Abstract
Climate change is causing the warming and deoxygenation of coastal habitats like Chesapeake Bay that serve as important nursery habitats for many marine fish species. As conditions continue to change, it is important to understand how these changes impact individual species’ behavioral and metabolic performance. The sandbar shark (Carcharhinus plumbeus) is an obligate ram-ventilating apex predator whose juveniles use Chesapeake Bay as a nursery ground up to 10 years of age. The objective of this study was to measure juvenile sandbar shark metabolic and behavioral performance as a proxy for overall performance (i.e. fitness or success) when exposed to warm and hypoxic water. Juvenile sandbar sharks (79.5–113.5 cm total length) were collected from an estuary along the eastern shore of Virginia and returned to lab where they were fitted with an accelerometer, placed in a respirometer and exposed to varying temperatures and oxygen levels. Juvenile sandbar shark overall performance declined substantially at 32°C or when dissolved oxygen concentration was reduced below 3.5 mg l−1 (51% oxygen saturation between 24–32°C). As the extent of warm hypoxic water increases in Chesapeake Bay, we expect that the available sandbar shark nursery habitat will be reduced, which may negatively impact the population of sandbar sharks in the western Atlantic as well as the overall health of the ecosystem within Chesapeake Bay.
Keywords: Accelerometer, aerobic scope, critical oxygen concentration, climate change, respirometry
Introduction
Climate change is warming coastal areas and estuaries worldwide. An increase in anthropogenic nutrient input is likewise increasing the severity and extent of hypoxic episodes in many of these areas (Hagy et al., 2004; Preston, 2004; Kemp et al., 2005; Conley et al., 2007; Rabalais et al., 2009; Najjar et al., 2010; Irby et al., 2016). These conditions are expected to worsen over the next 100 years as climate change impacts are exacerbated (Rabalais et al., 2009; Najjar et al., 2010; Irby et al., 2018).
Changing environmental conditions in coastal areas and estuaries are likely to impact marine fish species that rely on these habitats as primary nursery grounds (Rijnsdorp et al., 2009). For example, while in their nursery habitat, juvenile weakfish (Cynoscion regalis) avoided waters in a tributary of Indian River Bay, DE, USA with dissolved oxygen below 2 mg l−1 (Tyler and Targett, 2007). The prevalence of juvenile bull sharks (Carcharhinus leucas) has actually increased in their nursery ground habitat within Pamlico Sound, NC, USA over the last decade as a result of increased water temperatures (Bangley et al., 2018). Shifts in species distribution, similar to the examples above, can lead to changes in the timing of migration of juveniles and adults (Nye et al., 2009; Turner et al., 2015), reproductive patterns of adults (Last et al., 2011) and abundance of all life stages (Last et al., 2011; Lynch et al., 2014); all of which can influence population level success and the overall health of ecosystems (Morley et al., 2018).
To understand these potential changes in fish ecology, it is important to assess the relationship between environmental conditions and the performance of individual fish. Performance is often assessed through measurement of aerobic scope [AS, i.e. the difference between maximum and standard metabolic rates (SMRs); Claireaux and Lefrançois, 2007; Di Santo, 2016], which quantifies an individual’s metabolic power (i.e. energy use per unit time) under which all of life’s processes beyond basic maintenance (e.g. growth, reproduction, digestion and movement) must occur (Clark et al., 2013). Consistent with the theory of oxygen- and capacity-limited thermal tolerance (OCLTT), AS is a measure of fitness and performance in ectotherms. According to OCLTT, AS follows a bell-shaped curve with temperature such that there is a temperature where AS is optimized (Fry, 1971; Clark et al., 2013). Therefore, it is expected that long-term warming will reduce AS and decrease the ability for many individuals to carry out multiple life processes simultaneously unless individuals adjust their range and distribution (Pörtner and Knust, 2007). However, the theory of OCLTT does not hold true for all species, as some demonstrate an increase in AS with temperature until temperature approaches lethal levels (Clark et al., 2013; McKenzie et al., 2016). This suggests that, for some species, the temperature at which AS is optimized is not equivalent to the temperature at which performance is maximized (Lefevre, 2016).
Increases in the extent and severity of hypoxic episodes in coastal areas are affecting the physiology and thus ecology of coastal species (Diaz and Rosenberg, 1995; Wannamaker and Rice, 2000; Tyler and Targett, 2007; Ludsin et al., 2009; Zhang et al., 2009). Hypoxia tolerance is often quantified by measurement of critical oxygen levels or oxygen level at which individuals can no longer maintain SMR. The critical oxygen saturation (Scrit) should increase with temperature due to increases in SMR and decreases in oxygen solubility in water. Individuals cannot occupy waters long term with an oxygen level below Scrit because, under these conditions, at least some of the power needed to maintain homeostasis must be met through anaerobic metabolism (Fry and Hart, 1948; Schurmann and Steffensen, 1997; Brill et al., 2015). Similar to Scrit, the quantities Ccrit and Pcrit are the concentration and partial pressure of oxygen, respectively, at which a fish can no longer maintain SMR. All of these measures of critical oxygen, as well as AS, can be determined through intermittent-flow respirometry (Clark et al., 2011; Lapointe et al., 2014).
Measuring metabolic performance (i.e. AS) of an obligate ram ventilator, like a tuna or some shark species, is difficult because of the necessity of individuals to swim constantly and, therefore, a need to measure activity simultaneously. This requires either a swim tunnel respirometer where swimming speed can be controlled or a respirometer large enough for fish to swim independently coupled with a method to quantify activity. Since many species exhibit difficulty swimming in a swim tunnel, a large circular tank can be used as the respirometer such that fish are able to swim freely (Lear et al., 2017). Because the swimming behavior and activity of fish cannot be controlled in the large circular respirometer accelerometers have been used to measure activity during experimentation (Lear et al., 2017). Activity measurements (i.e. behavioral performance), obtained through accelerometers (Whitney et al., 2007; Whitney et al., 2016), can be used as a performance metric to quantify mechanical work, be used to describe behavior (Gleiss et al., 2011; Payne et al., 2018) and be used as an indicator to understand locomotor performance under different environmental regimes (Payne et al., 2016; Payne et al., 2018). Activity is correlated with metabolic performance, which suggests that accelerometers can be used to infer field metabolic rate when applied to free-ranging individuals (Bouyoucos et al., 2017; Lear et al., 2017). However, the relationship between accelerometer-derived activity metrics and metabolic rate has not been assessed under high levels of environmental stress.
The sandbar shark (Carcharhinus plumbeus) is an obligate ram-ventilating species that relies on coastal habitats as nursery grounds during younger life stages. In late spring, pupping occurs in Chesapeake Bay and coastal estuaries along the mid-Atlantic, where young-of-year remain through summer (Conrath and Musick, 2007; Grubbs and Musick, 2007). After moving south or offshore during winter, juveniles return to these nursery areas to forage and avoid larger predators during summer for the following 4–10 years (Grubbs and Musick, 2007). As a result of climate change and anthropogenic nutrient input, Chesapeake Bay is becoming warmer and more hypoxic (Hagy et al., 2004; Preston, 2004; Kemp et al., 2005; Najjar et al., 2010). Temperature and oxygen limitations are not well understood for juvenile sandbar sharks. Therefore, the objective of this study was to measure juvenile sandbar shark metabolic and behavioral performance as a proxy of overall performance (i.e. fitness or success) when exposed to warm and hypoxic water.
Materials and methods
Shark collection and maintenance
A total of 13 juvenile sandbar sharks [79.5–113.5 cm total length (TL); 2.6–7.8 kg] were collected along the eastern shore of Virginia and brought back to the Virginia Institute of Marine Science Eastern Shore Lab, Wachapreague, VA, USA during the summers of 2016 and 2017 (Table 1). Individuals were held in a fiberglass tank (6.1 m diameter, 45 000 L) with a flow-through seawater system and acclimated to captivity for at least 2 weeks prior to experimentation. Sharks were fed frozen menhaden (Brevoortia tyrannus) until satiation every 3–5 days. All protocols for shark sampling, handling and experimentation were approved by the College of William and Mary Institutional Animal Care and Use Committee (protocol no. IACUC-2017-05-26-12 133-kcweng).
Table 1.
Size and treatment summary of the juvenile sandbar sharks in the study
| Animal ID | Year tested | Animal mass (kg) | TL (cm) | Treatments (°C) | Accelerometer |
|---|---|---|---|---|---|
| SB02 | 2016 | 7.30 | 109 | 24, 28, 32 | No |
| SB03 | 2016 | 2.66 | 80 | 24, 28, 32 | No |
| SB04 | 2016 | 5.09 | 99 | 24, 28, 32 | No |
| SB05 | 2016 | 5.46 | 98 | 24, 28, 32 | No |
| SB12 | 2016 | 5.69 | 103.5 | 24, 28, 32 | No |
| SB28 | 2017 | 7.76 | 113.5 | 24, 28, 32 | Yes |
| SB29 | 2017 | 3.31 | 91 | 24, 28, 32 | Yes |
| SB30 | 2017 | 4.22 | 94 | 24, 28, 32 | Yes |
| SB31 | 2017 | 3.98 | 91 | 24, 28, 32 | Yes |
| SB32 | 2017 | 2.56 | 81 | 24, 28 | Yes |
| SB33 | 2017 | 6.81 | 109 | 24, 28, 32 | Yes |
| SB34 | 2017 | 6.84 | 107 | 24, 28, 32 | Yes |
| SB37 | 2017 | 2.60 | 79.5 | 32 | Yes |
Experimental design
Maximum metabolic rate (MMR), minimum routine metabolic rate (mRMR; a proxy for SMR because sandbar sharks are obligate ram ventilators), AS and Scrit were measured in 12 sharks at 24°C, 28°C and 32°C using intermittent-flow respirometry to understand the effects of warming and hypoxia on sandbar shark physiology (Lapointe et al., 2014; Brill et al., 2015). Eleven sharks were tested at all three treatments (24, 28, and 32°C), while data collected at 24°C and 28°C from one shark was combined with data collected at 32°C from a different shark to represent one set of temperature treatments due to a mortality suffered in the holding tank between experiments. Sharks were acclimated to treatment temperatures in their holding tank through natural increases in water temperature throughout the summer (range: 18.0–33.8°C) because we were unable to control temperature in our holding tank. However, by using this approach, we were able to maximize ecological relevance. When experimental temperatures exceeded holding tank temperatures, individuals were transferred to a separate tank at the experimental temperature for at least 24–48 h prior to being introduced into the respirometer. The respirometry system consisted of two fiberglass tanks (2.4 m diameter, 1500 L volume) such that the first served as the respirometer and the second was a water reservoir used to flush the respirometer. To reduce the volume of the respirometer and ensure each experimental shark would swim in a circle, a negatively buoyant, smaller tank was placed in the center of the respirometer to create a circular track. A clear plastic sheet was placed over the respirometer and cinched to the side of the tank to prevent air–water gas exchange. Temperature was controlled by a large chiller unit with the addition of a heater kit (Teco TK 6000 Aquarium Chiller, Aquatic Solutions), while oxygen levels were controlled by bubbling air (normoxia) or nitrogen gas (hypoxia) into the water. The two tanks were connected through a drain on the bottom and PVC tubing over the top (Fig. 1A and B). Oxygen levels in the respirometer and reservoir were monitored every second using a temperature compensated, two-channel FireSting oxygen meter (Pyroscience) equipped with fiber optic oxygen probes that were fixed along the side of the respirometer and reservoir. Output from the oxygen probe in the respirometer was recorded in the FireStingO2 software and relayed to a program designed in Dasylab 9.02 (National Instruments) specifically for repeatedly recording metabolic rate measurements in intermittent-flow respirometry (Lapointe et al., 2014; Brill et al., 2015). The program also controlled the flow of nitrogen through a solenoid valve to maintain precise oxygen levels using output from the oxygen probe in the reservoir.
Figure 2.

An example of a full trial from SB33 tested at 28°C. Each point corresponds to a calculated metabolic rate (MO2) along with the associated oxygen saturation (O2%), TBF, TBAA and ODBA values. The grey shaded area represents night hours created from sunrise/sunset time. The red shaded area represents the hypoxia period (O2% < 80%). Scrit for this individual at 28°C was 58% oxygen saturation.
Figure 1.

(A) The sandbar shark respirometer system with the respirometer in the foreground and the reservoir in the background. A PVC pipe connects the flush pump to the diffuser in the bottom of the respirometer. (B) An overhead view of the respirometer with a shark present. The PVC octagon is the diffuser that ensures mixing during the flush cycle. (C) A shark in the respirometer with an accelerometer fitted to its dorsal fin.
During a trial, the respirometry system cycled between the flushing and measurement period. During the flushing period (ranged from 30–45 min), oxygen and temperature-controlled water was pumped up and out of the reservoir, into the respirometer, and through a diffuser at the bottom of the respirometer (Fig. 1B) to ensure thorough mixing. Water flowed back into the reservoir through the bottom drain between the two tanks, allowing a continuous exchange of water between the two tanks during the flushing period. During the 15-min measurement period, the flush pump was turned off, and the shark’s oxygen consumption reduced the oxygen in the respirometer. We assumed the shark’s swimming motion adequately mixed the water in the respirometer during trials. The measurement period consisted of a 3-min equilibration interval (to ensure oxygen mixing in the respirometer) followed by 12 min of data recording to measure the rate of oxygen decline. The slope of a linear regression model fitted to the oxygen measurements was used to calculate metabolic rate using the equation
![]() |
where MO2 = metabolic rate (mg O2 kg−1h−1),
= rate of change of oxygen content (estimated slope of linear regression) over the 12-min recording period (s−1), V = respirometer volume (l) corrected for the volume of the shark and W = weight of the shark (kg). Metabolic rate measurements where the regression R2 value was below 0.8 were eliminated and assumed to be compromised due to either poorly mixed water in the respirometer or contact between the shark and oxygen probe (which did occur occasionally).
To account for microbial respiration, oxygen consumption measurements were made in the absence of an experimental shark for at least 3 h prior to, and after, each trial. Based on those oxygen consumptions, a linear regression was used to estimate the rate of oxygen decline due to microbial respiration during the trial. The estimated oxygen consumptions were then subtracted from the measured rates of oxygen decline when the shark was present (Brill et al., 2015; Svendsen et al., 2016).
Behavior and activity metrics
The behavior and activity of eight individuals (sharks from 2017) were measured while in the respirometer to understand how activity was affected by temperature and hypoxia. To quantify activity, individuals were fitted with the X16-4 mini accelerometer (Gulf Coast Data Concepts) attached to the first dorsal fin, which recorded triaxial acceleration at 25 Hz. The accelerometer weighed 27 g, which represented 0.35–1.1% of the body mass of the experimental sharks. Accelerometers were removed at the completion of each trial. We received a full acceleration data set for each 2017 trial except for three trials at 24°C where data were unreliable.
The static component (effect of gravity) in the x-, y- and z-axes were extracted from the raw acceleration values using a 3-s smoothing window, a time frame often used for the size of sharks in this study and a tailbeat cycle of approximately 1 Hz (Shepard et al., 2008; Whitney et al., 2016). The dynamic components in the x-, y- and z-axes were determined by subtracting the static component from the raw acceleration values. A wavelet analysis was then used to extract multiple activity metrics (Whitney et al., 2016; Bouyoucos et al., 2017): tailbeat frequency (TBF, number of tailbeats per second extracted from the dynamic component of the z-axis), tailbeat acceleration amplitude (TBAA, measure of amplitude of the acceleration wave also taken from the dynamic component of the z-axis) and overall dynamic body acceleration (ODBA, overall activity defined as sum of the dynamic components of all three axes). TBF, TBAA and ODBA were then averaged for each corresponding measurement period.
MMR and mRMR
Before the start of each trial, an individual was transferred out of the holding tank, fitted with an accelerometer (for some individuals, described above), placed in the respirometer and allowed 30 min to acclimate. Each experimental shark was exercised using our chase protocol, which consisted of 10 min of prodding to induce the animal to reach MMR (Lapointe et al., 2014; Killen et al., 2017). This time period was selected because after chasing the first shark of the experiments for 10 min, it stopped swimming. During another trial a shark stopped swimming after being chased for 6.5 min. Further, Marshall et al. (2015) found that in waters cooler than our experimental treatments (15–21°C) post-release mortality of sandbar sharks was 29%. Based on these accounts, to avoid mortalities (for a species that is considered to be overfished; SEDAR, 2017) and for ethical reasons, we erred on the side of caution and deemed 10 min to be a sufficient chase time. It is important to note this may have led to a slight underestimation of MMR of some individuals. Immediately following, the respirometer was sealed, and the first metabolic rate measurement was initiated. Metabolic rate measurements were then made for approximately 20 h to determine MMR and to allow individuals to recover (indicated by the metabolic rate leveling out) and reach mRMR.
Critical oxygen saturation
Once mRMR had been established following the procedures described above, the hypoxia part of the trial was initiated, where metabolic rate measurements were taken as oxygen content was decreased in a stepwise fashion until the shark was no longer able to maintain its mRMR. Scrit was determined as the oxygen level at which the metabolic rate declined. After measuring at least three metabolic rates below Scrit, the trial was terminated, and the oxygen was brought back to 90% saturation before the shark was transferred back into the holding tank. Figure 2 displays an example of a full trial.
Figure 5.

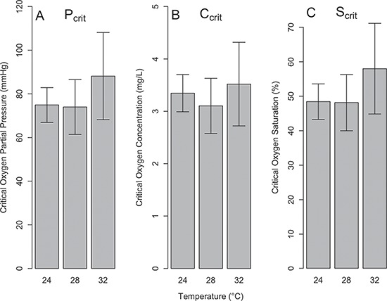
(A) Critical oxygen partial pressure (Pcrit), (B) critical oxygen concentration (Ccrit) and (C) critical oxygen saturation (Scrit) of sandbar sharks at 24°C, 28°C and 32°C. Pcrit data are model estimates of the mean ± 95% CI. Ccrit and Scrit were calculated from Pcrit model estimates. The lack of a letter indicates no significance.
Data analysis
MMR was calculated by taking the mean of 10% of the highest metabolic rate measurements (3–4 measurements) during the entire normoxia period. This method was selected instead of using the common approach of taking the highest metabolic rate measurement because we wanted to ensure that MMR was not represented by an outlier measurement that may not have been the result of our chase protocol. In addition, unlike many non-obligate ram ventilators, we noticed that peak metabolic rate measurements often did not occur until further into the trial. This could be due to serological changes induced through the chase protocol that limit oxygen delivery mechanisms as further discussed below (Discussion). We calculated mRMR from the mean of 10% of the lowest metabolic rate measurements during the normoxic period to account for the varying number of measurements among individuals during that period of the trial (Norin et al., 2014). AS was calculated by computing the difference between MMR and mRMR. To determine Scrit, we found the first value where the shark’s metabolic rate dropped below mRMR and where the remaining metabolic rates were also below mRMR. Those metabolic rates were isolated, and a linear regression was applied to those values and the oxygen content associated with each value (ranged from 2 to 11 values). The oxygen content where the regression line and mRMR intersected was defined as Ccrit (Schurmann and Steffensen, 1997). Scrit was calculated by dividing Ccrit by the oxygen concentration at 100% saturation at the tested temperature. Lastly, Ccrit was converted into critical oxygen partial pressure (Pcrit) by calculating the partial pressure of oxygen at 1 atmosphere for the start day of the trial in Wachapreague, VA, USA and multiplying by Scrit.
Figure 3.

Measured MMR (top line in each plot) and mRMR (bottom line in each plot) for each shark tested in this study. The metabolic rate was measured at 24°C, 28°C and 32°C for each shark except for SB32 that was only measured at 24°C and 28°C (line connected those two data points). SB37 replaced SB32 at 32°C (single points).
A multivariate repeated-measures mixed effects model was developed in SAS 9.4 (SAS Institute) using the MIXED procedure to understand the effect of temperature on MMR, SMR, AS and Pcrit (Lapointe et al., 2014). The responses were MMR, SMR, AS and Pcrit for each trial, the covariate was temperature and the random effect was individual fish. To maintain the assumption of normality, the four responses were multiplied by a constant so they would be on the same scale as MMR prior to being put in the model. We modeled the heterogeneity in responses among temperature treatments and specified the Kenward–Roger method for calculating the degrees of freedom (Kenward and Roger, 1997). Compound Symmetry, AR1 and Toeplitz correlation structures were fitted to the data, and the Bayesian Information Criterion (BIC) was used to identify the model with the most supported correlation structure (Littell et al., 2006). Our model chosen for inference included a correlation structure of AR1. Lastly, a priori contrast statements of least-square means were generated using the LSMestimate statement in SAS to assess the effects of temperature on the four response variables. At the completion of the analysis, all model estimates were converted back to scale. All statistics were evaluated at significance levels of α = 0.05.
To determine how temperature, hypoxia and shark activity together impacted metabolic rate, linear mixed effects models were fitted to data from sharks equipped with accelerometers. Separate models were applied to data obtained from the normoxic and hypoxic parts of the trials, with the former corresponding to the part of the trial when the oxygen saturation was 80% or higher and the latter when the oxygen saturation was below 80%. Potential covariates for the normoxic model included temperature, TBF, TBAA, ODBA, shark TL and the time since the start of trial. The full model was used to assess the need to model heterogeneity and correlation structure. Based on BIC, modeling the heterogeneity in responses among temperature treatments and using a correlation structure of AR1 were supported. A series of models was then developed using different combinations of the covariates mentioned above, and the model chosen for inference was selected using BIC. Potential covariates for the hypoxic model included temperature, oxygen content, TBF, TBAA, ODBA, TL as well as a calculated binary variable denoted as the crash metric. Since it was assumed that metabolic rate will differ before and after Ccrit is reached, the crash metric consisted of a 1 for metabolic rate values during the hypoxic part of the trial that occurred prior to the shark reaching Ccrit and a 0 for the metabolic rates that occurred after Ccrit was reached. Similar to the normoxic model, the decision to model heterogeneity in responses among temperatures with an AR1 correlation structure was based on the full hypoxic model and ultimately supported through BIC. Multiple models were developed with various covariate combinations, and BIC was used for model selection. Predicted metabolic rates for the selected normoxic and hypoxic models were generated using estimated marginal means (Searle et al., 1980). Estimates of uncertainty were generated from 1000 bootstrapped samples (Efron and Tibshirani, 1993). Predicted Pcrit and associated uncertainty was converted back to Ccrit and Scrit. All linear mixed effects models were fitted using the nlme package in R v.3.4.3 (Pinheiro et al., 2013).
Results
MMR, mRMR, AS and critical oxygen partial pressure
The multivariate repeated measures mixed effects model was successfully fitted, and evaluation of diagnostics (e.g. plots of residuals for each response variable) showed reasonable goodness-of-fit. Although there was high variability in measured MMR, mRMR and AS among individuals (Fig. 3), model results indicated that differences were evident for these three metrics among temperatures. Statistically significant differences were detected over the three experimental temperatures, primarily between 24°C and 28°C and between 24°C and 32°C (Fig. 4, Table 2). Specifically, MMR increased by 21% and 42% from 24°C to 28°C and 32°C, respectively (Fig. 4A; Table 2), while mRMR increased by 18% from 24°C to 28°C and 45% from 24°C to 32°C (Fig. 4B; Table 2). Similar to MMR, AS increased considerably from 24°C to 28°C (26%) and 24°C to 32°C (39%; Fig. 4C; Table 2). In contrast to the other metrics analyzed, mean Pcrit only increased by 18% and 19% when comparing 24°C and 28°C to 32°C, respectively, and no significant differences were detected (Fig. 5A; Table 2). Plots of the raw data for MMR, mRMR, AS, Scrit and Ccrit, are presented in the Supplementary Data.
Figure 7.

Metabolic rate in relation to ODBA and oxygen concentration during hypoxia (<80% oxygen saturation). Symbols represent observed data, where ∇ are before Ccrit was reached and Ο are after Ccrit was reached. The colors on the symbols represent the observed metabolic rate. The surface behind the symbols represents the predicted metabolic rate estimated from the model.
Figure 4.

(A) MMR, (B) mRMR and (C) AS at 24°C, 28°C and 32°C of sandbar sharks when in normoxic waters. Data are model estimates of the mean ± 95% confidence interval (CI). Different lower case letters indicate a significant difference between two temperatures, whereas the lack of a letter indicates no significance.
Table 2.
T statistics from the a priori contrast statements of least-square means generated from the multivariate repeated measures mixed effects model to assess the impact of temperature (24°C, 28°C and 32°C) on MMR, mRMR, AS and Pcrit
| Metric | 24°C × 28°C | 24°C × 32°C | 28°C × 32°C |
|---|---|---|---|
| MMR | t (57.34) = −2.33* | t (47.03) = −3.12* | t (56.82) = −1.43 |
| mRMR | t (57.34) = −1.90 | t (47.03) = −3.25* | t (56.11) = −1.81 |
| AS | t (57.34) = −2.81* | t (47.03) = −2.90* | t (56.11) = −0.93 |
| Pcrit | t (56.82) = 0.14 | t (46.93) = −1.29 | t (59.02) = −1.25 |
The degrees of freedom are in parentheses. The (*) signifies a significant difference between the two temperatures.
Normoxia
The normoxic model with the most empirical support included ODBA, TBAA, time since chase and an interaction between TBF and temperature. We concluded that each of these covariates was important in explaining variation in the metabolic rate data (see ∆BIC table in Supplementary Table 1). Predicted metabolic rate increased by 47 ± 6 mg O2 kg−1h−1 for every 0.1 unit increase in ODBA (Fig. 6A), whereas metabolic rate only increased by 5 mg O2 kg−1h−1 for every unit increase in TBAA (Fig. 6B). For every hour increase since the animal was chased, the metabolic rate dropped approximately 3 mg O2 kg−1h−1. The estimated effect in metabolic rate over TBF differed among the levels of temperature considered. That is, for every unit increase in TBF, metabolic rate increased 63 and 142 mg O2 kg−1h−1 for 24°C and 28°C, respectively. However, at 32°C, metabolic rate actually decreased by 20 mg O2 kg−1h−1 for every unit increase in TBF (Fig. 6C). Lastly, it is important to note that during three trials at 32°C during normoxia, we documented periods of time when sharks intermittently stopped swimming, ranging from a few seconds to over an hour.
Figure 6.

Metabolic rate values by ODBA (A), TBAA (B) and TBF (C) when sandbar sharks are exposed to normoxic waters. The colored circles represent the observed metabolic rate values for a given temperature. The line and associated shaded region represent the estimated metabolic rate values and the 95% CI, respectively. An interaction did not occur between temperature and ODBA (A) or TBAA (B); therefore, temperature was combined when estimating metabolic rate for those metrics. However, because there was a significant interaction between temperature and TBF, there are separate estimated metabolic rates for each temperature that are represented by different colored lines and shaded regions in C.
Hypoxia
The model that provided the most parsimonious description of sandbar shark metabolic rate under hypoxic conditions included TBF, temperature and an interaction between ODBA and oxygen content (see ∆BIC table in Supplementary Table 2). Predicted metabolic rate increased by 55 ± 20 mg O2 kg−1h−1 for every unit increase in TBF. In hypoxic water, metabolic rate differed among temperatures such that as temperature increased from 24°C to 28°C to 32°C, metabolic rate increased from 149 ± 9 to 183 ± 6 to 217 ± 13 mg O2 kg−1h−1, respectively. Lastly, as ODBA and oxygen content increased, particularly at higher oxygen concentrations (>3.5 mg l−1), predicted metabolic rate also increased. However, as oxygen decreased, particularly at lower oxygen concentrations (<3.5 mg l−1) and ODBA increased, predicted metabolic rate decreased (Fig. 7). Often during hypoxic conditions (<80% oxygen saturation), sharks displayed a banking behavior where they would swim along the edge of the respirometer with its ventral side facing the side. We also observed during hypoxia, two trials at 24°C, three trials at 28°C and four trials at 32°C periods of time when sharks either stopped swimming completely (in this case the trial was terminated) or intermittently stopped swimming.
Discussion
To the best of our knowledge, this is the first study to measure AS and Pcrit in an obligate ram-ventilating elasmobranch. In addition, the size of our respirometer allowed us to measure the metabolic rate and activity of juvenile sandbar sharks across a wide range of sizes (79.5–113.5 cm TL). We were also able to use the various activity measurements to better understand environmental thresholds of sandbar sharks. Our findings lead us to suggest that caution should be exercised when using activity to estimate field metabolic rate because, as demonstrated in this study, the correlative relationship between activity and metabolic rate breaks down at high temperatures and low oxygen levels.
MMR, mRMR, AS and normoxia
Referenced model response variables (e.g. mRMR, AS, metabolic rate, etc.) below represent model predictions, while raw values are indicated as such. As expected, mRMR values in the present study were higher than the SMR measurements reported by Dowd et al. (2006) for immobile individuals (91 ± 4 mg O2 kg−1h−1 at 24°C; 125 ± 7 mg O2 kg−1h−1 at 28°C). When compared to other obligate ram ventilators, such as the tuna species (Korsmeyer and Dewar, 2001), sandbar shark AS was substantially lower. Contributing to this trend may be the significantly smaller gill surface area observed in sandbar sharks compared to other obligate ram-ventilating teleosts and elasmobranchs (Emery and Szczepanski, 1986). In addition, with a diet consisting of mostly benthic crustaceans and fishes (Ellis and Musick, 2007), juvenile sandbar sharks may not require a high AS.
The variation in raw AS among individual juvenile sandbar sharks over the experimental temperature regime suggests that the potential underlying mechanisms describing AS may differ from individual to individual. For example, some individuals displayed a bell-shaped curve in AS over temperature (e.g. SB28, SB31 and SB34), some showed an increase in AS with temperature (e.g. SB03, SB12 and SB33) and others displayed very little difference in AS over temperature (e.g. SB02, SB04 and SB29) (Fig. 3). Due to this high variability, particularly at 32°C, it is difficult to broadly determine if our data support the OCLTT theory (i.e. maximum AS occurs at the optimal temperature) or if sandbar shark AS increases until lethal temperature limits. In individuals that displayed a bell-shaped curve, maximum AS and thus optimal performance occurred at 28°C (24°C < ToptAS < 32°C). Whereas for those individuals that maximized AS at 32°C, we assume AS would decline above 32°C followed by mortality shortly thereafter. This would suggest that performance or fitness is not optimized at maximum AS for those individual sharks. Clark et al. (2013) suggested that some species display multiple performances–multiple optima, where there are separate optimal temperatures for different physiological processes (e.g. growth, reproduction and digestion). However, it is difficult to determine if our results support this theory because the optimal temperatures for those processes are unknown for sandbar sharks. The variability in the data may be the result of differences in activity, physical fitness, adaptation and physiological processes among individuals. Variation in AS may have also resulted from a potential slight underestimation of MMR in some individuals in an effort to avoid mortalities during or following the chase protocol. Further, because temperature could not be controlled in the holding tank and all individuals were tested in the same order of increasing temperature treatments, the relationships of the measured metrics could potentially be affected. For example, sharks may be more acclimated to the chase protocol or the respirometer for subsequent experiments, which could impact MMR and mRMR (Clark et al., 2013). Lastly, variation in acclimation time for individuals in particular when exposed to 32°C could have affected metabolic rate metrics. Although we were unable to control these aforementioned conditions, it is possible that they contributed to the individual variation in these metrics observed here.
Clearer trends were evident when both metabolic rate and activity were considered. Under normoxic conditions, the expected correlation between metabolic rate and activity (Bouyoucos et al., 2017; Lear et al., 2017) broke down at 32°C, where the metabolic rate of sandbar sharks actually slightly declined as activity increased (Fig. 6). At high temperatures, sandbar sharks have to delicately balance the increase in oxygen received from increasing their TBF to improve ram ventilation against the energy expenditure needed for locomotion. This is evident when some sharks actually intermittently stopped swimming for periods of time under normoxic conditions at 32°C. A decline in shark performance at 32°C may be due to the physiological stress incurred from exercise, acute stress, increased demand for oxygen and/or decreased oxygen in the water. These stressors are known to cause acidosis and hyperkalemia in fishes (Cliff and Thurman, 1984; Brill et al., 2008; Skomal and Mandelman, 2012). It is well known that acidosis and hyperkalemia impact muscle performance, impairing cardiovascular function and potentially reducing stroke volume at a time when a shark may actually need to increase stroke volume to increase oxygen delivery (Farrell et al., 2009; Norin et al., 2014).
Critical oxygen partial pressure and hypoxia
Based on the Pcrit values, juvenile sandbar sharks are not hypoxia tolerant. Regardless of temperature, Pcrit was above those reported for other teleost and elasmobranch species. For example, striped bass (Morone saxatilis), a common fish species in Chesapeake Bay, has an Scrit of 35 ± 2% and Ccrit of 2.5 ± 0.2 mg l−1, at 28°C (Lapointe et al., 2014), both substantially lower than the Scrit (51 ± 2%) and Ccrit (3.3 ± 0.2 mg l−1) of juvenile sandbar sharks at the same temperature (Fig. 4B and C). When compared to elasmobranch fishes where Pcrit was measured, such as the epaulette shark (Hemiscyllium ocellatum, 38 ± 3 mmHg) and shovelnose ray (Aptychotrema rostrate, 54 ± 3 mmHg), the juvenile sandbar shark’s Pcrit values are likewise substantially higher (Speers-Roesch et al., 2012). When compared to another obligate ram-ventilating species, such as the yellowfin tuna at 25°C (hypoxia tolerance of 3.7 mg l−1; Bushnell and Brill, 1991; Bernal et al., 2017), sandbar sharks have a similar hypoxia tolerance. The high Pcrit values in juvenile sandbar sharks are likely the result of this species also being (like many carcharhinid species) an obligate ram ventilator (Carlson et al., 2004; Dowd et al., 2006). In hypoxia, obligate ram ventilator species rely on increasing their swimming speed or mouth gape to counteract a decline in oxygen in the water (Dizon, 1977; Bushnell and Brill, 1991; Carlson and Parsons, 2001); however, once Pcrit is reached, obligate ram-ventilating fishes will not be able to maintain minimum swimming speeds to ventilate their gills adequately or to maintain hydrostatic equilibrium (Carlson and Parsons, 2001). Although, Pcrit did not differ substantially among temperatures, the mean Pcrit at 32°C was the highest when compared to means at 24°C and 28°C, which was expected because as temperature increases, the demand for oxygen increases and the solubility of oxygen in seawater decreases (Schurmann and Steffensen, 1997). The lack of a substantial difference was the result of high amount variability in Pcrit values, particularly at 32°C (Fig. 5A). Sandbar shark metabolic rate did increase as temperature increased in hypoxic waters (<80% oxygen saturation), suggesting that at warmer temperatures (~32°C), the demand for oxygen is higher while in less oxygenated water, which can lead to increased stress and a higher risk of mortality. An alternative hypothesis is that juvenile sandbar sharks are adapted to large tidal fluctuations in temperature (4.6°C; Kelley, unpublished data); therefore, the ability to deliver oxygen to the tissues is not compromised due to increased temperatures.
In hypoxic waters, sandbar shark metabolic rate was highly dependent on oxygen level and the shark’s activity. The synergistic effect of oxygen and activity on metabolic rate led to different trends above and below ~3.5 mg l−1, which was similar to the mean (± standard error (SE)) Ccrit of sandbar sharks between 24°C and 32°C (3.4 ± 0.1 mg l−1). The positive correlation of metabolic rate and activity, as oxygen concentrations increased from 3.5 mg l−1, followed trends similar to those when sharks were under normoxic conditions (>80% oxygen saturation). When oxygen dropped below 3.5 mg l−1, however, an inverse relationship occurred between metabolic rate and activity, a trend that was also evident at 32°C under normoxic conditions. The breakdown in the positive relationship between metabolic rate and activity suggests that at these lower oxygen levels, sandbar sharks employ anaerobic metabolism to power swimming, which can lead to acidosis and hyperkalemia. It is clear this behavior cannot be sustained, based on the many periods of time when sharks stopped swimming either completely or intermittently during hypoxia. According to our data the oxygen concentration threshold for juvenile sandbar sharks is ~3.5 mg l−1, and this threshold is positively correlated with temperature.
Climate change impacts
It is critical to understand environmental thresholds for marine species amid climate change. Although sandbar sharks are not expected to encounter 32°C waters often, the potential to encounter these temperatures will increase as climate change continues to alter marine environments, particularly within coastal habitats. With an increase in temperature we also expect to see an increase in the extent and severity of hypoxic waters that may have a large impact on the obligate ram-ventilating sandbar shark. For example, along the eastern shore of Virginia, where known sandbar shark nursery habitat exists, water temperatures during the months of July and August during 2016 and 2017 exceeded 32°C at times (range: 21.3–32.8°C; mean: 27.4°C; Kelley, unpublished data) and oxygen levels ranged from 2.9 mg l−1 to 8.2 mg l−1. By the mid-21st century, Chesapeake Bay, which is the largest sandbar shark nursery habitat in the USA, is expected to increase 1.75°C relative to the mid-1990s (Muhling et al., 2018). In addition, by the end of the century, heat waves are also projected to increase by over two standard deviations along the Mid-Atlantic (Najjar et al., 2010). Also by 2050, Chesapeake Bay is predicted to have the largest increase in cumulative hypoxic volume (72–202 km3 days) at oxygen concentrations between 2–5 mg l−1 (Irby et al., 2018), a range of oxygen concentrations that include the Pcrit of juvenile sandbar sharks. This volume of hypoxic water is expected to occur earlier in the summer as well (Irby et al., 2018). These environmental changes will likely significantly diminish the suitability of Chesapeake Bay and adjacent coastal areas to serve as nursery habitat for sandbar sharks in the western Atlantic. As climate change impacts worsen, juvenile sandbar sharks, which can spend up to 10 years in these nursery habitats, may see available habitat reduced and be forced to seek out novel nursery habitats or risk increases in juvenile mortality. This may, in turn, affect the overall abundance of an already overfished sandbar shark population (SEDAR, 2017). At an ecological level, juvenile sandbar sharks are top predators within coastal habitats and may control the populations of other fish species (Ellis and Musick, 2007). Shifts in juvenile sandbar shark distribution could, therefore, also have negative effects on the population of lower trophic species within these habitats.
Conclusions
This study was able to identify the temperature and oxygen thresholds of juvenile sandbar sharks. We found that their performance substantially declines at 32°C (even in normoxia) and at oxygen concentrations below 3.5 mg l−1 and that activity becomes inversely correlated with metabolic rate under high-stress conditions. These impacts suggest that in the face of climate change, areas of Chesapeake Bay may become less suitable nursery habitat for sandbar sharks. It is critical for future studies to use environmental thresholds like those identified in this study to predict species distribution under climate change scenarios to understand potential habitat shifts.
Supplementary Material
Acknowledgements
We thank the staff and interns at the Virginia Institute of Marine Science Eastern Shore Laboratory, particularly Chris Bentley, Stephanie Bonniewell and Sean Fate for their help in animal collection, guidance on animal husbandry and providing shark holding and laboratory facilities. We also thank Mary Fabrizio and Cassidy Peterson for their statistical advice.
Funding
This work was supported by Virginia Institute of Marine Science, College of William & Mary.
References
- Bangley CW, Paramore L, Shiffman DS, Rulifson RA (2018) Increased abundance and nursery habitat use of the bull shark (Carcharhinus leucas) in response to a changing environment in a warm-temperate estuary. Sci Rep 8: 6018. [DOI] [PMC free article] [PubMed] [Google Scholar]
- Bernal D, Brill RW, Dickson KA, Shiels HA (2017) Sharing the water column: physiological mechanisms underlying species-specific habitat use in tunas. Rev Fish Biol Fish 27: 843–880. [Google Scholar]
- Bouyoucos IA, Montgomery DW, Brownscombe JW, Cooke SJ, Suski CD, Mandelman JW, Brooks EJ (2017) Swimming speeds and metabolic rates of semi-captive juvenile lemon sharks (Negaprion brevirostris, Poey) estimated with acceleration biologgers. J Exp Mar Biol Ecol 486: 245–254. [Google Scholar]
- Brill R, Bushnell P, Schroff S, Seifert R, Galvin M (2008) Effects of anaerobic exercise accompanying catch-and-release fishing on blood-oxygen affinity of the sandbar shark (Carcharhinus plumbeus, Nardo). J Exp Mar Biol Ecol 354: 132–143. [Google Scholar]
- Brill RW, Bushnell PG, Elton TA, Small HJ (2015) The ability of blue crab (Callinectes sapidus, Rathbun 1886) to sustain aerobic metabolism during hypoxia. J Exp Mar Biol Ecol 471: 126–136. [Google Scholar]
- Bushnell PG, Brill RW (1991) Responses of swimming skipjack (Katsuwonus pelamis) and yellowfin (Thunnus albacares) tunas to acute hypoxia, and a model of their cardiorespiratory function. Physiol Zool 64: 787–811. [Google Scholar]
- Carlson JK, Goldman KJ, Lowe CG (2004) Metabolism, energetic demand, and endothermy. In Carrier J, Musick J, Heithaus M, eds. Biology of Sharks and Their Relatives Vol 10 CRC Press LLC, Boca Raton, FL, pp 269.–. [Google Scholar]
- Carlson JK, Parsons GR (2001) The effects of hypoxia on three sympatric shark species: physiological and behavioral responses. Environ Biol Fishes 61: 427–433. [Google Scholar]
- Claireaux G, Lefrançois C (2007) Linking environmental variability and fish performance: integration through the concept of scope for activity. Philos Trans R Soc B Biol Sci 362: 2031–2041. [DOI] [PMC free article] [PubMed] [Google Scholar]
- Clark TD, Jeffries KM, Hinch SG, Farrell AP (2011) Exceptional aerobic scope and cardiovascular performance of pink salmon (Oncorhynchus gorbuscha) may underlie resilience in a warming climate. J Exp Biol 214: 3074–3081. [DOI] [PubMed] [Google Scholar]
- Clark TD, Sandblom E, Jutfelt F (2013) Aerobic scope measurements of fishes in an era of climate change: respirometry, relevance and recommendations. J Exp Biol 216: 2771–2782. [DOI] [PubMed] [Google Scholar]
- Cliff G, Thurman G (1984) Pathological and physiological effects of stress during capture and transport in the juvenile dusky shark, Carcharhinus obscurus. Comp Biochem Physiol A Physiol 78: 167–173. [Google Scholar]
- Conley DJ, Carstensen J, Ærtebjerg G, Christensen PB, Dalsgaard T, Hansen JL, Josefson AB (2007) Long-term changes and impacts of hypoxia in Danish coastal waters. Ecol Appl 17: S165–S184. [Google Scholar]
- Conrath CL, Musick JA (2007) The sandbar shark summer nursery within bays and lagoons of the eastern shore of Virginia. Trans Am Fish Soc 136: 999–1007. [Google Scholar]
- Di Santo V. (2016) Intraspecific variation in physiological performance of a benthic elasmobranch challenged by ocean acidification and warming. J Exp Biol 219: 1725–1733. [DOI] [PubMed] [Google Scholar]
- Diaz RJ, Rosenberg R (1995) Marine benthic hypoxia: a review of its ecological effects and the behavioural responses of benthic macrofauna In Ansell A, Gibson R, Barnes M, eds, Oceanography and Marine Biology. An Annual Review Vol 33 University College London Press, London, UK, pp. 245–303. [Google Scholar]
- Dizon A. (1977) Effect of dissolved oxygen concentrations and salinity on swimming speed of two species of tuna. Fish Bull 75: 649–653. [Google Scholar]
- Dowd WW, Brill RW, Bushnell PG, Musick JA (2006) Standard and routine metabolic rates of juvenile sandbar sharks (Carcharhinus plumbeus), including the effects of body mass and acute temperature change. Fish Bull 104: 323–331. [Google Scholar]
- Efron B, Tibshirani RJ (1993) An Introduction to the Bootstrap. CRC Press, New York, NY. [Google Scholar]
- Ellis JK, Musick JA (2007) Ontogenetic changes in the diet of the sandbar shark, Carcharhinus plumbeus, in lower Chesapeake Bay and Virginia (USA) coastal waters. Environ Biol Fishes 80: 51–67. [Google Scholar]
- Emery SH, Szczepanski A (1986) Gill dimensions in pelagic elasmobranch fishes. Biol Bull 171: 441–449. [Google Scholar]
- Farrell A, Eliason E, Sandblom E, Clark T (2009) Fish cardiorespiratory physiology in an era of climate change. Can J Zool 87: 835–851. [Google Scholar]
- Fry FEJ. (1971) The effect of environmental factors on the physiology of fish. Fish Physiol 6: 1–98. [Google Scholar]
- Fry FEJ, Hart J (1948) The relation of temperature to oxygen consumption in the goldfish. Biol Bull 94: 66–77. [PubMed] [Google Scholar]
- Gleiss AC, Wilson RP, Shepard EL (2011) Making overall dynamic body acceleration work: on the theory of acceleration as a proxy for energy expenditure. Methods Ecol Evol 2:23.–. [Google Scholar]
- Grubbs RD, Musick J (2007) Spatial delineation of summer nursery areas for juvenile sandbar sharks in Chesapeake Bay, Virginia American Fisheries Society Symposium, Vol. 50 American Fisheries Society, pp 63.–. [Google Scholar]
- Hagy JD, Boynton WR, Keefe CW, Wood KV (2004) Hypoxia in Chesapeake Bay, 1950–2001: long-term change in relation to nutrient loading and river flow. Estuaries 27: 634–658. [Google Scholar]
- Irby ID, Friedrichs MA, Da F, Hinson KE (2018) The competing impacts of climate change and nutrient reductions on dissolved oxygen in Chesapeake Bay. Biogeosciences 15: 2649–2668. [Google Scholar]
- Irby ID, Friedrichs MA, Friedrichs CT, Bever AJ, Hood RR, Lanerolle LW, Scully ME (2016) Challenges associated with modeling low-oxygen waters in Chesapeake Bay: a multiple model comparison. Biogeosciences 13: 2011–2028. [Google Scholar]
- Kemp WM, Boynton WR, Adolf JE, Boesch DF, Boicourt WC, Brush G, Cornwell JC, Fisher TR, Glibert PM, Hagy JD (2005) Eutrophication of Chesapeake Bay: historical trends and ecological interactions. Mar Ecol Prog Ser 303: 1–29. [Google Scholar]
- Kenward MG, Roger JH (1997) Small sample inference for fixed effects from restricted maximum likelihood. Biometrics 53: 983–997. [PubMed] [Google Scholar]
- Killen SS, Norin T, Halsey LG (2017) Do method and species lifestyle affect measures of maximum metabolic rate in fishes? J Fish Biol 90: 1037–1046. [DOI] [PMC free article] [PubMed] [Google Scholar]
- Korsmeyer K, Dewar H (2001) Tuna metabolism and energetics. Tuna physiology, ecology and evolution In Block B, Stevens E, eds, Fish Physiology Vol 19 Academic Press, San Diego, CA, pp. 35–78. [Google Scholar]
- Lapointe D, Vogelbein WK, Fabrizio MC, Gauthier DT, Brill RW (2014) Temperature, hypoxia, and mycobacteriosis: effects on adult striped bass Morone saxatilis metabolic performance. Dis Aquat Organ 108: 113–127. [DOI] [PubMed] [Google Scholar]
- Last PR, White WT, Gledhill DC, Hobday AJ, Brown R, Edgar GJ, Pecl G (2011) Long-term shifts in abundance and distribution of a temperate fish fauna: a response to climate change and fishing practices. Glob Ecol Biogeogr 20: 58–72. [Google Scholar]
- Lear KO, Whitney NM, Brewster LR, Morris JJ, Hueter RE, Gleiss AC (2017) Correlations of metabolic rate and body acceleration in three species of coastal sharks under contrasting temperature regimes. J Exp Biol 220: 397–407. [DOI] [PubMed] [Google Scholar]
- Lefevre S. (2016) Are global warming and ocean acidification conspiring against marine ectotherms? A meta-analysis of the respiratory effects of elevated temperature, high CO2 and their interaction. Conserv Physiol 4: doi: 10.1093/conphys/cow009. [DOI] [PMC free article] [PubMed] [Google Scholar]
- Littell RC, Milliken GA, Stroup WW, Wolfinger RD, Schabenberger O (2006) SAS for Mixed Models, Ed2nd SAS Institute, Cary, NC. [Google Scholar]
- Ludsin SA, Zhang X, Brandt SB, Roman MR, Boicourt WC, Mason DM, Costantini M (2009) Hypoxia-avoidance by planktivorous fish in Chesapeake Bay: implications for food web interactions and fish recruitment. J Exp Mar Biol Ecol 381: S121–S131. [Google Scholar]
- Lynch PD, Nye JA, Hare JA, Stock CA, Alexander MA, Scott JD, Curti KL, Drew K (2014) Projected ocean warming creates a conservation challenge for river herring populations. ICES J Mar Sci 72: 374–387. [Google Scholar]
- Marshall H, Skomal G, Ross PG, Bernal D (2015) At-vessel and post-release mortality of the dusky (Carcharhinus obscurus) and sandbar (C. plumbeus) sharks after longline capture. Fish Res 172: 373–384. [Google Scholar]
- McKenzie DJ, Axelsson M, Chabot D, Claireaux G, Cooke SJ, Corner RA, De Boeck G, Domenici P, Guerreiro PM, Hamer B (2016) Conservation physiology of marine fishes: state of the art and prospects for policy. Conserv Physiol 4: doi.org/10.1093/conphys/cow046. [DOI] [PMC free article] [PubMed] [Google Scholar]
- Morley JW, Selden RL, Latour RJ, Frölicher TL, Seagraves RJ, Pinsky ML (2018) Projecting shifts in thermal habitat for 686 species on the North American continental shelf. PLoS One 13: 1–28. [DOI] [PMC free article] [PubMed] [Google Scholar]
- Muhling BA, Gaitán CF, Stock CA, Saba VS, Tommasi D, Dixon KW (2018) Potential salinity and temperature futures for the Chesapeake Bay using a statistical downscaling spatial disaggregation framework. Estuaries Coasts 41: 349–372. [Google Scholar]
- Najjar RG, Pyke CR, Adams MB, Breitburg D, Hershner C, Kemp M, Howarth R, Mulholland MR, Paolisso M, Secor D (2010) Potential climate-change impacts on the Chesapeake Bay. Estuar Coast Shelf Sci 86: 1–20. [Google Scholar]
- Norin T, Malte H, Clark TD (2014) Aerobic scope does not predict the performance of a tropical eurythermal fish at elevated temperatures. J Exp Biol 217: 244–251. [DOI] [PubMed] [Google Scholar]
- Nye JA, Link JS, Hare JA, Overholtz WJ (2009) Changing spatial distribution of fish stocks in relation to climate and population size on the Northeast United States continental shelf. Mar Ecol Prog Ser 393: 111–129. [Google Scholar]
- Payne NL, Meyer CG, Smith JA, Houghton JD, Barnett A, Holmes BJ, Nakamura I, Papastamatiou YP, Royer MA, Coffey DM (2018) Combining abundance and performance data reveals how temperature regulates coastal occurrences and activity of a roaming apex predator. Glob Chang Biol 24(5): 1–10. [DOI] [PubMed] [Google Scholar]
- Payne NL, Smith JA, Meulen DE, Taylor MD, Watanabe YY, Takahashi A, Marzullo TA, Gray CA, Cadiou G, Suthers IM (2016) Temperature dependence of fish performance in the wild: links with species biogeography and physiological thermal tolerance. Funct Ecol 30: 903–912. [Google Scholar]
- Pinheiro J, Bates D, DebRoy S, Sarkar D (2013) nlme: Linear and Nonlinear Mixed Effects Models. R package version 3.1-111 <http://CRAN.R-project.org/package=nlme>.
- Pörtner HO, Knust R (2007) Climate change affects marine fishes through the oxygen limitation of thermal tolerance. Science 315: 95–97. [DOI] [PubMed] [Google Scholar]
- Preston BL. (2004) Observed winter warming of the Chesapeake Bay estuary (1949–2002): implications for ecosystem management. Environ Manag 34: 125–139. [DOI] [PubMed] [Google Scholar]
- Rabalais NN, Turner RE, Díaz RJ, Justić D (2009) Global change and eutrophication of coastal waters. ICES J Mar Sci 66: 1528–1537. [Google Scholar]
- Rijnsdorp AD, Peck MA, Engelhard GH, Möllmann C, Pinnegar JK (2009) Resolving the effect of climate change on fish populations. ICES J Mar Sci 66(7): 1–14. [Google Scholar]
- Schurmann H, Steffensen J (1997) Effects of temperature, hypoxia and activity on the metabolism of juvenile Atlantic cod. J Fish Biol 50: 1166–1180. [Google Scholar]
- Searle SR, Speed FM, Milliken GAJTAS (1980) Population marginal means in the linear model: an alternative to least squares means. Am Stat 34: 216–221. [Google Scholar]
- SEDAR (2017). SEDAR 54 Stock Assessment Report: HMS Sandbar Shark, North Charleston, SC.
- Shepard EL, Wilson RP, Quintana F, Laich AG, Liebsch N, Albareda DA, Halsey LG, Gleiss A, Morgan DT, Myers AE (2008) Identification of animal movement patterns using tri-axial accelerometry. Endangered Species Res 10: 47–60. [Google Scholar]
- Skomal GB, Mandelman JW (2012) The physiological response to anthropogenic stressors in marine elasmobranch fishes: a review with a focus on the secondary response. Comp Biochem Physiol A Mol Integr Physiol 162: 146–155. [DOI] [PubMed] [Google Scholar]
- Speers-Roesch B, Richards JG, Brauner CJ, Farrell AP, Hickey AJ, Wang YS, Renshaw GM (2012) Hypoxia tolerance in elasmobranchs. I. Critical oxygen tension as a measure of blood oxygen transport during hypoxia exposure. J Exp Biol 215: 93–102. [DOI] [PubMed] [Google Scholar]
- Svendsen M, Bushnell P, Steffensen J (2016) Design and setup of intermittent-flow respirometry system for aquatic organisms. J Fish Biol 88: 26–50. [DOI] [PubMed] [Google Scholar]
- Turner SM, Manderson JP, Richardson DE, Hoey JJ, Hare JA (2015) Using habitat association models to predict Alewife and Blueback Herring marine distributions and overlap with Atlantic Herring and Atlantic Mackerel: can incidental catches be reduced? ICES J Mar Sci 73: 1912–1924. [Google Scholar]
- Tyler RM, Targett TE (2007) Juvenile weakfish, Cynoscion regalis, distribution in relation to diel-cycling dissolved oxygen in an estuarine tributary. Mar Ecol Prog Ser 333: 257–269. [Google Scholar]
- Wannamaker CM, Rice JA (2000) Effects of hypoxia on movements and behavior of selected estuarine organisms from the southeastern United States. J Exp Mar Biol Ecol 249: 145–163. [DOI] [PubMed] [Google Scholar]
- Whitney NM, Papastamatiou YP, Holland KN, Lowe CG (2007) Use of an acceleration data logger to measure diel activity patterns in captive whitetip reef sharks, Triaenodon obesus. Aquat Living Resour 20: 299–305. [Google Scholar]
- Whitney NM, White CF, Gleiss AC, Schwieterman GD, Anderson P, Hueter RE, Skomal GB (2016) A novel method for determining post-release mortality, behavior, and recovery period using acceleration data loggers. Fish Res 183: 210–221. [Google Scholar]
- Zhang H, Ludsin SA, Mason DM, Adamack AT, Brandt SB, Zhang X, Kimmel DG, Roman MR, Boicourt WC (2009) Hypoxia-driven changes in the behavior and spatial distribution of pelagic fish and mesozooplankton in the northern Gulf of Mexico. J Exp Mar Biol Ecol 381: S80–S91. [Google Scholar]
Associated Data
This section collects any data citations, data availability statements, or supplementary materials included in this article.

