Abstract
The effect of annealing both in the oxygen atmosphere and at room temperatures on physical properties such as the pseudogap (Δ*(T)) and excess conductivity (σ′(T)) of untwined YBa2Cu3O7−δ (YBCO) single crystal with a small deviation from oxygen stoichiometry is studied. It was revealed that as the charge carrier density, nf, increases, Тс also slightly increases, whereas the temperature of the pseudogap opening, T*, decreases noticeably, which is consistent with the phase diagram (PD) of cuprates. The excess conductivity in the vicinity of Tc is represented by the Aslamazov-Larkin and Hikami-Larkin fluctuation theories, illustrating the three-dimensional to two-dimensional (i.e. 3D-2D) crossover with an increase in temperature. The crossover temperature T0 determines the coherence length along the c axis is ξc(0) = 0.86 Å, that is 2.6 times larger than for optimally doped YBCO single crystals with defects. Taking into account the short coherence length in high-temperature superconductors, in the model of free charge carriers the phase relaxation time of fluctuating Cooper pairs is determined, τφ (100 K) = (4.55 ± 0.4) · 10−13 s, which is slightly (1.2 times) larger than in well-structured YBCO films, and as in films, does not depend on nf. It is shown that Δ*(T) at different annealing stages practically does not change its shape. As in the well-structured YBCO films, Δ*(T) demonstrates maximum at Tpair~124 K which depends weakly on nf. However, the maximum value of Δ*(Tpair) increases with increasing nf, as it follows from the PD of cuprates. Comparing the experimental data with the Peters-Bauer theory we estimated the density of local pairs <n↑n↓> ≈ 0.3 near Tc that is a common value for high-temperature superconductors.
Subject terms: Electronic devices, Superconducting properties and materials
Introduction
The mechanism of superconducting pairing in high-temperature superconductors (HTSCs), which makes it possible to obtain paired fermions at temperatures as higher as ~100 K, remains rather debatable1–9. To clarify the issue, the study of superconducting (SC) fluctuations has attracted considerable attention in the research of HTSCs10–12 (and references therein). This because it is related to the nature of the pseudogap (PG), which is known to open in underdoped cuprates at a temperature T*, much above the superconducting transition temperature Tc2–5,8–11. Above T* the dc resistivity, ρ(T), of optimally doped (OD) and moderately underdoped cuprates is known to be linear13. In the framework of the Nearly Antiferromagnetic Fermi Liquid model14 it was proven that this linearity is a specific feature of HTSCs that is represented by the stability of the Fermi surface (FS). Notably, at T < T* not only all the properties of HTSCs measured by various experimental methods15 change, but the density of electronic states at the Fermi level begins to decrease16,17, which by definition is called a pseudogap11,18. It is also assumed that below the PG temperature T* the rearrangement of the FS may begin2,3,18,19. Accordingly, at T*, the resistivity curve deviates downward from the linearity leading to excess conductivity σ′(T) as the difference between determined conductivity σ(T) = 1/ρ(T) and extrapolated normal-state conductivity σN(T) = 1/ρN(T)4,5,11,20,21.
Importantly, the SC fluctuations are responsible for a relatively short part of the entire excess conductivity, ~15 K above Tc, which is thus called the fluctuation conductivity (FLC)10–12,20 (and references therein). In such a scenario, the long-range coherence is lost at Tc due to fluctuations of the phase of the superconducting order parameter8,22,23. The FLC region would then be marked by (preformed) fluctuating Cooper pairs (FCPs), which obey the Aslamasov-Larkin (AL)24 and Hikami-Larkin (HL) (Maki-Thompson (MT) term)25 fluctuation theories, and take the role of the precursor to the SC state1,8,9. In the FLC region, the FCPs behave in a good many way like conventional SC pairs without the long-range coherence (known as “short-range phase correlations”)2,6,8,9, which have to obey the BCS theory26. The question is, what happens with the FCPs, which also called the local pairs (LPs)11, with increasing temperature, as there are usually no any particularities on the resistive curve up to T*. In accordance with the theory of systems with reduced charge carrier density27–30, along with an increase in T, the in-plane coherence length, ξab(T), which determines the pair size, decreases. At the same time, the bonding energy of the LPs, εb ~ 1/ξab2 27,30, noticeably increases. As a result, the LPs should change their properties9,11,29,30. Eventually, the FCPs are transformed into so-called strongly bound bosons9,28–30, very small but tightly coupled pairs, which obey the Bose-Einstein condensation theory9,27,30. Thus, the theory predicts the BCS-BEC transition in HTSCs as T increases, which was observed experimentally11,12,31.
Nevertheless, there is still the question of the pairing mechanism, which allows the existence of bound fermions at temperatures significantly higher than Tc. Obviously, in HTSCs, in addition to the electron–phonon interaction, some other mechanism of interaction, most likely of a magnetic type should act2–5,31 (and references therein). As a result, it is proposed to consider both spin-density waves (SDW)2,3,18, charge-density waves (CDW)2–5 and charge order (CO)19 (and references therein) in order to explain the pairing mechanism of HTSCs in the PG state. However, in YBCO, the CO onset temperature appears always to be lower than T*19 and the temperature ranges and density of charge carriers indicated in the studies that assume the existence of the SDW, CDW and CO mechanisms differ significantly. As a result, the proposed new phase diagrams of cuprates are also very different3–5,9,18,19. Thus, despite the tremendous efforts towards this end there is still no consensus on the physical nature of the PG (refer to1–11,18,19,28–32 and references therein).
It is well established now, that all properties of HTSC cuprates are determined by the density of charge carriers, nf, which can vary over a wide range upon doping2–5,10–13,18–21. In YBa2Cu3O7−δ, nf changes as a result of oxygen intercalation, and the maximum Tc ~ 92 K corresponds to a stoichiometric material (i.e. δ = 0)13. To transfer YBCO to the so-called overdoped regime, it is necessary to use Ca doping3. Usually a set of samples with different nf is used for measurements10–13,20. In the manufacture of HTSC films, each nf value is determined by the manufacturing conditions (usually the oxygen pressure in the chamber) of each specific sample19,33. As a result, film samples may differ in their structure, number of defects etc. The advantage of single crystals is that their nf can vary noticeably during annealing of the sample in an oxygen atmosphere13,34. However, in the case of a strong change in nf, various defects may also appear in the samples21,35 (cf. the thermodynamic parameters of defect processes in these high Tc superconductors have been found to obey the thermodynamical cBΩ model -where c stands for a dimensionless factor that may be considered in a first approximation to be independent of temperature and pressure, B is the isothermal bulk modulus and Ω the mean volume per atom36,37 - in a similar fashion as in the case of the so-called superionic conductors e.g. β-PbF238). Therefore, it seems highly desirable to find out how the properties of the same sample, first of all FLC and PG, can change, if somehow the density of charge carriers in the sample varies in a relatively small range.
In the present study we take advantage of single crystals to study FLC and PG in untwined YBCO single crystal with nf close to optimal doping (Tc = 91.6 K), when nf changes upon annealing in an oxygen atmosphere. We have studied three samples with different nf. For a short notation, we name these samples A1, A2 and A3 (Table 1 and experimental methods). The fluctuation contributions to σ′(Т) were derived from the dc resistivity ρ(T) measurements, and temperature dependences of PG, Δ*(T), as a function of nf were calculated. The results show that in the range of SC fluctuation near Tc, σ′(Т) is adequately interpreted by the AL and HL fluctuation theories. It was determined that Δ*(T), as expected, increases upon annealing and is in good agreement with the Peters-Bauer theory (PB)6 near (Tc). The implications of these findings will be discussed.
Table 1.
Determined parameters.
| Sample | ρ(100 K) (µΩcm) | Tc (K) | Tc mf (K) | TG (K) | To (K) | T01 (K) | ΔTfl (K) | d01 (Å) | ξc(0) (Å) | C3D |
|---|---|---|---|---|---|---|---|---|---|---|
| А1 | 47.2 | 91.6 | 91.84 | 91.90 | 92.34 | 97.4 | 5.5 | 3.50 | 0.86 | 1.34 |
| А2 | 47.0 | 91.7 | 91.93 | 91.98 | 92.39 | 96.9 | 4.9 | 3.54 | 0.84 | 1.25 |
| А3 | 46.3 | 91.9 | 91.98 | 92.02 | 92.42 | 97.3 | 5.3 | 3.42 | 0.81 | 1.27 |
Results and Discussion
Resistivity
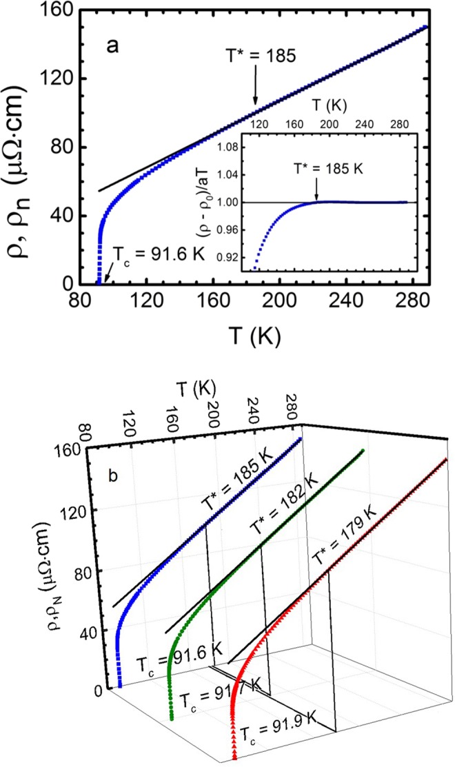
The dependence on temperature of the resistivity (i.e. ρ(T) = ρab(T)) of untwined YBa2Cu3O7−δ crystals are shown in Fig. 1. As ρ(T) of the samples differ insignificantly, to simplify the figure on the upper panel (Fig. 1a), only the resistive curve of sample A1 is shown. The corresponding dependences of ρ(T) for all three samples are shown as a three-dimensional (3D) graph in Fig. 1b. For temperatures above T* = (185 ± 0.5) K (A1), (182 ± 0.5) K (A2), (179 ± 0.5) K (A3) and up to 300 K, all the ρ(T) dependences are linear and are described by a gradient a = dρ/dT = 0.484 (A1), 0.488 (A2) and 0.478 (A3) μΩ⋅cm/K, which slightly changes with annealing. The gradient was calculated by approximating the experimentally derived curves and confirmed the linear behaviour of ρ(T) with a mean-root-square error of 0.009 ± 0.002 in the specified temperature range for all samples. As mentioned above, the PG temperature T* ≫ Tc was defined as a temperature at which the resistive curve deviates downward from the linearity (Fig. 1). The more precise approach to determine T* with accuracy ± 1 K is to explore the criterion [ρ(T) − ρ 0]/aT = 139 (insert in Fig. 1a), where a designates the slope of the extrapolated normal-state resistivity, ρN(T), and ρ0 is its intercept with the y axis. Both methods give the same T*.
Figure 1.

Panel a. Plot of ρ(T) dependence for untwined YBa2Cu3O7−δ single crystal after annealing in oxygen (sample A1, squares). Insert: The method of determining T*, using criterion [ρ(T) − ρ0]/aT = 1 (sample A1)39. Panel b. The plot of ρ(T) of the same single crystal for different annealing stages: A1 (blue squares), A2 (green dots) and A3 (red triangles). The solid lines determine ρN(T), extrapolated to the low-temperature region.
In the process of annealing, with increasing the oxygen content, Tc slightly increases, and ρ(T) slightly decreases (Fig. 1b). This is not surprising, since the samples are actually on top of the PD. At the same time, T* decreases much more perceptibly, in full agreement with the PD of cuprates3–5,13,18,21 (and Tables 1, 2 and 3). The main difference between the untwined YBCO and single crystal containing defects, presumably in the form of twin boundaries (TB)21,40, is much higher T* value. Usually, in optimally doped YBCO single crystals with Tc ~ 91.1 K, but containing defects in the form of TB, T* ~ 140 K41. It is assumed that the defects prevent the establishment of phase coherence of LPs (paired fermions) and, thus, effectively reduce T*21,42. At the same time, in well-structured YBCO films11,20, a sample with Tc ~ 88 K has T* ~ 200 K, which is much closer to T* = 185 K, observed for the untwined YBCO single crystal A1 with Tc = 91.6 K. Therefore, it can be assumed that, by their properties, YBCO single crystals, which do not contain TB, are closer to well-structured films. This conclusion is supported by the analysis of the results of the FLC and PG study.
Table 2.
Determined parameters.
| Sample | RH(100 K) (10−9m3/C) | ρ(100 K)•C3D (µΩcm) | nf (1021 cm−3) | ns (1014 cm−2) | μH (cm2/Vs) | l (10−8 cm) |
|---|---|---|---|---|---|---|
| А1 | 2.40 | 62.9 | 2.60 | 3.05 | 38.2 | 110.0 |
| А2 | 2.39 | 58.6 | 2.62 | 3.06 | 40.8 | 117.8 |
| А3 | 2.38 | 58.8 | 2.63 | 3.07 | 40.5 | 117.1 |
Table 3.
Determined parameters.
| Sample | ξab (Å) | vF (107 cm/s) | m*/m0 | τ(100 K) (10−13 s) | τφ(100 K) β (10−13 sK) | β | τφ(100 K) (10−13 s) |
|---|---|---|---|---|---|---|---|
| А1 | 11.00 | 1.04 | 4.91 | 1.06 | 54.68 | 12.03 | 4.55 |
| А2 | 10.50 | 1.01 | 5.04 | 1.17 | 59.83 | 13.49 | 4.43 |
| А3 | 10.35 | 1.04 | 4.92 | 1.13 | 60.73 | 13.61 | 4.46 |
Fluctuation conductivity
In the resistive measurements, PG is evident as a deviation of the resistivity ρab(T) = ρ(T), determined in the ab plane, from a linear dependence at high temperatures to smaller values (refer to Fig. 1). The result is excess conductivity expressed by σ′(Т) = σ(T) − σN(T) = [1/ρ(T)] − [1/ρN(T)], or
| 1 |
where ρN(T) = aT + b is the sample resistivity in the normal state that is extrapolated to the low temperature region4,5,20,43. As mentioned above, according to the model14, the linear dependence of ρ(T) above T* is the normal state of HTSCs that characterizes by the stability of the FS2,3,14,19.
According to recent concepts4–11,21, a small value of the coherence length in conjunction with a quasi-layered structure of the HTSCs leads to the formation of a noticeable area of SC fluctuations on the ρ(T) in the proximity of Tc, where σ′(Т) follows conventional fluctuation theories11,20,44–46. At the same time, changes in oxygen content, the presence of impurities, and/or structural defects have a considerable impact on σ′(Т) and, accordingly, on the implementation of various FLC modes above Tc20,47–49.
Fluctuation conductivity for (or of) all the samples was determined by analyzing the excess conductivity, which was calculated in the standard method in accordance with Eq. (1). The FLC analysis was performed within the model of local pairs1,11,20,21, in which the presence of paired fermions (LPs) in HTSCs is assumed in the temperature range Tc < T < T*1,6–9,20. Firstly, the mean-field temperature Tcmf > Tc needs to be determined limiting the region of critical fluctuations near Tc, where the mean-field theory does not work26. In addition, Tcmf determines the reduced temperature
| 2 |
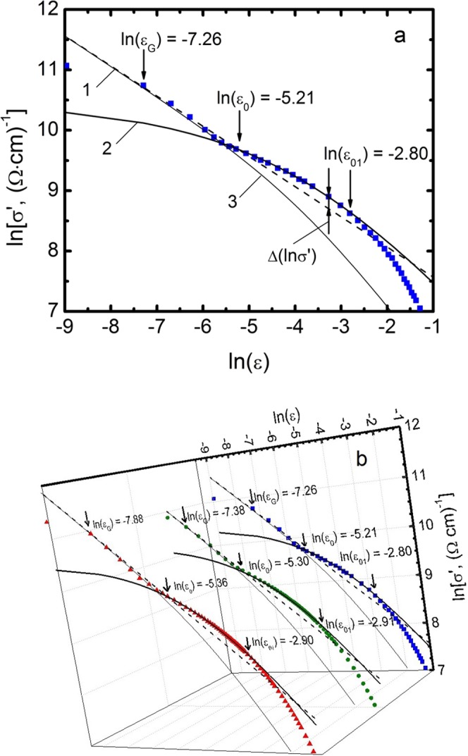
that appears in all equations. From this it is clear that the correct determination of plays a key role in the calculations of both FLC and PG. At the vicinity of Tc, the coherence length in the c axis (ξc(T)) is greater than d. d ≈ 11.7 Å50 is the c axis lattice parameter of the YBCO unit cell25,46. In this case, the FCPs associate throughout the superconductor and form a three-dimensional (3D) state of HTSC20,25,46. Therefore, at the proximity of Tc, the FLC can be described by the 3D equation of the Aslamazov-Larkin (AL) theory11,24 with the critical exponent λ = −1/2, which determines the FLC in any 3D system:
| 3 |
Here σ′(Т) ~ ε−1/2. It can be shown that σ′−2(Т) ~ ε~ T − Tcmf and vanishes at T = Tcmf (refer to Fig. 2), which enables the determination of both Tcmf and ε with high accuracy11,20,51. Also in Fig. 2, the arrows show Tc, the Ginzburg temperature TG, down to which the fluctuation theories are valid46,47, and the T of the 3D-2D crossover T0 limiting the area of 3D fluctuations. Notably, above T0 = 92.34 K (refer to Fig. 2), the data deviate to the right from the linear dependence, which indicates the presence of 2D Maki-Thompson (MT) contribution to the FLC25,46. Having determined ε, we construct the dependence lnσ′(lnε) (Fig. 3). Figure 3a shows the corresponding dependence for the base sample A1. Expectedly at the vicinity of Tc, in the interval ТG — T0 (ln(ε0) = −5.21), the FLC is well modelled by the AL fluctuation contribution (3) for the 3D system. In double logarithmic coordinates this is the dashed line (1) with slope λ = −1/2. As mentioned above, it implies that the classical three-dimensional FLC materializes in HTSC for Т → Тс and ξс(Т) > d11,20,43. Above the crossover temperature Т0 ξс(Т) < d11,21,25,46, and this is no longer a 3D regime. However, as before, ξс(Т) > d01, where d01 ≈ 3.5 Å is the separation of the conducting planes of CuO2 in YBCO50. Thus, up to temperature Т01 (ln(ε01) = −2.8, Fig. 3) ξс(Т) connects the inner planes of CuO2 by means of the Josephson interaction11,20,46. This is the 2D FLC regime, which is perfectly approximated by the Hikami-Larkin theory 2D-MT equation for HTSCs25:
| 4 |
Figure 2.

Dependence of σ′−2(T) for the untwined YBa2Cu3O7-δ single crystal after annealing in oxygen (sample A1). Arrows indicate Тс, Tсmf, the Ginzburg temperature TG and 3D-2D crossover temperature T0. A straight line is to guide the eye.
Figure 3.

Panel a. lnσ′ vs lnε for the sample A1 (squares) in comparison with fluctuation theories: 3D AL (dashed line (1)), 2D MT (solid curve (2)) and LD (solid thin curve (3)). The T01 (lnε01) determines the range of the SC fluctuations, T0 (lnε0) is the temperature of the 3D-2D crossover and TG (lnεG) is the Ginzburg temperature. Panel b: The same dependencies for all three samples: A1 - blue squares, A2 - green dots and A3 - red triangles.
Above Т01, the experimental points deviate downward from the theory (Fig. 3) implying that the classical fluctuation theories are not valid. Thus, Т01 limits the region of SC fluctuations from above: ΔTfl = T01 − TG. Conversely, TG limits the region of SC fluctuations from below. As a result, below TG, designated as ln(εG) in (Fig. 3a,b), the experimental points also deviate downward from the theory (Fig. 3), suggesting the transition to the range of critical fluctuations or fluctuations of the SC order parameter Δ just near Tc, where Δ < kT11,26.
The thin curves (3) in the figure are constructed according to the Lawrence-Doniach equation (LD)44:
| 5 |
The LD model works in case of defects in samples21,42,51. In our case, curves (3) lie far from the experimental points, which confirm the absence of defects (primarily TB) in our samples.
Notably, in this case the maximum distance between the MT curve (2) and the extrapolated AL straight line (1), Δlnσ′~0.1, which is typical for nonmagnetic YBCO11,20. In magnetic superconductors, such as SmFeAsO0.85, the MT curve (2) always passes much higher than the extrapolated AL straight line (1)11, and in this case Δlnσ′~0.831. Such behavior indicates the presence of a magnetic interaction in HTSCs, which is clearly absent in our non-magnetic untwined single crystal.
At T0, ξс(Т0) = d = 11.7 Å, which allows us to determine ξс(0)20,21,25,46
| 6 |
Taking into account that ln(ε0) = −5.21 (Fig. 3) and using Eq. (6), we get ξс(0) = (0.86 ± 0.02) Å (A1), which is almost 2.6 times the coherence length alongside the c axis obtained for OD YBCO with TB (Tc = 91.07 K)41. This is most likely due to the fact that in single crystals with defects the region of SC fluctuations is ΔTfl = T01 − TG ~ 1.5 K, that is extremely small. While for A1, ΔTfl = T01 − TG = 97.4 K − 91.9 K = 5.5 K, that is, 3.7 times more. The result again underlines a noticeable difference in the behavior of YBCO single crystals with and without defects. Additionally, ξс(T01) = d01, and, since ξс(0) has already been defined by Eq. (6), we can calculate d01 from the relation ξс(0) = d√ε0 = d01√ε01. For sample A1, calculations give d01 = (3.5 ± 0.2) Å, in good agreement with the results of structural studies50.
In Fig. 3b the dependences of lnσ′(lnε) are shown for all three samples A1–A3. It is seen that with increasing Tc all characteristic temperatures also vary slightly. The increase in the absolute value of lnε0 results in decrease in ξс(0) from 0.86 Å (А1) to 0.81 Å (А3) (Table 1), in full agreement with the theory of superconductivity, where ξ~1/Tc26.
In the above equations
| 7 |
is the coupling parameter;
| 8 |
is the pair-breaking parameter, and the phase relaxation time τφ is determined by the equation
| 9 |
where А = 2.998·10−12 s K. Here the factor β = 1.203(l/ξab) with l being the mean free path and ξab the coherence length along the ab plane, takes into account the approximation of the clean limit (l > ξ) that consistently occurs in HTSCs due to the smallness of ξ(T)25,44–46.
Comparative analysis of phase relaxation time
Having determined the parameters of the FLC analysis, it seems interesting to examine the physical meaning of the short coherence length ξab(0) in the framework of the simple two-dimensional model of free charge carriers52–54. This approach allows us to define a set of additional important parameters of the samples, including τφ, which is actually the lifetime of the FCPs in the range of SC fluctuation. In HTSCs all parameters, including τφ and Hall coefficient RH, are functions of temperature. Consequently, the corresponding calculations, including those in YBCO, are performed at T = 100 K, as is customary in the literature20,52–54.
From the FLC analysis, using Eq. (7), we find the coupling parameter α, and then the pair-breaking parameter δ of Eq. (8), which is always ~ 220,54, if all other parameters are correctly determined. Next, we calculate the parameter τφβТ (refer to Table 3), assuming in Eq. (9) ε = ε020. Since it is assumed that T = 100 K, in order to find τφ(100 K), it is necessary to determine the coefficient β = 1.203(l/ξab). For this it is necessary to know the mean free path l, which is determined by the density of charge carriers nf, and the coherence length in the ab plane (i.e. ξab). The charge carrier density nf can be calculated from the values of the Hall coefficient RH, namely nf = r [l/(e RH)]20,54,55. Here e is the electron charge, and the coefficient r = <τ2>/<τ>2, where τ is the average time between collisions of charge carriers, actually determines the scattering mechanism in the normal state55. Since the scattering mechanism of normal charge carriers in HTSCs, especially in the PG state, is still rather uncertain56–59, we assume r = 1.
From the literature for optimally doped YBCO single crystals3,60 and YBCO films with a close value of Tc20, we find: RH(100 K) ≈ 2.4·10−9 m3/C for sample A1, and, accordingly, nf = 2.6·1021 см−3 (Table 2). Continuing the analysis of sample A1, for the carrier density in the planes we obtain ns = nfd = 3.05·1014 см−3. Using the corrected value ρ(100 K) = ρ(100 K)·C3D = 62.9 μΩcm52,53, we have μH = r/(ρne) = 38.2 сm2/Vs for the mobility of the Hall carriers. Interestingly, found values of μH (Table 2) are in good agreement with those obtained in ref.60 for YBaCuO untwinned single crystals. It was also shown60 that the results of Hall-effect measurements are nor affected by the conduction of the Cu-O chains and the in-plane anisotropy of the CuO2 planes. Now, using the formula l = (ħμ/e)(2πns)1/2, we find the mean free path of the charge carriers in A1: l = υFτ ≈ 110 Ǻ, where υF is the Fermi velocity. To continue the analysis, the mean value ξab(0) = 11.0 Ǻ was chosen for A1 from the literature51–53.
In the general theory of superconductivity26
| 10 |
where Δ(0) is the SC order parameter at T = 0 K. Taking into account that in YBCO Δ(0)/kBTc = 554,61,62 and setting ξ0 = ξab(0), for the Fermi velocity we obtain υF = 1.04·107 cm/s, and for the effective mass of charge carriers m*/m0 = (ρl)(nfe2)/(υFm0) = 4.91 (Table 3). After this, the transport time of the normal carriers τ(100 K) = l/υF = 1.06·10−13 s can also be calculated. All estimates obtained are in good agreement with the similar results reported for optimally doped YBCO20,52–54,58,59.
Finally, we find β (100 K) = [1.203(l/ξab)] = 12.03. Now, using found τφ (100 K)β = 54.68·10−13 sK, we get the value of τφ (100 K) = 4.55·10−13 s. Performing similar calculations for samples A2 and A3 and taking into account the corresponding changes of RH and ξab(0) with increasing nf (Tables 2 and 3), we obtain τφ (100 K) = 4.43·10−13 s and τφ (100 K) = 4.46·10−13 s (Table 3) in good agreement with similar results obtained by measuring the magnetoresistance on YBCO-PrBCO superlattices63 and FLC on YBCO films20.
Nevertheless, the mean free path l and the Hall mobility μH are about 2 times, and τφ(100 K) is ~ 1.2 times more than in OD YBCO films20, which is most likely a specific property of untwined single crystals60. At the same time τφ (100 K)/τ (100 K) ~ 4 ± 0.2, in excellent agreement with the theory45, which takes into account the clean-limit approximation (l > ξ), as mentioned above. It should be emphasized that, as in well-structured YBCO films with different nf20, in the untwined single crystals τφ(100 K) is practically independent on nf. This result, apparently, can be considered as a common property of cuprates, at least of compounds based on YBCO.
Pseudogap analysis
In resistive measurements of cuprates the pseudogap is a deviation at T ≤ T* of the longitudinal resistivity ρ(T) from linearity in the normal phase11,14,64. This results to the realization of excess conductivity σ′(T) (refer to Eq. (1)). It is established that if there were no processes in HTSC leading to the opening of the PG at T*, then ρ(T) would preserve its linearity up to T ~ Tc4,11,14,27–30. It is obvious that σ′(T) is a consequence of the PG opening and should enclose details about the magnitude and temperature dependence of the PG11,23. Conventional fluctuation theories, modified by Hikami-Larkin25 for HTSCs perfectly describe the experimental σ′(T) but only to about ~110 K10,11,31. For complete information about the pseudogap, an equation is needed that would describe the experimental curve in all temperature range from T* to Tc and would contain PG explicitly. Such an equation was proposed earlier12:
| 11 |
where (1 − T/T*) takes into consideration the number of LPs formed at T ≤ T*, and (exp(−Δ*/T)) determines the dynamics of LPs destruction as T approaches Tc.
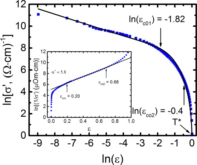
Additionally to T*, ε and ξc(0), already defined above, Eq. 11 includes the numerical coefficient A4, which is equivalent to the C-factor in the FLC theory20,51–53, the theoretical parameter εc0*65 and Δ* = Δ*(TG). Here it is presumed that Δ*(TG) = Δ(0)66,67 with Δ being the order parameter of the sample in the SC state, as mentioned above. Importantly, all these parameters can be easily determined within the LP model11,12,20,31. We consider this for the case of A1 (refer to Figs 4, 5). In the region lnεc01 < lnε < lnεc02 or, respectively, εc01 < ε < εc02 (113 K < T < 155 K), σ′−1 ~ exp(ε)65. This feature turned out to be one of the main properties of most HTSCs11,31,54. As a result, in the specified temperature range, ln (σ′−1) depends linearly with respect to ε with a slope α* = 5.8 (insert to Fig. 4a), which determines the parameter εc0* = 1/α* = 0.17265. This allows the determination of reliable values of εc0* for all samples, which, as established previously12,31, significantly impacts the dependence of the theoretical curves shown in Figs 4 and 5, at high T.
Figure 4.

lnσ′ vs lnε (squares) for the untwined YBa2Cu3O7–δ single crystal (sample A1) in the whole temperature range from T* to TG. The solid curve is fit to the data with equation (11) with the set of parameters given in the text. ln(εc01) and ln(εc02) designate the interval of exponential dependence of σ−1(ε). In the inset: ln(1/σ′) with respect to ε65. Solid line indicates the linear part of the curve between εc01 = 0.20 and εc02 = 0.68. Corresponding ln(εc01) = −1.82 and ln(εc02) = −0.4 are marked by arrows in the main panel. α* = 5.8 is used to determine the parameter ε*c0 = 1/α* = 0.17.
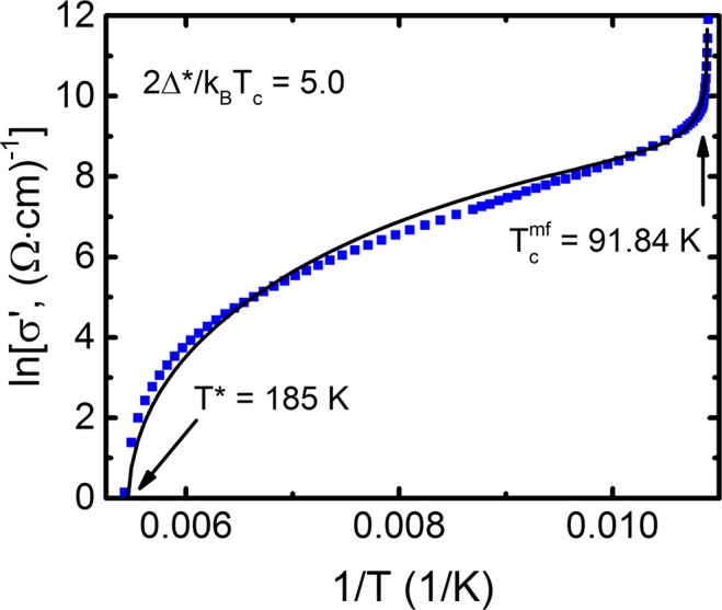
Figure 5.

lnσ′ as a function of 1/T (squares) for the sample A1 in the interval from T* to Tcmf. The solid curve is fit to the data with equation (11) with a set of parameters given in Tables 2, 3 and 4. The best fit is obtained when Eq. (11) is calculated with ∆*(TG) = 229 K, that is D* = 2∆*(TG)/kBTc = 5.0.
To determine A4, we approximate the experiment by the dependence σ′(ε) calculated by Eq. (11), in the vicinity of 3D AL-fluctuations near Tc (refer to Fig. 4). lnσ′(lnε) is in essence a linear dependence of ε (i.e. the reduced temperature) and has a slope λ = −1/2. To find Δ*(TG) used in Eq. (11), we construct the curve lnσ′(1/T) using all the parameters found68 (refer to Fig. 5). Here, the gradient of the theoretical curve (11) is highly influenced by the value of Δ*(TG)12,20,31. The best approximation is achieved when the Bardeen-Cooper-Schrieffer (BCS) ratio D* = 2Δ*(TG)/kBTc is 5.0 ± 0.1, which corresponds to the strong-coupling limit characteristic for YBCO. Accordingly, we obtain: Δ*(TG)/kB ≈ 229 K in good agreement with the experimental value Δ*(TG)/kB ≈ 228 K (see Fig. 6). Similar results were obtained for samples A2 and A3 (refer to Table 4).
Figure 6.

Temperature dependences of Δ*(T), of the untwined YBa2Cu3O7−δ, single crystal, calculated by Eq. (12) for all annealing stages: A1 - blue squares, A2 - green points, A3 - red triangles. Inset: The same dependence for the temperature interval TG < T < T01. The arrows show all characteristic temperatures. Solid lines are to guide the eye.
Table 4.
Experimental Parameters.
| Sample | T* (K) | α* | ε*с0 | A4 | ∆*(TG) (K) | ∆*max(Tpair) (K) | Tpair (K) | D* (K) |
|---|---|---|---|---|---|---|---|---|
| A1 | 185 | 5.8 | 0.17 | 33 | 229 | 258 | 119.3 | 5.0 |
| A2 | 182 | 5.9 | 0.17 | 33 | 237 | 264 | 120.6 | 5.1 |
| A3 | 179 | 5.8 | 0.17 | 37 | 244 | 270 | 120.7 | 5.3 |
Solving equation (11) for the PG, Δ*(T), we obtain11,12 over the entire temperature range from T* to Tcmf
| 12 |
Here σ′(T) is the experimentally determined excess conductivity and the remaining parameters are already defined within the LP model (Tables 1 and 4). The fact that σ′(T) is given by Eq. (11) (refer to Fig. 4) suggests that Eq. (12) gives reliable values of both the magnitude and the temperature dependence of Δ*(T). The dependence Δ*(T) for sample A1, constructed by the formula (12), using the following parameters extracted from the experiment: Tcmf = 91.84 K, T* = 185 K, ξc(0) = 0.86 Å, εc0* = 0.17, A4 = 33, Δ*(TG)/kB = 229 K, shown in Fig. 6. Also shown are the dependencies Δ*(T) for samples A2 and A3, calculated in a similar way with the corresponding set of parameters given in Tables 1 and 4.
All the curves in Fig. 6 have the shape typical for YBCO films, with a maximum at Т = Tpair ≈ 124 K, which is close to Tpair ≈ 130 K usually observed in well-structured YBCO films12,54, and a minimum at Т ≈ Т0131,41. It can be seen that, in full accordance with the phase diagram of cuprates, Δ*max(Тpair)/kB expectedly increases from 258 K (A1) to 270 K (A3) along with an increase in nf. The BCS ratio D* = 2Δ*(TG)/kBTc also increases from 5.0 to 5.3. At the same time, Tpair practically does not change (Table 4), which is reasonable, given the high Tc of the samples. As mentioned above, according to the theory of systems with low nf8,9,27–30, above Tpair, LPs must exist in the form of strongly bound bosons, which obey BEC. Below Tpair the LPs must be converted to FCPs, which are subject to BCS theory. Thus, Tpair separates both regimes8–12,28–30. The minimum Δ*(T) at T ≈ Т01 is also observed on all HTSCs, including pnictides11 and single crystals of FeSe69. Accordingly, when approaching to Tc, the maximum Δ*(T) always occurs just below T0, and the minimum at T = TG31,41 (inset in Fig. 6). Below TG, there is an abrupt jump Δ*(T) at Т → Tcmf, however, this is already a transition to the region of critical fluctuations, where the LP model does not work. Thus, the approach in the framework of the LP model makes it possible to determine the exact values of TG and, as a consequence, to obtain reliable values of Δ*(TG) ≈ Δ*(Tc) ≈ Δ(0)12,54,65–67 (Table 4).
It is noteworthy that the shape of the Δ*(T) curves near Tc, shown in the inset to Fig. 6, is very similar to the temperature dependence of the density of local pairs in HTSCs, <n↑n↓>, calculated within the three-dimensional attractive Hubbard model for different temperatures, interactions U > 0, and filling factors (the Peters-Bauer model (PB)6). Besides, in the calculations the hopping t and the bandwidth W = 12t were used as energy scales. Taking into account the fact that Eq. (12) contains information on the density of local pairs, we tried to compare our data with the results of the PB theory ref.6. Having normalized the temperature and PG, respectively, by T*(T) and Δ*max, and having adjusted the parameters, we obtained good agreement with the PB theory (refer to Fig. 7). In the process of fitting, Δ*(TG)/Δ*max was coincided with the minimum value <n↑n↓> at the lowest T, and Δ*(T0)/Δ*max with the maximum value. Both temperatures in Fig. 7 are indicated by arrows. On the theoretical curve 2, these temperatures are indicated by inclined arrows. Importantly, the same fitting factors were used for all samples.
Figure 7.

Solid curves display the density of local pairs <n↑n↓> as a function of temperature for different values of the interaction energy: U/W = 0.2 (curve 1), U/W = 0.4 (curve 2) and U/W = 0.6 (curve 3)6. The symbols are experimental data for A1 (blue squares), A2 (green points), and A3 (red triangles), after corresponding renormalizations of the dependence Δ*(T) in the interval TG < T < T01 (see Text).
After fitting, good agreement was found between the experimental Δ*(T)/Δ*max and the theory of PB with the lowest interaction parameter U/W = 0.2, which corresponds to the density of local pairs <n↑n↓> ≈ 0.3 near Tc (Fig. 7). As in the PB theory, the density of LPs in our samples increases (from <n↑n↓> (TG) ≈ 0.292 (A1) to <n↑n↓> (TG) ≈ 0.305 (A3)) with an increase in the interaction energy, which corresponds to an increase in the BCS ratio D* in our case. As the temperature increases both <n↑n↓> and our data, as expected, decrease (refer to Fig. 7), which seems reasonable. Indeed, the number of FCPs should decrease along with T3–6,11. Importantly, at U/W = 0.2 the experimental data is consistent with theory in a wide temperature range, actually in the whole range of SC fluctuations. Whereas, if we compare the data with the theory for larger values of U/W (curves 2 and 3), the data will deviate from the theory already at T/W ~ 0.2. Notably, <n↑n↓> ≈ 0.3 was also obtained for FeSe single crystals near Tc69. Apparently, such a density of LPs near Tc is typical of all HTSCs.
Conclusions
Using the LP model, we have studied the effect of annealing on the temperature dependences of FLC and PG in untwined OD YBa2Cu3O7−δ (YBCO) single crystal with a slight increase in the oxygen index (7-δ). The increase in oxygen content and, respectively, nf was carried out by annealing the single crystal both in an oxygen atmosphere (sample A1) and by exposure at room temperature (samples A2 and A3). It is found that with increasing nf in the sample, Tc increases, and resistivity decreases. As expected, the increase in Tc is rather small, since nf actually corresponds to the maximum of the phase diagram (PD). At the same time, T* decreases more significantly (from 185 K to 179 K), which fully corresponds to PD of the cuprates. The first difference from optimally doped YBCO single crystals containing defects in the form of TB, where T* ~ 140 K41, is quite large T* = 185 K (A1). It is assumed that defects interfere with the establishment of phase coherence of LPs (paired fermions) and, thus, effectively reduce T*21,42. Importantly, in well-structured YBCO films, the sample with Tc ~ 88 K has T* ~ 200 K, which is much closer to T* = 185 K, observed for A1. This result suggests the conclusion that the investigated properties of untwined YBCO single crystals are noticeably closer to the well-structured films, which was confirmed by the results of analysis of both FLC and PG.
The present study demonstrated that in the range of SC fluctuations near Tc FLC is consistent with the fluctuation theories of Aslamazov-Larkin (3D term) and Hikami-Larkin (2D-MT term), and demonstrate a 3D-2D crossover when the temperature is increased. T0 determines ξc(0) = 0.86 Å (A1), which is 2.6 times higher than in optimally doped defective YBCO single crystals. This is most likely due to the fact that the range of FLC is very small: ΔTfl = T01− TG = 97.4 K− 91.9 K = 5.5 K (А1), which, however, is 3.7 times more than in single crystals containing defects, where ΔTfl ~ 1.5 K41. According to the theory8,9, in the range of SC fluctuations, cuprates retain the finite value of superfluid density ns (T), and the FCPs behave mainly as SC Cooper pairs, but without long-range order (known as “short-range phase correlations”) that is confirmed by a number of experiments66,70,71. This result once again underlines a noticeable difference in the behavior of YBCO single crystals with and without defects.
T01 also determines d01 (distance between the conducting CuO2 planes). In this case, regardless of the density of charge carriers, d01 ~ 3.5 Å, in agreement with the determinations of structural studies50. This result, together with the presence of the fluctuation contribution of 2D-MT in FLC, confirms the good structure of the samples. It should be also noted that with increasing Тс, ξс(0), as it was found, decreases from 0.86 Å (A1) to 0.81 Å (A3) (Table 1), that is ξ~1/Tc. The result is fully consistent with the theory of superconductivity, where ξ~ ћvF/πkBTc26, because, as well as in the well- structured YBCO films20, vF is almost independent on nf (Table 3).
Having determined the parameters of the FLC analysis, the physical meaning of the short coherence length ξab(0) in HTSCs was examined in the framework of the simple two-dimensional model of free charge carriers52–54. This approach allowed us to define a set of additional important parameters of the samples, including τφ, which is actually the FCPs lifetime in the range SC fluctuations. Most of the calculated parameters are in good agreement with similar data obtained for OD YBCO20,52–54,58,59. It is shown that found τφ(100 K) = (4.49 ± 0.06) 10−13 s (Table 3) is only slightly (~1.2 times) more than in well-structured YBCO films, but, as in films, in fact does not depend on nf. Accordingly, τφ(100 K)/τ(100 K) ~ 4 is in excellent agreement with the Bieri-Maki-Thompson theory, which takes into account the approximation of the clean limit (l > ξ)41, which always takes place in HTSCs due to the small value of ξ(T). A certain role in this may be played by the presence of structural and kinematic anisotropy in the system72–75.
The PG analysis has shown that the Δ*(Т) curves (Fig. 6) have the shape characteristic of YBCO films12,54, with a clear maximum at Т = Tpair ≈ 124 K and a minimum at Т ≈ Т0131,41. According to the theory of systems with low nf8,9,27–30, Tpair separates both BEC and BCS regimes of LPs formation8–12,27–29. In full accordance with the PD of cuprates, Δ*max(Тpair)/kB expectedly increases from 258 K (A1) to 270 K (A3) along with an increase in nf and Tc (Fig. 6). The BCS ratio D* = 2Δ*(TG)/kBTc also increases from 5.0 to 5.3, suggesting the expected increase in bonding energy of the LPs11,27,30. At the same time, Tpair practically does not change (Table 3), which is understandable due to the high Tc of the samples. When approaching Tc, the PG curves show behavior being typical for all HTSCs with a maximum Δ*(T) just below T0 and a minimum value at T = TG (inset in Fig. 6). Thus, the approach within the LP model makes it possible to determine the exact values of TG and, as a consequence, to obtain reliable values of Δ*(TG)≈ Δ(0)12,54,65–67 (Table 4).
Finally, the shape of the Δ*(T) curves near Tc (Fig. 6), was found to be very similar to the temperature dependence of the density of LPs in HTSCs <n↑n↓> calculated within the three-dimensional attractive Hubbard model for different values of temperature, interaction, and filling factors (the Peters-Bauer model (PB)6). For the first time, an estimation of the density of local pairs <n↑n↓> in the optimally doped YBCO was carried out by comparing the experimental data of Δ*(T) with the PB theory (Fig. 7). It was determined that <n↑n↓> ≈ 0.3 near Tc, which, likely, is a typical value for HTSCs.
Experimental methods
The YBa2Cu3O7−δ single crystals were grown by the solution-melt technology in a gold crucible, according to the procedure described in76,77. As is well known, with an increase in the oxygen content a tetra-ortho structural transition occurs in YBa2Cu3O7−δ78, which leads to a twinning of the single crystal and the creation of twin boundaries (TB), minimizing its elastic energy76. To obtain an untwined sample, the crystal was untwined into a special cell at a temperature 420 °C and a pressure 30–40 GPa, according to the procedure proposed previously79. In order to obtain the uniform controlled oxygen content, the crystal after untwined was repeatedly annealed for seven days in an oxygen atmosphere at 420 °C80.
Rectangular crystals of about 1.7 × 1.2 × 0.2 mm were selected from the same batch to perform the resistivity measurements. The smallest parameter of the crystal corresponds to the c-axis. The experimental geometry was selected so that the transport current vector was parallel to the ab-plane. The four-point probe technique with stabilized measuring current of up to 10 mA was used to measure the ab-plane resistivity, ρab(T) [40, and references therein]. Silver epoxy contacts were glued to the extremities of the crystal in order to produce a uniform current distribution in the central region where voltage probes in the form of parallel stripes were placed. The procedure for making contacts was completed by adding silver wires with a diameter of 0.05 mm and a three-hour annealing at a temperature of 200 °C in an oxygen atmosphere. Contact resistances below 1 Ω were obtained. The temperature was measured using a Pt sensor having an accuracy of about 1 mK. The measurements were carried out in the temperature drift mode on two opposite directions of the transport current to eliminate the influence of the parasitic signal. The critical temperature, Tc, was determined by extrapolation of the linear part of the SC transition to its intersection with the axis T4,5,20,21.
In order to change the oxygen content and, and obtain the appropriate values of nf and Tc, the sample was annealed for two days in an oxygen flow at temperature 620 °C. After annealing, the crystal was cooled to room temperature within 2–3 minutes, mounted in a measuring cell, and cooled to the temperature of liquid nitrogen for 10–15 minutes (sample A1). All measurements were carried out by heating the sample. To study the effect of annealing at room temperature, the sample after the first measurements of ρ(T) was kept for 20 hours at room temperature (sample A2) and then repeated measurements were performed. The following measurements were carried out after additional exposure of the sample at room temperature for three days (sample A3). After this procedure, not only increased Tc and decreased ρ(Т), but unlike the data of the previous work7, the PG temperature T* also decreased noticeably, whereas the value of PG increased, which is in full agreement with the PD for YBCO (refer to3–5,13,21 and references therein).
Author Contributions
A.L.S. performed the experiments. All the authors analyzed and discussed the results and contributed to the writing of the paper.
Competing Interests
The authors declare no competing interests.
Footnotes
Publisher’s note: Springer Nature remains neutral with regard to jurisdictional claims in published maps and institutional affiliations.
References
- 1.Mishra V, Chatterjee U, Campuzano JC, Norman MR. Effect of the pseudogap on the transition temperature in the cuprates and implications for its origin. Nat. Phys. 2014;10:357–360. doi: 10.1038/nphys2926. [DOI] [Google Scholar]
- 2.Taillefer L. Scattering and Pairing in Cuprate Superconductors. Annu. Rev. Condens. Matter Phys. 2010;1:51–70. doi: 10.1146/annurev-conmatphys-070909-104117. [DOI] [Google Scholar]
- 3.Badoux S, et al. Change of carrier density at the pseudogap critical point of a cuprate superconductor. Nature (London) 2016;531:210–214. doi: 10.1038/nature16983. [DOI] [PubMed] [Google Scholar]
- 4.Alloul H, Rullier-Albenque F, Vignolle B, Colson D, Forget A. Superconducting fluctuations, pseudogap and phase diagram in cuprates. EPL. 2010;91:37005. doi: 10.1209/0295-5075/91/37005. [DOI] [Google Scholar]
- 5.Rullier-Albenque F, Alloul H, Rikken G. High-field studies of superconducting fluctuations in high-Tc cuprates: Evidence for a small gap distinct from the large pseudogap. Phys. Rev. B. 2011;84:014522. doi: 10.1103/PhysRevB.84.014522. [DOI] [Google Scholar]
- 6.Peters R, Bauer J. Local origin of the pseudogap in the attractive Hubbard model. Phys. Rev. B. 2015;92:014511. doi: 10.1103/PhysRevB.92.014511. [DOI] [Google Scholar]
- 7.Vovk RV, Vovk NR, Samoilov AV, Goulatis IL, Chroneos A. Effect of long aging on the resistivity properties of optimally doped YBa2Cu3O7−δ single crystals. Solid State Commun. 2013;170:6–9. doi: 10.1016/j.ssc.2013.07.011. [DOI] [Google Scholar]
- 8.Emery VJ, Kivelson SA. Importance of phase fluctuations in superconductors with small superfluid density. Nature (London) 1995;374:434–437. doi: 10.1038/374434a0. [DOI] [Google Scholar]
- 9.Randeria M. Ultracold Fermi gases: Pre-pairing for condensation. Nat. Phys. 2010;6:561–562. doi: 10.1038/nphys1748. [DOI] [Google Scholar]
- 10.Grbić MS, et al. Temperature range of superconducting fluctuations above Tc in YBa2Cu3O7−δ single crystals. Phys. Rev. B. 2011;83:144508. doi: 10.1103/PhysRevB.83.144508. [DOI] [Google Scholar]
- 11.Solovjov, A. L. Pseudogap and local pairs in high-Tc superconductors, Superconductors – Materials, Properties and Applications, Ed. A. M. Gabovich (InTech. Rijeka) Chap. 7, p. 137–170 (2012).
- 12.Solovjov AL, Dmitriev VM. Resistive studies of the pseudogap in YBCO films with consideration of the transition from BCS to Bose–Einstein condensation. Low Temp. Phys. 2006;32:99–108. doi: 10.1063/1.2171509. [DOI] [Google Scholar]
- 13.Ando Y, et al. Electronic phase diagram of high-Tc cuprate superconductors from a mapping of the in-plane resistivity curvature. Phys. Rev. Lett. 2004;93:267001. doi: 10.1103/PhysRevLett.93.267001. [DOI] [PubMed] [Google Scholar]
- 14.Stojkovic BP, Pines D. Theory of the longitudinal and Hall conductivities of the cuprate superconductors. Phys. Rev. B. 1997;55:8576–8595. doi: 10.1103/PhysRevB.55.8576. [DOI] [Google Scholar]
- 15.Timusk T, Statt B. The pseudogap in high-temperature superconductors: an experimental survey. Rep. Prog. Phys. 1999;62:161–214. doi: 10.1088/0034-4885/62/1/002. [DOI] [Google Scholar]
- 16.Alloul H, Ohno T, Mendels P. 89Y NMR evidence for a fermi-liquid behavior in YBa2Cu3O6+x. Phys. Rev. Lett. 1989;63:1700–1703. doi: 10.1103/PhysRevLett.63.1700. [DOI] [PubMed] [Google Scholar]
- 17.Kondo T, et al. Formation of Gapless Fermi Arcs and Fingerprints of Order in the Pseudogap State of Cuprate Superconductors. Phys. Rev. Lett. 2013;111:157003. doi: 10.1103/PhysRevLett.111.157003. [DOI] [PubMed] [Google Scholar]
- 18.Kordyuk AA. Pseudogap from ARPES experiment: three gaps in cuprates and topological superconductivity. Low Temp. Phys. 2015;41:417–444. doi: 10.1063/1.4919371. [DOI] [Google Scholar]
- 19.Peng YY, et al. Re-entrant charge order in overdoped (Bi,Pb)2.12Sr1.88CuO6+δ outside the pseudogap regime. Nature Materials. 2018;17:697–702. doi: 10.1038/s41563-018-0108-3. [DOI] [PubMed] [Google Scholar]
- 20.Solovjov AL, Habermeier H-U, Haage T. Fluctuation conductivity in YBa2Cu3O7-y films of various oxygen content. II. YBCO films with Tc ≫ 80 K. Low Temp. Phys. 2002;28:144–156. [Google Scholar]
- 21.Vovk RV, Solovjov AL. Electric transport and pseudogap in high-temperature superconducting compounds of system 1-2-3 under conditions of all-round compression. Low Temp. Phys. 2018;44:111–153. [Google Scholar]
- 22.Herbut IF. Antiferromagnetism from Phase Disordering of a d-Wave Superconductor. Phys. Rev. Lett. 2002;88:047006. doi: 10.1103/PhysRevLett.88.047006. [DOI] [PubMed] [Google Scholar]
- 23.Anderson PW, et al. The physics behind high-temperature superconducting cuprates: the ‘plain vanilla’ version of RVB. Phys. Cond. Mater. 2004;16:R755–R759. doi: 10.1088/0953-8984/16/24/R02. [DOI] [Google Scholar]
- 24.Aslamazov LG, Larkin AL. The influence of fluctuation pairing of electrons on the conductivity of the normal metal. Phys. Lett. A. 1968;26:238–239. doi: 10.1016/0375-9601(68)90623-3. [DOI] [Google Scholar]
- 25.Hikami S, Larkin AI. Magnetoresistance of high temperature superconductors. Mod. Phys. Lett. B. 1988;2:693–698. doi: 10.1142/S0217984988000369. [DOI] [PubMed] [Google Scholar]
- 26.De Gennes, P. G. Superconductivity of Metals and Alloys (W. A. Benjamin, Inc., New York, Amsterdam) 280 (1968).
- 27.Haussmann R. Properties of a Fermi liquid at the superfluid transition in the crossover region between BCS superconductivity and Bose-Einstein condensation. Phys. Rev. B. 1994;49:12975–12983. doi: 10.1103/PhysRevB.49.12975. [DOI] [PubMed] [Google Scholar]
- 28.Loktev VM. Peculiarities of superconductivity in 2D metals: transition from Cooper pairing to local pairing. Low Temp. Phys. 1996;22:490–493. [Google Scholar]
- 29.Tchernyshyov O. Non-interacting Cooper pairs inside a pseudogap. Phys. Rev. B. 1997;56:3372–3400. doi: 10.1103/PhysRevB.56.3372. [DOI] [Google Scholar]
- 30.Engelbrecht JR, Nazarenko A, Randeria M, Dagotto E. Pseudogap above Tc in a model with dx2−y2 pairing. Phys. Rev. B. 1998;57:13406–13409. doi: 10.1103/PhysRevB.57.13406. [DOI] [Google Scholar]
- 31.Solovjov AL, et al. Specific temperature dependence of pseudogap in YBa2Cu3O7−δ nanolayers. Phys. Rev. B. 2016;94:224505. doi: 10.1103/PhysRevB.94.224505. [DOI] [Google Scholar]
- 32.Dzhumanov S, et al. Temperature-independent pseudogap and thermally activated c-axis hopping conductivity in layered cuprate superconductors. Superlattices and Microstructures (Elsevier) 2014;68:6–15. doi: 10.1016/j.spmi.2014.01.004. [DOI] [Google Scholar]
- 33.Habermeier H-U. Pulsed laser deposition - a versatile technique only for high-temperature superconductor thin-film deposition? Appl. Surf. Sci. 1993;69:204–211. doi: 10.1016/0169-4332(93)90505-6. [DOI] [Google Scholar]
- 34.Vovk RV, et al. Resistive investigation of pseudogap state in non-stoichiometric ReBa2Cu3O7−δ (Re = Y, Ho) single crystals with due account for BCS - BEC crossover. J. Alloys Compd. 2009;485:121–123. doi: 10.1016/j.jallcom.2009.05.132. [DOI] [Google Scholar]
- 35.Vovk RV, et al. Effect of small oxygen deficiency on the para-coherent transition and 2D–3D crossover in untwinned YBa2Сu3О7−δ single crystals. J. Alloys Compd. 2011;509:4553–4556. doi: 10.1016/j.jallcom.2011.01.102. [DOI] [Google Scholar]
- 36.Su H, Welch DO, Wong-Ng W. Strain effects on point defects and chain-oxygen order-disorder transition in 123 cuprate compounds. Phys Rev B. 2004;70:054517. doi: 10.1103/PhysRevB.70.054517. [DOI] [Google Scholar]
- 37.Varotsos P. Calculation of point defect parameters in diamond. Phys Rev B. 2007;75:172107. doi: 10.1103/PhysRevB.75.172107. [DOI] [Google Scholar]
- 38.Varotsos P. Point defect parameters in β-PbF2 revisited. Solid State Ionics. 2008;179:438–441. doi: 10.1016/j.ssi.2008.02.055. [DOI] [Google Scholar]
- 39.L. de Mello EV, et al. Pressure studies on the pseudogap and critical temperatures of a high-Tc superconductor. Phys. Rev. B. 2002;66:092504. doi: 10.1103/PhysRevB.66.092504. [DOI] [Google Scholar]
- 40.Solovjov AL, Tkachenko MA, Vovk RV, Chroneos A. Fluctuation conductivity and pseudogap in HoBaCuO single crystals under pressure with transport current flowing under an angle 45° to the twin boundaries. Physica C. 2014;501:24–31. doi: 10.1016/j.physc.2014.03.004. [DOI] [Google Scholar]
- 41.Solovjov AL, et al. Peculiarities in the pseudogap behavior in optimally doped YBa2Cu3O7−δ single crystals under pressure up to 1 GPa. Curr. Appl. Phys. 2016;16:931–938. doi: 10.1016/j.cap.2016.05.014. [DOI] [Google Scholar]
- 42.Solovjov AL. Fluctuation conductivity in Y-Ba-Cu-O films with artificially produced defects. Low Temp. Phys. 2002;28:1138–1149. [Google Scholar]
- 43.Lang W, Heine G, Schwab P, Wang XZ, Bauerle D. Paraconductivity and excess Hall effect in epitaxial YBa2Cu3O7 films induced by superconducting fluctuations. Phys. Rev. B. 1994;49:4209–4217. doi: 10.1103/PhysRevB.49.4209. [DOI] [PubMed] [Google Scholar]
- 44.Lawrence, W. E. & Doniach, S. Proc. of the Twelfth Int. Conf. on Low Temp. Phys., Kyoto, Japan (1970), E. Kanda (ed.), Keigaku: Tokyo, 361 (1970).
- 45.Bieri JB, Maki K, Thompson RS. Nonlocal effect in magnetoconductivity of high-Tc superconductors. Phys. Rev. B. 1991;44:4709–4711. doi: 10.1103/PhysRevB.44.4709. [DOI] [PubMed] [Google Scholar]
- 46.Xie YB. Superconducting fluctuations in the high-temperature superconductors: Theory of the dc resistivity in the normal state. Phys. Rev. B. 1992;46:13997–14000. doi: 10.1103/PhysRevB.46.13997. [DOI] [PubMed] [Google Scholar]
- 47.Vovk RV, et al. Effect of praseodymium on the electrical resistance of YВа2Сu3О7−δ single crystals. Solid State Commun. 2014;190:18–22. doi: 10.1016/j.ssc.2014.04.004. [DOI] [Google Scholar]
- 48.Vovk RV, et al. Effect of high pressure on the fluctuation paraconductivity in Y0.95Pr0.05Ba2Cu3O7−δ single crystals. Curr. Appl. Phys. 2014;14:1779–1782. doi: 10.1016/j.cap.2014.10.002. [DOI] [Google Scholar]
- 49.Vovk RV, et al. Resistive measurements of the pseudogap in lightly Pr-doped Y1-xPrxBa2Cu3O7−δ single crystals under high hydrostatic pressure. Solid State Commun. 2015;204:64–66. doi: 10.1016/j.ssc.2014.12.008. [DOI] [Google Scholar]
- 50.Chryssikos GD, et al. X-ray diffraction and infrared investigation of RBa2Cu3O7 and R0.5Pr0.5Ba2Cu3O7 compounds (R, Y and lanthanides) Physica C. 1995;254:44–62. doi: 10.1016/0921-4534(95)00553-6. [DOI] [Google Scholar]
- 51.Oh B, et al. Upper critical field, fluctuation conductivity, and dimensionality of YBa2Cu3O7−x. Phys. Rev. B. 1988;37:7861. doi: 10.1103/PhysRevB.37.7861. [DOI] [PubMed] [Google Scholar]
- 52.Matsuda Y, et al. Magnetoresistance of c-axis-oriented epitaxial YBa2Cu3O7−x films above Tc. Phys. Rev. B. 1989;40:5176–5179. doi: 10.1103/PhysRevB.40.5176. [DOI] [PubMed] [Google Scholar]
- 53.Sugawara J, et al. Fluctuation conductivity of a c-axis-oriented YBa2Cu3Oy film prepared by chemical vapor deposition. Phys. Rev. B. 1992;46:14818–14822. doi: 10.1103/PhysRevB.46.14818. [DOI] [PubMed] [Google Scholar]
- 54.Solovjov AL, Dmitriev VM. Fluctuation conductivity and pseudogap in high-temperature YBCO superconductors. Low Temp. Phys. 2009;35:227–264. [Google Scholar]
- 55.Sze, S. M. Physics of Semiconductor Devices. New York: Wiley-Intercience, 328 (1969).
- 56.Dzhumanov, S. & Kurbanov, U. The coexisting of insulating and metallic/superconducting phases and their competing effects in various underdoped cuprates, Modern Physics Letters B, 1850312–1850322 (2018).
- 57.Pashitskii, E. A. Low frequency charge density excitations and high-Tc superconductivity in cuprate metal-oxide compounds. I. The HTSC problem prior to a discovery of the high-Xc superconductors: predictions and premises.; Low frequency charge density excitations and high-rc superconductivity in cuprate metal-oxide compounds. II. The HTSC problem after discovery of high-temperature supercon ductors: achievements and outlooks Low Temp. Phys. 21, 995–1019, 1091–1137 (1995).
- 58.Semba R, Matsuda A. Vanishingly small Maki-Thompson superconducting fluctuation in the magnetoresistance of high-Tc superconductors. Phys. Rev. B. 1997;55:11103–11106. doi: 10.1103/PhysRevB.55.11103. [DOI] [Google Scholar]
- 59.Balestrino GM, et al. Excess conductivity in 2:2:1:2-phase Bi-Sr-Ca-Cu-O epitaxial thin films. Phys. Rev. B. 1992;46:14919–14921. doi: 10.1103/PhysRevB.46.14919. [DOI] [PubMed] [Google Scholar]
- 60.Segawa K, Ando Y. Intrinsic Hall response of the CuO2 planes in a chain-plane composite system of YBa2Cu3Oy. Phys. Rev. B. 2004;69:104521. doi: 10.1103/PhysRevB.69.104521. [DOI] [Google Scholar]
- 61.Wang KW, Ching WY. A structural-based microscopic theory on high-temperature cuprate superconductors. Physica C. 2004;416:47–67. doi: 10.1016/j.physc.2004.09.003. [DOI] [Google Scholar]
- 62.Zaitsev RO. Equations of two-fluid hydrodynamics in the Hubbard model. JETP. 2010;110:594–603. doi: 10.1134/S1063776110040060. [DOI] [Google Scholar]
- 63.Volz W, et al. Magnetoresistance and the effect of superconducting fluctuationsin YBa2Cu3O7/PrBa2Cu3O7 superlattices. Phys. Rev. B. 1997;55:6631–6635. doi: 10.1103/PhysRevB.55.6631. [DOI] [Google Scholar]
- 64.Kondo T, et al. Disentangling Cooper-pair formation above the transition temperature from the pseudogap state in the cuprates. Nat. Phys. 2011;7:21–25. doi: 10.1038/nphys1851. [DOI] [Google Scholar]
- 65.Leridon B, et al. Conductivity of Underdoped YBa2Cu3O7−δ: Evidence for Incoherent Pair Correlations in the Pseudogap Regime. Phys. Rev. Lett. 2001;87:197007. doi: 10.1103/PhysRevLett.87.197007. [DOI] [PubMed] [Google Scholar]
- 66.Yamada Y, et al. Interlayer tunneling spectroscopy and doping-dependent energy-gap structure of the trilayer superconductor Bi2Sr2Ca2Cu3O10+δ. Phys. Rev. B. 2003;68:054533. doi: 10.1103/PhysRevB.68.054533. [DOI] [Google Scholar]
- 67.Stajic E, et al. Cuprate pseudogap: Competing order parameters or precursor superconductivity. Phys. Rev. B. 2003;68:024520–024529. doi: 10.1103/PhysRevB.68.024520. [DOI] [Google Scholar]
- 68.Prokof’ev DD, Volkov MP, Bojkov YA. Pseudogap and its temperature dependence in YBCO from the data of resistance measurements. Phys. Solid State. 2003;45:1223–1232. doi: 10.1134/1.1594234. [DOI] [Google Scholar]
- 69.Solovjov, A. L. Fluctuating Cooper pairs in FeSe at temperatures twice above Tc (unpublished).
- 70.Corson J, et al. Vanishing of phase coherence in underdoped Bi2Sr2CaCu2O8+δ. Nature. 1999;398:221–223. doi: 10.1038/18402. [DOI] [Google Scholar]
- 71.Kawabata K, et al. Detection of a coherent boson current in the normal state of a high-temperature superconductor YBa2Cu3Oy film patterned to micrometer-sized rings. Phys. Rev. B. 1998;58:2458–2461. doi: 10.1103/PhysRevB.58.2458. [DOI] [Google Scholar]
- 72.Downing CA, Portnoi ME. Bielectron vortices in two-dimensional Dirac semimetals. Nature Commun. 2017;8:897–902. doi: 10.1038/s41467-017-00949-y. [DOI] [PMC free article] [PubMed] [Google Scholar]
- 73.Dobrovolskiy OV, et al. Mobile fluxons as coherent probes of periodic pinning in superconductors. Sci. Rep. 2017;7:13740. doi: 10.1038/s41598-017-14232-z. [DOI] [PMC free article] [PubMed] [Google Scholar]
- 74.Curran PG, et al. Vortex imaging and vortex lattice transitions in superconducting Sr2RuO4 single crystals. Phys. Rev. B. 2011;84:104507. doi: 10.1103/PhysRevB.84.104507. [DOI] [Google Scholar]
- 75.Adamenko IN, Nemchenko E. Diffusion of quasi-particles of 3He- 4He mixtures and classical particles. Low Temp. Phys. 1995;21:498–508. [Google Scholar]
- 76.Vovk RV, Khadzhai GY, Dobrovolskiy OV. Transverse conductivity in PryY1-yBa2Cu3O7−δ single crystals in a wide range of praseodymium concentrations. Appl. Phys. A. 2014;117:997–1002. doi: 10.1007/s00339-014-8670-2. [DOI] [Google Scholar]
- 77.Widder K, et al. Ordering of chain oxygen in YBa2Cu3Ox.Optical investigations on single-domain crystals. Physica C. 1994;232:82–88. doi: 10.1016/0921-4534(94)90296-8. [DOI] [Google Scholar]
- 78.Cava RJ. Structural chemistry and the local charge picture of copper oxide superconductors. Science. 1990;247:656–662. doi: 10.1126/science.247.4943.656. [DOI] [PubMed] [Google Scholar]
- 79.Giapintzakis J, Ginzberg DM, Han PD. A method for obtaining single domain superconducting YBa2Cu3O7−x single crystals. J. Low Temp. Phys. 1989;77:155–161. doi: 10.1007/BF00681884. [DOI] [Google Scholar]
- 80.Vovk RV, et al. Effect of redistribution of labile oxygen on the pseudogap state in untwinned YВа2Сu3О7−х single crystals. Low Temp. Phys. 2007;33:931–934. doi: 10.1063/1.2747068. [DOI] [Google Scholar]
