Abstract
Discovering anticancer drugs that do not have adverse side effects has been a developing research field worldwide in recent decades. In this work, four previously undescribed cytotoxic diterpenoids were isolated from the aerial parts of Isodon excisoides. Interestingly, these four diterpenoids were two pairs of tautomers that were first reported in plants. Their structures were further elucidated using various spectroscopic methods. The tautomerization phenomenon and mechanism for these two pairs of tautomers were emphatically described. The theoretical simulation results indicated that the diterpene tautomerization is greatly related to certain factors, including the existence of a transition state, the change of bond length and the level of conversion energy; the tautomerization for the two pairs of tautomers is mainly caused by proton transfer. For bioassays, the cytotoxicities of the tautomers against five human cancer cell lines were also investigated. The results indicated that each of the four diterpenoids showed significant cytotoxicity in at least three cell lines and could serve as potential anticancer agents for further investigation.
Subject terms: Target identification, Secondary metabolism
Introduction
Globally, cancer is the leading cause of morbidity and mortality. For certain types of cancer, chemotherapy drugs have been extensively used for treatment. However, resistance to chemotherapy and severe side effects are the drawbacks of these agents. Therefore, the development of new agents derived from plants has intensified.
Natural and synthetic tetracyclic diterpenoids exhibit interesting pharmacological activities1. The plants of the Isodon genus are rich in diterpenoids. In addition, ent-kaurane diterpenoids, containing an enone system in ring D, are a class of characteristic components found in this genus, and they are mainly responsible for the reported cytotoxic activity2. To date, approximately 1000 diterpenoids from the Isodon genus have been shown to exhibit significant cytotoxicity2–8, and many diterpenoids with anticancer activities, such as oridonin, erycalyxin A and rabdophyllin G, have also been developed into new drugs9,10. Isodon excisoides, a common wild species, is a perennial herb mainly distributed in the western region of the Henan and Yunnan Provinces in China. Local inhabitants in the western mountainous region of Henan Province generally believe that I. excisoides is better for preventing esophageal cancer than that of Isodon rubescens from the same genus. Our previous studies showed that many diterpenoids from I. excisoides have anticancer activities2. As part of our ongoing search for anticancer diterpenoids, four new diterpenes, as two pairs of tautomers, were purified and identified from I. excisoides in this work. Moreover, the tautomerization phenomenon for both pairs of tautomers was also observed. It is worth mentioning that the tautomerism of diterpenoids was observed for the first time. Simultaneously, the tautomerization mechanism was emphatically discussed. Finally, their cytotoxicities against five human cancer cell lines were also investigated.
Results and Discussion
Structural elucidation of new compounds
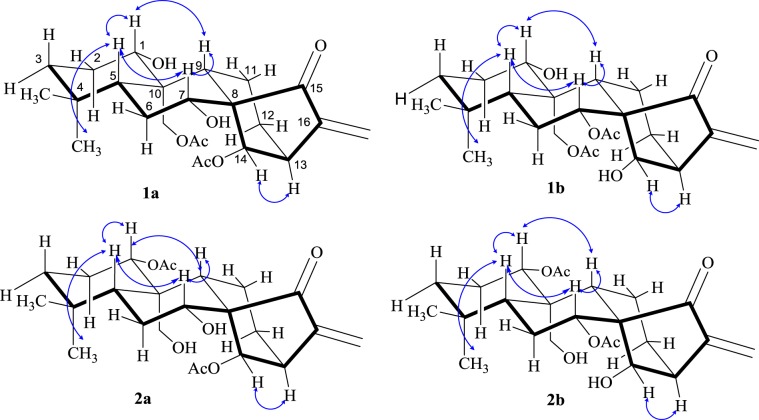
In this paper, four undescribed 7,20-non-epoxy-ent-kaurane skeleton tautomeric diterpenes [1a (45 mg) and 1b (30 mg) and 2a (42 mg) and 2b (31 mg)] (Fig. 1) were isolated from the aerial parts of I. excisoides utilizing various chromatographic methods, including D-101 macroporous adsorptive resins, silica gel, sephadex LH-20 and semi-preparative HPLC. The structures of 1a, 1b, 2a and 2b were elucidated by nuclear magnetic resonance spectroscopy and high-resolution mass spectrometry in conjunction with published data of their analogues, as well as their fragmentation patterns. As the result, the four compounds were elucidated to be 1α,7α-dihydroxy-14β,20-diacetoxy-ent-kaur-15-one (1a), 1α,14β-dihydroxy-7α,20-diacetoxy-ent-kaur-15-one (1b), 1α,14β-diacetoxy-7α,20-dihydroxy-ent-kaur-16-en-15-one (2a), and 1α,7α-diacetoxy-14β,20-dihydroxy-ent-kaur-16-en-15-one (2b) (Fig. 1, Tables 1 and 2).
Figure 1.
Structures for two pairs of tautomers.
Table 1.
NMR spectroscopic data for compound 1a and 1b.
| No. | 1a | No. | 1b | ||
|---|---|---|---|---|---|
| δ Ca,b | δ Ha,c (J in Hz) | δ Ca,b | δ Ha,c (J in Hz) | ||
| 1 | 81.5 (d) | 3.35 (1H, dd, 5.5, 9.5) | 1 | 81.5 (d) | 3.36 (1H, dd, 5.4, 10.9) |
| 2 | 30.5 (t) |
1.88 (1H, overlapped) 1.62 (1H, m) |
2 | 30.8 (t) |
1.99 (1H, overlapped) 1.72 (1H, m) |
| 3 | 39.3 (t) |
1.49 (1H, overlapped) 1.28 (1H, dt, 4.3, 9.5) |
3 | 39.1 (t) |
1.46 (1H, overlapped) 1.32 (1H, dt, 4.1, 9.6) |
| 4 | 33.0 (s) | − | 4 | 33.0 (s) | − |
| 5 | 52.4 (d) | 0.98 (1H, dd, 1.7, 10.7) | 5 | 51.7 (d) | 1.11 (1H, dd, 2.0, 12.0) |
| 6 | 28.3 (t) |
2.00 (1H, q, 12.5) 1.88 (1H, overlapped) |
6 | 25.4 (t) | 1.99 (2H, overlapped) |
| 7 | 73.7 (d) | 5.12 (1H, m) | 7 | 76.4 (d) | 5.37 (1H, dd, 4.5, 11.8) |
| 8 | 61.5 (s) | − | 8 | 61.0 (s) | − |
| 9 | 56.4 (d) | 1.83 (1H, d, 8.4) | 9 | 55.5 (d) | 1.77 (1H, d, 8.5) |
| 10 | 45.8 (s) | − | 10 | 45.8 (s) | − |
| 11 | 19.6 (t) |
2.89 (1H, dd, 5.2, 10.8) 1.49(1H, overlapped) |
11 | 19.5 (t) |
2.86 (1H, dd, 5.1, 11.9) 1.46 (1H, overlapped) |
| 12 | 31.8 (t) |
2.13 (1H, m) 1.73 (1H, m) |
12 | 31.8 (t) |
1.84 (1H, dt, 3.8, 12.3) 1.66 (1H, m) |
| 13 | 44.1 (d) | 3.09 (1H, br.s) | 13 | 44.1 (d) | 3.09 (1H, br.s) |
| 14 | 78.2 (d) | 6.00 (1H, br.s) | 14 | 75.0 (d) | 4.80 (1H, br.s) |
| 15 | 207.0 (s) | − | 15 | 205.9 (s) | − |
| 16 | 146.3 (s) | − | 16 | 146.9 (s) | − |
| 17 | 117.9 (t) | 6.15 (1H, s) 5.38 (1H, s) | 17 | 116.5 (t) | 6.14 (1H, s) 5.42 (1H, s) |
| 18 | 33.3 (q) | 0.88 (3H, s) | 18 | 33.0 (q) | 0.91 (3H, s) |
| 19 | 21.3 (q) | 0.81 (3H, s) | 19 | 21.3 (q) | 0.81 (3H, s) |
| 20 | 63.9 (t) |
4.60 (1H, d, 13.6) 4.54 (1H, d, 13.6) |
20 | 64.1 (t) |
4.57 (1H, d, 13.4) 4.43 (1H, d, 13.4) |
| 20-OAc | 171.3 (s) | − | 20-OAc | 170.7 (s) | − |
| 20-OAc | 21.5 (q) | 2.16 (3H, s) | 20-OAc | 21.6 (q) | 2.17 (3H, s) |
| 14-OAc | 170.2 (s) | − | 7-OAc | 168.3 (s) | − |
| 14-OAc | 21.6 (q) | 1.99 (3H, s) | 7-OAc | 21.3 (q) | 2.00 (3H, s) |
| 7-OH | − | 2.45 (1H, d, 6.6) | 14-OH | − | 3.97 (1H, s) |
| 1-OH | − | 1.39 (1H, d, 5.5) | 1-OH | − | 1.41 (1H, d, 5.4) |
aMeasured in CDCl3.
bMeasured at 125 MHz.
cMeasured at 500 MHz.
Table 2.
NMR spectroscopic data for compound 2a and 2b.
| No. | 2a | No. | 2b | ||
|---|---|---|---|---|---|
| δ Ca,b | δ Ha,c (J in Hz) | δ Ca,b | δ Ha,c (J in Hz) | ||
| 1 | 84.1 (d) | 4.62 (1H, dd, 5.8, 9.4) | 1 | 83.8 (d) | 4.61 (1H, dd, 5.0, 10.0) |
| 2 | 25.4 (t) | 1.77 (2H, overlapped) | 2 | 25.7 (t) | 1.76 (2H, overlapped) |
| 3 | 38.3 (t) |
1.47 (1H, overlapped) 1.32 (1H, td, 5.6, 12.6) |
3 | 38.2 (t) |
1.46 (1H, overlapped) 1.35 (1H, td, 4.8, 12.8) |
| 4 | 33.0 (s) | − | 4 | 32.9 (s) | − |
| 5 | 52.8 (d) | 1.04 (1H, d, 10.6) | 5 | 52.7 (d) | 1.17 (1H, d, 11.5) |
| 6 | 27.5 (t) |
1.89 (1H, d, 12.6) 1.83 (1H, m) |
6 | 25.3 (t) |
2.01 (1H, m) 1.76 (1H, overlapped) |
| 7 | 73.2 (d) | 4.21 (1H, d, 12.5) | 7 | 76.4 (d) | 5.41 (1H, dd, 4.5, 11.8) |
| 8 | 61.5 (s) | − | 8 | 60.9 (s) | − |
| 9 | 55.9 (d) | 1.78 (1H, d, 8.2) | 9 | 55.2 (d) | 1.76 (1H, overlapped) |
| 10 | 45.8 (s) | − | 10 | 47.2 (s) | |
| 11 | 20.5 (t) |
1.70 (1H, dd, 4.7, 15.2) 1.44 (1H, overlapped) |
11 | 20.2 (t) | 1.46 (1H, overlapped) |
| 12 | 30.6 (t) |
2.71 (1H, 1H, tt, 5.5, 7.3) 1.61 (1H, m) |
12 | 30.4 (t) |
2.54 (1H, overlapped) 1.56 (1H, m) |
| 13 | 38.3 (d) | 3.10 (1H, br.s) | 13 | 38.2 (d) | 3.11 (1H, br.s) |
| 14 | 76.9 (d) | 6.02 (1H, br.s) | 14 | 75.0 (d) | 4.99 (1H, br.s) |
| 15 | 205.0 (s) | − | 15 | 205.8 (s) | − |
| 16 | 146.3 (s) | − | 16 | 147.1 (s) | − |
| 17 | 117.4 (t) | 6.11 (1H, s) 5.39 (1H, s) | 17 | 118.0 (t) | 6.12 (1H, s) 5.41(1H, s) |
| 18 | 33.3 (q) | 0.88 (3H, s) | 18 | 33.0 (q) | 0.92 (3H, s) |
| 19 | 21.9 (q) | 0.86 (3H, s) | 19 | 22.0 (q) | 0.85 (3H, s) |
| 20 | 61.1 (t) |
4.44 (1H, d, 13.6) 4.27 (1H, dd, 2.4, 13.6) |
20 | 61.6 (t) |
4.00 (1H, d, 13.6) 4.39 (1H, dd, 2.4, 13.6) |
| 1-OAc | 171.3 (s) | − | 1-OAc | 168.9 (s) | − |
| 1-OAc | 22.1 (q) | 2.03 (3H, s) | 1-OAc | 22.0 (q) | 2.02 (3H, s) |
| 14-OAc | 170.4 (s) | − | 7-OAc | 168.2 (s) | − |
| 14-OAc | 21.6 (q) | 1.96 (3H, s) | 7-OAc | 21.8 (q) | 1.99 (3H, s) |
aMeasured in CDCl3.
bMeasured at 125 MHz.
cMeasured at 500 MHz.
Compound 1a was a white powder. The molecular formula of 1a was determined to be C24H34O7 on the basis of positive HRESIMS at m/z 457.21759 [M + Na]+ (calcd for C24H34O7Na+, m/z 457.21967). The UV spectrum of 1a showed an absorption maximum at 235 nm. The IR spectrum of 1a showed the presence of hydroxyl (3445 cm−1), carbonyl (1729 cm−1) and double bond (1649 cm−1) groups. The 1H, 13C-NMR and HSQC spectra of 1a, together with the results from an HMBC experiment showed the presence of one exocyclic double bond [δH 6.15 (1H, brs), 5.38 (1H, brs); δC 117.9, 146.3], two angular methyl groups [δH 0.88 (3H, s) and 0.81 (3H, s); δC 33.3 (q) and 21.3 (q)], one ketone carbonyl (δC 207.0) and two acetoxyl groups [δH 2.16 (3H, s); δC 171.3 (s), 21.5 (q); δH 1.99 (3H, s); δC 170.2 (s), 21.6 (q)]. In addition, the other carbon signals were assigned to six methenes including three oxy-methines (δC 81.7, 73.7, 78.2) and six methylene carbons including one oxy-methylene (δC 63.9), and three quaternary carbons (δC 61.7, 46.1, 33.1). Considering the diterpenoids previously isolated from the plant, 1a was tentatively presumed to be a 7,20-non-epoxy-ent-kaurane skeleton, substituted with two hydroxyl groups and two acetoxyl groups.
The 1H-NMR and 13C-NMR data of 1a were nearly identical to that of henryin, a known diterpene11, and the only difference found was in the moiety at C-14. The compounds 1a was a 14-acetylated compound of henryin. This hypothesis was further confirmed by the HMBC spectra of 1a. In the HMBC spectrum (Fig. 2), the correlations for δH 5.99 (H-14) with δC 146.3 (C-16), δC 207.0 (C-15) and δC 170.2 (-OOCCH3) revealed that the hydroxyl group at C-14 in henryin [δC 75.8; 4.78 (1H, s)] had been replaced by an acetoxyl group in 1a [δH 1.99 (3H, s); δC 170.2 (s), 21.6 (q)]. Thus, the basic skeleton of 1a was assumed to be 1,7-dihydroxy-14,20-diacetoxy-ent- kaur-16-en-15-one.
Figure 2.
Key 1H-1H COSY and HMBC for two pairs of tautomers.
The relative configuration of the substituents was highlighted in a NOESY spectrum. The correlations of H-1 with H-5 and H-9, Me-18 with H-5, H-7 with H-5 and H-9, and H-13 with H-14 and H-16 indicated that H-1, H-5, H-7 and H-9 were positioned on the same side and that H-13, H-14 and H-16 were on the other side (Fig. 3).
Figure 3.
The key NOESY correlations for two pairs of tautomers.
To determine the absolute configuration, the electronic circular dichroism (ECD) spectrum of compound 1a was measured in MeOH and compared with the computed ECD spectra of 1a. The calculated curve matched well with that of the experimental curve (Fig. 4). According to the octant rule for saturated cyclopentanone4, the negative Cotton effect at 247.94 nm, based on the n-π* transition of the saturated cyclopentanone moiety, indicated that the D ring was β-oriented (Fig. 4). Finally, the structure of compound 1a was elucidated as 1α,7α-dihydroxy-14β,20-diacetoxy-ent-kaur-16-en- 15-one (Fig. 1).
Figure 4.
Calculated and experimental CD spectra for compounds 1a, 1b, 2a and 2b in CHCl3.
Compound 1b was a white powder. The molecular formula of 1b was determined to be C24H34O7 by positive HRESIMS (m/z 457.21774 [M + Na]+, calcd for C24H34O7Na+, m/z 457.21967). The UV, IR, 1H, 13C-NMR, HSQC and HR-ESI-MS spectra of 1b, together with the results from an HMBC experiment, showed that 1b was an isomer of 1a. Comparing the NMR data of 1a and 1b (Table 1). It can be found that the substituents on C-7 and C-14 were exchanged in 1a and in 1b. An acetoxyl group and a hydroxyl group were at C-7 and C-14 in 1b, respectively. It was also found that in the HMBC spectrum (Fig. 2), there were correlations between δH 5.38 (H-7) and δC 51.8 (C-5), δC 45.6 (C-10) and δC 168.2 (7-CH3COO-), and δH 4.79 (H-14) and δC 55.7 (C-9), δC 205.7 (C-15) and δC 146.1 (C-16). Thus, the planar structure of 1b was assumed to be 1,14-dihydroxy-7,20-diacetoxy-ent-kaur-16-en-15-one.
The same relative stereo-structure for 1a and 1b was deduced from their similar NOESY correlations (Fig. 3) and their almost identical 1H- and 13C-NMR data. In addition, compound 1b exhibited almost the same CD absorption as that of 1a. The calculated curve was in good agreement with that of the experimental curve (Fig. 4). Thus, the structure of 1a was determined to be 1α,14β-dihydroxy-7α,20-diacetoxy-ent-kaur-16-en-15-one (Fig. 1).
Compound 2a was obtained as a white powder, and its molecular formula was determined to be C24H34O7 by positive HRESIMS (m/z 457.21756 [M + Na], calcd C24H34O7Na+, m/z 457.21967). The UV spectrum of 2a showed an absorption maximum at 235 nm. The IR spectrum of 2a showed the presence of hydroxyl (3445 cm−1), carbonyl (1730 cm−1) and double bond (1648 cm−1) groups. Together with the NMR data of 2a, the results showed 2a was also an analogue of 1a.
Comparing the NMR data of compounds 1a and 2a (Table 1), it was found that the substituents on C-1 and C-20 were exchanged for 1a and 2a, respectively. The acetoxyl and hydroxyl groups were at C-1 and C-20 in 2a, respectively. In the HMBC spectrum (Fig. 2), δH 4.62 (H-1) correlated with δC 25.4 (C-2), δC 47.3 (C-10), δC 55.9 (C-9) and δC 169.1 (1-CH3COO-); δH 4.44 (H-20β) correlated with δC 55.9 (C-9), and δH 4.23 (H-20α) correlated with δC 84.1(C-1). Thus, the planar structure of 2a was assumed to be 1,14-diacetoxy-7,20-dihydroxy-ent-kaur-16-en-15-one.
The relative configuration of the substituents of 2a was determined with the NOESY spectrum. The correlations of H-1 with H-5 and H-9, Me-18 with H-5, H-7 with H-5 and H-9, and H-13 with H-14 and H-16 indicated that they were positioned on the same side and that H-14, H-13, and H-16 were on the other side (Fig. 3).
In addition, compound 2a exhibited almost the same CD absorption as that of 1a. The calculated curve matched well with that of the experimental curve (Fig. 4). Thus, the structure of 2a was determined to be 1α,14β-diacetoxy-7α,20-dihydroxy-ent-kaur-16-en-15-one (Fig. 1).
Compound 2b was a white powder, and its molecular formula was determined to be C24H34O7 by positive HRESIMS (m/z 457.21799 [M + Na]+, calcd for C24H34O7 Na+, m/z 457.21967). The UV, IR and HR-ESI-MS spectra, together with the NMR data of 2b, showed that 2b was an isomer of 2a.
Comparing the NMR data of compounds 2a and 2b (Table 1), it was found that the substituents on C-7 and C-14 were exchanged with each other. An acetoxyl group and a hydroxyl group were at C-1 and C-20 in 2a, respectively. In the HMBC spectrum (Fig. 2), δH 4.62 (H-1) correlated with δC 25.4 (C-2), δC 47.3 (C-10), δC 55.9 (C-9) and δC 169.1 (1-CH3COO-); δH 4.44 (H-20β) correlated with δC 55.9 (C-9); δH 4.23 (H-20α) correlated with δC 84.1 (C-1). The NOESY and CD experiments showed that the configuration of the substituents of 2b is the same as that of 2a (Figs. 3 and 4). Thus, the structure of 2b was assumed to be 1α,7α-diacetoxy-14β,20-dihydroxy-ent-kaur-16-en-15-one (Fig. 1).
Tautomeric phenomenon and the dynamic equilibrium of two pairs of diterpene tautomers
The UPLC-MS/MS and NMR data (Fig. 5) (Figs. S1–4, Supporting information) showed that 1a and 1b and 2a and 2b were two pairs of tautomers. The interconversion phenomenon between each pair of diterpene tautomers was observed by HPLC.
Figure 5.
(A) Total ion chromatogram (TIC) of two pairs tautomers in positive ion mode using UPLC-LTQ-Orbitrap-MS; (B) HR-ESI-MS spectrum of two pairs tautomers.
As shown in Fig. 6, for a 1a sample solution maintained at 30 °C, the peak area (PA) of 1a initially accounted for 97.19% of the total chromatographic PA; the PA started to decrease after 24 h, and a corresponding increase in the PA of 1b was simultaneously detected. After 3 days, the PA of 1a significantly decreased, while the PA of 1b significantly increased. After 12 days, the reaction approached dynamic equilibrium, and the PA of 1a accounted for 68.20% of the total PA. After 16 days, the reaction reached dynamic equilibrium, and the PA ratio of 1a to 1b was 2:1. For a 1a solution incubated at 45 °C, the PA of 1a started to decrease after 7 h, and a corresponding increase in the PA of 1b was simultaneously detected. After 1 day, the PA of 1a significantly decreased, while that of 1b significantly increased. After 6 days, the reaction approached dynamic equilibrium, and the PA of 1b accounted for 63.94% of the total PA. After 9 days, the reaction reached dynamic equilibrium, and the PA ratio of 1a to 1b was also 2:1.
Figure 6.
(A) The HPLC spectra of 1a at different intervals in methanol; (B) The HPLC spectra of 1b at different intervals in methanol; (C) The conversion curve of 1a to 1b in methanol; (D) The conversion curve of 1b to 1a in methanol; (E) The HPLC spectra of 2a at different intervals in methanol; (F) The HPLC spectra of 2b at different intervals in methanol; (G) The conversion curve of 2a to 2b in methanol; (H) The conversion curve of 2b to 2a in methanol.
For a 1b sample solution stored at 30 °C, the PA of 1b started to decrease after 7 h, and a corresponding increase in the PA of 1a was simultaneously detected. After 2 days, the PA of 1b significantly reduced and that of 1a significantly increased. After 9 days, the reaction approached dynamic equilibrium. After 12 days, the reaction reached dynamic equilibrium, and the PA ratio of 1a to 1b was 2:1. For a 1b sample solution incubated at 45 °C, the PA of 1b started to decrease after 1 h, and a corresponding increase in the PA of 1a was simultaneously detected. After 1 day, the PA of 1b was significantly reduced, while that of 1a significantly increased. After 5 days, the reaction approached dynamic equilibrium, and the PA of 1b accounted for 59.79% of the total PA. After 7 days, the reaction reached dynamic equilibrium, and the PA ratio of 1a to 1b was also 2:1.
All results showed that 1a was the preferential conformation in the pair of isomers that could interconvert, and the temperature affected both the stability and conversion speed of 1a to 1b and of 1b to 1a in a protic solvent, while their conversion rate was not affected. In addition, an interesting phenomenon was also found that under identical conditions, the conversion speed of 1b to 1a was faster than that of 1a to 1b in a protic solvent, and it increased with increasing temperature.
2a and 2b were another pair of tautomers, of which 2a was the preferred conformation. Similarly, the conversion speed from 2a to 2b was faster than that from 2b to 2a, and the conversion speed was faster at higher temperatures. As Fig. 3 and Fig. 4 show, under identical reaction conditions, the conversion speed to reach dynamic equilibrium for 1b⇌1a was slower than that for 2b⇌2a, which could be related to the spatial structure of the compounds (Fig. 6).
Theoretical studies on tautomerism of the two pairs of tautomeric diterpenoids
To describe this conversion reaction mechanism, the transition state, bond length, and activation energy of the two pairs of tautomers were determined using density functional theory.
Transition state analysis of the conversion reaction
Furthermore, the tautomerization mechanism of the two pairs of tautomeric diterpenoids was investigated, and the transition state calculations for the reactions were conducted using density functional theory. There is only a virtual frequency of −971.70 cm−1 for the transition state of the 1a⇌1b reaction (TS1), which suggests that the optimal transitional state was obtained. The corresponding normal coordinates of the imaginary vibration modes for TS1 are shown in Fig. 7A. There was an obvious stretching vibration of H and a wagging vibration of the C-C-O bonds. The vibration frequency directions of TS1 point to 1a and 1b, respectively.
Figure 7.
The vibration directions of virtual frequency of the three transition states TS1 (A), TS2 (B), TS3 (C) and TS4 (D). Note: Oxygen, carbon and hydrogen were colored red, gray and white, respectively. Hydrogen atoms on Saturated carbons are hidden for clarity.
The minimum energy path (MEP) was also obtained through intrinsic reaction coordinate (IRC) calculations, which indicated that the transition state was correlated with both tautomers and that the transition state was located on the right reaction path.
Similarly, the transition state of the 2a⇌2b reaction (TS2) was confirmed as well. There was only one virtual frequency of the transition state at −900.79 cm−1. A similar stretching vibration mode of H and C-C-O in TS2 could also be found (Fig. 7B).
Bond length analysis of the conversion reaction
As shown in Fig. 8A, the tautomerization between compound 1a and 1b was conducted mainly by a proton transfer reaction according to the change in bond lengths. TS1 was formed at the seventh point of the reaction coordinate, and the bond lengths of O21-H33, O17-H33, O21-C18 and O17-C18 of TS1 were 0.112, 0.133, 0.192 and 0.205 nm, respectively. The distance between O21 and H33 decreased gradually before TS1 formation and then remained constant after TS1 formation, suggesting the formation of the O21-H33 bond. The distance between O17 and H33 remained constant before TS1 formation and increased gradually after TS1 formation, suggesting the cleavage of O17-H33. At the same time, the increasing distance between O17 and C18 suggested the cleavage of O17-C18, and the shortening distance between O21 and C18 suggested the formation of O21-C18. The results showed that the breaking and formation of H-O bonds and C-O bonds were the key factors causing tautomerism in compounds 1a and 1b.
Figure 8.
(A) The changing of four bond lengths of during the reaction process 1a⇌1b; (B) The curve of energy change along the reaction pathway.
Activation energy difference analysis of the conversion reaction
The curve of the energy change along the reaction pathway is shown in Fig. 8B. The energy changes of 1a⇌1b also indicated that the conversion reaction had a low activation energy and that the conversion proceeded easily. The minimum energies for compounds 1a and 1b were −1461.612 a.u. and −1461.616 a.u., respectively. There was only a −0.004 a.u. (10.502 kcal·mol−1) energy difference between 1a and 1b. The tautomeric reaction of 1a to 1b was a forward reaction while that of 1b to 1a was the reverse reaction. The activation energies (Ea) of the forward reaction and reverse reaction were 252.0 kJ·mol−1 and 241.5 kJ·mol−1, respectively. The results indicated that the tautomeric reaction had low activation energies and that their conversion proceeded easily.
It is worth mentioning that there were also similar structural functional groups on the other pair of tautomeric diterpenoids. However, no new tautomerization reaction between -CH2-OH on site C1 and -OAc on site C20 between 1a and 2a and between 1b and 2b was found in the experiment. To explain this observation, the theoretical transition states of the 1a⇌2a reaction (TS3) and 1b⇌2b reaction (TS4) were calculated as well. The structures of TS3 and TS4 are shown in Fig. 7C,D. The activation energies of 1a⇌2a and 1b⇌2b were obviously higher than those of 1a⇌1b and 2a⇌2b (Table 3), indicating that the tautomeric reactions of 1a⇌2a and 1b⇌2b did not proceed as easily as those of 1a⇌1b and 2a⇌2b. Therefore, only the tautomerization reactions 1a⇌1b and 2a⇌2b were observed, while 1a⇌2a and 1b⇌2b were not.
Table 3.
The activation energies of the reactions.
| Reaction | Ea (kJ·mol−1) | Ea (kJ·mol−1) |
|---|---|---|
| forward reaction | reverse reaction | |
| 1a → [TS1] → 1b | 241.5 | 252.0 |
| 2a → [TS2] → 2b | 244.0 | 252.9 |
| 1a → [TS3] → 2a | 263.2 | 276.4 |
| 1b → [TS4] → 2b | 253.5 | 267.5 |
Proton transfer process analysis of the conversion reaction
The tautomerism between both pairs of tautomeric diterpenoids was mainly through a proton transfer reaction. The migration of acetate between C14 and C7 is shown in Fig. 9A. The carbonyl group of I was first protonated. After the attack of oxygen from a hydroxy group in II, the transient orthoester III was obtained. Then, the collapse of orthoester III gave the final product IV. In contrast, the acetates on C1 and C20 were relatively unable to form orthoester intermediates due to their configuration exhibited in V and VI.
Figure 9.
(A) The migration of acetate between C14 and C7, C1 and C20; (B) The migration of acetate between C14 and C7.
The speed of the 1b⇌1a reaction is slower than that of the 2b⇌2a reaction. 1a, 1b, 2a, and 2b were different from each other due to different substituents at C1, C20, C7 and C14. Compared with the hydroxyl group on C20 of 2a, the acetate group on C20 of 1a had one more chemical bond, so the acetate group with C20 on the axial bond of 1a formed an intramolecular hydrogen bond with the hydroxy group on C7, which was not good for the transfer of the acetate group between C7 and C14. However, in molecule 2a, the hydroxy group on C20 did not easily form hydrogen bonds due to the distance between the hydroxy groups on C20 and C7. Therefore, the transformation between 2a and 2b was much easier, as shown in Fig. 9B.
Cytotoxicity assay
An MTT assay was performed to evaluate the cytotoxic effects of the tautomers against five human cancer cell lines, including HCT-116, A2780, NCI-H1650, BGC-823 and HepG2 (20170428, Beijing Bei Na Chuanglian Biotechnology Research Institute). The results are presented in Table 4.
Table 4.
Cytotoxic activities of all tested compounds on five human cancer cell lines.
| Sample | IC50 (μM) | ||||
|---|---|---|---|---|---|
| HCT-116 | HepG2 | BGC-823 | NCI-H1650 | A2780 | |
| 1 | 2.94 ± 0.06 | 3.07 ± 0.02 | 5.59 ± 0.19 | >10 | 6.33 ± 0.34 |
| 2 | 2.45 ± 0.12 | 3.21 ± 0.09 | 4.17 ± 0.25 | >10 | 5.61 ± 0.19 |
| 3 | 2.13 ± 0.81 | 2.20 ± 1.12 | >10 | 5.68 ± 0.73 | 1.09 ± 0.13 |
| 4 | 1.77 ± 0.22 | 1.54 ± 0.32 | 1.31 ± 0.76 | 2.07 ± 0.36 | 1.42 ± 0.20 |
| DDP | 7.81 ± 0.14 | >10 | 8.56 ± 1.05 | >10 | 8.65 ± 0.59 |
DDP (cisplatin) was used as positive controls.
The MTT test showed that the cytotoxicities of the four compounds against the five human cancer cell lines were very different. In the future, extensive studies should be conducted to reveal the structure-activity relationship of cytotoxic diterpenoids for the discovery of affective antitumour drugs.
Conclusions
In this paper, we isolated and identified four new 7,20-non-epoxy-ent-kaurane skeleton diterpenes as 1a, 1b, 2a and 2b. The interconversion experiments between 1a and 1b and between 2a and 2b in methanol solutions confirmed that they exists as two pairs of tautomers. Further analysis using density functional theory showed that the tautomeric reaction was closely related to the existence of a transition state, the change in bond length and the level of conversion energy. It is thought that proton transfer was the major tautomerization reaction mechanism between each pair of diterpene tautomers. In addition, the four diterpenes exhibited potent cytotoxicities against three or more tested human cancer cells. The results could serve as a valuable reference for the tautomerization mechanism of other tautomers and the study of the structure-activity relationship on cytotoxicities as anticancer drug precursors.
Methods
General experimental procedures
Optical rotation was measured using a SEPA-300 polarimeter (Horiba, Tokyo, Japan). NMR spectra were recorded on a Bruker Advance III spectrometer (Bruker, Billerica, Germany). Orientation separation and HRESIMS data were acquired using a UPLC-LTQ orbitrap (Thermo Fisher Scientific, Inc., Bremen, Germany). Semi-preparative HPLC was performed on a Waters 600/Waters 2487 (Waters, Milford, MA, USA) with a YMC (250 mm × 10 mm I.D. 5 μm) column. Column chromatography was performed either with silica gel (100–200 mesh and 200–300 mesh, Qingdao Marine Chemical Inc., Qingdao, China), MCI gel CHP 20 P (75–150 μm, Mitsubishi Chemical Corp., Tokyo, Japan), or with ODS (50 μm, YMC, Kyoto, Japan).
Plant material
The aerial parts of I. excisoides were collected from Luanchuan County in Henan Province, China. The plant was authenticated by Xiao-Zheng Luo (Henan College of Traditional Chinese Medicine). A voucher specimen (No. 2011–0905) was deposited in the Laboratory of Research Center for Classic Chinese Medicines & Health Herbal Products.
Extraction and isolation
The air-dried and powdered aerial parts of I. excisoides (10 kg) were extracted 3 times with water (320 L × 1.5 h) at 100 °C and concentrated to 0.1 g/mL. The concentrate was subjected to a D-101 macroporous resin column and successively eluted with EtOH-H2O (0%, 30%, 70% and 95%) to give four fractions (Fr. A-D). Fr. C (36 g, 70% EtOH elution) was purified with an MCI gel column (50 cm × 4 cm) and eluted with MeOH-H2O (3:7, 2 L; 5:5, 3 L; 7:2, 2 L; 10:0, 1 L) to yield four subfractions (Fr. C1-C4). Fr. C2 (16 g) was subjected to a silica gel column and eluted with petroleum ether-Me2CO (15:1, 10:1, 8:1, 5:1, 3:1, and 0:1) to afford four fractions (Fr. C2a-C2d). Two tautomeric mixtures of Fr. 1 (1.0 g) and Fr. 2 (0.7 g) were crystallized from Fr. C2c using MeOH. 1a (45 mg) and 1b (30 mg) were isolated from the mixture of Fr. 1 (150 mg) by HPLC (acetonitrile-H2O, 29:71, 2.7 mL/min, peaks at 56.6 min and 61.2 min, respectively). The mixture of Fr. 2 (200 mg) was further purified by HPLC (acetonitrile-H2O, 31:69, 2.7 mL/min) to obtain 2a (42 mg) and 2b (31 mg) (71.2 min and 74.8 min, respectively).
1α,7α-dihydroxy-14β,20-diacetoxy-ent-kaur-15-one (1a)
White powder; UV (MeOH) λmax (log ɛ): 235 (3.8); TLC (Sigel GF254 15 mm; petroleum ether /acetone 5:1, v/v) Rf: 0.42; Rt (RP-C18 HPLC, MeOH: MeCN 29:61, v/v): 27.46 min; infrared (IR) (cm−1): (stretching, ʋ; bending, δ; rocking, ρ): 3472 (br, O–H ʋ), 2934 (C–H ʋ), 1730 (C=O ʋ), 1649 (C=C ʋ), 1368 (C–H ρ), 1272 (C–O ʋ), 1159, 1043 (C–C ʋ), 968 (=C–H ʋ), 868 (C–H ʋ). 1H (proton) and 13C (carbon) data are listed in Table 1. High-resolution electrospray ionization mass spectrometry HR(ESI)MS: 457.21759 (calcd C24H34O7 Na+, m/z 457.21967).
1α,14β-dihydroxy-7α,20-diacetoxy-ent-kaur-15-one (1b)
White powder; UV (MeOH) λmax (log ɛ): 235 (3.8); Rt (RP-C18 HPLC, MeOH: MeCN 29:61, v/v): 29.31; infrared (IR) (cm−1): (stretching, ʋ; bending, δ; rocking, ρ): 3445 (br, O–H ʋ), 2934 (C–H ʋ), 1731 (C=O ʋ), 1648 (C=C ʋ), 1368 (C–H ρ), 1242 (C–O ʋ), 1159, 1044 (C–C ʋ), 968 (=C–H ʋ), 866 (C–H ʋ). 1H (proton) and 13C (carbon) data are listed in Table 1. High-resolution electrospray ionization mass spectrometry HR(ESI)MS: 457.21744 (cal. C24H34O7 Na+, m/z 457.21967).
1α,14β-diacetoxy-7α,20-dihydroxy-ent-kaur-16-en-15-one (2a)
White powder; UV (MeOH) λmax (log ɛ): 235 (3.3); Rt (RP-C18 HPLC, MeOH: MeCN 29:61, v/v): 44.93; infrared (IR) (cm−1): (stretching, ʋ; bending, δ; rocking, ρ): 3445 (br, O–H ʋ), 2935 (C–H ʋ), 1730 (C=O ʋ), 1648 (C=C ʋ), 1368 (C–H ρ), 1243 (C–O ʋ), 1158, 1044 (C–C ʋ), 968 (=C–H ʋ). 1H (proton) and 13C (carbon) data are listed in Table 1. High-resolution electrospray ionization mass spectrometry HR(ESI)MS: 457.21756 (cal. C24H34O7 Na+, m/z 457.21967).
1α,7α-diacetoxy-14β,20-dihydroxy-ent-kaur-16-en-15-one (2b)
White powder; UV (MeOH) λmax (log ɛ): 235 (3.2); Rt (RP-C18 HPLC, MeOH: MeCN 29:61, v/v): 48.38; Infrared (IR) (cm−1): (stretching, ʋ; bending, δ; rocking, ρ): 3445 (br, O–H ʋ), 2934 (C–H ʋ), 1730 (C=O ʋ), 1648 (C=C ʋ), 1368 (C–H ρ), 1242 (C–O ʋ), 1158, 1044 (C–C ʋ), 968 (=C–H ʋ). 1H (proton) are 13C (carbon) data are listed in Table 1. High-resolution electrospray ionization mass spectrometry HR-(ESI)-MS: 457.21799 (cal. C24H34O7 Na+, m/z 457.21967).
Tautomeric phenomenon and dynamic equilibrium between each pair of diterpene tautomers monitored by HPLC
Appropriate amounts of compounds 1a, 1b, 2a and 2b were separately weighed, and each compound was divided into two equal portions, placed in amber sample vials, and dissolved in methanol to obtain sample solutions with concentrations of 1.0 mg/mL. The solutions were sealed and separately stored at 30 °C and 45 °C. Each sample solution was analysed by HPLC every hour until tautomerization occurred. Then, the analysis was performed every 24 h until equilibrium was achieved. Chromatographic analysis was performed on a Waters 2996/Waters 2487 (Waters, Milford, MA, USA) equipped with a YMC C18 column (4.6 mm × 250 mm, 5 μm) with acetonitrile-water (23–70) implemented as the mobile phase for isocratic elution. The flow rate was 1.0 mL·min−1, and the column temperature was 25 °C. The detection wavelength was 230 nm. The stability of 1a, 1b, 2a, 2b and the time taken to reach equilibrium under different temperatures were observed.
Theoretical studies on tautomerism of the two pairs of tautomeric diterpenoids
Furthermore, the tautomerization mechanism of the two pairs of tautomeric diterpenoids was investigated, and transition state calculations for the reactions were conducted using density functional theory. Gaussview 5.0 was used to build the molecular structures of the tautomers. The transition state was found at the B3LYP/6–31 + g (d) level and was confirmed by vibration frequency analysis. Then, the minimum energy path (MEP) was determined by using intrinsic reaction coordinate (IRC) calculations, and the imaginary vibrational mode of the transition state was studied. The stability of compounds 1a, 1b, 2a, and 2b and their transition states were calculated by means of the density functional theory (DFT) method at the 6–31 + g(d) level. The calculations were performed using the Gaussian 09 software package.
Cytotoxicity assay
Five human cancer cell lines (colon carcinoma cell line HCT-116, hepatic cancer cell line HepG2, ovarian cancer cell line A2780, lung cancer cell line NCI-H1650 and gastric cancer cell line BGC-823) (20170428, Beijing Bei Na Chuanglian Biotechnology Research Institute) were used for pharmacological experiments. All cells were cultured in RPMI-1640 medium supplemented with 10% foetal bovine serum in a humidified atmosphere with 5% CO2 at 37 °C. The cytotoxicity assay was performed according to the MTT method using 96-well microplates12.
In the test, each tumour cell was exposed to the test compound at concentrations of 1 × 10−5, 1 × 10−6, and 1 × 10−7 mol/L. The inhibitory rate of the cell growth was calculated according to the following formula: inhibition rate (%) = (OD control − OD treated)/OD control × 100. Finally, IC50 values were calculated using SPSS 16.0 statistical software.
Supplementary information
Acknowledgements
This work was supported by the High-level Talents Introduction Project of Henan University of Traditional Chinese Medicine (No. 00104311-2018-16); the Natural Science Foundation of Henan (No. 162300410188); National Key R&D Program of China (No. 2017YFC1701900); The Funda-mental Scientific Research Funds of Provincial Universities (No. 2014KYYWF-QN02); Science and Technology Innovation Talent Support Program of Henan University of Traditional Chinese Medicine (No. 2015XCXRC04); Industry-University-Research Collaborative Innovation Major Projects in Guangzhou Science and Technology Programs 2016 (No. 201604046013).
Author contributions
Li-Ping Dai performed the extraction, isolation, and structural elucidation of the compounds and the preparation of the manuscript. Xiao-Fei Li was responsible for the tautomerization reaction mechanism. Qing-Mei Feng and Ling-Xia Zhang contributed to the structural elucidation and also to part of the preparation of the manuscript. Hong Wu and Er-Ping Xu conducted the cytotoxic assay. Qiu-Yan Liu was responsible for the collection and extraction of the plant. Zhi-Min Wang and Hong Wu planned, designed, and organized the whole research study. All authors approved the final version of the manuscript.
Competing interests
The authors declare no competing interests.
Footnotes
Publisher’s note Springer Nature remains neutral with regard to jurisdictional claims in published maps and institutional affiliations.
These authors contributed equally: Li-Ping Dai and Xiao-Fei Li.
Contributor Information
Hong Wu, Email: kevin5me@126.com.
Zhi-Min Wang, Email: zhmw123@163.com.
Supplementary information
is available for this paper at 10.1038/s41598-020-58260-8.
References
- 1.Li J, Zhang D, Wu X. Synthesis and biological evaluation of novel exo-methylene cyclopentanone tetracyclic diterpenoids as antitumor agents. Biorg. Med. Chem. Lett. 2011;21:130–132. doi: 10.1016/j.bmcl.2010.11.055. [DOI] [PubMed] [Google Scholar]
- 2.Dai LP, et al. Three New Cytotoxic ent-Kaurane Diterpenes from Isodon excisoides. Molecules. 2015;20:17544–17556. doi: 10.3390/molecules200917544. [DOI] [PMC free article] [PubMed] [Google Scholar]
- 3.Dai LP, et al. Studies on chemical constituents of Isodon excisoides. Chinese Journal of traditional Chinese Medicine. 2016;41(18):3361–3365. doi: 10.4268/cjcmm20161809. [DOI] [PubMed] [Google Scholar]
- 4.Wang ZM, Cheng PY. Structure elucidation of a bis-ent-kauranoid isolated from Isodon pharicus. Acta Pharm. Sin. 1994;29:532–538. [Google Scholar]
- 5.Wang ZM, et al. The structures elucidation of isodopharicin D and F. Acta Pharm. Sin. 1998;33:207–211. [PubMed] [Google Scholar]
- 6.Jiao K, et al. Two new ent-kaurane diterpenoids from the aerial parts of Isodon excisoides. Chin. Chem. Lett. 2014;25:131–133. doi: 10.1016/j.cclet.2013.10.018. [DOI] [Google Scholar]
- 7.Wang T, et al. Magnetic and electronic properties of a single iron atomic chain encapsulated in carbon nanotubes A first-principles study. J. Mol. Struct. 2010;97:317–322. doi: 10.1016/j.molstruc.2010.04.044. [DOI] [Google Scholar]
- 8.Liao YJ, Bai HY, Li ZH, Zou J. Longikaurin A, anatural ent-kaurane, induces G2/M phase arrest via downregulation of Skp2 and apoptosis induction through ROS/JNK/c-Jun pathway in hepatocellular carcinoma cells. Cell. Death Dis. 2014;5:1137–1148. doi: 10.1038/cddis.2014.66. [DOI] [PMC free article] [PubMed] [Google Scholar]
- 9.Jiang HL, Zhu M, Chen Y, Li WT. Simultaneous determination of glaucocalyxin A, glaucocalyxin B and glaucocalyxin D in weifuchun tablets by HPLC. Chin. Tradit Patent Med. 2013;35:86–89. [Google Scholar]
- 10.Gui Z, et al. Oridonin alters the expression profiles of microRNAs in BxPC-3 human pancreatic cancer cells. BMC Complement. Altern. Med. 2015;115:119. doi: 10.1186/s12906-015-0640-5. [DOI] [PMC free article] [PubMed] [Google Scholar]
- 11.Li JC, et al. The structure of Henryin. Acta. Botan. Yunnan. 1984;6:453–456. [Google Scholar]
- 12.Kuo LM, et al. Intracellular glutathione depletion by oridonin leads to apoptosis in hepatic stellate cells. Molecules. 2014;19:3327–3344. doi: 10.3390/molecules19033327. [DOI] [PMC free article] [PubMed] [Google Scholar]
Associated Data
This section collects any data citations, data availability statements, or supplementary materials included in this article.









