psychopathic traits are able to accurately infer the social expectations of others when making monetary choices in a social context, but that they are still more prone to demonstrate selfish, less-reciprocal, decision-making. In our study, two separate measures of participants’ guilt sensitivity were used; self-reported counterfactual guilt and a computational parameter capturing guilt sensitivity for each participant. Across both measures, we found that the higher people scored on PPI total scores, the lower their guilt aversion. These results support the hypothesis that an attenuated sensitivity to social emotions (in this case anticipated guilt) among individuals scoring high on psychopathy is related to indifference to others’ welfare and profit, and leads them to ignore social expectations. That is, we propose that individuals with high levels of psychopathic traits have the ability to understand social expectations, but down-weight this information when making social decisions50–52.
Methods
Participants
Sixty-six participants were recruited via two different rounds at Radboud University, the Netherlands (see Supplement). They received either monetary compensation (16 Euros) or course credit (3 points) for completing the task. Additionally, participants had the opportunity to receive a monetary bonus dependent on task performance (maximum of 10 Euros). The study ethical approval has been granted by the ethical committee of the Faculty of Social Sciences at the Radboud University (ECG2012-1304-025). All participants provided written informed consent in accordance Declaration of Helsinki and the guidelines of the local ethics committee.
Three participants were excluded from the statistical analyses; two did not finish the experiment in time, and the third because they did not complete the PPI and SRP questionnaires. Therefore, analyses were performed on 63 participants (50 females), with age ranging from 18 to 40 (M = 22.28, SD = 4.03). For an additional check of gender-dependent distribution of scores, a two-sample t-test was performed between the female and male group for all the PPI/SRP total and subscales (see Table 1).
Measures of psychopathy-related traits
The Dutch translation of the PPI was used as the primary measure of psychopathy10,53. The PPI is a comprehensive self-report instrument that estimates psychopathic personality characteristics in non-clinical samples. The PPI consists of 187 items, measuring traits on 8 subscales that represent different general personality traits. Each item is evaluated on a 4-point Likert-scale, ranging from 1 (false) to 4 (true). Higher PPI total scores correspond to higher degrees of psychopathy. Factor analyses have found that the scales of the PPI load on super-ordinate factors, known as the PPI-I (Fearless Dominance) and the PPI-II (Antisocial impulsivity)49. Three subscales, namely Social Potency, Fearlessness, and Stress Immunity, are clustered into the PPI-I Factor; while four other subscales - Machiavellian Egocentricity, Blame Externalisation, Carefree Non-planfulness, and Impulsive Nonconformity - comprise the PPI-II Factor. A third factor consists of the subscale Coldheartedness. The total PPI score is usually regarded as a global index of the psychopathy, with strong internal consistency (Cronbach’s alpha 0.89)54. PPI factor scores were calculated by first normalizing to raw scores (z-transformation) based on the total experimental sample size and summing the relevant scales to create the PPI-I and PPI-II factors, respectively.
The Dutch version of Hare’s Self-Report Psychopathy scale was used as an additional measure to assess psychopathy-related traits55. The SRP-SF is directly derived from the Psychopathy Checklist-Revised (PCL-R)33, a semi-structured clinical interview that is considered to be the golden standard for assessing psychopathy. The SRP-SF differs from the PPI in that it measures maladaptive behaviors and traits instead of general personality traits. The SRP-SF consists of 29 items that measure 4 facets of psychopathy; Interpersonal (Facet 1) and affective disturbances (Facet 2), antisociality (Facet 3), and deviant lifestyle (Facet 4). Facets 1 and 2 can be clustered into a higher-order factor measuring interpersonal-affective impairments (SRP-F1) and facets 3 and 4 can be combined into an antisocial-lifestyle factor (SRP-F2). The two-factor model has been the most prominent in the literature. The SRP-SF has good psychometric properties (Cronbach’s alpha 0.84)55.
Experimental task
A modified version of the Trust Game was used28. The game is played by two players, with Player 1 being the ‘investor’ and Player 2 the ‘trustee’. Player 1 is first endowed with a sum of money by the experimenter (€10 in our experiment). Player 1 then decides the amount of money he/she wants to invest with Player 2, in 1 Euro increments ranging from zero to the entire endowment. Once an amount has been selected by Player 1, this is multiplied by 4, and this new amount (i.e., the total investment) is transferred to Player 2. Importantly, both players know in advance about the multiplier. Following the transfer, Player 2 has the opportunity to return some of this transferred money back to the Investor, but is not obliged to. The amount that Player 2 decides to return to Player 1 was our primary behavioral index in this game. In each round, Player 2 was also asked to estimate how much he/she believed that Player 1 would invest and how much he/she believed Player 1 expected in return (Fig. 1). All participants played in the role of Player 2.
After participants had completed the experiment, they were sequentially shown the outcomes of the 30 rounds with all Player 1’s and were asked to rate their counterfactual guilt on a 7-point Likert scale (scaled 1–7, with 1 indicating not feeling any guilt, 4 indicating moderate guilt, and 7 indicating feeling extremely guilty), on which they could indicate the amount of guilt they believed they would have experienced if they had returned a different amount of money. This ‘counterfactual’ amount was randomly selected from all choices lower than the amount they had returned and one choice higher than the amount they had returned (choices increased or decreased by 10% increments). Finally, all participants were paid a bonus based on their decisions in one randomly selected round.
Guilt aversion model
We fit the data with an adapted guilt aversion model28 to estimate individuals’ guilt sensitivity. This model proposes that the utility of Player 2 in the Trust Game could be divided into two parts: financial utility (M2) and the anticipated experience of guilt (or guilt utility). A rational Player 2 is interested in balancing both parts through maximising monetary income and minimising anticipated guilt. In our task, anticipated guilt can be considered as the non-negative difference between the amount of money Player 1 expects Player 2 to return (E1S2) and the amount of money Player 2 actually returns (S2). Since Player 2 does not know the amount Player 1 expects them to return (1st order belief), the model uses Player 2’s belief of Player 1’s expectation (2nd order belief: E2E1S2) as a substitute input.
The mathematical derivation of these parameters is described in equation (1). Player 2’s total utility in trial i is U2i, which can be defined as
| 1 |
According to the above model, the relative weight placed on the financial payoff (M2) and the anticipated guilt (E2E1S2 − S2)+ in the utility function is modulated by a guilt sensitivity parameter (θ12), which can vary for each Player 1 that Player 2 meets. This guilt sensitivity term is scaled by a free parameter, constrained in the range of (). The θ12 (guilt sensitivity) parameter quantifies how sensitive participants are to the experience of guilt if they let their partner down. For example, if θ12 = 0, they are completely self-interested, demonstrating insensitivity to guilt; while if θ12 = 1, they are very sensitive to anticipated guilt. We theorize that balancing the weights of both financial income (self-interest) and Player 2’s (2nd order belief) plays a decisive role in guiding decisions in the Trust Game.
Choice rule
We extended the above model to allow for stochasticity (i.e., randomness) by applying a probabilistic choice function. A free parameter was used to capture the stochasticity in the action selection. The probability Pi of making a decision i was computed by placing the utility values for each decision into the following softmax function.
| 2 |
in which Pi denotes the probability that in trial i Player 2 chooses k (with k standing for the maximum amount of money in that trial they could return) to return to Player 1. The free parameter is used to capture the sensitivities of choice i to different utilities. If = 0, choices are random, while if = Infinity, the utility is maximised. In the guilt aversion model (Equation 1), the total utility is comprised of both the participants’ income (M2) and the weighted anticipation of guilt (E2E1S2 − S2)+. The model of guilt sensitivity included a stochastic of the choice sensitivity parameter , in which both parameters were estimated using maximum likelihood estimators (for details see Supplement).
General analyses
Frequency distributions of the following variables across all trials over all participants are shown in Fig. 2: (A) Player 1’s Investment; (B) The percentage of Player 1’s investment (multiplied by 4) that participants expected Player 2 to return (1st Order Belief: E1S2); (C) The percentage of Player 1’s investment (multiplied by 4) that Player 2 believed Player 1 had expected them to return (Player 2’s 2nd Order Belief: E2E1S2); (D) The percentage of Player 1’s investment (multiplied by 4) that Player 2 actually decided to return (S2); Furthermore, mixed model regressions (see Supplement) were implemented between (A) Player 1’s 1st Order belief and Player 2’s 2nd Order belief. Significant effects here would indicate that participants were capable of accurately inferring other players’ expectations; (B) Player 2’s 2nd Order belief and the amount of money they returned. Significant effects here would illustrate that participants’ behavioral patterns are inconsistent with a guilt aversion model to a certain extent. In addition, for each participant, mixed effect regression was used to predict the amount of counterfactual guilt reported if they returned a different amount of money. According to the guilt aversion model, the deviation between the participants’ actual repayment and their belief about Player 1’s expectation indexed anticipated guilt. Thus, each participant’s best linear unbiased predictions (BLUPs) demonstrate their sensitivity to guilt. The group BLUP was computed based on individual scores. Larger slopes indicated higher guilt sensitivity.
Analyses of relationships with psychopathy traits
To understand the relationships between psychopathic traits as well as the participants’ utilitarian behaviors, Pearson correlations were computed between the global indexes of PPI/SRP scores (the total as well as the two main factor scores) and participants’ behavioral responses (counterfactual guilt and amount of money actually returned) (Table 2 and Fig. 4). Because the SRP measures correlated factors known to have suppression effects56, we also ran partial correlation analyses to control for the shared variance between the factors. The significance of the Pearson correlations was tested with a bootstrapping procedure to determine the 95% confidence interval (CI). The same procedure was used to obtain Pearson correlations for the relationship between the two estimated free parameters θ12 and φ, the participants’ behavioral responses, and the total and factor scores of the PPI and the SRP, respectively57.
Figure 4.
Pearson correlation between scores on PPI/SRP and behavioural performance. (A) Scatterplot for Pearson correlations between total PPI score and participants’ reported counterfactual guilt. (B) Scatter plot for Pearson correlations between PPI Factor 1 score and the percentage of the total investment that Player 2 returned.
Supplementary information
Acknowledgements
This publication is developed from one of the chapters of a doctoral thesis entitled: “Decision-Making in Social Interactions: Behavioural, Computational Modelling, Clinical, and Neuroimaging Perspectives” by Xu Gong. The authors acknowledge this doctoral thesis (Donders Series number 272), for which all rights are reserved by Xu Gong. The authors also thank two anonymous reviewers whose comments helped to improve the manuscript. X.G. was supported by a China Scholarship Council (201206040033). I.A.B. was supported by a VENI grant (451-15-014) awarded by the Netherlands Organisation for Scientific Research. This research was supported in part by a European Research Council grant to AGS (ERC StG 313454).
Author Contributions
X.G., I.A.B., L.J.C. and A.G.S. contributed to the design of the research. X.G. conducted the research. X.G., I.A.B. and L.J.C. analyzed the results. X.G., I.A.B., L.J.C. and A.G.S. contributed to the writing of the manuscript. All authors reviewed the manuscript.
Data Availability
The datasets generated during and/or analysed during the current study are available from the corresponding author on reasonable request.
Competing Interests
The authors declare no competing interests.
Footnotes
Publisher’s note: Springer Nature remains neutral with regard to jurisdictional claims in published maps and institutional affiliations.
Xu Gong and Inti A. Brazil contributed equally.
Supplementary information
Supplementary information accompanies this paper at 10.1038/s41598-019-43727-0.
References
- 1.Hare, R. D. In Violence and Psychopathy (eds Raine, Adrian & Sanmartín, José) (Springer US, 2001).
- 2.Blair RJ. A cognitive developmental approach to mortality: investigating the psychopath. Cognition. 1995;57:1–29. doi: 10.1016/0010-0277(95)00676-P. [DOI] [PubMed] [Google Scholar]
- 3.Blair RJR, et al. Emotion attributions in the psychopath. Personality and Individual Differences. 1995;19:431–437. doi: 10.1016/0191-8869(95)00080-P. [DOI] [Google Scholar]
- 4.Hare RD, Hart SD, Harpur TJ. Psychopathy and the Dsm-Iv Criteria for Antisocial Personality-Disorder. Journal of abnormal psychology. 1991;100:391–398. doi: 10.1037/0021-843X.100.3.391. [DOI] [PubMed] [Google Scholar]
- 5.Anderson, D. A. The aggregate burden of crime*. The Journal of Law and Economics (1999).
- 6.Bartels DM, Pizarro DA. The mismeasure of morals: Antisocial personality traits predict utilitarian responses to moral dilemmas. Cognition. 2011;121:154–161. doi: 10.1016/j.cognition.2011.05.010. [DOI] [PubMed] [Google Scholar]
- 7.Gleichgerrcht, E. & Young, L. Low Levels of Empathic Concern Predict Utilitarian Moral Judgment. Plos One8, 10.1371/journal.pone.0060418 (2013). [DOI] [PMC free article] [PubMed]
- 8.Grezes J, Berthoz S, Passingham RE. Amygdala activation when one is the target of deceit: Did he lie to you or to someone else? Neuroimage. 2006;30:601–608. doi: 10.1016/j.neuroimage.2005.09.038. [DOI] [PubMed] [Google Scholar]
- 9.Rilling JK, et al. Neural correlates of social cooperation and non-cooperation as a function of psychopathy. Biological Psychiatry. 2007;61:1260–1271. doi: 10.1016/j.biopsych.2006.07.021. [DOI] [PubMed] [Google Scholar]
- 10.Lilienfeld SO, Andrews BP. Development and preliminary validation of a self-report measure of psychopathic personality traits in noncriminal populations. J Pers Assess. 1996;66:488–524. doi: 10.1207/s15327752jpa6603_3. [DOI] [PubMed] [Google Scholar]
- 11.Paulhus DL, Neumann CS, Hare RD. Manual for the self-report psychopathy scale. Toronto: Multi-health systems; 2015. [Google Scholar]
- 12.Blair RJ. The amygdala and ventromedial prefrontal cortex in morality and psychopathy. Trends Cogn Sci. 2007;11:387–392. doi: 10.1016/j.tics.2007.07.003. [DOI] [PubMed] [Google Scholar]
- 13.Koenigs M, Kruepke M, Zeier J, Newman JP. Utilitarian moral judgment in psychopathy. Social cognitive and affective neuroscience. 2012;7:708–714. doi: 10.1093/scan/nsr048. [DOI] [PMC free article] [PubMed] [Google Scholar]
- 14.Harenski CL, Harenski KA, Shane MS, Kiehl KA. Aberrant neural processing of moral violations in criminal psychopaths. Journal of abnormal psychology. 2010;119:863–874. doi: 10.1037/a0020979. [DOI] [PMC free article] [PubMed] [Google Scholar]
- 15.Ermer, E. & Kiehl, K. A. Psychopaths are impaired in social exchange and precautionary reasoning. Psychological science (2010). [DOI] [PMC free article] [PubMed]
- 16.Mokros A, et al. Diminished cooperativeness of psychopaths in a prisoner’s dilemma game yields higher rewards. Journal of abnormal psychology. 2008;117:406–413. doi: 10.1037/0021-843X.117.2.406. [DOI] [PubMed] [Google Scholar]
- 17.Fehr E, Gachter S. Altruistic punishment in humans. Nature. 2002;415:137–140. doi: 10.1038/415137a. [DOI] [PubMed] [Google Scholar]
- 18.Masui K, Iriguchi S, Nomura M, Ura M. Amount of altruistic punishment accounts for subsequent emotional gratification in participants with primary psychopathy. Personality and Individual Differences. 2011;51:823–828. doi: 10.1016/j.paid.2011.07.006. [DOI] [Google Scholar]
- 19.Brazil IA, et al. Psychopathy-related traits and the use of reward and social information: a computational approach. Frontiers in psychology. 2013;4:952. doi: 10.3389/fpsyg.2013.00952. [DOI] [PMC free article] [PubMed] [Google Scholar]
- 20.Greene JD, Nystrom LE, Engell AD, Darley JM, Cohen JD. The neural bases of cognitive conflict and control in moral judgment. Neuron. 2004;44:389–400. doi: 10.1016/j.neuron.2004.09.027. [DOI] [PubMed] [Google Scholar]
- 21.Greene, J. D., Sommerville, R. B., Nystrom, L. E. & Darley, J. M. An fMRI investigation of emotional engagement in moral judgment. Science (2001). [DOI] [PubMed]
- 22.Greene, J. D., Nystrom, L. E., Engell, A. D. & Darley, J. M. The neural bases of cognitive conflict and control in moral judgment. The neural bases of cognitive conflict and control in moral judgment (2004). [DOI] [PubMed]
- 23.Koenigs, M., Young, L., Adolphs, R., Tranel, D. & Cushman, F. Damage to the prefrontal cortex increases utilitarian moral judgements. Damage to the prefrontal cortex increases utilitarian moral judgements (2007). [DOI] [PMC free article] [PubMed]
- 24.Gao Y, Tang S. Psychopathic personality and utilitarian moral judgment in college students. Journal of Criminal Justice. 2013;41:342–349. doi: 10.1016/j.jcrimjus.2013.06.012. [DOI] [Google Scholar]
- 25.Koenigs M. The role of prefrontal cortex in psychopathy. Rev Neuroscience. 2012;23:253–262. doi: 10.1515/revneuro-2012-0036. [DOI] [PMC free article] [PubMed] [Google Scholar]
- 26.Koenigs M, Kruepke M, Newman JP. Economic decision-making in psychopathy: a comparison with ventromedial prefrontal lesion patients. Neuropsychologia. 2010;48:2198–2204. doi: 10.1016/j.neuropsychologia.2010.04.012. [DOI] [PMC free article] [PubMed] [Google Scholar]
- 27.Cima M, Tonnaer F, Hauser MD. Psychopaths know right from wrong but don’t care. Social Cognitive and Affective Neuroscience. 2010;5:59–67. doi: 10.1093/scan/nsp051. [DOI] [PMC free article] [PubMed] [Google Scholar]
- 28.Chang LJ, Smith A, Dufwenberg M, Sanfey AG. Triangulating the neural, psychological, and economic bases of guilt aversion. Neuron. 2011;70:560–572. doi: 10.1016/j.neuron.2011.02.056. [DOI] [PMC free article] [PubMed] [Google Scholar]
- 29.Osumi T, Ohira H. The positive side of psychopathy: Emotional detachment in psychopathy and rational decision-making in the ultimatum game. Personality and Individual Differences. 2010;49:451–456. doi: 10.1016/j.paid.2010.04.016. [DOI] [Google Scholar]
- 30.Osumi T, et al. Amygdala dysfunction attenuates frustration-induced aggression in psychopathic individuals in a non-criminal population. J Affect Disord. 2012;142:331–338. doi: 10.1016/j.jad.2012.05.012. [DOI] [PubMed] [Google Scholar]
- 31.Baskin-Sommers AR, et al. Mapping the association of global executive functioning onto diverse measures of psychopathic traits. Personality disorders. 2015;6:336–346. doi: 10.1037/per0000125. [DOI] [PMC free article] [PubMed] [Google Scholar]
- 32.Malterer MB, Lilienfeld SO, Neumann CS, Newman JP. Concurrent Validity of the Psychopathic Personality Inventory With Offender and Community Samples. Assessment. 2009;17:3–15. doi: 10.1177/1073191109349743. [DOI] [PMC free article] [PubMed] [Google Scholar]
- 33.Hare RD. Manual for the Revised Psychopathy Checklist. 2nd ed. Toronto, ON, Canada: Multi-Health Systems; 2003. [Google Scholar]
- 34.Tsang S, Salekin RT, Coffey CA, Cox J. A comparison of self-report measures of psychopathy among nonforensic samples using item response theory analyses. Psychol Assess. 2018;30:311–327. doi: 10.1037/pas0000481. [DOI] [PMC free article] [PubMed] [Google Scholar]
- 35.Koenigs M, et al. Damage to the prefrontal cortex increases utilitarian moral judgements. Nature. 2007;446:908. doi: 10.1038/nature05631. [DOI] [PMC free article] [PubMed] [Google Scholar]
- 36.Marsh AA, Cardinale EM. Psychopathy and Fear: Specific Impairments in Judging Behaviors That Frighten Others. Emotion (Washington, D.C.) 2012;12:892–898. doi: 10.1037/a0026260. [DOI] [PubMed] [Google Scholar]
- 37.Aharoni E, Sinnott-Armstrong W, Kiehl KA. Can psychopathic offenders discern moral wrongs? A new look at the moral/conventional distinction. Journal of abnormal psychology. 2012;121:484–497. doi: 10.1037/a0024796. [DOI] [PMC free article] [PubMed] [Google Scholar]
- 38.Radke, S., Brazil, I., Scheper, I., Bulten, B. & De Bruijn, E. Unfair offers, unfair offenders? Fairness considerations in incarcerated individuals with and without psychopathy. Front Hum Neurosci7 (2013). [DOI] [PMC free article] [PubMed]
- 39.Raine, A. & Yang, Y. Neural foundations to moral reasoning and antisocial behavior. Social Cognitive and Affective Neuroscience1 (2006). [DOI] [PMC free article] [PubMed]
- 40.Molenberghs P, et al. The influence of group membership and individual differences in psychopathy and perspective taking on neural responses when punishing and rewarding others. Human brain mapping. 2014;35:4989–4999. doi: 10.1002/hbm.22527. [DOI] [PMC free article] [PubMed] [Google Scholar]
- 41.Decety J, Skelly L, Yoder KJ, Kiehl KA. Neural processing of dynamic emotional facial expressions in psychopaths. Social neuroscience. 2014;9:36–49. doi: 10.1080/17470919.2013.866905. [DOI] [PMC free article] [PubMed] [Google Scholar]
- 42.Glenn AL, Iyer R, Graham J, Koleva S, Haidt J. Are all types of morality compromised in psychopathy? J Pers Disord. 2009;23:384–398. doi: 10.1521/pedi.2009.23.4.384. [DOI] [PubMed] [Google Scholar]
- 43.Patil I. Trait psychopathy and utilitarian moral judgement: The mediating role of action aversion. J Cogn Psychol. 2015;27:349–366. doi: 10.1080/20445911.2015.1004334. [DOI] [Google Scholar]
- 44.Seara-Cardoso A, et al. Anticipation of guilt for everyday moral transgressions: The role of the anterior insula and the influence of interpersonal psychopathic traits. Scientific reports. 2016;6:36273. doi: 10.1038/srep36273. [DOI] [PMC free article] [PubMed] [Google Scholar]
- 45.Seara-Cardoso A, Neumann C, Roiser J, McCrory E, Viding E. Investigating associations between empathy, morality and psychopathic personality traits in the general population. Personality and Individual Differences. 2012;52:67–71. doi: 10.1016/j.paid.2011.08.029. [DOI] [Google Scholar]
- 46.Seara-Cardoso A, Dolberg H, Neumann C, Roiser JP, Viding E. Empathy, morality and psychopathic traits in women. Personality and Individual Differences. 2013;55:328–333. doi: 10.1016/j.paid.2013.03.011. [DOI] [Google Scholar]
- 47.Derefinko KJ, Lynam DR. Convergence and divergence among self-report psychopathy measures: A personality-based approach. J Pers Disord. 2006;20:261–280. doi: 10.1521/pedi.2006.20.3.261. [DOI] [PubMed] [Google Scholar]
- 48.Dotterer HL, et al. Examining the Factor Structure of the Self-Report of Psychopathy Short-Form Across Four Young Adult Samples. Assessment. 2017;24:1062–1079. doi: 10.1177/1073191116640355. [DOI] [PMC free article] [PubMed] [Google Scholar]
- 49.Benning SD, Patrick CJ, Hicks BM, Blonigen DM, Krueger RF. Factor structure of the psychopathic personality inventory: Validity and implications for clinical assessment. Psychol Assessment. 2003;15:340–350. doi: 10.1037/1040-3590.15.3.340. [DOI] [PubMed] [Google Scholar]
- 50.Brazil IA, et al. Reversal deficits in individuals with psychopathy in explicit but not implicit learning conditions. Journal of psychiatry & neuroscience: JPN. 2013;38:E13–20. doi: 10.1503/jpn.120152. [DOI] [PMC free article] [PubMed] [Google Scholar]
- 51.Brazil IA, et al. Early and late components of error monitoring in violent offenders with psychopathy. Biol Psychiatry. 2009;65:137–143. doi: 10.1016/j.biopsych.2008.08.011. [DOI] [PubMed] [Google Scholar]
- 52.von Borries AK, et al. Neural correlates of error-related learning deficits in individuals with psychopathy. Psychological medicine. 2010;40:1559–1568. doi: 10.1017/S0033291709992017. [DOI] [PubMed] [Google Scholar]
- 53.Jelicic M, Merckelbach H, Timmermans M, Candel I. De Nederlandstalige versie van de Psychopathic Personality Inventory: Enkele psychometrische bevindingen [The Dutch Version of the Psychopathy Personality Inventory: Some psychometric results] De Psycholoog. 2004;12:604–608. [Google Scholar]
- 54.Blonigen DM, Carlson SR, Krueger RF, Patrick CJ. A twin study of self-reported psychopathic personality traits. Pers Indiv Differ. 2003;35:179–197. doi: 10.1016/S0191-8869(02)00184-8. [DOI] [Google Scholar]
- 55.Gordts S, Uzieblo K, Neumann C, Van den Bussche E, Rossi G. Validity of the Self-Report Psychopathy Scales (SRP-III Full and Short Versions) in a Community Sample. Assessment. 2015;24:308–325. doi: 10.1177/1073191115606205. [DOI] [PubMed] [Google Scholar]
- 56.Hicks BM, Patrick CJ. Psychopathy and negative emotionality: analyses of suppressor effects reveal distinct relations with emotional distress, fearfulness, and anger-hostility. Journal of abnormal psychology. 2006;115:276–287. doi: 10.1037/0021-843X.115.2.276. [DOI] [PMC free article] [PubMed] [Google Scholar]
- 57.Gong, G. Decision-Making in Social Interactions: Behavioural, Computational Modelling, Clinical, and Neuroimaging Perspectives Doctoral thesis thesis (Radboud University, 2017).
- 58.Hare RD. Comparison of Procedures for the Assessment of Psychopathy. Journal of consulting and clinical psychology. 1985;53:7–16. doi: 10.1037/0022-006X.53.1.7. [DOI] [PubMed] [Google Scholar]
Associated Data
This section collects any data citations, data availability statements, or supplementary materials included in this article.
Supplementary Materials
Data Availability Statement
The datasets generated during and/or analysed during the current study are available from the corresponding author on reasonable request.




