Abstract

Lead zirconate titanate (PbZr0.52Ti0.48O3, PZT) alloys have been extensively studied to be used for piezoelectric nanogenerators to harvest energy from mechanical motions. In this study, PZT nanofiber-based nanogenerators were fabricated to test their true piezoelectric performance without the triboelectric effect. Aligned PZT nanofibers were fabricated by a sol–gel electrospinning process. The thickness, area, and orientation of the PZT textile made by electrospinning a PZT solution onto multipair metal wires or metal mesh were controlled to form a composite textile. After the calcination, the PZT textile mixed with polydimethylsiloxane was placed between two flexible indium-doped tin oxide–polyethylene naphthalate substrates. The performance parameters of the nanogenerators were investigated under the bending motion, which excludes the triboelectric effect. An assembled nanogenerator of an area of 8 cm2 and a thickness of 80 μm could generate an electrical output voltage of 1.1 V and a current of 1.4 μA under the bending strain. The piezoelectric voltage depended on the thickness of the PZT textile, whereas the piezoelectric current depended on both the thickness and the area of the PZT textile. The electrical performance of the device was significantly affected by the orientation of the PZT fiber and the bending direction. The output voltage and the output current were strain-dependent, whereas the total integrated charge was independent of the strain rate. The properties of the flexible nanogenerator could be quantified to verify the pure piezoelectric performance of the device.
Introduction
Energy harvesting technologies have encountered several challenges over the past decades because of the exhaustion of certain fossil fuel sources and an increasing awareness of the environmental effects of current fuel consumption strategies. Devices that harvest energy from ambient sources, such as solar, wind, mechanical vibrations, or thermal energy, have been developed recently as alternatives to fossil fuels. Among these, nanogenerators offer promise as a renewable source of energy that converts vibrational or mechanical energy directly into electrical energy. Piezoelectric nanogenerators are useful in portable devices because they are flexible and lightweight, and their energy sources are easily accessible. High-performance piezoelectric nanogenerators can be manufactured using various piezoelectric materials, including ZnO,1−7 PbZr0.52Ti0.48 (PZT),8−12 BaTiO3,13−16 KNbO3,17 NaNbO3,18 GaN,19 CdSe,20 ZnSnO3,21−23 and poly(vinylidene fluoride).24−27 Most of these inorganic materials alone are not readily compatible with flexible devices because of their brittleness. Therefore, flexible piezoelectric nanogenerators have been prepared by dispersing piezoelectric nanoparticles in a poly(dimethylsiloxane) (PDMS) matrix.12,17,18,28 Various nanoparticle-based piezoelectric materials, such as NaNbO3 nanocubes and nanowires,18 KNLN (0.942(K0.48Na0.535)NbO3-0.058LiNbO3),17,28 or PZT nanoparticles,12 have been tested in flexible nanogenerators.
Although piezoelectric nanoparticle materials are more flexible than bulk or thin film-based piezoelectric materials, the nanoparticles tend to be poorly dispersed in the matrix and do not readily form percolating networks in the PDMS matrix. Power generation measurements collected from the nanoparticle-based nanogenerators have shown that these devices are dependent on the strain mode.7 Electricity tends to be generated only at high compressive forces.21 However, the compressive forces can induce unavoidable electrostatic noise associated with the triboelectric effect because of interfacial contact between the nanogenerator and the measurement equipment. In addition, the PDMS matrix and the polymeric substrate, typically polyethylene terephthalate or polyethylene naphthalate (PEN), can be readily charged and induce electrostatic noise (triboelectric effect) that obscures a quantitative analysis of the piezoelectric output.29,30
Composite nanofibers comprising PDMS may be useful as flexible piezoelectric nanogenerator materials. Chen et al. fabricated laterally aligned PZT nanofibers on interdigitated electrodes of a Pt wire array using the electrospinning method, and the nanogenerator produced a voltage of 1.6 V under applied pressure.10 Wu et al. made a wearable nanogenerator with an electrospun PZT textile in which the nanofibers were aligned parallel to one another.9 Following this report, Gu et al. achieved an output voltage of 209 V from the vertically oriented PZT nanofiber array.31 Previous studies have reported that nanofibers may be used as highly efficient flexible nanogenerators.32
Here, we have produced flexible nanogenerators based on electrospun PZT nanofibers in a PDMS matrix. We have characterized the effects of the device thickness, PZT textile stacking arrangement, device area, and fiber orientation on the generation of piezoelectric power. The flexible devices were loaded onto a measuring unit and deformed by bending to minimize the triboelectric effect due to mechanical friction. The relationship between the piezoelectric output and the applied strain was obtained using PZT textiles having different orientations. Finally, we measured the piezoelectric outputs generated at different strain rates.
Results and Discussion
Figure 1a shows a schematic diagram of the process used to fabricate the well-aligned PZT textiles. The well-aligned electrospun PZT textiles were prepared on multipair parallel electrodes. The PZT nanowires aligned with parallel wire collectors because of the repulsive forces between the negatively charged fibers. The average diameter of a PZT fiber was about 270 nm for the as-spun fibers and 220 nm after calcination. The small fiber diameter resulted from the degradation of the polyvinylpyrrolidone (PVP) polymer during the high-temperature calcination process. Scanning electron microscopy (SEM) images of the well-aligned PZT textiles after the calcination process are shown in Figure 1b. The individual PZT nanofibers were uniformly orientated and formed highly porous structures. The porous structures of the PZT textiles facilitated the infiltration of the viscous PDMS elastomer to form the flexible matrix of the piezoelectric nanogenerator device.
Figure 1.

(a) Schematic diagram showing the process of fabricating the aligned PZT textiles by electrospinning onto multipair metal wire collectors. (b) SEM images of the PZT textile prepared with a parallel orientation and (c) the randomly oriented PZT textile.
The degree of orientation alignment was determined by calculating the fiber orientation factor S
| 1 |
where θ is the angle formed between the individual electrospun fibers and the multipair metal wires.33 The S value of the electrospun PZT textile, which could range from 0 for anisotropic orientation to 1 for perfect alignment, was 0.896. We fabricated a randomly oriented PZT textile using a metal mesh collector to characterize the effects of the fiber orientation on piezoelectricity production, as shown in Figure 1c. The S value of the randomly oriented PZT textile was 0.219. The large difference between the orientations in the two textiles could affect the piezoelectric properties of the assembled devices. The effects of the orientation on piezoelectricity generation are discussed below.
The X-ray diffraction (XRD) profiles collected from the calcined PZT nanofibers are shown in Figure 2a. All the peaks in Figure 2a corresponded to a fully crystallized pure perovskite PZT phase, and no impurity components were observed in the samples after calcination at 650 °C for 3 h. Figure 2b,c shows high-resolution transmission electron microscopy (HR-TEM) images taken with a single electrospun PZT nanofiber. The corresponding pattern of selective area electron diffraction (SAED) is also provided. The HR-TEM images show that the calcined PZT nanofibers were highly polycrystalline and had a lattice separation of 2.9 Å in the (101) lattice plane.
Figure 2.

(a) XRD pattern of a calcined PZT textile. (b) TEM image of a single PZT nanofiber. (c) HR-TEM image of a PZT nanofiber. The inset image shows a SAED pattern of a PZT nanofiber.
A schematic diagram of an assembled flexible nanogenerator based on the well-aligned PZT textile embedded in a PDMS composite structure is shown in Figure 3a. The PZT/PDMS composite layer was sandwiched between two flexible indium-doped tin oxide (ITO)–PEN films and featured a strain-neutral line along the middle of the PZT/PDMS composite layer. Thus, the upper and lower parts of the PZT/PDMS layer were subject to tensile strain and compressive strain in the PZT/PDMS depending on the distance from the strain-neutral line. The performances of the two devices were characterized quantitatively assuming that the strain applied to the top layer of the PZT/PDMS layer was evenly distributed throughout the composite layer. The applied strain was calculated according to eq 2
| 2 |
where r is the distance from the strain-neutral line to the top of the composite layer, R is the radius of the strain-neutral arc, t is the thickness of the PZT/PDMS composite layer, h is the height of the arc, and a is the half-width of the arc. The elastic modulus of PDMS was much smaller than that of the PZT material; hence, the real applied strain on the PZT nanofiber was smaller than the actual strain applied on the PZT/PDMS composite layer.
Figure 3.

(a) Structural illustration of the flexible piezoelectric nanogenerator. (b) Photographic images of the devices assembled on a measurement station without deformations or (c) with deformations.
Figure 3b,c shows photographic images of the assembled flexible nanogenerator in the initial state and in the bending state, respectively. The linear motor moved back and forth to periodically perform bending and unbending motions. During the bending motion, the flexible nanogenerator load was transferred to the PZT nanofibers in the textile through the flexible PDMS matrix. This strain produced a piezoelectric potential, and the generated charges accumulated at the two electrodes. As the applied strain was released, the accumulated electrons moved back in the opposite direction, and the built-up piezoelectric potential disappeared, which means that no additional charge was generated by the triboelectric effect. Therefore, the flexible PZT nanogenerator generates a purely alternating piezoelectric voltage and current under the periodic loading of the bending and releasing movements.
It is important to distinguish the true piezoelectric voltage from the triboelectric voltage (electrostatic voltage). Before characterizing the nanogenerator, we fabricated a PDMS-only sample without the PZT textile and measured the electric signal induced by the bending motions. As shown in Figure S1a,b, the electric signals were insignificant. This means that the output power generated by the PDMS/PZT composite generator was only because of electrons induced by the piezoelectricity under the mechanical strain. We examined the poling effects of the PZT on the piezoelectric output (see Figure S2a,b). The electric poling process improves the alignment of electric dipoles along a direction of the applied electric field, thereby increasing the piezoelectric output. The measured output voltage and current increased with the poling field and reached saturation at an electric field strength of 7.5 kV mm–1. A polarity switching test was performed to verify that the electric signal originated from the pure piezoelectric effects (see Figure S3a,b). Exactly inverted polarities were measured in a device with reverse connections, revealing that the electric signals of the nanogenerator measured during the bending motion resulted only from the piezoelectric effects of the PZT textile in the PZT/PDMS composite layer.
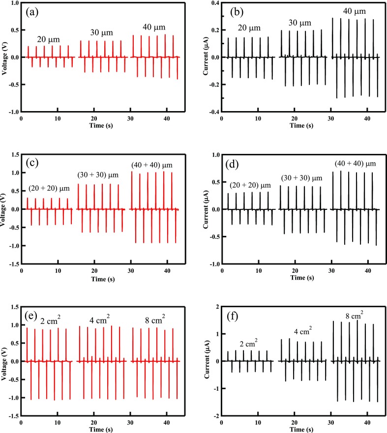
The piezoelectric power generation and related parameters were investigated by measuring the output voltage and current in the assembled PZT flexible nanogenerator as a function of PZT thickness varied from 20 to 40 μm. Figure 4a,b shows the measured output voltage and the measured current, respectively. The strain induced by the bending motion was 0.18%, and the area of the PZT was 4 cm2 (2 cm × 2 cm). The measured values are listed in Table 1. As shown in Figure 4a,b, the piezoelectric voltage and current increased with increasing PZT thickness. Because the individual PZT fibers functioned as a piezoelectric source, both the piezoelectric voltage and the current increased linearly with the amount of PZT present, indicated by the thickness. The output voltage and the output current of the device were increased in flexible nanogenerators constructed by stacking two identical layers. The resulting device performances are plotted in Figure 4c,d. The measured values are listed in Table 1. The output voltage and the current obtained from a two-layer stacker were twice the values obtained from a single-layered stack, as shown in Figure 4c,d. These results demonstrate that both the piezoelectric voltage and the current depend on the PZT thickness. Again, it means that they originated from the piezoelectric effect without any triboelectric effect. The stacking of PZT layers provides an effective approach to obtaining high-performance piezoelectric nanogenerators.
Figure 4.
(a) Output voltage and (b) current measured in a single-layer PZT nanogenerator, as a function of the PZT layer thickness. The area of the PZT was 4 cm2. (c) Output voltage and (d) current measured in the two-layer PZT nanogenerator as a function of the thickness. The area of the PZT was 4 cm2. (e) Output voltage and (f) current of the two-layer PZT nanogenerator prepared with different areas. The thickness of each PZT was 40 μm and total thickness was fixed at 80 μm.
Table 1. Output Signals Obtained from the Flexible Piezoelectric Nanogenerators Prepared with Different Thicknesses and Areas.
| PZT thickness (μm) | PZT area (cm2) | Vmax (V) | Imax (μA) | Jmax (μA cm–2) |
|---|---|---|---|---|
| 20 | 4 | 0.22 | 0.15 | 0.038 |
| 30 | 4 | 0.31 | 0.19 | 0.048 |
| 40 | 4 | 0.43 | 0.28 | 0.07 |
| 20 + 20 | 4 | 0.45 | 0.30 | 0.075 |
| 30 + 30 | 4 | 0.72 | 0.45 | 0.113 |
| 40 + 40 | 4 | 1.03 | 0.72 | 0.180 |
| 40 + 40 | 2 | 0.94 | 0.39 | 0.195 |
| 40 + 40 | 4 | 0.99 | 0.82 | 0.205 |
| 40 + 40 | 8 | 0.93 | 1.58 | 0.198 |
We also examined the effects of the PZT area on the performances of the assembled devices. The device thickness was fixed during these measurements, and only the areas of the two-layered PZTs (each layer was 40 μm thick) were varied. The effects of geometry were minimized by fixing the sample length at 2 cm while varying the PZT width. The output voltage and the current are shown in Figure 4e,f, respectively. It should be noted that the output voltages of the three devices were independent of the PZT area, although the output current increased linearly with the area. The output current densities of all devices were 0.2 μA cm–2. Therefore, it is quite evident that the piezoelectric voltage depends on the PZT thickness, whereas the piezoelectric current was affected by both the thickness and area of the PZT layer.
The effects of the fiber orientations in the PZT/PDMS composite layer and the bending direction on the piezoelectric performance were tested next. Figure 5a shows a schematic diagram of the various devices assembled using the oriented PZT textiles. The device nomenclature indicates the fiber orientation and bending motion. The randomly oriented PZT textile was collected by electrospinning onto a mesh-type collector. SEM images of the randomly oriented PZT nanofibers are shown in Figure 1c. The PZT fiber orientation on the mesh-type collector was not perfectly isotropic because the grids in the mesh-type collector were aligned in parallel. The S value of the nanofibers was 0.219. The physical properties, such as the average fiber diameter, length, and density, remained constant, and only the orientations of the PZT fibers were varied in this set of devices.
Figure 5.
(a) Schematic diagram showing a flexible PZT nanogenerator embedded in different PZT textiles. (b) Output voltage and (c) current measured from three different nanogenerators under identical measurement conditions.
Although the strain applied to the flexible nanogenerators was fixed (0.18%), significant differences in the piezoelectric voltages and current signals were obtained, as shown in Figure 5b,c. The piezoelectric voltage and the current of the perpendicular device were 0.22 V and 0.16 μA, respectively. The values were 24 and 23.5%, respectively, of the voltage and current values measured in the parallel devices. The large difference between the piezoelectric signals suggests that the actual strains on the PZT nanofibers in the composite layers differ and depend on the fiber orientation. The bending direction and fiber orientation were parallel in the parallel device. A large portion of the PZT nanofibers deformed longitudinally as the device was bent. On the other hand, the bending direction and fiber orientation in the perpendicular device were orthogonal. Therefore, few PZT nanofibers were stretched along the longitudinal direction. For this reason, the perpendicular device showed a much lower degree of piezoelectricity generation than the parallel device. The voltage and current generated in the random device were, respectively, 49 and 48% of the values measured in the parallel device. Although the fiber orientation factor (S) in the random device was much lower than the value measured in the perpendicular device, the electric output of the random device exceeded that obtained from the perpendicular device. The fiber orientations in the random device were isotropic. Therefore, the number of deformed PZT fibers in the random device oriented along the bending direction exceeded the value of the perpendicular device. The random device therefore provided a higher piezoelectric output than the perpendicular device.
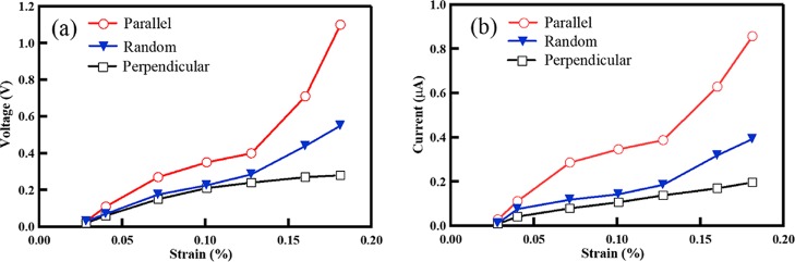
Next, the voltage and current generated from the nanogenerator were investigated as a function of the applied strain for different bending directions. The area of the PZT was 2 cm × 2 cm and the thickness of the PZT/PDMS composite layer was fixed to 80 μm (40 + 40 μm). The strain range was limited to 0.2% to prevent buckling in the flexible device. As shown in Figure 6a,b, the voltage and the output current in the devices were proportional to the applied strain. The output voltage and current followed the trends plotted in Figure 5b,c over the measured strain range, but the slopes of the output voltage and the current were different. Interestingly, the output voltage and the output current in the parallel device slowly increased as the strain increased from 0.02 to 0.13%, whereas the output voltage and the current increased rapidly as the strain increased from 0.13 to 0.18%. The different slope of the output voltage and current measured by the parallel device could be divided into two strain regions. At strains below 0.13%, the strain was insufficient to provide a significant piezoelectric signal, and only small lattice distortions were obtained in the PZT nanofibers. The PDMS in the composite layer endured the majority of the applied strain because of its flexibility at lower strains. Thus, the orientations in the PZT nanofibers were not critical to the piezoelectric output. The three different devices showed similar piezoelectric performance, as shown in Figure 5a,b. Strains beyond 0.13% led to a rapid increase in the output voltages and currents in the parallel device that exceeded the values measured in the other devices. A maximum voltage of 1.1 V and a current of 0.85 μA were obtained. The high output voltage and the current indicate that an applied strain of more than 0.13% resulted in a large deformation of the PZT nanofibers in the PZT/PDMS composite layer. The large increase in the piezoelectric signal was attributed to the heterogeneous polarization at the interface between the PZT nanofibers and the PDMS matrix. As the composite layer bent under the applied strain, the crystallized PZT grains in the composite layer narrowed under compressive strain to create large Maxwell–Wagner–Sillars polarization effects at the interface between the PZT nanofibers and the PDMS matrix.21,28,33 The trends in piezoelectric output voltage and current through applied strain were in good agreement with previously reported trends .7,21 Although the trends in piezoelectric signals measured from the random device were similar to those of the parallel device, the slope of the piezoelectric signal was lower than that of the corresponding signal measured in the parallel devices because of poor orientation of the PZT fiber, as explained before. For the perpendicular device, the piezoelectric output was small and increased linearly within the measured strain range. The PZT nanofibers were oriented normally to the bending axis so that the bending motions did not induce much strain on the PZT nanofibers. These small deformations were insufficient to produce stress-induced poling effects. The perpendicular devices, therefore, did not show abrupt increase in the output signal at strains above 0.13%.
Figure 6.
Strain dependence of (a) the output voltage and (b) the output current as a function of strain for three different nanogenerators.
The piezoelectric performance as a function of the strain rate was examined next. Strain rates in the range of 0.04–1.36 s–1 were applied by changing the speed of the bending machine. The total applied strain was fixed at 0.18%. The piezoelectric voltage and the current were proportional to the applied strain rate, as shown in Figure 7a,b. As the applied strain rate increased, the charges in the external circuit were transported faster to neutralize the piezoelectric voltage. This fast charge transport resulted in a large piezoelectric current. Because the output voltage is the product of the output current and external resistance, the voltage is proportional to the applied strain rate. These results are consistent with the fundamental equation describing piezoelectricity, as expressed by eq 3
| 3 |
where i is the output current, q is the generated charge, d33 is the piezoelectric charge constant, E is Young’s modulus, A is the cross-sectional area, ε is the applied strain, and t is the time.35Figure 7c,d shows the output current and integrated charge of the nanogenerator as a function of strain rate under the applied strain. As mentioned above, the current signal at a high strain rate exhibited sharper and narrower peaks compared to the one at a low strain rate. The maximum output currents of 0.86 and 0.29 μA were measured at strain rates of 1.36 and 0.11 s–1, respectively. Equation 3 indicates that the integral of the measured output current represents the external free charges transported from the external circuit to the nanogenerator (Figure 7d). It should be noted that the total charges generated under different strain rates remained constant. The negligible discrepancies between the total charges measured under a given applied strain could be attributed to the lack of the piezoelectric charge loss through the nanogenerator during the bending process.
Figure 7.
Strain rate dependence of (a) the output voltage and (b) the current of a flexible PZT nanogenerator. (c) Output current and (d) integrated charge of a flexible nanogenerator subject to two different strain rates under the same applied strain. Here, the device was assembled using a two-layer PZT nanogenerator (80 μm and 4 cm2), and measurements were collected under an applied strain of 0.18%.
Conclusions
We fabricated flexible piezoelectric nanogenerators using highly oriented PZT nanofibers in a PDMS matrix. The oriented PZT nanofibers were electrospun onto parallel metal wires. The performance parameters of the nanogenerator were investigated under bending motions. The output voltage increased with the PZT thickness, which means that it originated from the purely piezoelectric effect without any triboelectric effect, whereas the output current increased with the PZT thickness and area. An output voltage of 1.1 V and output current of 1.4 μA were obtained with a PZT thickness of 80 μm and an area of 8 cm2. The piezoelectric output performance was found to depend on the fibers’ orientation direction and the bending direction. The piezoelectric output of a device in which the bending direction and fiber orientation were parallel rapidly increased at large strains, and a mechanism was proposed to describe this behavior. We have shown that the output voltage and the current depend on the strain rate, but the total amount of generated charge was independent of the strain rate.
Methods
Preparation of the PZT Nanofiber Textiles
PZT nanofiber textiles were prepared using the electrospinning method.28,36 A solution containing 4.8 g of anhydrous ethanol, 2.0 g of acetylacetone, and 7.0 g of acetic acid was mixed and stirred for 5 min using a magnetic stirrer. Acetic acid was added to the solution as a chelating agent. Next, 1.25 g of tetrabutyltitanate, 1.862 g of zirconium acetylacetonate, and 2.06 g of lead subacetate were dissolved sequentially in the solution. Complete dissolution was achieved by stirring the resulting solution for 24 h at room temperature. Finally, 0.3 g of PVP (MW = 1 300 000, Aldrich) was added to the precursor solution to obtain a suitable viscosity for the spinning process.
The final PVP-containing PZT precursor solution was electrospun under an electric field of 10 kV with a feed rate of 15 μL min–1. The relative humidity and temperature were 40% and 25 °C, respectively. The distance between the needle tip and the collector was 10 cm. The electrospun PZT nanofibers were collected onto a parallel multipair stainless steel wire to obtain the aligned PZT textile, as shown in Figure 1a. The radius of the stainless steel wires was 0.1 mm, and the gap between the wires was 4 mm. The dielectrophoresis forces caused by the applied voltages pull the nanowires toward the electrodes. The direction of the force is dependent on the field gradient rather than the field direction. Electrostatic forces attract the nanowires toward the parallel electrode surface and repel each other to avoid trapping two or more nanowires between one electrode pair.37−39 The as-spun PZT textile was carefully peeled off from the wire collector, and the as-spun PZT textile was annealed in two steps: first, it was annealed at 150 °C for 30 min to remove residual stress from the textile.35,36 Next, the temperature was increased to 650 °C at a rate of 3 °C min–1 and further calcined in air for 3 h to remove the residual PVP polymer. During the calcination and cooling processes, PZT formed a polycrystalline phase. The composition ratio of PZT after calcination was determined as PbZr0.52Ti0.48.
Device Fabrication
A piece of the calcined PZT textile was placed on a cleaned ITO-PEN (Peccell Technology Inc., Japan) substrate. PDMS (Sylgard 184, Dow Corning Corp.) was then spread onto the PZT textile, and the assembly was placed in a vacuum desiccator for 30 min to allow the PDMS to infiltrate the fibers and remove air bubbles from micropores in the PZT/PDMS composite.33,34 A second ITO-PEN substrate was placed on top of the PZT/PDMS composite layer, and the assembly was cured in an oven at 80 °C for 2 h in air. During the curing process, the assembled devices were lightly pressed to squeeze out excess PDMS and reduce the thickness of the PZT/PDMS composite to the thickness of the PZT. Finally, a Cu wire was connected using a Ag epoxy paste at each end of the ITO-PEN electrodes and poled under an electric field of 7.5 kV/mm at 100 °C for 12 h in an oil bath.
Characterization
The morphologies and microstructures of the PZT nanofibers were analyzed by field-emission SEM (FE-SEM, Hitachi S-4100) and HR-TEM (Tecnai F20 G2). The crystal structures of the PZT nanofibers were investigated using an X-ray diffractometer (D8 ADVANCE). The output voltage and the output current were recorded using an analog signal recorder (e-Corder 401) and a current amplifier (Stanford Research SR-570). The flexible PZT nanogenerator was subjected to a constant strain by a motorized bending machine.
Acknowledgments
The authors gratefully acknowledge support from the Korea National Research Foundation [BK21PLUS SNU Materials Division for Education Creative Global Leaders], the Korea Research Institute of Chemical Technology (KRICT, Basic Project) (Y.S.), and the KIST Institutional Programs (grant no. 2E25371: D.Y.K.). The Institute of Engineering Research at Seoul National University also provided facilities for the X-ray measurements.
Supporting Information Available
The Supporting Information is available free of charge on the ACS Publications website at DOI: 10.1021/acsomega.8b03325.
The output power generated by the PDMS/PZT composite generator, the poling effects of the PZT on the piezoelectric output, and a polarity switching test result (PDF)
Author Contributions
§ H.L. and H.K. contributed equally.
The authors declare no competing financial interest.
Supplementary Material
References
- Chung S. Y.; Kim S.; Lee J.-H.; Kim K.; Kim S.-W.; Kang C.-Y.; Yoon S.-J.; Kim Y. S. All-solution-processed flexible thin film piezoelectric nanogenerator. Adv. Mater. 2012, 24, 6022. 10.1002/adma.201202708. [DOI] [PubMed] [Google Scholar]
- Khan A.; Ali Abbasi M.; Hussain M.; Hussain Ibupoto Z.; Wissting J.; Nur O.; Willander M. Piezoelectric nanogenerator based on zinc oxide nanorods grown on textile cotton fabric. Appl. Phys. Lett. 2012, 101, 193506. 10.1063/1.4766921. [DOI] [Google Scholar]
- Shin S.-H.; Kim Y.-H.; Lee M. H.; Jung J.-Y.; Seol J. H.; Nah J. Lithium-Doped Zinc Oxide Nanowires-Polymer Composite for High Performance Flexible Piezoelectric Nanogenerator. ACS Nano 2014, 8, 10844–10850. 10.1021/nn5046568. [DOI] [PubMed] [Google Scholar]
- Wang Z. L.; Song J. Piezoelectric Nanogenerators Based on Zinc Oxide Nanowire Arrays. Science 2006, 312, 242–246. 10.1126/science.1124005. [DOI] [PubMed] [Google Scholar]
- Fan F. R.; Tang W.; Wang Z. L. Flexible Nanogenerators for Energy Harvesting and Self-Powered Electronics. Adv. Mater. 2016, 28, 4283–4305. 10.1002/adma.201504299. [DOI] [PubMed] [Google Scholar]
- Chun J.; Lee K. Y.; Kang C.-Y.; Kim M. W.; Kim S.-W.; Baik J. M. Embossed Hollow Hemisphere-Based Piezoelectric Nanogenerator and Highly Responsive Pressure Sensor. Adv. Funct. Mater. 2013, 24, 2038–2043. 10.1002/adfm.201302962. [DOI] [Google Scholar]
- Chun J.; Kang N.-R.; Kim J.-Y.; Noh M.-S.; Kang C.-Y.; Choi D.; Kim S.-W.; Lin Wang Z.; Min Baik J. Highly anisotropic power generation in piezoelectric hemispheres composed stretchable composite film for self-powered motion sensor. Nano Energy 2015, 11, 1–10. 10.1016/j.nanoen.2014.10.010. [DOI] [Google Scholar]
- Qi Y.; Jafferis N. T.; Lyons K.; Lee C. M.; Ahmad H.; McAlpine M. C. Piezoelectric Ribbons Printed onto Rubber for Flexible Energy Conversion. Nano Lett. 2010, 10, 524–528. 10.1021/nl903377u. [DOI] [PubMed] [Google Scholar]
- Wu W.; Bai S.; Yuan M.; Qin Y.; Wang Z. L.; Jing T. Lead Zirconate Titanate Nanowire Textile Nanogenerator for Wearable Energy-Harvesting and Self-Powered Devices. ACS Nano 2012, 6, 6231–6235. 10.1021/nn3016585. [DOI] [PubMed] [Google Scholar]
- Chen X.; Xu S.; Yao N.; Shi Y. 1.6 V Nanogenerator for Mechanical Energy Harvesting Using PZT Nanofibers. Nano Lett. 2010, 10, 2133–2137. 10.1021/nl100812k. [DOI] [PubMed] [Google Scholar]
- Xu S.; Hansen B. J.; Wang Z. L. Piezoelectric-nanowire-enabled power source for driving wireless microelectronics. Nat. Commun. 2010, 1, 93–97. 10.1038/ncomms1098. [DOI] [PubMed] [Google Scholar]
- Park K. I.; Jeong C. K.; Ryu J.; Hwang G. T.; Lee K. J. Flexible and Large-Area Nanocomposite Generators Based on Lead Zirconate Titanate Particles and Carbon Nanotubes. Adv. Energy Mater. 2013, 3, 153–1544. 10.1002/aenm.201370050. [DOI] [Google Scholar]
- Park K.-I.; Xu S.; Liu Y.; Hwang G.-T.; Kang S.-J. L.; Wang Z. L.; Lee K. J. Piezoelectric BaTiO3 Thin Film Nanogenerator on Plastic Substrates. Nano Lett. 2010, 10, 4939–4943. 10.1021/nl102959k. [DOI] [PubMed] [Google Scholar]
- Shin S.-H.; Kim Y.-H.; Lee M. H.; Jung J.-Y.; Nah J. Hemispherically Aggregated BaTiO3 Nanoparticle Composite Thin Film for High-Performance Flexible Piezoelectric Nanogenerator. ACS Nano 2014, 8, 2766–2773. 10.1021/nn406481k. [DOI] [PubMed] [Google Scholar]
- Lin Z.-H.; Yang Y.; Wu J. M.; Liu Y.; Zhang F.; Wang Z. L. BaTiO3 Nanotubes-Based Flexible and Transparent Nanogenerators. J. Phys. Chem. Lett. 2012, 3, 3599–3604. 10.1021/jz301805f. [DOI] [PubMed] [Google Scholar]
- Park K.-I.; Lee M.; Liu Y.; Moon S.; Hwang G.-T.; Zhu G.; Kim J. E.; Kim S. O.; Kim D. K.; Wang Z. L.; Lee K. J. Flexible nanocomposite generator made of BaTiO3 nanoparticles and graphitic carbons. Adv. Mater. 2012, 24, 2999–3004. 10.1002/adma.201200105. [DOI] [PubMed] [Google Scholar]
- Jung J. H.; Chen C.-Y.; Yun B. K.; Lee N.; Zhou Y.; Jo W.; Chou L.-J.; Wang Z. L. Lead-free KNbO3 ferroelectric nanorod based flexible nanogenerators and capacitors. Nanotechnology 2012, 23, 375401. 10.1088/0957-4484/23/37/375401. [DOI] [PubMed] [Google Scholar]
- Jung J. H.; Lee M.; Hong J.-I.; Ding Y.; Chen C.-Y.; Chou L.-J.; Wang Z. L. Lead-Free NaNbO3 Nanowires for a High Output Piezoelectric Nanogenerator. ACS Nano 2011, 5, 10041–10046. 10.1021/nn2039033. [DOI] [PubMed] [Google Scholar]
- Huang C.-T.; Song J.; Lee W.-F.; Ding Y.; Gao Z.; Hao Y.; Chen L.-J.; Wang Z. L. GaN Nanowire Arrays for High-Output Nanogenerators. J. Am. Chem. Soc. 2010, 132, 4766–4771. 10.1021/ja909863a. [DOI] [PubMed] [Google Scholar]
- Zhou Y. S.; Wang K.; Han W.; Rai S. C.; Zhang Y.; Ding Y.; Pan C.; Zhang F.; Zhou W.; Wang Z. L. Vertically Aligned CdSe Nanowire Arrays for Energy Harvesting and Piezotronic Devices. ACS Nano 2012, 6, 6478–6482. 10.1021/nn3022074. [DOI] [PubMed] [Google Scholar]
- Lee K. Y.; Kim D.; Lee J.-H.; Kim T. Y.; Gupta M. K.; Kim S.-W. Unidirectional High-Power Generation via Stress-Induced Dipole Alignment from ZnSnO3 Nanocubes/Polymer Hybrid Piezoelectric Nanogenerator. Adv. Funct. Mater. 2013, 24, 37–43. 10.1002/adfm.201301379. [DOI] [Google Scholar]
- Wu J. M.; Xu C.; Zhang Y.; Yang Y.; Zhou Y.; Wang Z. L. Flexible and Transparent Nanogenerators Based on a Composite of Lead-Free ZnSnO3Triangular-Belts. Adv. Mater. 2012, 24, 6094–6099. 10.1002/adma.201202445. [DOI] [PubMed] [Google Scholar]
- Wu J. M.; Xu C.; Zhang Y.; Wang Z. L. Lead-Free Nanogenerator Made from Single ZnSnO3 Microbelt. ACS Nano 2012, 6, 4335–4340. 10.1021/nn300951d. [DOI] [PubMed] [Google Scholar]
- Chang C.; Tran V. H.; Wang J.; Fuh Y.-K.; Lin L. Direct-Write Piezoelectric Polymeric Nanogenerator with High Energy Conversion Efficiency. Nano Lett. 2010, 10, 726–731. 10.1021/nl9040719. [DOI] [PubMed] [Google Scholar]
- Mandal D.; Yoon S.; Kim K. J. Origin of Piezoelectricity in an Electrospun Poly(vinylidene fluoride-trifluoroethylene) Nanofiber Web-Based Nanogenerator and Nano-Pressure Sensor. Macromol. Rapid Commun. 2011, 32, 831–837. 10.1002/marc.201100040. [DOI] [PubMed] [Google Scholar]
- Sun C.; Shi J.; Bayerl D. J.; Wang X. PVDF microbelts for harvesting energy from respiration. Energy Environ. Sci. 2011, 4, 4508–4512. 10.1039/c1ee02241e. [DOI] [Google Scholar]
- Fang J.; Wang X.; Lin T. Electrical power generator from randomly oriented electrospun poly(vinylidene fluoride) nanofibre membranes. J. Mater. Chem. 2011, 21, 11088–11091. 10.1039/c1jm11445j. [DOI] [Google Scholar]
- Jeong C. K.; Park K.-I.; Ryu J.; Hwang G.-T.; Lee K. J. Large-Area and Flexible Lead-Free Nanocomposite Generator Using Alkaline Niobate Particles and Metal Nanorod Filler. Adv. Funct. Mater. 2014, 24, 2620–2629. 10.1002/adfm.201303484. [DOI] [Google Scholar]
- Fan F.-R.; Lin L.; Zhu G.; Wu W.; Zhang R.; Wang Z. L. Transparent Triboelectric Nanogenerators and Self-Powered Pressure Sensors Based on Micropatterned Plastic Films. Nano Lett. 2012, 12, 3109–3114. 10.1021/nl300988z. [DOI] [PubMed] [Google Scholar]
- Fan F.-R.; Tian Z.-Q.; Lin Wang Z. Flexible triboelectric generator. Nano Energy 2012, 1, 328–334. 10.1016/j.nanoen.2012.01.004. [DOI] [Google Scholar]
- Gu L.; Cui N.; Cheng L.; Xu Q.; Bai S.; Yuan M.; Wu W.; Liu J.; Zhao Y.; Ma F.; Qin Y.; Wang Z. L. Flexible Fiber Nanogenerator with 209 V Output Voltage Directly Powers a Light-Emitting Diode. Nano Lett. 2012, 13, 91–94. 10.1021/nl303539c. [DOI] [PubMed] [Google Scholar]
- Yan J.; Jeong Y. G. High Performance Flexible Piezoelectric Nanogenerators based on BaTiO3 Nanofibers in Different Alignment Modes. ACS Appl. Mater. Interfaces 2016, 8, 15700–15709. 10.1021/acsami.6b02177. [DOI] [PubMed] [Google Scholar]
- Dersch R.; Liu T.; Schaper A. K.; Greiner A.; Wendorff J. H. Electrospun nanofibers: Internal structure and intrinsic orientation. J. Polym. Sci., Part A: Polym. Chem. 2003, 41, 545–553. 10.1002/pola.10609. [DOI] [Google Scholar]
- Yang D.; Zhang L.; Liu H.; Dong Y.; Yu Y.; Tian M. Lead magnesium niobate-filled silicone dielectric elastomer with large actuated strain. J. Appl. Polym. Sci. 2012, 125, 2196–2201. 10.1002/app.36428. [DOI] [Google Scholar]
- Kim G. H.; Hong S. M.; Seo Y. Piezoelectric properties of poly(vinylidene fluoride) and carbon nanotube blends: β-phase development. Phys. Chem. Chem. Phys. 2009, 11, 10506–10512. 10.1039/b912801h. [DOI] [PubMed] [Google Scholar]
- Ahn Y.; Lim J. Y.; Hong S. M.; Lee J.; Ha J.; Choi H. J.; Seo Y. Enhanced Piezoelectric Properties of Electrospun Poly(vinylidene fluoride)/Multiwalled Carbon Nanotube Composites Due to High β-Phase Formation in Poly(vinylidene fluoride). J. Phys. Chem. C 2013, 117, 11791–11799. 10.1021/jp4011026. [DOI] [Google Scholar]
- Wang X.; Chen K.; Liu L.; Xiang N.; Ni Z. Dielectrophoresis-based multi-step nanowire assembly on a flexible superstrate. Nanotechnology 2018, 29, 025301. 10.1088/1361-6528/aa9a22. [DOI] [PubMed] [Google Scholar]
- Liu Y.; Chung J.-H.; Liu W. K.; Ruoff R. S. Dielectrophoretic Assembly of Nanowires. J. Phys. Chem. B 2006, 110, 14098–14106. 10.1021/jp061367e. [DOI] [PubMed] [Google Scholar]
- Xu S.; Qin Y.; Xu C.; Wei Y.; Yang R.; Wang Z. L. Self-powered nanowire devices. Nat. Nanotechnol. 2010, 5, 366–373. 10.1038/nnano.2010.46. [DOI] [PubMed] [Google Scholar]
Associated Data
This section collects any data citations, data availability statements, or supplementary materials included in this article.




