Abstract
Rationale: Workplace inhalational hazards remain common worldwide, even though they are ameliorable. Previous American Thoracic Society documents have assessed the contribution of workplace exposures to asthma and chronic obstructive pulmonary disease on a population level, but not to other chronic respiratory diseases. The goal of this document is to report an in-depth literature review and data synthesis of the occupational contribution to the burden of the major nonmalignant respiratory diseases, including airway diseases; interstitial fibrosis; hypersensitivity pneumonitis; other noninfectious granulomatous lung diseases, including sarcoidosis; and selected respiratory infections.
Methods: Relevant literature was identified for each respiratory condition. The occupational population attributable fraction (PAF) was estimated for those conditions for which there were sufficient population-based studies to allow pooled estimates. For the other conditions, the occupational burden of disease was estimated on the basis of attribution in case series, incidence rate ratios, or attributable fraction within an exposed group.
Results: Workplace exposures contribute substantially to the burden of multiple chronic respiratory diseases, including asthma (PAF, 16%); chronic obstructive pulmonary disease (PAF, 14%); chronic bronchitis (PAF, 13%); idiopathic pulmonary fibrosis (PAF, 26%); hypersensitivity pneumonitis (occupational burden, 19%); other granulomatous diseases, including sarcoidosis (occupational burden, 30%); pulmonary alveolar proteinosis (occupational burden, 29%); tuberculosis (occupational burden, 2.3% in silica-exposed workers and 1% in healthcare workers); and community-acquired pneumonia in working-age adults (PAF, 10%).
Conclusions: Workplace exposures contribute to the burden of disease across a range of nonmalignant lung conditions in adults (in addition to the 100% burden for the classic occupational pneumoconioses). This burden has important clinical, research, and policy implications. There is a pressing need to improve clinical recognition and public health awareness of the contribution of occupational factors across a range of nonmalignant respiratory diseases.
Keywords: occupational, workplace, nonmalignant respiratory diseases, interstitial fibrosis, sarcoidosis, respiratory infections, pneumonitis
Contents
Overview
Key Conclusions
Introduction
Methods
Occupational Burden of Asthma Incidence
Occupational Burden of COPD and Chronic Bronchitis
Occupational Burden of IPF
Occupational Burden of PAP and Other Interstitial Lung Diseases
Occupational Burden of HP (Extrinsic Allergic Alveolitis) and Other Granulomatous Lung Diseases, Including Sarcoidosis
Occupational Burden of TB and CAP
Conclusions
Overview
Occupational exposures are important, frequently overlooked, and modifiable contributors to the burden of respiratory disease. Quantifying the occupational contribution to this disease burden is critical to preventing disease and improving lung health. To date, the question of the occupational burden in respiratory disease at the population level has been addressed primarily in relation to asthma and chronic obstructive pulmonary disease (COPD). This document reviews and synthesizes existing data to quantify the occupational contribution to the burden of nonmalignant respiratory diseases across a range of conditions frequently unrecognized as potentially work related.
Key Conclusions
-
•
A substantial evidence base indicates that the contribution of inhalational workplace hazards to the burden of nonmalignant lung diseases is substantial.
-
•
Conditions for which the estimated occupational burden is 10% or more include asthma, COPD, chronic bronchitis, idiopathic pulmonary fibrosis (IPF), hypersensitivity pneumonitis (HP), other noninfectious granulomatous lung diseases (including sarcoidosis), pulmonary alveolar proteinosis (PAP), and community-acquired pneumonia (CAP).
-
•
These findings highlight the need for greater awareness that work exposures contribute substantially across a range of respiratory diseases.
-
•
Strategies are needed to improve the recognition and prevention of the substantial occupational burden of nonmalignant respiratory diseases.
Introduction
Inhalation of vapors, gas, dust, or fumes (VGDF) in the workplace is common worldwide, and occupation is an important global contributor to the burden of respiratory disease (1). For asthma and COPD, the contribution of workplace exposures has been a particular focus of attention in previous American Thoracic Society (ATS) policy statements (2–4). Occupational exposures also contribute to the disease burden in a number of other conditions, including interstitial disease diagnosed as IPF, HP, other noninfectious granulomatous lung diseases such as sarcoidosis, other interstitial lung diseases, and selected respiratory infections (5–9).
We synthesized data from multiple sources to quantify the occupational contribution to the burden of nonmalignant respiratory disease. The occupational burden in thoracic cancer (lung and pleura) has been well characterized elsewhere (10–12). Of note, the classic pneumoconioses (including silicosis, coal workers’ pneumoconiosis, and asbestosis) remain an important, unabating global health problem that is not addressed in this document because the occupational contribution to these conditions is essentially 100%. That does not detract, however, from their public health importance.
In this statement, we assess the occupational burden in four categories of respiratory conditions: airway disease (asthma, COPD, and chronic bronchitis), interstitial lung disease (IPF as well as PAP and other uncommon interstitial diseases), granulomatous processes (HP and other noninfectious granulomatous diseases, including sarcoidosis), and selected respiratory infections (tuberculosis [TB] and CAP).
Methods
We searched the PubMed and Embase databases from their respective start dates through December 31, 2017, unless otherwise noted. A supplemental literature search was conducted covering January to September 2018. The search strategies, including start dates, rationale, and search terms, are shown in Table E1 in the online supplement. For asthma, COPD, and chronic bronchitis, searches took into account the previous ATS reports (2–4) and additional reviews (13–20). We also reviewed reference citations in identified publications to identify relevant papers. Except when stated explicitly, all data were population based and were not limited to a specific industry or exposure. For asthma, COPD, chronic bronchitis, and IPF, we estimated the occupationally related population attributable fraction (PAF) reported by or derived from case–control and cohort studies. When needed, we calculated the PAF using the odds ratio (OR) and proportion of cases exposed [PAF = pc(OR − 1)/OR, where pc is the proportion of cases exposed] (3). We limited the analysis of asthma to incident data. For PAP, HP, and sarcoidosis, we extracted data from cases series in which the proportion of occupationally related cases was available. For TB, we used World Health Organization and World Bank databases (21–23) for data on country-specific general population rates to estimate relative disease incidence by occupation. For CAP, we examined both PAF estimates and, within exposure cohorts, the attributable fraction (AF). We pooled published or derived PAF values (asthma, COPD, chronic bronchitis, and interstitial lung disease) and the occupationally attributable burden (PAP, HP, and sarcoidosis) to obtain weighted summary estimates using the metaproportion command in Stata 14.2 software (StataCorp). We used the exact method to compute the 95% confidence interval (CI) for each pooled estimate. Because we recognized that the heterogeneity among the studies was high, we calculated the pooled PAF or proportion using random effects modeling with case numbers informing the weights. We also estimated statistical heterogeneity using the I2 statistic, which in each case was consistent with high heterogeneity, as we expected (values not presented). We also calculated the pooled estimate excluding the highest and lowest values in the group, as well as calculating the median of the observed PAF or occupational burden values. For TB and CAP, we did not calculate weighted pooled values, limiting summary data to the median values among the estimates considered. For consistency, we use the term “occupational burden” across the various disease outcomes analyzed, even though in some cases the burden was derived from PAF estimates, whereas in others the burden was derived from attribution in case series, incidence rate ratios (IRRs), or AF within a group.
Occupational Burden of Asthma Incidence
Work-related asthma is now the most commonly reported work-related respiratory disorder in many industrialized countries. Work-related asthma comprises occupational asthma, defined as asthma “caused” by the workplace, and work-exacerbated (or aggravated) asthma, meaning preexisting asthma with work-related worsening (24). Cross-sectional (prevalence) studies have dominated previous estimates of the occupational burden of disease. To build on earlier estimates, we limited our search to longitudinal, population-based studies that reported incident asthma and occupational risk factors.
We identified nine studies with longitudinal data relevant to occupation and incident asthma for inclusion (25–33) (Table 1). Of these, six had been included in a previous review (20), including a study of Israeli military recruits (over 95% of the Jewish male population aged 18 yr) exposed across a range of vocations (30). Three newer studies have been published since the previous review (20). One study investigating asthma incidence among persons aged 13–44 years in Tasmania (Australia) reported a high cumulative incidence of asthma (37%) with a work-related job exposure matrix (JEM)-based PAF of 10% (26). A second study, using the RHINE (Respiratory Health in Northern Europe) adult study population aged 20–44 years, estimated a JEM-based PAF for occupation of 14% for males and 7% for females (28). A later reanalysis using a different JEM arrived at similar estimates (13% and 8% for males and females, respectively) (34). A third longitudinal study analyzed data from the United Kingdom. 1958 birth cohort limited to those without asthma by age 16 with later follow-up through age 42 (29). Using a JEM to assess exposure risk, the overall occupational PAF was 16%, with wide confidence intervals (95% CI, 3.8–27.1%).
Table 1.
Longitudinal Population-based Studies of Occupational Risk for Asthma
| First Author, Year, Location (Reference) | Study Type | Incident Cases (n [Total Population]) | Definition of Exposure | PAF (%) |
|---|---|---|---|---|
| Katz, 1999, Israel (30) | Population follow-up ages 18–21 yr at baseline | 588 (59,058) | Military exposure combat or maintenance vs. clerical | 44 |
| Karjalainen, 2001, Finland (31) | Population follow-up ages 25–59 yr at baseline | 49,575 (1,852,848) | Work-related compensation | 22 |
| Eagan, 2002, Norway (25) | Population follow-up ages 15–70 yr at baseline | 101 (2,723) | Self-reported dust and fume exposure at baseline | 14 |
| LeVan, 2006, Singapore (27) | Population follow-up ages 13–44 yr at baseline | 1,426 (52,325) | Occupations exposed to dust, smoke, or vapors | 8.6 |
| Kogevinas, 2007, international (32) | Population follow-up ages 20–44 yr at baseline | 133 (6,837) | Exposure to high-risk substances by JEM | 11 |
| Hedlund, 2006, Sweden (33) | Population follow-up ages 36–37, 50–52, and 66–67 yr at baseline | 271 (5,933) | Blue collar industrial workers vs. others | 9 |
| Lillienberg, 2013, international (28) | Population follow-up in RHINE population ages 20–44 yr at baseline | 129 males (5,933) | Exposure to high-risk substances by JEM | 14 |
| 286 females (6,253) | 7 | |||
| Hoy, 2013, Australia (Tasmania) (26) | Population follow-up ages 13–44 yr at baseline | 290 (792*) | Exposure to high-risk substances by JEM | 10 |
| Ghosh, 2013, UK (29) | Population follow-up of birth cohort up to age 42 yr | 611 (7,088†) | Any asthma JEM >0 | 16.3 |
Definition of abbreviations: JEM = job exposure matrix; PAF = population attributable fraction; RHINE = Respiratory Health in Northern Europe; UK = United Kingdom.
The pooled estimated PAF for the occupational contribution to incident asthma was 16% (95% confidence interval, 10–22%).
Subjects with asthma at baseline excluded.
Total before subjects with childhood asthma were excluded.
Pooling data from all nine studies yielded an estimated PAF for the occupational contribution to incident asthma of 16% (95% CI, 10–22%) (Figure 1), which is comparable to prior estimates (2). Overall, longitudinal data from which inferences can be drawn on the occupational burden of incident asthma are limited. Of note, the studies considered were largely done in developed economic settings. Sex-stratified longitudinal data are even more limited; we identified only two such analyses, both with lower PAF estimates for women than for men.
Figure 1.
Asthma: population attributable fraction (PAF). Forest plot of studies relevant to estimating the occupational contribution to asthma. The estimated PAF, confidence interval (CI), and weighted contribution for each study, as well as the calculated pooled estimate (red dashed line) and 95% CI, are shown. For asthma, the pooled PAF for work exposures is 16% (95% CI, 10–22%). ES = effect size.
Occupational Burden of COPD and Chronic Bronchitis
Seven reviews published since the 2003 ATS statement (3, 13–16, 18, 19) identified 33 papers relating to the occupational contribution to COPD or chronic bronchitis. Of note, two of these found a median PAF for the occupational contribution to COPD of 15% (13, 15); one meta-analysis estimated a pooled OR of 1.43 for COPD related to VGDF exposures (18), whereas another meta-analysis observed minimal excess risks (1.04–1.15) for separate JEM-defined exposures (16). The additional literature search for publications published between 2014 and 2017 identified a further 15 relevant citations not among the 33 included in the reviews noted above.
We retained population-based studies that included a range of potential occupations or case–control studies that clearly reflected the general population. Studies were excluded if they lacked a clear definition of the disease endpoint (e.g., either COPD or chronic bronchitis) or when key data were missing (e.g., studies not presenting the number of subjects exposed that would have allowed for a PAF calculation). When a study reported multiple endpoints or measures of exposure, we preferentially considered risk estimates for COPD defined by spirometry (using lower limit of normal, if reported) over self-reported COPD, and, similarly, we considered JEM-defined risk over self-reported exposure. In studies stratified by smoking status, the ever-smoking stratum was the one used in the pooled analysis of PAF. When data from a never-smoking stratum were available (in some cases the entire cohort analyzed), we used these in a separate pooled analysis of PAF among never-smokers. Results presented only in a stratified manner (e.g., by sex) were considered as separate estimates of risk.
We included 26 studies to estimate the contribution of occupational exposures to the burden of COPD (35–60) and 7 for the contribution to chronic bronchitis (39, 40, 50, 51, 61–63). Table 2 summarizes the 26 COPD studies considered, including 28 estimates of risk (taking into account sex-stratified data). The pooled PAF for the occupational contribution to the burden of COPD (including cohorts with mixed smoking status, adjusted for smoking) was 14% (95% CI, 10–18%) (Figure 2). The occupational PAF for COPD among never-smokers (not shown in table), estimated from six studies including stratified data (35, 47, 51, 64–66), yielded a pooled PAF of 31% (95% CI, 18–43%).
Table 2.
Population-based Studies of Occupational Risk for Chronic Obstructive Pulmonary Disease
| First Author, Year, Location (Reference) | Study Type and Population | Total (N) | Number of Cases | Definition of COPD | Exposure Information | PAF (%) |
|---|---|---|---|---|---|---|
| Hnizdo, 2002, USA (35) | Population based | 9,823 | 693 | COPD = FEV1/FVC <0.7 and FEV1 <80% (pre-BD) | Occupational groups | 19.6 |
| Trupin, 2003, USA (36) | Population based | 1,932 | 377 | Self-reported doctor’s diagnosis | Self-reported | 20.0 |
| de Marco, 2004, international (37) | Population based | 14,318 | 1,751 | COPD = FEV1/FVC <0.7 (pre-BD) | Self-reported exposure to dust, gas, and fumes | 17.4 |
| Lindberg, 2005 Sweden (38) | Population based (longitudinal) | 1,109 | 83 | COPD = FEV1/FVC <0.7 and FEV1 <80% (pre-BD) | Socioeconomic classification (manual worker in industry) | 15.0 |
| Sunyer, 2005, international (39) | Population based (longitudinal), females | 3,279 | 53 | COPD = FEV1/FVC <0.7 (pre-BD) | VGDF by JEM (high exposure) | 1.0 |
| Sunyer, 2005, international (39) | Population based (longitudinal), males | 3,202 | 61 | COPD = FEV1/FVC <0.7 (pre-BD) | VGDF by JEM (high exposure) | 0 |
| Jaén, 2006, Spain (40) | Population based | 497 | 73 | COPD = FEV1/FVC <0.7 (post-BD) | Self-reported (any exposure to dust, gas, and fumes) | 9.0 |
| Zhong, 2007, China (41) | Population based | 20,245 | 1,668 | COPD = FEV1/FVC <0.7 (post-BD) | Self-reported (any exposure to dust, gas, and fumes) | 3.9 |
| Weinmann, 2008, USA (42) | Case–control | 744 | 388 | COPD = FEV1/FVC below LLN or by algorithm | JEM | 24 |
| Blanc, 2009, USA (43) | Case–control | 1,504 | 1,202 | COPD = FEV1/FVC <0.7 (pre-BD) | VGDF by JEM (high exposure) | 14.0 |
| Blanc, 2009, USA (44) | Case–control | 1,788 | 79 | COPD = FEV1/FVC <0.7 | VGDF self-reported | 17.0 |
| Melville, 2010, UK (45) | Population based | 841 | 84 | COPD = FEV1/FVC <70 and FEV1 <80% (post-BD) | Self-reported occupational exposure at risk of COPD | 50.0 |
| Idolor, 2011, Philippines (46) | Population based | 722 | 141 | COPD = FEV1/FVC <70 (post-BD) | Self-reported exposure in a dusty job | 5.2 |
| Mehta, 2012, Switzerland (47) | Population based (longitudinal) | 1,958* | 43* | COPD = FEV1/FVC below LLN stage II+ (pre-BD) | VGDF by JEM (high exposure) | 23* |
| Lam, 2012, China (48) | Population based | 8,216 | 461 | COPD = FEV1/FVC below LLN (pre-BD) | Self-reported (any exposure to dust, gas, and fumes) | 10.4 |
| Darby, 2012, UK (49) | Population based | 571 | 197 | COPD = FEV1/FVC <70 (pre-BD) | Self-reported VGDF exposure | 20 |
| Hansell, 2014, New Zealand (50) | Population based | 750 | 83 | COPD = FEV1/FVC below LLN (pre-BD) | VGDF by JEM (high exposure) | 2.7 |
| Doney, 2014, USA (51) | Population based | 3,508 | 196 | COPD = FEV1/FVC below LLN and FEV1 below LLN (pre-BD) | Self-reported (severe exposure) | 38.8 |
| de Jong, 2014, Netherlands (52) | Population based (LifeLine cohort), | 11,851 | 1,754 | COPD = FEV1/FVC <0.7 (pre-BD) | VGDF by JEM (high exposure) | 4.3 |
| de Jong, 2014, Netherlands (52) | Population based (Vlagtwedde-Vlaardingen cohort) | 2,364 | 639 | COPD = FEV1/FVC <0.7 (pre-BD) | VGDF by JEM (high exposure) | 9.7 |
| Pallasaho, 2014, Finland (53) | Population based (longitudinal) | 4,080 | 140 | Self-reported | Self-reported | 23.6 |
| Scholes, 2014, UK (54) | Population based | 7,603 | 1,032 | COPD = FEV1/FVC below LLN (pre-BD) | Job classification as routine occupation | 9.1 |
| Paulin, 2015, USA (55) | Population-based cohort of smokers | 1,075 | 721 | COPD = FEV1/FVC <0.7 (post-BD) | VGDF by JEM (intermediate/high risk) | 12.0 |
| Würtz, 2015, Denmark (56) | Population based | 4,132 | 279 | COPD = FEV1/FVC below LLN (pre-BD) | VGDF by JEM (high exposure) | 10.3 |
| Obaseki, 2016, Nigeria (57) | Population based | 875 | 67 | COPD = FEV1/FVC below LLN (post-BD) | Self-reported (dusty jobs) | 14.9 |
| Tagiyeva, 2017, UK (58) | Population based | 237 | 63 | COPD = FEV1/FVC below LLN (post-BD) | VGDF by JEM | 0 |
| Sinha, 2017, India (59) | Population based | 1,203 | 122 | COPD = FEV1/FVC <0.7 (post-BD) | Self-reported | 34.6 |
| Torén, 2017, Sweden (60) | Population based | 1,052 | 50 | COPD = FEV1/FVC <0.7 + dyspnea, wheezing, or chronic bronchitis | Self-reported | 37 |
Definition of abbreviations: BD = bronchodilator; COPD = chronic obstructive pulmonary disease; JEM = job exposure matrix; LLN = lower limit of normal; PAF = population attributable fraction; UK = United Kingdom; USA = United States; VGDF = vapors, gas, dust, or fumes.
The pooled PAF for the occupational contribution to COPD was 14% (95% confidence interval, 10–18%). The pooled PAF for the occupational contribution to COPD in nonsmokers (references not in table [35, 47, 51, 64–66]) was 31% (95% confidence interval, 10–18%).
Ever-smokers.
Figure 2.
Chronic obstructive pulmonary disease (COPD): population attributable fraction (PAF). Forest plot of studies relevant to estimating the occupational contribution to COPD. The estimated PAF, confidence interval (CI), and weighted contribution for each study are shown, as well as the calculated pooled estimate (red dashed line) and 95% CI. For COPD, the pooled PAF for work exposures is 14% (95% CI, 10–18%). ES = effect size.
Table 3 summarizes the seven chronic bronchitis studies used (eight estimates of risk). The pooled PAF for chronic bronchitis was 13% (95% CI, 6–21%) (Figure 3). Only two studies allowed estimation of the occupational PAF for chronic bronchitis among never-smokers, yielding values of 8.3% (51) and 12% (67). Several publications excluded from the tables nonetheless warrant mention. Accelerated annual decline in FEV1 in males with early COPD was observed in association with occupational exposures (68). An ecological analysis of three large international studies estimated a 0.8% increase in COPD prevalence per 10% increase in occupational exposures, taking into account the concomitant prevalence of smoking (43). Several large population-based studies have addressed the association between various occupations and COPD (11, 69, 70). Also of note, other researchers have investigated large occupational cohorts, including construction workers exposed to dust (71, 72).
Table 3.
Population-based Studies of Occupational Risk for Chronic Bronchitis
| First Author, Year, Location (Reference) | Study Type and Population | Total (N) | Cases (n) | Exposure | PAF (%) |
|---|---|---|---|---|---|
| Montnémery, 2001, Sweden (61) | Population based | 8,469 | 390 | Self-reported | 11.0 |
| Lange, 2003, Denmark (62) | Population based | 3,736 | 602 | Self-reported | 16.0 |
| Sunyer, 2005, international (39) | Population based (longitudinal), males | 3,951 | 273 | VGDF by JEM | 15.0 |
| Sunyer, 2005, international (39) | Population based (longitudinal), females | 4,312 | 250 | VGDF by JEM | 0.0 |
| Jaén, 2006, Spain (40) | Population based | 576 | 69 | Self-reported | 29.4 |
| Doney, 2014, USA (51) | Population based | 3,508 | 280 | Self-reported (severe exposure) | 23.1 |
| Hansell, 2014, New Zealand (50) | Population based | 1,017 | 86 | JEM (high exposure) | 13.1 |
| Axelsson, 2016, Sweden (63) | Population based | 1,172 | 84 | Self-reported | 8.6 |
Definition of abbreviations: JEM = job exposure matrix; PAF = population attributable fraction; USA = United States; VGDF = vapors, gas, dust, or fumes.
The pooled PAF for the occupational contribution to chronic bronchitis was 13% (95% confidence interval, 6–21%).
Figure 3.
Chronic bronchitis: population attributable fraction (PAF). Forest plot of studies relevant to estimating the occupational contribution to chronic bronchitis. The estimated PAF, confidence interval (CI), and weighted contribution for each study are shown, as well as the calculated pooled estimate (red dashed line) and 95% CI. For chronic bronchitis, the pooled PAF for work exposures is 13% (95% CI, 6–21%). ES = effect size.
In summary, an impressive body of new data on the occupational burden of COPD, and to a lesser degree chronic bronchitis, has been published since the original 2003 ATS statement. In aggregate, participant numbers are large and international in scope. The pooled estimates of the occupational PAF of 14% for COPD and 13% for chronic bronchitis are in line with those of the previous ATS statement and interval reviews. Moreover, the higher occupational PAF for COPD among never-smokers (31%) suggests that occupational exposures contribute more substantially to the burden of COPD in nonsmokers.
Occupational Burden of IPF
IPF is a diagnosis of exclusion made in the presence of a usual interstitial pneumonia pattern on biopsy or with a consistent appearance on a high-resolution computed tomographic scan. The IPF diagnosis presumes that known causes of interstitial lung disease have been excluded (e.g., drug toxicity; connective tissue disease; and domestic, occupational, or environmental exposures) (73). Therefore, studies of cohorts with a diagnosis of IPF presumably already exclude persons with a recognized occupational cause of fibrosis, such as asbestosis.
We identified four reviews of occupational exposures in IPF (5, 74–76) that collectively included 10 relevant case–control studies. One of these, a meta-analysis of six studies, reported a PAF for several exposure categories ranging from 3.5% (silica) to 20% (agriculture) (5). Adding more recent citations (n = 5), we identified a total of 15 relevant case–control studies addressing the question of occupational exposures associated with IPF (77–91). Four of the 15 publications were not included in our PAF estimates: one because data were not available on the proportion of cases with specific occupational exposures (78), two because of methodological issues in exposure assignment (85, 86), and one because of overlap with an included study (90). We initially included one publication that appeared in abstract form only (92), because we were aware that the full paper was forthcoming (89). The remaining 11 case–control studies provided data permitting analysis of occupational exposures in five exposure categories: VGDF, metal dust, wood dust, silica dust, and agricultural dust. For the IPF analysis, VGDF represents an inclusive category combining any of multiple exposures, defined variously by each study.
Thirty-nine risk estimates from 11 studies (1,229 IPF cases in total) contributed to these pooled PAF estimates (Table 4) (77, 79–84, 87, 88, 91, 92). The burden of each pooled exposure type was based on 5–11 individual risk estimates (Table 5). The pooled OR for agricultural work (five studies) was elevated but not statistically significant (OR, 1.6; 95% CI, 0.8–3.0), with a PAF of 4%. The pooled ORs for each of the remaining exposure categories were elevated and statistically significant. These pooled PAFs were as follows: silica (3%), wood dusts (4%), metal dusts or fumes (8%), and VGDF (26%). A forest plot for the estimates for VGDF, the broadest exposure category, is presented in Figure 4.
Table 4.
Case-Referent Studies of Occupational Risk Factors for Idiopathic Pulmonary Fibrosis
| First Author, Year, Location (Reference) | Cases (N) | IPF Case Definition Criteria | OR (95% CI) |
PAF (%) |
||||||||
|---|---|---|---|---|---|---|---|---|---|---|---|---|
| VGDF | Metal | Wood | Ag | Silica | VGDF | Metal | Wood | Ag | Silica | |||
| Scott, 1990, UK (77) | 40 | Clinical, CXR, PFT | 1.3 (0.8–2.0) | 11.0 (2.3–52.4) | 2.9 (0.9–9.9) | 10.9 (1.2–96) | 1.6 (0.5–4.8) | 17 | 12 | 10 | 12 | 5 |
| Hubbard, 1996, UK (79) | 218 | Clinical, CXR, CT, PFT | NA | 1.7 (1.1–2.7) | 1.7 (1.0–2.9) | NA | NA | NA | 10 | 6 | NA | NA |
| Mullen, 1998, USA (80) | 15 | Clinical, lung biopsy, CT | 2.4 (0.7–8.4) | NA | 3.3 (0.4–25.8) | NA | 11.0 (1.1–115) | 20 | NA | 7 | NA | 20 |
| Baumgartner, 2000, USA (81) | 248 | Clinical, biopsy, CT | NA | 2.0 (1.0–4.0) | 1.6 (0.8–3.3) | 1.6 (1.0–2.5) | 3.9 (1.2–12.7) | NA | 5 | 3 | 7 | 2 |
| Hubbard, 2000, UK (82) | 22 | Death certificate | NA | 1.1 (0.4–2.7) | NA | NA | NA | NA | 5 | NA | NA | NA |
| Miyake, 2005, Japan (83) | 102 | Lung biopsy, BAL, CT | 5.6 (2.1–17.9) | 9.6 (1.7–181.1) | 6 (0.3–112.4) | NA | 1.8 (0.5–7.0) | 26 | 11 | 4 | NA | 5 |
| Gustafson, 2007, Sweden (84) | 140 | Pulmonary fibrosis requiring tissue | 1.1 (0.7–1.7) | 0.9 (0.5–1.6) | 1.2 (0.7–2.2) | NA | 1.4 (0.7–2.7) | 6 | NA | 3 | NA | 3 |
| García-Sancho, 2011, Mexico (87) | 100 | Clinical, CT, lung biopsy | 2.8 (1.5–5.5) | NA | NA | NA | NA | 50 | NA | NA | NA | NA |
| Awadalla, 2012, Egypt (Men) (88) | 95 | Clinical, CT, PFT | NA | 1.6 (0.7–3.6) | 2.7 (1.1–6.8) | 1.0 (0.4–2.3) | 1.1 (0.5–2.7) | NA | 6 | 9 | NA | 1 |
| Awadalla, 2012, Egypt (Women) (88) | 106 | Clinical, CT, PFT | NA | NA | 4.3 (0.8–22.1) | 3.3 (1.2–10.1) | NA | NA | NA | 6 | 14 | NA |
| Paolocci, 2013, Italy (92) | 65 | Clinical, CT | NA | 2.8 (1.1–7.2) | 1.1 (0.4–3.3) (soft wood) | NA | 2.0 (0.9–4.4) | NA | 9 | 0 | NA | 11 |
| 0.9 (0.3–2.8) (hard wood) | 0 | |||||||||||
| Koo, 2017, Korea (91) | 78 | Clinical, CT | 2.7 (0.7–10.9) | 5.0 (1.4–18.2) | 2.5 (0.5–12.4) | NA | 1.2 (0.4–3.8) | 35 | 22 | 5 | NA | 5 |
Definition of abbreviations: Ag = agricultural dusts; CI = confidence interval; CT = computed tomography; CXR = chest radiograph; IPF = idiopathic pulmonary fibrosis; NA = not applicable; OR = odds ratio; PAF = population attributable fraction; PFT = pulmonary function test; UK = United Kingdom; USA = United States; VGDF = vapors, gas, dust, or fumes, which represent all the exposure categories shown combined and, in selected studies, additional exposures as well.
All studies had case–control designs, with most by interview-based self-reported exposure assessment (Hubbard exposure by job category). Awadalla and colleagues stratified their study sample by male (n = 95) and female (n = 106). The study by Paolocci and colleagues, which estimated risk with two separate wood variables, later appeared as a full publication (89).
Table 5.
Pooled Population Attributable Fraction Estimates for Occupation and Idiopathic Pulmonary Fibrosis
| Exposure | Risk Estimates (N) | Pooled OR (95% CI) | Pooled PAF (%) (95% CI) |
|---|---|---|---|
| VGDF | 6 | 2.0 (1.2–3.2) | 26 (10–41) |
| Metal dusts | 9 | 2.0 (1.3–3.0) | 8 (4–13) |
| Wood dusts | 11 | 1.7 (1.3–2.2) | 4 (2–6) |
| Agricultural dusts | 5 | 1.6 (0.8–3.0) | 4 (0–12) |
| Silica | 8 | 1.7 (1.2–2.4) | 3 (2–5) |
Definition of abbreviations: CI = confidence interval; OR = odds ratio; PAF = population attributable fraction; VGDF = vapors, gas, dust, or fumes, which represent all the other exposure categories shown combined and, in selected studies, additional exposures as well.
Figure 4.
Idiopathic pulmonary fibrosis (IPF): population attributable fraction (PAF) from vapors, gas, dust, or fumes (VGDF). Forest plot of studies relevant to estimating the occupational contribution to IPF of VGDF (combined categories of exposure considered in the studies included). The estimated PAF, confidence interval (CI), and weighted contribution for each study are shown, as well as the calculated pooled estimate (red dashed line) and 95% CI. For IPF, the pooled PAF for VGDF is 26% (95% CI, 10–41%). ES = effect size.
In summary, our findings suggest that occupational exposures contribute substantially to the burden of disease otherwise considered idiopathic and labeled “IPF.” It is also interesting to note that in one Korean study, patients with IPF who had been occupationally exposed to dust had earlier onset of disease and worse prognosis (93). A major challenge in assessing the occupational burden of IPF disease is differentiating between disease misclassification (e.g., chronic HP or one of the classic pneumoconioses [e.g., asbestosis, silicosis] misdiagnosed as IPF) and a causative role of work exposures in usual interstitial pneumonia–like processes. Another important challenge is exposure misclassification, especially when estimating chronic inhalational work exposures over many years. For example, asbestos exposure was common in metal and wood industries and could have contributed to these exposure-associated PAFs for IPF.
Occupational Burden of PAP and Other Interstitial Lung Diseases
PAP has been categorized as primary (idiopathic), secondary, or congenital (94, 95). Primary PAP involves autoantibodies to granulocyte–macrophage colony–stimulating factor (94); secondary PAP is attributed to a variety of occupational exposures, most notably silica (96–108). Cases of autoimmune PAP have been reported in occupationally exposed persons (98, 99, 109–111).
We included 29 relevant publications since 1958 subsuming 1,539 PAP cases (with a range of 10–241 cases per series) (112–140), excluding overlapping reports (141–144). The reported occupational exposure prevalence ranged from 0% to 67%, with a pooled prevalence of 29% (95% CI, 21–37%) (Table 6). A range of exposures was reported, including vapors or gases (cleaning fluids, gasoline, hairspray, paint, and pesticides), inorganic dusts (asbestos, cement, chalk, coal, glass fiber, and silica), organic dusts (cotton, flour, wood, and wool), and metal dusts or fumes (aluminum, copper, indium, iron, and zirconium). Among 19 publications that specifically reported on silica (786 PAP cases), the exposure prevalence ranged from 0% to 22%, with pooled prevalence of 5% (95% CI, 2–8%) (112, 114–120, 124–127, 129, 133, 135–137, 139, 140). Among the five publications describing 345 autoimmune PAP cases, occupational exposure prevalence ranged from 26% to 55% (121, 132, 133, 139, 141).
Table 6.
Occupational Exposures in Pulmonary Alveolar Proteinosis
| First Author, Year, Location (Reference) | Exposure Measure | Cases (N) | Occupational Burden (%) |
|---|---|---|---|
| Davidson,1969, international (112) | Reported history | 139 | 50 |
| McEuen, 1978, USA (113) | Lung tissue particles | 37 | 35 |
| Rubin, 1980, Canada (114) | Reported history | 13 | 15 |
| Kariman, 1984, USA (115) | Reported history | 23 | 0 |
| Prakash, 1987, USA (116) | Reported history | 34 | 9 |
| Asamoto, 1995, Japan (117) | Reported history | 68 | 15 |
| Goldstein, 1998, USA (118) | Reported history | 24 | 50 |
| Kim, 1999, Korea (119) | Reported history | 10 | 40 |
| Briens, 2002, France, Belgium (120) | Questionnaire | 41 | 39 |
| Inoue, 2008, Japan (121) | Questionnaire | 199 | 26 |
| Fang, 2009, China (122) | Reported history | 11 | 18 |
| Xu, 2009, China (123) | Reported history | 241 | 8 |
| Byun, 2010, Korea (124) | Reported history | 38 | 0 |
| Bonella, 2011, Germany (125) | Questionnaire | 70 | 51 |
| Fang, 2012, China (126) | Reported history | 25 | 36 |
| Campo, 2013, Italy (127) | Reported history | 73 | 36 |
| Zhao, 2013, China (128) | Reported history | 30 | 67 |
| Fijołek, 2014, Poland (129) | Reported history | 17 | 24 |
| Ilkovich, 2014, Russia (130) | Reported history | 68 | 59 |
| Yang, 2014, China (131) | Reported history | 10 | 20 |
| Akasaka, 2015, Japan (132) | Reported history | 31 | 26 |
| Xiao, 2015, China (133) | Questionnaire | 45 | 38 |
| Bai, 2016, China (134) | Questionnaire | 101 | 50 |
| Deleanu, 2016, Romania (135) | Reported history | 20 | 20 |
| Hadda, 2016, India (136) | Reported history | 35 | 14 |
| Huang, 2016, China (137) | Reported history | 17 | 29 |
| Mo, 2016, China (138) | Reported history | 11 | 18 |
| Guo, 2017, China (139) | Reported history | 37 | 49 |
| Hwang, 2017, Korea (140) | Reported history | 71 | 48 |
Definition of abbreviation: USA = United States.
All studies are case series except four case–control studies (113, 126, 133, 158) and one national registry (121). “Reported history” refers to occupational or exposure history from the clinical record. Occupational burden is based on the prevalence among cases of occupations likely to involve inhalational exposures or inhalational exposures likely to be occupational. The pooled occupational burden was 29% (95% confidence interval, 21–37%).
Although PAP has a more robust literature relevant to the occupational burden of disease, there are a number of other respiratory syndromes in which occupational associations have been observed in disease outbreaks, in certain work settings, or after suspect exposures (142, 145–161). Table E2 provides selected examples of these reported associations, which include bronchiolitis and the flavoring chemical diacetyl; cryptogenic organizing pneumonia and textile dye (“Ardystil syndrome”); and diffuse pulmonary hemorrhage and trimellitic anhydride (142, 145–161).
Occupational Burden of HP (Extrinsic Allergic Alveolitis) and Other Granulomatous Lung Diseases, Including Sarcoidosis
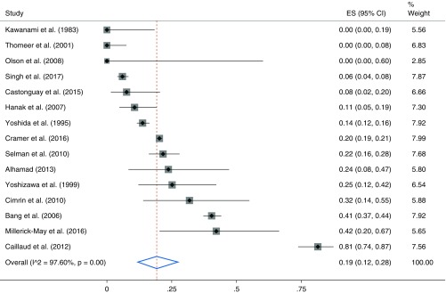
We synthesized data from 15 relevant publications for HP, the earliest paper dating from 1983 (see Table 7). We excluded case series limited to a single avocation or occupation (e.g., bird fanciers or machinists) (162, 163), if there were insufficient data to determine the proportion due to an occupational exposure (164), or if there were overlapping cases (165) that were included in another publication (166). The studies included (166–180) were all case series (or registries), except for one case–control design (167), but used variable criteria for diagnosing HP and assessing causation. For the case series, we considered the work-related cases within a larger series to represent the occupational burden of disease. The estimated occupational burden of disease (Figure 5) ranged from 0% to 81.3%, with a weighted metaproportion of 19% (95% CI, 12–28%).
Table 7.
Occupational Associations with Hypersensitivity Pneumonitis
| First Author, Year, Location (Reference) | Study Type | Cases (N) | Disease Definition | Exposure/Job Information | Comments | Occupational Burden (%) |
|---|---|---|---|---|---|---|
| Kawanami, 1983, USA (168) | Case series | 18 | Clinical, radiographic, physiologic, and laboratory data | History, clinical data, and serologic testing in 13 patients | 72.2% environmental; 27.7% unknown cause | 0 |
| Yoshida, 1995, Japan (169) | Case series | 835 | Criteria of the Japan Research Committee on Diffuse Pulmonary Disease for Hypersensitivity Pneumonitis | History, clinical data, and serologic testing | 79.4% environmental; 6.8% unknown cause | 13.8 |
| Yoshizawa, 1999, Japan (170) | Case series | 36 | Clinical and imaging criteria | History, clinical data, and serologic testing | 61.4% environmental; 13.9% unknown cause, series limited to chronic HP | 25.3 |
| Thomeer, 2001, Belgium (171) | Multicenter disease registry | 47 | A set of clinical and imaging criteria; data from the nationwide electronic register | Not clearly stated | 76.6% environmental; 23.4% unknown cause | 0 |
| Bang, 2006, USA (172) | Death certificate date | 814 | Death certificate coding | Occupationally related ICD codes for causes>100% due to multiple coded causes of HP | 38.4% occupational; 55.6% unknown cause | 40.5 |
| Hanak, 2007, USA (173) | Case series from a single center | 85 | Clinical and imaging criteria from the Mayo Clinic database | History, clinical data, and serologic testing | 64.7% environmental; 24.7% unknown cause | 10.6 |
| Olson, 2008, USA (174) | Case series from a single center | 4 | Retrospective case review; only cases with acute exacerbation of fibrotic HP | History, clinical data, and serologic testing; biopsy confirmation | 50% environmental; 50% unknown cause | 0 |
| Selman, 2010, multicountry (166) | Prospective multicenter cohort study | 199 | Clinical and imaging data, supported by the experts’ opinion | History, clinical data, and serologic testing | 76.9% environmental; 1.5% unknown cause | 21.6 |
| Cımrın, 2010, Turkey (175) | Review of published cases | 22 | Based on cases as defined in publications reviewed | Heterogeneous | 66.6% environmental; none of unknown cause | 33.3 |
| Caillaud, 2012, France (176) | Case series, multicenter | 139 | Clinical and imaging criteria | History, clinical data, and serologic testing | 18.7% environmental; none of unknown cause | 81.3 |
| Alhamad, 2013, Saudi Arabia (177) | Case series | 21 | A set of clinical and imaging criteria followed by expert review | Questionnaire | 42.9% environmental; 33.3% unknown cause | 23.8 |
| Castonguay, 2015, USA (178) | Case series | 40 | Clinical and imaging criteria | History, clinical data, and serologic testing; case overlap with Hanak et al., 2007 (173) | 55% environmental; 37.5% unknown cause | 7.5 |
| Millerick-May, 2016, USA (179) | Case series | 19 | ATS guidelines for the diagnosis of ILD | History, clinical data, and serologic testing | 51.9% environmental; none of unknown cause | 42.1 |
| Singh, 2017, India (180) | Prospective registry | 513 | Diagnostic criteria, expert review | Questionnaire | 69.4% environmental; 24.8% unknown cause | 5.8 |
| Cramer, 2016 Denmark (167) | Retrospective cohort study | 6,920 | Cases identified from records in Danish National Patient Register | Data on occupation were provided by Statistics Denmark | OR, 1.55 (95% CI, 1.40–1.72); cases exposed = 46% | 20.2 |
Definition of abbreviations: ATS = American Thoracic Society; CI = confidence interval; HP = hypersensitivity pneumonitis; ICD = International Classification of Diseases; ILD = interstitial lung disease; OR = odds ratio; USA = United States.
Occupational burden is derived from the proportion of occupationally attributed cases in the series or, in the case of Cramer and colleagues (167), derived from the OR and proportion of exposed cases. The overall burden of occupationally attributed HP is 19% (95% CI, 12–28%).
Figure 5.
Hypersensitivity pneumonitis (HP): occupational burden. Forest plot of studies relevant to estimating the contribution of work exposures to HP. The occupational prevalence of HP, confidence interval (CI), and weighted contribution for each study are shown, as well as the calculated pooled estimate (red dashed line) and 95% CI. The pooled proportion of occupational HP among all HP cases is 19% (95% CI, 12–28%). ES = effect size.
In addition to HP, we also considered the occupational burden of other noninfectious granulomatous lung diseases. Inhalation of beryllium can cause granulomatous lung disease that mimics sarcoidosis; other metals have also been associated with granulomatous responses; and sarcoidosis prevalence has been reported to be elevated among various occupational groups, including firefighters, navy recruits, workers in the lumber industry, rock or glass wool workers, salespeople, and World Trade Center disaster emergency responders (181, 182). Several large case-referent studies of patients with sarcoidosis who were not beryllium sensitized have found that occupational exposures to organic dusts, bioaerosols, and metals increased risk of sarcoidosis (183–185). A study of sarcoidosis prevalence in Switzerland found higher frequencies in regions with metal industry and intense agriculture (186). In a large U.S. study using national death certificate data, sarcoidosis mortality risk was significantly elevated in association with metalworking, health care, teaching, sales, banking, and administration (181). Mortality data also suggest that occupational exposures may increase risk for a more severe sarcoidosis phenotype (187).
Epidemiological evidence on the proportion of chronic beryllium disease misdiagnosed as sarcoidosis is limited to a few case series (188–192) and one case-referent study (193). Combining beryllium-focused studies of sarcoidosis with other studies that estimated occupational risk, we identified seven studies to use to estimate the occupational burden of sarcoidosis (Table 8) (181, 183, 184, 188–190, 193). The pooled estimated occupational proportion of sarcoidosis ranged from 0% to 54%, with a weighted metaproportion of 30% (95% CI, 17–45%).
Table 8.
Occupational Proportion of Granulomatous Disease Diagnosed as Sarcoidosis
| First Author, Year, Location (Reference) | Study Type | Cases (N) | Disease Definition | Exposure/Job Information | Comments | Occupational Burden (%) |
|---|---|---|---|---|---|---|
| Fireman, 2003, Israel (190) | Case series | 47 | Tissue diagnosis with positive beryllium lymphocyte transformation test | Possible occupational exposure to beryllium | Case series from one outpatient clinic | 6.4 |
| Kucera, 2003, USA (185) | Sibling case–control | 303 | Clinicoradiographic presentation consistent with sarcoidosis | Structured occupational history questionnaire | ACCESS questionnaire for occupational history | 37 |
| Barnard, 2005, USA (183) | Case–control | 706 | Tissue diagnosis with negative beryllium lymphocyte proliferation test | Structured occupational history questionnaire | Multicenter study, ACCESS questionnaire for occupational history | 51.6 |
| Müller-Quernheim, 2006, Germany (189) | Case series | 84 | Clinicoradiographic presentation consistent with sarcoidosis and positive beryllium lymphocyte proliferation test | Possible occupational exposure to beryllium, determined by questionnaire | Prospective study over 7 yr | 40.4 |
| Ribeiro, 2011, Canada (188) | Case series | 121 | Clinicoradiographic presentation consistent with sarcoidosis and positive beryllium lymphocyte proliferation test | Possible occupational exposure to beryllium, determined by questionnaire | No positive beryllium lymphocyte proliferation test results | 0 |
| Cherry, 2015, Canada (193) | Case-referent | 63 | Medical record review, cases with diagnosis of sarcoidosis, referents with other chronic lung disease | Patient interview, employment in an industry with possible exposure to beryllium | Chronic beryllium disease diagnosis based on Glu69 status | 46 |
| Liu, 2016, USA (181) | Population-based mortality | 3,393 | Sarcoidosis death based on cause of death listed on death certificate | Usual occupation on death certificate | Large national dataset | 53.8 |
Definition of abbreviations: ACCESS = A Case-Control Etiologic Study of Sarcoidosis; USA = United States.
Occupational burden is derived from the proportion of occupationally attributed cases in series or derived from a reported odds ratio and proportion of exposed cases. The overall burden of occupationally attributed sarcoidosis is 30% (95% confidence interval, 17–45%).
Occupational Burden of TB and CAP
Certain occupational groups are at increased risk for TB infection or bacterial CAP. The occupational burden of these infectious diseases, however, has been infrequently quantified (194–197). Searching back to 1990, we identified 9 silica-related and 17 healthcare worker (HCW)-related relevant studies for inclusion in this analysis (198–222) (Tables 9 and 10). We excluded studies that dealt exclusively with latent TB, did not use diagnostic criteria for TB, or were reviewed in previous analyses (and thus were not included in our estimates) (195, 223).
Table 9.
Tuberculosis among Silica-exposed Workers
| First Author, Year, Location (Reference) | Study Type | TB Definition/Diagnosis | Exposure/Job Information | Population Cases (n)/Control or Total Population (N) | Risk Estimates (95% CI when available) | Occupational Burden (%) |
|---|---|---|---|---|---|---|
| Rosenman, 1996, USA (209) | Case–control | Bacteriological or reporting of treatment | SIC and SOC codes used as proxy for exposures | HIV-positive and foreign-born individuals excluded; 149 cases from New Jersey TB Register, 209 control subjects from previous cancer studies | Adjusted OR for silica industries: 1.6 (0.7–3.8) | 4.9 |
| Chen, 1997, USA (210) | Case–control | Death certificate data from NOMS database | Silica-exposed workers | 8,740 cases: 2% intermediate, 14% high; 83,338 control subjects | ORintermed: 1.1 (0.8–1.5) | Intermediate: 0.2 |
| ORhigh: 1.3 (1.1–1.5) | High: 3.2 | |||||
| Calvert, 2003, USA (211) | Case–control | Death certificate data from NOMS database | Subjects assigned to a qualitative silica exposure category | 6,570 cases: medium (11.7%), high (9.5%), super high (0.6%), 32,843 TB control subjects | ORmed: 1.3 (1.2–1.5) | Medium: 3.04 |
| ORhigh: 1.6 (1.5–1.8) | High: 3.4 | |||||
| ORsuper high: 2.5 (1.7–3.7) | Super high: 3.6 | |||||
| Kleinschmidt, 1997, South Africa (212) | Cohort | Bacteriological and clinical diagnosis | Gold miners from a single mine, followed from 1975 to 1996 | 449 cases (total cohort = 4,976 gold miners) | IRR, 2.5 | 2.3 |
| Murray, 1999, South Africa (213) | Cohort | Culture-positive sputum | Gold miners from four mines | 376 cases (total cohort = 28,522 gold miners) | IRR, 4.2 | 4.8 |
| Churchyard, 2000, South Africa (214) | Cohort | Bacteriological and clinical diagnosis | Gold miners at a single mine followed from 1993 to 1997 | 2,893 cases | IRR, 7.5 | 7.9 |
| Sonnenberg, 2005, South Africa (215) | Cohort | Culture-positive “probable TB” = score of radiography, sputum, tuberculin, histology, and trial | Gold miners from four mines followed from 1991 to 1997 | 747 cases (total cohort = 23,874) | IRR, 3.9 | 3.8 |
| Glynn, 2008, South Africa (216) | Cohort | Culture and clinical findings | Gold miners from four mines followed from 1991 to 2004 | 620 new cases among 7,583 participants | IRR, 4.3 | 2.0 |
| van Halsema, 2012, South Africa (217) | Cohort | Culture | Gold miners from two mines followed from 2002 to 2008 | 4,268 TB/19,476 (mine A) | IRR, 3.1 (mine A) | Mine A: 1.1 |
| 1,472 TB/8,414 (mine B) | IRR, 2.5 (mine B) | Mine B: 0.8 |
Definition of abbreviations: CI = confidence interval; IRR = incidence rate ratio; NOMS = National Occupational Mortality Surveillance; OR = odds ratio; SIC = Standard Industrial Classification; SOC = Standard Occupational Classification; TB = tuberculosis; USA = United States.
Except for publications providing an OR, the occupational burden is estimated from an IRR derived from World Bank and World Health Organization data for the silica-exposed labor force and national TB rates. The median silica-associated burden of TB was 2.3% (range, 0.8–7.9%).
Table 10.
Tuberculosis among Healthcare Workers
| First Author, Year, Location (Reference) | Study Type | TB Definition/Diagnosis | Exposure/Job Information | Cases (n)/Control or Total Population (N) | Risk Estimate | Occupational Burden (%) |
|---|---|---|---|---|---|---|
| Rosenman, 1996, USA (209) | Case–control | Bacteriological or treatment reporting | SIC and SOC codes used as proxy for exposures | HIV-positive, foreign-born cases excluded; 149 cases from TB registry; 290 cancer referents | OR, 2.8 (95% CI, 1.4–5.7) | 8.2 |
| Raitio, 2000, Finland (203) | National register review | Bacteriologically, histologically, and/or clinically | All HCWs assessed for occupational TB, extracted from national register | 658 cases between 1966 and 1995 | IRR, 0.67 | 0 |
| Laraqui, 2001, Morocco (218) | Cross-sectional | Case notification | All HCWs notified by health services between 1994 and 1997 | 130 cases among 152,447 HCWs | IRR, 0.72 | 0 |
| Eyob, 2002, Ethiopia (204) | Cohort | Sputum culture or clinical or radiological findings | HCWs at a specialist TB center | 24 cases among 175 HCWs | IRR, 7.2* | 0.4 |
| Jiamjarasrangsi, 2005, Thailand (198) | Cohort | TB diagnoses in medical records database | Thai HCWs observed at a single hospital | 78 cases among 3,894 HCWs | IRR, 3.5 | 0.1 |
| Tam, 2006, Hong Kong (219) | National registry records review | Not stated | Surveillance data of occupational TB reported to the Labor Department | 141 cases among 57,869 HCWs over 5 yr | IRR, 0.5 | 0 |
| de Vries, 2006, Netherlands (200) | Records review | Restriction fragment length polymorphism typing (DNA fingerprinting) | Cases ‘‘working in the healthcare/social-welfare sector’’ from a national TB registry | 94 cases among 126,500 HCWs | IRR, 0.8 | 0 |
| Ong, 2006, USA (201) | Cohort study | TB reported to San Francisco Department of Public Health | All cases of TB reported over multiple years | 33 cases among HCWs among 2,510 cases reported | IRR, 1.2 | 1.0 |
| Pazin-Filho, 2008, Brazil (205) | Database review | Clinical, sputum | HCWs at a university hospital | 21 cases among HCWs | IRR, 2.6* nurse technicians | 1.4 |
| Roche, 2008, Australia (199) | Database review | Laboratory, clinical diagnosis of TB | HCWs recorded in National Notifiable Diseases Surveillance System | 65 cases among HCWs reported in 2006 | IRR, 2.1 | 4.0 |
| Costa, 2011, Portugal (206) | Cohort | Clinical, bacteriological, radiological | HCWs at the São João Hospital followed from 2005 to 2010 | 62 cases among 6,112 HCWs | IRR, 3.2 | 4.4 |
| Lambert, 2012, USA (202) | Database review | Review of National TB Surveillance System records | TB cases reported to the CDC | 6,049 cases among HCWs among the 200,774 cases | IRR, 0.8 | 0 |
| Tudor, 2014, South Africa (207) | Retrospective cohort | Based on records captured | HCWs in three hospitals with specialist MDR-TB wards | 112 cases among 1,313 HCW records reviewed | IRR, 2.0* | 1.3 |
| Toms, 2015, Australia (220) | National database review | National Notifiable Diseases Surveillance System | Working in a healthcare setting in the past 12 mo | 24 cases among HCWs in 2013 | IRR, 1.1 | 0.1 |
| Klimuk, 2014, Belarus (208) | Retrospective record review | Sputum smear, culture, drug susceptibility testing | Review of records from TB healthcare facilities | 116 cases among 5,441 HCWs | IRR, 5.4 | 8.9 |
| O’Hara, 2017, South Africa (222) | National database review | Laboratory-confirmed diagnosis | All HCWs in a particular province in South Africa | 2,677 cases of TB among 32,039 HCWs over 11-yr period | IRR, 1.14* | 1.2 |
| Davidson, 2017, UK (221) | National TB surveillance | Notified TB cases from surveillance database | HCW work information extracted from database | 2,320 cases of HCW TB between 2009 and 2013 | IRR, 1.5* | 2.8 |
Definition of abbreviations: CI = confidence interval; HCW = healthcare worker; IRR = incidence rate ratio; MDR-TB = multidrug-resistant tuberculosis; OR = odds ratio; SIC = Standard Industrial Classification; SOC = Standard Occupational Classification; TB = tuberculosis; UK = United Kingdom; USA = United States.
Except for one publication providing an OR, the occupational burden is estimated from an IRR either reported or derived from World Bank and World Health Organization data for the HCW labor force and national TB rates. The median HCW-associated burden of TB was 1.0% (range, 0.8–9%).
Author-reported IRR.
We considered TB in two distinct occupational risk groups: those exposed occupationally to silica and those exposed as HCWs. For TB among the silica exposed, three U.S. studies and six South African studies allowed estimation of an occupation-associated burden of disease (209–217). For the U.S. studies, the estimated burden ranged from 3.2% to 4.9%. For the South African studies using gold miner cohorts, the occupational burden was estimated by deriving an IRR for miners relative to national rates of disease; the median silica-associated burden was 2.3% (range, 0.8–7.9%) (Table 9). One other estimate of the occupational burden from an Iranian study, strikingly higher than all other studies (36%), was omitted because selection bias may have been present (224).
As shown in Table 10, we found little consistency in estimates of the occupational burden of TB in HCWs. In five studies, the incidence rate among HCWs was lower than that of the general population (200, 202, 203, 218, 219), yielding an estimated burden of zero. Among those with an appreciable burden (IRR ≥ 1), the occupational burden ranged from 0.1% (198) to 8.9% (198). In one of these studies (221), even though there was an increased TB IRR overall, this was accounted for by foreign-born HCWs, and work-acquired infection was confirmed in only a handful of cases. Based on all 17 HCW studies, the overall median estimate was 1.0% (range, 0–8.9%) (Table 10). A previous review of TB among HCWs (195) reported similar occupational burdens of disease among low– and high–TB incidence countries.
We identified 15 publications relevant to the occupational burden of CAP. Six were population-based case–control studies estimating CAP risk (225–230). Of these, the earlier of two overlapping publications from the same Spanish research group was excluded (225), as well as the earlier of two related publications from Canada (226). The four remaining case-referent studies (Table 11) yielded a median PAF of 10% (range, 3–45%) for the occupational burden of pneumonia.
Table 11.
Studies Used to Calculate the Occupational Population Attributable Fraction and Attributable Fraction in Community-acquired Pneumonia
| First Author, Year, Location (Reference) | Type of Study | Population/Cases/Control Subjects | Pneumonia Type/Definition | Exposure Information | PAF or AF (%)* |
|---|---|---|---|---|---|
| Occupational PAF of pneumonia | |||||
| Farr, 2000, UK (227) | Case–control | 175 cases from British Thoracic Society study of patients with community-acquired pneumonia; 385 control subjects | Acute respiratory infiltrate; Mycoplasma excluded; 70% with streptococcal pneumonia confirmation | Self-reported dusty occupation (OR, 1.71) | 16 |
| Palmer, 2003, UK (228) | Case–control | 525 cases, 1,222 referents aged 20–64 yr; 158 lobar; 142 segmental; 225 bronchopneumonia | New/worse respiratory infection, new chest radiograph opacity, hospital admission | Self-reported metal fumes in prior year; OR, 1.6, all; OR, 1.8, lobar pneumonia | 3, 4 |
| Neupane, 2010, Canada (230) | Case–control | 365 cases of pneumonia; 494 control subjects | Admission to hospital for pneumonia, temperature >38°C, new opacity | Self-reported exposure to VGDF (OR, 5.78) | 45 |
| Almirall, 2015, Spain (229) | Case–control | 1,336 cases of pneumonia; 1,326 control subjects | Acute respiratory illness, new radiographic findings, antibiotics | Self-reported exposure to dust (OR, 1.7) | 3 |
| Occupational AF of pneumonia in specific cohorts | |||||
| Beaumont, 1980, USA (235) | Cohort mortality | 8,679 metal trades union; 3,247 welders | All pneumonia | Job classification based on union records | 41 |
| Newhouse, 1985, UK (236) | Cohort mortality | 1,027 welders at a shipyard | All pneumonia | Personnel records from shipyard: job title, tasks; SMR for pneumonia, 269 | 46 |
| Coggon, 1994, UK (237) | Cohort mortality | Male welders England and Wales, 1979–1980 and 1982–1999; 55 pneumonia deaths | Lobar pneumonia | OPCS; welders PMR, 255 | 62 |
| Graham, 2004, USA (233) | Cohort mortality | 5,408 Vermont granite workers; 2,539 deceased, determined by death certificates | All pneumonia, ICD codes | Employment records SMR, <100 | 0 |
| Veiga, 2006, Brazil (234) | Cohort mortality | 2,856 coal miners | All pneumonia | Employment records SMR for pneumonia in miners, 263 | 62 |
| Palmer, 2009, UK (238) | Population mortality | Occupations with exposure to metal fumes, aged 18–64 yr | Lobar pneumonia, ICD-9 codes | OPCS; welders PMR, 242 (166–342) | 59 |
| Wong, 2010 Canada (239) | Retrospective chart review | 1,768 cases of pneumococcal disease; 863 cases aged 18–65 yr; 18 cases in welders | Invasive pneumococcal disease, positive culture results (blood, CSF, other) | Self-reported current occupation OR for welders, 2.7 | 63 |
| Koh, 2011, Korea (231) | Retrospective cohort | Mineral dust– and metal fume–exposed workers: 365 cases (59 in foundry workers); control group (noise-only exposure), 927 cases | All pneumonia (viral, bacterial, fungal), >1-d hospitalization; SAR for pneumonia | National Health Insurance claims, employer, SIC codes; foundry workers SAR, 1.64 (men) | 38 |
| Torén, 2011, Sweden (232) | Prospective cohort of construction workers | 183,194 construction workers aged 20–64 yr; followed for 32 yr; 145 deaths resulting from pneumonia, 62 deaths resulting from lobar pneumonia | Mortality of all infectious pneumonia, lobar pneumonia, pneumococcal pneumonia; viral and fungal pneumonia excluded; Swedish Cause of Death Register | Self-reported job title, JEM | |
| Relative risk for all and lobar pneumonias | |||||
| Inorganic dusts | |||||
| All pneumonia, 1.87 | 47 | ||||
| Lobar pneumonia, 3.37 | 70 | ||||
| Metal fumes | |||||
| All pneumonia, 2.31 | 57 | ||||
| Lobar pneumonia, 3.67 | 73 |
Definition of abbreviations: AF = attributable fraction; CSF = cerebrospinal fluid; ICD = International Classification of Diseases; JEM = job exposure matrix; OPCS = Office of Population Censuses and Surveys; OR = odds ratio; PAF = population attributable fraction; PMR = proportionate mortality ratio; SAR = standardized admission ratio; SIC = Standard Industrial Classification; SMR = standardized mortality ratio; UK = United Kingdom; USA = United States; VGDF = vapors, gas, dust, or fumes.
The median PAF among four population-based studies (top rows) is 10% (range, 3–45%); the median AF within cohorts is 52.5% (range, 38–73%).
PAF for “Occupational PAF of pneumonia” and AF for “Occupational AF of pneumonia in specific cohorts”.
We identified nine cohort studies focusing on specific exposures or a single industry (231–239). Seven estimated risk of pneumonia in welders or in individuals with metal fume exposure (231, 232, 235–239); two also estimated risk for inorganic dusts (231, 232). For metal fume/welding exposures, the median AF was 52.5% (range, 38–73%). Four studies considered risk associated with inorganic dust (231–234). The AF estimates from these studies varied widely (Table 11).
Conclusions
This comprehensive literature review and analysis of nonmalignant respiratory disease demonstrates a substantial occupational burden for multiple respiratory conditions not typically considered potentially work related (Figure 6). The findings for asthma, COPD, and chronic bronchitis build on prior estimates and reinforce the validity of an occupational PAF in the 15–20% range. The occupational contribution to the burden of cases diagnosed as IPF, other interstitial lung diseases, HP and other noninfectious granulomatous diseases (including sarcoidosis), and selected respiratory infections has not been estimated previously using an in-depth literature review and data synthesis approach.
Figure 6.
Summary of the occupational burden of nonmalignant respiratory disease, by condition: the estimated contribution of work exposures to the burden of disease across multiple nonmalignant respiratory conditions. The occupational population attributable fractions for asthma (16%), chronic obstructive pulmonary disease (COPD) (14%), chronic bronchitis (CB) (13%), idiopathic pulmonary fibrosis (IPF) (26%), and community-acquired pneumonia (CAP) (10%) are shown. The occupational burden estimates for pulmonary alveolar proteinosis (PAP) (29%), hypersensitivity pneumonitis (HP) (19%), sarcoid (30%), silica-associated tuberculosis (TB) (2.3%), and healthcare worker–associated TB (HC) (1.0%) are based on mixed methods.
One limitation of this review is that we censored study eligibility for the purposes of data synthesis after December 2017. To address this potential shortcoming, after completing the main analyses, we performed a supplemental literature review covering January through September 2018, identifying three additional publications that would have met criteria for inclusion to estimate occupational burden, one each relevant to COPD, chronic bronchitis, and HP (240–242). All three studies’ results were consistent with our original findings. A 20-year longitudinal follow-up study of 3,343 participants of the population-based European Community Respiratory Survey found that work exposures, assessed by JEM, increased the risk of developing COPD (240). The PAF for VGDF yielded by the data from this study was 14.1%, consistent with our estimate. A cross-sectional study of 5,539 Colombians reported increased risk of chronic bronchitis associated with self-reported VGDF exposure, yielding a PAF of 16.1% (242), also consistent with our findings. The final recent publication, a U.S. retrospective health claim–based study that estimated the incidence and prevalence of HP, found that 17.0% of HP cases had occupational exposure–associated International Classification of Diseases codes, also consistent with our findings (241).
Several other limitations of this in-depth literature review and data synthesis should be noted. The literature we identified was extremely heterogeneous and not amenable to a formal systematic review that could apply all of the PRISMA (Preferred Reporting Items for Systematic Reviews and Meta-Analyses) criteria. Thus, we have avoided applying the label “systematic review” to this analysis. In particular, we made no attempt to formally grade publication quality, to apply methodologic restrictions on acceptability (beyond limiting the asthma analysis to prospective studies), or to weight results (beyond taking into account study size in pooled estimates). Study heterogeneity necessitated using differing approaches (e.g., PAF and prevalence) to estimate the occupational contribution to the burden of the various respiratory conditions.
Study heterogeneity also likely contributed to the wide range in the observed values for the estimated occupational burdens within the conditions we studied. To better assess this potential limitation, we also estimated all of the pooled burdens, excluding the highest and lowest values, as well as calculating the median rather than the pooled value. Reanalyses after excluding outlying values yielded point estimates that were similar to the original pooled estimates, as were the median values, neither of which were consistently lower or higher than the initial estimates (data not shown).
Across conditions, a differential in burden estimates is biologically plausible, consistent with differing potencies of risk depending on the nature of the exposure and the pathogenesis of the disease in question. It would be speculative, however, to make causal inferences from these findings, precisely because of the within- and across-condition variability that characterizes this literature.
Yet another limitation of this analysis is that it lacks data that might serve to estimate disability-adjusted life-years lost, a metric that could provide more quantitative assessment of the health impact of different work exposures and comparison across populations. Also of note, this analysis does not include classic pneumoconioses such as silicosis and asbestosis. These are conditions for which the occupational contribution is essentially 100%, obviating the need for an analysis of the estimated burden of those diseases. The pneumoconioses remain important, underrecognized global health problems associated with considerable morbidity and mortality (243–247).
This assessment of the occupational burden of nonmalignant respiratory disease has clinical, research, and ultimately policy implications. There is a pressing need to improve clinical recognition and widen public health awareness of the contribution of occupational factors across a range of nonmalignant respiratory diseases. Greater attention should be given to reducing this occupational disease burden by identifying and implementing effective preventive interventions. In that light, the importance of preventing these diseases needs to be recognized. Policy makers, especially those who set regulatory standards and oversee their enforcement, should reassess current protections for workers around the world who are exposed to recognized hazardous inhalational exposures.
Supplementary Material
Acknowledgments
This official statement was prepared by an ad hoc task force representing the American Thoracic Society and the European Respiratory Society.
Members of the task force are as follows:
Paul D. Blanc, M.D., M.S.P.H. (Co-Chair)1
Carrie A. Redlich, M.D., M.P.H. (Co-Chair)2
Isabella Annesi-Maesano, M.D., Ph.D.3
John R. Balmes, M.D.1
Kristin J. Cummings, M.D., M.P.H.4
David Fishwick, M.D.5
David Miedinger, M.D., Ph.D.6
Nicola Murgia, M.D., Ph.D.7
Rajen N. Naidoo, M.D., Ph.D.8
Carl J. Reynolds, M.D.9
Torben Sigsgaard, M.D., Ph.D.10
Kjell Torén, M.D., Ph.D.11
Denis Vinnikov, M.D., Ph.D.12,13
1University of California San Francisco, San Francisco, California; 2Yale University, New Haven, Connecticut; 3Paris, France; 4National Institute for Occupational Safety and Health, Morgantown, West Virginia; 5Centre for Workplace Health, Health and Safety Laboratory, Buxton, United Kingdom; 6University of Basel, Basel, Switzerland; 7University of Perugia, Perugia, Italy; 8University of KwaZulu-Natal, Durban, South Africa; 9Imperial College School of Medicine, London, United Kingdom; 10Aarhus University, Aarhus, Denmark; 11University of Gothenburg, Gothenburg, Sweden; 12Al-Farabi Kazakh National University, Almaty, Kazakhstan; and 13National Research Tomsk State University, Tomsk, Russian Federation
Footnotes
This Official Statement was approved by the American Thoracic Society May 2019 and the European Respiratory Society March 2019
You may print one copy of this document at no charge. However, if you require more than one copy, you must place a reprint order. Domestic reprint orders: amy.schriver@sheridan.com; international reprint orders: louisa.mott@springer.com.
The findings and conclusions in this report are those of the authors and do not necessarily represent the official position of the National Institute for Occupational Safety and Health.
This article has an online supplement, which is accessible from this issue’s table of contents at www.atsjournals.org.
Author Disclosures: J.R.B. was a physician member of the California Air Resources Board. D.M. serves as Chief Occupational Health Officer and owns shares and stock options for F. Hoffmann-La Roche Ltd. N.M. received nonfinancial support from AlkAbello, GlaxoSmithKline, and Teva. P.D.B., C.A.R., I.A.-M., K.J.C., D.F., R.N.N., C.J.R., T.S., K.T., and D.V. reported no relationships with relevant commercial interests.
Contributor Information
Collaborators: on behalf of the American Thoracic Society and European Respiratory Society
References
- 1.Driscoll T, Nelson DI, Steenland K, Leigh J, Concha-Barrientos M, Fingerhut M, et al. The global burden of non-malignant respiratory disease due to occupational airborne exposures. Am J Ind Med. 2005;48:432–445. doi: 10.1002/ajim.20210. [DOI] [PubMed] [Google Scholar]
- 2.Balmes J, Becklake M, Blanc P, Henneberger P, Kreiss K, Mapp C, et al. Environmental and Occupational Health Assembly, American Thoracic Societ. American Thoracic Society statement: occupational contribution to the burden of airway disease. Am J Respir Crit Care Med. 2003;167:787–797. doi: 10.1164/rccm.167.5.787. [DOI] [PubMed] [Google Scholar]
- 3.Eisner MD, Anthonisen N, Coultas D, Kuenzli N, Perez-Padilla R, Postma D, et al. Committee on Nonsmoking COPD, Environmental and Occupational Health Assembly. An official American Thoracic Society public policy statement: novel risk factors and the global burden of chronic obstructive pulmonary disease. Am J Respir Crit Care Med. 2010;182:693–718. doi: 10.1164/rccm.200811-1757ST. [DOI] [PubMed] [Google Scholar]
- 4.Henneberger PK, Redlich CA, Callahan DB, Harber P, Lemière C, Martin J, et al. ATS Ad Hoc Committee on Work-Exacerbated Asthma. An official American Thoracic Society statement: work-exacerbated asthma. Am J Respir Crit Care Med. 2011;184:368–378. doi: 10.1164/rccm.812011ST. [DOI] [PubMed] [Google Scholar]
- 5.Taskar VS, Coultas DB. Is idiopathic pulmonary fibrosis an environmental disease? Proc Am Thorac Soc. 2006;3:293–298. doi: 10.1513/pats.200512-131TK. [DOI] [PubMed] [Google Scholar]
- 6.Reynolds CJ, Blanc P. Organising pneumonia and other uncommon interstitial disorders. In: Taylor AN, Cullinan P, Blanc P, Pickering A, editors. Parkes’ occupational lung disorders. 4th ed. Boca Raton, FL: CRC Press; 2017. pp. 317–330. [Google Scholar]
- 7.Quirce S, Vandenplas O, Campo P, Cruz MJ, de Blay F, Koschel D, et al. Occupational hypersensitivity pneumonitis: an EAACI position paper. Allergy. 2016;71:765–779. doi: 10.1111/all.12866. [DOI] [PubMed] [Google Scholar]
- 8.Balmes JR, Abraham JL, Dweik RA, Fireman E, Fontenot AP, Maier LA, et al. ATS Ad Hoc Committee on Beryllium Sensitivity and Chronic Beryllium Disease. An official American Thoracic Society statement: diagnosis and management of beryllium sensitivity and chronic beryllium disease. Am J Respir Crit Care Med. 2014;190:e34–e59. doi: 10.1164/rccm.201409-1722ST. [DOI] [PubMed] [Google Scholar]
- 9.Ling D, Menzies D. Occupation-related respiratory infections revisited. Infect Dis Clin North Am. 2010;24:655–680. doi: 10.1016/j.idc.2010.04.013. [DOI] [PMC free article] [PubMed] [Google Scholar]
- 10.Driscoll T, Nelson DI, Steenland K, Leigh J, Concha-Barrientos M, Fingerhut M, et al. The global burden of disease due to occupational carcinogens. Am J Ind Med. 2005;48:419–431. doi: 10.1002/ajim.20209. [DOI] [PubMed] [Google Scholar]
- 11.De Matteis S, Consonni D, Bertazzi PA. Exposure to occupational carcinogens and lung cancer risk: evolution of epidemiological estimates of attributable fraction. Acta Biomed. 2008;79:34–42. [PubMed] [Google Scholar]
- 12.Hutchings S, Rushton L. Estimating the burden of occupational cancer: assessing bias and uncertainty. Occup Environ Med. 2017;74:604–611. doi: 10.1136/oemed-2016-103810. [DOI] [PubMed] [Google Scholar]
- 13.Mazitova NN. Occupational factors and chronic obstructive pulmonary disease: a meta-analysis [in Russian] Fundam Res. 2011;9:588–592. [Google Scholar]
- 14.Omland O, Würtz ET, Aasen TB, Blanc P, Brisman JB, Miller MR, et al. Occupational chronic obstructive pulmonary disease: a systematic literature review. Scand J Work Environ Health. 2014;40:19–35. doi: 10.5271/sjweh.3400. [DOI] [PubMed] [Google Scholar]
- 15.Blanc PD, Torén K. Occupation in chronic obstructive pulmonary disease and chronic bronchitis: an update. Int J Tuberc Lung Dis. 2007;11:251–257. [PubMed] [Google Scholar]
- 16.Alif SM, Dharmage SC, Bowatte G, Karahalios A, Benke G, Dennekamp M, et al. Occupational exposure and risk of chronic obstructive pulmonary disease: a systematic review and meta-analysis. Expert Rev Respir Med. 2016;10:861–872. doi: 10.1080/17476348.2016.1190274. [DOI] [PubMed] [Google Scholar]
- 17.Soriano JB, Abajobir AA, Abate KH, Abera SF, Agrawal A, Ahmed MB, et al. GBD 2015 Chronic Respiratory Disease Collaborators. Global, regional, and national deaths, prevalence, disability-adjusted life years, and years lived with disability for chronic obstructive pulmonary disease and asthma, 1990-2015: a systematic analysis for the Global Burden of Disease Study 2015. Lancet Respir Med. 2017;5:691–706. doi: 10.1016/S2213-2600(17)30293-X. [DOI] [PMC free article] [PubMed] [Google Scholar]
- 18.Ryu JY, Sunwoo YE, Lee SY, Lee CK, Kim JH, Lee JT, et al. Chronic obstructive pulmonary disease (COPD) and vapors, gases, dusts, or fumes (VGDF): a meta-analysis. COPD. 2015;12:374–380. doi: 10.3109/15412555.2014.949000. [DOI] [PubMed] [Google Scholar]
- 19.Fishwick D, Sen D, Barber C, Bradshaw L, Robinson E, Sumner J COPD Standard Collaboration Group. Occupational chronic obstructive pulmonary disease: a standard of care. Occup Med (Lond) 2015;65:270–282. doi: 10.1093/occmed/kqv019. [DOI] [PubMed] [Google Scholar]
- 20.Torén K, Blanc PD. Asthma caused by occupational exposures is common: a systematic analysis of estimates of the population-attributable fraction. BMC Pulm Med. 2009;9:7. doi: 10.1186/1471-2466-9-7. [DOI] [PMC free article] [PubMed] [Google Scholar]
- 21.World Health Organization (WHO) WHO global health workforce statistics. [accessed 2018 Nov 9]. Available from: http://www.who.int/hrh/statistics/hwfstats/en/
- 22.World Health Organization (WHO) Tuberculosis data. [accessed 2018 Nov 9]. Available from: http://www.who.int/tb/data/en/
- 23.World Bank. DataBank: world development indicators. [accessed 2018 Nov 9]. Available from: http://databank.worldbank.org/data/reports.aspx?source=2&series=SH.TBS.INCD&country=ZAF.
- 24.Baur X, Sigsgaard T, Aasen TB, Burge PS, Heederik D, Henneberger P, et al. ERS Task Force on the Management of Work-related Asthma. Guidelines for the management of work-related asthma. Eur Respir J. 2012;39:529–545. doi: 10.1183/09031936.00096111. [DOI] [PubMed] [Google Scholar]
- 25.Eagan TM, Gulsvik A, Eide GE, Bakke PS. Occupational airborne exposure and the incidence of respiratory symptoms and asthma. Am J Respir Crit Care Med. 2002;166:933–938. doi: 10.1164/rccm.200203-238OC. [DOI] [PubMed] [Google Scholar]
- 26.Hoy RF, Burgess JA, Benke G, Matheson M, Morrison S, Gurrin L, et al. Occupational exposures and the development of new-onset asthma: a population-based cohort study from the ages of 13 to 44 years. J Occup Environ Med. 2013;55:235–239. doi: 10.1097/JOM.0b013e31827edefb. [DOI] [PubMed] [Google Scholar]
- 27.LeVan TD, Koh WP, Lee HP, Koh D, Yu MC, London SJ. Vapor, dust, and smoke exposure in relation to adult-onset asthma and chronic respiratory symptoms: the Singapore Chinese Health Study. Am J Epidemiol. 2006;163:1118–1128. doi: 10.1093/aje/kwj144. [DOI] [PMC free article] [PubMed] [Google Scholar]
- 28.Lillienberg L, Andersson E, Janson C, Dahlman-Höglund A, Forsberg B, Holm M, et al. Occupational exposure and new-onset asthma in a population-based study in Northern Europe (RHINE) Ann Occup Hyg. 2013;57:482–492. doi: 10.1093/annhyg/mes083. [DOI] [PMC free article] [PubMed] [Google Scholar]
- 29.Ghosh RE, Cullinan P, Fishwick D, Hoyle J, Warburton CJ, Strachan DP, et al. Asthma and occupation in the 1958 birth cohort. Thorax. 2013;68:365–371. doi: 10.1136/thoraxjnl-2012-202151. [DOI] [PubMed] [Google Scholar]
- 30.Katz I, Moshe S, Sosna J, Baum GL, Fink G, Shemer J. The occurrence, recrudescence, and worsening of asthma in a population of young adults: impact of varying types of occupation. Chest. 1999;116:614–618. doi: 10.1378/chest.116.3.614. [DOI] [PubMed] [Google Scholar]
- 31.Karjalainen A, Kurppa K, Martikainen R, Klaukka T, Karjalainen J. Work is related to a substantial portion of adult-onset asthma incidence in the Finnish population. Am J Respir Crit Care Med. 2001;164:565–568. doi: 10.1164/ajrccm.164.4.2012146. [DOI] [PubMed] [Google Scholar]
- 32.Kogevinas M, Zock JP, Jarvis D, Kromhout H, Lillienberg L, Plana E, et al. Exposure to substances in the workplace and new-onset asthma: an international prospective population-based study (ECRHS-II) Lancet. 2007;370:336–341. doi: 10.1016/S0140-6736(07)61164-7. [DOI] [PubMed] [Google Scholar]
- 33.Hedlund U, Eriksson K, Rönmark E. Socio-economic status is related to incidence of asthma and respiratory symptoms in adults. Eur Respir J. 2006;28:303–310. doi: 10.1183/09031936.06.00108105. [DOI] [PubMed] [Google Scholar]
- 34.Lillienberg L, Dahlman-Höglund A, Schiöler L, Torén K, Andersson E. Exposures and asthma outcomes using two different job exposure matrices in a general population study in northern Europe. Ann Occup Hyg. 2014;58:469–481. doi: 10.1093/annhyg/meu002. [DOI] [PubMed] [Google Scholar]
- 35.Hnizdo E, Sullivan PA, Bang KM, Wagner G. Association between chronic obstructive pulmonary disease and employment by industry and occupation in the US population: a study of data from the Third National Health and Nutrition Examination Survey. Am J Epidemiol. 2002;156:738–746. doi: 10.1093/aje/kwf105. [DOI] [PubMed] [Google Scholar]
- 36.Trupin L, Earnest G, San Pedro M, Balmes JR, Eisner MD, Yelin E, et al. The occupational burden of chronic obstructive pulmonary disease. Eur Respir J. 2003;22:462–469. doi: 10.1183/09031936.03.00094203. [DOI] [PubMed] [Google Scholar]
- 37.de Marco R, Accordini S, Cerveri I, Corsico A, Sunyer J, Neukirch F, et al. European Community Respiratory Health Survey Study Group. An international survey of chronic obstructive pulmonary disease in young adults according to GOLD stages. Thorax. 2004;59:120–125. doi: 10.1136/thorax.2003.011163. [DOI] [PMC free article] [PubMed] [Google Scholar]
- 38.Lindberg A, Jonsson AC, Rönmark E, Lundgren R, Larsson LG, Lundbäck B. Ten-year cumulative incidence of COPD and risk factors for incident disease in a symptomatic cohort. Chest. 2005;127:1544–1552. doi: 10.1378/chest.127.5.1544. [DOI] [PubMed] [Google Scholar]
- 39.Sunyer J, Zock JP, Kromhout H, Garcia-Esteban R, Radon K, Jarvis D, et al. Occupational Group of the European Community Respiratory Health Survey. Lung function decline, chronic bronchitis, and occupational exposures in young adults. Am J Respir Crit Care Med. 2005;172:1139–1145. doi: 10.1164/rccm.200504-648OC. [DOI] [PubMed] [Google Scholar]
- 40.Jaén A, Zock JP, Kogevinas M, Ferrer A, Marín A. Occupation, smoking, and chronic obstructive respiratory disorders: a cross sectional study in an industrial area of Catalonia, Spain. Environ Health. 2006;5:2. doi: 10.1186/1476-069X-5-2. [DOI] [PMC free article] [PubMed] [Google Scholar]
- 41.Zhong N, Wang C, Yao W, Chen P, Kang J, Huang S, et al. Prevalence of chronic obstructive pulmonary disease in China: a large, population-based survey. Am J Respir Crit Care Med. 2007;176:753–760. doi: 10.1164/rccm.200612-1749OC. [DOI] [PubMed] [Google Scholar]
- 42.Weinmann S, Vollmer WM, Breen V, Heumann M, Hnizdo E, Villnave J, et al. COPD and occupational exposures: a case-control study. J Occup Environ Med. 2008;50:561–569. doi: 10.1097/JOM.0b013e3181651556. [DOI] [PubMed] [Google Scholar]
- 43.Blanc PD, Menezes AMB, Plana E, Mannino DM, Hallal PC, Toren K, et al. Occupational exposures and COPD: an ecological analysis of international data. Eur Respir J. 2009;33:298–304. doi: 10.1183/09031936.00118808. [DOI] [PubMed] [Google Scholar]
- 44.Blanc PD, Eisner MD, Earnest G, Trupin L, Balmes JR, Yelin EH, et al. Further exploration of the links between occupational exposure and chronic obstructive pulmonary disease. J Occup Environ Med. 2009;51:804–810. doi: 10.1097/JOM.0b013e3181a7dd4e. [DOI] [PMC free article] [PubMed] [Google Scholar]
- 45.Melville AM, Pless-Mulloli T, Afolabi OA, Stenton SC. COPD prevalence and its association with occupational exposures in a general population. Eur Respir J. 2010;36:488–493. doi: 10.1183/09031936.00038309. [DOI] [PubMed] [Google Scholar]
- 46.Idolor LF, DE Guia TS, Francisco NA, Roa CC, Ayuyao FG, Tady CZ, et al. Burden of obstructive lung disease in a rural setting in the Philippines. Respirology. 2011;16:1111–1118. doi: 10.1111/j.1440-1843.2011.02027.x. [DOI] [PubMed] [Google Scholar]
- 47.Mehta AJ, Miedinger D, Keidel D, Bettschart R, Bircher A, Bridevaux PO, et al. SAPALDIA Team. Occupational exposure to dusts, gases, and fumes and incidence of chronic obstructive pulmonary disease in the Swiss Cohort Study on air pollution and lung and heart diseases in adults. Am J Respir Crit Care Med. 2012;185:1292–1300. doi: 10.1164/rccm.201110-1917OC. [DOI] [PubMed] [Google Scholar]
- 48.Lam KBH, Yin P, Jiang CQ, Zhang WS, Adab P, Miller MR, et al. Past dust and GAS/FUME exposure and COPD in Chinese: the Guangzhou Biobank Cohort Study. Respir Med. 2012;106:1421–1428. doi: 10.1016/j.rmed.2012.05.009. [DOI] [PubMed] [Google Scholar]
- 49.Darby AC, Waterhouse JC, Stevens V, Billings CG, Billings CG, Burton CM, et al. Chronic obstructive pulmonary disease among residents of an historically industrialised area. Thorax. 2012;67:901–907. doi: 10.1136/thoraxjnl-2011-200543. [DOI] [PubMed] [Google Scholar]
- 50.Hansell A, Ghosh RE, Poole S, Zock JP, Weatherall M, Vermeulen R, et al. Occupational risk factors for chronic respiratory disease in a New Zealand population using lifetime occupational history. J Occup Environ Med. 2014;56:270–280. doi: 10.1097/01.jom.0000438382.33221.dc. [DOI] [PubMed] [Google Scholar]
- 51.Doney B, Hnizdo E, Graziani M, Kullman G, Burchfiel C, Baron S, et al. Occupational risk factors for COPD phenotypes in the Multi-Ethnic Study of Atherosclerosis (MESA) Lung Study. COPD. 2014;11:368–380. doi: 10.3109/15412555.2013.813448. [DOI] [PMC free article] [PubMed] [Google Scholar]
- 52.de Jong K, Boezen HM, Kromhout H, Vermeulen R, Postma DS, Vonk JM LifeLines Cohort study. Pesticides and other occupational exposures are associated with airway obstruction: the LifeLines cohort study. Occup Environ Med. 2014;71:88–96. doi: 10.1136/oemed-2013-101639. [DOI] [PubMed] [Google Scholar]
- 53.Pallasaho P, Kainu A, Sovijärvi A, Lindqvist A, Piirilä PL. Combined effect of smoking and occupational exposure to dusts, gases or fumes on the incidence of COPD. COPD. 2014;11:88–95. doi: 10.3109/15412555.2013.830095. [DOI] [PubMed] [Google Scholar]
- 54.Scholes S, Moody A, Mindell JS. Estimating population prevalence of potential airflow obstruction using different spirometric criteria: a pooled cross-sectional analysis of persons aged 40-95 years in England and Wales. BMJ Open. 2014;4:e005685. doi: 10.1136/bmjopen-2014-005685. [DOI] [PMC free article] [PubMed] [Google Scholar]
- 55.Paulin LM, Diette GB, Blanc PD, Putcha N, Eisner MD, Kanner RE, et al. SPIROMICS Research Group. Occupational exposures are associated with worse morbidity in patients with chronic obstructive pulmonary disease. Am J Respir Crit Care Med. 2015;191:557–565. doi: 10.1164/rccm.201408-1407OC. [DOI] [PMC free article] [PubMed] [Google Scholar]
- 56.Würtz ET, Schlünssen V, Malling TH, Hansen JG, Omland Ø. Occupational chronic obstructive pulmonary disease in a Danish population-based study. COPD. 2015;12:435–443. doi: 10.3109/15412555.2014.974739. [DOI] [PubMed] [Google Scholar]
- 57.Obaseki DO, Erhabor GE, Gnatiuc L, Adewole OO, Buist SA, Burney PG. Chronic airflow obstruction in a black African population: results of BOLD study, Ile-Ife, Nigeria. COPD. 2016;13:42–49. doi: 10.3109/15412555.2015.1041102. [DOI] [PubMed] [Google Scholar]
- 58.Tagiyeva N, Sadhra S, Mohammed N, Fielding S, Devereux G, Teo E, et al. Occupational airborne exposure in relation to chronic obstructive pulmonary disease (COPD) and lung function in individuals without childhood wheezing illness: a 50-year cohort study. Environ Res. 2017;153:126–134. doi: 10.1016/j.envres.2016.11.018. [DOI] [PubMed] [Google Scholar]
- 59.Sinha B, Vibha, Singla R, Chowdhury R. An epidemiological profile of chronic obstructive pulmonary disease: a community-based study in Delhi. J Postgrad Med. 2017;63:29–35. doi: 10.4103/0022-3859.194200. [DOI] [PMC free article] [PubMed] [Google Scholar]
- 60.Torén K, Vikgren J, Olin AC, Rosengren A, Bergström G, Brandberg J. Occupational exposure to vapor, gas, dust, or fumes and chronic airflow limitation, COPD, and emphysema: the Swedish CArdioPulmonary BioImage Study (SCAPIS pilot) Int J Chron Obstruct Pulmon Dis. 2017;12:3407–3413. doi: 10.2147/COPD.S144933. [DOI] [PMC free article] [PubMed] [Google Scholar]
- 61.Montnémery P, Bengtsson P, Elliot A, Lindholm LH, Nyberg P, Löfdahl CG. Prevalence of obstructive lung diseases and respiratory symptoms in relation to living environment and socio-economic group. Respir Med. 2001;95:744–752. doi: 10.1053/rmed.2001.1129. [DOI] [PubMed] [Google Scholar]
- 62.Lange P, Parner J, Prescott E, Vestbo J. Chronic bronchitis in an elderly population. Age Ageing. 2003;32:636–642. doi: 10.1093/ageing/afg108. [DOI] [PubMed] [Google Scholar]
- 63.Axelsson M, Ekerljung L, Eriksson J, Hagstad S, Rönmark E, Lötvall J, et al. Chronic bronchitis in West Sweden: a matter of smoking and social class. Eur Clin Respir J. 2016;3:30319. doi: 10.3402/ecrj.v3.30319. [DOI] [PMC free article] [PubMed] [Google Scholar]
- 64.Mak GK, Gould MK, Kuschner WG. Occupational inhalant exposure and respiratory disorders among never-smokers referred to a hospital pulmonary function laboratory. Am J Med Sci. 2001;322:121–126. doi: 10.1097/00000441-200109000-00002. [DOI] [PubMed] [Google Scholar]
- 65.Lee SJ, Kim SW, Kong KA, Ryu YJ, Lee JH, Chang JH. Risk factors for chronic obstructive pulmonary disease among never-smokers in Korea. Int J Chron Obstruct Pulmon Dis. 2015;10:497–506. doi: 10.2147/COPD.S77662. [DOI] [PMC free article] [PubMed] [Google Scholar]
- 66.Würtz ET, Schlünssen V, Malling TH, Hansen JG, Omland Ø. Occupational COPD among Danish never-smokers: a population-based study. Occup Environ Med. 2015;72:456–459. doi: 10.1136/oemed-2014-102589. [DOI] [PubMed] [Google Scholar]
- 67.Zock JP, Sunyer J, Kogevinas M, Kromhout H, Burney P, Antó JM. Occupation, chronic bronchitis, and lung function in young adults: an international study. Am J Respir Crit Care Med. 2001;163:1572–1577. doi: 10.1164/ajrccm.163.7.2004195. [DOI] [PubMed] [Google Scholar]
- 68.Harber P, Tashkin DP, Simmons M, Crawford L, Hnizdo E, Connett J Lung Health Study Group. Effect of occupational exposures on decline of lung function in early chronic obstructive pulmonary disease. Am J Respir Crit Care Med. 2007;176:994–1000. doi: 10.1164/rccm.200605-730OC. [DOI] [PMC free article] [PubMed] [Google Scholar]
- 69.Bang KM, Syamlal G, Mazurek JM. Prevalence of chronic obstructive pulmonary disease in the U.S. working population: an analysis of data from the 1997-2004 National Health Interview Survey. COPD. 2009;6:380–387. doi: 10.1080/15412550903140899. [DOI] [PubMed] [Google Scholar]
- 70.Bang KM, Syamlal G, Mazurek JM, Wassell JT. Chronic obstructive pulmonary disease prevalence among nonsmokers by occupation in the United States. J Occup Environ Med. 2013;55:1021–1026. doi: 10.1097/JOM.0b013e31829baa97. [DOI] [PubMed] [Google Scholar]
- 71.Bergdahl IA, Torén K, Eriksson K, Hedlund U, Nilsson T, Flodin R, et al. Increased mortality in COPD among construction workers exposed to inorganic dust. Eur Respir J. 2004;23:402–406. doi: 10.1183/09031936.04.00034304. [DOI] [PubMed] [Google Scholar]
- 72.Torén K, Järvholm B. Effect of occupational exposure to vapors, gases, dusts, and fumes on COPD mortality risk among Swedish construction workers: a longitudinal cohort study. Chest. 2014;145:992–997. doi: 10.1378/chest.13-1429. [DOI] [PubMed] [Google Scholar]
- 73.Travis WD, Costabel U, Hansell DM, King TE, Jr, Lynch DA, Nicholson AG, et al. ATS/ERS Committee on Idiopathic Interstitial Pneumonias. An official American Thoracic Society/European Respiratory Society statement: update of the international multidisciplinary classification of the idiopathic interstitial pneumonias. Am J Respir Crit Care Med. 2013;188:733–748. doi: 10.1164/rccm.201308-1483ST. [DOI] [PMC free article] [PubMed] [Google Scholar]
- 74.Turner-Warwick M. In search of a cause of cryptogenic fibrosing alveolitis (CFA): one initiating factor or many? Thorax. 1998;53(Suppl 2):S3–S9. doi: 10.1136/thx.53.2008.s3. [DOI] [PMC free article] [PubMed] [Google Scholar]
- 75.Hubbard R. Occupational dust exposure and the aetiology of cryptogenic fibrosing alveolitis. Eur Respir J. 2001;18(32 Suppl):119s–121s. [PubMed] [Google Scholar]
- 76.Gulati M, Redlich CA. Asbestosis and environmental causes of usual interstitial pneumonia. Curr Opin Pulm Med. 2015;21:193–200. doi: 10.1097/MCP.0000000000000144. [DOI] [PMC free article] [PubMed] [Google Scholar]
- 77.Scott J, Johnston I, Britton J. What causes cryptogenic fibrosing alveolitis? A case-control study of environmental exposure to dust. BMJ. 1990;301:1015–1017. doi: 10.1136/bmj.301.6759.1015. [DOI] [PMC free article] [PubMed] [Google Scholar]
- 78.Iwai K, Mori T, Yamada N, Yamaguchi M, Hosoda Y. Idiopathic pulmonary fibrosis: epidemiologic approaches to occupational exposure. Am J Respir Crit Care Med. 1994;150:670–675. doi: 10.1164/ajrccm.150.3.8087336. [DOI] [PubMed] [Google Scholar]
- 79.Hubbard R, Johnston I, Coultas DB, Britton J. Mortality rates from cryptogenic fibrosing alveolitis in seven countries. Thorax. 1996;51:711–716. doi: 10.1136/thx.51.7.711. [DOI] [PMC free article] [PubMed] [Google Scholar]
- 80.Mullen J, Hodgson MJ, DeGraff CA, Godar T. Case-control study of idiopathic pulmonary fibrosis and environmental exposures. J Occup Environ Med. 1998;40:363–367. doi: 10.1097/00043764-199804000-00011. [DOI] [PubMed] [Google Scholar]
- 81.Baumgartner KB, Samet JM, Coultas DB, Stidley CA, Hunt WC, Colby TV, et al. Collaborating Centers. Occupational and environmental risk factors for idiopathic pulmonary fibrosis: a multicenter case-control study. Am J Epidemiol. 2000;152:307–315. doi: 10.1093/aje/152.4.307. [DOI] [PubMed] [Google Scholar]
- 82.Hubbard R, Cooper M, Antoniak M, Venn A, Khan S, Johnston I, et al. Risk of cryptogenic fibrosing alveolitis in metal workers. Lancet. 2000;355:466–467. doi: 10.1016/S0140-6736(00)82017-6. [DOI] [PubMed] [Google Scholar]
- 83.Miyake Y, Sasaki S, Yokoyama T, Chida K, Azuma A, Suda T, et al. Occupational and environmental factors and idiopathic pulmonary fibrosis in Japan. Ann Occup Hyg. 2005;49:259–265. doi: 10.1093/annhyg/meh090. [DOI] [PubMed] [Google Scholar]
- 84.Gustafson T, Dahlman-Höglund A, Nilsson K, Ström K, Tornling G, Torén K. Occupational exposure and severe pulmonary fibrosis. Respir Med. 2007;101:2207–2212. doi: 10.1016/j.rmed.2007.02.027. [DOI] [PubMed] [Google Scholar]
- 85.Pinheiro GA, Antao VC, Wood JM, Wassell JT. Occupational risks for idiopathic pulmonary fibrosis mortality in the United States. Int J Occup Environ Health. 2008;14:117–123. doi: 10.1179/oeh.2008.14.2.117. [DOI] [PubMed] [Google Scholar]
- 86.García-Sancho Figueroa MC, Carrillo G, Pérez-Padilla R, Fernández-Plata MR, Buendía-Roldán I, Vargas MH, et al. Risk factors for idiopathic pulmonary fibrosis in a Mexican population: a case-control study. Respir Med. 2010;104:305–309. doi: 10.1016/j.rmed.2009.08.013. [DOI] [PubMed] [Google Scholar]
- 87.García-Sancho C, Buendía-Roldán I, Fernández-Plata MR, Navarro C, Pérez-Padilla R, Vargas MH, et al. Familial pulmonary fibrosis is the strongest risk factor for idiopathic pulmonary fibrosis. Respir Med. 2011;105:1902–1907. doi: 10.1016/j.rmed.2011.08.022. [DOI] [PubMed] [Google Scholar]
- 88.Awadalla NJ, Hegazy A, Elmetwally RA, Wahby I. Occupational and environmental risk factors for idiopathic pulmonary fibrosis in Egypt: a multicenter case-control study. Int J Occup Environ Med. 2012;3:107–116. [PubMed] [Google Scholar]
- 89.Paolocci G, Folletti I, Torén K, Ekström M, Dell’Omo M, Muzi G, et al. Occupational risk factors for idiopathic pulmonary fibrosis in Southern Europe: a case-control study. BMC Pulm Med. 2018;18:75. doi: 10.1186/s12890-018-0644-2. [DOI] [PMC free article] [PubMed] [Google Scholar]
- 90.Ekström M, Gustafson T, Boman K, Nilsson K, Tornling G, Murgia N, et al. Effects of smoking, gender and occupational exposure on the risk of severe pulmonary fibrosis: a population-based case-control study. BMJ Open. 2014;4:e004018. doi: 10.1136/bmjopen-2013-004018. [DOI] [PMC free article] [PubMed] [Google Scholar]
- 91.Koo JW, Myong JP, Yoon HK, Rhee CK, Kim Y, Kim JS, et al. Occupational exposure and idiopathic pulmonary fibrosis: a multicentre case-control study in Korea. Int J Tuberc Lung Dis. 2017;21:107–112. doi: 10.5588/ijtld.16.0167. [DOI] [PubMed] [Google Scholar]
- 92.Paolocci G, Nicolic V, Folletti I, Torén K, Gambelunghe A, dell’Omo M, et al. Risk factors for idiopathic pulmonary fibrosis in Southern Europe: a case-control study [abstract] Eur Respir J. 2013;42(Suppl 57):P1912. [Google Scholar]
- 93.Lee SH, Kim DS, Kim YW, Chung MP, Uh ST, Park CS, et al. Association between occupational dust exposure and prognosis of idiopathic pulmonary fibrosis: a Korean national survey. Chest. 2015;147:465–474. doi: 10.1378/chest.14-0994. [DOI] [PubMed] [Google Scholar]
- 94.Trapnell BC, Whitsett JA, Nakata K. Pulmonary alveolar proteinosis. N Engl J Med. 2003;349:2527–2539. doi: 10.1056/NEJMra023226. [DOI] [PubMed] [Google Scholar]
- 95.Ioachimescu OC, Kavuru MS. Pulmonary alveolar proteinosis. Chron Respir Dis. 2006;3:149–159. doi: 10.1191/1479972306cd101rs. [DOI] [PubMed] [Google Scholar]
- 96.Alper F, Akgun M, Onbas O, Araz O. CT findings in silicosis due to denim sandblasting. Eur Radiol. 2008;18:2739–2744. doi: 10.1007/s00330-008-1061-3. [DOI] [PubMed] [Google Scholar]
- 97.Blanc PD. “Acute” silicosis at the 1930 Johannesburg Conference on silicosis and in its aftermath: controversies over a distinct entity later recognized as silicoproteinosis. Am J Ind Med. 2015;58(Suppl 1):S39–S47. doi: 10.1002/ajim.22483. [DOI] [PubMed] [Google Scholar]
- 98.Chew R, Nigam S, Sivakumaran P. Alveolar proteinosis associated with aluminium dust inhalation. Occup Med (Lond) 2016;66:492–494. doi: 10.1093/occmed/kqw049. [DOI] [PubMed] [Google Scholar]
- 99.Cummings KJ, Donat WE, Ettensohn DB, Roggli VL, Ingram P, Kreiss K. Pulmonary alveolar proteinosis in workers at an indium processing facility. Am J Respir Crit Care Med. 2010;181:458–464. doi: 10.1164/rccm.200907-1022CR. [DOI] [PMC free article] [PubMed] [Google Scholar]
- 100.Dawkins SA, Gerhard H, Nevin M. Pulmonary alveolar proteinosis: a possible sequel of NO2 exposure. J Occup Med. 1991;33:638–641. [PubMed] [Google Scholar]
- 101.Grubstein A, Shtraichman O, Fireman E, Bachar GN, Noach-Ophir N, Kramer MR. Radiological evaluation of artificial stone silicosis outbreak: emphasizing findings in lung transplant recipients. J Comput Assist Tomogr. 2016;40:923–927. doi: 10.1097/RCT.0000000000000454. [DOI] [PubMed] [Google Scholar]
- 102.Keller CA, Frost A, Cagle PT, Abraham JL. Pulmonary alveolar proteinosis in a painter with elevated pulmonary concentrations of titanium. Chest. 1995;108:277–280. doi: 10.1378/chest.108.1.277. [DOI] [PubMed] [Google Scholar]
- 103.McCunney RJ, Godefroi R. Pulmonary alveolar proteinosis and cement dust: a case report. J Occup Med. 1989;31:233–237. doi: 10.1097/00043764-198903000-00008. [DOI] [PubMed] [Google Scholar]
- 104.Miller RR, Churg AM, Hutcheon M, Lom S. Pulmonary alveolar proteinosis and aluminum dust exposure. Am Rev Respir Dis. 1984;130:312–315. doi: 10.1164/arrd.1984.130.2.312. [DOI] [PubMed] [Google Scholar]
- 105.Owens MW, Kinasewitz GT, Gonzalez E. Sandblaster’s lung with mycobacterial infection. Am J Med Sci. 1988;295:554–557. doi: 10.1097/00000441-198806000-00010. [DOI] [PubMed] [Google Scholar]
- 106.Ray RL, Salm R. A fatal case of pulmonary alveolar proteinosis. Thorax. 1962;17:257–266. doi: 10.1136/thx.17.3.257. [DOI] [PMC free article] [PubMed] [Google Scholar]
- 107.Suratt PM, Winn WC, Jr, Brody AR, Bolton WK, Giles RD. Acute silicosis in tombstone sandblasters. Am Rev Respir Dis. 1977;115:521–529. doi: 10.1164/arrd.1977.115.3.521. [DOI] [PubMed] [Google Scholar]
- 108.Xipell JM, Ham KN, Price CG, Thomas DP. Acute silicoproteinosis. Thorax. 1977;32:104–111. doi: 10.1136/thx.32.1.104. [DOI] [PMC free article] [PubMed] [Google Scholar]
- 109.Hosokawa T, Yamaguchi E, Shirai S, Fuke S, Takaoka K, Kojima J, et al. A case of idiopathic pulmonary alveolar proteinosis accompanied by T-cell receptor gene rearrangement in bronchoalveolar lavage fluid cells. Respirology. 2004;9:286–288. doi: 10.1111/j.1440-1843.2004.00574.x. [DOI] [PubMed] [Google Scholar]
- 110.Shaughnessy GF, Lee AS. Pulmonary alveolar proteinosis, barbecue smoke, and granulocyte-macrophage colony-stimulating factor therapy. Am J Med. 2016;129:e7–e8. doi: 10.1016/j.amjmed.2015.08.015. [DOI] [PubMed] [Google Scholar]
- 111.Uzmezoglu B, Simsek C, Gulgosteren S, Gebesoglu BE. Does dust-associated pulmonary alveolar proteinosis represent an autoimmune disorder? Am J Ind Med. 2017;60:591–597. doi: 10.1002/ajim.22702. [DOI] [PubMed] [Google Scholar]
- 112.Davidson JM, Macleod WM. Pulmonary alveolar proteinosis. Br J Dis Chest. 1969;63:13–28. doi: 10.1016/s0007-0971(69)80040-9. [DOI] [PubMed] [Google Scholar]
- 113.McEuen DD, Abraham JL. Particulate concentrations in pulmonary alveolar proteinosis. Environ Res. 1978;17:334–339. doi: 10.1016/0013-9351(78)90037-3. [DOI] [PubMed] [Google Scholar]
- 114.Rubin E, Weisbrod GL, Sanders DE. Pulmonary alveolar proteinosis: relationship to silicosis and pulmonary infection. Radiology. 1980;135:35–41. doi: 10.1148/radiology.135.1.7360977. [DOI] [PubMed] [Google Scholar]
- 115.Kariman K, Kylstra JA, Spock A. Pulmonary alveolar proteinosis: prospective clinical experience in 23 patients for 15 years. Lung. 1984;162:223–231. doi: 10.1007/BF02715650. [DOI] [PubMed] [Google Scholar]
- 116.Prakash UB, Barham SS, Carpenter HA, Dines DE, Marsh HM. Pulmonary alveolar phospholipoproteinosis: experience with 34 cases and a review. Mayo Clin Proc. 1987;62:499–518. doi: 10.1016/s0025-6196(12)65477-9. [DOI] [PubMed] [Google Scholar]
- 117.Asamoto H, Kitaichi M, Nishimura K, Itoh H, Izumi T. Primary pulmonary alveolar proteinosis: clinical observation of 68 patients in Japan [in Japanese] Nihon Kyobu Shikkan Gakkai Zasshi. 1995;33:835–845. [PubMed] [Google Scholar]
- 118.Goldstein LS, Kavuru MS, Curtis-McCarthy P, Christie HA, Farver C, Stoller JK. Pulmonary alveolar proteinosis: clinical features and outcomes. Chest. 1998;114:1357–1362. doi: 10.1378/chest.114.5.1357. [DOI] [PubMed] [Google Scholar]
- 119.Kim G, Lee SJ, Lee HP, Yoo CG, Han SK, Shim YS, et al. The clinical characteristics of pulmonary alveolar proteinosis: experience at Seoul National University Hospital, and review of the literature. J Korean Med Sci. 1999;14:159–164. doi: 10.3346/jkms.1999.14.2.159. [DOI] [PMC free article] [PubMed] [Google Scholar]
- 120.Briens E, Delaval P, Mairesse MP, Valeyre D, Wallaert B, Lazor R, et al. Groupe D’études Et de Recherche Sur Les Maladies Orphelines Pulmonaires (GERM O P) Pulmonary alveolar proteinosis [in French] Rev Mal Respir. 2002;19:166–182. [PubMed] [Google Scholar]
- 121.Inoue Y, Trapnell BC, Tazawa R, Arai T, Takada T, Hizawa N, et al. Japanese Center of the Rare Lung Diseases Consortium. Characteristics of a large cohort of patients with autoimmune pulmonary alveolar proteinosis in Japan. Am J Respir Crit Care Med. 2008;177:752–762. doi: 10.1164/rccm.200708-1271OC. [DOI] [PMC free article] [PubMed] [Google Scholar]
- 122.Fang XQ. Eleven cases analysis of pulmonary alveolar proteinosis. J Clin Intern Med. 2009;26:623–625. [Google Scholar]
- 123.Xu Z, Jing J, Wang H, Xu F, Wang J. Pulmonary alveolar proteinosis in China: a systematic review of 241 cases. Respirology. 2009;14:761–766. doi: 10.1111/j.1440-1843.2009.01539.x. [DOI] [PubMed] [Google Scholar]
- 124.Byun MK, Kim DS, Kim YW, Chung MP, Shim JJ, Cha SI, et al. Clinical features and outcomes of idiopathic pulmonary alveolar proteinosis in Korean population. J Korean Med Sci. 2010;25:393–398. doi: 10.3346/jkms.2010.25.3.393. [DOI] [PMC free article] [PubMed] [Google Scholar]
- 125.Bonella F, Bauer PC, Griese M, Ohshimo S, Guzman J, Costabel U. Pulmonary alveolar proteinosis: new insights from a single-center cohort of 70 patients. Respir Med. 2011;105:1908–1916. doi: 10.1016/j.rmed.2011.08.018. [DOI] [PubMed] [Google Scholar]
- 126.Fang CS, Wang YC, Zhang TH, Wu J, Wang W, Wang C, et al. Clinical significance of serum lipids in idiopathic pulmonary alveolar proteinosis. Lipids Health Dis. 2012;11:12. doi: 10.1186/1476-511X-11-12. [DOI] [PMC free article] [PubMed] [Google Scholar]
- 127.Campo I, Mariani F, Rodi G, Paracchini E, Tsana E, Piloni D, et al. Assessment and management of pulmonary alveolar proteinosis in a reference center. Orphanet J Rare Dis. 2013;8:40. doi: 10.1186/1750-1172-8-40. [DOI] [PMC free article] [PubMed] [Google Scholar]
- 128.Zhao HC, Zhu QS. Effect of whole lung lavage therapy at the same period on pulmonary alveolar proteinosis disease. Pract J Clin Med. 2013;11:88–90. [Google Scholar]
- 129.Fijołek J, Wiatr E, Radzikowska E, Bestry I, Langfort R, Polubiec-Kownacka M, et al. Pulmonary alveolar proteinosis during a 30-year observation: diagnosis and treatment. Pneumonol Alergol Pol. 2014;82:206–217. doi: 10.5603/PiAP.2014.0028. [DOI] [PubMed] [Google Scholar]
- 130.Ilkovich YM, Ariel BM, Novikova LN, Bazhanov AA, Dvorakovskaya IV, Ilkovich MM. Pulmonary alveolar proteinosis: a long way to correct diagnosis. Problems of diagnostics and therapy in routine practice. Ann Clin Lab Sci. 2014;44:405–409. [PubMed] [Google Scholar]
- 131.Yang J, Jiang D, Lu JC. Efficacy of the treatment of 10 cases of pulmonary alveolar proteinosis large capacity whole lung lavage. Zhejiang Clin Med J. 2014;16:397–398. [Google Scholar]
- 132.Akasaka K, Tanaka T, Kitamura N, Ohkouchi S, Tazawa R, Takada T, et al. Outcome of corticosteroid administration in autoimmune pulmonary alveolar proteinosis: a retrospective cohort study. BMC Pulm Med. 2015;15:88. doi: 10.1186/s12890-015-0085-0. [DOI] [PMC free article] [PubMed] [Google Scholar]
- 133.Xiao YL, Xu KF, Li Y, Li Y, Li H, Shi B, et al. Occupational inhalational exposure and serum GM-CSF autoantibody in pulmonary alveolar proteinosis. Occup Environ Med. 2015;72:504–512. doi: 10.1136/oemed-2014-102407. [DOI] [PubMed] [Google Scholar]
- 134.Bai J, Xu J, Yang W, Gao B, Cao W, Liang S, et al. A new scale to assess the severity and prognosis of pulmonary alveolar proteinosis. Can Respir J. 2016;2016:3412836. doi: 10.1155/2016/3412836. [DOI] [PMC free article] [PubMed] [Google Scholar]
- 135.Deleanu OC, Zaharie AM, Şerbescu A, NiŢu FM, MihălŢan FD, Arghir OC. Analysis of bronchoalveolar lavage fluid in a first Romanian pulmonary alveolar proteinosis cohort. Rom J Morphol Embryol. 2016;57(2 Suppl):737–743. [PubMed] [Google Scholar]
- 136.Hadda V, Tiwari P, Madan K, Mohan A, Gupta N, Bharti SJ, et al. Pulmonary alveolar proteinosis: experience from a tertiary care center and systematic review of Indian literature. Lung India. 2016;33:626–634. doi: 10.4103/0970-2113.192876. [DOI] [PMC free article] [PubMed] [Google Scholar]
- 137.Huang Z, Yi X, Luo B, Zhu J, Wu Y, Jiang W, et al. Induced sputum deposition improves diagnostic yields of pulmonary alveolar proteinosis: a clinicopathological and methodological study of 17 cases. Ultrastruct Pathol. 2016;40:7–13. doi: 10.3109/01913123.2015.1104404. [DOI] [PubMed] [Google Scholar]
- 138.Mo Q, Wang B, Dong N, Bao L, Su X, Li Y, et al. The clinical clues of pulmonary alveolar proteinosis: a report of 11 cases and literature review. Can Respir J. 2016;2016:4021928. doi: 10.1155/2016/4021928. [DOI] [PMC free article] [PubMed] [Google Scholar]
- 139.Guo WL, Zhou ZQ, Chen L, Su ZQ, Zhong CH, Chen Y, et al. Serum KL-6 in pulmonary alveolar proteinosis: China compared historically with Germany and Japan. J Thorac Dis. 2017;9:287–295. doi: 10.21037/jtd.2017.02.14. [DOI] [PMC free article] [PubMed] [Google Scholar]
- 140.Hwang JA, Song JH, Kim JH, Chung MP, Kim DS, Song JW, et al. Clinical significance of cigarette smoking and dust exposure in pulmonary alveolar proteinosis: a Korean national survey. BMC Pulm Med. 2017;17:147. doi: 10.1186/s12890-017-0493-4. [DOI] [PMC free article] [PubMed] [Google Scholar]
- 141.Bonella F, Bauer PC, Griese M, Wessendorf TE, Guzman J, Costabel U. Wash-out kinetics and efficacy of a modified lavage technique for alveolar proteinosis. Eur Respir J. 2012;40:1468–1474. doi: 10.1183/09031936.00017612. [DOI] [PubMed] [Google Scholar]
- 142.Abraham JL, McEuen DD. Inorganic particulates associated with pulmonary alveolar proteinosis: SEM and X-ray microanalysis results. Appl Pathol. 1986;4:138–146. [PubMed] [Google Scholar]
- 143.Rosen SH, Castleman B, Liebow AA, Enzinger FM, Hunt RTN. Pulmonary alveolar proteinosis. N Engl J Med. 1958;258:1123–1142. doi: 10.1056/NEJM195806052582301. [DOI] [PubMed] [Google Scholar]
- 144.Tazawa R, Trapnell BC, Inoue Y, Arai T, Takada T, Nasuhara Y, et al. Inhaled granulocyte/macrophage-colony stimulating factor as therapy for pulmonary alveolar proteinosis. Am J Respir Crit Care Med. 2010;181:1345–1354. doi: 10.1164/rccm.200906-0978OC. [DOI] [PMC free article] [PubMed] [Google Scholar]
- 145.Philit F, Etienne-Mastroïanni B, Parrot A, Guérin C, Robert D, Cordier JF. Idiopathic acute eosinophilic pneumonia: a study of 22 patients. Am J Respir Crit Care Med. 2002;166:1235–1239. doi: 10.1164/rccm.2112056. [DOI] [PubMed] [Google Scholar]
- 146.Rom WN, Weiden M, Garcia R, Yie TA, Vathesatogkit P, Tse DB, et al. Acute eosinophilic pneumonia in a New York City firefighter exposed to World Trade Center dust. Am J Respir Crit Care Med. 2002;166:797–800. doi: 10.1164/rccm.200206-576OC. [DOI] [PubMed] [Google Scholar]
- 147.Lowry T, Schuman LM. Silo-filler’s disease; a syndrome caused by nitrogen dioxide. J Am Med Assoc. 1956;162:153–160. doi: 10.1001/jama.1956.02970200001001. [DOI] [PubMed] [Google Scholar]
- 148.Eschenbacher WL, Kreiss K, Lougheed MD, Pransky GS, Day B, Castellan RM. Nylon flock-associated interstitial lung disease. Am J Respir Crit Care Med. 1999;159:2003–2008. doi: 10.1164/ajrccm.159.6.9808002. [DOI] [PubMed] [Google Scholar]
- 149.Kreiss K, Gomaa A, Kullman G, Fedan K, Simoes EJ, Enright PL. Clinical bronchiolitis obliterans in workers at a microwave-popcorn plant. N Engl J Med. 2002;347:330–338. doi: 10.1056/NEJMoa020300. [DOI] [PubMed] [Google Scholar]
- 150.Akpinar-Elci M, Travis WD, Lynch DA, Kreiss K. Bronchiolitis obliterans syndrome in popcorn production plant workers. Eur Respir J. 2004;24:298–302. doi: 10.1183/09031936.04.00013903. [DOI] [PubMed] [Google Scholar]
- 151.Ghanei M, Mokhtari M, Mohammad MM, Aslani J. Bronchiolitis obliterans following exposure to sulfur mustard: chest high resolution computed tomography. Eur J Radiol. 2004;52:164–169. doi: 10.1016/j.ejrad.2004.03.018. [DOI] [PubMed] [Google Scholar]
- 152.Cullinan P, McGavin CR, Kreiss K, Nicholson AG, Maher TM, Howell T, et al. Obliterative bronchiolitis in fibreglass workers: a new occupational disease? Occup Environ Med. 2013;70:357–359. doi: 10.1136/oemed-2012-101060. [DOI] [PubMed] [Google Scholar]
- 153.Moya C, Antó JM, Taylor AJ Collaborative Group for the Study of Toxicity in Textile Aerographic Factories. Outbreak of organising pneumonia in textile printing sprayers. Lancet. 1994;344:498–502. doi: 10.1016/s0140-6736(94)91896-1. [DOI] [PubMed] [Google Scholar]
- 154.Romero S, Hernández L, Gil J, Aranda I, Martín C, Sanchez-Payá J. Organizing pneumonia in textile printing workers: a clinical description. Eur Respir J. 1998;11:265–271. doi: 10.1183/09031936.98.11020265. [DOI] [PubMed] [Google Scholar]
- 155.Herbert A, Sterling G, Abraham J, Corrin B. Desquamative interstitial pneumonia in an aluminum welder. Hum Pathol. 1982;13:694–699. doi: 10.1016/s0046-8177(82)80291-8. [DOI] [PubMed] [Google Scholar]
- 156.Ahmad D, Morgan WK, Patterson R, Williams T, Zeiss CR. Pulmonary haemorrhage and haemolytic anaemia due to trimellitic anhydride. Lancet. 1979;2:328–330. doi: 10.1016/s0140-6736(79)90344-1. [DOI] [PubMed] [Google Scholar]
- 157.Cullen MR, Balmes JR, Robins JM, Smith GJ. Lipoid pneumonia caused by oil mist exposure from a steel rolling tandem mill. Am J Ind Med. 1981;2:51–58. doi: 10.1002/ajim.4700020109. [DOI] [PubMed] [Google Scholar]
- 158.Han C, Liu L, Du S, Mei J, Huang L, Chen M, et al. Investigation of rare chronic lipoid pneumonia associated with occupational exposure to paraffin aerosol. J Occup Health. 2016;58:482–488. doi: 10.1539/joh.16-0096-CS. [DOI] [PMC free article] [PubMed] [Google Scholar]
- 159.Pu CY, Al Rasheed MRH, Sekosan M, Sharma V. Pet groomer’s lung: a novel occupation related hypersensitivity pneumonitis related to pyrethrin exposure in a pet groomer. Am J Ind Med. 2017;60:141–145. doi: 10.1002/ajim.22664. [DOI] [PubMed] [Google Scholar]
- 160.Moon J, du Bois RM, Colby TV, Hansell DM, Nicholson AG. Clinical significance of respiratory bronchiolitis on open lung biopsy and its relationship to smoking related interstitial lung disease. Thorax. 1999;54:1009–1014. doi: 10.1136/thx.54.11.1009. [DOI] [PMC free article] [PubMed] [Google Scholar]
- 161.Woo OH, Yong HS, Oh YW, Lee SY, Kim HK, Kang EY. Respiratory bronchiolitis-associated interstitial lung disease in a nonsmoker: radiologic and pathologic findings. AJR Am J Roentgenol. 2007;188:W412–W414. doi: 10.2214/AJR.05.0835. [DOI] [PubMed] [Google Scholar]
- 162.Barber CM, Burton CM, Hendrick DJ, Pickering CAC, Robertson AS, Robertson W, et al. Hypersensitivity pneumonitis in workers exposed to metalworking fluids. Am J Ind Med. 2014;57:872–880. doi: 10.1002/ajim.22337. [DOI] [PMC free article] [PubMed] [Google Scholar]
- 163.Morell F, Roger A, Reyes L, Cruz MJ, Murio C, Muñoz X. Bird fancier’s lung: a series of 86 patients. Medicine (Baltimore) 2008;87:110–130. doi: 10.1097/MD.0b013e31816d1dda. [DOI] [PubMed] [Google Scholar]
- 164.Wang P, Jones KD, Urisman A, Elicker BM, Urbania T, Johannson KA, et al. Pathologic findings and prognosis in a large prospective cohort of chronic hypersensitivity pneumonitis. Chest. 2017;152:502–509. doi: 10.1016/j.chest.2017.02.011. [DOI] [PubMed] [Google Scholar]
- 165.Lacasse Y, Selman M, Costabel U, Dalphin JC, Ando M, Morell F, et al. HP Study Group. Clinical diagnosis of hypersensitivity pneumonitis. Am J Respir Crit Care Med. 2003;168:952–958. doi: 10.1164/rccm.200301-137OC. [DOI] [PubMed] [Google Scholar]
- 166.Selman M, Lacasse Y, Pardo A, Cormier Y. Hypersensitivity pneumonitis caused by fungi. Proc Am Thorac Soc. 2010;7:229–236. doi: 10.1513/pats.200906-041AL. [DOI] [PubMed] [Google Scholar]
- 167.Cramer C, Schlünssen V, Bendstrup E, Stokholm ZA, Vestergaard JM, Frydenberg M, et al. Risk of hypersensitivity pneumonitis and interstitial lung diseases among pigeon breeders. Eur Respir J. 2016;48:818–825. doi: 10.1183/13993003.00376-2016. [DOI] [PubMed] [Google Scholar]
- 168.Kawanami O, Basset F, Barrios R, Lacronique JG, Ferrans VJ, Crystal RG. Hypersensitivity pneumonitis in man: light- and electron-microscopic studies of 18 lung biopsies. Am J Pathol. 1983;110:275–289. [PMC free article] [PubMed] [Google Scholar]
- 169.Yoshida K, Suga M, Nishiura Y, Arima K, Yoneda R, Tamura M, et al. Occupational hypersensitivity pneumonitis in Japan: data on a nationwide epidemiological study. Occup Environ Med. 1995;52:570–574. doi: 10.1136/oem.52.9.570. [DOI] [PMC free article] [PubMed] [Google Scholar]
- 170.Yoshizawa Y, Ohtani Y, Hayakawa H, Sato A, Suga M, Ando M. Chronic hypersensitivity pneumonitis in Japan: a nationwide epidemiologic survey. J Allergy Clin Immunol. 1999;103:315–320. doi: 10.1016/s0091-6749(99)70507-5. [DOI] [PubMed] [Google Scholar]
- 171.Thomeer M, Demedts M, Vandeurzen K VRGT Working Group on Interstitial Lung Diseases. Registration of interstitial lung diseases by 20 centres of respiratory medicine in Flanders. Acta Clin Belg. 2001;56:163–172. doi: 10.1179/acb.2001.026. [DOI] [PubMed] [Google Scholar]
- 172.Bang KM, Weissman DN, Pinheiro GA, Antao VC, Wood JM, Syamlal G. Twenty-three years of hypersensitivity pneumonitis mortality surveillance in the United States. Am J Ind Med. 2006;49:997–1004. doi: 10.1002/ajim.20405. [DOI] [PubMed] [Google Scholar]
- 173.Hanak V, Golbin JM, Ryu JH. Causes and presenting features in 85 consecutive patients with hypersensitivity pneumonitis. Mayo Clin Proc. 2007;82:812–816. doi: 10.4065/82.7.812. [DOI] [PubMed] [Google Scholar]
- 174.Olson AL, Huie TJ, Groshong SD, Cosgrove GP, Janssen WJ, Schwarz MI, et al. Acute exacerbations of fibrotic hypersensitivity pneumonitis: a case series. Chest. 2008;134:844–850. doi: 10.1378/chest.08-0428. [DOI] [PubMed] [Google Scholar]
- 175.Cımrın AH, Göksel O, Demirel YS. General aspects of hypersensitivity pneumonitis in Turkey. Tuberk Toraks. 2010;58:242–251. [PubMed] [Google Scholar]
- 176.Caillaud DM, Vergnon JM, Madroszyk A, Melloni BM, Murris M, Dalphin JC French Group of Environmental Immunoallergic Bronchopulmonary Diseases. Bronchoalveolar lavage in hypersensitivity pneumonitis: a series of 139 patients. Inflamm Allergy Drug Targets. 2012;11:15–19. doi: 10.2174/187152812798889330. [DOI] [PubMed] [Google Scholar]
- 177.Alhamad EH. Interstitial lung diseases in Saudi Arabia: a single-center study. Ann Thorac Med. 2013;8:33–37. doi: 10.4103/1817-1737.105717. [DOI] [PMC free article] [PubMed] [Google Scholar]
- 178.Castonguay MC, Ryu JH, Yi ES, Tazelaar HD. Granulomas and giant cells in hypersensitivity pneumonitis. Hum Pathol. 2015;46:607–613. doi: 10.1016/j.humpath.2014.12.017. [DOI] [PubMed] [Google Scholar]
- 179.Millerick-May ML, Mulks MH, Gerlach J, Flaherty KR, Schmidt SL, Martinez FJ, et al. Hypersensitivity pneumonitis and antigen identification: an alternate approach. Respir Med. 2016;112:97–105. doi: 10.1016/j.rmed.2015.09.001. [DOI] [PubMed] [Google Scholar]
- 180.Singh S, Collins BF, Sharma BB, Joshi JM, Talwar D, Katiyar S, et al. Interstitial lung disease in India: results of a prospective registry. Am J Respir Crit Care Med. 2017;195:801–813. doi: 10.1164/rccm.201607-1484OC. [DOI] [PubMed] [Google Scholar]
- 181.Liu H, Patel D, Welch AM, Wilson C, Mroz MM, Li L, et al. Association between occupational exposures and sarcoidosis: an analysis from death certificates in the United States, 1988-1999. Chest. 2016;150:289–298. doi: 10.1016/j.chest.2016.01.020. [DOI] [PMC free article] [PubMed] [Google Scholar]
- 182.Hena KM, Yip J, Jaber N, Goldfarb D, Fullam K, Cleven K, et al. FDNY Sarcoidosis Clinical Research Group. Clinical course of sarcoidosis in World Trade Center-exposed firefighters. Chest. 2018;153:114–123. doi: 10.1016/j.chest.2017.10.014. [DOI] [PMC free article] [PubMed] [Google Scholar]
- 183.Barnard J, Rose C, Newman L, Canner M, Martyny J, McCammon C, et al. ACCESS Research Group. Job and industry classifications associated with sarcoidosis in A Case-Control Etiologic Study of Sarcoidosis (ACCESS) J Occup Environ Med. 2005;47:226–234. doi: 10.1097/01.jom.0000155711.88781.91. [DOI] [PubMed] [Google Scholar]
- 184.Newman LS, Rose CS, Bresnitz EA, Rossman MD, Barnard J, Frederick M, et al. ACCESS Research Group. A case control etiologic study of sarcoidosis: environmental and occupational risk factors. Am J Respir Crit Care Med. 2004;170:1324–1330. doi: 10.1164/rccm.200402-249OC. [DOI] [PubMed] [Google Scholar]
- 185.Kucera GP, Rybicki BA, Kirkey KL, Coon SW, Major ML, Maliarik MJ, et al. Occupational risk factors for sarcoidosis in African-American siblings. Chest. 2003;123:1527–1535. doi: 10.1378/chest.123.5.1527. [DOI] [PubMed] [Google Scholar]
- 186.Deubelbeiss U, Gemperli A, Schindler C, Baty F, Brutsche MH. Prevalence of sarcoidosis in Switzerland is associated with environmental factors. Eur Respir J. 2010;35:1088–1097. doi: 10.1183/09031936.00197808. [DOI] [PubMed] [Google Scholar]
- 187.Crouser ED, Amin EN. Severe sarcoidosis phenotypes: an occupational hazard? Chest. 2016;150:263–265. doi: 10.1016/j.chest.2016.02.663. [DOI] [PubMed] [Google Scholar]
- 188.Ribeiro M, Fritscher LG, Al-Musaed AM, Balter MS, Hoffstein V, Mazer BD, et al. Search for chronic beryllium disease among sarcoidosis patients in Ontario, Canada. Lung. 2011;189:233–241. doi: 10.1007/s00408-011-9285-4. [DOI] [PubMed] [Google Scholar]
- 189.Müller-Quernheim J, Gaede KI, Fireman E, Zissel G. Diagnoses of chronic beryllium disease within cohorts of sarcoidosis patients. Eur Respir J. 2006;27:1190–1195. doi: 10.1183/09031936.06.00112205. [DOI] [PubMed] [Google Scholar]
- 190.Fireman E, Haimsky E, Noiderfer M, Priel I, Lerman Y. Misdiagnosis of sarcoidosis in patients with chronic beryllium disease. Sarcoidosis Vasc Diffuse Lung Dis. 2003;20:144–148. [PubMed] [Google Scholar]
- 191.Fireman E, Kramer MR, Priel I, Lerman Y. Chronic beryllium disease among dental technicians in Israel. Sarcoidosis Vasc Diffuse Lung Dis. 2006;23:215–221. [PubMed] [Google Scholar]
- 192.Fireman E, Shai AB, Alcalay Y, Ophir N, Kivity S, Stejskal V. Identification of metal sensitization in sarcoid-like metal-exposed patients by the MELISA® lymphocyte proliferation test: a pilot study. J Occup Med Toxicol. 2016;11:18. doi: 10.1186/s12995-016-0101-1. [DOI] [PMC free article] [PubMed] [Google Scholar]
- 193.Cherry N, Beach J, Burstyn I, Parboosingh J, Schouchen J, Senthilselvan A, et al. Genetic susceptibility to beryllium: a case-referent study of men and women of working age with sarcoidosis or other chronic lung disease. Occup Environ Med. 2015;72:21–27. doi: 10.1136/oemed-2014-102359. [DOI] [PubMed] [Google Scholar]
- 194.Sepkowitz KA, Friedman CR, Hafner A, Kwok D, Manoach S, Floris M, et al. Tuberculosis among urban health care workers: a study using restriction fragment length polymorphism typing. Clin Infect Dis. 1995;21:1098–1101. doi: 10.1093/clinids/21.5.1098. [DOI] [PubMed] [Google Scholar]
- 195.Baussano I, Nunn P, Williams B, Pivetta E, Bugiani M, Scano F. Tuberculosis among health care workers. Emerg Infect Dis. 2011;17:488–494. doi: 10.3201/eid1703.100947. [DOI] [PMC free article] [PubMed] [Google Scholar]
- 196.Dharmadhikari A, Smith J, Nardell E, Churchyard G, Keshavjee S. Aspiring to zero tuberculosis deaths among southern Africa’s miners: is there a way forward? Int J Health Serv. 2013;43:651–664. doi: 10.2190/HS.43.4.d. [DOI] [PubMed] [Google Scholar]
- 197.Chen W, Liu Y, Wang H, Hnizdo E, Sun Y, Su L, et al. Long-term exposure to silica dust and risk of total and cause-specific mortality in Chinese workers: a cohort study. PLoS Med. 2012;9:e1001206. doi: 10.1371/journal.pmed.1001206. [DOI] [PMC free article] [PubMed] [Google Scholar]
- 198.Jiamjarasrangsi W, Hirunsuthikul N, Kamolratanakul P. Tuberculosis among health care workers at King Chulalongkorn Memorial Hospital, 1988-2002. Int J Tuberc Lung Dis. 2005;9:1253–1258. [PubMed] [Google Scholar]
- 199.Roche PW, Krause V, Konstantinos A, Bastian I, Antic R, Brown L, et al. National Tubeculosis Advisory Committee; Communicable Disease Network Australia. Tuberculosis notifications in Australia, 2006. Commun Dis Intell Q Rep. 2008;32:1–11. doi: 10.33321/cdi.2008.32.1. [DOI] [PubMed] [Google Scholar]
- 200.de Vries G, Šebek MM, Lambregts-van Weezenbeek CSB. Healthcare workers with tuberculosis infected during work. Eur Respir J. 2006;28:1216–1221. doi: 10.1183/09031936.06.00039906. [DOI] [PubMed] [Google Scholar]
- 201.Ong A, Rudoy I, Gonzalez LC, Creasman J, Kawamura LM, Daley CL. Tuberculosis in healthcare workers: a molecular epidemiologic study in San Francisco. Infect Control Hosp Epidemiol. 2006;27:453–458. doi: 10.1086/504504. [DOI] [PubMed] [Google Scholar]
- 202.Lambert LA, Pratt RH, Armstrong LR, Haddad MB. Tuberculosis among healthcare workers, United States, 1995-2007. Infect Control Hosp Epidemiol. 2012;33:1126–1132. doi: 10.1086/668016. [DOI] [PMC free article] [PubMed] [Google Scholar]
- 203.Raitio M, Tala E. Tuberculosis among health care workers during three recent decades. Eur Respir J. 2000;15:304–307. doi: 10.1034/j.1399-3003.2000.15b14.x. [DOI] [PubMed] [Google Scholar]
- 204.Eyob G, Gebeyhu M, Goshu S, Girma M, Lemma E, Fontanet A. Increase in tuberculosis incidence among the staff working at the Tuberculosis Demonstration and Training Centre in Addis Ababa, Ethiopia: a retrospective cohort study (1989-1998) Int J Tuberc Lung Dis. 2002;6:85–88. [PubMed] [Google Scholar]
- 205.Pazin-Filho A, Soares CS, da Silva Nascimento Ferrais A, de Tarso Oliveira e Castro P, Bellissimo-Rodrigues F, de Almeida Nogueira J, et al. Tuberculosis among health care workers in a Brazilian tertiary hospital emergency unit. Am J Emerg Med. 2008;26:796–798. doi: 10.1016/j.ajem.2007.10.022. [DOI] [PubMed] [Google Scholar]
- 206.Costa JC, Silva R, Ferreira J, Nienhaus A. Active tuberculosis among health care workers in Portugal. J Bras Pneumol. 2011;37:636–645. doi: 10.1590/s1806-37132011000500011. [DOI] [PubMed] [Google Scholar]
- 207.Tudor C, Van der Walt M, Margot B, Dorman SE, Pan WK, Yenokyan G, et al. Tuberculosis among health care workers in KwaZulu-Natal, South Africa: a retrospective cohort analysis. BMC Public Health. 2014;14:891. doi: 10.1186/1471-2458-14-891. [DOI] [PMC free article] [PubMed] [Google Scholar]
- 208.Klimuk D, Hurevich H, Harries AD, Babrukevich A, Kremer K, Van den Bergh R, et al. Tuberculosis in health care workers in Belarus. Public Health Action. 2014;4(Suppl 2):S29–S33. doi: 10.5588/pha.14.0044. [DOI] [PMC free article] [PubMed] [Google Scholar]
- 209.Rosenman KD, Hall N. Occupational risk factors for developing tuberculosis. Am J Ind Med. 1996;30:148–154. doi: 10.1002/(SICI)1097-0274(199608)30:2<148::AID-AJIM5>3.0.CO;2-X. [DOI] [PubMed] [Google Scholar]
- 210.Chen GX, Burnett CA, Cameron LL, Alterman T, Lalich NR, Tanaka S, et al. Tuberculosis mortality and silica exposure: a case-control study based on a national mortality database for the years 1983-1992. Int J Occup Environ Health. 1997;3:163–170. doi: 10.1179/oeh.1997.3.3.163. [DOI] [PubMed] [Google Scholar]
- 211.Calvert GM, Rice FL, Boiano JM, Sheehy JW, Sanderson WT. Occupational silica exposure and risk of various diseases: an analysis using death certificates from 27 states of the United States. Occup Environ Med. 2003;60:122–129. doi: 10.1136/oem.60.2.122. [DOI] [PMC free article] [PubMed] [Google Scholar]
- 212.Kleinschmidt I, Churchyard G. Variation in incidences of tuberculosis in subgroups of South African gold miners. Occup Environ Med. 1997;54:636–641. doi: 10.1136/oem.54.9.636. [DOI] [PMC free article] [PubMed] [Google Scholar]
- 213.Murray J, Sonnenberg P, Shearer SC, Godfrey-Faussett P. Human immunodeficiency virus and the outcome of treatment for new and recurrent pulmonary tuberculosis in African patients. Am J Respir Crit Care Med. 1999;159:733–740. doi: 10.1164/ajrccm.159.3.9804147. [DOI] [PubMed] [Google Scholar]
- 214.Churchyard GJ, Corbett EL, Kleinschmidt I, Mulder D, De Cock KM. Drug-resistant tuberculosis in South African gold miners: incidence and associated factors. Int J Tuberc Lung Dis. 2000;4:433–440. [PubMed] [Google Scholar]
- 215.Sonnenberg P, Glynn JR, Fielding K, Murray J, Godfrey-Faussett P, Shearer S. How soon after infection with HIV does the risk of tuberculosis start to increase? A retrospective cohort study in South African gold miners. J Infect Dis. 2005;191:150–158. doi: 10.1086/426827. [DOI] [PubMed] [Google Scholar]
- 216.Glynn JR, Murray J, Bester A, Nelson G, Shearer S, Sonnenberg P. Effects of duration of HIV infection and secondary tuberculosis transmission on tuberculosis incidence in the South African gold mines. AIDS. 2008;22:1859–1867. doi: 10.1097/QAD.0b013e3283097cfa. [DOI] [PubMed] [Google Scholar]
- 217.van Halsema CL, Fielding KL, Chihota VN, Lewis JJ, Churchyard GJ, Grant AD. Trends in drug-resistant tuberculosis in a gold-mining workforce in South Africa, 2002-2008. Int J Tuberc Lung Dis. 2012;16:967–973. doi: 10.5588/ijtld.11.0122. [DOI] [PubMed] [Google Scholar]
- 218.Laraqui CH, Ottmani S, Hammou MA, Bencheikh N, Mahjour J. Study of tuberculosis in health care workers in the public sector of Morocco [in French] Int J Tuberc Lung Dis. 2001;5:939–945. [PubMed] [Google Scholar]
- 219.Tam CM, Leung CC. Occupational tuberculosis: a review of the literature and the local situation. Hong Kong Med J. 2006;12:448–455. [PubMed] [Google Scholar]
- 220.Toms C, Stapledon R, Waring J, Douglas P National Tuberculosis Advisory Committee, for the Communicable Diseases Network Australia, and the Australian Mycobacterium Reference Laboratory Network. Tuberculosis notifications in Australia, 2012 and 2013. Commun Dis Intell Q Rep. 2015;39:E217–E235. doi: 10.33321/cdi.2015.39.21. [DOI] [PubMed] [Google Scholar]
- 221.Davidson JA, Lalor MK, Anderson LF, Tamne S, Abubakar I, Thomas HL. TB in healthcare workers in the UK: a cohort analysis 2009-2013. Thorax. 2017;72:654–659. doi: 10.1136/thoraxjnl-2015-208026. [DOI] [PubMed] [Google Scholar]
- 222.O’Hara LM, Yassi A, Zungu M, Malotle M, Bryce EA, Barker SJ, et al. The neglected burden of tuberculosis disease among health workers: a decade-long cohort study in South Africa. BMC Infect Dis. 2017;17:547. doi: 10.1186/s12879-017-2659-3. [DOI] [PMC free article] [PubMed] [Google Scholar]
- 223.Joshi R, Reingold AL, Menzies D, Pai M. Tuberculosis among health-care workers in low- and middle-income countries: a systematic review. PLoS Med. 2006;3:e494. doi: 10.1371/journal.pmed.0030494. [DOI] [PMC free article] [PubMed] [Google Scholar]
- 224.Yarahmadi A, Zahmatkesh MM, Ghaffari M, Mohammadi S, Labbafinejad Y, Seyedmehdi SM, et al. Correlation between silica exposure and risk of tuberculosis in Lorestan Province of Iran. Tanaffos. 2013;12:34–40. [PMC free article] [PubMed] [Google Scholar]
- 225.Almirall J, Bolíbar I, Serra-Prat M, Roig J, Hospital I, Carandell E, et al. Community-Acquired Pneumonia in Catalan Countries (PACAP) Study Group. New evidence of risk factors for community-acquired pneumonia: a population-based study. Eur Respir J. 2008;31:1274–1284. doi: 10.1183/09031936.00095807. [DOI] [PubMed] [Google Scholar]
- 226.Loeb M, Neupane B, Walter SD, Hanning R, Carusone SC, Lewis D, et al. Environmental risk factors for community-acquired pneumonia hospitalization in older adults. J Am Geriatr Soc. 2009;57:1036–1040. doi: 10.1111/j.1532-5415.2009.02259.x. [DOI] [PubMed] [Google Scholar]
- 227.Farr BM, Bartlett CLR, Wadsworth J, Miller DL British Thoracic Society Pneumonia Study Group. Risk factors for community-acquired pneumonia diagnosed upon hospital admission. Respir Med. 2000;94:954–963. doi: 10.1053/rmed.2000.0865. [DOI] [PubMed] [Google Scholar]
- 228.Palmer KT, Poole J, Ayres JG, Mann J, Burge PS, Coggon D. Exposure to metal fume and infectious pneumonia. Am J Epidemiol. 2003;157:227–233. doi: 10.1093/aje/kwf188. [DOI] [PubMed] [Google Scholar]
- 229.Almirall J, Serra-Prat M, Bolíbar I, Palomera E, Roig J, Boixeda R, et al. Professions and working conditions associated with community-acquired pneumonia. Arch Bronchopneumologica. 2015;51:627–631. doi: 10.1016/j.arbres.2014.10.003. [DOI] [PubMed] [Google Scholar]
- 230.Neupane B, Jerrett M, Burnett RT, Marrie T, Arain A, Loeb M. Long-term exposure to ambient air pollution and risk of hospitalization with community-acquired pneumonia in older adults. Am J Respir Crit Care Med. 2010;181:47–53. doi: 10.1164/rccm.200901-0160OC. [DOI] [PubMed] [Google Scholar]
- 231.Koh DH, Moon KT, Kim JY, Choe SW. The risk of hospitalisation for infectious pneumonia in mineral dust exposed industries. Occup Environ Med. 2011;68:116–119. doi: 10.1136/oem.2009.051334. [DOI] [PubMed] [Google Scholar]
- 232.Torén K, Qvarfordt I, Bergdahl IA, Järvholm B. Increased mortality from infectious pneumonia after occupational exposure to inorganic dust, metal fumes and chemicals. Thorax. 2011;66:992–996. doi: 10.1136/thoraxjnl-2011-200707. [DOI] [PubMed] [Google Scholar]
- 233.Graham WGB, Costello J, Vacek PM. Vermont granite mortality study: an update with an emphasis on lung cancer. J Occup Environ Med. 2004;46:459–466. doi: 10.1097/01.jom.0000126026.22470.6d. [DOI] [PubMed] [Google Scholar]
- 234.Veiga LH, Amaral EC, Colin D, Koifman S. A retrospective mortality study of workers exposed to radon in a Brazilian underground coal mine. Radiat Environ Biophys. 2006;45:125–134. doi: 10.1007/s00411-006-0046-3. [DOI] [PubMed] [Google Scholar]
- 235.Beaumont JJ, Weiss NS. Mortality of welders, shipfitters, and other metal trades workers in boilermakers Local No. 104, AFL-CIO. Am J Epidemiol. 1980;112:775–786. [PubMed] [Google Scholar]
- 236.Newhouse ML, Oakes D, Woolley AJ. Mortality of welders and other craftsmen at a shipyard in NE England. Br J Ind Med. 1985;42:406–410. doi: 10.1136/oem.42.6.406. [DOI] [PMC free article] [PubMed] [Google Scholar]
- 237.Coggon D, Inskip H, Winter P, Pannett B. Lobar pneumonia: an occupational disease in welders. Lancet. 1994;344:41–43. doi: 10.1016/s0140-6736(94)91056-1. [DOI] [PubMed] [Google Scholar]
- 238.Palmer KT, Cullinan P, Rice S, Brown T, Coggon D. Mortality from infectious pneumonia in metal workers: a comparison with deaths from asthma in occupations exposed to respiratory sensitisers. Thorax. 2009;64:983–986. doi: 10.1136/thx.2009.114280. [DOI] [PMC free article] [PubMed] [Google Scholar]
- 239.Wong A, Marrie TJ, Garg S, Kellner JD, Tyrrell GJ SPAT Group. Welders are at increased risk for invasive pneumococcal disease. Int J Infect Dis. 2010;14:e796–e799. doi: 10.1016/j.ijid.2010.02.2268. [DOI] [PubMed] [Google Scholar]
- 240.Lytras T, Kogevinas M, Kromhout H, Carsin AE, Antó JM, Bentouhami H, et al. Occupational exposures and 20-year incidence of COPD: the European Community Respiratory Health Survey. Thorax. 2018;73:1008–1015. doi: 10.1136/thoraxjnl-2017-211158. [DOI] [PubMed] [Google Scholar]
- 241.Fernández Pérez ER, Kong AM, Raimundo K, Koelsch TL, Kulkarni R, Cole AL. Epidemiology of hypersensitivity pneumonitis among an insured population in the United States: a claims-based cohort analysis. Ann Am Thorac Soc. 2018;15:460–469. doi: 10.1513/AnnalsATS.201704-288OC. [DOI] [PubMed] [Google Scholar]
- 242.Gonzalez-Garcia M, Caballero A, Jaramillo C, Torres-Duque CA. Chronic bronchitis: high prevalence in never smokers and underdiagnosis. A population-based study in Colombia. Chron Respir Dis. 2019;16:1479972318769771. doi: 10.1177/1479972318769771. [DOI] [PMC free article] [PubMed] [Google Scholar]
- 243.Blanc PD, Seaton A. Pneumoconiosis redux: coal workers’ pneumoconiosis and silicosis are still a problem. Am J Respir Crit Care Med. 2016;193:603–605. doi: 10.1164/rccm.201511-2154ED. [DOI] [PubMed] [Google Scholar]
- 244.Cullinan P, Muñoz X, Suojalehto H, Agius R, Jindal S, Sigsgaard T, et al. Occupational lung diseases: from old and novel exposures to effective preventive strategies. Lancet Respir Med. 2017;5:445–455. doi: 10.1016/S2213-2600(16)30424-6. [DOI] [PubMed] [Google Scholar]
- 245.Pérez-Alonso A, Córdoba-Doña JA, Millares-Lorenzo JL, Figueroa-Murillo E, García-Vadillo C, Romero-Morillos J. Outbreak of silicosis in Spanish quartz conglomerate workers. Int J Occup Environ Health. 2014;20:26–32. doi: 10.1179/2049396713Y.0000000049. [DOI] [PMC free article] [PubMed] [Google Scholar]
- 246.Harris EC, Palmer KT, Cox V, Darnton A, Osman J, Coggon D. Trends in mortality from occupational hazards among men in England and Wales during 1979-2010. Occup Environ Med. 2016;73:385–393. doi: 10.1136/oemed-2015-103336. [DOI] [PMC free article] [PubMed] [Google Scholar]
- 247.Sigsgaard T, Nowak D, Annesi-Maesano I, Nemery B, Torén K, Viegi G, et al. ERS EOH group 6.2. ERS position paper: work-related respiratory diseases in the EU. Eur Respir J. 2010;35:234–238. doi: 10.1183/09031936.00139409. [DOI] [PubMed] [Google Scholar]
Associated Data
This section collects any data citations, data availability statements, or supplementary materials included in this article.






