Spectra from the Hubble Space Telescope show evidence for sodium chloride in material likely sourced from Europa’s interior.
Abstract
The potential habitability of Europa’s subsurface ocean depends on its chemical composition, which may be reflected in that of Europa’s geologically young surface. Investigations using Galileo Near-Infrared Mapping Spectrometer data led to the prevailing view that Europa’s endogenous units are rich in sulfate salts. However, recent ground-based infrared observations have suggested that, while regions experiencing sulfur radiolysis may contain sulfate salts, Europa’s more pristine endogenous material may reflect a chloride-dominated composition. Chlorides have no identifying spectral features at infrared wavelengths, but develop distinct visible-wavelength absorptions under irradiation, like that experienced on the surface of Europa. Using spectra obtained with the Hubble Space Telescope, we present the detection of a 450-nm absorption indicative of irradiated sodium chloride on the surface. The feature correlates with geologically disrupted chaos terrain, suggesting an interior source. The presence of endogenous sodium chloride on the surface of Europa has important implications for our understanding of its subsurface chemistry.
INTRODUCTION
Beneath its icy crust, Europa hosts a salty, liquid-water ocean in contact with a rocky seafloor (1–3), making it an exciting place to explore habitability in the solar system. However, the ocean’s potential to support life relies heavily on its composition and chemical energy budget (4, 5), which remain largely unconstrained. Currently, our best window to understanding Europa’s ocean chemistry is to study the composition of its geologically young and active surface. Prevailing interpretation of spectra from the Galileo Near-Infrared Mapping Spectrometer (NIMS) suggests a surface dominated by three chemical terrains: water ice, sulfuric acid hydrate, and an additional non-ice material, which, since the time of the Galileo mission, has been interpreted as endogenous sulfate salts from the interior ocean (6–9). However, while the likely presence of sulfuric acid hydrate is predicted as a result of radiolytic chemistry occurring on the heavily irradiated and sulfur-bombarded trailing hemisphere (10–12), the composition of non-ice material elsewhere is not well constrained by the NIMS data. The enduring concept of a native composition rich in sulfate salts is largely facilitated by the low spectral resolution of NIMS, at which distinct sulfate absorptions are unresolved [e.g., (13)].
Recent ground-based infrared observations, with ~40 times higher spectral resolution than NIMS, have revealed an absorption feature consistent with magnesium sulfate (14). However, this feature is constrained to the sulfur-bombarded trailing hemisphere and spatially coincident with the proposed sulfuric acid hydrate, suggesting a radiolytic, rather than endogenous, origin. Furthermore, the same observations have shown no evidence of sulfate absorptions in regions interpreted to contain endogenous material that has been sheltered from sulfur radiolysis (15). In fact, they revealed that the leading hemisphere chaos regions are spectroscopically distinct, indicating a composition different from both the spectrally icy high latitudes of the leading hemisphere and the exogenously altered terrain of the trailing hemisphere (15). As chaos terrain is geologically young, extensively disrupted, and potentially indicative of locations of subsurface upwelling or melt-through [e.g., (16–18)], and as the leading hemisphere chaos regions are shielded from the sulfur implantation of the trailing hemisphere, the composition of these regions may best represent that of Europa’s endogenous material. However, their spectra are categorically smooth at higher spectral resolution, lacking any identifiable infrared spectral features other than those of water ice. Nevertheless, the unique geology and 1.5- to 4-μm spectra (15, 19) of leading hemisphere chaos terrain suggest a salty composition. Chloride salts provide a potential explanation (15), as they are among the few salts that are spectrally smooth at infrared wavelengths. For the same reason, however, they cannot be confirmed by currently available data.
Although spectrally bland in the infrared, alkali chlorides develop distinct spectral features at visible wavelengths under particle irradiation. The bombarding particles lead to the growth of “color centers” by creating anion vacancies in the crystal structures, which trap free electrons and cause compositionally diagnostic absorptions [e.g., (20–22)]. Laboratory experiments have demonstrated that color centers can form in sodium chloride (NaCl) and NaCl brine evaporites under Europa-like surface conditions (23, 24), producing colors in laboratory samples that appear visually similar to those captured in Galileo images of Europa’s surface [e.g., (25)]. Spectrally, these colors largely result from two distinct absorptions caused by two types of color centers—a strong F-center absorption near 460 nm due to individual electrons trapped within single Cl− vacancies, and a weaker M-center (or F2-center) absorption near 720 nm due to binary aggregates of F-centers. To investigate the hypothesis that Europa’s endogenous units contain chloride salts, we used the Hubble Space Telescope (HST) to search for signatures of these color centers on the surface.
RESULTS AND DISCUSSION
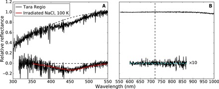
Using the Space Telescope Imaging Spectrograph (STIS), we observed Europa across four HST visits (Table 1), obtaining the first spatially resolved spectral dataset of the entire surface at wavelengths of 300 to 1000 nm. We observe a broad absorption near 450 nm (Fig. 1A), which corresponds well to the F-center absorption of irradiated NaCl (23, 24). This feature is located exclusively on the leading hemisphere and correlates with chaos terrain (Fig. 2). The deepest absorptions fall within the large-scale chaos region Tara Regio, presumably contributing to its distinct yellow color in Galileo images of Europa. Clear absorptions are also associated with eastern Powys Regio, lenticulated terrain northwest of Tara Regio, and, to a much lesser extent, somewhat older terrains of the leading hemisphere. This marked correlation with geologically young chaos regions suggests an interior source. Chlorides emplaced onto the surface in these locations would be subjected to irradiation by high-energy (greater than ~20 MeV) electrons, which, in contrast to most of the impinging sulfur ions and lower-energy electrons [e.g., (9, 26)], primarily impact the leading hemisphere (27), thereby providing the necessary energy for color center formation. As Tara Regio is the most irradiated leading hemisphere chaos region (27), the observed distribution of the potential NaCl F-center feature is consistent with a chloride-rich composition for the endogenous material identified in infrared spectra of all leading hemisphere chaos terrain (15, 19).
Table 1. HST STIS G430L/G750L observations of Europa.
|
Date (universal time) |
Time (start/end) |
Sub- observer longitude |
Sub- observer latitude |
Angular size of Europa (arcseconds) |
| 2017 May 23 | 00:20/01:41 | 224 | −3.06 | 0.91 |
| 2017 Jun 29 | 08:19/08:55 | 47 | −2.91 | 0.82 |
| 2017 Aug 1 | 04:43/05:20 | 133 | −2.91 | 0.75 |
| 2017 Aug 6 | 12:27/13:47 | 314 | −2.92 | 0.74 |
Fig. 1. HST/STIS spectra showing a distinct 450nm spectral feature, consistent with an NaCl F-center absorption, and a clear lack of a 720nm NaCl M-center absorption.

(A) Single spectrum from within Tara Regio, which exhibits a particularly strong 450-nm absorption. The dashed line is a third-order polynomial continuum fit. The continuum-removed feature is included underneath the spectrum. Overlain in red is a continuum-removed laboratory spectrum of irradiated NaCl at 100 K, taken from figure 2 of (24). This spectrum corresponds to an NaCl F-center absorption that has evolved in the absence of unrealistic laboratory radiation fluxes. The laboratory F-center absorption has been scaled to match the depth of the observed feature. (B) High signal-to-noise spectrum produced by averaging all spectra from locations exhibiting a 450-nm feature, weighted by the strength of that feature in each location. The weighted average is divided by the average of all spectra from locations in which the 450-nm feature is absent and rescaled to approximate the known Europa continuum. A continuum-removed version is shown underneath the spectrum, where the vertical dashed line indicates the anticipated band center at 720 nm.
Fig. 2. A map of the strength of the 450nm absorption.

The observed feature maps solely to the leading hemisphere. Black outlines correspond to large-scale chaos regions, mapped approximately from (44). The largest absorptions fall within the chaos region Tara Regio (~85°W), with additional concentration in eastern Powys Regio (~125°W). This distribution is separate from the geography of sulfur radiolysis and suggests a subsurface source, consistent with the chloride hypothesis for Europa’s endogenous material. The spatial resolution of the mapped data is ~150 km at the sub-observer point. Background image credit: NASA/JPL/Björn Jónsson/Steve Albers.
Unlike the laboratory spectra, our data show no evidence for an NaCl M-center absorption near 720 nm (Fig. 1B and fig. S1). By averaging all of the spectra from locations that exhibit the 450-nm absorption, weighted by the strength of the feature in each location, we conservatively rule out a band strength greater than 0.5%. This lack of an M-center absorption is perhaps expected, as the laboratory experiments in which the M-center was observed (23, 24) used radiation fluxes 104 to 105 times the true flux experienced on Europa. While such high fluxes can accurately simulate many aspects of Europa’s radiation chemistry and can achieve doses equivalent to hundreds of years on the surface in hours to days of real time, they inaccurately reflect kinetic effects controlling the formation and decay of color centers. Single-vacancy F-centers appeared immediately under such conditions, but binary M-centers took the rough equivalent of 1 year on Europa to form (24). Yet, when the radiation was halted, both F- and M-centers decayed substantially on time scales of hours (24). Some NaCl irradiation experiments, performed under different conditions, have observed only F-center production (28, 29). This behavior suggests that M-centers would likely never form under the low radiation flux at Europa, reflecting competition between their slow growth and the contributions of decay processes, such as photobleaching [e.g., (30, 31)], which can influence the relative abundance of NaCl color centers. Last, this behavior may also explain the band center of the observed 450-nm feature. After the laboratory radiation was halted, the F-center absorption shifted to shorter wavelengths as it decayed (24). Thus, as the radiation experienced at Europa is negligible relative to the fluxes applied in the laboratory, we may expect F-center absorptions on Europa to appear shortward of 460 nm. The F-center absorption of irradiated NaCl that was allowed to evolve at 100 K without further irradiation (24) corresponds remarkably well to our observed feature (Fig. 1A), although it is worth noting that this laboratory spectrum corresponds to irradiated anhydrous NaCl crystals in the absence of water ice (24). One might instead expect that the low temperatures and icy environment of Europa’s surface result in hydrohalite (NaCl⋅2H2O), for which color center formation has not been studied in the same way. However, laboratory evidence for the rapid dehydration of hydrohalite under Europa-like conditions (32) and the formation of F- and M-centers at the same band positions in NaCl brine evaporites (23) support the applicability of experiments involving anhydrous NaCl.
NaCl provides an elegant explanation for the observed 450-nm feature, its geographic distribution, and previous infrared spectra interpreted to reflect endogenous material (15, 19). However, alternative candidates warrant discussion. The 450-nm feature was weakly visible in disk-integrated spectra of Europa’s leading hemisphere taken in the 1990s, but was attributed to sulfur-bearing species, despite poor fits (33). Our dataset, however, shows that the feature is concentrated in chaos and separate from the geography of sulfur radiolysis, necessitating a separate explanation. Instead, we examine the spectra of several other irradiated salts (fig. S2), including magnesium chloride, potassium chloride, and multiple sulfate and carbonate species (23, 29, 34, 35). Of these spectra, only NaCl is consistent with our observed feature.
The presence of NaCl on Europa has important implications for our understanding of the internal chemistry and its geochemical evolution through time. Whereas aqueous differentiation of chondritic material and long-term leaching from a chondritic seafloor can result in a system rich in sulfates (36, 37), more extensive hydrothermal circulation, as on Earth, may lead to an NaCl-rich ocean (38). The plume chemistry of Enceladus, which is perhaps the best analog to Europa, suggests an NaCl-dominated ocean (39) and a hydrothermally active seafloor (40). However, the compositional relationship between Europa’s ocean and its endogenous material is unknown, and the surface may simply represent the end result of a compositional stratification within the ice shell [e.g., (41)]. Regardless of whether the observed NaCl directly relates to the ocean composition, its presence warrants a reevaluation of our understanding of the geochemistry of Europa.
MATERIALS AND METHODS
We observed Europa with HST/STIS across four visits, the dates, times, and geometries of which are given in Table 1. During each visit, we stepped the 52″ × 0.1″ slit across the full disk of Europa in both the G430L and G750L first-order spectroscopy modes (R ~ 500). Together, these settings provided spectra spanning wavelengths of ~300 to 1000 nm. We acquired spectra at each slit position over 9-s (G750L) or 10-s (G430L) integration times. Flux- and wavelength-calibrated spectral data products were then delivered after standard reduction via the STIS calibration pipeline (calstis). We reprocessed the G750L data using the same pipeline but included the calstis defringing procedures to remove substantial fringes from the longest wavelength data. We obtained individual spectra by extracting single rows of the two-dimensional spectral images, corresponding to the 0.05″ pixel-scale (~150-km diffraction-limited spatial resolution at 450-nm wavelengths). We then divided the ASTM E-490 solar reference spectrum (42) into the extracted spectra to convert each to reflectance and search for absorption features.
To isolate the 450-nm absorption, we performed continuum fitting and removal on each extracted spectrum. We then calculated absorption band strengths across the surface. For most spectra, we fit a third-order polynomial between 310 and 550 nm, excluding the region corresponding to the F-center absorption (350 to 530 nm). Small variations on these parameters were made when necessary to achieve a satisfactory continuum fit. We then divided each spectrum by its continuum fit and integrated the residual absorption to calculate the equivalent width (i.e., the width of a 100% absorption with the same integrated area). We chose to use a third-order polynomial for the fitting because it better matched the continuum shape, particularly for the transition between the trailing and leading hemispheres. However, mapping using second-order continua produced qualitatively identical results. In mapping the calculated band strengths, we averaged the values in overlapping regions. We left out data very near the limb of Europa, as the spectra are of poorer quality and make quantifying weak absorptions difficult.
We attempted to place limits on the absence of a 720-nm M-center absorption in our data. To achieve a high signal-to-noise spectrum that represents material interpreted to contain NaCl, we averaged all spectra from locations where we observed a 450-nm absorption, weighted by the strength of the feature in each location. However, while the noise in this resulting average was reduced, residual solar lines persisted due to the somewhat lower spectral resolution of the solar reference spectrum (42). In addition, residual artifacts of the defringing process remained. To remove these effects and achieve the highest possible quality spectrum, we then divided by the average of all spectra from regions where the 450-nm feature is absent. Last, for illustration purposes, we scaled the resultant spectrum to approximate the known continuum level of Europa’s leading hemisphere using ground-based data over the same wavelength range (33, 43). The result is shown in Fig. 1B. To place a conservative upper limit on the presence of a 720-nm absorption, we fit a third-order polynomial continuum between 600 and 870 nm, excluding the range anticipated for the M-center absorption (640 to 830 nm). We then removed this continuum and displayed the result beneath the spectrum in Fig. 1B. We estimated an upper limit of a 0.5% band strength based on qualitative uncertainties in the continuum shape.
Supplementary Material
Acknowledgments
Based on observations made with the NASA/ESA HST, obtained at the Space Telescope Science Institute, which is operated by the Association of Universities for Research in Astronomy Inc., under NASA contract NAS 5-26555. These observations are associated with program number 14650. We thank G. R. Rossman for useful conversations. Funding: This work was supported by NASA Headquarters under the NASA Earth and Space Science Fellowship Program (grant 80NSSC17K0478). Support for this work was provided by NASA through grant number HST-GO-14650.001-A from the Space Telescope Science Institute, which is operated by AURA Inc., under NASA contract NAS 5-26555. This research was supported by grant 1313461 from the NSF. K.P.H. acknowledges support from the Jet Propulsion Laboratory, California Institute of Technology, under a contract with NASA and funded, in part, through the internal Research and Technology Development program. Author contributions: S.K.T. performed the analysis and wrote the manuscript. M.E.B. conceived and designed the observations. K.P.H. helped conceive the observations and provided laboratory spectra. All authors discussed the results and interpretations and provided helpful comments on the manuscript. Competing interests: The authors declare that they have no competing interests. and Data and materials availability: All data needed to evaluate the conclusions in the paper are present in the paper and/or the Supplementary Materials. The data used in this work are also available at the NASA Mikulski Archive for Space Telescopes under program number 14650. Additional data related to this paper may be requested from the authors.
SUPPLEMENTARY MATERIALS
Supplementary material for this article is available at http://advances.sciencemag.org/cgi/content/full/5/6/eaaw7123/DC1
Fig. S1. Representative HST/STIS spectra of the three chemical terrains on the surface of Europa.
Fig. S2. Laboratory spectra of select irradiated salts.
REFERENCES AND NOTES
- 1.Anderson J. D., Schubert G., Jacobson R. A., Lau E. L., Moore W. B., Sjogren W. L., Europa’s differentiated internal structure: Inferences from four Galileo encounters. Science 281, 2019–2022 (1998). [DOI] [PubMed] [Google Scholar]
- 2.Kivelson M. G., Khurana K. K., Russel C. T., Volwerk M., Walker R. J., Zimmer C., Galileo magnetometer measurements: A stronger case for a subsurface ocean at Europa. Science 289, 1340–1343 (2000). [DOI] [PubMed] [Google Scholar]
- 3.Zimmer C., Khurana K. K., Kivelson M. G., Subsurface oceans on Europa and Callisto: Constraints from Galileo magnetometer observations. Icarus 147, 329–347 (2000). [Google Scholar]
- 4.K. P. Hand, C. F. Chyba, J. C. Priscu, R. W. Carlson, K. H. Nealson, in Europa, R. T. Pappalardo, W. B. McKinnon, K. Khurana, Eds. (The University of Arizona Press, 2009), pp. 589–630.
- 5.Chyba C. F., Hand K. P., Life without photosynthesis. Science 292, 2026–2027 (2001). [DOI] [PubMed] [Google Scholar]
- 6.McCord T. B., Hansen G. B., Fanale F. P., Carlson R. W., Matson D. L., Johnson T. V., Smythe W. D., Crowley J. K., Martin P. D., Ocampo A., Hibbitts C. A., Granahan J. C., the NIMS Team , Salts on Europa’s surface detected by Galileo’s near infrared mapping spectrometer. Science 280, 1242–1245 (1998). [DOI] [PubMed] [Google Scholar]
- 7.Dalton J. B., III, Linear mixture modeling of Europa’s non-ice material based on cryogenic laboratory spectroscopy. Geophys. Res. Lett. 34, L21205 (2007). [Google Scholar]
- 8.Dalton J. B. III, Shirley J. H., Kamp L. W., Europa’s icy bright plains and dark linea: Exogenic and endogenic contributions to composition and surface properties. J. Geophys. Res. Planets 117, E03003 (2012). [Google Scholar]
- 9.Dalton J. B. III, Cassidy T., Paranicas C., Shirley J. H., Prockter L. M., Kamp L. W., Exogenic controls on sulfuric acid hydrate production at the surface of Europa. Planet. Space Sci. 77, 45–63 (2013). [Google Scholar]
- 10.Carlson R. W., Johnson R. E., Anderson M. S., Sulfuric acid on europa and the radiolytic sulfur cycle. Science 286, 97–99 (1999). [DOI] [PubMed] [Google Scholar]
- 11.Carlson R. W., Anderson M. S., Johnson R. E., Schulman M. B., Yavrouian A. H., Sulfuric acid production on Europa: The radiolysis of sulfur in water ice. Icarus 157, 456–463 (2002). [Google Scholar]
- 12.Carlson R. W., Anderson M. S., Mehlman R., Johnson R. E., Distribution of hydrate on Europa: Further evidence for sulfuric acid hydrate. Icarus 177, 461–471 (2005). [Google Scholar]
- 13.Dalton J. B., Prieto-Ballesteros O., Kargel J. S., Jamieson C. S., Jolivet J., Quinn R., Spectral comparison of heavily hydrated salts with disrupted terrains on Europa. Icarus 177, 472–490 (2005). [Google Scholar]
- 14.Brown M. E., Hand K. P., Salts and radiation products on the surface of Europa. Astron. J. 145, 110 (2013). [Google Scholar]
- 15.Fischer P. D., Brown M. E., Hand K. P., Spatially resolved spectroscopy of Europa: The distinct spectrum of large-scale chaos. Astron. J. 150, 164 (2015). [Google Scholar]
- 16.G. Collins, F. Nimmo, in Europa, R. T. Pappalardo, W. B. McKinnon, K. Khurana, Eds. (The University of Arizona Press, 2009), pp. 259–282.
- 17.O’Brien D. P., Geissler P., Greenberg R., A melt-through model for chaos formation on Europa. Icarus 156, 152–161 (2002). [Google Scholar]
- 18.Sotin C., Head J. W. III, Tobie G., Europa: Tidal heating of upwelling thermal plumes and the origin of lenticulae and chaos melting. Geophys. Res. Lett. 29, 74-1–74-4 (2002). [Google Scholar]
- 19.Fischer P. D., Brown M. E., Trumbo S. K., Hand K. P., Spatially resolved spectroscopy of Europa’s large-scale compositional units at 3–4 μm with Keck NIRSPEC. Astron. J. 153, 13 (2017). [Google Scholar]
- 20.Seitz F., Color centers in alkali halide crystals. Rev. Mod. Phys. 18, 384–408 (1946). [Google Scholar]
- 21.Schneider I., Bailey C. E., Charged F-aggregate centers in NaCl. Solid State Commun. 7, 657–660 (1969). [Google Scholar]
- 22.Schwartz K., Volkov A. E., Sorokin M. V., Trautmann C., Voss K.-O., Neumann R., Lang M., Effect of electronic energy loss and irradiation temperature on color-center creation in LiF and NaCl crystals irradiated with swift heavy ions. Phys. Rev. B 78, 024120 (2008). [Google Scholar]
- 23.Hand K. P., Carlson R. W., Europa’s surface color suggests an ocean rich with sodium chloride. Geophys. Res. Lett. 42, 3174–3178 (2015). [Google Scholar]
- 24.Poston M. J., Carlson R. W., Hand K. P., Spectral behavior of irradiated sodium chloride crystals under europa-like conditions. J. Geophys. Res. Planets 122, 2644–2654 (2017). [Google Scholar]
- 25.Geissler P. E., Greenberg R., Hoppa G., McEwen A., Tufts R., Phillips C., Clark B., Ockert-Bell M., Helfenstein P., Burns J., Veverka J., Sullivan R., Greeley R., Pappalardo R. T., Head J. W. III, Belton M. J. S., Denk T., Evolution of lineaments on Europa: Clues from Galileo multispectral imaging observations. Icarus 135, 107–126 (1998). [Google Scholar]
- 26.Paranicas C., Carlson R. W., Johnson R. E., Electron bombardment of Europa. Geophys. Res. Lett. 28, 673–676 (2001). [Google Scholar]
- 27.Nordheim T. A., Hand K. P., Paranicas C., Preservation of potential biosignatures in the shallow subsurface of Europa. Nat. Astron. 2, 673–679 (2018). [Google Scholar]
- 28.Fanale F. P., Johnson T. V., Matson D. L., Io: A surface evaporite deposit? Science 186, 922–925 (1974). [DOI] [PubMed] [Google Scholar]
- 29.Nash D. B., Fanale F. P., Io’s surface composition based on reflectance spectra of sulfur/salt mixtures and proton-irradiation experiments. Icarus 31, 40–80 (1977). [Google Scholar]
- 30.Mador I. L., Wallis R. F., Williams M. C., Herman R. C., Production and bleaching of color centers in x-rayed Alkali halide crystals. Phys. Rev. 96, 617–628 (1954). [Google Scholar]
- 31.Georgiou E., Pollock C. R., Formation of N centers in Pure NaCl. Phys. Rev. B 40, 6321–6325 (1989). [DOI] [PubMed] [Google Scholar]
- 32.Thomas E. C., Hodyss R., Vu T. H., Johnson P. V., Choukroun M., Composition and evolution of frozen chloride brines under the surface conditions of Europa. ACS Earth Space Chem. 1, 14–23 (2017). [Google Scholar]
- 33.Spencer J. R., Calvin W. M., Person M. J., Charge-coupled device spectra of the Galilean satellites: Molecular oxygen on Ganymede. J. Geophys. Res. Planets 100, 19049–19056 (1995). [Google Scholar]
- 34.Hibbitts C. A., Stockstill-Cahill K., Wing B., Paranicas C., Color centers in salts—Evidence for the presence of sulfates on Europa. Icarus 326, 37–47 (2019). [Google Scholar]
- 35.K. P. Hand, R. W. Carlson, in AAS/Division for Planetary Sciences Meeting Abstracts #47 (2015), p. 405.06. [Google Scholar]
- 36.Kargel J. S., Brine volcanism and the interior structures of asteroids and icy satellites. Icarus 94, 368–390 (1991). [Google Scholar]
- 37.Fanale F. P., Li Y.-H., De Carlo E., Farley C., Sharma S. K., Horton K., Granahan J. C., An experimental estimate of Europa’s “ocean” composition independent of Galileo orbital remote sensing. J. Geophys. Res. Planets 106, 14595–14600 (2001). [Google Scholar]
- 38.Kargel J. S., Kaye J. Z., Head J. W. III, Marion G. M., Sassen R., Crowley J. K., Ballesteros O. P., Grant S. A., Hogenboom D. L., Europa’s crust and ocean: Origin, composition, and the prospects for life. Icarus 148, 226–265 (2000). [Google Scholar]
- 39.Waite J. H. Jr., Combi M. R., Ip W.-H., Cravens T. E., McNutt R. L. Jr., Kasprzak W., Yelle R., Luhmann J., Miemann H., Gell D., Magee B., Fletcher G., Lunine J., Tseng W.-L., Cassini ion and neutral mass spectrometer: Enceladus plume composition and structure. Science 311, 1419–1422 (2006). [DOI] [PubMed] [Google Scholar]
- 40.Waite J. H., Glein C. R., Perryman R. S., Teolis B. D., Magee B. A., Miller G., Grimes J., Perry M. E., Miller K. E., Bouquet A., Lunine J. I., Brockwell T., Bolton S. J., Cassini finds molecular hydrogen in the Enceladus plume: Evidence for hydrothermal processes. Science 356, 155–159 (2017). [DOI] [PubMed] [Google Scholar]
- 41.Zolotov M. Y., Shock E. L., Composition and stability of salts on the surface of Europa and their oceanic origin. J. Geophys. Res. Planets 106, 32815–32827 (2001). [Google Scholar]
- 42.National Renewable Energy Laboratory, 2000 ASTM Standard Extraterrestrial Spectrum Reference E-490-00 (National Renewable Energy Laboratory, 2000).
- 43.McFadden L. A., Bell J. F., McCord T. B., Visible spectral reflectance measurements (0.33–1.1 μm) of the Galilean satellites at many orbital phase angles. Icarus 44, 410–430 (1980). [Google Scholar]
- 44.T. Doggett, R. Greeley, P. Figuerdo, K. Tanaka, in Europa (The University of Arizona Press, 2009), p. 137.
Associated Data
This section collects any data citations, data availability statements, or supplementary materials included in this article.
Supplementary Materials
Supplementary material for this article is available at http://advances.sciencemag.org/cgi/content/full/5/6/eaaw7123/DC1
Fig. S1. Representative HST/STIS spectra of the three chemical terrains on the surface of Europa.
Fig. S2. Laboratory spectra of select irradiated salts.
