Abstract
Chromium telluride compounds are promising ferromagnets for proximity coupling to magnetic topological insulators (MTIs) of the Cr-doped (Bi,Sb)2(Se,Te)3 class of materials as they share the same elements, thus simplifying thin film growth, as well as due to their compatible crystal structure. Recently, it has been demonstrated that high quality (001)-oriented Cr2Te3 thin films with perpendicular magnetic anisotropy can be grown on c-plane sapphire substrate. Here, we present a magnetic and soft x-ray absorption spectroscopy study of the chemical and magnetic properties of Cr2Te3 thin films. X-ray magnetic circular dichroism (XMCD) measured at the Cr L2,3 edges gives information about the local electronic and magnetic structure of the Cr ions. We further demonstrate the overgrowth of Cr2Te3 (001) thin films by high-quality Cr-doped Sb2Te3 films. The magnetic properties of the layers have been characterized and our results provide a starting point for refining the physical models of the complex magnetic ordering in Cr2Te3 thin films, and their integration into advanced MTI heterostructures for quantum device applications.
Subject terms: Topological insulators, Ferromagnetism
Introduction
Ferromagnetic materials, which are compatible with semiconductors in terms of their crystal structure and deposition conditions, have been intensely studied for applications in spintronics1. Apart from traditional semiconductor spintronics, the combination of magnetic materials and topological insulators (TIs) has been a promising route for observing new quantum effects at more easily accessible temperatures2,3. Transition metal doped magnetic TIs (MTIs) grown by molecular beam epitaxy (MBE), such as Cr-doped (Bi,Sb)2Te3, have been pivotal for observing the quantum anomalous Hall effect4.
The lattice-matched antiferromagnet CrSb and ferromagnetic Cr2Ge2Te6 have been shown to be ideal for the combination with Cr-doped (Bi,Sb)2Te3 MTI layers in heterostructures and superlattices, allowing for the engineering of their electronic and magnetic properties3,5. A key advantage of CrSb is the fact that no additional elements are needed for their MBE growth. On the other hand, chromium telluride compounds are promising ferromagnets for the integration with Cr-doped (Bi,Sb)2Te3 as they also share the same elements and due to their compatible crystal structure. Recently, the epitaxial growth of high quality (001)-oriented Cr2Te3 thin films with perpendicular magnetic anisotropy has been demonstrated on c-plane sapphire and Si(111) substrates using MBE6. A systematic study of the structural and magnetic properties of Cr2Te3 films on CdTe(001) substrates showed that the epitaxial relationship of the film with the substrate depends on the Cr:Te flux ratio during growth7. Cr2Te3 has also been grown in the form of nanorods using a high-temperature organic-solution-phase method8.
The chromium tellurides with metal-deficient NiAs-type crystal structures, Cr1−δTe, have in common a (distorted) hexagonal close packing of Te atoms, with Cr atoms in octahedral interstices. The crystal structure of Cr2Te3 (see Fig. 1) can be described in the space group or (#163 in the International Tables of Crystallography), with the atoms on the special positions9. The lattice parameters are a = 6.814 Å and c = 12.073 Å10. The unit cell appears layered and is characterized by an alternating sequence of Cr and Te layers, while Cr vacancies occur in every second metal layer. Consequently, there are distinct Cr positions as shown in Fig. 1: CrI atoms have no direct neighbors in the ab plane, but are accompanied by CrIII atoms in the neighboring Cr layers above and below. CrII atoms, on the other hand, are the neighbor of CrIII in the filled Cr layers, however, not accompanied by any Cr atoms along the c-axis in the adjacent Cr layers. While the Cr sites at the layers containing CrII and CrIII are completely filled, the other layers are only partially occupied by CrI atoms with vacancies. From the crystal structure in Fig. 1, the exchange interaction between CrII and CrIII is expected to be large as they are close together. On the other hand, the interaction of CrI with the more distant CrII and CrIII ions is expected to be relatively weak because its nearest neighbor is Te.
Figure 1.

Crystal structure of Cr2Te3. The unit cell is characterized by an alternating sequence of Cr and Te layers, with Cr vacancies occurring in every other Cr layer. The distinct Cr atoms, Cr I in the vacancy layer, as well as Cr II and Cr III in the fully occupied layer, are labeled. Note that the roman numbers in the subscripts refer to the different sites and not to the valencies of Cr.
In the form of thin films, the most relevant compounds are the half-metal CrTe (δ = 0, zincblende), Cr3Te4 (δ = 0.25, monoclinic), and Cr2Te3 (δ = 0.33, trigonal), which are all metallic ferromagnets with ordering temperatures ranging from 100–340K9–12. Cr2Te3 is of particular interest in the context of MBE-grown thin films with a reported TC ≈ 183K. Neutron diffraction showed that the magnetic moments of Cr in the fully occupied layers are ferromagnetically aligned and have an average value of 2.6 μB/atom, while the Cr atoms in the partially filled layers are assumed to have only a small moment10. The interlayer coupling along the c-axis is weak. For Cr2Te3, the electronic band-structure calculations show that Cr 3d–Te 5p covalency and Cr –Cr overlap along the c-axis are the most important interactions. The magnetic polarization of Te is antiparallel to the Cr moment with calculated average values of μCr = 3.30 μB/Cr and μTe = −0.18 μB/Te, respectively9.
However, the relatively complicated magnetic structure of Cr2Te3 is not fully understood yet, in parts owing to the various ways the spins of the three distinct Cr sites can couple13. In fact, from electron spin resonance measurements of bulk crystals, it was claimed that the true Curie temperature is 335K, and that the generally reported TC of 198K is only another type of magnetic transition point14.
Here, we present a magnetic and soft x-ray absorption spectroscopy study of the chemical and magnetic properties of Cr2Te3 thin films. We further demonstrate the successful growth of Cr2Te3/Cr:Sb2Te3 heterostructures, opening the door for advanced heterostructures combining proximity coupling to ferromagnetic layers.
Results and Discussion
Structural properties
The structural quality of the samples was characterized using XRD. The results for both single-layer Cr2Te3 and Cr2Te3/Cr:Sb2Te3 are shown in Fig. 2. The spectrum for single-layer Cr2Te3 (Fig. 2a) is characterized by film and sapphire substrate peaks, whereas the Cr2Te3/Cr:Sb2Te3 spectrum (Fig. 2b) additionally shows Sb2Te3 related peaks. These are shifted to higher angles with respect to undoped Sb2Te3 as Cr doping reduces the lattice spacing15–17.
Figure 2.
X-ray diffraction characterization. (a), Cr2Te3, and (b), Cr:Sb2Te3/Cr2Te3 thin film samples on c-plane sapphire. The peaks from the Al2O3 substrate, and the Cr2Te3 and Cr:Sb2Te3 thin films, have been indexed (shown in red, green, and cyan, respectively). The small peak at 2θ = 38° in (b) is originating from the Al sample holder. On the right-hand side, 1 × 1 μm2 AFM scans show the morphology of the Cr2Te3 and Cr:Sb2Te3 surfaces, respectively, with the latter showing the characteristic triangular strictures.
Magnetic behavior
The magnetic characterization of the films was performed through SQUID measurements as a function of both applied magnetic field and temperature. Figure 3a,b show hysteresis loops of the magnetization as a function of applied magnetic field for Cr2Te3 and Cr2Te3/Cr:Sb2Te3, respectively.
Figure 3.

Magnetization as a function of applied out-of-plane field. (a), Cr2Te3, and (b), Cr2Te3/Cr:Sb2Te3. The measurements were performed at various temperatures as indicated. In (a) the average moment per Cr is shown, whilst in (b) the units are arbitrary as both layers contain Cr in different environments.
The Cr2Te3 films show square hysteresis loops with the magnetization reversing to its saturated state during a sharp transition over a narrow field range (Fig. 3a). At 3K, the magnetization is saturated at 3.6 μB/Cr and a coercive field of 600 mT is required to reverse the magnetization At the higher temperature of 140K, the coercivity reduces to 180 mT and is accompanied by a decrease in the saturation magnetization as the temperature approaches TC.
The Cr2Te3/Cr:Sb2Te3 bilayers show a more complex magnetization reversal with additional features associated with the MTI layer). At 140K, the magnetization reversals in Fig. 3a,b look similar with a sharp reversal at a low coercive field of 180 mT. This suggests the magnetic response is dominated by the Cr2Te3 layer at this temperature.
When the temperature is reduced, the magnetization reversal associated with the Cr2Te3 layer occurs at an increased coercive field, consistent with the measurements on single-layer Cr2Te3. However, a second magnetization reversal process arises with a low coercivity. This is attributed to a magnetic component in the Cr:Sb2Te3 film with a lower Curie temperature.
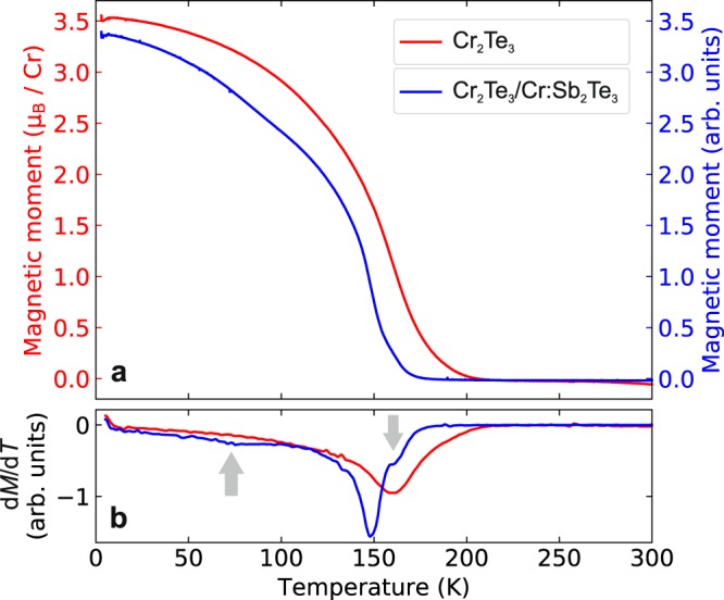
Further SQUID magnetometry measurements were carried out to investigate the change in magnetic behavior at different temperatures. Figure 4a,b show both the magnetization and its derivative with respect to temperature as a function of increasing temperature after field-cooling in a field of 6T, respectively. At low temperatures after field cooling, Cr2Te3 has a large moment which decreases with increasing temperature. The Curie temperature, as defined as the peak in the derivative, is ~16K. The Cr2Te3/Cr:Sb2Te3 sample shows a similar variation of the magnetization with temperature, with a similar TC of ~15K. However, there are additional subtle features, such as kinks at 70K and 160K (see Fig. 4).
Figure 4.

Temperature dependence of the magnetization. (a), M(T), and (b), its derivative, measured with SQUID for Cr2Te3 and Cr2Te3/Cr:Sb2Te3 samples. The measurements were performed in a field of 20 mT with increasing temperature after preparation in a 6T field-cooled state. The moment for single-layer Cr2Te3 is shown in μB/Cr, while for the bilayer sample, the units are arbitrary due to the mixed Cr environments. Kinks at ~70K and 160K in the Cr2Te3/Cr:Sb2Te3 derivative plot are indicated by arrows.
The variation in magnetization as a function of temperature from the field cooled measurements is consistent with the saturation magnetization found in Fig. 3. Furthermore, the feature at 70K indicates the point at which the two-step magnetization reversal occurs in Fig. 3b.
X-ray magnetic circular dichroism
Before showing the results from a clean sample, we first present the results from a surface-oxidized sample, in order to show the effect of oxidation on the spectra. Figure 5a shows the Cr L2,3 edge of a ~100-nm-thick Cr2Te3 film measured with surface-sensitive TEY detection. Comparison with a Cr2O3 reference sample (Fig. 5b) clearly indicates that the Cr2Te3 film surface is oxidized (due to aging). Oxidation leads to an additional Cr3+ peak. The photon energy of this peak is 1.5 eV higher than the photon energy of the proper Cr peak.
Figure 5.

Experimental Cr L2,3 XAS and XMCD of a surface-oxidized, ~100-nm-thick film of Cr2Te3. Measurement carried out in a 6T field at 3K with 30° grazing incidence angle of the x-rays. (a), The total-electron yield (TEY) spectra for μ+ and μ− (field parallel and antiparallel to incident photon helicity, respectively). (b), For comparison, the Cr2O3 XAS, which quite well matches the second peak in the TEY of Cr2Te3, which demonstrates that the film is oxidized at the surface. (c), The luminescence yield (LY) spectra for μ+ and μ−, which show no oxidation. (d), The XMCD measured in TEY and LY. Spectra are normalized to the size of the maximum XMCD signal.
Figure 5c shows the spectra across the Cr L2,3 edges in LY mode. These spectra represent an average over the entire thin film heterostructure. The background variations in the LY arise from the x-ray absorption near edge structure (XANES) O K edge above ~543 eV from the substrate sapphire (Al2O3)18. Furthermore, the Cr L2,3 edges coincide with Te M4,5 edges, resulting in a sloping background of the XAS. The integrated intensity ratio of Te M4,5/Cr L2,3 XAS is estimated to be ~7.5%19, meaning that the Te contribution is small.
Figure 5d shows the XMCD simultaneously detected with TEY and LY. The spectra have been normalized to the maximum of the Cr L3 XMCD signal. As expected, the overall XMCD intensity of the L3 peak is negative and that of the L2 peak positive, resulting from the spin-orbit interaction of the 2p core levels20. Although antiferromagnetic Cr2O3 has zero XMCD signal, the surface-sensitive TEY of Cr2Te3 XMCD shows a more detailed structure at the high end of the Cr L3 edge (577–580 eV). These differences in the XMCD are small in relation to those in the XAS. This means that the oxidized surface hardly contributes to the magnetic signal, and it is likely to be mainly antiferromagnetic as in the case of Cr2O3.
Figure 6 shows the XAS and XMCD of a non-oxidized Cr2Te3 thin film. In the XMCD a small negative Te M5 signal is expected at ~572.7 eV as we earlier reported for Cr:Sb2Te321. In Fig. 6, this is however untraceable in the coinciding Cr multiplet structure. The azimuthal quantum numbers of the orbitals in these electric-dipole transitions are 3d → 5p for Te and 2p → 3d for Cr, i.e., opposite. Consequently the Te and Cr moments are aligned antiparallel17,20 as expected from band structure calculations9.
Figure 6.

Cr L2,3 spectra of a clean, ~100-nm-thick film of Cr2Te3. Measurement carried out in a 6T field at 3K with 30° grazing incidence angle of the x-rays. (a), The XAS (average of μ+ and μ−) obtained from multiplet calculations and as measured in LY. (b), The XMCD (μ+ − μ−) as calculated and as measured in LY. The red lines at 572.7 eV mark the location of the small Te M5 peak expected in the LY data, which is not clearly evident here. Spectra are normalized to the size of the maximum XMCD signal.
For comparison, theoretical calculations for the Cr L2,3 XAS and XMCD are also shown in Fig. 6, and are discussed below.
Multiplet calculations
We employed atomic multiplet theory to calculate the electric-dipole transitions from 3dn to 2p53dn+1 22,23. For this purpose, the wave functions of the configurations of the initial and the final state are obtained in intermediate coupling using Cowan’s atomic Hartree-Fock (HF) code with relativistic corrections24,25. The 2p-3d and 3d-3d Coulomb and exchange interactions are included in the atomic electrostatic interactions. To account for the intra-atomic screening, their atomic HF value is reduced by 30%22. By mixing the 3dn with configurations with a transfer integral, V, hybridization effects are included. represents a hole in the overlapping Te 5p orbitals.
The local ground state of Cr is taken as a coherent mixture of ψ(3d3) and states. Similar to the calculation by Yaji et al.19, we obtain a mixed ground state of 54% Cr3+ d3 and 46% Cr2+ using the parameters = 0 eV. As the presence of a core hole reduces the energy of the 3d states, Δf defined as is −1 eV, the octahedral crystal field of 10Dq is 1.5 eV, and the mixing transfer integral V is 1.5 eV. To account for intrinsic lifetime broadening and instrumental broadening, the calculated Cr L3 (L2) line spectra are broadened by a Lorentzian and a Gaussian function, respectively. The Lorentzian has a half-width at half-maximum of Γ = 0.3 eV (0.4 eV) and the Gaussian a standard deviation of σ = 0.15 eV. The calculated XAS and XMCD are shown in Fig. 6.
The obtained covalent character of Cr2Te3 can be ascribed to the hybridization between the Cr d(eg) and Te 5p bands, which are located just above and below the Fermi level, respectively.
The Cr state for the covalent compound Cr2Te3 (54% d3 and 46% d4 character in the wave function) resembles that of (V,Cr)xSb2−xTe3 (ref.26), but strongly differs from that of CrxSb2−xTe3 (ref.17) and CrxBi2−xSe3 (refs15,27). In the latter, Sb and Bi are substitutionally replaced by Cr. In this case, Cr is nominally divalent and has 30% d3 and 70% d4 character.
Using the sum rules, the orbital and spin magnetic moments are obtained from the integrated L2,3 XAS and XMCD intensities28,29. For obtaining the spin moment from the sum rules, a correction factor has to be taken into account to include the jj mixing between the 2p3/2 and 2p1/2 manifolds15. This correction can result in a substantial error bar for Cr. Therefore, we determined instead the spin and orbital moments from the calculated ground state, which gives μspin ≈ 3.5 μB/Cr (i.e., high spin moment) and μorb ≈ −0.1 μB/Cr (i.e., opposite sign).
XMCD magnetization loops
The XMCD furthermore provides a means to explore the element-specific hysteresis loops within our multilayer samples20. Figure 7 shows the Cr magnetization as a function of applied field at 3K with the photon energy tuned to the maximum of the XMCD at the Cr L3 edge. Both the loop shape and coercivity of the Cr XMCD hysteresis loop are consistent with the SQUID measurements of the bulk sample shown in Fig. 3a. This shows the magnetization of the Cr dominates the magnetization in the bulk sample.
Figure 7.

Asymmetry in the luminescence yield of Cr2Te3 measured at the Cr L3 edge. The data represent the element-specific magnetization for Cr as a function of the applied magnetic field component out-of-plane of the sample. Measurements are performed at 3K with an x-ray incidence angle of 30°.
We note also that the XMCD hysteresis loop is present on a curved background. This is likely to result from the XMCD measurements being performed at an angle of 30°. Therefore, there is a component of the in-plane loop which also includes a continual rotation of the moments into the field direction at higher fields.
Measurements of the Cr magnetization as a function of temperature were also performed on the Cr2Te3 film and are shown, along with the derivative dM/dT, in Fig. 8a,b. Here, the LY and TEY signals are collected simultaneously. The solid lines present a polynomial fit to the data. The behavior of the magnetization in Cr shows the same trend as observed in the SQUID measurements (Fig. 4) except for the TC measured by x-rays appears slightly higher. This is likely to be due to temperature lag in the instrumentation. The TC, as obtained from dM/dT, for the TEY signal is ~8K lower than for the LY signal, possibly pointing towards an enhanced magnetic ordering temperature at the surface compared to the bulk.
Figure 8.

Element-specific magnetization of Cr2Te3 measured at the Cr L3 edge. (a), Luminescence yield (LY) and total-electron yield (TEY) as a function of temperature, and (b), their derivatives. The sample was initially field-cooled in 6T before measuring from 10 to 250K with a constant applied field of 20 mT with an x-ray incidence angle of 30°.
Conclusions
We have studied the structural and magnetic properties of MBE-grown Cr2Te3 films on c-plane sapphire, in comparison with Cr2Te3/Cr:Sb2Te3 bilayer samples. The field and temperature dependence of the magnetization has been explored through SQUID magnetometry where a ferromagnetic response in Cr2Te3 arises below TC = 150K with a coercivity increasing with decreasing temperature. In bilayer samples with Cr:Sb2Te3, a second transition temperature at ~7K shows an onset of a two-step magnetization reversal process with the reversal of the MTI layer at a lower field. Using soft x-ray absorption spectroscopy we determined the chemical and magnetic properties of Cr2Te3 thin films. The field and temperature dependent Cr XMCD matches that of the bulk magnetometry measurements and confirms the full moment originates on the Cr sites. Comparison of the Cr L2,3 spectral shapes with multiplet calculations gives a hybridized Cr state of 54% Cr3+ 3d3 and 46% Cr2+ 3d4 character in an octahedral crystal-field symmetry with spin and orbital moments of μspin ≈ 3.5 μB/Cr and μorb ≈ −0.1 μB/Cr.
Methods
Structural characterization
The thin film samples were grown by MBE on 1/4-2” diameter, c-plane sapphire wafers. This study focuses on Cr2Te3 thin films (typical thickness 100 nm) which were grown in (001) orientation at a substrate temperature of 400 °C and at a rate of ~1.7 nm/min on Al2O3(0001). Some of the films were further overgrown with ~3 nm thick Cr-doped Sb2Te3 at a substrate temperature of 250 °C, as described in detail in ref.30. CrxSb2−xTe3 is an MTI with out-of-plane magnetic anisotropy and a Cr concentration-dependent transition temperature of up to 125K. The nominal Cr concentration was x = 0.25. X-ray diffraction (XRD) was carried out on a Bruker D8 diffractometer using incident Cu-Kα1 radiation. The XRD measurements provide an indication of the Cr-Te phase and the crystalline quality of the films. Atomic force microscopy (AFM) was used to characterize the surface morphology of the samples.
Magnetometry
Magnetic characterization of the samples was performed through SQUID magnetometry with a field applied out-of-plane, along the c-axis of the sample. After field-cooling in a field of 6T, the magnetization as a function of increasing temperature from 3 to 300K was measured in a magnetic field of 20 mT. The magnetization as a function of applied field was also measured at various temperatures above and below TC.
X-ray absorption spectroscopy and x-ray magnetic circular dichroism
X-ray absorption spectroscopy (XAS) and x-ray magnetic circular dichroism (XMCD) measurements were performed on beamline 29 (BOREAS) at the ALBA synchrotron in Barcelona, Spain31. XAS was simultaneously measured at the Cr L2,3 edge in total-electron-yield (TEY) mode and luminescence-yield (LY) mode (see Fig. 9 for a schematic of the measurement modes). The Cr L2,3 photon energy region coincides with that of the Te M4,5 edges. TEY provides surface-sensitive measurements with a probing depth of 3–5 nm20. On the other hand, luminescence-yield (LY) mode probes the entire thin film sample. In the latter mode, the transmitted x-rays that are not absorbed in the sample stack give rise to x-ray excited optical luminescence in the sapphire substrate. The emitted optical photons exit through a hole in the back of the sample holder and are detected by a photodiode21. The XAS spectra were calculated by taking the negative logarithm of the LY intensity after normalizing it by the incident beam intensity.
Figure 9.

X-ray absorption spectroscopy and x-ray magnetic circular dichroism measurements. Schematic setup for simultaneous detection of total-electron yield (TEY) and luminescence yield (LY) in the vacuum chamber of the magnet. In TEY, the drain current (compensation current) is a measure for the amount of emitted electron due to x-ray absorption. TEY is surface-sensitive. In LY, which probes the entire thin-film sample, the transmitted x-rays that are not absorbed in the sample stack give rise to x-ray excited optical luminescence in the sapphire substrate. The emitted optical photons exit through a hole in the back of the sample holder and are detected by a photodiode.
The XMCD was obtained by taking the difference between XAS spectra with the photon helicity vector parallel (μ+) and antiparallel (μ−) to the applied magnetic field, respectively. The degree of circular polarization is 100% and for the sign convention, see ref.20. XMCD measurements were performed after first field-cooling to base temperature (~3K) in a 6T field. The sample was mounted at a grazing incidence angle of 30° with the applied magnetic field of ±6T along the x-ray beam direction. The XMCD results are obtained from an average over four μ+ and four μ− scans of the photon energy across the absorption edges.
Element-specific measurements of the magnetization vs. field (M-H) and magnetization vs. temperature (M-T) were also carried out using synchrotron x-rays with photon energy tuned to the Cr L3 edge. For the M-H measurements, the field was swept at a constant velocity taking alternating on- and off-edge measurements on the fly at a constant temperature of 3K. Similarly, for the M-T measurements, on the fly on- and off-edge measurements were performed whilst ramping the temperature from 10K to 250K with a constant applied field of 20 mT. In both cases, the sample was initially field-cooled to 3K in a field of 6T. Measurements of the on-edge signal were normalized against the off-edge signal and the asymmetry was obtained between repeat measurements with both μ+ and μ−.
Acknowledgements
We acknowledge the CELLS-ALBA Synchrotron at Barcelona, Spain, on beamline BL29 (BOREAS) under proposal 2017092446. This publication arises from research funded by the John Fell Oxford University Press (OUP) Research Fund. RCaH is acknowledged for their hospitality. L.B.D. was supported by the Science and Technology Facilities Council and the Engineering and Physical Sciences Research Council through a Doctoral Training Award.
Author Contributions
L.D., G.v.d.L. and T.H. conceived the idea and L.D. grew the samples and performed the XRD and SQUID experiments, and R.J. the AFM measurements. The XAS and XMCD measurements were carried out on beamline BL29 (BOREAS) at the CELLS-ALBA synchrotron by D.B., S.L.Z., A.I.F., J.H.-M., G.v.d.L. and T.H. D.B. performed the data analysis and G.v.d.L. carried out the ligand-field multiplet calculations. D.B. G.v.d.L. and T.H. wrote the paper with comments and input from all authors. All authors contributed to the discussions.
Competing Interests
The authors declare no competing interests.
Footnotes
Publisher’s note: Springer Nature remains neutral with regard to jurisdictional claims in published maps and institutional affiliations.
References
- 1.Dietl, T. Semiconductor spintronics, In Modern Aspects of Spin Physics, edited by Pötz, W., Hohenester, U. & Fabian, J. pp. 1–46 (Springer Berlin Heidelberg, 2007).
- 2.Lee I, et al. Davis, Imaging Dirac-mass disorder from magnetic dopant atoms in the ferromagnetic topological insulator Cr1−x(Bi0.1Sb0.9)2−xTe3. Proc. Natl. Acad. Sci. USA. 2015;112:1316–1321. doi: 10.1073/pnas.1424322112. [DOI] [PMC free article] [PubMed] [Google Scholar]
- 3.He QL, et al. Tailoring exchange couplings in magnetic topological-insulator/antiferromagnet heterostructures. Nat. Mater. 2016;16:94–100. doi: 10.1038/nmat4783. [DOI] [PubMed] [Google Scholar]
- 4.Chang C-Z, et al. Experimental observation of the quantum anomalous hall effect in a magnetic topological insulator. Science. 2013;340:167–170. doi: 10.1126/science.1234414. [DOI] [PubMed] [Google Scholar]
- 5.Mogi M, et al. Ferromagnetic insulator Cr2Ge2Te6 thin films with perpendicular remanence. APL Materials. 2018;6:091104. doi: 10.1063/1.5046166. [DOI] [Google Scholar]
- 6.Roy A, et al. Perpendicular magnetic anisotropy and spin glass-like behavior in molecular beam epitaxy grown chromium telluride thin films. ACS Nano. 2015;9:3772–3779. doi: 10.1021/nn5065716. [DOI] [PubMed] [Google Scholar]
- 7.Kanazawa K, et al. Structural and magnetic properties of hexagonal Cr1−δTe films grown on CdTe(001) by molecular beam epitaxy. J. Cryst. Growth. 2015;415:31–35. doi: 10.1016/j.jcrysgro.2014.12.032. [DOI] [Google Scholar]
- 8.Wang F, et al. Ferromagnetic Cr2Te3 nanorods with ultrahigh coercivity. Nanoscale. 2018;10:11028–11033. doi: 10.1039/C8NR02272K. [DOI] [PubMed] [Google Scholar]
- 9.Dijkstra J, Weitering HH, van Bruggen CF, Haas C, de Groot RA. Bandstructure calculations, and magnetic and transport properties of ferromagnetic chromium tellurides (CrTe, Cr3Te4, Cr2Te3) J. Phys.: Condens. Matter. 1989;1:9141–9161. [Google Scholar]
- 10.Andresen AF. The Magnetic Structure of Cr2Te3, Cr3Te4, and Cr5Te6. Acta Chem. Scand. 1970;24:3495–3509. doi: 10.3891/acta.chem.scand.24-3495. [DOI] [Google Scholar]
- 11.Ipser H, Komarek KL, Klepp KO. Transition metal-chalcogen systems VIII: The Cr1−xTe phase diagram. J. Less Common. Met. 1983;92:265–282. doi: 10.1016/0022-5088(83)90493-9. [DOI] [Google Scholar]
- 12.Liu Y, Petrovic C. Critical behavior of the quasi-two-dimensional weak itinerant ferromagnet trigonal chromium telluride Cr0.62Te. Phys. Rev. B. 2017;96:134410. doi: 10.1103/PhysRevB.96.134410. [DOI] [Google Scholar]
- 13.Youn SJ, Kwon SK, Min BI. Correlation effect and magnetic moments in Cr2Te3. J. Appl. Phys. 2007;101:09G522. doi: 10.1063/1.2713699. [DOI] [Google Scholar]
- 14.Konno H, Adachi Y, Yuzuri M. Magnetic Resonance on Cr2Te3. Jpn. J. Appl. Phys. 1993;32:308–310. doi: 10.7567/JJAPS.32S3.308. [DOI] [Google Scholar]
- 15.Figueroa AI, et al. Magnetic Cr doping of Bi2Se3: Evidence for divalent Cr from x-ray spectroscopy. Phys. Rev. B. 2014;90:134402. doi: 10.1103/PhysRevB.90.134402. [DOI] [Google Scholar]
- 16.Figueroa AI, et al. Local Structure and Bonding of Transition Metal Dopants in Bi2Se3 Topological Insulator Thin Films. J. Phys. Chem. C. 2015;119:17344–17351. doi: 10.1021/jp511713s. [DOI] [Google Scholar]
- 17.Duffy LB, et al. Magnetic proximity coupling to Cr-doped Sb2Te3 thin films. Phys. Rev. B. 2017;95:224422. doi: 10.1103/PhysRevB.95.224422. [DOI] [Google Scholar]
- 18.Henderson GS, Neuville DR, Cormier L. An O K-edge XANES study of glasses and crystals in the CaO–Al2O3–SiO2 (CAS) system. Chem. Geo. 2009;259:54–62. doi: 10.1016/j.chemgeo.2008.08.023. [DOI] [Google Scholar]
- 19.Yaji K, et al. Electronic structure of Cr1−δX (X=S,Te) studied by Cr 2p soft x-ray magnetic circular dichroism. Phys. Rev. B. 2004;70:064402. doi: 10.1103/PhysRevB.70.064402. [DOI] [Google Scholar]
- 20.van der Laan G, Figueroa AI. X-ray magnetic circular dichroism|A versatile tool to study magnetism. Coord. Chem. Rev. 2014;277–278:95–129. doi: 10.1016/j.ccr.2014.03.018. [DOI] [Google Scholar]
- 21.Duffy LB, et al. Imposing long-range ferromagnetic order in rare-earth-doped magnetic topological insulator heterostructures. Phys. Rev. Mater. 2018;2:054201. doi: 10.1103/PhysRevMaterials.2.054201. [DOI] [Google Scholar]
- 22.Thole BT, et al. 3d x-ray-absorption lines and the 3d94fn+1 multiplets of the lanthanides. Phys. Rev. B. 1985;32:5107–5118. doi: 10.1103/PhysRevB.32.5107. [DOI] [PubMed] [Google Scholar]
- 23.van der Laan, G. Hitchhiker’s Guide to Multiplet Calculations, Lect. Notes. Phys. 697, 143–200 (2006).
- 24.Cowan, R. D. The theory of atomic structure and spectra (Univ of California Press, Berkeley, 1981).
- 25.van der Laan G, Thole BT. Strong magnetic x-ray dichroism in 2p absorption spectra of 3d transition-metal ions. Phys. Rev. B. 1991;43:13401–13411. doi: 10.1103/PhysRevB.43.13401. [DOI] [PubMed] [Google Scholar]
- 26.Duffy LB, Figueroa AI, van der Laan G, Hesjedal T. Codoping of Sb2Te3 thin films with V and Cr. Phys. Rev. Mater. 2017;1:064409. doi: 10.1103/PhysRevMaterials.1.064409. [DOI] [Google Scholar]
- 27.Baker AA, et al. Magnetic proximity-enhanced Curie temperature of Cr-doped Bi2Se3 thin films. Phys. Rev. B. 2015;92:094420. doi: 10.1103/PhysRevB.92.094420. [DOI] [Google Scholar]
- 28.Thole BT, Carra P, Sette F, van der Laan G. X-ray circular dichroism as a probe of orbital magnetization. Phys. Rev. Lett. 1992;68:1943. doi: 10.1103/PhysRevLett.68.1943. [DOI] [PubMed] [Google Scholar]
- 29.Carra P, Thole BT, Altarelli M, Wang X. X-ray circular dichroism and local magnetic fields. Phys. Rev. Lett. 1993;70:694. doi: 10.1103/PhysRevLett.70.694. [DOI] [PubMed] [Google Scholar]
- 30.Collins-McIntyre LJ, et al. Structural, electronic, and magnetic investigation of magnetic ordering in MBE-grown CrxSb2−xTe3 thin films. EPL (Europhys. Lett.) 2016;115:27006. doi: 10.1209/0295-5075/115/27006. [DOI] [Google Scholar]
- 31.Barla A, et al. Design and performance of BOREAS, the beamline for resonant X-ray absorption and scattering experiments at the ALBA synchrotron light source. J. Synchrotron Rad. 2016;23:1507–1517. doi: 10.1107/S1600577516013461. [DOI] [PubMed] [Google Scholar]

