Abstract
Background
The aim of this study was to identify factors influencing shoulder and/or neck function in patients up to five years after treatment.
Materials and methods
Lateral flexion of the neck, ipsilateral forward flexion, and abduction of the shoulder were measured. Potential factors were entered into a linear mixed model analysis to create a multivariate model for describing the results.
Results
Predicted neck and shoulder function was negatively influenced by higher age before intervention. Contralateral flexion of the neck was lower for patients undergoing surgery and radiotherapy compared to surgery. Ipsilateral flexion of the neck is influenced by a higher age at baseline. Ipsilateral shoulder abduction is lower for female gender, bone graft/flap reconstruction, and more extensive neck dissection. Ipsilateral forward flexion of the shoulder is lower for bone graft/flap reconstruction and better for patients with a T2 tumor in comparison to T3 and T4 tumors, as predicted.
Conclusion
By our five-year follow-up outcomes of this study, neck and/or shoulder impairments can be found for high-risk patients by physiotherapists.
Electronic supplementary material
The online version of this article (10.1007/s00520-018-4534-1) contains supplementary material, which is available to authorized users.
Keywords: Shoulder function, Neck function, Mouth neoplasms, Neck dissection, Risk factors, Mixed models
Introduction
The curative treatment of oral cancer has become less invasive and more targeted in order to minimize negative side effects and improve functional and cosmetic results [1]. Survivors of oral cancer commonly experience treatment-related morbidity that impairs oral functions [2–5] and general physical condition in addition to causing limitations in daily activities involving neck and shoulder function [6]. A decrease in neck and shoulder function is negatively correlated with the extent of neck dissection (ND), and it can lead to functional limitations that hamper activities of daily life (ADL) and decrease Quality of Life (QoL) [6–8].
Lateral flexion of the neck is affected on both the side of the ND surgery and the contralateral side [6, 8], although patients experience the greatest impairment in shoulder abduction on the side of the ND and/or radiotherapy [6, 8]. Reports on prevalence of shoulder dysfunction exhibit wide variation in how the limitations in function progress over time, and they are often limited to one-year follow-up or a single moment of measurement [9]. One cross-sectional study measuring shoulder range of motion at five-year follow-up reports slightly lower scores for shoulder function, as compared to studies reporting one-year measurements [10]. There is thus no definitive prognostic information that can be provided to patients during rehabilitation. During treatment, 73% of all patients report the need for physical therapy and 23% report such needs after 8–11 years [11]. Patients and clinicians also tend to under-appreciate the late effects of oral oncology treatment. Insight into late effects is nevertheless critical for maximizing function and minimizing symptom burden in long-term survivors. Rehabilitation intervention studies aimed at minimizing neck and shoulder complaints are scarce [12, 13]. In our opinion, one limitation of the existing intervention studies is their lack of attention to customized care for patients who are at risk for neck and/or shoulder complaints. Interventions should be made more patient-centered through the application of risk-stratified rehabilitation programs. Studies identifying these clinical factors and patient characteristics for the purpose of informing patients and clinicians and developing optimally timed patient-centered risk-stratified rehabilitation programs are lacking.
The purpose of this study was to identify clinical factors and patient characteristics that influence a patient’s neck and shoulder function during the five-year period following curative oral cancer treatment.
Methods
Study setting and participants
Patients were recruited between January 2007 and August 2009 in the University Medical Center Utrecht (UMC Utrecht) and the Radboud University Medical Center (Radboudumc) in Nijmegen. The study was conducted according to the principles of the Declaration of Helsinki (59th version, 21-10-2008) and in accordance with the Medical Research Involving Human Subjects Act (WMO). The research protocol was approved by the respective Ethics Committees of the University Medical Center Utrecht and Radboud University Nijmegen Medical Center. Patients received oral information about the study. Inclusion criteria were having primary oral cavity cancer and undergoing curative cancer treatment (i.e., surgery only or both surgery and radiotherapy). To be included, patients were required to be 18 years or older and to provide informed consent. Patients with bilateral neck dissection (BND), previous or synchronous malignancies, pectoral flap reconstruction, cognitive impairment, or the inability to speak Dutch were excluded. Post-operative radiotherapy was given by indication within six weeks after surgery, in accordance with the guidelines of the Dutch Head and Neck Society. The total radiotherapy dosage (primary or adjuvant) was 54–70 Gy. Age, gender, tobacco use, and alcohol consumption were recorded at the pre-treatment session. Details on tumor location (maxilla, mandible, tongue/floor of mouth [TFM]), tumor size (T of TNM), lymph nodes involved (N of TNM) [14], treatment modality (surgery [S], surgery-radiotherapy [SR]), surgical reconstruction of the oral cavity (no reconstruction, local flap, free or myocutaneous flap, bone graft/flap), and type of ND (no neck dissection [No ND], selective neck dissection [SND], modified radical neck dissection [MRND], radical neck dissection [RND] [15]) were obtained from medical records. A distinction was made between patients who smoked daily and those who either did not smoke or who smoked infrequently. With respect to alcohol consumption, a distinction was made between patients who consumed an average of more than one alcoholic beverage per day and those who consumed one alcoholic beverage per day or less. In this study, tumor locations included the mandible, maxilla (with or without ingrowth in the maxillary antrum), and tongue/floor of mouth.
Study procedure
The measurement moments were 4–6 weeks before intervention (T0), 4–6 weeks after surgery (T1a), and/or 4–6 weeks after radiotherapy (T1b), and 6 (T2), 12 (T3), and 60 (T4) months after intervention.
Measurements
Patients were measured according to a standardized measurement protocol. The active range of motion (AROM) for the neck and shoulders was determined using the MicroFET 6 electronic inclinometer (Hoggan Health Industries; West Jordan, UT). Digital inclinometry has demonstrated good intraclass correlation (ICC) scores of 0.93 for patients with neck pain [16] and 0.83 for shoulder abduction in patients with shoulder pain [17]. The following AROM variables were determined: active maximal lateral flexion of the neck to the left and right sides in a sitting position; active maximal abduction; and forward flexion of the shoulder on the side of the ND in a standing position. The endpoint in AROM measurements was determined by musculoskeletal restrictions or pain. The mean of two sequential measurements was used for further analysis.
In this discussion, the side with ND is referred to as the ipsilateral side, with the opposite side referred to as the contralateral side. For patients with ND, we only used the outcomes of the affected (ipsilateral) side for shoulder abduction and forward flexion, given the relationship of limitations in shoulder function and pain to ND surgery [8, 18].
Statistical analysis
Descriptive statistics were calculated for patients without ND, selective neck dissection (SND), modified radical neck dissection (MRND), and radical neck dissection (RND). Categorical variables are presented as numbers and percentages, and continuous variables are presented as means and standard deviations in the case of normally distributed variables. The Fisher’s exact test was used to analyze any differences in patient characteristics with respect to neck dissection; one-way analysis of variance (ANOVA) was used to examine age differences among the groups.
Patients who were treated with surgery and radiotherapy were measured shortly after surgery and shortly after radiotherapy (T1a & T1b). Results from a paired t-test nevertheless revealed no statistical differences (P > 0.05) between these measurement moments. We therefore used the AROM scores obtained shortly after the total oral oncology treatment (i.e., shortly after both surgery and radiotherapy; T1) was used.
Linear mixed-effects models were constructed for all measurement moments up to five-year follow-up, in order to explore the effect of patient and clinical variables on the maximum AROM of the ipsilateral and contralateral flexion of the neck, ipsilateral abduction, and ipsilateral forward flexion of the shoulder. Age at baseline, gender, tobacco use at baseline, alcohol consumption at baseline, tumor location, tumor size (T of TNM), lymph nodes involved (N of TNM), treatment modality, resection site, surgical reconstruction, type of neck dissection, and the measurement moment were added as fixed effects, as were the interaction of clinical factors and patient characteristics with the measurement moment. A random patient factor was added, in order to account for within-patient correlations. The fixed effects that were not significant at a 0.05 level were removed in a backward process, beginning with the interactions, in order to build a parsimonious model with a sufficiently good fit and maintaining a hierarchical structure. In this context, a hierarchical structure means that, if an interaction with the measurement moment was included in the model, the main effect was also included in the final model. For the significant variables, the main effects on ipsilateral and contralateral flexion of the neck, ipsilateral shoulder abduction, and ipsilateral forward flexion were calculated. All analyses were performed using SAS version 9.2 (SAS Institute, Cary, NC).
Results
In all, 113 patients were included in this study. The baseline characteristics are depicted in Table 1. Of these patients, 56 patients had been treated with primary surgery and 57 had been treated with surgery followed by radiotherapy. Further details concerning the patient characteristics have been previously described [2]. At one-year follow-up, 79 patients were measured. Between the baseline measurement and one year, 11 patients died, 19 stopped participating, and 4 were excluded due to recurrence of the tumor. The patients who were measured at one year consisted of 42 patients in the surgery group and 37 patients in the surgery-radiotherapy group. In all, 66 patients were measured at five-year follow-up. Between one-year and five-year follow-up, 12 patients died, 2 stopped participating, and 1 patient re-entered after missing a measurement at one-year follow-up.
Table 1.
Characteristics of groups related to (no) neck dissections at baseline
| No ND (n = 42) | SND (n = 55) | MRND (n = 14) | RND (n = 2) | P value | |
|---|---|---|---|---|---|
| Age (average, SD) | 66.6 (14.4) | 65.3 (12.9) | 62.3 (13.2) | 67.5 (11.3) | 0.775 |
| Sex | |||||
| Female | 22 | 22 | 7 | 1 | 0.672 |
| Male | 20 | 33 | 7 | 1 | |
| Smoking | |||||
| Yes | 32 | 34 | 10 | 1 | 0.397 |
| No | 10 | 21 | 4 | 1 | |
| Alcohol | |||||
| Yes | 31 | 36 | 10 | 1 | 0.700 |
| No | 11 | 19 | 4 | 1 | |
| Tumor location | |||||
| Mandible | 8 | 28 | 7 | 2 | 0.000** |
| Maxilla | 25 | 2 | 2 | 0 | |
| Tongue/floor of mouth | 9 | 25 | 5 | 0 | |
| T of TNM | |||||
| T1 | 20 | 18 | 1 | 0 | 0.084 |
| T2 | 10 | 17 | 6 | 2 | |
| T3 | 1 | 5 | 2 | 0 | |
| T4 | 11 | 15 | 5 | 0 | |
| N of TNM | |||||
| N0 | 40 | 39 | 0 | 0 | 0.000** |
| N1 | 0 | 5 | 6 | 1 | |
| N2 | 2 | 11 | 8 | 1 | |
| N3 | 0 | 0 | 0 | 0 | |
| Oncology treatment | |||||
| Surgery | 26 | 27 | 3 | 0 | 0.023* |
| Surgery and radiotherapy | 16 | 28 | 11 | 2 | |
| Oral reconstruction | |||||
| Primary closure | 27 | 20 | 6 | 1 | 0.122 |
| Local flap | 1 | 2 | 0 | 0 | |
| Myocutaneous/free flap | 12 | 20 | 6 | 1 | |
| Bone graft/flap | 2 | 13 | 2 | 0 | |
*P < 0.05
**P < 0.001
Differences in patients sorted by type of ND were tested by Fisher’s exact tests and one-way ANOVA for age
ND, neck dissection; SND, selective neck dissection; MRND, modified radical neck dissection; RND, radical neck dissection
Contralateral flexion of the neck
Results of the mixed model analysis indicate that contralateral flexion showed significant lower scores at the 6-week post-intervention (P < 0.05) and 1-year moment of measurement (P < 0.01). Higher age at baseline negatively influenced AROM by 0.31° per year of life (P < 0.001; e.g., the AROM of a 65-year-old patient was 3.1° lower at every measurement, as compared to the scores of a 55-year-old patient).
The moment of measurement interacted significantly with the type of treatment (P < 0.05) and type of ND (P < 0.05). In this model, this means that undergoing both surgery and radiotherapy compared to only a surgery intervention leads to a lower AROM at the 1- and 5-year moments of measurement. The influence of type of ND varies per moment of measurement. The course of contralateral flexion of the neck is visualized in Fig. 1 for contrasting patients. The model for baseline, one-year, and five-year follow-up is presented in Appendix A.
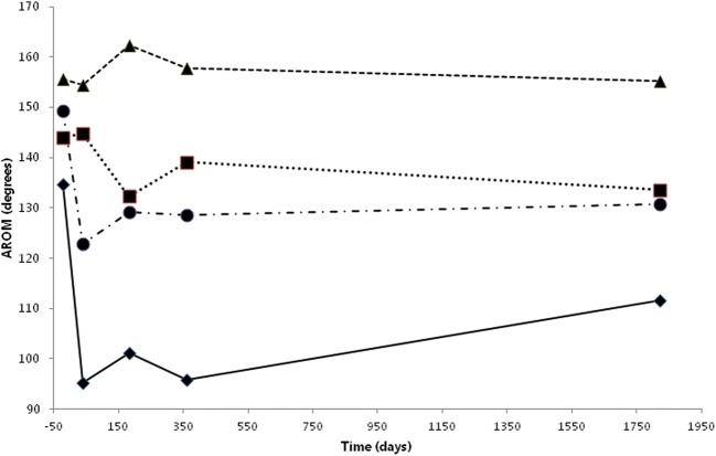
Fig. 1.
Ipsilateral and contralateral flexion of the neck, example patients. ▲, Contralateral flexion of the neck, 70-year-old patient, surgery. SND ●, contralateral flexion of the neck, 70-year-old patient, surgery and radiotherapy. MRND ♦, ipsilateral flexion of the neck, 50-year-old patient. ■, Ipsilateral flexion of the neck, 70-year-old patient. SND, selective neck dissection; MRND, modified radical neck dissection; AROM, active range of motion
Ipsilateral flexion of the neck
The mixed model analysis indicates that ipsilateral flexion of the neck was significantly lower at all the follow-up measurement moments, as compared to baseline (P < 0.001). Higher age at baseline negatively influenced AROM by 0.33° per year (P < 0.001; e.g., the AROM of a 65-year-old patient was 3.3° lower at every measurement, as compared to the scores of a 55-year-old patient). The course of ipsilateral flexion of the neck is visualized in Fig. 1 for contrasting patients.
The model for baseline, one-year, and five-year follow-up is presented in Appendix B.
Ipsilateral abduction of the shoulder
Ipsilateral abduction of the shoulder showed significant lower scores at follow-up compared to baseline (P < 0.01). Higher age at baseline negatively influenced AROM by 0.90° per year (P < 0.001; e.g., the AROM of a 60-year-old patient was 9.0° lower at every measurement, as compared to the scores of a 50-year-old patient).
Female patients had lower predicted AROM scores over the five-year course. For example, at the one-year moment of measurement, the predicted AROM of female patients was 8.7° lower than that of male patients (P < 0.01). The course of ipsilateral shoulder abduction was also significantly influenced by type of reconstruction (P < 0.001), with lower predicted scores for bone graft/flap reconstruction (P < 0.05) and a more extensive ND (P < 0.01). The course of ipsilateral abduction is visualized in Fig. 2 for two patients with contrasting characteristics. The model for baseline, one-year, and five-year follow-up is presented in Appendix C.
Fig. 2.
Ipsilateral shoulder abduction and forward flexion, example patients. ■, Ipsilateral abduction, 60-year-old male, primary closure, no ND. ♦, Ipsilateral abduction, 60-year-old female, bone graft/flap reconstruction, SND. ▲, Ipsilateral forward flexion, 60-year-old patient, myocutaneous or free flap reconstruction, T2 tumor, SND, TFM. ●, Ipsilateral forward flexion, 60-year-old patient, bone graft/flap reconstruction, T4 tumor, SND, mandibula. SND, selective neck dissection; TFM, tumor located in the tongue or floor of mouth; AROM, active range of motion
Ipsilateral forward flexion of the shoulder
Ipsilateral forward flexion of the shoulder was none significantly progressively lower at all post-intervention measurements with all being significantly lower than baseline (P < 0.05). Higher age at baseline negatively influenced AROM by 0.70° per year (P < 0.001). Type of reconstruction, type of ND, tumor location and T in TNM significantly interacted with the moment of measurement. This means in this model that patients with bone graft/flap reconstruction perform worse. Tumor location maxilla performed worse at the 6 week post intervention and 6 month moment of measurement. The influence of type of ND shows a non-significant trend for worse AROM with more extensive ND. T in TNM status shows better scores for patients with a T2 tumor [P < 0.05]) compared to T3 and T4 tumors. The course of ipsilateral forward flexion is visualized in Fig. 2 for two patients with contrasting characteristics. The model for baseline, one-year and five-year follow-up is presented in Appendix D.
Discussion
Neck and shoulder function were significantly lower over the 5 year course of follow up when compared to baseline. When exploring risk factors, higher age was shown to be the common factor negatively influencing active range of motion outcomes of the neck and shoulders. Contralateral flexion of the neck was predicted lower for patients treated with both surgery and radiotherapy compared to only a surgery intervention. Ipsilateral shoulder abduction was lower for females compared to male patients. Ipsilateral shoulder abduction and forward flexion were lower for patients undergoing bone graft/flap reconstruction. Ipsilateral forward flexion was also predicted by the type of ND, location, and T in TNM state with different influences at the moments of measurement.
The models could be used to target patients who are at risk for developing lower neck and shoulder function in future intervention studies.
The five-year course of neck and shoulder function
Only one other cross-sectional study has described shoulder function at five-year follow-up. It describes ipsilateral forward flexion and abduction as being persistently lower at five years, as compared to the normative AROM value of 150° [10]. Mean scores of all the predicted values in our models were lower than 150°, which is in line with these findings indicating shoulder limitation. Visual analysis of the course of neck and shoulder function for patients with different characteristics (Figs. 1 and 2) showed a decline in neck and shoulder function after intervention with partial recovery of function up to 1 year moment of measurement [6, 8]. The description of the five-year course of neck and shoulder function in our study confirms findings of other authors that neck and shoulder function deteriorates after medical intervention and partly recovers during follow-up. This could mean that physical therapy interventions can be started as soon as possible, and when patients did not receive post-intervention physical therapy, it can also be indicated at longer follow-up [6, 13, 19].
Factors influencing neck function
This is the first study to identify higher age at baseline as a risk factor for developing limitation in neck function. According to the results of the mixed model analysis, age was responsible for a decline of 0.31° per year for contralateral flexion of the neck and a decline of 0.33° per year for ipsilateral flexion of the neck. Normative data show that AROM of the neck during adulthood decreases with age at a rate of 5° per decade [20]. This natural decline in range of motion could thus offer an explanation for the decrease in neck function with higher age. Contralateral flexion of the neck was worse for patients undergoing surgery and radiotherapy in comparison to only surgery. The negative effect of adjuvant radiotherapy on AROM is in contrast with previous research [6, 8]. Although pain and radiation fibrosis offer plausible explanations for limitations in contralateral flexion of the neck, studies on chewing ability and trismus also show a negative effect of radiotherapy [2, 5].
Factors influencing shoulder function
The effect of age in the model for ipsilateral abduction (− 0.90°) per year and for forward flexion (− 0.70°) per year can be explained only partially by normative data, which indicates a natural decline of 0.33° per year between 40 and 70 years of age for forward flexion and abduction of the shoulder [21]. Higher age might be related to higher vulnerability, and it might therefore have a higher impact of the oncology treatment. In this study, ipsilateral shoulder abduction was lower for female patients than it was for male patients. This result is in contrast to results reported in studies on healthy subjects, in which females exhibited better AROM [22]. The model for ipsilateral abduction also included characteristics that are likely to be strongly correlated with each other (T in TNM, tumor location, type of reconstruction, and type of ND). The negative effect of the extent of neck dissection surgery on shoulder abduction and forward flexion has been described before, and it is partly related to accessory nerve damage [6, 23, 24]. The only previous cross-sectional study to describe shoulder function at five-year follow-up also reported a negative effect for the extent of ND surgery [10]. The negative effect of bone graft/flap reconstruction is in line with previous studies, which have reported negative effects for extensive reconstructive surgery [6, 25].
Limitations of this study
The models should be interpreted with care, as the predicted AROM of patients with clinically more common characteristics are likely to be more valid. Information on the accessory nerve status of patients in this cohort is lacking. Accessory nerve status can explain about 50% of the limitations in shoulder function [26], in addition to providing prognostic information to patients and physical therapists. Accessory nerve status could be examined by electromyography (EMG), by screening the operative report for accessory nerve status, or by examining active trapezius muscle function. Due to time constraints, no measurement of external rotation of the shoulder was performed. A decrease in external rotation could be an indication for secondary shoulder complaints, like adhesive capsulitis [8, 27]. The patients receiving neck dissection surgery in this study were treated by different head and neck oncology surgeons. This could have influenced the outcomes of function related to the (years of) experience of these surgeons. However, until now, there is no evidence to underpin this. This study could have been biased by the rate of loss to follow-up due to death and withdrawal, with patients in better condition being more likely to survive and less likely to withdraw from the study. In all, 28% of the patients in this sample died between baseline and five-year follow-up. These patients probably had worse characteristics, but the use of mixed model analysis corrects for this possibility. The design of this study was explorative design, and it did not present a prediction model, due to the absence of a clinical cut-off point for identifying patients at risk. This limits the clinical usability of the results.
All patients undergoing ND had received instructions from a physical therapist regarding basic neck and shoulder mobility exercises before discharge from the hospital. Although outpatient physical therapy was registered, the content and frequency of the treatments were unclear. The level of daily activity and exercises performed by the patients included in this study was not registered. It could be hypothesized that patients who are more physically active recover better. Future research should include measurements on daily activity and exercise.
Future perspectives
This study provides clinicians with insight into factors that influence the course of lateral flexion of the neck, ipsilateral abduction, and forward flexion of the shoulder for patients with oral cancer [12, 28]. Patients with characteristics that predict worse AROM recovery over five years, as compared to baseline, could be the focus for future physical therapy interventions. The results could be used to inform patients and customize exercise interventions. Patients who are expected to regain neck and shoulder function comparable to baseline could be helped with a basic exercise instruction. Patients who are expected to develop limitations in neck and shoulder function could possibly benefit more from patient-tailored program. The specific exercises have to be determined in future research as underlying mechanisms for developing neck and shoulder complaints can be different. The effects and optimal exercise strategies of such programs should be studied. This would be in line with the current public demand for cost-effective and risk-stratified care.
In conclusion, this study identified high-risk patients for neck and/or shoulder impairments over a five-year follow-up.
Electronic supplementary material
(DOCX 16 kb)
(DOCX 15 kb)
(DOCX 18 kb)
(DOCX 22 kb)
Compliance with ethical standards
Conflict of interest
None.
Footnotes
Meetings at which the manuscript was presented, if appropriate: Preliminary version of this material was presented as poster presentation at the 2017 World Confederation of Physical Therapy congress in Cape Town South Africa. Also a preliminary version of this material was presented as poster presentation at the 2017 MASCC conference in Vienna.
References
- 1.Shah JP, Gil Z. Current concepts in management of oral cancer—surgery. Oral Oncol. 2009;45(4–5):394–401. doi: 10.1016/j.oraloncology.2008.05.017. [DOI] [PMC free article] [PubMed] [Google Scholar]
- 2.Wetzels JW, Merkx MA, de Haan AF, Koole R, Speksnijder CM. Maximum mouth opening and trismus in 143 patients treated for oral cancer: a 1-year prospective study. Head Neck. 2014;36(12):1754–1762. doi: 10.1002/hed.23534. [DOI] [PubMed] [Google Scholar]
- 3.Speksnijder CM, van der Bilt A, Abbink JH, Merkx MA, Koole R. Mastication in patients treated for malignancies in tongue and/or floor of mouth: a 1-year prospective study. Head Neck. 2011;33(7):1013–1020. doi: 10.1002/hed.21573. [DOI] [PubMed] [Google Scholar]
- 4.Speksnijder CM, van der Bilt A, van der Glas HW, Koole R, Merkx MA. Tongue function in patients treated for malignancies in tongue and/or floor of mouth; a one year prospective study. Int J Oral Maxillofac Surg. 2011;40(12):1388–1394. doi: 10.1016/j.ijom.2011.09.003. [DOI] [PubMed] [Google Scholar]
- 5.Speksnijder CM, van der Glas HW, van der Bilt A, van Es RJ, van der Rijt E, Koole R. Oral function after oncological intervention in the oral cavity: a retrospective study. J Oral Maxillofac Surg. 2010;68(6):1231–1237. doi: 10.1016/j.joms.2009.09.016. [DOI] [PubMed] [Google Scholar]
- 6.Speksnijder CM, van der Bilt A, Slappendel M, de Wijer A, Merkx MA, Koole R. Neck and shoulder function in patients treated for oral malignancies: a 1-year prospective cohort study. Head Neck. 2013;35(9):1303–1313. doi: 10.1002/hed.23131. [DOI] [PubMed] [Google Scholar]
- 7.Murphy BA, Deng J. Advances in supportive care for late effects of head and neck cancer. J Clin Oncol. 2015;33(29):3314–3321. doi: 10.1200/JCO.2015.61.3836. [DOI] [PubMed] [Google Scholar]
- 8.van Wilgen CP, Dijkstra PU, van der Laan BF, Plukker JT, Roodenburg JL. Shoulder and neck morbidity in quality of life after surgery for head and neck cancer. Head Neck. 2004;26(10):839–844. doi: 10.1002/hed.20052. [DOI] [PubMed] [Google Scholar]
- 9.Goldstein DP, Ringash J, Bissada E, Jaquet Y, Irish J, Chepeha D, Davis AM. Scoping review of the literature on shoulder impairments and disability after neck dissection. Head Neck. 2014;36(2):299–308. doi: 10.1002/hed.23243. [DOI] [PubMed] [Google Scholar]
- 10.Eickmeyer SM, Walczak CK, Myers KB, Lindstrom DR, Layde P, Campbell BH. Quality of life, shoulder range of motion, and spinal accessory nerve status in 5-year survivors of head and neck cancer. PM & R: the Journal of Injury, Function, and Rehabilitation. 2014;6(12):1073–1080. doi: 10.1016/j.pmrj.2014.05.015. [DOI] [PMC free article] [PubMed] [Google Scholar]
- 11.Oskam IM, Verdonck-de Leeuw IM, Aaronson NK, Witte BI, de Bree R, Doornaert P, Langendijk JA, Leemans CR. Prospective evaluation of health-related quality of life in long-term oral and oropharyngeal cancer survivors and the perceived need for supportive care. Oral Oncol. 2013;49(5):443–448. doi: 10.1016/j.oraloncology.2012.12.005. [DOI] [PubMed] [Google Scholar]
- 12.McGarvey AC, Hoffman GR, Osmotherly PG, Chiarelli PE. Maximizing shoulder function after accessory nerve injury and neck dissection surgery: a multicenter randomized controlled trial. Head Neck. 2015;37(7):1022–1031. doi: 10.1002/hed.23712. [DOI] [PubMed] [Google Scholar]
- 13.McNeely ML, Parliament MB, Seikaly H, et al. Effect of exercise on upper extremity pain and dysfunction in head and neck cancer survivors: a randomized controlled trial. Cancer. 2008;113(1):214–222. doi: 10.1002/cncr.23536. [DOI] [PubMed] [Google Scholar]
- 14.Patel SG, Shah JP. TNM staging of cancers of the head and neck: striving for uniformity among diversity. CA Cancer J Clin. 2005;55(4):242–258. doi: 10.3322/canjclin.55.4.242. [DOI] [PubMed] [Google Scholar]
- 15.Robbins KT, Clayman G, Levine PA, Medina J, Sessions R, Shaha A, Som P, Wolf GT, American Head and Neck Society. American Academy of Otolaryngology—Head and Neck Surgery Neck dissection classification update: revisions proposed by the American Head and Neck Society and the American Academy of Otolaryngology—Head and Neck Surgery. Arch Otolaryngol Head Neck Surg. 2002;128(7):751–758. doi: 10.1001/archotol.128.7.751. [DOI] [PubMed] [Google Scholar]
- 16.Hoving JL, Pool JJ, van Mameren H, et al. Reproducibility of cervical range of motion in patients with neck pain. BMC Musculoskelet Disord. 2005;6:59. doi: 10.1186/1471-2474-6-59. [DOI] [PMC free article] [PubMed] [Google Scholar]
- 17.Guldiken Y, Orhan KS, Demirel T, Ural HI, Yucel EA, Deger K. Assessment of shoulder impairment after functional neck dissection: long term results. Auris Nasus Larynx. 2005;32(4):387–391. doi: 10.1016/j.anl.2005.05.007. [DOI] [PubMed] [Google Scholar]
- 18.Stuiver MM, van Wilgen CP, de Boer EM, de Goede CJT, Koolstra M, van Opzeeland A, Venema P, Sterken MW, Vincent A, Dijkstra PU. Impact of shoulder complaints after neck dissection on shoulder disability and quality of life. Otolaryngol Head Neck Surg. 2008;139(1):32–39. doi: 10.1016/j.otohns.2008.03.019. [DOI] [PubMed] [Google Scholar]
- 19.Carvalho AP, Vital FM, Soares BG. Exercise interventions for shoulder dysfunction in patients treated for head and neck cancer. Cochrane Database Syst Rev. 2012;4:Cd008693. doi: 10.1002/14651858.CD008693.pub2. [DOI] [PMC free article] [PubMed] [Google Scholar]
- 20.Simpson AK, Biswas D, Emerson JW, Lawrence BD, Grauer JN. Quantifying the effects of age, gender, degeneration, and adjacent level degeneration on cervical spine range of motion using multivariate analyses. Spine. 2008;33(2):183–186. doi: 10.1097/BRS.0b013e31816044e8. [DOI] [PubMed] [Google Scholar]
- 21.Chen J, Solinger AB, Poncet JF, Lantz CA. Meta-analysis of normative cervical motion. Spine. 1999;24(15):1571–1578. doi: 10.1097/00007632-199908010-00011. [DOI] [PubMed] [Google Scholar]
- 22.Barnes CJ, Van Steyn SJ, Fischer RA. The effects of age, sex, and shoulder dominance on range of motion of the shoulder. Journal of Shoulder and Elbow Surgery/American Shoulder and Elbow Surgeons [et al] 2001;10(3):242–246. doi: 10.1067/mse.2001.115270. [DOI] [PubMed] [Google Scholar]
- 23.van Wouwe M, de Bree R, Kuik DJ, de Goede CJT, Verdonck-de Leeuw IM, Doornaert P, René Leemans C. Shoulder morbidity after non-surgical treatment of the neck. Radiother Oncol. 2009;90(2):196–201. doi: 10.1016/j.radonc.2008.11.003. [DOI] [PubMed] [Google Scholar]
- 24.Gane EM, Michaleff ZA, Cottrell MA, McPhail SM, Hatton AL, Panizza BJ, O'Leary SP (2017) Prevalence, incidence, and risk factors for shoulder and neck dysfunction after neck dissection: a systematic review. Eur J Surg Oncol. 43(7):1199–1218 [DOI] [PubMed]
- 25.Dijkstra PU, van Wilgen PC, Buijs RP, Brendeke W, de Goede CJT, Kerst A, Koolstra M, Marinus J, Schoppink EM, Stuiver MM, van de Velde CF, Roodenburg JLN. Incidence of shoulder pain after neck dissection: a clinical explorative study for risk factors. Head Neck. 2001;23(11):947–953. doi: 10.1002/hed.1137. [DOI] [PubMed] [Google Scholar]
- 26.van Wilgen CP, Dijkstra PU, van der Laan BF, Plukker JT, Roodenburg JL. Shoulder complaints after neck dissection; is the spinal accessory nerve involved? Br J Oral Maxillofac Surg. 2003;41(1):7–11. doi: 10.1016/S0266-4356(02)00288-7. [DOI] [PubMed] [Google Scholar]
- 27.Bradley PJ, Ferlito A, Silver CE, Takes RP, Woolgar JA, Strojan P, Suárez C, Coskun H, Zbären P, Rinaldo A. Neck treatment and shoulder morbidity: still a challenge. Head Neck. 2011;33(7):1060–1067. doi: 10.1002/hed.21495. [DOI] [PubMed] [Google Scholar]
- 28.Lauchlan DT, McCaul JA, McCarron T, Patil S, McManners J, McGarva J. An exploratory trial of preventative rehabilitation on shoulder disability and quality of life in patients following neck dissection surgery. European Journal of Cancer Care. 2011;20(1):113–122. doi: 10.1111/j.1365-2354.2009.01149.x. [DOI] [PubMed] [Google Scholar]
Associated Data
This section collects any data citations, data availability statements, or supplementary materials included in this article.
Supplementary Materials
(DOCX 16 kb)
(DOCX 15 kb)
(DOCX 18 kb)
(DOCX 22 kb)


