Abstract
The role of glycerol as a green bio-based solvent, reactant, and/or a catalyst in the synthesis of novel heterocycles, under pressure, is studied. Synthesis of novel quinolines in good yields using a new modified Skraup synthesis, utilizing glycerol and pressure Q-tubes, is demonstrated. Novel aniline trimers are prepared using glycerol, and substituted anilines under pressure, in acidic medium and water. Glycerol was employed as a catalyst and a green solvent in the synthesis of novel pyridazines 13a–c. The mechanisms of the reactions and the catalytic effect of glycerol in protic and aprotic media are fully discussed. The structures of the synthesized compounds were determined via X-ray crystallography and spectroscopic methods.
Keywords: glycerol, green chemistry, modified Skraup’s quinoline synthesis, reactions under pressure, Q-tubes, polyaniline
1. Introduction
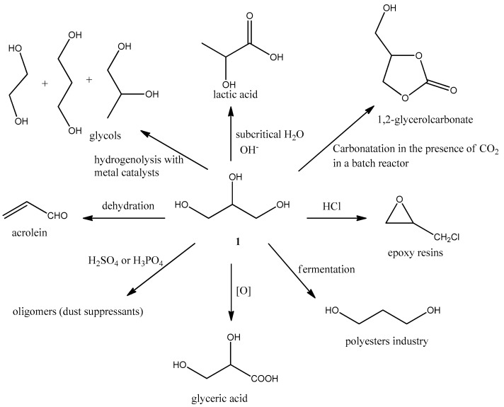
Glycerol was first isolated by the Swedish chemist: Carl W. Scheele, in 1779, upon treatment of olive oil with lead oxide [1,2]. Glycerol or propane-1,2,3-triol 1 is now produced in large quantities as a byproduct in many industries [3,4,5]. The large-scale production of biodiesel from fats, where glycerol is a waste product, has made glycerol a highly economic solvent and reactant [6,7,8,9,10,11,12]. This has attracted many researchers in the last two decades to find routes for converting this surplus into value added products [13,14,15,16,17,18,19,20,21,22,23,24]. Some of glycerol’s utilities in chemical industries are summarized in Scheme 1.
Scheme 1.
Some industrial uses of glycerol.
Since glycerol is highly hygroscopic and stable at high temperatures (B.P. = 290 °C), in addition to being environmentally friendly, nontoxic, nonvolatile, inflammable, non-corrosive, cheap, biodegradable, and recyclable, it could be considered a green medium and solvent in organic synthesis [25,26,27]. According to Arrhenius, the reaction rate doubles for every 10 °C rise in temperature [28]. Thus, glycerol would simply decrease the time of many reactions that take place in other low boiling-point solvents. Recently, Hamid et al. discussed the catalytic effect of glycerol by H-bond formation, which facilitates addition and condensation processes [29]. Glycerol has not yet been fully explored in the field of organic synthesis and catalysis. However, some studies have suggested that glycerol is a medium in “catalyst-free” reactions [30,31,32]. We think that these studies have neglected the possibility that glycerol itself acts as a catalyst in such reactions.
One of the oldest utilities of glycerol in organic chemistry is the synthesis of quinolines in poor yields, known as the “Skraup synthesis of quinolines” [33,34]. Skraup’s synthesis of quinolines has many limitations other than the low yield, including the multi-step addition of the reactants, in which glycerol must first react with H2SO4 to yield the hazardous acrolein (propenal), which is followed by the addition of the aromatic amine to form hydroquinoline that is converted to the quinoline by adding an oxidizing agent as the final step (cf. Scheme 2).
Scheme 2.
Reaction mechanism of the Skraup quinoline synthesis.
Other limitations include the use of highly concentrated glycerol that contains less than one-half percent of water known as “dynamite glycerin” to ensure good yields [35]. Precautions from explosion and physical hazards control have to be employed since the reaction is highly vigorous due to the use of nitrobenzene as an oxidizing agent and as a solvent. Prolonged heating in concentrated H2SO4, and the formation of a thick tar, from which quinoline is difficult to extract are also among the problems of the Skraup synthesis. These limitations have urged researchers to attempt to modify the synthetic route, to increase the yield of the quinoline synthesis reactions, and to make it “greener.” The new modified synthesis of quinolines or “green recipes” [36] involve using green solvents or even solvent-less reactions, one-pot synthesis, new green catalysts alongside with new technologies such as microwave energy, ultrasonication, and grinding [37,38,39,40,41,42,43,44,45,46,47,48,49].
There is now a boom in the use of high pressure in science [50], and reactions under high pressure and/or temperature proved to behave in a different manner than those under normal thermal conditions [51,52]. The newly invented borosilicate tubes known as Q-tubes have allowed the performance of difficult or otherwise impossible chemical reactions in chemical laboratories [53,54,55,56]. Shifts in transition state along a reaction coordinate, a switch of the rate-determining step, and the possible transformation of a transition state into a stable minimum, are among the possible phenomena that can occur for reactions under pressure, especially in fluids [57]. A supercritical solvent is a solvent that is subjected to a temperature and pressure higher than those of its critical point. However, when both the temperature and/or the pressure are lower than those of the critical point, and the temperature is higher than that of the boiling point, with a pressure higher than 1 bar, a subcritical solvent is obtained. A subcritical solvent can be defined as a hot compressed solvent and, according to Galy et al., glycerol produces different products in subcritical and supercritical solvents [58]. In this study, we combined glycerol and water as green, efficient solvents, in addition to the pressure in Q-tubes, to modify the synthesis of quinolines and prepare new aniline trimers and pyridazines.
2. Results and Discussion
We initially started our work with the synthesis of quinolines. Quinolines are extremely important in the pharmaceutical industry, especially in the treatment of malaria and cancer [59,60,61]. Fluoroquinolines are used in many pharmaceutical compounds, especially in fluoroquinolone antibiotics, such as ciprofloxacin (Cipro), gemifloxacin (Factive), levofloxacin (Levaquin), moxifloxacin (Avelox), norfloxacin (Noroxin), and ofloxacin (Floxin) [62,63].
Selivanova et al. found that reacting polyfluoro-2-naphthylamines with glycerol in H2SO4 or CF3SO3H at 150–160 °C gives, surprisingly, the respective polyfluorobenzo[f]quinolones, rather than the expected cyclization at the unsubstituted ortho-position [39]. We thought of investigating this phenomenon as well as modifying the Skraup quinoline synthesis using pressure Q-tubes, and studying the effect of glycerol in subcritical and supercritical solvents. Unlike the results reported by Selivanova et al., the reaction of 1 and 3a–b in the presence of conc. H2SO4, under pressure in a Q-tube at 200 °C proceeded to yield quinolines 6a and 6b, in 58% and 60% yield, respectively. To our knowledge, quinoline 6b has not been previously isolated (cf. Scheme 3).
Scheme 3.
Reaction of aromatic amines, glycerol, and sulfuric acid in the presence/absence of water, under a high pressure, and high temperatures in the Q-tubes.
Recently, Saggadi and co-workers synthesized 5-substituted, 6-substituted, 7-subsituted, and 8-substituted quinolines using microwave conditions, aniline derivatives, and glycerol in the presence of sulfuric acid and water. The desired quinolines were obtained in 10%–66% yields [64]. Surprisingly, in our hands, the reaction of aromatic amines, glycerol, sulfuric acid, and water in pressurized conditions afforded a compound with an m/z value of 359.23, which was, after other spectroscopic investigations, assigned to 4,4′,4″-(propane-1,2,3-triyl)tris(2-methylaniline) 7. The 1H NMR spectrum of compound 7 shows a singlet at δ = 2.00 ppm for 9H that is assigned to 3-CH3 protons, a multiplet at δ = 3.34 ppm for 5H of 2 methylene and 1 methine protons, and another singlet at δ = 5.01 ppm for 6H assigned for the 3 NH2 protons as well as a multiplet at δ = 7.13 for aromatic 6 protons. The 13C-NMR spectrum of compound 7 shows a signal at δ = 146.53 assigned for 3C-NH2 at δ = 76.24 for 2CH2 and at δ = 16.95 for 3CH3. Conversely, when the unsubstituted aniline 3a was reacted under the same conditions, with glycerol and water under pressure (subcritical water), the aniline trimer 8 was the only product obtained. The structure of compound 8 was also confirmed via spectroscopic analysis. The mass spectrum of the reaction product 8 showed a molecular ion peak: m/z = 365.173 (100%). The 1H NMR spectrum revealed a singlet at δ = 2.4 ppm, integrated for 6H, which was assigned to the 3NH2 protons. Two doublets at δ = 3.27 ppm and 3.29 ppm for two aliphatic CH2 groups and multiplet at δ = 3.35 ppm were assigned for the methine CH proton and another multiplet at 6.94 ppm were assigned for the aromatic protons. The 13C-NMR spectral results were in agreement with the proposed structure, which showed a signal at δ = 63.09 ppm, assigned to the 2 O-CH2 carbons, as well as another signal at δ = 72.49 ppm, assigned to the O-CH carbon. It is worth mentioning that trials to use 3f as the starting aniline produced a compound with an m/z value of 410.5, for which we could not assign any reasonable, suggested structure. Table 1 summarizes our results and reaction conditions of the reactions of glycerol with aromatic amines under pressure.
Table 1.
Variation of the nature of aniline products depending on the reaction conditions in the presence and absence of H2O, starting from glycerol 1 under a high pressure, and high temperatures in the Q-tubes.
| Entry | R1 | R2 | R3 | Reaction Conditions | Product | Yield% | MP. (°C) | m/z | ||
|---|---|---|---|---|---|---|---|---|---|---|
| Medium | Time (min.) | Temp (°C) | ||||||||
| 3a | H | H | H | glycerol | 60 | 200 | 6a | 58 | BP = 238 | |
| 3a | H | H | H | glycerol + H2O | 15 | 160 | 8 | 73 | 240 | 365.17 |
| 3b | F | F | H | glycerol | 60 | 200 | 6b | 60 | 243 | 165.03 |
| 3c | CH3 | I | H | glycerol + H2O | 15 | 160 | 7 | 75 | 180 | 359.23 |
| 3d | CH3 | Br | H | glycerol + H2O | 20 | 160 | 7 | 70 | 180 | 359.23 |
| 3e | CH3 | Cl | H | glycerol + H2O | 20 | 160 | 7 | 70 | 180 | 359.23 |
| 3f | H | H | Cl | glycerol + H2O | 30 | 160 | not concluded | - | 410 | |
While acrolein is a minor product of the dehydration of glycerol under neutral hydrothermal conditions, it becomes the main product when an acid catalyst is added, but at temperatures above 340 °C using conventional heating [58]. Under pressure, we could achieve the same results but at much lower temperatures. Thus, using Q-tubes and heating at only 200 °C for 1 h, we could prepare quinolines in high yields. Recently, the catalytic role of glycerol via H-bond was published by Hamid and coworkers [29]. We think that, in our work, the reaction proceeds via a typical Skraup reaction mechanism, but with glycerol having a dual role where one mol of glycerol acts as a starting material reacting with H2SO4 to produce acrolein 2, and another mol of glycerol acts as a catalyst and bounds via H-bond with acroline to generate complex 9. This then undergoes a Michael addition with the aromatic amines (3a, b). This is followed by the release of glycerol once more to produce the intermediate 4a, b that then cyclizes to 6a and 6b, respectively. Scheme 4 shows a suggested reaction mechanism for the formation of quinoline 6a, b. In our reaction conditions, there were no need to add any oxidizing agents since we believe that concentrated H2SO4 acts as a condensation agent and an oxidant.
Scheme 4.
Mechanism of our modified-Skraup’s synthesis of quinolines under high pressure using Q-tubes.
A member of our group investigated the x-ray structure of compound 6b, which confirmed the suggested structure, and no loss of fluorine atoms occurred under our reaction conditions [65] (Cf. Figure 1). The preliminary inspection of the X-ray crystallographic data of 6(b) indicated that the molecules exist in aggregates, via intermolecular H-bonding between Fluorine at C-8 and the hydrogen at C-8, as well as between N-1 and H at C-4 (Cf. Figure 2). A detailed discussion of the x-ray structure of these quinolines will be reported separately after exploring this phenomenon with other compounds.
Figure 1.
X-ray crystal structure of 6,8-difluoroquinoline 6b.
Figure 2.
Aggregates of 6,8-difluoroquinoline 6b that shows H-7 and F-8 H-bonding.
Subsequently, we shifted to utilizing glycerol in the synthesis of pyridazines. The pyridazine ring is an important structural feature in a number of pharmaceutical compounds, such as hydralazine (brand name Apresoline, vasodilator, US, FDA), cefozopran (anti-bacterial agent, Japan), and pipofezine (brand name Azafen or Azaphen, antidepressant, STADA, Nizhny Novgorod, Russia). Pyridazine derivatives have been reported to possess various pharmacological activities and intermediates for drugs synthesis, including antimicrobial, analgesic, anticancer, antitubercular, antidiabetic, antifungal, antihypertensive, anticonvulsant, anti-HIV, antiasthma, anti-inflammatory, phosphodiesterase (PDE) inhibitors, cyclooxygenase (COX) inhibitors, antipyretic, insecticidal, and neurological [66,67,68,69,70,71,72,73]. The reaction of arylazo 10d and ethylacetoacetate 11b in either acetic acid or ethanolic KOH, followed by reflux to afford pyridazinones 15d, has been reported. This reaction was limited to the formation of 12d, and was not consistently successful and Trials to form 12a failed, since malononitrile dimerized under these conditions [74,75]. In this case, we could efficiently prepare pyridazinones 13a–c in good yields, by the reaction of malononitrile 11a, phenylhydrazono esters 10a–c, and glycerol, either under conventional heating at 250 °C for 5 h, or under pressure in the Q-tubes at 150 °C for 30 min (cf. Scheme 5).
Scheme 5.
Synthesis of 4-oxo-1-phenyl-1,4,5,6-tetrahydropyridazine-3-carboxylate 13a–c.
It was found that the yield of formation of 13a–c increased significantly under reactions caused by pressure, Table 2 summarizes our findings and compares these reaction yields.
Table 2.
Reaction yield for 13a–c and 12d under pressure and conventional heating.
| Product | x | y | z | Yield Percentage | |
|---|---|---|---|---|---|
| Conventional Heating | Under Pressure | ||||
| 13a | CN | COOCH2Ph | H | 52 | 76 |
| 13b | CN | COOEt | CN | 64 | 88 |
| 13c | COOEt | COOEt | H | 70 | 92 |
| 12d | CN | H | CH3 | 86.16 [74] | - |
We assume that glycerol acts as a catalyst and a bio-based solvent. The catalytic activity of glycerol in this reaction might be via H-bond formation with the N-atom in compound 11, to form the intermediate 14. The H-bond formation facilitates the Michael-type addition of the active methylene of the arylazo 10 on the even more electron-poor CN carbon forming the protonated imine 15. It is suggested that another mole of glycerol coordinates with protonated imines 15, followed by an intramolecular cyclization and glycerol is released again to the medium, which affords the 4-oxo-1-phenyl-1,4,5,6-tetrahydropyridazine-3-carboxylate13a–c. Scheme 6 shows our suggested mechanism for the formation of 13a–c.
Scheme 6.
Mechanism of synthesis of 4-oxo-1-phenyl-1,4,5,6-tetrahydropyridazine-3-carboxylate 13a–c.
The structures of compounds 13a–c were confirmed by spectroscopic analysis. Compound 13a had an m/z value of 362.53. The 1H NMR spectrum of 13a revealed two multiplets for the prochiral CH2-CN at δ = 1.28 and 1.31 ppm. A two multiplets for the prochiral ring methylene protons COCH2 appears at δ = 2.39 and 2.49 ppm. A singlet at δ = 4.30 ppm is assigned for two methylene protons, a multiplet at δ = 7.10 ppm for the aromatic 10H, and two singlets for the four NH2 protons at δ = 11.56 ppm and 14.22 ppm, respectively. The 13C-NMR spectrum of compound 13a showed a signal at δ = 196.8 ppm significant for a true carbonyl, assigned to the pyridazine ring carbonyl, and showed another signal at δ = 163.4 ppm for the ester carbonyl. The CH2CN methylene carbon appears at δ = 25.9 ppm. Figure 3 indicates the most important 13C-NMR signals for 13a.
Figure 3.
13C-NMR spectroscopic analysis of 13a.
3. Materials and Methods
3.1. General
Q-tube assisted reactions were performed in a Q-tube safe pressure reactor from Q Labtech (East Lyme, CT 06333, New London County, CT, USA, equipped with a cap/sleeve, pressure adapter (120 psi), needle adapter/needle, borosilicate glass tube, Teflon septum, and catch bottle. All reactions were monitored by using TLC with 1:1 ethyl acetate-petroleum ether as eluent and were carried out until starting materials were completely consumed. Melting points are reported uncorrected and were determined with a Sanyo (Gallenkamp, Osaka, Japan). 1H NMR and 13C-NMR spectra were done at the Analab Kuwait University and determined by using a Bruker DPX instrument at 600 MHz for 1H-NMR and 150 MHz for 13C-NMR and either CDCl3 or DMSO-d6 solutions with TMS as internal standards. Chemical shifts are reported in δ (ppm). Mass spectra and accurate mass measurements were made using a GCMS DFS spectrometer (Thermo, Bremen, Germany) with the EI (70 EV) mode. X-ray crystallographic structure determinations were performed by using Rapid II (Rigaku, Tokyo, Japan) and X8 Prospector (Bruker, Karlsruhe, Germany) single crystal X-ray diffractometers.
3.2. General Procedures for Q-Tube-Assisted Synthesis of Quinolines 6a,b
Glycerol 1 (5 mL), concentrated sulfuric acid (1 mL), and 0.01 mol of the corresponding aniline (0.93 g 3a or 1.29 g of 3b) were sequentially added in a 35 mL Q-tube pressure tube, furnished by Q Labtech. A Teflon septum was placed on top of the tube, and an appropriate cap was used. The mixture was heated in an oil bath at 200 °C for about 60 min. The mixture was cooled and poured into ice-water. The solid was collected by filtration and purified by column chromatography and crystallized from ethanol.
3.3. 6,8-Difloroquinoline 6b
Yellow crystals, yield 60%, mp >250 °C, 1H-NMR (DMSO-d6, 600 MHz): δ = 7.62–7.70 (3H, m, H-3, H-5, H-7), 8.38 (1H, m, H-4), 8.90 (1H, t, H-2). 13C-NMR (150 MHz, DMSO-d6): δ = 105.12, 107.13, 123.37, 129.23, 135.04, 150.16, 156.90, 157.75, 158.61, 159.38. EI-HRMS: m/z for C9H5F2N, calcd. 165.0390, found: 165.0384.
3.4. General Procedure to Aniline Trimers 7 and 8
A 35 mL Q-tube pressure tube, furnished by Q Labtech was charged with aniline derivative 3c-e (10 mmol) (2.23 g of 3c, 1.86 g of 3d, 1.41 g of 3e), 5 mL glycerol, 3 mL H2SO4, and 10 mL of water. A Teflon septum was placed on top of the tube, and an appropriate cap was used. The mixture was heated in an oil bath at 160 °C for 15 min. After cooling at room temperature, pH was adjusted at 8–9 by adding NaOH and the reaction mixture was extracted with ethyl acetate (2 × 20 mL). The combined organic layers were dried over MgSO4 and were then filtered and evaporated under reduced pressure. The crude residue was purified by column chromatograph (cyclohexane–EtOAc) on silica gel yielding the corresponding quinoline.
3.4.1. 4,4′,4″-(propane-1,2,3-triyl)tris(2-methylaniline) 7
Yellow crystals yield 75%. mp 178–180 °C, 1H-NMR (DMSO-d6, 600 MHz) : δ = 2.00 (9H,s, 3-CH3), 3.34 (5H, m, 2CH2 and CH aliphatic), 5.01 (6H, s, 3NH2), 6.42 (3H, d, Ar-H), 7.13–7.20 (6H, m, Ar-H), 13C-NMR (150 MHz, DMSO-d6): δ = 16.95 (3CH3), 74.0 (CH-aliphatic), 76.24 (2CH2-aliphatic), 116.27 (3 ortho-C), 124.21 (3C-CH3), 134.63 (6 meta-C), 137.55 (3para-C), 146.53 (3C-NH2). EI-HRMS: m/z for C24H29N3, calcd. 359.2361, found: 359.2362.
3.4.2. 4-(2-(4-amionphenoxy)-3-(4-amoinophenoxy))aniline 8
Brown crystals, yield 72%. mp 240 °C. 1H-NMR (DMSO-d6, 600 MHz): δ = 2.49 (6H, s, 3NH2), 3.27 (2H, d, J = 6 Hz, CH2), 3.29 (2H, d, J = 6 Hz, CH2), 3.35 (1H, m, CH), 6.94-7.26 (14H, m, Ar-H). 13C-NMR (150 MHz, DMSO-d6): δ = 63.09 (2C, CH2), 72.49 (CH), 118.57 (3C, C-NH2), 122.01 (2C-O), 129.32 (12C, Ar-C), 140.07 (C-O), EI-HRMS: m/z for C21H23N3O3; calcd. 365.1739; found: 365.1736.
3.5. General Procedure for Syntheses of 13a–c
3.5.1. Method A: Conventional Heating
A mixture of 0.01 mol of the appropriate azo compound 10a–c (10a, 2.96 g, 10b, 2.59 g, 10c, 2.34 g) is added to 11a (0.66 g, 0.01 mol) in glycerol (5 mL). The reaction mixture was refluxed for 3–5 h (followed until completion by TLC using 1:1 ethyl acetate- petroleum ether as an eluent). The mixture was cooled and then was poured onto ice-water. The solid, so formed, was collected by filtration and recrystallized from EtOH.
3.5.2. Method B: Q-Tube Assisted Reactions
A 35 mL Q-tube pressure tube, furnished by Q Labtech was charged with 0.01 mol of the appropriate azo compound 10a–c (2.96 g of 10a, 2.59 g of 10b, 2.34 g of 10c), (0.66 g, 0.01 mol) of malononitrile 11a and 5mL glycerol. A Teflon septum was placed on top of the tube, and an appropriate cap was used. The mixture was heated at 150 °C for 30 min followed until completion by TLC using 1:1 ethyl acetate-petroleum ether as an eluent. The mixture was cooled and then was poured onto ice-water. The solid, so formed, was collected by filtration and recrystallized from EtOH.
3.6. Benzyl 6-amino-6-(cyanomethyl)-4-oxo-1-phenyl-1,4,5,6-tetrahydropyridazine-3-carboxylate 13a
Yellow crystals, yield 52% (method A), 76% (method B); mp >340 °C. 1H-NMR (DMSO-d6, 600 MHz): δ = 1.28,1.31 (2H, m, CH2), 2.39,2.49 (2H, CH2, m), 4.30 (2H, s, CH2), 7.10–7.53 (10H, m, 2-Ph), 11.56, 14.22 (2H, 2s, NH2). 13C-NMR (150 MHz, DMSO-d6): δ = 196.8 (C=O), 164.5 (C=O), 163.0 (N-C-Ar), 142.8 (N=C), 132.0 (2C-Ar), 131.2 (3C-Ar), 129.8 (2C-Ar), 125.8 (2C-Ar), 116.6 (CN), 115.6 (2C-Ar), 72.9 (C-NH2), 60.8 (CH2-O), 30.8 (CH2), 25.9 (CH2). HRMS: m/z (EI) for C20H18N4O3, calcd. 362.1379, found: MS: m/z (%) = 362.53 (M+).
3.7. Ethyl-6-amino-5-cyano-6-(cyanomethyl)-4-oxo-1-phenyl-1,4,5,6-tetrahydropyridazine-3-carboxylate 13b
Red crystals, yield 64% (method A), 88% (method B); m.p. 256-258 °C, IR (KBr): 3425 (NH), 2202 (CN), 1620 (CO) cm−1, 1H-NMR (DMSO-d6, 600 MHz): δ = 1.04 (3H,t, CH3), 1.05 (2H,m, CH2), 2.03 (1H,s, CH), 3.33 (2H,s, CH2), 4.32 (2H,m, CH2), 7.27-7.64 (5H, m, H-Ph). 13C-NMR (150 MHz, DMSO-d6)): δ = 13.90 (CH3), 24.0 (C-CN), 26.69 (CH2), 61.23 (C-O), 66.0 (C-NH2), 115.90 (2C; 2CN), 119.21 (2C-Ar), 123.87 (C-Ar), 128.88 (2C-Ar), 129.51 (C=N), 138.34 (C-Ar), 160.97 (2C=O). MS (EI): m/z = 326.0 (M+). HRMS: m/z (EI) for C16H15N5O3, calcd. 325.1175, found: MS: m/z (%) = 326.0 (M+).
3.8. Ethyl-6-amino-6-(2-ethoxy-2-oxoethyl)-4-oxo-1-phenyl-1,4,5,6-tetrahydropyridazine-3-carboxylate 13c
Brown crystals, yield 70% (method A), 92% (method B), m.p. 266–268 °C, IR (KBr): 3439 (NH), 2222 (CN), 1670 (CO) cm−1, 1H-NMR (DMSO-d6, 600 MHz) : δ = 1.20 (3H,t, CH3), 1.40 (3H,t, CH3), 2.50 (2H,s, CH2), 3.36 (2H,s, CH2), 4.10 (2H,m, CH2), 4.35 (2H,m, CH2), 7.07-7.55 (5H, m, H-Ph), 10.29 (1H, s, NH). 13C-NMR (150 MHz, DMSO-d6): δ = 8.37 (2C- CH3), 62.59 (CH2), 63.06 (CH2), 66.24 (CH2-O), 68.81 (CH2-O), 72.48 (C-NH2), 114.96 (C-Ar), 116.15 (CN), 116.30 (C-Ar), 123.62 (C-Ar), 129.05 (C-Ar), 129.62 (C-Ar), 130.16 (C=N), 142.42 (C=O), 161.72 (C=O), 196.22 (C=O). HRMS: m/z (EI) for C17H21N3O5: 347.1481, found: MS: m/z (%) = 347.1 (M+).
4. Conclusions
In this study, we combined glycerol and water as green, efficient solvents, in addition to pressure in Q-tubes, to modify the synthesis of quinolines and prepare new aniline trimers and pyridazines. Glycerol was efficiently employed either as a catalyst or a reactant and green bio-based solvent in the synthesis of novel quinolines, aniline trimers, and pyridazines. The dual use of glycerol along with reactions under pressure proved its efficiency as a green method for synthesis of quinolines as reactions products were obtained in higher yields, shorter time, and without any oxidizing agents. Reactions of anilines, sulphuric acid, water, and glycerol under pressure allowed for the synthesis of unexpected novel aniline trimers. Lastly, glycerol also proved to be an efficient medium/catalyst for synthesis of novel pyridazines in very good yields under pressure. Future perspectives for this work are various since our techniques should open the appetite of researchers to extend this work for the synthesis of azoles, azines, and other polyanilines.
Acknowledgments
The authors would like to express their deepest gratitude and acknowledgment for M. H. Elnagdi Emeritus Professor at Cairo University, Cairo, Egypt, for his valuable scientific consultations, guidance, and valuable criticism throughout this work.
Author Contributions
Conceptualization, N.M.H.E. Data curation, D.S.A. Investigation, N.M.H.E. and D.S.A. Methodology, N.M.H.E. Resources, D.S.A. Supervision, N.M.H.E. Writing—original draft, N.M.H.E. Writing—review & editing, N.M.H.E and D.S.A.
Funding
This research received no external funding.
Conflicts of Interest
The authors declare no conflict of interest.
Footnotes
Sample Availability: Samples of the compounds 22a–c are available from the authors.
References
- 1.Smeaton W.A. Carl Wilhelm Scheele (1742–1786): Provincial Swedish pharmacist and world-famous chemist. Endeavour. 1992;16:128–131. doi: 10.1016/0160-9327(92)90071-V. [DOI] [Google Scholar]
- 2.Urdang G. Pictorial life history of the apothecary chemist Carl Wilhelm Scheele. Am. Inst. Hist. Pharm. 1942:17–19. [Google Scholar]
- 3.Pagliaro M., Rossi M. The Future of Glycerol. 2nd ed. Royal Society of Chemistry; Cambridge, UK: 2010. Glycerol: Properties and production; pp. 1–2. [Google Scholar]
- 4.García J., García-Marín H., Pires E. Glycerol based solvents: Synthesis, properties and applications. Green Chem. 2014;16:1007–1033. [Google Scholar]
- 5.Pinto A.C., Guarieiro L.L., Rezende M.J., Ribeiro N.M., Torres E.A., Lopes W.A., Pereira P.A., Andrade J.B. Biodiesel: An overview. J. Braz. Chem. Soc. 2005;16:1313–1330. doi: 10.1590/S0103-50532005000800003. [DOI] [Google Scholar]
- 6.Díaz-Álvarez A.E., Francos J., Croche P., Cadierno V. Recent advances in the use of glycerol as green solvent for synthetic organic chemistry. Curr. Green Chem. 2014;1:51–65. doi: 10.2174/221334610101131218094907. [DOI] [Google Scholar]
- 7.Vo Y.H., Le T.V., Nguyen H.D., To T.A., Ha H.Q., Nguyen A.T., Phan A.N., Phan N.T. Synthesis of quinazolinones and benzazoles utilizing recyclable sulfated metal-organic framework-808 catalyst in glycerol as green solvent. J. Ind. Eng. Chem. 2018;64:107–115. doi: 10.1016/j.jiec.2018.03.006. [DOI] [Google Scholar]
- 8.Li S., Deng W., Li Y., Zhang Q., Wang Y. Catalytic conversion of cellulose-based biomass and glycerol to lactic acid. J. Energy Chem. 2019;32:138–151. doi: 10.1016/j.jechem.2018.07.012. [DOI] [Google Scholar]
- 9.Wang Y., Xiao Y., Xiao G. Sustainable Value-added C3 Chemicals from Glycerol Transformations: A Mini Review for Heterogeneous Catalytic Processes. Chin. J. Chem. Eng. 2019 doi: 10.1016/j.cjche.2019.03.001. in press. [DOI] [Google Scholar]
- 10.Monteiro M.R., Kugelmeier C.L., Pinheiro R.S., Batalha M.O., da Silva César A. Glycerol from biodiesel production: Technological paths for sustainability. Renew. Sustain. Energy Rev. 2018;88:109–122. doi: 10.1016/j.rser.2018.02.019. [DOI] [Google Scholar]
- 11.Talebian-Kiakalaieh A., Amin N.A., Rajaei K., Tarighi S. Oxidation of bio-renewable glycerol to value-added chemicals through catalytic and electro-chemical processes. Appl. Energy. 2018;230:1347–1379. doi: 10.1016/j.apenergy.2018.09.006. [DOI] [Google Scholar]
- 12.Pätzold M., Siebenhaller S., Kara S., Liese A., Syldatk C., Holtmann D. Deep Eutectic Solvents as Efficient Solvents in Biocatalysis. Trends Biotechnol. 2019 doi: 10.1016/j.tibtech.2019.03.007. in press. [DOI] [PubMed] [Google Scholar]
- 13.Zhao H., Zheng L., Li X., Chen P., Hou Z. Hydrogenolysis of glycerol to 1, 2-propanediol over Cu-based catalysts: A short review. Catal. Today. 2019 doi: 10.1016/j.cattod.2019.03.011. in press. [DOI] [Google Scholar]
- 14.Cespi D., Passarini F., Mastragostino G., Vassura I., Larocca S., Iaconi A., Chieregato A., Dubois J.L., Cavani F. Glycerol as feedstock in the synthesis of chemicals: A life cycle analysis for acrolein production. Green Chem. 2015;17:343–355. doi: 10.1039/C4GC01497A. [DOI] [Google Scholar]
- 15.Villa A., Dimitratos N., Chan-Thaw C.E., Hammond C., Prati L., Hutchings G.J. Glycerol oxidation using gold-containing catalysts. Acc. Chem. Res. 2015;17:1403–1412. doi: 10.1021/ar500426g. [DOI] [PubMed] [Google Scholar]
- 16.Sun D., Yamada Y., Sato S., Ueda W. Glycerol hydrogenolysis into useful C3 chemicals. APPL Catal. B-Environ. 2016;193:75–92. doi: 10.1016/j.apcatb.2016.04.013. [DOI] [Google Scholar]
- 17.Anitha M., Kamarudin S.K., Kofli N.T. The potential of glycerol as a value-added commodity. Chem. Eng. Sci. 2016;295:119–130. doi: 10.1016/j.cej.2016.03.012. [DOI] [Google Scholar]
- 18.Bagheri S., Julkapli N.M., Yehye W.A. Catalytic conversion of biodiesel derived raw glycerol to value added products. Renew. Sustain. Energy Rev. 2015;1:113–127. doi: 10.1016/j.rser.2014.08.031. [DOI] [Google Scholar]
- 19.Garlapati V.K., Shankar U., Budhiraja A. Bioconversion technologies of crude glycerol to value added industrial products. Biotechnol. Rep. (Amst.) 2016;1:9–14. doi: 10.1016/j.btre.2015.11.002. [DOI] [PMC free article] [PubMed] [Google Scholar]
- 20.Tan H.W., Aziz A.A., Aroua M.K. Glycerol production and its applications as a raw material: A review. Renew. Sustain. Energy Rev. 2013;1:118–127. doi: 10.1016/j.rser.2013.06.035. [DOI] [Google Scholar]
- 21.Pagliaro M., Ciriminna R., Kimura H., Rossi M., Della Pina C. From glycerol to value-added products. Angew. Chem. Int. Ed. 2007;11:4434–4440. doi: 10.1002/anie.200604694. [DOI] [PubMed] [Google Scholar]
- 22.Díaz-Álvarez A., Cadierno V. Glycerol: A promising green solvent and reducing agent for metal-catalyzed transfer hydrogenation reactions and nanoparticles formation. Appl. Sci. Basel. 2013;3:55–69. doi: 10.3390/app3010055. [DOI] [Google Scholar]
- 23.Katryniok B., Paul S., Dumeignil F. Recent developments in the field of catalytic dehydration of glycerol to acrolein. ACS Catal. 2013;3:1819–1834. doi: 10.1021/cs400354p. [DOI] [Google Scholar]
- 24.Varma R.S., Len C. Glycerol valorization under continuous flow conditions-recent advances. Curr. Opin. Green Sustain. Chem. 2019;15:83–90. doi: 10.1016/j.cogsc.2018.11.003. [DOI] [Google Scholar]
- 25.Wolfson A., Dlugy C., Shotland Y. Glycerol as a green solvent for high product yields and selectivities. Environ. Chem. Lett. 2007;5:67–71. doi: 10.1007/s10311-006-0080-z. [DOI] [Google Scholar]
- 26.Gu Y., Jérôme F. Glycerol as a sustainable solvent for green chemistry. Green Chem. 2010;12:1127–1138. doi: 10.1039/c001628d. [DOI] [Google Scholar]
- 27.Sotto N., Cazorla C., Villette C., Billamboz M., Len C. Toward the sustainable synthesis of biosourced divinylglycol from glycerol. ACS Sustain. Chem. Eng. 2016;4:6996–7003. doi: 10.1021/acssuschemeng.6b01900. [DOI] [Google Scholar]
- 28.Arrhenius S. About the dissociation heat and the influence of temperature on the degree of dissociation of the electrolytes. J. Phys. Chem. 1889;4:96–116. [Google Scholar]
- 29.Hamid A.A., Abd-Elmonem M., Hayallah A.M., Elsoud F.A., Sadek K.U. Glycerol: A Promising Benign Solvent for Catalyst Free One-Pot Multi-Component Synthesis of Pyrano [2, 3-c] pyrazoles and Tetrahydro-benzo [b] pyrans at Ambient Temperature. Chem. Select. 2017;2:10689–10693. [Google Scholar]
- 30.Safaei H.R., Shekouhy M., Rahmanpur S., Shirinfeshan A. Glycerol as a biodegradable and reusable promoting medium for the catalyst-free one-pot three component synthesis of 4H-pyrans. Green Chem. 2012;14:1696–1704. doi: 10.1039/c2gc35135h. [DOI] [Google Scholar]
- 31.He F., Li P., Gu Y., Li G. Glycerol as a promoting medium for electrophilic activation of aldehydes: Catalyst-free synthesis of di (indolyl) methanes, xanthene-1, 8 (2 H)-diones and 1-oxo-hexahydroxanthenes. Green Chem. 2009;11:1767–1773. doi: 10.1039/b916015a. [DOI] [Google Scholar]
- 32.Radatz C.S., Silva R.B., Perin G., Lenardão E.J., Jacob R.G., Alves D. Catalyst-free synthesis of benzodiazepines and benzimidazoles using glycerol as recyclable solvent. Tetrahedron. Lett. 2011;52:4132–4136. doi: 10.1016/j.tetlet.2011.05.142. [DOI] [Google Scholar]
- 33.Skraup Z.H. Synthetic experiments in the quinoline series. Monatsh. Chem. 1881;2:139–170. [Google Scholar]
- 34.Wang H. Comprehensive Organic Name Reactions. Skraup Reaction. John Wiley & Sons; Hoboken, NJ, USA: 2010. [Google Scholar]
- 35.Soap and Detergent Association . Glycerine: An overview. Terms, Technical Data, Properties, Performance. Soap and Detergent Association; Washington, DC, USA: 1990. [Google Scholar]
- 36.Nainwal L.M., Tasneem S., Akhtar W., Verma G., Khan M.F., Parvez S., Shaquiquzzaman M., Akhter M., Alam M.M. Green recipes to quinoline: A review. Eur. J. Med. Chem. 2019;164:121–170. doi: 10.1016/j.ejmech.2018.11.026. [DOI] [PubMed] [Google Scholar]
- 37.Găină L., Cristea C., Moldovan C., Porumb D., Surducan E., Deleanu C., Mahamoud A., Barbe J., Silberg I. Microwave-Assisted Synthesis of Phenothiazine and Qinoline Derivatives. Int. J. Mol. Sci. 2007;8:70–80. doi: 10.3390/i8020070. [DOI] [Google Scholar]
- 38.Amarasekara A.S., Hasan M.A. 1-(1-Alkylsulfonic)-3-methylimidazolium chloride Brönsted acidic ionic liquid catalyzed Skraup synthesis of quinolines under microwave heating. Tetrahedron. Lett. 2014;55:3319–3321. doi: 10.1016/j.tetlet.2014.04.047. [DOI] [Google Scholar]
- 39.Selivanova G.A., Reshetov A.V., Bagryanskaya I.Y., Shteingarts V.D. Skraup-like cyclization of polyfluoro-2-naphthylamines: Vicarious electrophilic substitution of fluorine. J. Fluorine Chem. 2012;137:113–116. doi: 10.1016/j.jfluchem.2012.03.001. [DOI] [Google Scholar]
- 40.Ramann G., Cowen B. Recent advances in metal-free quinoline synthesis. Molecules. 2016;21:986. doi: 10.3390/molecules21080986. [DOI] [PMC free article] [PubMed] [Google Scholar]
- 41.Li A., Yang Z., Yang T., Luo C.W., Chao Z.S., Zhou C.S. High efficiency microwave-assisted synthesis of quinoline from acrolein diethyl acetal and aniline utilizing Ni/Beta catalyst. Catal. Commun. 2018;115:21–25. doi: 10.1016/j.catcom.2018.06.024. [DOI] [Google Scholar]
- 42.Rao M.S., Sarkar S., Hussain S. Microwave-assisted synthesis of 3-aminoarylquinolines from 2-nitrobenzaldehyde and indole via SnCl2-mediated reduction and facile indole ring opening. Tetrahedron Lett. 2019;60:1221–1225. doi: 10.1016/j.tetlet.2019.03.047. [DOI] [Google Scholar]
- 43.Hu W., Yang W., Yan T., Cai M. An efficient heterogeneous gold (I)-catalyzed intermolecular cycloaddition of 2-aminoaryl carbonyls and internal alkynes leading to polyfunctionalized quinolines. Synth. Commun. 2019;49:799–813. doi: 10.1080/00397911.2019.1567788. [DOI] [Google Scholar]
- 44.Karamshahi Z., Ghorbani-Vaghei R., Sarmast N. Efficient synthesis of multiply substituted 7H-indeno [2, 1-c] quinoline using 7-aminonaphthalene-1, 3-disulfonic acid supported on LDHs as catalyst. Mater. Sci. Eng. C. 2019;1:45–54. doi: 10.1016/j.msec.2018.12.015. [DOI] [PubMed] [Google Scholar]
- 45.Singhal A., Kumari P., Nisa K. Facile One-Pot Friedlander Synthesis of Functionalized Quinolines using Graphene Oxide Carbocatalyst. Curr. Org. Chem. 2019;16:154–159. doi: 10.2174/1570179415666181002114621. [DOI] [PubMed] [Google Scholar]
- 46.Snieckus V., Curto J.M. Cobalt-Catalyzed Synthesis of Quinolines and Acridines from Anthranils. Synfacts. 2019;15:354. [Google Scholar]
- 47.Dadhania H., Raval D., Dadhania A. A Highly Efficient and Solvent-Free Approach for the Synthesis of Quinolines and Fused Polycyclic Quinolines Catalyzed by Magnetite Nanoparticle-Supported Acidic Ionic Liquid. Polycycl. Aromat. Comp. 2019:1–4. doi: 10.1080/10406638.2019.1595057. [DOI] [Google Scholar]
- 48.Wang C., Yang J., Meng X., Sun Y., Man X., Li J., Sun F. Manganese (II)-catalysed dehydrogenative annulation involving C–C bond formation: Highly regioselective synthesis of quinolines. Dalton Trans. 2019;48:4474–4478. doi: 10.1039/C9DT00647H. [DOI] [PubMed] [Google Scholar]
- 49.Zhao P., Wu X., Zhou Y., Geng X., Wang C., Wu Y.D., Wu A.X. Direct Synthesis of 2, 3-Diaroyl Quinolines and Pyridazino [4, 5-b] quinolines via an I2-Promoted One-Pot Multicomponent Reaction. Org. Lett. 2019;21:2708–2711. doi: 10.1021/acs.orglett.9b00685. [DOI] [PubMed] [Google Scholar]
- 50.Mao H.K., Chen B., Chen J., Li K., Lin J.F., Yang W., Zheng H. Recent advances in high-pressure science and technology. MRE. 2018;1:59. doi: 10.1016/j.mre.2016.01.005. [DOI] [Google Scholar]
- 51.Wang Y., Dong X., Tang X., Zheng H., Li K., Lin X., Fang L., Sun G.A., Chen X., Xie L., et al. Pressure-Induced Diels–Alder Reactions in C6H6-C6F6 Cocrystal towards Graphane Structure. Angew. Chem. Int. Ed. 2019;58:1468–1473. doi: 10.1002/anie.201813120. [DOI] [PubMed] [Google Scholar]
- 52.Lei L., Zhang L. Recent advance in high-pressure solid-state metathesis reactions. MRE. 2018;3:95. doi: 10.1016/j.mre.2017.12.003. [DOI] [Google Scholar]
- 53.Sadek K.U., Selim M.A., Alnajjar A.A., Atallah M., Elnagdi M.H. Multicomponent reactions under increased pressure: On the reaction of arylhydrazonals, aromatic aldehydes and malononitrile in Q-Tube. Eur. J. Chem. 2016;7:468–472. doi: 10.5155/eurjchem.7.4.468-472.1508. [DOI] [Google Scholar]
- 54.AL-Johani M., Al-Zaydi K., Mousally S., Alqahtani N., Elnagdi N., Elnagdi M. Multi Component Reactions under Increased Pressure: On the Mechanism of Formation of Pyridazino [5, 4, 3-de] [1,6] naphthyridine Derivatives by the Reaction of Malononitrile, Aldehydes and 2-Oxoglyoxalarylhydrazones in Q-Tubes. Molecules. 2017;22:2114. doi: 10.3390/molecules22122114. [DOI] [PMC free article] [PubMed] [Google Scholar]
- 55.Alzaydi K.M., Abojabal N.S., Elnagdi M.H. Multicomponent reactions in Q-Tubes™: One-pot synthesis of benzo [c] chromen-6-one and phenanthridin-6 (5H)-one derivatives in a four-component reaction. Tetrahedron Lett. 2016;57:3596–3599. doi: 10.1016/j.tetlet.2016.05.035. [DOI] [Google Scholar]
- 56.Nacca F.G., Merlino O., Mangiavacchi F., Krasowska D., Santi C., Sancineto L. The Q-tube system, a nonconventional technology for Green Chemistry Practitioners. Curr. Green Chem. 2017;4:58–66. doi: 10.2174/2213346104666170908160741. [DOI] [Google Scholar]
- 57.Chen R., Hoffmann R., Cammi R. The Effect of Pressure on Organic Reactions in Fluids—A New Theoretical Perspective. Angew. Chem. Int. Ed. 2017;56:11126–11142. doi: 10.1002/anie.201705427. [DOI] [PubMed] [Google Scholar]
- 58.Galy N., Nguyen R., Yalgin H., Thiebault N., Luart D., Len C. Glycerol in subcritical and supercritical solvents. J. Chem. Technol. Biotechnol. 2017;92:14–26. doi: 10.1002/jctb.5101. [DOI] [Google Scholar]
- 59.Nqoro X., Tobeka N., Aderibigbe B. Quinoline-based hybrid compounds with antimalarial activity. Molecules. 2017;22:2268. doi: 10.3390/molecules22122268. [DOI] [PMC free article] [PubMed] [Google Scholar]
- 60.Foley M., Tilley L. Quinoline antimalarials: Mechanisms of action and resistance and prospects for new agents. Pharmacol. Ther. 1998;79:55–87. doi: 10.1016/S0163-7258(98)00012-6. [DOI] [PubMed] [Google Scholar]
- 61.Afzal O., Kumar S., Haider M.R., Ali M.R., Kumar R., Jaggi M., Bawa S. A review on anticancer potential of bioactive heterocycle quinoline. Eur. J. Med. Chem. 2015;97:871–910. doi: 10.1016/j.ejmech.2014.07.044. [DOI] [PubMed] [Google Scholar]
- 62.Zhanel G.G., Ennis K., Vercaigne L., Walkty A., Gin A.S., Embil J., Smith H., Hoban D.J. A critical review of the fluoroquinolones. Drugs. 2002;62:13–59. doi: 10.2165/00003495-200262010-00002. [DOI] [PubMed] [Google Scholar]
- 63.Scholar M. Fluoroquinolines: Past, present and future of a novel group of antibacterial agents. Am. J. Pharm. Educ. 2002;66:164–171. [Google Scholar]
- 64.Saggadi H., Luart D., Thiebault N., Polaert I., Estel L., Len C. Quinoline and phenanthroline preparation starting from glycerol via improved microwave-assisted modified Skraup reaction. RSC Adv. 2014;4:21456–21464. doi: 10.1039/C4RA00758A. [DOI] [Google Scholar]
- 65.Ibrahim H.M., Elnagdi M.H. Personal communication. Arkivoc in preparation.
- 66.Nagawade R.R., Khanna V.V., Bhagwat S.S., Shinde D.B. Synthesis of new series of 1-Aryl-1,4-dihydro-4-oxo-6-methyl pyridazine-3-carboxylic acid as potential antibacterial agents. Eur. J. Med. Chem. 2005;40:1325–1330. doi: 10.1016/j.ejmech.2005.05.012. [DOI] [PubMed] [Google Scholar]
- 67.Kandile N.G., Mohamed M.I., Zaky H., Mohamed H.M. Novel pyridazine derivatives: Synthesis and antimicrobial activity evaluation. Eur. J. Med. Chem. 2009;44:1989–1996. doi: 10.1016/j.ejmech.2008.09.047. [DOI] [PubMed] [Google Scholar]
- 68.Husain A., Ahmad A., Bhandari A., Ram V. Synthesis and antitubercular activity of pyridazinone derivatives. J. Chil. Chem. Soc. 2011;56:778–780. doi: 10.4067/S0717-97072011000300013. [DOI] [Google Scholar]
- 69.Guan L.P., Sui X., Deng X.Q., Quan Y.C., Quan Z.S. Synthesis and anticonvulsant activity of a new 6-alkoxy- [1,2,4]triazolo[4,3-b]pyridazine. Eur. J. Med. Chem. 2010;45:1746–1752. doi: 10.1016/j.ejmech.2009.12.077. [DOI] [PubMed] [Google Scholar]
- 70.Banerjee P.S., Sharma P.K., Nema R.K. Synthesis and anticonvulsant activity of pyridazinone derivatives. Int. J. ChemTech. Res. 2009;1:522–525. [Google Scholar]
- 71.Mishra R., Siddiqui A.A., Husain A., Rashid M., Goda C. Design, synthesis and antihypertensive screening of novel pyridazine substituted s-triazin-2-imine/one/thione derivatives. J. Enzym. Inhib. Med. Chem. 2013;28:552–559. doi: 10.3109/14756366.2012.656623. [DOI] [PubMed] [Google Scholar]
- 72.Asif M. General study of pyridazine compounds against cyclooxygenase enzyme and their relation with analgesic, antiinflammatory and anti-arthritic activities. Chron. Young Sci. 2010;1:3–9. [Google Scholar]
- 73.Asif M. Analgesic activity of some 6-phenyl-4-substituted benzylidene tetrahydro pyridazin-3(2H)-ones. Glob. J. Pharmacol. 2011;5:18–22. [Google Scholar]
- 74.Ghozlan S., Abdelhamid I., Elnagdi M.H. Functionally substituted arylhydrazones as building blocks in heterocyclic synthesis: Routes to pyridazines and pyridazinoquinazolines. Arkivoc. 2006;1:147–157. [Google Scholar]
- 75.Fahmy S., Abed N., Mohareb R., Elnagdi M. Activated nitriles in heterocyclic synthesis: Novel synthesis of pyridazines, pyridines, and isoxazoles. Synthesis. 1982;11:490–493. doi: 10.1055/s-1982-29850. [DOI] [Google Scholar]









