Abstract
A thermocell that consists of cathode and anode materials with different temperature coefficients (α = dV/dT) of the redox potential (V) can convert environmental thermal energy to electric energy via the so-called thermal charging effect. The output voltage Vcell of the current thermocell, however, is still low (several tens mV) and depends on temperature, which are serious drawbacks for practical use of the device as an independent power supply. Here, we report that usage of phase transition material as electrode qualitatively improve the device performance. We set the critical temperature (Tc) for the phase transition in cobalt Prussian blue analogue (Co-PBA; NaxCo[Fe(CN)6]y) to just above room temperature, by finely adjusting the Fe concentration (y = 0.82). With increase in the cell temperature (Tcell), Vcell of the NaxCo[Fe(CN)6]0.82 (NCF82)/NaxCo[Fe(CN)6]0.9 (NCF90) cell steeply increases from 0 mV to ~120 mV around 320 K. Our observation indicates that the thermocell with use of phase transition is a promising energy harvesting device.
Subject terms: Devices for energy harvesting, Phase transitions and critical phenomena, Batteries
Introduction
A new energy harvesting technology from environmental heat, e.g., day and night temperature change, waste heat near room temperature, and human body heat, is required to realize the “smart” society. A semiconductor-based thermoelectric device that uses the so-called Seebeck effect is a promising technology and is practically used in Peltier cooling and thermal power generation in space vehicles1. Another energy harvesting technology with low cost and high efficiency is the thermocell that consists of cathode and anode materials with different thermal coefficients (α = dV/dT) of the redox potential (V) between the anode (αanode) and cathode (αcathode) materials. Several researchers2–8 reported that such a thermocell can convert environmental thermal energy to electric energy via the so-called thermal charging effect. Hereafter, we call such devices as “tertiary batteries”, because the cell can be charged by thermal energy not by electric energy. Strictly speaking, the battery converts thermal energy to electric energy in a thermal cycle between low (TL) and high (TH) temperatures. This makes in sharp contract with the semiconductor-based thermoelectric device that converts the permanent temperature gradient to electric energy. In the warming process, the battery shows a cell voltage (Vcell) of (αcathode−αanode) (TH − TL). The thermally-charged energy is converted to the electric energy in the discharge process at TH. Similarly, the cooling process induces Vcell [= − (αcathode−αanode) (TH − TL)]. The thermally-charged energy is converted to the electric energy in the discharge process at TL. Fukuzumi et al.6 fabricated a thermocell, consisting of two types of PBA films, NaxMn[Fe(CN)6]0.83 (MCF83) and NaxCo[Fe(CN)6]0.9 (NCF90), with different α values. The NMF83/NCF90 cell shows a thermal voltage of Vcell ~ 40 mV in the thermal cycle between TL (=286 K) and TH (=313 K). The tertiary battery extends the application range of the battery materials from energy storage to energy harvesting (or independent power supply).
The output voltage Vcell [= (αcathode−αanode) (TH − TL)] of the conventional thermocell has two drawbacks for practical use as an independent power supply for information technology (IT) and/or internet of things (IoT) devices. One is that the current Vcell (several tens mV) is too low to drive the IT/IoT devices. For example, the NMF83/NCF90 cell (αcathode−αanode = 1.7 mV/K)6 shows a thermal voltage of Vcell ~ 40 mV between TL (=286 K) and TH (=313 K). So far, α of wide range of battery materials were reported; α = −0.3–1.4 mV/K in Prussian blue analogues8, α = 0.2–1.1 mV/K in several conjugated polymers9, α = 0.0−0.9 mV/K in NaxCoO210 and α = 0.9 mV/K in LixFePO411. The reported |α| is order of 1 mV/K at the maximum, indicating that a more elaborated exploration is indispensable to obtain much higher-Vcell. of order of several hundred mV. Another drawback is that Vcell is not constant but is proportional to ΔT (=TH − TL). Such a temperature dependence (T-dependence) of Vcell is unsuitable as power supply for the IT/IoT devices.
The usage of phase transition material as electrode is expected to solve the above-mentioned two drawbacks, i.e., low-Vcell and T-dependence of Vcell. The structural phase transition discontinuously changes the electronic and electrochemical material parameters via variation of the crystal structure (including valence state and spin state of the constituent elements). If a phase transition material is used as electrode, Vcell is expected to change significantly when Tcell crosses Tc. In addition, if the variation of Vcell at Tc overwhelms the conventional temperature dependence of Vcell [= (αcathode − αanode) (TH − TL)], we can neglect the latter effect. The cobalt Prussian blue analogue (Co-PBA; NaxCo[Fe(CN)6]y) is a promising cathode material for Li+/Na+ secondary battery12–14. Co-PBA have face-centered cubic (fcc) (Fmm; Z = 4) or trigonal (Rm; Z = 3) structures15, consisting of a three-dimensional (3D) jungle-gym-type host framework with guest Li+/Na+ ions. Figure 1 shows schematic structure of Co-PBA.
Figure 1.
Schematic structure of NaxCo[Fe(CN)6]y (Co-PBA) in the (a) low-spin (LS) and (b) high-spin (HS) phases. For simplicity, guest ions (Na+) are omitted. The LS–HS phase transition is triggered by cooperative charge transfer from Fe2+ to Co3+, which causes spin state transition of Co from LS Co3+ to HS Co2+.
Importantly, Co-PBA shows a characteristic first-order phase transition from low-spin [LS: Fig. 1(a)] phase to high-spin [HS: Fig. 1(b)] phase. The LS– HS phase transition is triggered by the cooperative charge transfer from Fe2+ to Co3+16. The electronic configuration changes from Co3+ − Fe2+ (LS phase) to Co2+ − Fe3+ (HS phase). The resultant valence change in Co changes the electronic configuration of Co from LS Co3+ to HS Co2+17 and increases the ionic radius of Co from 0.65 Å (LS Co3+) to 0.75 Å (HS Co2+). By contrast, Fe takes the LS configuration in both the divalent and trivalent states. The ionic radii of Fe are almost the same, 0.61 Å (LS Fe2+) to 0.55 Å (LS Fe3+). The phase transition accompanies significant increase in the cell volume, reflecting the larger ionic radius (0.75 Å) of HS Co2+. Therefore, we can expect a significant variation of the redox potential (V) at the LS – HS phase transition in Co-PBA.
Here, we demonstrated that the usage of the LS–HS phase transition of Co-PBA (NaxCo[Fe(CN)6]y) qualitatively improved the device performance. We set Tc of the LS–HS transition to just above room temperature, by finely adjusting the Fe concentration (y = 0.82). With increase in Tcell, Vcell of the NaxCo[Fe(CN)6]0.82 (NCF82)/NaxCo[Fe(CN)6]0.9 (NCF90) cell steeply increase from 0 mV to ~ 120 mV around 320 K. Our observation indicates that the tertiary battery with use of phase transition is a promising independent power supply for the IT/IoT devices.
Phase Diagram of NCF82
The critical temperature of the LS–HS transition of NaxCo[Fe(CN)6]y can be finely controlled by the concentration (y) of Fe(CN)616, which octahedrally coordinates the Co site. With increase in y, the ligand field at the Co site becomes stronger to stabilize the trivalent LS Co state. In other words, Tc of the LS–HS phase transition increases with increase in y. Actually, Shimamoto et al.16 reported that the upper (Tcu) and lower (Tcl) critical temperature steeply increases with increases in y. At y = 0.87, no phase transition takes place below 350 K. Therefore, Tcu (Tcl) of NCF90 (y = 0.90) is considered to be much higher than 350 K if exists. We note that nature of the phase transition depends not only on y, but also on the Na concentration (x). For example, in NaxCo[Fe(CN)6]0.71 (y = 0.71)18, nature of the phase transition changes from the first- to second-order type with decrease in x. By means of the magnetic susceptibility measurement, we systematically investigated Tcu and Tcl against y [Fig. S1(a,b)]. We found that Tcu and Tcl linearly increases with y and approaches to room temperature at y ~ 0.81. We finally concluded that NaxCo[Fe(CN)6]0.82 (NCF82) is the best composition for our experiment.
The LS–HS phase transition is easily detected by steep increase in the lattice constant (a). To determine the phase diagram of NCF82 against Na concentration (x), we systematically investigated T-dependence of a at various x. Figure S2 shows overall X-ray diffraction (XRD) pattern of NCF82 film against x at 300 K. The NCF82 shows the fcc (Fmm; Z = 4) structure below x = 0.96, even though the as-grown film shows trigonal (Rm; Z = 3) structure. We note that Co-PBA will deteriorate if left at high temperature (>350 K) for a long time. To shorten the measurement time, only the (002) reflection in the cubic cell was investigated (Fig. S3). a was calculated with use of Bragg’s law.
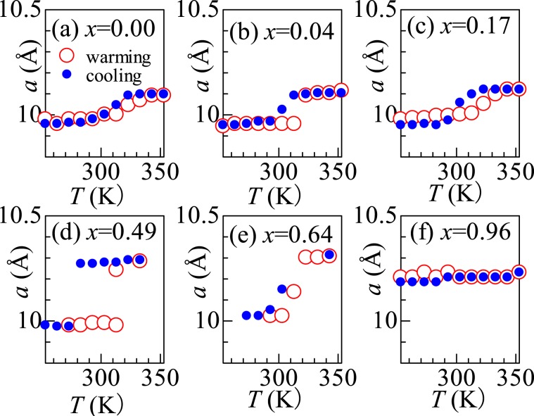
Figure 2 shows T-dependence of a of the NCF82 film at various x. The magnitude of x was evaluated from the extracted charge under the assumption that Na1.28Co[Fe(CN)6]0.82 is in the discharged state and Na0.00Co[Fe(CN)6]0.82 is in the fully-charged state. Open and closed circles represent the data obtained in the warming and cooling runs, respectively. At (a) x = 0.00, a gradually increases around 320 K in the warming run, indicating the phase transition from the LS phase to the HS phase. In the cooling run, a gradually decreases around 320 K, indicating the phase transition from the HS phase to the LS phase. Tcu (Tcl) are defined by the temperature corresponding to the midpoint of a between the high temperature and low temperature sides in the warming (cooling) run. A similar increase (decrease) in a is observed at (b) x = 0.04 and (c) 0.17 in the warming (cooling) runs. At (d) x = 0.49, a discontinuously increases at Tcu = 315 K while it discontinuously decreases at Tcl = 280 K. The larger thermal hysteresis (=35 K) is perhaps ascribed to the significant variation (=0.3 Å) in a. A similar increase (decrease) in a is observed at (e) x = 0.64 in the warming (cooling) runs. a becomes essentially temperature-independent at (f) x = 0.96, indicating that that no phase transition takes place.
Figure 2.
Temperature dependence of the lattice constant (a) of NaxCo[Fe(CN)6]0.82; (a) x = 0.00, (b) 0.04, (c) 0.17, (d) 0.49, (e) 0.64, and (f) 0.96. Open and closed circles represent the data obtained in the warming and cooling runs, respectively.
Figure 3(a) shows the x − T phase diagram. Open and closed circles represent Tcu and Tcl, respectively. The red and blue curves just guide to the eyes. The HS phase is stable above the red boundary while the LS phase is stable below the blue boundary. In the region sandwiched by the red and blue boundaries, either phase appears depending on the thermal history. The width (Δc = Tcu − Tcl) of the thermal hysteresis gradually increases with x from 15 K at x = 0.00 to 45 K at 0.49. With further increases in x, ΔTc steeply decreases to 10 K at x = 0.64 and the phase transition disappears above x = 0.96. Figure 3(b) shows a in the HS (open circles) and LS (closed circles) phases against x. With increase in x, variation (Δa) of a between the HS and LS phases gradually increases from Δa = 0.15 Å at x = 0.00 to 3.5 Å at 0.49. With further increases in x, Δa decrease to 0.25 Å at x = 0.64. Thus, ΔTc correlates with Δa at the LS–HS transition.
Figure 3.
(a) Phase diagram of NaxCo[Fe(CN)6]0.82 against x. Open and closed circles represent upper (Tcu) and lower (Tcl) critical temperatures, respectively. The red and blue curves are just guide to the eyes. The broken curve represents calculated charge transfer (qCT) from Fe2+ to Co3+ at the LS–HS transition. (b) Lattice constant (a) against x, Open and closed circles represent a in the HS and LS phases, respectively. The red and blue curves are just guide to the eyes. Squares are the value at room temperature. (c) Charge curves of the NCF82 film at various temperatures. The charge rate was 0.6 C.
Here, let us consider the magnitude of the change transfer (qCT) from Fe to Co at the LS–HS transition. The phase transition is expressed as follows; NaxCoIII[FeII(CN)6]0.54+x[FeIII(CN)6]0.28−x ➔ NaxCoII0.54+xCoIII0.46−x[FeIII(CN)6]0.82. (x < 0.28), NaxCoIIx−0.28CoIII1.28−x[FeII(CN)6]0.82 ➔ NaxCoII0.54+xCoIII0.46−x[FeIII(CN)6]0.82 (0.28 < x < 0.46), and NaxCoIIx−0.28CoIII1.28−x[FeII(CN)6]0.82 ➔ NaxCoII[FeII(CN)6]x−0.46[FeIII(CN)6]1.28−x (0.46 < x). The broken curve in Fig. 3(a) is the calculated qCT against x. With increase in x, qCT linearly increases from qCT = 0.54 e/Co at x = 0.00 to 0.82 e/Co at 0.28 and becomes constant (= 0.82). With further increase in x beyond x = 0.46, qCT linearly decrease from qCT = 0.82 e/Co at x = 0.46 to 0.00 e/Co at 1.28. These x-dependent behavior of qCT positively correlates with ΔTc and Δa. We note that the no phase transition is observed in the x region where qCT < 0.5 e/Co.
Effect of the Phase Transition on Redox Potential
The LS–HS phase transition has significant effect on the redox potential (V). Figure 3(c) shows charge curves of the NCF82 film at various temperatures. At T = 283 K in the LS phase, the curve shows two plateaus at 1.0 and 0.6 V vs. Ag/AgCl. By means of the X-ray absorption spectroscopy (XAS), Takachi et al.13 indicated that the lower- and higher-lying plateaus of NCF90, which is in the LS phase at 300 K are ascribed to the redox reaction of Fe and Co, respectively. Then, the higher-lying plateau of NCF82 in the LS phase is reasonably ascribed to CoIII[FeIII(CN)6]0.6[FeII(CN)6]0.3 + 0.6Na+ + 0.6 e− ➔ Na0.6CoIII[FeII(CN)6]0.9 while the lower-lying plateau is ascribed to Na0.6CoIII[FeII(CN)6]0.9 + Na+ + e− ➔ Na1.6CoII[FeII(CN)6]0.9. At 323 K in the HS phase, the curve significantly changes. Especially, V in the higher-lying plateau significantly drops by about 150 mV. The potential drop cannot be ascribed to the sample deterioration, because the charge curve returns to the original value at 283 K. In the HS phase, the redox site of the higher-lying plateau is considered to be Co, because the valence state in the HS phase is NaxCoII0.54+xCoIII0.46−x[FeIII(CN)6]0.82. (x < 0.28) or NaxCoII0.54+xCoIII0.46−x[FeIII(CN)6]0.82 (0.28 < x < 0.46). Such a switching of the redox site causes the potential drop as observed.
This hypothesis, i.e., the redox site switching, is supported by the vibrational spectroscopy in the infrared (IR) region (Fig. S4). In the LS phase (298 K), the CN stretching vibrational mode is observed around 2080–2020 cm−1 in the lower-lying plateau while an additional band appears at 2200 cm−1 in the higher-lying plateau. The former (latter) bands ascribed to the CN stretching vibrational mode in the [Fe(CN)6]4− ([Fe(CN)6]3−) units. Therefore, in the LS phase, the redox cites in the lower- and higher-lying plateaus are Co and Fe, respectively. In the HS phase (330 K), the corresponding mode is observed around 2240–2200 cm−1 in the higher-lying plateau while an additional band appears at 2080 cm−1 in the lower-lying plateau. Accordingly, in the HS phase, the redox cites in the lower- and higher-lying plateaus are Fe and Co, respectively. Thus, the IR spectroscopy indicates the redox site switching at the LS–HS phase transition.
NCF82/NCF90 Tertiary Battery
Figure 4(a) is schematic illustration of the tertiary battery. We fabricated NCF82/NCF90 tertiary battery, whose anode, cathode and electrolyte are the pre-oxidized NCF82 and NCF90 films and aqueous solutions containing 17 mol/kg NaClO4, respectively. Pre-oxidization of the films were performed at 1.01 V (x ~ 0.1) against Ag/AgCl in aqueous solutions containing 17 mol/kg NaClO4. The cell voltage (Vcell) is expressed as Vcathode − Vanode, where Vcathode, Vanode are the redox potential of cathode and anode materials, respectively. As previously mentioned, Vanode of the NCF82 film [Fig. 4(b)] significantly drops by about 150 mV with increase in T from TL to TH. This is in sharp contrast with Vcathode of the NCF90 film [Fig. 4(c)], which shows negligible temperature dependence over the entire range of x. Figure 4(d) shows schematic illustration of Vcell against Tcell. In the warming process, the anode NCF82 film shows the LS–HS transition at Tcell = Tcu. In the region of Tcell > Tcu, Vcell (=Vcathode − Vanode) becomes ~150 mV, since Vanode decreases by ~150 mV. In the cooling process, the anode NCF82 returns to the LS phase below Tcell = Tcl. Then, Vcell returns to the initial value (=0 mV) in the region of Tcell < Tcl.
Figure 4.
(a) Schematic illustration of tertiary battery. Vcell, Vcathod, Vanode are the cell voltage, redox potentials of cathode and anode materials, respectively. (b) Charge curves of the NCF82 film at various temperatures. The charge rate was 0.6 C. (c) Charge curves of the NCF90 film at various temperatures. The charge rate was 0.4 C. Closed triangles in (b) and (c) represent the actual x values of the pre-oxidized films for the tertiary battery. (d) Schematic illustration of Vcell against Tcell. Tcu and Tcl are the upper and lower critical temperatures, respectively.
Figure 5 shows thermal cycle of the NCF82/NCF90 cell between TL = 283 K (<Tcl) and TH = 323 K (>Tcu). Open and closed symbols represent the data obtained in the first and second cycles, respectively. In the (a) warming process, Vcell gradually increases with Tcell and eventually divergently increases around 320 K. Such a divergently increases in Vcell is ascribed to the LS–HS transition of the NCF82 film at Tcu = 325 K (at x ~ 0.1). We note that any redox reaction nor Na+ transportation takes place in the warming process, because the process is performed in the open circuit condition. The measurement above Tcell = 323 K is difficult due to sample detonation. At TH, the cell shows a huge voltage (=120 mV). In the (b) discharge process at TH, Vcell linearly decreases with the extracted charge (Q) per unit mass of NCF82. The final extracted charge (QNCF82) from NCF82 is 2.4 mAh/g, which is 2.3% of the discharge capacity of NCF82. More specifically, the Na concentration (x) of NCF82 (NCF90) decreases (increases) by 0.03 (0.004) in the discharge process at TH. The electric work (WH = 2.6 meV/NCF82) at TH is roughly evaluated by integration of Vcell over Q. Here, let us explain how the x value in the NCF82 anode changes during an ideal thermal cycle. We note that the NCF90 cathode works as Na storage because the area of the NCF90 cathode is much larger than the area of NCF82. The x value of the pre-oxidized NCF82 is 0.1. In the (a) warming process in the open circuit condition, x remains at the initial value (~0.1). The warming process causes the thermally-induced phase transition from the LS phase to the HS phase. In the (b) discharge process at TH, x decreases from 0.1 to 0.07. In the (c) cooling process in the open circuit condition, x remains at 0.07. The cooling process causes the thermally-induced phase transition from the HS phase to the LS phase. In the (d) discharge process at TL, x increases from 0.07 to 0.1.
Figure 5.
Thermal cycle of the NCF82/NCF90 cell: (a) Warming process from TL (=283 K) to TH (=323 K) in the open circuit condition, (b) discharge process at TH at constant current at 0.7 C, (c) cooling process from TH to TL in the open circuit condition, and (d) discharge process at TL at constant current at 0.7 C. Vcell and Tcell are the cell voltage and cell temperature, respectively. Q is the extracted charge per unit mass of NCF82. In the (b) discharge process at TH, lower limit of the voltage was set to 80 mV. In the (d) discharge process at TL, upper limit of the voltage was set to 0 mV. Open and closed symbols represent the data obtained in the first and second cycles, respectively. Broken arrow in (c) schematically represents the variation of Vcell during the change and discharge process at TL at the rate of 0.7 C.
In the (c) cooling process, Vcell gradually increases even if Tcell crosses Tcu = 305 K (at x ~ 0.1). This unexpected behaver is probably ascribed to the residual HS phase, which is discernible in the XRD pattern around the (200) reflection as a tail structure (Fig. S5). We note that the redox potential of the HS phase is lower than that of the LS phase. This means that the residual HS phase governs the redox process. We found that the residual HS phase can be eliminated by the charge and discharge processes at TL (Fig. S6). Vcell returns to the initial value (~0 mV) after the charge and discharge processes at TL. In the (d) discharge process, QNCF82 is 3.0 mAh/g, which is 2.9% of the discharge capacity of NCF82. In this process, x of NCF82 (NCF90) returns to the initial value (~0.1). The electric work (WL) at TL is 0.7 meV/NCF82.
The unexpected phase mixing at TL is probably ascribed the distribution of the chemical composition among the crystals in the film. In Co-PBA, Tc of the LS–HS transition is significantly sensitive to the y value (Fig. S1). One percent increase in y increases Tc by ~ 10 K. It is interesting that the residual HS phase is eliminated by the charge and discharge processes at TL. In the charge process of the tertiary battery, the anode film is reduced to the initial as-grown state, i.e., Na4y−2CoII[FeII(CN)6]y (y ~ 0.82). In the discharge process of the tertiary battery, the anode film is partly oxidized. In this process, high-y particles (in the HS phase) with lower-V are selectively oxidized to CoII3–3yCoIII3y−2[FeIII(CN)6]y and become electrochemically inert. Then, the redox potential is dominated by the low-y particle in the LS phase after the charge and discharge process at TL.
Thermal Efficiency
Let us roughly evaluate the thermal efficiency (η = W/Q, where W and Q are the output work and input thermal energy) of the NCF82/NCF90 cell. In the initial cycle, W = 3.3 meV/NCF82. The input thermal energy is C (TH − TL) + H, where C and H are the sum of the specific heats of the anode and cathode materials and latent heat for the phase transition. We neglect the specific heat of the electrolyte, since the amount of electrolyte can be minimized in a battery. We used calculated C (=4.16 meV/K) of ideal Na2Co[Fe(CN)6] in the high-temperature limit (the Dulong-Petit law). H (18.3 meV) of the NFC82 film at x ~ 0.1 was evaluated by differential scanning calorimetry (DSC). Then, Q is roughly evaluated to be 351.1 meV. Thus, we obtained η = 0.9%, which is 11% of the Carnot efficiency (ηcarnot = 1 − TL/TH) between TL (=286 K) and TH (=313 K).
Summary
We demonstrated that the usage of the LS–HS transition of Co-PBA qualitatively improved performance of the tertiary battery. Vcell of the NCF82/NCF90 cell steeply increase from 0 mV to ~120 mV around 320 K. Our observation indicates that the tertiary battery with use of phase transition is a promising independent power supply for the IT/IoT devices. However, the demand for the chemical and physical uniformity in the electrode material is much severer in the tertiary battery with use of the phase transition than that in the conventional secondary battery. To realize the chemical and physical uniformity, improvement of the sample synthesis is under progress.
Method
Fabrication and characterization of Co-PBA films
Thin films of NaxCo[Fe(CN)6]0.823.5H2O (NCF82) and NaxCo[Fe(CN)6]0.92.9H2O (NCF90) were synthesized by electrochemical deposition on an indium tin oxide (ITO) transparent electrode under potentiostatic conditions at −0.45 V vs a standard Ag/AgCl electrode. The electrolytes were aqueous solution containing 0.8 mmol/L (0.8 mmol/L) K3[FeIII(CN)6], 0.5 mmol/L (0.5 mmol/L) CoII(NO3)2, and 0.5 mol/L (5.0 mol/L) Na(NO3) for the NCF82 (NCF9019) film. In this process, the reduction reaction of [Fe3+(CN)6]3− + e− ➔ [Fe2+(CN)6]4− triggers the deposition of Co-PBA. Therefore, Fe and Co in the as-grown films are divalent. The deposition time is ~30 minutes. The obtained film was transparent (Fig. S7) with a thickness of ~500 nm. The chemical compositions of the films were determined using the inductively coupled plasma (ICP) method and CHN organic elemental analysis. The surface scanning electron microscopy (SEM) images of the films reveals that the films consist of cubic shape crystals of several hundred nm (Fig. S8). The crystal structure of the as-grown NCF82 (NCF90) film was trigonal with aH = 7.352(8) Å and cH = 17.519(22) Å [aH = 7.408(9) Å and cH = 17.476(24) Å] (Fig. S9). The NCF82 film transfers to the fcc structure below x = 0.96 (Fig. S2).
Electrochemical measurement
The charge/discharge curves of the Co-PBA films were measured with a potentiostat (HokutoDENKO, HJ1001SD8) using a three-pole beaker-type cell. The working, referential, and counter electrodes were the film, a standard Ag/AgCl electrode, and Pt, respectively. The electrolyte is aqueous solution containing 17 mol/kg NaClO4. The charge/discharge rate was about 0.4–0.6 C. The upper and lower limits of the redox potential were 0.20 and 1.1 V vs. Ag/AgCl, respectively. The mass of each film was evaluated using thickness, area, and density. We confirmed that the actual densities of the NCF82 and NCF90 films were 0.98 and 0.58 of the ideal density, respectively. The discharge capacity (=104 mAh/g) of the NCF82 film was closed to the ideal value (=105 mAh/g) for the Na intercalation from x = 0.0 to 1.28. The discharge capacity (=140 mAh/g) of the NCF90 film was closed to the ideal value (=127 mAh/g) for the Na intercalation from x = 0.0 to 1.60.
Ex situ XRD measurement
For the ex situ X-ray powder diffraction (XRD), the magnitude of x of the NCF82 film was controlled by the charge/discharge process in a beaker-type cell. The working, referential, and counter electrodes were the film, a standard Ag/AgCl electrode, and Pt, respectively. The electrolyte is aqueous solution containing 17 mol/kg NaClO4. The charge/discharge rate was about 1.0 C. The active areas of the films were about 1.0 cm2. The cut-off voltage was from 0.2 to 1.1 V. The magnitude of x was evaluated from the extracted charge under the assumption that Na1.28Co[Fe(CN)6]0.82 is in the discharged state and Na0.00Co[Fe(CN)6]0.82 is in the fully-charged state. The relative error of x is ~ 0.05.
The XRD patterns of the x-controlled NCF82 film were measurand in the θ−2θ geometry with use of with an X-ray diffractometer (Rigaku, RINT2000PC). The film was attached at the cold heat of a cryostat, whose temperature was controlled liquid N2 and electric heater. The X-ray source was the Cu Kα line at 40 kV and 40 mA. A Si monochromator was used to reduce the scattering by white X-ray. Typical measurement time of XRD pattern is 10 minute/degree. We note that Co-PBA will deteriorate if left at high temperature (>350 K) for a long time. In order to shorten the measurement time, only the T-dependence of the (002) reflection in the cubic cell was investigated. The lattice constant (a) was calculated with use of Bragg’s law.
Thermal cycle measurement of the battery
We fabricated a two-pole beaker-type tertiary battery, whose anode, cathode and electrolyte are the pre-oxidized NCF82 and NCF90 films and aqueous solutions containing 17 mol/kg NaClO4, respectively. Pre-oxidization of the films were performed at 1.01 V against Ag/AgCl in aqueous solutions containing 17 mol/kg NaClO4. The x value is ~ 0.1 for both the NCF82 and NCF90 films. In the present experiment, we concentrated our attention on the voltage jump of NCF82 (anode) at the phase transition, and hence, the NCF90 (cathode) was regarded as the fixed point of the redox potential. For this purpose, the film area (2.0 cm2) of cathode is much larger than that (0.25 cm2) of anode to minimize the variation of x, and hence the redox potential, of cathode.
The thermal cycle measurement consists of four processes: (a) warming process from TL (=283 K) to TH (=323 K), (b) discharge process at TH, (c) cooling process from TH to TL, and (d) discharge process at TL. In the (a) warming process, device temperature (Tcell) was slowly increased from TL to TH in the open circuit condition. Tcell was monitored by a Pt resistance thermometer in the electrolyte. At (b) TH, the thermally-charged cell was discharged at 0.7 C. The discharge rate was defined by the NCF82 film. In the (c) cooling process, Tcell was slowly decreased from TH to TL in the open circuit condition. In order to obtain the purely LS phase without residual HS phase, charge and discharge processes at TL were performed at the rate was 0.7 C. The upper and lower limits of voltage was 0.70 and −0.04 V, respectively. The lower limit of voltage (=−0.04 V) was determined so that x becomes the same value after the (c) discharge process at TH. At (d) TL, the thermally-charged cell was discharged at 0.17 C.
Supplementary information
Acknowledgements
This work was supported by JSPS KAKENHI (Grant Number JP17H0113 and 19J12284) and the Japan Prize Foundation, Murata foundation, the Thermal and Electric Energy Technology Foundation, and a joint research with Focus Systems Corporation. We appreciate Mr. T. Moriya and Dr. H. Niwa for their measurement of the IR spectra. We appreciate Mr. M. Nakada for his measurement of magnetic susceptibility. The elementary analyses were performed at the Chemical Analysis Division, Research Facility Center for Science and Engineering, University of Tsukuba.
Author contributions
T.S. synthesized Co-PBA films and performed thermal cycle measurements of the NCF82/NCF90 tertiary battery. Y.F. characterized the Co-PBA films. H.I. determined x − T phase diagram of the NCF82 film. T.S. and Y.M planned the research and wrote the manuscript.
Competing interests
The authors declare no competing interests.
Footnotes
Publisher’s note Springer Nature remains neutral with regard to jurisdictional claims in published maps and institutional affiliations.
Contributor Information
Takayuki Shibata, Email: shibata@gunma-ct.ac.jp.
Yutaka Moritomo, Email: moritomo.yutaka.gf@u.tsukuba.ac.jp.
Supplementary information
is available for this paper at 10.1038/s41598-020-58695-z.
References
- 1.Goldsmid H. Julian. Introduction to Thermoelectricity. Berlin, Heidelberg: Springer Berlin Heidelberg; 2010. [Google Scholar]
- 2.Lee SW, et al. An electrochemical system for efficiently harvesting low-grade heat energy. Nat. Commun. 2014;5:3942. doi: 10.1038/ncomms4942. [DOI] [PubMed] [Google Scholar]
- 3.Yang Y, et al. Charging-free electrochemical system for harvesting low-grade thermal energy. PNAS. 2014;111:17011–17116. doi: 10.1073/pnas.1415097111. [DOI] [PMC free article] [PubMed] [Google Scholar]
- 4.Wang J, et al. Thermal charging phenomenon in electrical double layer capacitors. Nano Lett. 2015;15:5784–5790. doi: 10.1021/acs.nanolett.5b01761. [DOI] [PubMed] [Google Scholar]
- 5.Shibata T, Fukuzumi Y, Kobayashi W, Moritomo Y. Thermal power generation during heat cycle near room temperature. Appl. Phys. Express. 2018;11:017101. doi: 10.7567/APEX.11.017101. [DOI] [Google Scholar]
- 6.Fukuzumi Y, Amaha K, Niwa H, Kobayashi W, Moritomo Y. Purussian blue analogues as promising thermal power generation materials. Energy Technol. 2018;6:1865–1870. doi: 10.1002/ente.201700952. [DOI] [Google Scholar]
- 7.Shibata T, Fukuzumi Y, Moritomo Y. Thermal efficiency of a thermocell made of Prussian blue analogues. Sci. Reps. 2018;8:14784. doi: 10.1038/s41598-018-33091-w. [DOI] [PMC free article] [PubMed] [Google Scholar]
- 8.Takahara I, Shibata T, Fukuzumi Y, Moritomo Y. Improved thermal cyclability of tertiary battery made of Prussian blue analogues. Chemistry Select. 2019;4:8558–8563. [Google Scholar]
- 9.Iwaizumi H, et al. Vibrational entropy as an indicator of temperature coefficient of redox potential of conjugated polymers. Jpn. J. Appl. Phys. 2019;58:097004. doi: 10.7567/1347-4065/ab3b67. [DOI] [Google Scholar]
- 10.Fukuzumi Y, Hinuma Y, Moritomo Y. Configuration entropy effect on temperature coefficient of redox potential in P2-NaxCoO2. Jpn. J. Appl. Phys. 2019;58:065501. doi: 10.7567/1347-4065/ab19db. [DOI] [Google Scholar]
- 11.Fukuzumi Y, Hinuma Y, Moritomo Y. Temperature coefficient of redox potential in LixFePO4. AIP Adv. 2018;8:065021. doi: 10.1063/1.5040392. [DOI] [Google Scholar]
- 12.Takachi M, Matsuda T, Moritomo Y. Cobalt hexacyanoferrate as cathode material for Na+ secondary battery. Appl. Phys. Express. 2013;6:025802. doi: 10.7567/APEX.6.025802. [DOI] [Google Scholar]
- 13.Takachi M, Matsuda T, Moritomo Y. Redox reactions in Prussian blue analogue films with fast Na+ intercalation. Jpn. J. Appl. Phys. 2013;52:090202. doi: 10.7567/JJAP.52.090202. [DOI] [Google Scholar]
- 14.Takachi M, Matsuda T, Moritomo Y. Structural, Electronic, and Electrochemical Properties of LixCo[Fe(CN)6]0.902.9H2O. Jpn. J. Appl. Phys. 2013;52:044301. doi: 10.7567/JJAP.52.044301. [DOI] [Google Scholar]
- 15.Niwa H, Kobayashi W, Shibata T, Nitani H, Moritomo Y. Invariant nature of substituted element in metal-hexacyanoferrate. Sci. Reps. 2017;7:13225. doi: 10.1038/s41598-017-13719-z. [DOI] [PMC free article] [PubMed] [Google Scholar]
- 16.Shimamoto N, Ohkoshi S, Sato O, Hashimoto K. Control of charge-transfer-induced spin transition temperature on cobalt-iron Prussian blue analogues. Inorg. Chem. 2002;41:678–684. doi: 10.1021/ic010915u. [DOI] [PubMed] [Google Scholar]
- 17.Kurihara Y, et al. Electronic structure of hole-doped transition metal cyanides. J. Phys. Soc. Jpn. 2010;79:044710. doi: 10.1143/JPSJ.79.044710. [DOI] [Google Scholar]
- 18.Nakada F, Kamioka H, Moritomo Y, Kim J-E, Takata M. Electronic phase diagram of Na0.84−δCo[Fe(CN)6]0.843.8H2O (0.0 ≤ δ ≤ 0.61) Phys. Rev. B. 2008;77:224436. doi: 10.1103/PhysRevB.77.224436. [DOI] [Google Scholar]
- 19.Igarashi K, Nakada F, Moritomo Y. Electronic structure of hole-doped Co-Fe cyanides: Na1.60−δCo[Fe(CN)6]0.90⋅2.9H2O (0.0 ≤ δ ≤ 0.85) Phys. Rev. B. 2008;78:235106. doi: 10.1103/PhysRevB.78.235106. [DOI] [Google Scholar]
Associated Data
This section collects any data citations, data availability statements, or supplementary materials included in this article.





