Abstract
In this study, it has been attempted to quantify model climate change effects of the coming decades on energy demand and carbon dioxide emissions of a dominant building brigade under hot and humid climates on the southern coast of Iran, based on three stations of Bushehr, Bandar Abbas and Chabahar. In this research, the Meteonorm and DesignBuilder software have been used for climate and thermal simulation of building. One of the results of this study is the increase in temperature and relative humidity for the coming decades for all three study stations. The findings of this study showed that the average annual temperature for the 2060s compared to the present decade, will increase by 2.82 °C for Bandar Abbas, by 2.79 °C for Bushehr and for Chabahar it will reach 2.14 °C. This increase in temperature has led to an increase in discomfort warmer days and a decrease in discomfort cold days. But given the climatic type of the area, a decrease in the heating energy demand for the coming decades will not have a significant effect on the pattern of energy consumption inside buildings. Because for two stations of Bandar Abbas and Chabahar, more than 95% of the energy demand for the 2060s is for cooling energy demand, which is about 80% of energy for Bushehr. In total, due to the increased demand for cooling energy in the coming decades, this will further increase carbon dioxide emissions, which is higher in Chabahar than in other study stations.
Keywords: Energy consumption, Carbon dioxide emissions, Hot and humid climate type, Building thermal simulation, Climate change scenarios, Iran
Introduction
Based on the Fourth evaluation report of The Intergovernmental Panel on Climate Change (IPCC), it has been cited that, since 1750, due to human activity in the world, the concentration of atmospheric carbon dioxide has increased. The global increase in carbon dioxide concentrations is mainly due to the combustion of fossil fuels and the change in land use, which ultimately has led to global warming [1, 2]. High concentrations of pollutants and the costs and risks associated with it, especially in high density areas, have attracted public and policy makers` concern. According to the statistics published by Tavanir Organization in 2015, it was found that the construction sector accounted for 40% of the total energy consumption in Iran, of which 33% was spent on heating and cooling of inside the buildings [3, 4]. In 2009, Iran’s total greenhouse gas emissions from energy consumption peaked at 528.6 million tons of carbon [5]. Findings from the World Environment Organization indicate that 90% of the source of carbon dioxide pollution in Iran is energy [6]. According to the World Bank, based on the 2011 reports for Iran, it was found that energy consumption from fossil fuels compared to other sources of energy supply has accounted for 99.52% of this share. According to this report, high inclination to energy sources through fossil fuels generated 480 million tons of carbon dioxide emissions in 2012 and it is expected that carbon dioxide emissions will double if the same trend continues until 2030 [7]. In spite of this, in some reports, Iran is ranked as the 9th largest carbon dioxide producer in the world, which considering Iran’s contribution to carbon dioxide emissions internationally, this position can be noticeable [8]. Apart from Iran’s role in greenhouse gas emissions, Iran’s vulnerability to climate change in the current and future decades is known as another dilemma. So that different studies have been carried out about the impact of climate change on the variation of the trend of climate parameters in Iran (e.g., [9–16]). As an example, the output of Tabari et al. [13] on the annual average of minimum and maximum temperature for the western, southern, and southwestern regions of Iran for the statistical period of 1966 to 2005 indicate an incremental and significant increase in the temperature for the above mentioned temperature components, especially because this trend has become more evident since the 1970s. In another study regarding the statistical period from 1950 to 2007 for southwestern regions of Iran, it was revealed that in these areas, during the spring and summer seasons, the temperature trend has a significant increase in gradient. On the other hand, the minimum temperature has a significant increase compared to the maximum temperature. The results and modeling of this study showed that the temperature increase up to 2100 varies from 1.69 to 6.88 degrees Celsius [15]. In another study by Roshan and Grab [17] using the MAGICC SCENGEN 5.3 model, temperature variations were simulated for Iran by 2100. In this study, the average temperature rise referenced to the base period 1961 to 1990 was simulated at 4.25 °C. On the other hand, findings from simulation of climate change in the coming decades of Iran by Roshan et al. [18] suggest the maximum increase in temperature for warm months in the years to come. In this regard, some international agreements on combating climate change and reducing global greenhouse gas emissions have come to the force, one of the most important of these agreements is the Paris climate agreement. The Paris climate agreement is a contract in the framework of the United Nations Framework Convention on Climate Change (UNFCCC), which is due to resolve issues related to adjustment, financing and adaptation to the greenhouse gas emission crisis by 2020. One of the objectives of the agreement is to promote the implementation of the United Nations Framework for Climate Change by maintaining an increase in the average global temperature below two degrees Celsius above the pre-industrial average and attempting to prevent an increase of 1.5 degrees of temperature compared to the pre-industrial period to reduce risks and complications due to climate change. The agreement is a motivation and incentive to eliminate investment in fossil fuels sector and is considered the first comprehensive climate agreement in the world [19, 20]. However, if the emission and concentration of carbon dioxide is stabilized, the occurrence of extreme meteorology phenomena and rising sea levels for the coming centuries are not unexpected phenomena [1, 21]. On the basis of the Paris agreement, Iran voluntarily declares that it will reduce greenhouse gas emissions by about 4% by 2020 and conditional on receiving global aids by 2030, this will amount to 8% [22]. Achieving lower carbon buildings will require significant efforts to enhance energy efficiency in buildings and low carbon sources of energy beyond well-being today [23]. Climate change control policies are often presented as a choice between mitigation and adaptation strategies, so that the goal of mitigation refers to efforts to reduce greenhouse gas emissions in the atmosphere, and “adaptation” refers to modalities for modulating the effects of global warming through strengthening the flexibility of ecosystems [24, 25]. This dichotomy is wrong. For better management of climate change control, we must first begin the process of writing both the mitigation and adaptation strategies by providing our buildings` codes and standards [26]. The consideration and modeling of buildings based on the vernacular architecture of the studied cases is one of the differences in this study with other similar works. So in many studies, simulations are not based on the architecture compatible (bioclimatic architecture) with the region’s climate. But we are looking at the effects of climate change on energy consumption and demand for buildings that are designed based on vernacular architecture. Details of building modeling based on vernacular architecture in Section 2–4 are fully and thoroughly discussed. In spite of this, one of the first steps prior to presenting adaptation and mitigation strategies is understanding the effects of global warming on the energy demand of buildings. Therefore, in this study, we first attempted to model the effect of climate change in the coming decades on the energy demand of a dominant building type in hot and humid climates on the southern shores of Iran. Then, in later works, it is expected to reduce the effects of global warming on the increased demand for cooling and heating energy inside buildings by presenting adaptation and mitigation strategies and on the other hand, one can play an effective role in reducing the emissions of atmospheric carbon dioxide by enforcing building standards to provide indoor comfort and reducing dependence on fossil fuels.
The present study is divided into four main sections:
In the first section, general topics are presented as introduction which finally leads to the introduction and downscaling of climate data and climate change scenarios. In section II, the materials and methods are presented. At the beginning of this section, the stations are being introduced and then in this section the general circulation model, the scenario of emission, the software of production of climate data and the simulation of the building have been presented in full details. Then, a method to monitor and predict the arrival of heat waves during the present and future decades is presented at this stage. In the third section, which is referred to as the findings, firstly, the analysis of the climate data and the results of monitoring and prediction of the heat waves are presented. Then, based on four study periods that included a period of observation and three upcoming periods, the effect of global warming on the demand for cooling and heating energy inside buildings was calibrated. Then, in the last and fourth section, the discussion and conclusions are presented.
An approach to the introduction of modeling and downscaling of climate data and climate change scenarios
Climatic models, as a warning tool for climate change, show that potential climate change can have consequences lasting for decades and centuries. While numerous numerical models have been helping atmospheric scientists in simulating earth systems, the general circulation models are unique. These models are designed to simulate the general circulation of atmospheres and annual fluctuations such as the El Niño, as well as the prediction of weather trends in decades or even centuries ahead [27]. Spatial scale of output for general circulation models is very large (approximately 250 to 250 km2) and cannot be used in climate studies and other applied research such as modeling the effects of global warming on building simulation. Hence, scientists have invented intermediate tools for downscaling the output of the abovementioned models, which are generally divided into two categories: statistical and dynamic [28–30]. In the statistical method, the relationship between surface variables and output of the general circulation model are calculated through the statistical relationships obtained in the historical period. Some researchers have used these methods to predict and downscale the future climate variables in order to use them in modeling the energy needs of buildings [31, 32]. But the second group consists of dynamic downscaling methods, where these relationships are obtained by solving the fluid equation. Since the dynamic method is costly and time-consuming, it is often preferable to use the statistical downscaling method. These models using GCM outputs and applying specific scenarios of manufacturer model convert the output of large-scale atmospheric circulation models into the small-scale one [33–36]. The output of each of the general circulation models of the atmosphere is extracted based on different scenarios of the emissions. To provide political advice on the effects of human-induced climate change in the twenty-first century, the IPCC (Intergovernmental Panel on Climate Change) has outlined a set of scenarios for greenhouse gas emissions and suspended sulfate particles by the year 2100. Future greenhouse gas emissions are the result of complex interactions resulted from population changes, socio-economic development, and technological change. All of this, especially the issue that it continues until 2100, is uncertain. The Special Report on Emissions Scenarios (SRES) introduces four emission scenarios, which include A1, A2, B1 and B2. A families, given their stronger emphasis on the economical components, and on the other hand, B families with more emphasis on the environmental components are distinct. Scenario type 1 emphasizes globalization and a more homogeneous world, while in Scenario type 2, the path changes to a heterogeneous universe that is more regional [37].
Materials and methods
Introducing the studied stations
In this study, three stations of southern coast of Iran, namely Chabahar, Bandar Abbas and Bushehr have been used. As shown in Fig. 1, the locations of these stations are displayed on the map of Iran. According to Tahbaz and Jalilian [38], Iran from the architectural point of view, is divided into eight climatic classes including the Caspian region, the climate of the Khuzestan plain and Jazmurian, climate of high mountains, climate of high foothills and low-lying foothills. Based on this classification, all stations are located in the zone of the climate of the beaches and islands of the South, which have very hot and humid summers and relatively modest winters. Geographically, this climatic type includes stations located on the coastal strip of the south of the Sea of Oman and the Persian Gulf and islands of this water zone. In general, annual average temperatures of Bushehr, Bandar Abbas and Chabahar are 24.2, 27.1 and 26.6 degrees Celsius, respectively and the average annual relative humidity is 59.5, 65.5 and 64.6%. Despite the coastal status of the studied stations, due to low geographic latitudes, these areas have been subjected to Azores High pressure system during most of the seasons, especially in the warmer seasons of the spring and summer, which has reduced the average annual rainfall in these areas so that the average annual precipitation for Chabahar is mere 89 mm, for Bandar Abbas 176 mm and for Bushehr 268 mm. These stations are selected because it is expected that with regard to global warming, the burden and the heating budget in these areas, as compared to other regions of Iran, could be accompanied by a significant increase. This could increase the risk of enhanced cooling energy demand in these areas [17]. Therefore, this factor will make these areas to have more priority for being studied than other parts of Iran.
Fig. 1.
Geographic location of selected stations in South of Iran
Climatic data
Meteonorm, as a powerful software for producing climatic data, has a strong climatic database, which serves as a source for the input of radiation data and other climatic data in building simulation. This software is able to extract climatic data for each site using interpolation method. One of the features of this software is the production of hourly and even minute data. Meteonorm inputs for global radiation come from The Global Energy Balance Archive (GEBA, http: // protogeba. Ethz.ch). All weather data of this software is provided by the World Meteorological Organization (WMO) and the NCDC. In this software, The Stochastic Generation, to generate global radiological daily data, Markov chain model has been used. Generating temperature data is based on global radiation and measured values of approximately 5000 sites worldwide. Meteonorm has also been able to produce other meteorological data, such as precipitation, wind speed, relative humidity and radiation. It is also capable of producing future climate change data. The future climate data sets generated by Meteonorm are based on the 4th IPCC Special Report on Emission Scenarios (SRES - AR4), considering three emission scenarios of A2, A1B and B1 with the approximate carbon dioxide equivalent concentrations of 1250, 850 and 600 ppm in 2100, respectively. Also the future climate data from all 18 public general circulation models (GCM) were averaged at a resolution of 1. Future weather data generated by Meteonorm are based on using a simple autoregressive model which is used to generate realistic monthly time series, quite similar to what happens in the morphing technique [39, 40]. Therefore, in this paper, version 7.2 of Meteonorm software has been used to produce climatic data. In this study, four main climatic components of temperature, relative humidity, wind speed and radiation were used to simulate the energy requirements of indoor buildings that due to the specific format of input data for building simulator software, this data is hourly and 24-h. Therefore, the study period in order to simulate the need for indoor energy is considered for a current period, which included data from 1961 to 1990 and for coming decades according to the A2 scenario, three upcoming, middle and distant future horizons are considered that include the decades of 2020, 2040, and 2060 respectively. The generation of the present and future decades is both done by Meteonorm.
Heat wave modeling
To account for the acclimatization of human beings to heat or cold, it was applied to the Health Related Assessment of the Thermal Environment (HeRATE) to consider adaptation to thermal stress. The HeRate system [41] combines thermal stress calculations with an assessment of short-term adaptation to thermal stress. The HeRate procedure has the advantage that the resulting modified physiologically equivalent temperature (PET) can be applied without further modification to different climate regions and during different times of the year [15, 16, 42–44]. In the proposed method, [45] uses PET, but in the present study, we have used the average daily maximum temperature (Tmax) rather than PET. In spite of this, it is noteworthy that in many studies, selecting the maximum temperature component as an indicator of thermal radiation monitoring is a benchmark for research [46–48]. The difference in our work with [45] and Roshan et al. [49] is that we simply follow the following relationship by placing Tmax instead of PET:
| 1 |
Where TH is a predefined threshold and Tmaxf is Gaussian filtered Tmax. In this work, the threshold is the 90th percentile of the Tmax calendar day. Heat wave was defined as period ofsix and more consecutive days with Tmax values above the 90th Tmax percentile. Choosing the criterion of minimum continuity of three days and more [50] and ninetieth percentile criterion is derived from a definition introduced by the joint World Meteorological Organization CCL / CLIVAR / JCOMM Expert Team on Climate Change Detection and Indices (ETCCDI) [48] which details are available at (http://cccma.seos.uvic.ca/ETCCDI). On the other hand, it has to be explained that in order to monitor and predict the frequency and trend of changes in the heat wave, the average maximum daily and observational temperatures of the base period of 1975 to 2014 were used.
Details of building modeling
Building energy simulation is very important for studying energy flows in buildings [51]. In this study, DesignBuilder software was used for energy analysis in residential buildings in three cities of Chabahar, Bandar Abbas and Bushehr. DesignBuilder is one of the most comprehensive user interface and one of the latest EnergyPlus simulation software used to calculate energy performance by evaluating building designs (Abdul [52]; Crawley et al. 2005; [53]). EnergyPlus is an official building simulation program used by the US Department of Energy and has been extensively tested and validated by field measurements and validated experimental methods, also the BESTest method1[54–58]. The percentage of energy consumption for each of the main components of the actual building and the simulated building that has been performed during the comparative period for one year shows the validation of the correspondence between actual and simulated data [59–64]. The capabilities of this software include building modeling from a variety of aspects, such as construction materials, building architecture, cooling and heating installation (HVAC) systems, lighting systems, calculation of heating and cooling energy consumption, miscellaneous & office equipment, DHW, daylighting, cost estimation [65–67] natural ventilation, mechanical ventilation and CFD modeling indoor and outdoor the building. [68]. For this purpose, a residential building, considering the main problems of the coastal and islands of the Oman Sea and Persian Gulf area, is designed and simulated in DesignBuilder software for three cities of Chabahar, Bandar Abbas and Bushehr for four climate periods– the current period, the 2020s, the 2040s, and the 2060s. This reference one-storeyed building (Fig.2) with 153.50 square meters consists of a kitchen, two bedrooms, a bathroom, a toilet, a living room and a dining room with respect to the cultural and native properties of the Persian Gulf and Oman Sea residential houses in Iran, which is suitable for a 4-member family and its Metabolic Factor is considered to be 0.9 for its inhabitants. The best solution in these areas is the air flow. Thus, the direction of buildings with two windward face is northern-southern in these areas which has been in the same direction with dominant winds in many parts of this area. Most of the closed spaces are tried to be connected to the open space. Use of semi-open space in front of closed spaces and the establishment of southern windows in the depth [69–71], using the shading of the building to cool the courtyard space using the central courtyard pattern [72, 73] are some features of this building and also the main living spaces are built above the ground. Because of high groundwater level in these areas, it is important to establish air condition in these areas and use breeze and wind current more [73–75]. The windows are relatively narrow and have a higher elevation than the width of the window, and it has been tried to put the window of spaces in front of each other to use the current of ideal air flow. The wall height is relatively tall, 3.7 m to accommodate more air, because the air is not heated very quickly due to the large space, the warm air rises below the ceiling and is air-conditioned by the small windows underneath the roof and the air in the lower part of the room remains cool [76].
Fig. 2.
3D modeling of reference building for thermal modeling in DesignBuilder
Construction details, according to (Table 1) was applied for the modeled building. In this climate, if the amount of solar absorption coefficient is lowered, the thermal performance of the facade will improve [77]. So that the facade of fire brick with the lowest solar absorption coefficient, about 0.35, is the most suitable facade [78] and wooden doors and wooden window frames in the building [69] are the best option for this type of climate. The heating system and DHW of building are radiator heating and boiler HW. The cooling system of the modeled building was Local Comfort Cooling + Mixed Mode Natural Ventilation, and for the lighting system, LED with Liner Control was selected. The heating system is active for the months of January to April, as well as from September to December, it is the same for cooling and ventilation system for the months of March to October, and for November it was selected to be 50% active. Also it was selected to be active for lightning system and DHW all year round, but based on the percentage of need at different hours of the day. So that for the lighting system of the building, during 24 h a day, it was 10 to 20% active for 1 to 6 in the morning, 50% active for 7 am-5 pm and 100% and completely active for 6 pm −12 am.
Table 1.
Constructional details of case studies
| Construction | Details | Thickness (m) | U-Value (W/m2K) | R-Value (m2K/W) | |
|---|---|---|---|---|---|
| Materials | Thickness (m) | ||||
| External Wall | Brickwork, Outer Leaf | 0.02 | 0.28 | 0.488 | 2.049 |
| cement plaster | 0.02 | ||||
| Brick-aerated | 0.1 | ||||
| MW Stone Wool | 0.5 | ||||
| Brick-aerated | 0.1 | ||||
| cement plaster | 0.02 | ||||
| Gypsum Plastering | 0.02 | ||||
| Internal Wall | Gypsum Plastering | 0.02 | 0.18 | 1.335 | 0.749 |
| cement plaster | 0.02 | ||||
| Brick-aerated | 0.1 | ||||
| cement plaster | 0.02 | ||||
| Gypsum Plastering | 0.02 | ||||
| Roof | Cast Concrete | 0.05 | 0.255 | 0.913 | 1.095 |
| MW Stone Wool | 0.25 | ||||
| Cast Concrete | 0.15 | ||||
| cement plaster | 0.01 | ||||
| Gypsum Plastering | 0.02 | ||||
| Floor | Ceiling Tiles | 0.01 | 0.181 | 0.356 | 2.812 |
| cement plaster | 0.01 | ||||
| Cast Concrete | 0.05 | ||||
| EPS Expanded Polystyrene | 0.091 | ||||
| External Rendering | 0.02 | ||||
| Window (with Wooden Frame) | Generic PYR B CLEAR | 0.006 | 0.25 | 1.931 | – |
| Air | 0.013 | ||||
| Generic PYR B CLEAR | 0.006 | ||||
| External Door | Wooden flush panel hollow core door | 0.042 | 2.5 | 0.4 | |
| Internal Door | Solid hardwood door | 0.042 | 2.557 | 0.391 | |
The range of the cooling and heating thresholds in the thermal modeling of the desired building (Table 2) was chosen according to the results of Roshan et al. [79]. The range of the cooling and heating thresholds in the thermal modeling of the DesignBuilder (Table 2) was chosen according to the results of Roshan et al. [79]. Roshan et al. [79] Used the Milne-Givoni chart to determine the thermal comfort threshold for Iranian cites. They determined the maximum concentration zone of data for comfort days of each station, first, using the mean of daily temperature and relative humidity of every day. The distribution of 7305 spots, which belonged to the statistical period of 1995 to 2014, were plotted on different the Givoni charts. Then, to separate and identify the days inside and outside comfort zones, these days were coded 1 and 0 respectively so days out of the comfort zone which were marked with the code 0, were excluded from the data set. The next step was to focus on the data that had been in the comfort zone. Therefore, corresponding to the days with comfort event, their values of temperature (T) and relative humidity (RH) were determined. In the next step, based on the average and standard deviation of temperature (relative humidity) total days with the event of comfort of each station were determined. In fact, this process was calculated separately for both temperature and relative humidity. Now based on these temperature thresholds and relative humidity extracted from the previous process, a new comfort zone was defined within the comfort zone of Givoni chart for each station. But the important point is that, if instead of ± σ, ±2σ and more is used, it causes a part of calibrated comfort zone goes beyond the comfort zone of Givoni chart and its boundary spread to other bioclimatic zones. Therefore, this study focuses only on ±σ.
Table 2.
The range of the upper and lower temperature thresholds in the selected thermal regions [79]
| Stations | Cooling Set Point | Heating Set Point |
|---|---|---|
| Chabahar | 24.01 | 21.01 |
| Bandar Abbas | 24.15 | 20.82 |
| Bushehr | 24.46 | 20.94 |
Major findings
Prediction of temperature variations for decades to come and comparing it with the base period
Based on the results of this research, with regard to the comparison between the climatic components and the prediction of its changes for decades to come, four periods were considered. The first period included the current period (1961 to 1990) and the other three periods of near, middle and distant future that were previously introduced were evaluated. First, given the average of environment’s monthly temperature, it was found that for all three locations, the maximum of average monthly temperature belongs to the last decade, which includes 2060s, and the minimum of monthly average temperature belongs to the observation period (Fig. 3). For the study stations, the difference in annual temperature rise for the 2060s compared to the current decade was calculated to be 2.82 °C for Bandar Abbas, 2.79 °C for Bushehr and 2.14 °C for Chabahar. In that way, the average annual temperature in the 2060s for Bandar Abbas will reach 29.94, for Bushehr 27 and eventually for Chabahar 28.74 degrees Celsius. The results of this section confirm the fact that although the lowest average temperature is observed for all three stations in winter, but for stations in Bandar Abbas and Bushehr, the highest average temperature was observed in July and August, while for Chabahar the highest average temperature belongs to June and July. The results of temperature changes for the 2060s, as compared to the present decade, indicate that the minimum temperature increase for all three stations belongs to February, where its value is 1.88 degrees Celsius for Bushehr, 2 degrees Celsius for Bandar Abbas and 2.22 degrees Celsius for Chabahar. At the same time the highest monthly temperature increase for the two stations of Bandar Abbas and Chabahar will occur in May, which amounts to 3.14 and 2.25 degrees Celsius, respectively. But in Bushehr this peak temperature increase was 3.18 °C occurring in June (Fig.3).
Fig. 3.
Simulation and comparison of monthly average temperature changes for the current decade and three upcoming periods
Prediction of relative humidity changes for decades to come and comparing it with the reference period
In this part of the study, the findings of the relative humidity pattern changes for the study period have been analyzed. Based on the average output of relative humidity of the environment, it was determined that for each of the three study stations, the maximum monthly average relative humidity belongs to the 2060s and the minimum monthly average relative humidity belongs to the observation period (Fig. 4). For the study stations, the increase of annual relative humidity for the 2060s as compared to the current decade (1961 to 1990) was calculated to be 6.56% for Bushehr, 4.84% for Chabahar and 4.46% for Bandar Abbas. Therefore, the annual average relative humidity for Bandar Abbas in the 2060s will be 69.93%, for Chabahar 69.16%, and eventually for Bushehr will increase to 66%. The outcomes of this section confirms the fact that although the lowest average of relative humidity for all four study periods at Bandar Abbas and Chabahar stations has occurred in January and December, but for Bushehr the minimum average relative humidity belongs to January and February. But the maximum average relative humidity for two stations of Bushehr and Chabahar belongs to mid to late summer and for Bandar Abbas it is observed from late spring to mid-summer. The outputs of relative humidity changes for the 2060s, as compared to the present decade, show that the maximum average monthly relative humidity increase in Bushehr was 11.12% and 13.17% in May and September, respectively. But in Bandar Abbas, this peak was 10% and 14% in May and October, respectively. While, in Chabahar, this maximum relative humidity increase with 9 and 12% belongs to August and September. An interesting point is that in Bandar Abbas for March, a decrease of −0.33% in relative humidity has been forecasted for the 2060s compared to the current decade. Similar decrease is projected for Chabahar at −1.47 and − 1.12% in November and March, respectively. But in other months there is no significant decrease in relative humidity for the coming decades compared to the current period (Fig.4).
Fig. 4.
Simulation and comparison of monthly average relative humidity changes for the current decade and three upcoming periods
Simulation of the effect of global warming on the incidence of heat waves occurrence at the study stations
One of the problems which researchers face in the study of thermal waves is a comprehensive and precise definition of it. Looking at the definitions given by various researchers, institutes and research centers of the heat waves, it is deduced that their fundamental difference was in defining two words of wave and heat. The word “wave” in a way expresses the durability of a phenomenon that is expressed by a number. The durability is one of the main features of the heat wave, which is apparent in all the definitions of the heat wave. Heat is also expressed either as a number (numerical threshold) or as a percentile (threshold of the percentile), which ultimately has come out on the basis of the number. Therefore, different definitions of the monitoring of the heat wave can provide different results. Based on the method described in this study, the threshold for the occurrence of heat waves considering the average daily maximum temperature for the base period from 1975 to 2014 was calculated to be 38.4 °C, 38.2 °C and 34.6 °C for Bushehr, Bandar Abbas and Chabahar stations, respectively. However, this occurrence threshold for the 2020s–2060s period was calculated to be at 39.2 °C for Bushehr station and for the two stations of Bandar Abbas and Chabahar, it has been 39.6 °C. It is clear that due to global warming, this threshold has increased for all stations in the coming decades. Based on the results of this section, it was determined that although the frequency of the heat waves occurrence in the decades to come decreases compared to the present decade, but based on the findings from the preceding sections, the temperature rise trend is simulated for all study stations, which its occurrence is expected for decades of distant future. In total, the frequency of heat wave occurrence according to the base period, about 344 occurrences were observed and then one can refer to Bushehr with frequency occurrence of 232 and after that Chabahar with frequency occurrence of 166 (Fig. 5). In the next decade, the number of heat wave occurrence for each of the three study stations is decreasing, with the highest frequency of 192 abundances for Bushehr, 180 abundances for Bandar Abbas and 165 abundances for Chabahar. In total, the smallest decrease during the coming decades belongs to the Chabahar station and the largest to Bandar Abbas station (Fig. 5).
Fig. 5.
Comparison of frequency of the heat wave occurrence for current and future periods based on the results of HadCM3 model and A2 scenario
In order to visually introduce the method of heat wave monitoring in the present study, Fig. 6 and the desired variables in eq. 1 are introduced on its graphs. According to Fig. [39], for each station, one of the maximum periods of the occurrence of heat waves is identified and plotted. In general, according to the definition of the heat wave accepted in this study, for Bushehr station, the years of 1998 to 2000 were chosen, which based on this period, 27 incidents of heat wave have been identified. However, for Bandar Abbas from 1979 to 1981, there were about 28 incidents and Chabahar with 44 incidents of heat wave in 1981–1983 was identified as having the most severe years of heat wave events for the present period, and their diagrams are depicted.
Fig. 6.
The interannual variability of thermal adaptation is based on the average daily maximum temperature for sample years. (Yellow line = Tmax; black line = Gaussian filtered Tmax; red line = heat wave; 5a: Bushehr; 5b: Bandar Abbas; 5c: Chabahar
Thermal comfort monitoring based on temperature thresholds
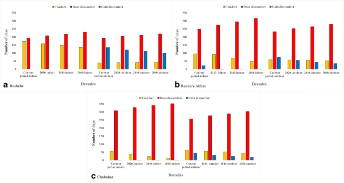
In this part of the study, considering the thermal comfort temperature for each station, where these thresholds for each station were discussed previously in the materials and methods section, the average number of days with thermal comfort and cold and hot days without comfort were monitored and simulated for the current and future periods. It needs to be explained that this process is carried out based on the temperature indoor and outdoor the building and the results are compared. At Bushehr station, considering the simulated temperature inside the building, it is observed that in none of the study stations, there are no without-comfort cold conditions. But based on the four study periods, it is observed that the condition of thermal discomfort has an upward trend. So that in the current period (1961 to 1990), there is the need for cooling energy for an average of 194 days a year, while for the 2060s it has increased to 230 days. Corresponding to these results, it is observed that the number of indoor comfort days, solely based on the component temperature is decreasing. Indeed, in the base period, the number of these days has been 172 days a year and it has reduced to 136 days for 2060s. The results for the Bushehr station show that, based on the thermal thresholds of the outdoor temperature component, the number of days with cold discomfort condition has been 135 days per year for the base period, but due to global warming, its number has decreased to 101 days per year for the 2060s. On the other hand, due to the upward trend in the number of days with thermal discomfort, it has increased from 192 days in the base period to 220 days in the 2060s. An interesting point is that, merely based on the temperature component it is observed that the number of comfort days per year for the base period is only 39 days, which represents a slight increase for decades to come. So that the number of comfort days increased in the 2060s to 45 days (Fig. 7). At Bandar Abbas station, there are many similarities to Bushehr station. So that the trend of warm-weather discomfort days based on the indoor temperature has an increasing trend from the current period to the coming decades. This value has been calculated to be 248 days for the base period and 316 days per year for 2060s. At this station, the number of comfort days inside the building is decreasing due to the global warming trend for the coming decades. So that in the 2060s, this figure is 49 days a year, while in the current decade, the number of comfort days is 96 days per year. Despite these results, an average of 22 days of discomfort cold days is observed for indoor temperature throughout the year for the current period. Which, of course, given the future climate change, this number has been reduced to one day a year for the next three decades. Regarding cold discomfort days, considering the outside temperature, trends are downward from the present decade to the next decade, but for it is increasing for discomfort hot days. There is also a slight decline in the comfort days of the outdoor for decades to come compared to the present decade (Fig. 7). In Chabahar, there are also many similarities with the other two stations. So that, based on the indoor temperature, there is no cold discomfort condition for any of the periods but due to the increasing trend for discomfort thermal days for future periods, a decrease in the number of days with thermal comfort will be observed. The total number of thermal discomfort days for the base period is 309 days per year, which increased to 352 days in 2060, and as for comfort days, the number of these days for the base period was 56 days per year, and it has decreased to 13 days for 2060 (Fig. 7). Based on the outdoor temperature, it is seen that the number of discomfort cold days, due to global warming in the coming decades, is decreasing. This number has reduced from 45 days per year in the current decade to 18 days per year for 2060. On the other hand, with an increase in the number of days with thermal discomfort for the future decades, the number of comfort days for decades to come has decreased. So that the number of comfort days in 2060 was 44 days, which, on average, decreased by 20 days compared with the period (Fig. 7).
Fig. 7.
Number of comfort days, cold and warm discomfort days indoor and outdoor the building during the different study periods based on temperature comfort thresholds
Monitoring of the number of comfort and discomfort days based on PMV index
The Predicted Mean Vote [80] is based on the balance of heat in the human body. The human being is in thermal balance, when the internal production of heat is equal to the loss of heat in the environment. In a mild environment, the human thermoregulatory system automatically tries to modify the skin temperature and the secretion of sweat to maintain a heat balance [81]. Based on the PMV index values for the Bushehr station, it can be seen that in the course of global warming, there is no significant difference in the number of comfort days for different study periods. So that the maximum number of comfort days is simulated at 158 for the 2020s, and on the other hand both for the base periods (1961 to 1990) and for the 2060s, this number will constitute 155 days a year. But the important thing is that the trend of thermal discomfort days is highly increasing. Although it’s maximum number reaches 177 days per year in the 2040s, its incremental trend can be seen during four study periods. But based on the PMV output patterns, it is seen that the number of discomfort cold days has been reduced due to future climate change, with its minimum value simulated for the 2040s at 33 days per year, however, its maximum occurrence belongs to the base period with a number of 160 days per year (Fig. 8). In Bandar Abbas, the overall pattern is similar to that of Bushehr. So that the trend of discomfort hot days is highly increasing and it’s decreasing for discomfort cold days. However, there is a slight decrease in the number of comfort days for the coming decades compared to the base period. So that the number of comfort days in the current decade was 81 days per year, which is later reduced to 70 days in 2020 and 2040, but again increased to 76 days in 2060 (Fig. 8). In Chabahar, the variability pattern of comfort days is very similar to Bushehr because the base period as well as the 2060s, jointly, show 155 days of comfort days per year. Therefore, the variability of comfort days in the coming decades has very modest fluctuations. However, due to global warming, although the number of days with discomfort cold conditions is decreasing, on the other hand, the number of days with discomfort hot conditions has a strongly increasing trend. Interestingly, the changes in these two components have somewhat cancelled each other. So that for the last study period, the number of discomfort hot days is by 101 days larger than for the base period and on the other hand, during the same period, the number of discomfort cold days has reduced by 101 days compared to the base period (Fig. 8).
Fig. 8.
Number of comfort days, discomfort cold and hot days for different study periods based on the PMV index
Monitoring and forecasting the energy demand for the cooling and heating system for selected stations
One of the most important parts of this study is to examine the effect of global warming on the amount of energy demand in the space cooling and heating sectors. At Bushehr station, our results show the decreasing trend for the space heating energy. Regarding the outputs for the current period (1961 to 1990), it is determined that, on average, the amount of energy for space heating has been 4763.6 kWh / m2 per year, followed by decrease for the years of 2020, 2040, and 2060, with the values of 3581, 2799 and 2045 kWh/m2 respectively. In other words, a comparison between the present period and the 2060s demonstrates that the need for heating energy in the 2060s will be reduced by 2718 kWh/m2 (Fig.9). On the contrary, the energy demand for space cooling energy is increasing. Whereas the minimum need in the base period recorded the value of 8609 kWh/m2 a year, with a following increase by 1233 kWh / m2 by the 2060s it has reached 9842 kWh/m2. At Bandar Abbas station, compared with Bushehr, the need for heating energy has a lower threshold. According to the current period data, the need for heating energy in Bushehr may be three times higher than for Bandar Abbas. But in total, results for Bandar Abbas showed that on average, the demand for heating energy for the current decade is 1017 kWh/m2 a year, but allowing for its decreasing trend in the decades ahead, it will eventually fall to130 kWh/m2 in the fourth study period (Fig. 9). In assessing the need for space cooling energy, it is determined that demand for this energy in Bandar Abbas is considerably higher than for Bushehr and the increasing trend is seen throughout the study periods. Thus, the amount of energy needed during the base period on average has been 10,027 kWh/m2 per year but increased to 10,654 kWh/m2 in the 2020s and to 11,026 and 11,454 kWh/m2 in 2040s and 2060s, respectively (Fig. 9). In Chabahar, simulation results in general are similar to Bushehr and Bandar Abbas stations. One can clearly observe a decreasing trend for heating and, on the other hand, the increasing trend for space cooling energy demand. But some differences between this station and two other stations can be seen in details. One can see that at this station an absolute minimum of heating energy demand is reached. In other words, whereas in the current period it is 211kWh/m2 on average, by 2060 it will drop sharply to mere 5 kWh/m2. Therefore, although the effect of global warming at this station decreases the need for heating energy, but due to the climate type of this station, it does not show much influence on its consumption pattern while in this station, the need for cooling energy is higher than for the other two stations, as in the base period, it has been an average of 10,392 kWh/m2 per year, but resulting from the increasing trend during the 2030s, and the 2040s it eventually increased to 11,771 kWh/m2 in the 2060s. In other words, this incremental value for the 2060s has an average of 1379 kWh/m2 per year, which strongly influenced energy consumption in the cooling sector (Fig. 9).
Fig. 9.
Modeling the effect of global warming on the energy demand for space cooling and heating for selected stations
Simulation of carbon dioxide emissions based on the energy consumption pattern of the construction type with regard to climatic change
Today, one of the crucial world’s issues concerning global warming is greenhouse gas emissions, especially carbon dioxide emissions, and their impact on global warming and extreme climate events. So in this section of our study it’s interesting to simulate variations of carbon dioxide emissions due to the climate change and change in energy consumption patterns inside buildings. In other words, a question arises, how will the amount of emitted carbon dioxide change as a result of changing pattern of energy consumption inside buildings in the cooling and heating sectors? Therefore, based on the previous outcomes of this study, it was clearly established that in all study periods the amount of heating energy demand was decreasing and, on the contrary, the demand for cooling energy was increasing. Our results show that for all locations carbon dioxide emissions will increase over the whole studied time span. Of course, following the need for cooling energy, which reaches its maximum for Chabahar, carbon dioxide emission for this location is higher than for two other stations. Whereas in the base period (1961 to 1990) it was 8825 kg in total per the year, but having added another 798 kg per year by the 2060s it has arrived at 9623 kg. Second after Chabahar, the maximum demand for cooling energy in the global warming environment is observed for Bandar Abbas. At this station, the amount of carbon dioxide emissions during the base period is 8635 kg per year, which is increased by 700 kg per year in 2060. Finally, carbon dioxide emissions in Bushehr can be mentioned. At this station, compared to the other two stations, cooling energy demand has been lower in the decades ahead. According to this, the release of carbon dioxide also shows a lower value compared to the two more southern stations. In Bushehr, the amount of carbon dioxide released from the modeled construction type for the 2060s was 8876 kg per year, which was increased by 241 kg per year compared to the base period (Fig. 10).
Fig. 10.
Assessing the effect of anticipated climate change on carbon dioxide emissions of simulated construction type in various locations
Discussion and conclusion
The purpose of this study is to monitor the effect of global warming on the heating and cooling energy demand in a climatic type with very hot and humid summers and relatively moderate winters on the northern coasts of the Persian Gulf and Oman Sea in the south of Iran. On the whole, the results of this research may be divided into several main categories. In the first part of the study, the effects of global warming on the changes in climate parameters of relative humidity and temperature were analyzed. What is interesting is that in the coming decades, the temperature and the relative humidity will increase, with the same result for all study stations. Generally, due to the increase in the ambient temperature, the air capacity to absorb more water vapor will increase. Moreover, the proximity of the Persian Gulf and the Oman Sea to the study stations will increase vapor inflow to the air. Therefore, these conditions in the warm seasons can exacerbate the air’s humidity, which will increase the need for cooling energy to provide thermal comfort. In the simulation of the effect of global warming on the energy consumption of buildings in Iran, we used a degree day index. The important point of this study is the maximum temperature increase for the southern coast of Iran. The reason may be justified by the increased rate of the Persian Gulf evaporation due to global warming in the next decades. The excess water vapor would be entrapped by the high pressure system within the Intertropical Convergence Zone (ITCZ) on the northern coasts of the ROPME Sea Area. Considering water vapor as a greenhouse gas, it would be confirmed by the gradual warming of the area in comparison with other ones [82]. The study of Roshan and Grab [17] has received similar results to this study, whose findings indicate a temperature rise for various regions of Iran, including the Persian Gulf and the Oman Sea, for decades to come. The findings of their research, like those of the present paper, confirmed the fact that the maximum temperature increase is related to the warm seasons of spring and summer. It is also noted in other similar studies for the Middle East that, due to global warming, summers and springs will be warmer, and, on the other hand, winters will become less cold [83–85]. But among the study stations it became clear that the annual temperature difference for the 2060s compared to the current decade would be highest at 2.82 °C for Bandar Abbas, followed by 2.79 °C for Bushehr and 2.14 °C for Chabahar, respectively. Also, the average annual temperature in Bandar Abbas in the 2060s will reach 29.94 degrees, for Bushehr 27 degrees Celsius, and eventually 28.74 degrees Celsius in Chabahar. For the study stations, the annual relative humidity increase for the 2060s compared to the present decade constitutes 6.56% for Bushehr, 4.84% for Chabahar, and 4.46% for Bandar Abbas. As expected, the average annual relative humidity for Bandar Abbas in the 2060s is projected to 69.93%, to 69.16% for Chabahar, and to 66% for Bushehr. In total, the frequency of heat wave occurrence for Bandar Abbas according to the period from 1975 to 2014 was about 344 occurrences with a minimum duration of 3 days. Bushehr comes second with 232 occurrences of heat wave followed by Chabahar with 166 frequencies of the heat wave incident. In the next decade, the number of heat wave occurrences for each of the three study stations is decreasing, with the highest frequency of 192 abundances for Bushehr, 180 abundances for Bandar Abbas and finally 165 abundances for Chabahar. In total, the smallest decrease belongs to the station of Chabahar and its maximum belongs to Bandar Abbas station (Fig.5). In general, the findings of this study showed that this study area has high capacity of stress and the occurrence of heat waves. The study of Roshan and Nastos [86] had obtained similar results, so that their study had revealed that the regions of the Persian Gulf and the Oman Sea were more exposed to the heat wave incidence than other geographic regions of Iran. The results of this study showed, based on the effect of global warming on the bioclimatic thresholds, that the pattern of the occurrence of comfort and discomfort cold days will change dramatically. So that, just by taking into account the temperature component inside and outside the building, it turns out that the number of comfort days both indoors and outdoors will decrease for all study stations. As an example, a number of the comfort days, based on the indoor temperature, will be decreased for Bandar Abbas by 47 days, for Chabahar by 43 days and for Bushehr by 36 days in 2060s compared to the base period. The findings also showed that the global warming has greatly increased the negative trend of comfort days, which is clearly visible both indoor the building and outdoor the building. But among the study stations, the most days of discomfort regarding the outdoor temperature component is related to Chabahar, followed by Bandar Abbas. On the other hand, although the global warming process has increased the number of hot discomfort days, a number of cold discomfort days are also declining, that these conditions, based on both the thermal comfort thresholds and PMV outputs, have yielded similar results. In other studies conducted for Iran which aimed to assess the effect of climate change on the transformation of the bioclimatic indices of the physiologically equivalent temperature (PET) and perceived temperature (PT) and the Tourism Climate Index (TCI), it was found that due to global warming, the incidence of hot discomfort days is rising and the severity of cold discomfort days is reduced. Their findings also revealed that the number of thermal comfort days was reduced, especially for the Persian Gulf and Oman Sea area [35, 87]. In many studies for other parts of the world, the results of the future climate change will indicate a rise in heat stress and an increase in hot discomfort days for decades to come. The works of Lin et al. [88] for Taiwan, Lhotka et al. [89] for the central parts of Europe, Dhorde et al. [9] for India, Gao et al. [90] for the northeastern United States and Matilde Rusticucci et al. [91] for Argentina provide useful examples. It is interesting to note that according to the PMV index and the comparison of the base period with the 2060s period, it was revealed that increased number of hot discomfort days and decreased number of cold discomfort days nearly cancel each other. So that, based on the PMV index, although based on the base period, the number of cold discomfort days in Bushehr decreased by 108 days in the 2060s, by 101 days for Chabahar and by 71 days for Bandar Abbas, but on the other hand, it was observed that in 2060s the number of hot discomfort days for Bushehr will increase by108 days, by 101 days for Chabahar and by 81 days for Bandar Abbas. It is important to note that, although it is expected that decreasing cold discomfort days reduces the demand for heating energy in cold seasons, but increasing hot discomfort days increases the demand for cooling energy. Also, in these areas, the demand for heating energy is not particularly large throughout the year, and the decline of demand in the next decades does not have much impact on the energy consumption pattern of the settlements. As the results indicated, there is very little need for the use of heating energy for the two stations of Chabahar and Bandar Abbas throughout the year, which will reduce to virtually zero requirements in the decades to come. Of course, in Bushehr, the demand for heating energy in the current period was 4763 kg per annum, which would be halved in the 2060s. In other words, for Bushehr, in the 2060s, merely one-fifth of the energy demand is for the heating sector, and its four-fifths would be for cooling energy requirements. But for Bandar Abbas and Chabahar, more than 95% of the energy demand in 2060 is for cooling energy. In other studies for other regions of Iran, the results of climate modeling also indicate a rise in temperature for decades to come. It is exemplified by the fact that the temperature increase by 4 degrees Celsius is anticipated for western regions of Iran by 2100, which will reduce the demand for heating energy for cold months and increase the need for cooling energy in the months of May and June [92]. Zarghami et al. [93] also achieved similar results for modeling temperature climatic change in Iran’s regions of Azerbaijan demonstrating that the temperature changes of the decades 2011 through 2030 compared to the base period of 1951 to 2008 will increase by 0.88 °C and this incremental change for the 2080–2099 period is 4.83 degrees Celsius. So the findings of these results are consistent with our outcomes. In that way, all of these studies have proven the increase in temperature for various regions of Iran in the decades to come. Overall, due to the increased demand for cooling energy in the decades to come, the conclusion was made that this factor would result in an increasing carbon dioxide emission rate for all study stations. Of course, following the need for cooling energy, which reaches its highest in Chabahar, carbon dioxide emissions in Chabahar is also higher than that for two other stations. Matzarakis and Amelung [94] also argue that with rising fuel budgets for decades to come, this factor by increasing cooling energy demand will lead to a rise in greenhouse gas emissions. Eventually, with a stronger global warming, it is expected that this climate will follow a common pattern, but with a slight difference in detail. As expected with future climate change, its impact in the study area will be accompanied by an increased cooling energy demand, elevated carbon dioxide emissions and a reduced number of thermal comfort days. Therefore, based on these results, the design of buildings should be such that it can reduce internal temperature of the environment. And this requires a further step in research considering trial and error about applying and modeling the best passive strategies to study ways to reduce the need for cooling energy and increase the number of indoor comfort days. But according to our findings, energy risk management for these areas should focus on planning for more cooling energy in the coming decades so that by investing in the green energy and renewable energy sector, such as solar, wind energy and access to the Great water zone of the Persian Gulf and Oman Sea, one can move towards generating energy from the hydrological section so that it can better manage energy demand in the coming decades, and this proper management can be a key step in preventing the energy crisis in the decades to come.
Acknowledgements
This paper is obtained from a sabbatical by first author of paper, which is conducted at the National Research University Moscow Power Engineering Institute Moscow Russia. First of all, I would like to thank the Golestan University that sponsored the research project. I also thank the members of Laboratory of Global Energy Problems (NIL GGE) of the Moscow Power Engineering Institute (Technical University) who provided the facilities and resources needed to conduct the research project. The authors of the paper are finally very grateful to referees for the useful comments that have been improved the paper.
Compliance with ethical standards
Competing interests
The authors declare that they have no competing interests.
Footnotes
Building Energy Simulation Test
Highlights
• In this research, the Meteonorm and DesignBuilder software have been used for climate and building simulations.
• Based on the thermal comfort thresholds and the PMV bioclimatic index, the pattern of comfort days, discomfort cold and hot days’ conditions were monitored for the current and future periods.
• Due to global warming, although a number of the discomfort cold days have been decreasing, this model change has little effect on the pattern of buildings' heating energy consumption in the coming decades.
• Given the increasing trend of discomfort warm days, more than 95% of the energy demand for the next decades for Bandar Abbas and Chabahar stations will be due to cooling, whereas it will constitute more than 80% for Bushehr.
• In total, due to the increased demand for cooling energy for all three study stations in the coming decades, this will further increase carbon dioxide emissions.
Publisher’s note
Springer Nature remains neutral with regard to jurisdictional claims in published maps and institutional affiliations.
References
- 1.IPCC. Summary for policymakers. In: Solomon, S., Qin, D., Manning, M., Chen, Z., Marquis, M., Averyt, K.B., Tignor, M., Miller, H.L., editors. Climate Change, 2007a, the Physical Science Basis. Contribution of working group I to the fourth assessment report of the intergovernmental panel on climate change. Cambridge, United Kingdom and New York, NY, USA: Cambridge University Press.
- 2.Luo C, Wu D. Environment and economic risk: an analysis of carbon emission market and portfolio management. Environ Res. 2016;149:297–301. doi: 10.1016/j.envres.2016.02.007. [DOI] [PubMed] [Google Scholar]
- 3.Iran Power Industry . D development: deputy of research and human resources. Tavanir Mother's Company: Publisher; 2016. [Google Scholar]
- 4.Mohammad S. Study of thermal behavior of common materials in the construction of walls; journal of fine arts. Architecture and Urban Development. 2013;18(1):70. [Google Scholar]
- 5.Iran Energy Balance, 2010. Iran Central Bank.
- 6.UNDP (United Nations development program), 2010. Department of environment. Iran second national communication to United Nations framework convention on climate change (UNFCCC). National climate office, department of environment. Tehran.
- 7.Moshiri S, Atabi F, Panjeshahi MH, Lechtenboehmer S. Long run energy demand in Iran: a scenario analysis. Int J Energy Sect Manag. 2012;6(1):120–144. doi: 10.1108/17506221211216571. [DOI] [Google Scholar]
- 8.Jos, G.J., Olivier, (PBL), Greet Janssens-Maenhout (EC-JRC), Marilena Muntean (EC-JRC), Jeroen A.H.W. Peters (PBL), 2016. TRENDS IN GLOBAL CO2 EMISSIONS 2016 report, PBL Netherlands environmental assessment Agency European Commission, Joint Research Centre (EC-JRC).
- 9.Dhorde AG, Korade MS, Dhorde AA. Spatial distribution of temperature trends and extremes over Maharashtra and Karnataka states of India. Theor Appl Climatol. 2017;130:191–204. doi: 10.1007/s00704-016-1876-9. [DOI] [Google Scholar]
- 10.Shifteh SB, Ezani A, Tabari H. Spatiotemporal trends and change point of precipitation in Iran. Atmos Res. 2012;113:1–12. doi: 10.1016/j.atmosres.2012.04.016. [DOI] [Google Scholar]
- 11.Tabari H, Hosseinzadeh TP. Temporal variability of precipitation over Iran: 1966–2005. J Hydrol. 2011;396(3–4):313–320. doi: 10.1016/j.jhydrol.2010.11.034. [DOI] [Google Scholar]
- 12.Tabari H, Hosseinzadeh TP. Recent trends of mean maximum and minimum air temperatures in the western half of Iran. Meteor Atmos Phys. 2011;111:121–131. doi: 10.1007/s00703-011-0125-0. [DOI] [Google Scholar]
- 13.Tabari H, Hosseinzadeh TP, Ezani A, Shifteh SB. Shift changes and monotonic trends in autocorrelated temperature series over Iran. Theor Appl Climatol. 2011;109:95–108. doi: 10.1007/s00704-011-0568-8. [DOI] [Google Scholar]
- 14.Tabari H, Shifteh SB, Rezaeian ZM. Testing for long-term trends in climatic variables in Iran. Atmos Res. 2011;100:132–140. doi: 10.1016/j.atmosres.2011.01.005. [DOI] [Google Scholar]
- 15.Zarenistanak M, Dhorde A, Kripalani RH. Temperature analysis over Southwest Iran: trends and projections. Theor Appl Climatol. 2014;116:103–117. doi: 10.1007/s00704-013-0913-1. [DOI] [Google Scholar]
- 16.Zarenistanak M, Dhorde A, Kripalani RH. Trend analysis and change point detection of annual and seasonal precipitation and temperature series over Southwest Iran. J Earth Syst Sci. 2014;123:281–295. doi: 10.1007/s12040-013-0395-7. [DOI] [Google Scholar]
- 17.Roshan, G.R., Grab, S.W., 2012. Regional climate change scenarios and their impacts on water requirements for wheat production in Iran. Int .J. Plant. Prod. 6(2), 239–266.
- 18.Roshan GR, Khoshakh LF, Azizi GH, Mohammadi H. Simulation of temperature changes in Iran under the atmosphere carbon dioxide duplication condition. Iran. J. Environ. Health. Sci. Eng. 2011;8:139–152. [Google Scholar]
- 19.Paris Agreement, 2017. Framework convention on climate change. United Nations. http://unfccc.int/paris_agreement/items/9485.php
- 20.Stavins, R.N., Stowe, R.C., (eds), 2016. The Paris agreement and beyond: International climate change policy post-2020. Cambridge, Massachusetts: Harvard Project on Climate Agreements, Belfer Center, 1–114. http://www.belfercenter.org/publication/parisagreement-and-beyond-international-climate change-policy-post-2020. .
- 21.IPCC, 2013, Climate change 2013: the physical science basis. Contribution of working group I to the fifth assessment report of the intergovernmental panel on climate change [stocker, T.F., D. Qin, G.-K. Plattner, M. Tignor, S.K. Allen, J. Boschung, A. Nauels, Y. Xia, V. Bex and P.M. Midgley (eds.)]. Cambridge University press, Cambridge, United Kingdom and New York, NY, USA, 1535 pp.
- 22.Mehr News Agency., 2016. Details of the agreement Paris / Iran are committed to the limitation of industrial development, news ID: 3591470 - Wednesday, April 18, 2016, Tehran. Iran.
- 23.IPCC. Summary for policymakers. In: Metz, B., Davidson, O., Bosch, P., Dave, R., Meyer, L., editors. Climate change, 2007b. Mitigation of climate change. Contribution of working group III to the fourth assessment report of the intergovernmental panel on climate change. Cambridge. United Kingdom and New York. NY, USA: Cambridge University Press.
- 24.Luers, A.L., Moser, S.C., 2006. Preparing for the impacts of climate change in California: opportunities and constraints for adaptation. California Climate Change Center.
- 25.Roaf S, Crichton D, Nicol F. Adapting buildings and cities for climate change: a 21st century survival guide. Oxford: Architectural Press; 2004. [Google Scholar]
- 26.Kwok AG, Rajkovich NB. Addressing climate change in comfort standards. Build Environ. 2010;45:18–22. doi: 10.1016/j.buildenv.2009.02.005. [DOI] [Google Scholar]
- 27.Hidalgo H, Alfaro E. Skill of CMIP5 climate models in reproducing 20th century basic climate features in Central America. Int J Climatol. 2014. 10.1002/joc.4216.
- 28.Fowler HJ, Blenkinsop S, Tebaldi C. Linking climate change modelling to impacts studies: recent advances in downscaling techniques for hydrological modelling. Int J Climatol. 2007;27(12):78–1547. [Google Scholar]
- 29.Ghanghermeh AA, Roshan GR, Nasrabadi T. Synoptic approach to forecasting and statistical downscaling of climate parameters (case study: golestan province) Pollution. 2017;3(3):487–504. [Google Scholar]
- 30.Roshan GR, Ghanghermeh A, Orosa JA. Thermal comfort and forecast of energy consumption in Northwest Iran. Arab J Geosci Doi. 2013;7:3657–3674. doi: 10.1007/s12517-013-0973-7. [DOI] [Google Scholar]
- 31.Jentsch MF, Bahaj AS, James PAB. Climate change future proofing of buildings a generation and assessment of building simulation weather files. Energy and Buildings. 2008;40(12):2148–2168. doi: 10.1016/j.enbuild.2008.06.005. [DOI] [Google Scholar]
- 32.Robert A, Kummert M. Designing net-zero energy buildings for the future climate, not for the past. Build Environ. 2012;55:150–158. doi: 10.1016/j.buildenv.2011.12.014. [DOI] [Google Scholar]
- 33.Gizaw MS, Gan TY. Possible impact of climate change on future extreme precipitation of the old man. Bow and Red Deer River Basins of Alberta. 2016;36(1):208–224. [Google Scholar]
- 34.Raju, P. V. S., Bhatla, R., Almazrouia, M., Assiri, M., 2015. Performance of convection schemes on the simulation of summer monsoon features over the South Asia CORDEX domain using RegCM-4.3. Int. J. Climatol, 1-12. 10.1002/joc.4317.
- 35.Roshan GR, Masoompour Samakosh J, Jose A, Orosa JA. The impacts of drying of Lake Urmia on changes of degree day index of the surrounding cities by meteorological modelling. Environ Earth Sci. 2016;75:1387. doi: 10.1007/s12665-016-6200-6. [DOI] [Google Scholar]
- 36.Tisseuil C, Roshan GR, Nasrabadi T, Asadpour GA. Statistical modeling of future Lake level under climatic conditions: case study of Urmia lake (Iran). International. J Environ Res. 2013;7(1):69–80. [Google Scholar]
- 37.Nakicenovic N, Alcamo J, Davis G, de Vries B, Fenhann J, Gaffin S, Gregory K, Grubler A, Jung TY, Kram TL, Rovere EL, Michaelis L, Mori S, Morita T, Pepper W, Pitcher HM, Price L, Riahi K, Roehrl A, Rogner HH, Sankovski A, Schlesinger M, Shukla P, Smith SJ, Swart R, Rooijen S, Victor N, Dadi Z. Special report on emissions scenarios: a special report of working group III of the intergovernmental panel on climate change. 2000. [Google Scholar]
- 38.Tahbaz M, Jalilian S. Architectural design principal compatible with climatic conditions of Iran. Tehran: Shahid Beheshti University Press; 2008. [Google Scholar]
- 39.Belcher S, Hacker J, Powell D. Constructing design weather data for future climates. Build Serv Eng Res Technol. 2005;26(1):49–61. doi: 10.1191/0143624405bt112oa. [DOI] [Google Scholar]
- 40.Nik VM, Kalagasidis AS. Impact study of the climate change on the energy performance of the building stock in Stockholm considering four climate uncertainties. Build Environ. 2013;60:291–304. doi: 10.1016/j.buildenv.2012.11.005. [DOI] [Google Scholar]
- 41.Koppe C, Jendritzky G. Inclusion of short-termadaption to thermal stresses in a heat load warning procedure. Meteorol. Z. 2005;14:271–278. doi: 10.1127/0941-2948/2005/0030. [DOI] [Google Scholar]
- 42.Jendritzky G and Tinz B. The thermal environment of the human being on the global scale. In: Kjellström T (ed) Heat, work and health: implications of climate change. Global Health Action, 2009. 2, 1–12. [DOI] [PMC free article] [PubMed]
- 43.Matzarakis A, Nastos PT. Human-biometeorological assessment of heat waves in Athens. Theor. Appl. Climatol. 2011;105:99–106. doi: 10.1007/s00704-010-0379-3. [DOI] [Google Scholar]
- 44.Basarin B, Lukic T and Matzarakis A. Quantification and assessment of heat and cold waves in Novi Sad, Northern Serbia. Int. J. Biometeorol. 2015, doi:10.1007/s00484-015-1012-z. [DOI] [PubMed]
- 45.Koppe C. Gesundheitsrelevante Bewertung von thermischer Belastung unter Berücksichtigung der kurzfristigen Anpassung der Bevölkerung an die lokalen Witterungsverhältnisse. Berichte des Deutschen Wetterdienstes Nr. 2005; 226.
- 46.Alexander L, Arblaster J. Assessing trends in observed and modelled climate extremes over Australia in relation to future projections. Int. J.Climatol. 2009;29:417–435. doi: 10.1002/joc.1730. [DOI] [Google Scholar]
- 47.Lee WS, Lee MI. Interannual variability of heat waves in South Korea and their connection with large-scale atmospheric circulation patterns. Int J Climatol. 2016;36:4815–4830. doi: 10.1002/joc.4671. [DOI] [Google Scholar]
- 48.Rahimzadeh F, Asgari A, Fattahi E. Variability of extreme temperature and precipitation in Iran during recent decades. Int J Climatol. 2009;29:329–343. doi: 10.1002/joc.1739. [DOI] [Google Scholar]
- 49.Roshan GR, Ghanghermeh A, Neyazmand E. Quantification and assessment of effective of global warming on the occurrence of heat and cold waves in some selected stations in Iran. Journal of the Earth and Space Physics. 2019;44(4):127–144. [Google Scholar]
- 50.Unal YS, Tan E, Mentes S. Summer heat waves over western Turkey between 1965 and 2006. Theor Appl Climatol. 2013;112:339–350. doi: 10.1007/s00704-012-0704-0. [DOI] [Google Scholar]
- 51.Crawley DB. Contrasting the capabilities of building energy performance simulation programs. Washington. DC.USA: US Department of Energy; 2005. [Google Scholar]
- 52.Fasi MA, Budaiwi IM. Energy performance of windows in office buildings considering daylight integration and visual comfort in hot climates. Energy and Buildings. 2015;108:307–316. doi: 10.1016/j.enbuild.2015.09.024. [DOI] [Google Scholar]
- 53.Rahman, M.M., Rasul, M.G., Khan, M.M.K., 2010. Energy conservation measures in an institutional building in sub-tropical climate in Australia. Applied Energy.87, 2994–3004.
- 54.Henninger, R.H., Witte, M.J., 2003. EnergyPlus testing with ANSI/ASHRAE standard 140-2001 (BESTEST). EnergyPlus version 1.1. 0.020, Ernest Orlando Lawrence Berkeley National Laboratory Berkeley, California, for US Department of Energy, Washington.
- 55.Judkoff, R., Neymark, J., 1995. International energy Agency building energy simulation test (BESTEST) and diagnostic method. National Renewable Energy lab. Golden, CO (US). No. NREL/TP-472-6231.
- 56.Kwok, Y.T., Lai, A.K.L., Lau, K.K.L., Chan, P.W., Lavafpour, Y., Ho, J.C.K., Yung Ng, E.Y., 2017. Thermal comfort and energy performance of public rental housing under typical and near-extreme weather conditions in Hong Kong. Energy and Buildings,10.1016/j.enbuild.2017.09.067.
- 57.Mateus NM, Pinto A, da Graça GC. Validation of EnergyPlus thermal simulation of a double skin naturally and mechanically ventilated test cell. Energy Build. 2014;75:511–522. doi: 10.1016/j.enbuild.2014.02.043. [DOI] [Google Scholar]
- 58.Shrestha S, Maxwell G. Empirical validation of building energy simulation software: EnergyPlus, 2935–2942. 2011. [Google Scholar]
- 59.Alajmi A. Energy audit of an educational building in a hot summer climate. Energy and Buildings. 2012;47:122–130. doi: 10.1016/j.enbuild.2011.11.033. [DOI] [Google Scholar]
- 60.Baharvand, M., Ahmad, M.H., Safikhani, T., Majid, R.A., 2013a. DesignBuilder verification and validation for indoor natural ventilation, journal of basic and applied scientific research (JBASR). 3, 8.
- 61.Baharvand, M., Bin Ahmad, M.H., Safikhani, T., Abdul Majid, R. B., 2013b. DesignBuilder verification and validation for indoor natural ventilation, J.Basic Appl. Sci. Res. (JBASR). 3 (4), 8.
- 62.Kaplan M, Canner P. Guidelines for energy simulation of commercial buildings. Portland: Bonneville Power Administration; 1992. [Google Scholar]
- 63.Oberkampf WL, Trucano TG. Verification and validation in computational fluid dynamics. Prog Aerosp Sci. 2002;38(3):209–272. doi: 10.1016/S0376-0421(02)00005-2. [DOI] [Google Scholar]
- 64.Safikhania T, Baharvand M. Evaluating the effective distance between living walls and wall surfaces, energy and. Buildings. 2017;150:498–506. doi: 10.1016/j.enbuild.2017.06.029. [DOI] [Google Scholar]
- 65.Maile, T., Fischer, M., Bazjanac V., 2007. Building energy performance simulation tools a life-cycle and interoperable perspective. Center for Integrated Facility Engineering, 1–49.
- 66.Martinaitis V, Zavadskas EK, Motuziene V, Vilutiene T. Importance of occupancy information when simulating energy demand of energy efficient house: a case study. Energy and Buildings. 2015;101:64–75. doi: 10.1016/j.enbuild.2015.04.031. [DOI] [Google Scholar]
- 67.Yuan T, Ding Y, Zhang Q, Zhu N, Yang K, He Q. Thermodynamic and economic analysis for ground source heat pump system coupled with borehole free cooling. Energy and Buildings. 2017. 10.1016/j.enbuild.2017.09.018.
- 68.Zhai ZJ, Johnson M, Krarti M. Assessment of natural and hybrid ventilation models in whole-building energy simulations. Energy and Buildings. 2011;43:2251–2261. doi: 10.1016/j.enbuild.2011.06.026. [DOI] [Google Scholar]
- 69.Al-musaed A. Biophilic and Bioclimatic Architecture, Analytical Therapy for the Next Generation of Passive Sustainable Architecture, Springer- Verlag London Limited; 2011
- 70.Tahbaz, M., Jalilian, Sh., 2011. Principles of architectural approach consistent to climate in Iran with an approach to mosque architecture. Iran. Tehran. Shahid Beheshti University press, 160-180.
- 71.Kasmaei M, Da'e-Nejad F, Salkhi S. Zoning and guiding for climate design: hot and humid climate (Hormozgan) Tehran, Building and Housing Research Center: Iran; 2014. [Google Scholar]
- 72.Al-Musaed A. Intelligent Sustainable Strategies upon Passive bioclimatic houses Arkitektskole, Arhus. 2004.
- 73.Rezaei M, Molavi M. Sustainable development and native architecture in Iran: Iran. Tehran. Simay-e- Danesh Publication; 2016.
- 74.Givoni B. Ventilation problems in hot countries, research report to the Ford Foundation. Technion, Haifa, Israel: Building Research Station; 1968. [Google Scholar]
- 75.Spenani A. Climatological capabilities of native architecture: case study of Kish Island. Peyk Nour Magazine. 2004;2(2).
- 76.Ghobadian V. Climatic survey of traditional Iranian buildings. Tehran: Tehran University Press; 1995. [Google Scholar]
- 77.Roshan G, Farrokhzad M and Attia S. Climatic clustering analysis for novel atlas mapping and bioclimatic design recommendations. Indoor and Built Environment, 2019, 10.1177/1420326X19888572
- 78.Zolfaghari SA, Saadatinasnab M, Nowroozi-Jajarm E. Estimation of the effect of exterior exposure of building on annual energy consumption in different climate of Iran. Iranian Journal of Energy. 2015;7(4).
- 79.Roshan G, Farrokhzad M, Attia S. Defining thermal comfort boundaries for heating and cooling demand estimation in Iran's urban settlements. Build Environ. 2017. 10.1016/j.buildenv.2017.05.023.
- 80.Fanger PO. Thermal comfort. McGraw Hill, New York: Doctoral Thesis; 1972. [Google Scholar]
- 81.Ruiz MA, Correa EN. Suitability of different comfort indices for the prediction of thermal conditions in tree-covered outdoor spaces in arid cities. 2015;122(1-2):69–83.
- 82.Roshan GR, Orosa JA, Nasrabadi T. Simulation of climate change impact on energy consumption in buildings, case study of Iran. Energy Policy. 2012;49:731–739. doi: 10.1016/j.enpol.2012.07.020. [DOI] [Google Scholar]
- 83.Ben-Gai T, Bitan A, Manes A, Alpert P, Rubin S. Temporal and spatial trends of temperature patterns in Israel. Theor Applied Clim. 1999;64:163–177. doi: 10.1007/s007040050120. [DOI] [Google Scholar]
- 84.Nasrallah HA, Balling RC. Spatial and temporal analysis of middle eastern temperature changes. Clim Chang. 1993;25:153–161. doi: 10.1007/BF01661203. [DOI] [Google Scholar]
- 85.Türkes M, Sümer UM. Spatial and temporal patterns of trends and variability in diurnal temperature ranges in Turkey. Theor Appl Clim. 2004;77:195–227. doi: 10.1007/s00704-003-0024-5. [DOI] [Google Scholar]
- 86.Roshan G, Nastos P. Assessment of extreme heat stress probabilities in Iran's urban settlements, using first order Markov chain model. Sustain Cities Soc. 2018;36:302–310. doi: 10.1016/j.scs.2017.10.013. [DOI] [Google Scholar]
- 87.Roshan GR, Orosa JA, Nasrabadi T. Simulation of climate change impact on energy consumption in buildings, case study of Iran. Energy Policy. 2012;49(2012):731–739. doi: 10.1016/j.enpol.2012.07.020. [DOI] [Google Scholar]
- 88.Lin CY, Chien YY, Jui SC, Kueh MT, Lung SC. Climate variability of heat wave and projection of warming scenario in Taiwan. Clim Chang. 2017;145:305–320. doi: 10.1007/s10584-017-2091-0. [DOI] [Google Scholar]
- 89.Lhotka O, Kyselý J, Farda A. Climate change scenarios of heat waves in Central Europe and their uncertainties. Theor Appl Climatol. 2017;131:1043–1054. doi: 10.1007/s00704-016-2031-3. [DOI] [Google Scholar]
- 90.Gao X, Schlosser CA, Morgan ER. Potential impacts of climate warming and increased summer heat stress on the electric grid: a case study for a large power transformer (LPT) in the Northeast United States. Clim Chang. 2017;147:107–118. doi: 10.1007/s10584-017-2114-x. [DOI] [Google Scholar]
- 91.Rusticucci M, Kyselý J, Almeira G, Lhotka O. Long-term variability of heat waves in Argentina and recurrence probability of the severe 2008 heat wave in Buenos Aires. Theor Appl Climatol. 2016;124(3–4):679–689. doi: 10.1007/s00704-015-1445-7. [DOI] [Google Scholar]
- 92.Roshan G, Orosa J. Regional climate changes and their effects on monthly energy consumption in buildings in Iran. Natural Environment Change. 2015;1(1):31–48. [Google Scholar]
- 93.Zarghami M, Abdi A, Babaeian I, Hassanzadeh Y, Kanani R. Impact of climate change on runoffs in East Azerbaijan, Iran. Glob Planet Chang. 2011;78:137–146. doi: 10.1016/j.gloplacha.2011.06.003. [DOI] [Google Scholar]
- 94.Matzarakis, A., Amelung, B., 2008. Physiological equivalent temperature as indicator for impacts of climate change on thermal comfort of humans. Seasonal forecasts. Climatic change and human health. Adv. Glob .Change. Res. 30, 161–172.










