Abstract
The type III secretion system of Pseudomonas aeruginosa is an important virulence factor contributing to the cytotoxicity and the invasion process of this microorganism. The current study aimed to determine the presence of the exoU+/exoS+ genotype in P. aeruginosa clinical isolates. The presence of exoS, exoT, exoU and exoY was determined in 189 P. aeruginosa by PCR, and the presence/absence of exoU was analysed according to source infection, clonal relationships, biofilm formation, motility and antimicrobial susceptibility. The gyrA, parC, oprD, efflux pump regulators and β-lactamases genes were also analysed by PCR/sequencing. The exoS, exoT and exoY genes were found in 100% of the isolates. Meanwhile, exoU was present in 43/189 (22.8%) of the isolates, being significantly associated with multidrug resistance, extensively drug resistance as well as with higher level quinolone resistance. However, the presence of β-lactamases, mutations in gyrA and parC, and relevant modifications in efflux pumps and OprD were not significantly associated with exoU+ isolates. MLST analysis of a subset of 25 isolates showed 8 different STs displaying the exoU+/exoS+ genotype. The MDR basis of the exoU+ isolates remain to be elucidated. Furthermore, the clinical implications and spread of exoU+/exoS+ P. aeruginosa isolates need to be established.
Subject terms: Antimicrobial resistance, Molecular biology
Introduction
Pseudomonas aeruginosa is a Gram-negative pathogen causing opportunistic infections in susceptible hosts. It is a leading cause of acute pneumonia in hospitalised patients and is responsible for chronic lung infections in patients with cystic fibrosis1. One of the reasons for the poor clinical outcomes of P. aeruginosa infections is thought to be virulence factors, especially the Type III secretion system (T3SS) which is considered an important contributor to cytotoxicity and the invasion process2–4. This system allows these bacteria to directly inject effector proteins into eukaryotic cells. At present, four effector proteins have been identified: ExoU, a phospholipase; ExoY, an adenylate cyclase; and ExoS and ExoT, which are bifunctional proteins. ExoT and ExoY are encoded by almost all strains, therefore might be considered an inevitable component of P. aeruginosa virulence5. ExoS and ExoU contribute greatly to pathogenesis. Thus, ExoU is responsible for a highly cytotoxic phenotype which leads to host cell death and is considered to be a relevant factor involved in the severity of infections and as an independent factor of early mortality during blood infections6–8. Furthermore, it has been shown that the exoU gene is a key factor in the early stages of P. aeruginosa pneumonia9. Meanwhile, the distribution of the genes encoding these effectors is not uniform and some, particularly exoS and exoU, are almost always mutually exclusive5,7,10–12. probably because these genes provide enhanced fitness in distinct ecological niches13. However, some reports have shown the concomitant presence of both genes in a significant number of clinical isolates14–16.
In recent years, the incidence of multidrug resistance (MDR) especially to fluoroquinolones (FQs) and carbapenems, has increased, becoming a major issue for nosocomial infection by P. aeruginosa. In this microorganism, the mechanisms of resistance to FQs are mainly chromosomal such as the presence of target-site gene mutations (TSMs) or increased production of resistance–nodulation–cell division (RND) type efflux pumps4,17. However, quinolone resistance transferable determinants such as the presence of qnr or crpP genes have been reported18,19. On the other hand, the most frequent mechanisms of resistance to carbapenems include the inactivation of OprD, the increased production of multidrug efflux pumps, and hydrolysis by carbapenemases4,17.
Several studies have reported the relationship between the presence of the exoU gene and MDR in clinical isolates of P. aeruginosa3,4,15,20. However, the concomitant presence of the exoU+ and exoS+ genes has scarcely been reported due to the frequent mutual exclusion of the two genes. Therefore, this study aimed to determine the presence of the exoU+/exoS+ genotype and its association with phenotypic characteristics, resistance genes related to MDR and efflux pump regulators in clinical isolates of P. aeruginosa.
Results
Bacterial isolates and distribution of genes encoding T3SS
The exoS, exoT and exoY genes were found in 100% of the isolates studied. Meanwhile, the exoU gene was present in 43/189 (22.8%) of the isolates, Therefore, all isolates presenting the exoU+ gene were exoU+/exoS+.
No unspecific annealing of the primers was detected during the in silico analysis, thereby ruling out the possibility of false priming. On the other hand, the high prevalence of exoU+ genotype isolates was not related to the spread of a unique BOX-pattern. Thus, exoU+ isolates were classified within 25 different BOX groups. Sixteen BOX-patterns contained both exoU+ and exoU− genes (Supplementary Figure). The results were fully validated by the sequencing of exoU and exoS amplicons in 25 isolates (one for each BOX group).
exoU+/exoS+ genotype and hospital wards
The exoU gene was detected in 23/77 (53.4%) of the isolates from Hospital Arzobispo Loayza (HAL) and in 20/112 isolates (46.5%) of isolates from Hospital Nacional Cayetano Heredia (HNCH), bordering but without reaching significant differences (p = 0.0529).
Fifty-three P. aeruginosa had no data about hospital ward origin. The analysis of the remaining 136 isolates showed that exoU was more frequent among P. aeruginosa from patients attending Intensive Care Units (ICUs) [9/18 (50.0%) p = 0.0197] and the burn ward (6/8, 75.0%, p = 0.0019). Nonetheless, the presence of exoU was not specifically associated with any source of infection (Tables 1 and 2).
Table 1.
Distribution of the exoU+/exoS+ genotype among the isolates analyzed.
| Characteristics | exoU+/exoS+ | exoU−/exoS+ |
|---|---|---|
| Number of isolates = 189 | 43 | 146 |
| HNCH isolates = 112 | 20 (46.5%) | 92 (63.0%) |
| HAL isolates = 77 | 23 (53.4%) | 54 (36.9%) |
| Bronchial secretions 72/189 | 15 (34.8%) | 57 (39.0%) |
| Wounds/abscesses = 33/189 | 10 (23.2%) | 23 (15.7%) |
| Urine = 55/189 | 13 (30.2%) | 42 (28.7%) |
| Other = 29/189 | 5 (11.6%) | 24 (16.4%) |
| SBP = 78 | 14 (32.5%) | 64 (43.8%) |
| Presence of twitching = 163 | 38 (88.3%) | 125 (85.6%) |
| Presence of swarming = 109 | 21(48.8%) | 88 (60.2%) |
| Presence of swimming = 157 | 36 (83.7%) | 121 (82.8%) |
HNCH: Hospital Nacional Cayetano Heredia, HAL: Hospital Arzobispo Loayza, SBP: Strong biofilm producer. In no case were observed significant differences.
Table 2.
Hospital ward origin of Pseudomonas aeruginosa isolates.
| Ward | n = 189 | exoU+/exoS+ | exoU−/exoS+ |
|---|---|---|---|
| ICU | 18 | 9 (50.0%)b | 9 (50.0%) |
| Burnsa | 8 | 6 (75.0%)c | 2 (25.0) |
| External | 28 | 9 (32.1%) | 19 (67.9%) |
| Other | 82 | 13 (15.9%) | 69 (84.1%) |
| ND | 53 | 6 (12.8%) | 47 (87.2) |
ICU: Intensive Care Units; Externa: Samples belonging to hospital outpatients; ND: Isolates from which no specific hospital ward data was recorded, thus these isolates have not been included in the statiscal analysis; Other: All remaining hospitalisation wards.
aAll burn patients were from Hospital Arzobispo Loayza.
bSignificant number of exoU+ isolates (p = 0.0197).
cSignificant number of exoU+ isolates (p = 0.0017).
exoU+/exoS+ genotype and biofilm production and bacterial motility
On analysing the association of the presence of exoU+/exoS+ genotype with other bacterial characteristics, it was observed that 42/43 (97.7%) exoU+/exoS+ and 142/146 (97.3%) exoU−/exoS+ isolates were able to form biofilm, although no significant association with strong biofilm production was detected. Thus 14/43 (32.5%) exoU+ isolates presented strong biofilm production (SBP), while 64/146 (43.8%) exoU− isolates presented the SBP phenotype (Table 1). With respect to bacterial motility, there was no significant association between exoU and the motility phenotype; however, 88.3%, 83.7% and 48.8% exoU+ isolates presented twitching, swimming and swarming, respectively (Table 1).
exoU+/exoS+ genotype and antimicrobial resistance
The exoU+ genotype was more likely to be found in FQ and aminoglycoside non-susceptible than susceptible isolates. Thus, 35/43 (81.4%) FQ non-susceptible isolates showed the presence of the exoU gene (p = 0.000256) (Fig. 1). Similarly, 30/43 (69.8%) of the exoU+ isolates were non-susceptible to aminoglycosides (p = 0.001246). On the other hand, although not significant, the exoU+ isolates were more resistant to cephalosporins and carbapenems. Thus, 24/43 (55.9%) and 27/43 (62.8%) of the isolates displaying the exoU+ genotype were non-susceptible to these antimicrobial classes, respectively (Table 3).
Figure 1.

Levels of non-susceptibility to fluoroquinolones in exoU+/exoU− isolates. FQ: Fluoroquinolones; *p = 0.000256.
Table 3.
Percentage of antimicrobial resistance of Pseudomonas aeruginosa isolates.
| Antimicrobial Agents | Total (n = 189) | ||
|---|---|---|---|
| exoU+/exoS+ (n = 43) | exoU−/exoS+ (n = 146) | P value | |
| Cephalosporins | 55.8 | 39.7 | 0.061364 |
| CAZ | 44.2 | 37.0 | 0.394074 |
| FEP | 55.8 | 39.0 | 0.050771 |
| Monobactam | |||
| ATM | 69.8 | 38.4 | 0.000277 |
| β-lactam + inhibitors | |||
| PTZ | 41.9 | 32.9 | 0.277429 |
| Carbapenems | 62.8 | 48.6 | 0,102388 |
| IMI | 60.5 | 47.9 | 0.148927 |
| MER | 62.8 | 41.8 | 0.015202 |
| Aminoglycosides | 69.8 | 41.8 | 0.001246 |
| GM | 65.1 | 41.1 | 0.005514 |
| TO | 34.9 | 41.1 | 0.464281 |
| AK | 60.5 | 36.3 | 0.004749 |
| Fluoroquinolones | 81.4 | 50.0 | 0.000256 |
| CIP | 76.7 | 43.8 | 0.000148 |
| LVX | 81.4 | 45.2 | 0.000029 |
| OFX | 81.4 | 49.3 | 0.000191 |
| Polymyxins | 0 | 0 | — |
| COL | 0 | 0 | — |
| PS | 16.3 | 34.2 | 0.024049 |
| MR | 7.0 | 22.6 | 0.021821 |
| MDR | 20.9 | 8.2 | 0.019749 |
| XDR | 55.8 | 34.9 | 0.013893 |
| MDR + XDR | 76.7 | 43.1 | 0.000108 |
CAZ: Ceftazidime, FEP: Cefepime, ATM: Aztreonam, PTZ: Piperacillin/Tazobactam, IMI: Imipenem, MER: Meropenem, GM: Gentamicin, TO: Tobramicin, AK: Amikacin, CIP: Ciprofloxacin, LVX: Levofloxacin, OFX: Ofloxacin. PS: Pan-susceptible. MR: Moderately drug-resistant; MDR: Multi drug-resistant. XDR: Extensively drug-resistant. The significant differences are highlighted in bold.
On analysing the resistance levels to specific antibacterial agents, the exoU+ isolates were related to higher levels of resistance to all the FQs (levofloxacin - LVX; 81.4%, p = 0.000029; ofloxacin - OFX: 81.4%, p = 0.000191; ciprofloxacin - CIP: 76.7%. p = 0.000148) and monobactams (aztreonam: 69.8%, p = 0.000277) tested, as well as several aminoglycosides (gentamicin: 65.1%, p = 0.005514 and amikacin: 60.5%, p = 0.004749) and carbapenems (meropenem: 62.8%, p = 0.015202). Overall, 33 out of 43 exoU+ isolates were classified as MDR or XDR [extensively drug-resistant] (p = 0.000108). Thus, the presence of exoU was associated with both MDR (20.9%, p = 0.019749) and XDR (55.8%, p = 0.013893) isolates. On the other hand, the absence of exoU was associated with pan-susceptible (PS) and moderately drug-resistant (MR) isolates (34.2%, p = 0.024049 and 22.6%, p = 0.021821 respectively) [Table 3]. All the isolates were susceptible to colistin.
exoU+/exoS+ genotype and non-susceptibility to fluoroquinolones
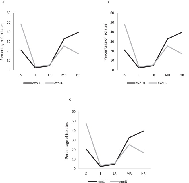
To further evaluate the correlation between the level of susceptibility to FQ and the T3SS genotype, the presence of the exoU+ genotype regarding distribution of the MIC of LVX, OFX and CIP was determined (Fig. 2). The results showed that the presence of exoU+ was significantly more frequent among isolates with a high level of resistance (MIC > 128 mg/L) to LVX/OFX (p = 0.002818/p = 0.004902 respectively) and to CIP (MIC > 64 mg/L; p = 0.000191), while no differences were found between exoU+ and exoU− genotypes regarding low or moderate resistance levels to any of the FQ tested. On the other hand, exoU− isolates were associated with FQ susceptibility [LVX/OFX (MIC < 2 mg/L; p-values: 0.001596/0.003488) and CIP (MIC < 1 mg/L; p = 0.000859)] (Fig. 2).
Figure 2.
Association between fluoroquinolone MIC levels and exoU+/exoU− isolates. Only significant differences are reported. (a) Differences in the levofloxacin MIC levels between exoU+ and exoU− isolates. S: Susceptible (MIC ≤ 2 mg/L; p = 0.001596); I: Intermediate (MIC of 4 mg/L); LR: Low Resistance Levels (MIC of 8–16 mg/L); MR: Moderate Resistance Levels (MIC of 32–64 mg/L); HR: High Resistance Levels (MIC > 128 mg/L; p = 0.002818). (b) Differences in the ofloxacin MIC levels between exoU+ and exoU− isolates. S: Susceptible (MIC ≤ 2 µg/ml; p = 0.003488); I: Intermediate (MIC of 4 µg/ml); LR: Low Resistance Levels (MIC of 8–16 mg/L); MR: Moderate Resistance Levels (MIC of 32–64 mg/L); HR: High Resistance Levels (MIC > 128 mg/L; p = 0.004902). (c) Differences in the ciprofloxacin MIC levels between exoU+ and exoU− isolates. S: Susceptible (MIC ≤ 1 mg/L; p = 0.000859); I: Intermediate (MIC of 2 mg/L); LR: Low Resistance Levels (MIC of 4–8 mg/L); MR: Moderate Resistance Levels (MIC of 16–32 mg/L); HR: High Resistance Levels (MIC > 64 mg/L; p = 0.000191).
exoU+/exoS+ genotype and mutations in target genes of QRDR
The gyrA and parC QRDR regions were amplified and sequenced in a subset of 50 isolates; 13/43 (30.2%) exoU+ and 37/146 (25.3%) exoU− (Table 4). Of these, 2 exoU+ and 14 exoU− isolates had no TSM. However, 5 of these 14 exoU− isolates (1094, 1104, 1117, 1120 and 1121) displayed resistance to at least one of the FQs tested.
Table 4.
Distribution of exoU+/exoS+ genotype according to the gyrA/parC QRDR, oprD gene and efflux pumps regulators.
| exoU+ (n = 13)% | exoU− (n = 37)% | P value | |
|---|---|---|---|
| TSM single | 2 (15.3) | 5 (13.5) | 0.867 |
| TSM multiple | 9 (69.2) | 18 (48.6) | 0.200 |
| MexAB - RM | 5 (38.5) | 21 (56.7) | 0.256 |
| MexAB - IM | 8 (61.5) | 16 (43.2) | |
| MexEF- RM | 4 (30.7) | 19 (51.3) | 0.200 |
| MexEF- IM | 9 (69.2) | 18 (48.6) | |
| MexXY - RM | 1 (7.70) | 2 (5.40) | 0.765 |
| MexXY - IM | 12 (92.3) | 35 (94.6) | |
| oprD - RM | 7 (53.8) | 17 (45.9) | 0.623 |
| oprD - IM | 6 (46.1) | 20 (54.0) |
TSM: Target Site Mutation RM: Relevant Modification; IM: Irrelevant Modification.
No alteration was found on nfxB (MexCD regulator).
Similar proportions of single TSM were observed between exoU+ and exoU− isolates. Thus 2/13 (15.3%) exoU+ and 5/37 (13.5%) exoU− isolates possessed a single TSM. Meanwhile, 9/13 (69.2%) of exoU+ and 18/37 (48.6%) of exoU− isolates possess multiple TSMs (Tables 4 and 5).
Table 5.
Modifications in target genes of the QRDR, efflux pump regulators, the oprD gene and antimicrobial susceptibility to fluoroquinolones and carbapenems in exoU+ and exoU− isolates.
| exoU Genotype | Isolates | gyrA | parC | nalD | nalC | mexR | nfxB | mexZ | mexS | mexT | FQ MIC (mg/L) | oprD | IMI | MER | ||
|---|---|---|---|---|---|---|---|---|---|---|---|---|---|---|---|---|
| LVX | OFX | CIP | ||||||||||||||
| exoU+ | 1069 | — | — | — | G71E | — | — | — | NA-c | — | 0.5 | 2 | 0.5 | 2 | S | S |
| exoU+ | 1070 | T83I | S87L | ∆nt397-398 | G71E,S209R | V126E | — | L105R | — | — | 64 | 128 | 32 | W65* + 2 | R | R |
| exoU+ | 1071 | T83I | S87L | — | G71E,S209R | V126E | — | L105R | — | — | 64 | 128 | 32 | W65* + 2 | R | R |
| exoU+ | 1072 | T83I | S87L | NA | G71E,S209R | V126E,L131P | — | L105R | NA-b | — | 64 | 128 | 64 | NA | R | R |
| exoU+ | 1073 | E153K | — | R44P | G71E,S209R,A145V | V126E | — | L105R,R167S | — | — | 32 | 64 | 8 | 3 | S | S |
| exoU+ | 1074 | — | — | — | G71E,S209R | V126E | — | NA | NA-c | — | 1 | 2 | 0.5 | 3 | S | S |
| exoU+ | 1075 | T83I | S87L | — | G71E,S209R,D79E | V126E | — | G56S | V73A | — | 16 | 64 | 16 | 3 | R | R |
| exoU+ | 1076 | — | S87L | — | G71E,S209R | — | — | — | — | — | 128 | >256 | 128 | T103S,K115T,F170L, E185Q,P186G,V189T,G307D | R | R |
| exoU+ | 1077 | T83I | S87L | — | G71E,S209R | V126E | — | — | — | — | 64 | 32 | 64 | insnt 1201-1205 (GTCCA) + 3 | R | R |
| exoU+ | 1078 | T83I | S87L | ∆nt 263-279 | — | V126E | — | — | — | — | 128 | 256 | 64 | insnt 1201-1205 (GTCCA) + 3 | R | R |
| exoU+ | 1079 | T83I/D87N | S87L | ∆nt 263-279 | G71E,S209R | V126E | — | — | — | — | 256 | 256 | 256 | 3 | S | S |
| exoU+ | 1080 | T83I | S87L | ∆nt 263-279 | G71E,S209R | V126E | — | — | NA-b | - | 64 | 128 | 64 | insnt 1201-1205 (GTCCA) + 3 | R | R |
| exoU+ | 1081 | T83I | S87L | L194R | G71E,S209R | V126E | — | — | — | — | 64 | 256 | 64 | 3 | S | S |
| exoU− | 1082 | — | — | — | G71E,S209R | — | — | — | — | NA | 0.5 | 1 | 0.5 | 4 | S | S |
| exoU− | 1084 | T83I | S87L | NA | G71E,A145V,S209R | — | — | — | NA-c | P185R | 128 | 256 | 64 | insnt941–942(GC) | R | R |
| exoU− | 1085 | T83I | S87L | ∆nt451-461 | G71E,S209R | — | — | Y18C | NA-c | — | 128 | 256 | 128 | — | S | S |
| exoU− | 1086 | T83I | S87L | ∆nt 397-398 | G71E,S209R | V126E | — | ∆AA F103-V112 | — | — | 64 | 128 | 64 | insnt678 (G) + C | R | R |
| exoU− | 1087 | — | — | — | NA | V126E | — | L105R | NA-c | — | 1 | 2 | 0.25 | 3 | R | S |
| exoU− | 1088 | — | — | — | NA | V126E | — | — | NA-c | NA | 0.5 | 1 | 0.5 | 2 | S | S |
| exoU− | 1089 | T83I | S87L | ∆nt 397-398 | G71E,S209R | V126E | — | L105R | — | — | 128 | 128 | 32 | 2 | R | R |
| exoU− | 1092 | D87N | S87L | 1 | G71E,S209R | V126E | — | S66L | — | — | 4 | 4 | 2 | NA | S | S |
| exoU− | 1093 | T83I | — | ∆nt 397-398 | G71E,S209R | V126E | — | L105R | — | — | 64 | 256 | 32 | NA | R | R |
| exoU− | 1094 | — | — | — | ∆nt234-243 + G71E,Q81P | — | — | — | NA-b | — | 4 | 16 | 0.5 | 2 | S | S |
| exoU− | 1095 | T83I | S87L | — | G71E,S209R | NA | — | H18Y | NA-b | — | 64 | 64 | 32 | Y49* + 4 | R | R |
| exoU− | 1096 | T83I | S87L | ∆nt 391 | G71E,S209R | V126E | — | V72L | G224S | — | 128 | 128 | 64 | V127L | S | S |
| exoU- | 1097 | — | — | ∆nt 391 | G71E,S209R | — | — | — | NA-b | — | 4 | 2 | 0.25 | 3 | S | S |
| exoU− | 1098 | — | — | T188A | G71E,S209R,P210L | — | — | Q21* | — | — | 1 | 1 | 1 | insnt 605-609 (CAACA) + 4 | R | S |
| exoU− | 1100 | T83I | S87L | — | G71E,S209R | NA | — | H18Y | — | — | 64 | 128 | 32 | Y49* + 4 | R | R |
| exoU− | 1102 | T83I | S87L | — | G71E,S209R | V126E | — | H18Y | — | — | 16 | 64 | 8 | Y49* + 4 | R | R |
| exoU− | 1103 | — | — | — | G71E,A186T | — | — | E124K | — | — | 2 | 2 | 0.25 | NA | S | S |
| exoU− | 1104 | — | — | — | G71E,S209R | L131P | — | — | NA-c | — | 8 | 32 | 32 | 4 | R | R |
| exoU− | 1105 | T83I | S87L | ∆nt 397-398 | G71E,S209R | V126E | — | L105R | — | — | 64 | 64 | 32 | W65* + 2 | R | R |
| exoU− | 1106 | — | S87L | — | — | NA | — | ∆nt408-409 | NA-c | — | 4 | 2 | 1 | — | S | S |
| exoU− | 1107 | — | — | — | G71E,S209R,P210L | NA | — | L95M | NA-c | D290E | 2 | 2 | 0.5 | 4 | S | S |
| exoU− | 1108 | — | — | T188A | G71E,S209R | — | — | — | — | — | 0.5 | 2 | 0.5 | 3 | S | S |
| exoU− | 1109 | — | — | — | G71E,S209R,D79E | — | — | — | — | NA | 0.5 | 1 | 0.5 | 4 | S | S |
| exoU− | 1110 | T83I | S87L | — | G71E,S209R | — | — | — | — | P185R | 128 | 256 | 128 | insnt941–942(GC) | R | S |
| exoU− | 1111 | T83I | S87L | — | — | NA | — | H18Y | NA-b | — | 128 | > 256 | 128 | Y49* + 4 | R | R |
| exoU− | 1112 | T83I | S87L | — | G71E,S209R | NA | — | H18Y | NA-b | — | 64 | 128 | 64 | Y49* + 4 | R | R |
| exoU− | 1113 | T83I | S87L | ∆nt 397-398 | G71E,S209R | V126E | — | L105R | — | — | 128 | 128 | 32 | W65* + 2 | R | R |
| exoU− | 1114 | — | S87L | — | G71E,S209R | — | — | — | — | — | 16 | 32 | 16 | 4 | S | S |
| exoU− | 1115 | T83I | S87L | — | G71E,S209R | — | — | — | — | — | 32 | 64 | 32 | 4 | S | S |
| exoU− | 1116 | T83I | S87L | — | G71E,S209R | — | — | — | — | — | 32 | 64 | 32 | 4 | S | S |
| exoU− | 1117 | — | — | — | — | — | — | — | NA-c | — | 16 | 4 | 0.25 | 4 | S | S |
| exoU− | 1118 | T83I/D87N | S87L | ∆nt 263-279 | G71E,S209R | V126E | — | — | — | — | 128 | >256 | >256 | 3 | S | S |
| exoU− | 1119 | T83I | — | — | S209R | V126E | — | — | NA-b | — | 8 | 16 | 4 | 4 | S | S |
| exoU− | 1120 | — | — | — | G71E,S209R | V126E | — | — | NA-d | — | 8 | 4 | 2 | 4 | S | S |
| exoU− | 1121 | — | — | — | G71E,S209R | NA | — | L141Q | NA-c | — | 8 | 64 | 1 | insnt1087(A) + ∆nt 1294(T) + T103S,K115T,F170L | R | R |
| exoU− | 1122 | D87N | — | — | G71E,S209R | — | — | — | NA-c | — | 64 | 64 | 64 | Y49* + 4 | R | R |
| exoU− | 1123 | T83I | S87L | — | G71E,S209R | NA | — | H18Y | — | — | 64 | 128 | 32 | Y49* + 4 | R | R |
The symbol “−” represent wild type isolates; NA: No amplification; the symbol ∆nt represents nucleotide deletion being noted the first and last nucleotides deleted; the symbol ∆AA represents amino acid deletions being noted the first and last amino acid deleted; insnt: nucleotide insertion; The symbol “*” represents codon STOP. FQ-MIC: MIC to fluoroquinolones (LVX: Levofloxacin; OFX: Ofloxacin; CIP: Ciprofloxacin); IMI/MER are isolates showing susceptibility (S); resistance or intermediate susceptibility (R) to imipenem or meropenem performed by the disk diffusion assay.
Alterations at nalC, nalD, mexR, mexS and mexT as well as the patterns of OprD were previously described17. The patterns of OprD are named accordingly to Horna et al.17.
1. Amino acid substitutions: Q134H, Q142H, A145P, D147H, E148K, C149R, H154P, R160K, D176E, D185Y, G206S, S209I.
2. oprD-Pattern C17: V127L, E185Q, P186G, V189T, E202Q, I210A, E230K, S240T, N262T, T276A, A281G, K296Q, Q301E, R310E, (±G312R), A315G, L347M, S403A, Q424E + 372V-DSSSSYAGL-383.
3. oprD-Pattern B17: T103S, K115T, F170L, E185Q, P186G, V189T, R310E, A315G, (±G425A).
4. oprD-Pattern A17: E202Q, I210A, E230K, S240T, N262T, A267S, A281G, K296Q, Q301E, R310G, (±V352I), V359L, (±Q424R) + 372V-DSSSSYAGL-383.
NA-b: No amplification of mexS gene but amplification of N- and C-terminal regions.
NA-c: No amplification of mexS gene but amplification of N-terminal region.
NA-d: No amplification of mexS gene and no amplification of N- and C- terminal regions.
Overall, 34 isolates with mutations in gyrA and/or parC showed resistance to at least one FQ. The most frequent amino acid substitutions were T83I and S87L at GyrA and ParC respectively, which were concomitantly found in 24 isolates, and only GyrA T83I was found in 2 isolates and ParC S87L in another 3 isolates. In addition, one isolate showed the amino acid codon substitution D87N in the gyrA gene, and another presented the double substitution D87N in GyrA and S87L in ParC. Meanwhile two isolates concomitantly presented 2 amino acid codon substitutions in gyrA (T83I/D87N) and one in parC (S87L) showing high MICs to all FQs. Finally, one isolate having the GyrA substitution E153K was detected, showing moderate resistance levels to FQ.
exoU+/exoS+ genotype and gene regulators of efflux pumps
The analysis of the MexAB-OprM regulators genes (mexR, nalC and nalD) showed the presence of 5/13 (38.5%) relevant and 8/13 (61.5%) irrelevant modifications in the exoU+ isolates. Meanwhile these regulators genes showed relevant and irrelevant modifications in the 21/37 (56.7%) and 16/37 (43.2%) of the exoU− isolates respectively.
The analysis of the MexEF-OprN regulators shown a similar scenario. Thus, 4/13 (30.7%) and 9/13 (69.2%) of the exoU+ displayed relevant and irrelevant modifications in mexS and mexT respectively. In the same way 19/37 (51.3%) of relevant and 18/37 (48.6%) of irrelevant modifications were detected among exoU− isolates. Interestingly, the five exoU− isolates (1094, 1104, 1117, 1120, 1121) showing resistance to at least one of the FQs tested in the absence of TSM possess relevant modifications in the mexS gene, and also in nalC (isolate 1094) and mexR (isolate 1121).
Forty-seven out of 50 isolates (94%) showed irrelevant modifications in mexZ (a regulator of MexXY-OprM). Regarding MexCD-OprJ, no isolate showed alterations in the nfxB gene (Tables 4 and 5).
exoU+/exoS+ genotype and β-lactamases
Overall, 67 isolates suspected of carrying metallo-β-lactamases and/or serine-carbapenemases were phenotypically detected: 22 metallo-β-lactamases, 39 serine-carbapenemases and 6 with both metallo-β-lactamases and serine-carbapenemases. It was of note that 4 of these isolates were susceptible to both imipenem and meropenem. PCR results showed that the blaGIM, blaSIM, blaSPM, blaVIM genes and blaIMI and blaKPC corresponding to metallo-β-lactamases and serine-carbapenemases, respectively were not found in any isolate. All isolates suspected of carrying metallo-β-lactamases presented blaIMP while those which were positive for serine-carbapenemases possessed blaGES. All the exoU+ isolates showed a higher proportion of blaGES 32.5% (14/43) than blaIMP 9.30% (4/43), however no differences were observed (p = 0.246). In contrast, the exoU− isolates showed similar proportions of both genes [blaGES 21.2% (31/146) vs. blaIMP 16.4% (24/146); p = 0.125].
exoU+/exoS+ genotype and oprD gene
Neither relevant nor irrelevant modifications in the oprD gene were associated with the presence of exoU. Thus, in the oprD gene of exoU+ isolates were detected 7/13 (53.8%) and 6/13 (46.1%) relevant and irrelevant modifications respectively. Meanwhile, 17/37 (45.9%) and 20/37 (54.0%) exoU− isolates showed relevant and irrelevant modifications in oprD gene (Tables 4 and 5).
exoU+/exoS+ genotype and multi-locus sequence typing (MLST)
MLST analysis showed the presence of 16 different sequence types (STs) among the analysed subset of 25 P. aeruginosa isolates analysed, with 13 exoU+ isolates distributed in 8 different ST patterns. Of these, ST235 and ST357 were the most frequently found. ST235 was detected in 6 isolates from HNCH, with 5 isolates being exoU+ (2 XDR, 2 MDR and 1 MR) and 1 exoU− (MR). ST357 was detected in 5 isolates from HAL, all being XDR and only susceptible to colistin and with two presenting the exoU gene. Furthermore, five new STs were found in the present study (ST3300, ST3301, ST3302, ST3303, and ST3305) two (ST3300 and ST3303) being exoU+ [Table 6].
Table 6.
Distribution of Multi-Locus Sequence Typing and exoU+/exoS+ genotype.
| Isolates | Hospital | acsA | aroE | guaA | mutL | nuoD | ppsA | trpE | ST | exoU genotype | β-lactamases | Antimicrobial profile | Source of infections |
|---|---|---|---|---|---|---|---|---|---|---|---|---|---|
| 1069 | HNCH | 6 | 10 | 5 | 3 | 4 | 3 | 112 | 2726 | exoU+ | − | MR | 5 |
| 1070 | HNCH | 2 | 4 | 5 | 3 | 1 | 6 | 11 | 357 | exoU+ | − | XDR* | 2 |
| 1071 | HNCH | 2 | 4 | 5 | 3 | 1 | 6 | 11 | 357 | exoU+ | − | XDR* | 3 |
| 1072 | HNCH | 16 | 4 | 5 | 3 | 1 | 6 | 10 | 3303 | exoU+ | ges like | XDR | 1 |
| 1073 | HNCH | 50 | 13 | 105 | 28 | 16 | 7 | 47 | 759 | exoU+ | − | MDR | 2 |
| 1074 | HAL | 28 | 5 | 4 | 5 | 4 | 38 | 167 | 3300 | exoU+ | − | PS | 1 |
| 1075 | HAL | 13 | 4 | 5 | 5 | 12 | 7 | 15 | 308 | exoU+ | ges like | XDR* | 1 |
| 1076 | HAL | 22 | 20 | 11 | 3 | 3 | 3 | 7 | 348 | exoU+ | ges like/imp like | XDR | 2 |
| 1077 | HAL | 38 | 11 | 3 | 13 | 1 | 2 | 4 | 235 | exoU+ | ges like | XDR | 3 |
| 1078 | HAL | 38 | 11 | 3 | 13 | 1 | 2 | 4 | 235 | exoU+ | ges like | XDR | 3 |
| 1079 | HAL | 38 | 11 | 3 | 13 | 1 | 2 | 4 | 235 | exoU+ | ges like | MDR | 2 |
| 1080 | HAL | 38 | 11 | 3 | 13 | 1 | 2 | 4 | 235 | exoU+ | imp like | XDR | 1 |
| 1081 | HAL | 38 | 11 | 3 | 13 | 1 | 2 | 4 | 235 | exoU+ | − | MR | 5 |
| 1089 | HNCH | 2 | 4 | 5 | 3 | 1 | 6 | 11 | 357 | exoU− | ges like/imp like | XDR* | 5 |
| 1093 | HNCH | 2 | 4 | 5 | 3 | 1 | 6 | 11 | 357 | exoU− | ges like | XDR* | 5 |
| 1094 | HNCH | 28 | 20 | 94 | 5 | 1 | 6 | 10 | 2118 | exoU− | − | MR | 1 |
| 1100 | HNCH | 36 | 27 | 28 | 3 | 4 | 13 | 7 | 179 | exoU− | ges like/imp like | MDR | 3 |
| 1104 | HNCH | 28 | 5 | 5 | 11 | 27 | 15 | 44 | 3302 | exoU− | ges like | XDR | 3 |
| 1105 | HNCH | 2 | 4 | 5 | 3 | 1 | 6 | 11 | 357 | exoU− | ges like | XDR* | 3 |
| 1115 | HNCH | 16 | 5 | 11 | 146 | 3 | 4 | 14 | 1751 | exoU− | − | MR | 3 |
| 1107 | HAL | 7 | 5 | 7 | 3 | 4 | 1 | 7 | 3305 | exoU− | − | PS | 4 |
| 1109 | HAL | 244 | 10 | 5 | 5 | 11 | 4 | 7 | 3301 | exoU− | − | PS | 1 |
| 1084 | HAL | 28 | 5 | 30 | 3 | 4 | 20 | 1 | 699 | exoU− | imp like | MDR | 2 |
| 1118 | HAL | 38 | 11 | 5 | 13 | 1 | 2 | 4 | 235 | exoU− | − | MR | 3 |
| 1119 | HAL | 6 | 5 | 6 | 5 | 4 | 4 | 7 | 641 | exoU− | − | XDR | 1 |
HAL: Hospital Arzobispo Loayza, HNCH: Hospital Nacional Cayetano Heredia. New alleles and new sequence types described in this study are highlighted in bold. (−) negative phenotype. PS: Pan-susceptible; MR: Moderately drug-resistant; MDR: Multi drug-resistant. XDR: Extensively drug-resistant. XDR*: isolates resistant to all the antimicrobial agents tested except colistin. (1) wound/abscesses, (2) urine, (3) bronchial secretion, (4) catheter, (5) sputum.
Discussion
This study aimed to determine the presence of the exoU+/exoS+ genotype and its association with different phenotypic and genetic characteristics, with special emphasis on MDR levels and the underlying mechanisms and efflux pump regulators in clinical isolates of P. aeruginosa. The exoU gene was present in 22.7% of our isolates, with a trend to be more frequent among HAL isolates, which might be explained because the observed association of exoU genotype with patients attending to burn ward (all from HAL). Nonetheless, the exoU+ P. aeruginosa showed no association with a specific source of infection. Other studies have reported that this gene was present in 28–42% of P. aeruginosa isolates causing acute infections, being especially related to pneumonia and respiratory infections8,11,20,21.
On the other hand, in the current study the presence of the exoS, exoT and exoY genes was found in 100% of the isolates. Similar results were reported for other studies in which the prevalence of these genes varied from 58–72% for exoS, for 89% of exoY, for 92–100% of exoT11,22. Interestingly, previous studies have shown the mutual exclusion of the exoU and exoS genes5,7,10,11. However, few studies have reported the concomitant presence of both genes in association with acute infection, being for instance detected in 40 out of 60 (67%) isolates of P. aeruginosa from bacteremia, belonging to 42 different pulse-field gel electrophoresis patterns16. The clonal relationships among the current analysed isolates were previously determined by Horna et al.23, with the 189 P. aeruginosa distributed in 72 different BOX-patterns; of these, 27 BOX-patterns were represented by a single isolate and the remaining 45 BOX-patterns including up to 14 isolates23. The exoU+/exoS+ genotypes detected in our study were distributed within 25 out of these 72 different BOX-patterns, therefore, as in the study of Morales-Espinosa16, the current results do not represent the spread of a successful local clone. In addition, the presence of 16 BOX-patterns containing both exoU+ and exoU− genotypes suggests genetic events of acquisition/loss of the exoU encoding genomic islands and of intraspecies diversity due to the dynamic nature of the accessory genome of this microorganism24–26. Analysis of MLST patterns in a subset of 25 isolates, also showed high clonal heterogeneity, even in the exoU+ isolates. In addition, 2 of these ST (ST235 and ST357) had for both exoU+ and exoU− isolates. Although unusual, the presence of the exoU−/exoS+ genotype in isolates belonging to ST235 has also been previously described27. This finding agrees with the proposed events of acquisition/loss of the exoU gene. Furthermore, the present results support the proposed P. aeruginosa non-clonal epidemic population structure28, both highlighting the presence of several high-risk clones (such as ST235 and ST357) with a worldwide distribution12,25,29, and also showing the presence of a number of undescribed P. aeruginosa ST patterns in under studied geographical areas.
It has been proposed that P. aeruginosa possessing swarming motility are more prone to presenting T3SS30, and some authors have related the presence of swarming and swimming as well as that of exoU to higher virulence31. Nonetheless, in our study, no specific association was observed between the presence of the exoU+ genotype and motility. Regarding biofilm formation, Azimi et al. showed that only 2.5% of the isolates presenting the exoU and exoS genes were biofilm producers and that all non-biofilm producer isolates presented the exoU and/or exoS genes32. In agreement with this finding, although only 1/43 exoU+/exoS+ genotype isolates were unable to form biofilm, the present results did not show an association between the presence of exoU and SBP.
Some studies have reported that the exoU+/exoS− genotype was found to be significantly associated with MDR compared to the exoU−/exoS+ genotype1,2,4,33. This relationship was not observed in our study, since the exoS gene was found in all the isolates. However, the exoU+ isolates were significantly associated with MDR and XDR when compared to exoU− isolates. This association between the exoU genotype and the MDR/XDR phenotypes may be due to the presence of transferable antibiotic-resistant determinants such as integrons carrying mobile gene cassettes within the accessory genome of exoU+ P. aeruginosa25,34.
In agreement with other studies, here, the presence of the exoU genotype was associated with increased levels of FQ resistance as well as with P. aeruginosa isolates displaying high MIC levels to this antimicrobial class1,2,4,22. Similar to Agnello et al.35, the present results agree that the development of high level of resistance to FQ has a lower fitness cost on exoU+ compared to exoU− P. aeruginosa isolates. Of note, the emergence of the exoU+ ST235, established around 198429, coincides with the beginning of the use of FQ36, suggesting that the worldwide dissemination of this (and other) exoU+ ST has been favoured by this lack of deleterious effect on fitness of selected QRDR mutations29.
In agreement with other studies, the most frequent mutations were found in the amino acid codon 83 (T83I) and/or 87 (D87N) of gyrA and 87 (S87L) of parC1. In addition, a higher proportion of multiple TSM in gyrA and parC was found in exoU+ than in exoU− isolates. However, these were not significantly different, as also previously reported by Takata et al.4. Three resistant isolates had a single mutation in parC showing that a previous gyrA mutation is not a strict requisite for the acquisition of mutations at other target genes leading to resistance1. Finally, one isolate showed an uncommonly reported substitution in GyrA (E153K) having moderate resistance to FQ (MIC LVX = 32 mg/L, OFX = 64 µg/mL and CIP = 8 mg/L). This mutation has been previously identified in a P. aeruginosa isolate having a MIC of CIP of 8 mg/L and a concomitant amino acid change S87L in parC, and in two FQ-resistant unrelated Escherichia coli isolates, but neither data on MIC levels nor information of concomitant TSM was provided37,38.
P. aeruginosa has several RND-type efflux pumps, being MexAB-OprM, MexCD-OprJ, MexEF-OprN and MexXY-OprM efflux pumps well investigated39. In our study the exoU+ isolates showed higher proportions of irrelevant modifications in the regulators of MexAB-OprM and MexEF-OprN, and therefore these efflux pumps could presumably show normal basal expression levels. In agreement, in a previous study analysing mexA expression in a subset of isolates included in this study, those isolates having irrelevant modifications in MexAB-OprM regulators showed mexA expression levels equivalent to PAO1 and significant lowers (p = 0.02) than those reported in isolates having relevant modifications in these regulator genes17. Furthermore, this finding agrees with other studies showing that the isolates overexpressing mexB were less likely to be found among exoU+ isolates, and the overexpression of mexF and mexD was not correlated with the exoU+ genotype4. Although, in our study, almost all isolates showed the mexZ gene with irrelevant modifications (and as above may be considered as fully functional), it has been reported that the isolates overexpressing mexY were significantly associated with the exoU+ genotype4.
The 5 isolates possessing resistance to any of the FQ tested in the absence of a TSM were exoU−, further showing relevant alterations in at least one efflux pump regulator gene. Furthermore, data on 1094 isolate MexA and MexE expression levels were recorded in a previous study, showing increased mexA gene expression17. This finding suggests that in exoU− isolates FQ resistance will be more prone to be developed by mechanisms different to TSM supporting the proposed higher fitness cost of TSM in P. aeruginosa isolates presenting the exoU− genotype35.
Previous studies have reported that oprD mutations alone is the source of non-susceptibility to imipenem, and the mechanisms leading to meropenem resistance are thought to be multifactorial40. Although in a previous study an association between oprD defective mutations and the presence of exoU was observed4, this scenario was not found in the current study, also in agreement with the lack of association between exoU and imipenem non-susceptibility.
Regarding the presence of β-lactamases, non-conclusive associations were found, despite a higher proportion of blaGES being found in exoU+ isolates and blaIMP in the exoU− isolates. Likewise, Takata et al. did not find differences in the prevalence of blaIMP between exoU+ and exoU− isolates4. These data together suggest that the prevalence of specific transferable genes may be more related to the specific prevalence of the gene in the area analysed than with to specific exoenzyme genetic background. Furthermore, GES-type β-lactamases and IMP-metallo-carbapenemases have been widely reported in South America, including Peru23,41–43.
Overall, the association between the exoU+ genotype and MDR/XDR was shown, despite the presence of β-lactamase, mutations in gyrA and parC, relevant modification in efflux pumps and OprD not being significantly associated with exoU+ isolates. Thus, the MDR/XDR phenotypic basis of the exoU+ genotype remains to be elucidated. One limitation of this study was that not all the mechanisms of resistance were determined, and therefore, other mechanisms might be correlated to MDR and exoU+ genotype.
Overall, these data suggest that exoU+ genotype might be genetically favoured in environments with high antibiotic pressure, such as ICUs10. In fact, it has been observed its adaptation to FQ-rich environment1. As has been commented above, the exoU+ isolates were more prone to be associated with ICU and burn wards, and subsequently with the most fragile patients of hospital environment. However, no data on background and final outcome of the patients was recorded, therefore lacking data about patient risk factors facilitating exoU+ P. aeruginosa infections, and information about patient mortality. Analysed together, these data agree with previous studies showing that exoU+ isolates were significantly found in man-made environmental sites while the exoS+ isolates were found in natural environmental sites13,44.
Regarding the ST detected, ST179, ST235, ST308, ST348, ST357 and ST699 are reported in the Pseudomonas aeruginosa MLST Database as having been previously described on different continents, being therefore widely disseminated45. ST235 and ST357 are among the most widespread high-risk clones. The results of the subset of isolates analysed agree with this distribution, being the two most frequently detected STs. Furthermore, the present data suggest a different hospital distribution of both STs. ST235 has been associated with a poor clinical outcome in part due to its high level of antibiotic resistance and the presence of the exoU+ gene12,29. Regarding antibiotic resistance, ST235 and ST357 are usually resistant to FQ, aminoglycosides and β-lactams12,25,46,47. Likewise, all the isolates belonging to these STs were at least MR, with all ST357 isolates being XDR and displaying resistance to all antibacterial agents tested except colistin. Regarding antibiotic resistance mechanisms, 3 out of 6 isolates belonging to ST235 (isolates 1077, 1078 and 1079) displayed the presence of blaGES and an additional isolate (isolate 1080) possessed blaIMP (Table 6). Similarly, the presence of blaGES and blaIMP was detected in 2 (isolates 1093 and 1105) and 1 (isolate 1089) respectively, of the isolates belonging to the ST357. In addition, all ST235 and ST357 isolates identified showed the presence of QRDR mutations.
The remaining exoU+ isolates belonged to ST308, ST348, ST759 and ST2726, as well as to the newly identified ST3300 and ST3303. Among these, the presence of exoU has been largely described on the high-risk clone ST308, which usually presents an MDR/XDR phenotype, related to a variety of molecular mechanisms including carbapenemases such as NDM48,49. On the other hand, ST641 has been previously reported in Korea in association with antimicrobial resistance and the exoU−/exoS+ genotype50. Data of the remaining STs are scarce, with ST179 being the most well characterised. In the present study, ST179 was found in an MDR isolate from a bronchial secretion. Accordingly, this clone has been previously associated with MDR P. aeruginosa, causing chronic respiratory infections in Spanish hospitals51,52.
In conclusion, an unusual high number of unrelated clinical isolates of P. aeruginosa showing the exoU and exoS genes concomitantly were found, suggesting the presence of specific pressures which facilitate the stable presence of both genes and highlight their concomitant dissemination in the area studied. The exoU+/exoS+ were associated with MDR and XDR. Furthermore, these isolates showed an enhanced ability to acquire higher levels of FQ resistance, which might be related to lower fitness cost. Rapid diagnostic determination of virulence genotypes and antibiotic resistant profiles as well as continuous surveillance are needed to monitor these high-risk P. aeruginosa isolates.
Material and Methods
Study area
The Hospital Nacional Cayetano Heredia (HCNH) is a level III-1 hospital with 452 beds (including a total of 24 in the ICUs, of these 6 beds belonging to a Neonatal ICU), which receives patients from around all the country53,54. The direct reference area is composed by the districts in the north of the city of Lima, the largest urban area of the capital, in which the population is heterogeneous: urban, rural and marginal urban. In 2011 the HCNH receives 147,642 outpatients, with 17,558 hospital admissions53. The Hospital Arzobispo Loayza (HAL) is also considered as a level III-1 hospital accounting for 806 beds (Of these 26 presents in ICUs)55. In addition, HAL acts as reference center for burn patients56. Its referral area comprises districts in the center of Lima, attending also population of other Lima districts and Peruvian areas, with a heterogeneous population: urban and urban marginal. In 2011 the HAL receives 218,123 outpatient visits (10.3% from outside of Lima), with 29,158 hospital admissions57. In 2014 the population of Lima was reportedly 9,752,000 inhabitants, 2,475,432 and 1,796,112 living in the north and center districts respectively58.
Bacterial isolates
One hundred eighty-nine non-duplicated P. aeruginosa clinical isolates were recovered from December 2012 to June 2013 in two Peruvian hospitals in the course of a previous study23. Of these, 77 isolates were from the HAL and 112 from the HNCH.
Different characteristics were analysed previously, including clonal relationships, biofilm production, bacterial motility and antimicrobial resistance23. The clonal relationships were determined using DNA fingerprinting of all isolates which were generated by BOX-PCR analysis (Supplementary Figure)23. Finally, antimicrobial susceptibility to cephalosporins [ceftazidime, cefepime], monobactams [aztreonam], β-lactams+ inhibitors [piperacillin-tazobactam], carbapenems [imipenem, meropenem], aminoglycosides [gentamicin, tobramycin, amikacin], FQs [ciprofloxacin, levofloxacin and ofloxacin] and polymyxins [colistin] has been previously reported according to the CLSI guidelines23,59. Antibiotics were grouped in the above indicated categories according to Magiorakos et al.60 PS was defined as susceptibility to all the antimicrobial agents tested. MR was defined as non-susceptibility to at least 1 antibacterial agent of 1 or 2 antimicrobial categories. MDR was defined as non-susceptibility to at least 1 antimicrobial agent of three or more antimicrobial categories. XDR was defined as non-susceptibility to at least 1 antimicrobial agents in all but 2 or fewer antimicrobial categories.
Detection of T3SS genes by PCR
The presence of the exoS, exoT, exoU and exoY genes was determined by PCR with the primers and conditions shown in Table 6. To confirm the reliability of the results, exoS (from exoU−/exoS+ isolates) as well as exoY and exoT amplified products were randomly selected, recovered and sequenced. Regarding exoU+/exoS+ genotype, a representative isolate from each unrelated BOX-pattern was selected and both genes were sequenced. The exoS, exoT, and exoY were compared with that of the P. aeruginosa PAO1 (GenBank accession no.AE004091). Meanwhile, the exoU gene was compared with that of the P. aeruginosa PA103 (GenBank accession no. AAC16023). In order to prevent the misidentification of the sought T3SS genes related to the high degree of sequence identity among these genes, all the primers were in silico tested previously against all T3SS effectors and with the full genome of the PAO1 strain.
Analysis of the quinolone resistance determining region of gyrA/parC
The amplification of the quinolone resistance determining region (QRDR) of gyrA and parC was performed by PCR (Table 6). All the PCR products were sequenced and the QRDR of the gyrA and parC genes were compared with those of the P. aeruginosa PAO1 reference strain.
Analysis of oprD and efflux regulator genes
The amplification of the oprD and the efflux regulator-encoding genes mexR, nalC, nalD, mexT and mexS were reported in a previous study17. The amplification of the nfxB and mexZ genes was performed with the primers designed by Solé et al.61, with slight modifications of the annealing conditions (Table 6). All the PCR products were recovered and sequenced as above. The nfxB and mexZ genes were compared with those of P. aeruginosa PAO1. Overall, amino acid substitutions, insertions and deletions were considered as an “Irrelevant modification” and frameshifts, premature STOPs, and no amplification of PCR genes was considered as a “Relevant modification” following the criteria previously described by Horna et al.17.
β-lactamases gene detection
The presence of metallo-β-lactamases and serine-carbapenemases was determined in all the isolates by means of EDTA and boronic acid combined disc tests, respectively62–64. In those isolates in which the use of EDTA or boronic acid showed an increase in the disc diameter halo ≥ 5 mm, the presence of metallo-β-lactamases (blaIMP, blaGIM, blaSIM, blaSPM and blaVIM) and serine-carbapenemases (blaIMI, blaGES and blaKPC) was determined by PCR. Amplified products were randomly selected, recovered and sequenced as above. Table 6 shows the annealing temperature, which was slightly modified in some cases.
Multi-locus sequence typing
A subset of 25 isolates, from the 50 for which data of antimicrobial resistance mechanisms were available, were typed using MLST. This assay was performed according to that described in the MLST database website (https://pubmlst.org/paeruginosa/) with slight modifications (Table 7). Thus, 13 exoU+ isolates and 12 randomly selected exoU− isolates were included in this analysis. All PCR products were purified, sequenced and thereafter compared with the allele sequences stored in the MLST database in order to establish the specific alleles and STs. All the isolates analysed, as well as newly detected alleles/ST profiles, were submitted to https://pubmlst.org/paeruginosa/ and are reported accordingly throughout the text.
Table 7.
Primers used in the study
| Amplified product | Primers | Sequence (5′ → 3′) | Amplicon size (bp) | Annealing Temperature | Ref. |
|---|---|---|---|---|---|
| Type III secretion system | |||||
| exoU | exoU - F | ATG CAT ATC CAA TCG TTG | 2000 | 58 °C | 65 |
| exoU - R | TCA TGT GAA CTC CTT ATT | ||||
| exoS | exoS - F | GCG AGG TCA GCA GAG TAT CG | 118 | 58 °C | 65 |
| exoS - R | TTC GGC GTC ACT GTG GAT | ||||
| exoT | exoT - F | AAT CGC CGT CCA ACT GCA TGC G | 152 | 58 °C | 65 |
| exoT - R | TGT TCG CCG AGG TAC TGC TC | ||||
| exoY | exoY - F | CGG ATT CTA TGG CAG GGA GG | 289 | 58 °C | 65 |
| exoY - R | GCC CTT GAT GCA CTC GAC CA | ||||
| Quinolone resistance determining region of gyrA/parC and efflux pumps regulators | |||||
| gyrA | gyrA - F | TTA TGC CAT GAG CGA GCT GGG CAA CGA CT | 364 | 57 °C | 61 |
| gyrA - R | AAC CGT TGA CCA GCA GGT TGG GAA TCT T | ||||
| parC | parC - F | ATG AGC GAA CTG GGG CTG GAT | 208 | 57 °C | 61 |
| parC - R | ATG GCG GCG AAG GAC TTG GGA | ||||
| mexZ | mexZ - F | CCA GCA GGA ATA GGG CGA CCA GGG C | 1059 | 64 °C | 61 |
| mexZ - R | CAG CGT GGA GAT CGA AGG CAG CCG G | ||||
| nfxB | nfxB - F | CGC CCC GAT CCT TCC TAT T | 924 | 64 °C | 61 |
| nfxB - R | ACG AGC GTC ACG GTC CTT T | ||||
| Metallo-β-lactamases | |||||
| imp | IMP - F | GGA ATA GAG TGG CTT AAY TCT C | 188 | 55 °C | 66 |
| IMP - R | CCA AAC YAC TAS GTT ATC T | ||||
| vim | VIM - F | GAT GGT GTT TGG TCG CAT A | 390 | 55 °C | 66 |
| VIM - R | CGA ATG CGC AGC ACC AG | ||||
| gim | GIM - F | TCG ACA CAC CTT GGT CTG AA | 477 | 55 °C | 66 |
| GIM - R | AAC TTC CAA CTT TGC CAT GC | ||||
| spm | SPM - F | AAA ATC TGG GTA CGC AAA CG | 271 | 55 °C | 66 |
| SPM - R | ACA TTA TCC GCT GGA ACA GG | ||||
| sim | SIM - F | TAC AAG GGA TTC GGC ATC G | 570 | 55 °C | 66 |
| SIM - R | TAA TGG CCT GTT CCC ATG TG | ||||
| Serine-carbapenemases | |||||
| kpc | KPC - F | GTA TCG CCG TCT AGT TCT GC | 636 | 55 °C | 67 |
| KPC - R | GGT CGT GTT TCC CTT TAG CC | ||||
| imi | IMI - F | ATA GCC ATC CTT GTT TAG CTC | 818 | 55 °C | 68 |
| IMI - R | TCT GCG ATT ACT TTA TCC TC | ||||
| ges | GES - F | GTT TTG CAA TGT GCT CAA CG | 371 | 55 °C | 68 |
| GES - R | TGC CAT AGC AAT AGG CGT AG | ||||
| Multi-locus sequence typing | |||||
| acsA | acsa - F | ACC TGG TGT ACG CCT CGC TGA C | 524 | 60 °C | 45 |
| acsA - R | AGG TTG CCG AGG TTG TCC AC | ||||
| aroE | aroE - F | TGG GGC TAT GAC TGG AAA CC | 1053 | 60 °C | 45 |
| aroE - R | TAA CCC GGT TTT GTG ATT CCT ACA | ||||
| guaA | guaA - F | CGG CCT CGA CGT GTG GAT GA | 673 | 60 °C | 45 |
| guaA - R | GAC GTT GTG GTG CGA CTT GA | ||||
| mutL | mutL - F | AGA AGA CCG AGT TCG ACC AT | 705 | 60 °C | 45 |
| mutL - R | GGG TAT AGG CGG AAT AGC C | This Study | |||
| nuoD | nuoD - F | GCT TCA AGC CGG AAG ACT GG | 438 | 60 °C | This Study |
| nuoD - R | TGG CGG TCG GTG AAG GTG AA | 45 | |||
| ppsA | ppsA - F | GGT CGC TCG GTC AAG GTA GTG G | 556 | 60 °C | 45 |
| ppsA - R | GTA TCG CCT TCG GCA CAG GA | ||||
| trpE | trpE - F | TTC AAC TTC GGC GAC TTC CA | 603 | 60 °C | 45 |
| trpE - R | CCC GGC GCT TGT TGA TGG TT | ||||
bp: basepair; Ref: Reference; F: Forward; R: Reverse.
Statistical analysis
The χ2 test was used for statistical analysis. P values ≤ 0.05 were considered significant. The R study version 3.4.0. was used to perform the statistical analysis. Resistant and intermediate isolates were classified together as “non-susceptible” for statistical analyses.
Compliance with ethical standards
The study was approved by the Ethical Committee of the Universidad Peruana Cayetano Heredia (Lima, Peru) and by the Ethical Committee of Hospital Clinic (Barcelona, Spain), and all experiments were performed in accordance with relevant guidelines. All samples were obtained within routine clinical practice; no personal data was requested or available to researchers.
Supplementary information
Acknowledgements
GH has a personal fellowship from the Schlumberger Foundation - Faculty for The Future Program. JR was supported by a fellowship from the I3SNS program (2012–2016), of the ISCIII (grant number: CES11/012). We thank to Angel Sacha for his technical support in the development of microbiological techniques. We thank to Donna Pringle for idiomatic correction. “ISGlobal is a member of the CERCA Programme, Generalitat de Catalunya”.
Author Contributions
G.H., J.R. designed the experiment; C.A., A.P. collected data; G.H. performed the experimental work, G.H., J.R. analysed the data; G.H., H.G., J.R. wrote the manuscript draft. All the authors have read the manuscript, provided suggestions and approved the final version.
Data Availability
The datasets generated during the current study are available from the corresponding author on reasonable request.
Competing Interests
The authors declare no competing interests.
Footnotes
Publisher’s note: Springer Nature remains neutral with regard to jurisdictional claims in published maps and institutional affiliations.
Contributor Information
Gertrudis Horna, Email: gertrudis.horna@isglobal.org.
Joaquim Ruiz, Email: joruiz.trabajo@gmail.com.
Supplementary information
Supplementary information accompanies this paper at 10.1038/s41598-019-47303-4.
References
- 1.Agnello M, Wong-Beringer A. Differentiation in quinolone resistance by virulence genotype in Pseudomonas aeruginosa. Plos One. 2012;7:e42973. doi: 10.1371/journal.pone.0042973. [DOI] [PMC free article] [PubMed] [Google Scholar]
- 2.Cho HH, Kwon KC, Kim S, Koo SH. Correlation between virulence genotype and fluoroquinolone resistance in carbapenem-resistant Pseudomonas aeruginosa. Ann. Lab. Med. 2014;34:286–292. doi: 10.3343/alm.2014.34.4.286. [DOI] [PMC free article] [PubMed] [Google Scholar]
- 3.Hassuna NA. Molecular detection of the virulent ExoU genotype of Pseudomonas aeruginosa isolated from infected surgical incisions. Surg. Infect (Larchmt). 2016;17:610–614. doi: 10.1089/sur.2016.065. [DOI] [PMC free article] [PubMed] [Google Scholar]
- 4.Takata I, Yamagishi Y, Mikamo H. Association of the exoU genotype with a multidrug non-susceptible phenotype and mRNA expressions of resistance genes in Pseudomonas aeruginosa. J. Infect. Chemother. 2018;24:45–52. doi: 10.1016/j.jiac.2017.08.018. [DOI] [PubMed] [Google Scholar]
- 5.Feltman H, et al. Prevalence of type III secretion genes in clinical and environmental isolates of Pseudomonas aeruginosa. Microbiology. 2001;147:2659–2669. doi: 10.1099/00221287-147-10-2659. [DOI] [PubMed] [Google Scholar]
- 6.Engel J, Balachandran P. Role of Pseudomonas aeruginosa type III effectors in disease. Curr. Opin. Microbiol. 2009;12:61–66. doi: 10.1016/j.mib.2008.12.007. [DOI] [PubMed] [Google Scholar]
- 7.Juan C, Peña C, Oliver A. Host and pathogen biomarkers for severe Pseudomonas aeruginosa infections. J. Infect. Dis. 2017;215(S1):S44–S51. doi: 10.1093/infdis/jiw299. [DOI] [PubMed] [Google Scholar]
- 8.Peña C, et al. Influence of virulence genotype and resistance profile in the mortality of Pseudomonas aeruginosa bloodstream infections. Clin. Infect. Dis. 2015;60:539–548. doi: 10.1093/cid/ciu866. [DOI] [PubMed] [Google Scholar]
- 9.Howell HA, Logan LK, Hauser AR. Type III secretion of ExoU is critical during early Pseudomonas aeruginosa pneumonia. MBio. 2013;4:e00032–13. doi: 10.1128/mBio.00032-13. [DOI] [PMC free article] [PubMed] [Google Scholar]
- 10.Bradbury RS, Roddam LF, Merritt A, Reid DW, Champion AC. Virulence gene distribution in clinical, nosocomial and environmental isolates of Pseudomonas aeruginosa. J. Med. Microbiol. 2010;59:881–990. doi: 10.1099/jmm.0.018283-0. [DOI] [PubMed] [Google Scholar]
- 11.Hauser RA. The type III secretion system of Pseudomonas aeruginosa: infection by injection. Nat. Rev. Microbiol. 2009;7:654–665. doi: 10.1038/nrmicro2199. [DOI] [PMC free article] [PubMed] [Google Scholar]
- 12.Oliver A, Mulet X, López-Causapé C, Juan C. The increasing threat of Pseudomonas aeruginosa high-risk clones. Drug Resist. Updat. 2015;21-22:41–59. doi: 10.1016/j.drup.2015.08.002. [DOI] [PubMed] [Google Scholar]
- 13.Rutherford V, et al. Environmental reservoirs for exoS+ and exoU+ strains of Pseudomonas aeruginosa. Environ. Microbiol. Rep. 2018;10:485–492. doi: 10.1111/1758-2229.12653. [DOI] [PMC free article] [PubMed] [Google Scholar]
- 14.Finnan S, Morrissey JP, O’Gara F, Boyd EF. Genome diversity of Pseudomonas aeruginosa isolates from cystic fibrosis patients and the hospital environment. J. Clin. Microbiol. 2004;42:5783–5792. doi: 10.1128/JCM.42.12.5783-5792.2004. [DOI] [PMC free article] [PubMed] [Google Scholar]
- 15.Mitov I, Strateva T, Markova B. Prevalence of virulence genes among Bulgarian nosocomial and cystic fibrosis isolates of Pseudomonas aeruginosa. Braz. J. Microbiol. 2010;41:588–595. doi: 10.1590/S1517-83822010000300008. [DOI] [PMC free article] [PubMed] [Google Scholar]
- 16.Morales-Espinosa R, et al. Fingerprint analysis and identification of strains ST309 as a potential high risk clone in a Pseudomonas aeruginosa population isolated from children with bacteremia in Mexico City. Front. Microbiol. 2017;8:313. doi: 10.3389/fmicb.2017.00313. [DOI] [PMC free article] [PubMed] [Google Scholar]
- 17.Horna G, López M, Guerra H, Saénz Y, Ruiz J. Interplay between MexAB-OprM and MexEF-OprN in clinical isolates of Pseudomonas aeruginosa. Sci. Rep. 2018;8:16463. doi: 10.1038/s41598-018-34694-z. [DOI] [PMC free article] [PubMed] [Google Scholar]
- 18.Belotti PT, et al. Description of an original integron encompassing blaVIM-2, qnrVC1 and genes encoding bacterial group II intron proteins in Pseudomonas aeruginosa. J. Antimicrob. Chemother. 2015;70:2237–2240. doi: 10.1093/jac/dkv103. [DOI] [PubMed] [Google Scholar]
- 19.Chávez-Jacobo VM, et al. CrpP is a novel ciprofloxacin-modifying enzyme encoded by the Pseudomonas aeruginosa pUM505 plasmid. Antimicrob. Agents Chemother. 2018;62:e02629–17. doi: 10.1128/AAC.02629-17. [DOI] [PMC free article] [PubMed] [Google Scholar]
- 20.Boulant T, et al. Higher prevalence of PldA, a Pseudomonas aeruginosa trans-kingdom H2-Type VI secretion system effector, in clinical isolates responsible for acute infections and in multidrug resistant strains. Front. Microbiol. 2018;9:2578. doi: 10.3389/fmicb.2018.02578. [DOI] [PMC free article] [PubMed] [Google Scholar]
- 21.Sullivan E, et al. Risk of developing pneumonia is enhanced by the combined traits of fluoroquinolone resistance and type III secretion virulence in respiratory isolates of Pseudomonas aeruginosa. Crit. Care Med. 2014;42:48–56. doi: 10.1097/CCM.0b013e318298a86f. [DOI] [PubMed] [Google Scholar]
- 22.Subedi D, Vijay AK, Kohli GS, Rice SA, Willcox M. Association between possession of ExoU and antibiotic resistance in Pseudomonas aeruginosa. PLoS One. 2018;13:e0204936. doi: 10.1371/journal.pone.0204936. [DOI] [PMC free article] [PubMed] [Google Scholar]
- 23.Horna G, et al. Specific type IV pili groups in clinical isolates of Pseudomonas aeruginosa. Int Microbiol. 2019;22:131–141. doi: 10.1007/s10123-018-00035-3. [DOI] [PubMed] [Google Scholar]
- 24.Harrison EM, et al. Pathogenicity islands PAPI-1 and PAPI-2 contribute individually and synergistically to the virulence of Pseudomonas aeruginosa strain PA14. Infect. Immun. 2010;78:1437–1446. doi: 10.1128/IAI.00621-09. [DOI] [PMC free article] [PubMed] [Google Scholar]
- 25.Kainuma A, et al. An outbreak of fluoroquinolone-resistant Pseudomonas aeruginosa ST357 harboring the exoU gene. J. Infect. Chemother. 2018;24:615–622. doi: 10.1016/j.jiac.2018.03.008. [DOI] [PubMed] [Google Scholar]
- 26.Kulasekara BR, et al. Acquisition and evolution of the exoU locus in Pseudomonas aeruginosa. J. Bacteriol. 2006;188:4037–4050. doi: 10.1128/JB.02000-05. [DOI] [PMC free article] [PubMed] [Google Scholar]
- 27.Maatallah M, et al. Population structure of Pseudomonas aeruginosa from five Mediterranean countries: evidence for frequent recombination and epidemic occurrence of CC235. PLoS One. 2011;6:e25617. doi: 10.1371/journal.pone.0025617. [DOI] [PMC free article] [PubMed] [Google Scholar]
- 28.Pirnay JP, et al. Pseudomonas aeruginosa population structure revisited. PLoS One. 2009;4:e7740. doi: 10.1371/journal.pone.0007740. [DOI] [PMC free article] [PubMed] [Google Scholar]
- 29.Treepong P, et al. Global emergence of the widespread Pseudomonas aeruginosa ST235 clone. Clin Microbiol Infect. 2018;24:258–266. doi: 10.1016/j.cmi.2017.06.018. [DOI] [PubMed] [Google Scholar]
- 30.Murray TS, Ledizet M, Kazmierczak BI. Swarming motility, secretion of type 3 effectors and biofilm formation phenotypes exhibited within a large cohort of Pseudomonas aeruginosa clinical isolates. J. Med. Microbiol. 2010;59:511–520. doi: 10.1099/jmm.0.017715-0. [DOI] [PMC free article] [PubMed] [Google Scholar]
- 31.Sánchez-Diener I, et al. Interplay among resistance profiles, high-risk clones, and virulence in the Caenorhabditis elegans Pseudomonas aeruginosa infection model. Antimicrob. Agents Chemother. 2017;61:e01586–17. doi: 10.1128/AAC.01586-17. [DOI] [PMC free article] [PubMed] [Google Scholar]
- 32.Azimi S, et al. Presence of exoY, exoS, exoU and exoT genes, antibiotic resistance and biofilm production among Pseudomonas aeruginosa isolates in Northwest Iran. GMS Hyg. Infect. Control. 2016;11:Doc0u4. doi: 10.3205/dgkh000264. [DOI] [PMC free article] [PubMed] [Google Scholar]
- 33.Garey KW, Vo QP, Larocco MT, Gentry LO, Tam VH. Prevalence of type III secretion protein exoenzymes and antimicrobial susceptibility patterns from bloodstream isolates of patients with Pseudomonas aeruginosa bacteremia. J. Chemother. 2008;20:714–720. doi: 10.1179/joc.2008.20.6.714. [DOI] [PubMed] [Google Scholar]
- 34.Sawa T, Shimizu M, Moriyama K, Wiener-Kronish JP. Association between Pseudomonas aeruginosa type III secretion, antibiotic resistance, and clinical outcome: a review. Crit. Care. 2014;18:668. doi: 10.1186/s13054-014-0668-9. [DOI] [PMC free article] [PubMed] [Google Scholar]
- 35.Agnello M, Finkel SE, Wong-Beringer A. Fitness cost of fluoroquinolone resistance in clinical isolates of Pseudomonas aeruginosa differs by Type III secretion genotype. Front. Microbiol. 2016;7:1591. doi: 10.3389/fmicb.2016.01591. [DOI] [PMC free article] [PubMed] [Google Scholar]
- 36.Ball P. Emergent resistance to ciprofloxacin amongst Pseudomonas aeruginosa and Staphylococcus aureus: clinical significance and therapeutic approaches. J Antimicrob Chemother. 1990;26(Suppl. F):165–179. doi: 10.1093/jac/26.suppl_F.165. [DOI] [PubMed] [Google Scholar]
- 37.Cabot G, et al. Pseudomonas aeruginosa ceftolozane-tazobactam resistance development requires multiple mutations leading to overexpression and structural modification of AmpC. Antimicrob. Agents Chemother. 2014;58:3091–3099. doi: 10.1128/AAC.02462-13. [DOI] [PMC free article] [PubMed] [Google Scholar]
- 38.Alghoribi MF, et al. Antibiotic-resistant ST38, ST131 and ST405 strains are the leading uropathogenic Escherichia coli clones in Riyadh, Saudi Arabia. J. Antimicrob. Chemother. 2015;70:2757–2762. doi: 10.1093/jac/dkv188. [DOI] [PubMed] [Google Scholar]
- 39.Poonsuk K, Tribuddharat C, Chuanchuen R. Simultaneous overexpression of multidrug efflux pumps in Pseudomonas aeruginosa non-cystic fibrosis clinical isolates. Can J. Microbiol. 2014;60:437–443. doi: 10.1139/cjm-2014-0239. [DOI] [PubMed] [Google Scholar]
- 40.Rodríguez-Martínez JM, Poirel L, Nordmann P. Molecular epidemiology and mechanisms of carbapenem resistance in Pseudomonas aeruginosa. Antimicrob. Agents Chemother. 2009;53:4783–4788. doi: 10.1128/AAC.00574-09. [DOI] [PMC free article] [PubMed] [Google Scholar]
- 41.Escandón-Vargas K, Reyes S, Gutiérrez S, Villegas MV. The epidemiology of carbapenemases in Latin America and the Caribbean. Expert. Rev. Anti. Infect. Ther. 2017;15:277–297. doi: 10.1080/14787210.2017.1268918. [DOI] [PubMed] [Google Scholar]
- 42.Picão RC, Poirel L, Gales AC, Nordmann P. Diversity of β-lactamases produced by ceftazidime-resistant Pseudomonas aeruginosa isolates causing bloodstream infections in Brazil. Antimicrob. Agents Chemother. 2009;53:3908–3913. doi: 10.1128/AAC.00453-09. [DOI] [PMC free article] [PubMed] [Google Scholar]
- 43.Ríos P, et al. Extensively drug-resistant (XDR) Pseudomonas aeruginosa identified in Lima, Peru co-expressing a VIM-2 metallo-β-lactamase, OXA-1 β-lactamase and GES-1 extended-spectrum β-lactamase. JMM Case Rep. 2018;5:e005154. doi: 10.1099/jmmcr.0.005154. [DOI] [PMC free article] [PubMed] [Google Scholar]
- 44.Vincent AT, et al. Genomic characterisation of environmental Pseudomonas aeruginosa isolated from dental unit waterlines revealed the insertion sequence ISPa11 as a chaotropic element. FEMS Microbiol. Ecol. 2017;93:fix106. doi: 10.1093/femsec/fix106. [DOI] [PubMed] [Google Scholar]
- 45.Pseudomonas aeruginosa MLST Database, https://pubmlst.org/paeruginosa/.
- 46.Brüggemann H, et al. Comparative genomics of nonoutbreak Pseudomonas aeruginosa strains underlines genome plasticity and geographic relatedness of the global clone ST235. Genome Biol.Evol. 2018;10:1852–1857. doi: 10.1093/gbe/evy139. [DOI] [PMC free article] [PubMed] [Google Scholar]
- 47.Papagiannitsis CC, et al. Molecular characterization of carbapenemase-producing Pseudomonas aeruginosa of Czech origin and evidence for clonal spread of extensively resistant sequence type 357 expressing IMP-7 metallo-β-lactamase. Antimicrob Agents Chemother. 2017;22:e01811–17. doi: 10.1128/AAC.01811-17. [DOI] [PMC free article] [PubMed] [Google Scholar]
- 48.Abdouchakour F, et al. Intraclonal variations of resistance and phenotype in Pseudomonas aeruginosa epidemic high-risk clone ST308: A key to success within a hospital? Int J Med Microbiol. 2018;308:279–289. doi: 10.1016/j.ijmm.2017.11.008. [DOI] [PubMed] [Google Scholar]
- 49.Chew, K. L. et al. Challenge of drug resistance in Pseudomonas aeruginosa: clonal spread of NDM-1 positive ST308 within a tertiary hospital. J Antimicrob Chemother, in press. [DOI] [PubMed]
- 50.Lee JY, Peck KR, Ko KS. Selective advantage of two major clones of carbapenem- resistant Pseudomonas aeruginosa isolates (CC235 and CC641) from Korea: antimicrobial resistance, virulence and biofilm-forming activity. J Med Microbiol. 2013;62:1015–1024. doi: 10.1099/jmm.0.055426-0. [DOI] [PubMed] [Google Scholar]
- 51.Juan C, et al. Metallo-beta-lactamase-producing Pseudomonas putida as a reservoir of multidrug resistance elements that can be transferred to successful Pseudomonas aeruginosa clones. J Antimicrob Chemother. 2010;65:474–478. doi: 10.1093/jac/dkp491. [DOI] [PubMed] [Google Scholar]
- 52.Gomila M, et al. Genetic diversity of clinical Pseudomonas aeruginosa isolates in a public hospital in Spain. BMC Microbiol. 2013;13:138. doi: 10.1186/1471-2180-13-138. [DOI] [PMC free article] [PubMed] [Google Scholar]
- 53.Martínez R. Plan Operativo Anual 2013. Hospital Nacional Cayetano Heredia. Lima: Oficina ejecutiva de planeamiento estratégico del Hospital Nacional Cayetano Heredia, http://www.hospitalcayetano.gob.pe/transparencia/images/stories/resoluciones/RD/RD2012/rd449_2012.pdf (2012).
- 54.Oficina de Epidemiologia y Salud ambiental. Plan de Vigilancia, prevención y control de infecciones asociadas a la atención en salud - 2016. Ministerio de Salud, http://www.hospitalcayetano.gob.pe/Inicio/images/Documentos/Epidemio/planes/control_iass251016.pdf (2016).
- 55.Oficina ejecutiva de planeamiento estratégico del Hospital Arzobispo Loayza. Memoria anual del Hospital Arzobispo Loayza – 2014, http://hospitalloayza.gob.pe/files/TRAS_a437262d2216535_.pdf (2014).
- 56.Servicio de Cirugía Plástica y Quemados. Guía de practica clínica. Hospital Arzobispo Loayza, http://www.hospitalloayza.gob.pe/files/TRAS_4dbbf88a000f63a_.pdf (2013).
- 57.Oficina ejecutiva de planeamiento estratégico del Hospital Arzobispo Loayza. Hospital Nacional “Arzobispo Loayza”, plan operativo anual/demanda global 2013. Lima: Oficina ejecutiva de planeamiento estratégico del Hospital Arzobispo Loayza. 2012, http://www.hospitalloayza.gob.pe/files/TRAS_c1acbf2dd26c258_.pdf (2012).
- 58.Instituto Nacional de Estadística e Informática (INEI). Una mirada a Lima metropolitana. Lima: Instituto Nacional de Estadística e Informática, https://www.inei.gob.pe/media/MenuRecursivo/publicaciones_digitales/Est/Lib1168/libro.pdf (2014).
- 59.Clinical Laboratory Standards Institute. Performance standards for antimicrobial susceptibility testing. Twenty-eighth informational supplement M100-S28. CLSI, Wayne (2018).
- 60.Magiorakos AP, et al. Multidrug-resistant, extensively drug-resistant and pandrug-resistant bacteria: an international expert proposal for interim standard definitions for acquired resistance. Clin Microbiol Infect. 2012;18:268–281. doi: 10.1111/j.1469-0691.2011.03570.x. [DOI] [PubMed] [Google Scholar]
- 61.Solé M, et al. In vivo evolution of resistance of Pseudomonas aeruginosa strains isolated from patients admitted to an intensive care unit: mechanisms of resistance and antimicrobial exposure. J. Antimicrob. Chemother. 2015;70:3004–3013. doi: 10.1093/jac/dkv228. [DOI] [PubMed] [Google Scholar]
- 62.Pasteran F, Mendez T, Guerriero L, Rapoport M, Corso A. Sensitive screening tests for suspected class A carbapenemase production in species of Enterobacteriaceae. J. Clin. Microbiol. 2009;47:1631–1639. doi: 10.1128/JCM.00130-09. [DOI] [PMC free article] [PubMed] [Google Scholar]
- 63.Tsakris A, et al. Evaluation of boronic acid disk tests for differentiating KPC-possessing Klebsiella pneumoniae isolates in the clinical laboratory. J. Clin. Microbiol. 2009;47:362–367. doi: 10.1128/JCM.01922-08. [DOI] [PMC free article] [PubMed] [Google Scholar]
- 64.Yong D, et al. Imipenem-EDTA disk method for differentiation of metallo-β-lactamase-producing clinical isolates of Pseudomonas spp. and Acinetobacter spp. J. Clin. Microbiol. 2002;40:3798–3801. doi: 10.1128/JCM.40.10.3798-3801.2002. [DOI] [PMC free article] [PubMed] [Google Scholar]
- 65.Petit SM, et al. Lagooning of wastewaters favors dissemination of clinically relevant Pseudomonas aeruginosa. Res. Microbiol. 2013;164:856–866. doi: 10.1016/j.resmic.2013.06.007. [DOI] [PubMed] [Google Scholar]
- 66.Ellington MJ, Kistler J, Livermore DM, Woodford N. Multiplex PCR for rapid detection of genes encoding acquired metallo-beta-lactamases. J. Antimicrob. Chemother. 2007;59:321–322. doi: 10.1093/jac/dkl481. [DOI] [PubMed] [Google Scholar]
- 67.Horna G, Velasquez J, Fernández N, Tamariz J, Ruiz J. Characterisation of the first KPC-2-producing Klebsiella pneumoniae ST340 from Peru. J. Glob. Antimicrob. Resist. 2017;9:36–40. doi: 10.1016/j.jgar.2016.12.011. [DOI] [PubMed] [Google Scholar]
- 68.Queenan AM, Bush K. Carbapenemases: the versatile β-lactamases. Clin. Microbiol. Rev. 2007;20:440–458. doi: 10.1128/CMR.00001-07. [DOI] [PMC free article] [PubMed] [Google Scholar]
Associated Data
This section collects any data citations, data availability statements, or supplementary materials included in this article.
Supplementary Materials
Data Availability Statement
The datasets generated during the current study are available from the corresponding author on reasonable request.

