Abstract
Background
Severe acute malnutrition remains one of the most common causes of morbidity and mortality in Sub-Saharan Africa. The objective of this study was to investigate morbidity and mortality trends and factors associated with mortality of under-five children admitted and managed for severe acute malnutrition in NEMMH.
Methods
Four years retrospective cohort study was conducted on 500 under-five children admitted with the diagnosis of severe acute malnutrition. The study population was all under- five children admitted to the inpatient nutrition unit between 2012 and 2015. Data was entered using Epi-Data version 3.1 and exported to SPSS version 16 for analysis. A Kaplan- Meier curve was also used to estimate survival probability of different types of severe acute malnutrition. Cox proportional hazards regression was used to predict the risk of death among predictor while adjusting for other variables. A P-value less than 0.05 was considered as statistically significant.
Result
A total of 500 children were enrolled into the study. Kwashiorkor was the most frequently recorded morbidity accounting for 43.0%. Pneumonia was seen the commonest form of comorbid disease. It was the most common co-morbidity across all morbidity groups. (27.6% in kwashiorkor, 37.5% in marasmus and 37.7% in marasmic-kwashiorkor). The average length of stay in the hospital was 11 days.
Children with new admission were 86% less likely to die than repeated admission given that the children were admitted to paediatric ward (HR: 0.14, 95% CI: (0.06, 0.35). Kaplan Meier survival curves also showed children with marasmus and those with repeated admission had reduced survival rates. The overall mortality rate was 7%. The mortality trends vary irregularly in each year but morbidity trend increased with admission from 2014 to 2015.
Conclusion
Mortality trends of SAM vary irregularly across the years but morbidity trends increased with admission from 2014 to 2015. An admission type was significantly associated with mortality. Morbidity and co-morbid diseases did not show significant effect on mortality of the children. Health extension workers and stakeholders should give due concern on promotion of proper nutrition in a community.
Keywords: Severe acute malnutrition, Morbidity, Mortality, Retrospective record review
Background
Malnutrition remains one of the most common causes of morbidity and mortality among children throughout the world. It has been responsible, directly or indirectly, for 60% of the 10.9 million deaths annually among under-five children. Over two-thirds of these deaths, which are often associated with inappropriate feeding practices, occur during the first year of life [1, 2].
Severe acute malnutrition (SAM) is characterised by wasting (marasmus), oedema (kwashiorkor), or both (marasmic kwashiorkor), and occurs mostly in children [3]. It arises as a consequence of a sudden period of food shortage and is associated with loss of a person’s body fat and wasting of their skeleton [4].
Globally, about 25 to 35 million under-five children have SAM and 13 million of these children live in sub-Saharan Africa. One million of those children die every year [5]. The death rate after admission is higher. Study conducted in Zambia showed death rate after admission as 46% [6].
In Ethiopia, malnutrition is one of the leading causes of morbidity and mortality in under-five children. The country has the second highest rate of malnutrition in Sub-Saharan Africa [7].
Among the principal cause of death in young children, 60.7% of deaths from diarrhoea, 52.3% of death from pneumonia, 44.8% of deaths from measles and 57.3% of death from malaria are attributable of malnutrition. Because of this high risk of death, many children with SAM are managed in hospitals [8].
In many health facilities of Ethiopia, the mortality rate from SAM is over 20% [9]. In view of this, federal minster of health has since 2007, implemented therapeutic Feeding Programme for the management of SAM. The therapeutic feeding programme is implemented by the minister of health in cooperation with UNICEF (United Nations International Children's Emergency Fund), and non-governmental organizations like save the children, United States and Valid international. The program is integrating the management of SAM into hospitals, health facilities and medical universities. SAM management includes two approaches: Therapeutic feeding unit (In patient care) for children with SAM and complications and; Out-patient therapeutic programme for children with uncomplicated SAM and with good appetite [10]. Despite the implementation of the programs, the level of admission with malnutrition is not lower as expected. Study conducted in Ethiopia shows that the number of children with SAM admitted into therapeutic feeding programme is increasing every month [11]. This information shows there are factors that could be a reason for increasing number of children With SAM. Although there may be multiple factors, at hospital level there may be an environment that helps to examine the trends of SAM and factors associated with mortality. Therefore, the current study tried to identify trends of mortality and morbidity and factors associated with mortality among under-five children attended Nigest Ellen Mohamed memorial hospital (NEMMH) from 2012 to 2015.
Methods
Settings and population
The study was conducted in NEMMH, which is located in Hossana town, southern Ethiopia. Hossana town is located 232 kilometres far from Addis Ababa, the capital city of Ethiopia. The hospital is serving about 2 million people. The total number of under-five children found in catchment area are 222,336.
The paediatrics department is one of inpatient department found in NEMMH. The department has nutrition rehabilitation unit. The nutrition rehabilitation unit admits children diagnosed SAM from Hossana town and surrounding areas. The admission criteria for infant less than 6 months or less than 3 kg being in breast-fed includes: the infant is too weak or feeble to suckle effectively (independently of his/her weight-for-length) or W/L (Weight-for-Length) less than 70% or Presence of bilateral oedema.
The admission criteria for 6 months to 59 months includes: W/H or W/L < 70% or MUAC < 110 mm with a Length > 65 cm or Presence of bilateral pitting oedema [10]. All children are managed using WHO standard guideline for Managing SAM.
The Study population was all under five children admitted to the inpatient nutrition unit between January 2012 and December 2015. Children with incomplete data were excluded from the study.
Study design and sampling
Four years retrospective cohort study was conducted on under-five children admitted with the diagnosis of SAM from January 2012 to December 2015. The study was conducted from May to June, 2016. Total sampling method was used; where all under-five children admitted with diagnosis of SAM was considered for analysis. About 500 children were included in the study.
Data collection and measurement
Data on variables of interest were extracted from patient charts, using a predesigned data collection form. The data collection forms were completed legibly by trained data collectors. The data collection form contains socio-demographic factors, diagnosis of SAM, co-morbid diseases, length of stay, admission type and outcomes of discharge. Patients’ chart numbers were collected from the paediatrics ward registration book. By using the chart numbers, charts were drawn by card room workers. The data collectors were trained on the requirements of the protocol and data to be collected. Completeness and legibility of each data collection form was audited at the end of each day by the principal investigators and supervisors to ensure accuracy.
In this study, the dependent variable was time to death of children with SAM while the independent variables included sex, age, length of stay, morbidity, residence, co-morbidity, and admission type.
Mortality was defined as death due to SAM and other comorbid disease while morbidity was referred to SAM. The data on SAM types (Marasmus, Kwashiorkor, and marasmic-Kwashiorkor) was reviewed from patient chart. Length of stay in the hospital was cross-checked by calculating the difference between date of admission and date at which the patient dead/discharged and corrections were made where inconsistency were found. Comorbid disease was defined as co-existence of any other disease/s with SAM. Admission type was assessed by two options: new and repeat admissions.
Data processing and analysis
Data were entered using Epi-Data version 3.1 and exported to SPSS version 16 for analysis. Trend analysis was done by using STATA version 11. Descriptive statistics was used to summaries study variables.
Model diagnostics was done by using the maximum likelihood estimation. Cox regression model assumption of proportional hazards was checked by Kaplan-Meier hazard plots and testing an interaction of covariate with time. Multi-collinearity among independent variables was checked and showed no significance.
Kruskal Wallis was used to compare if means of “length of stay on the ward” and “age” for the different types of SAM were different. For categorical variables, chi-square was used to show association. A Kaplan-Meier curve was used to estimate survival probability of different types of SAM and admission types.
Bivariate analysis was done to identify associations between dependent and independent variables. Variables significant at P <0.05 level in the bivariate analysis were included in the final cox proportional regression analysis, to identify independent predictors of mortality. Finally, co-morbidity, morbidity groups and admission type were included in cox proportional hazards regression analysis. Cuzick, a non-parametric test was used to examine trend patterns for both morbidity and mortality. A p-value of less than 0.05 was considered as statically significant.
Results
Demographic and clinical characteristics of the children
A total of 500 under five children were enrolled in the study. Of these, 243 (48.6%) were females and 257 (51.4%) were males. The median age was 10 months, with an inter quartile range (IQR) of 3 to 24 months. The data also revealed that majority 412(82.4%) children were from out of Hossana while 88(17.6%) were from Hossana. The median length of stay was eleven days, with an IQR of 7 to 16. The overall mortality rate was 35(7.0%) (Table 1).
Table 1.
Morbidity by admission type and demographic factors among under five children in NEMMH, Southern Ethiopia
| Variables | Total (N and %) | Types of SAM | P-value* | ||
|---|---|---|---|---|---|
| Sex(n = 500) | Kwashiorkor (N and %) | Marasmus (N and %) | Marasmic-Kwashiorkor (N and %) | 0.670 | |
| Male | 257 (51.4) | 97 (52.2) | 70(50.0) | 50(46.7) | |
| Female | 243 (48.6) | 89(47.8) | 70(50.0) | 57(53.3) | |
| Place of Residence(n = 500) | 0.734 | ||||
| Out of Hossana | 412(82.4) | 154(82.8) | 119(85.0) | 87(81.3) | |
| Hossana | 88(17.6) | 32(17.2) | 21(15.0) | 20(18.7) | |
| Co-morbidity (n = 356) | 0.588 | ||||
| Acute gastro enteritis (AGE) | 78(21.9) | 31(23.1) | 23(22.1) | 11(15.9) | |
| Diarrhoea | 39(11) | 19(14.2) | 10(9.6) | 5(7.2) | |
| PTB | 15(4.2) | 6(4.5) | 5(4.8) | 4(5.8) | |
| Pneumonia | 118(33.1) | 37(27.6) | 39(37.5) | 26(37.7) | |
| Others | 106(29.8) | 41(30.6) | 27(26.0) | 23(33.3) | |
| Admission type (n = 498) | 0.234 | ||||
| New | 444(89.2) | 170(91.4) | 124(88.6) | 90(84.9) | |
| Repeat | 54(10.8) | 16(8.6) | 16(11.4) | 16(15.1) | |
NOTE: (overall n = 433 was dictated by the variable morbidity)
Median age in months (IQR) for Kwashiorkor was 12(4–25), marasmus was 8(3–18) and marasmic-kwashiorkor was 12(8–36). P = 0.0001(Kruskal –Wallis)
*Tested using Chi square
Patterns of morbidity
Kwashiorkor (43.0%) was the most frequently recorded morbidity followed by marasmus (32.3%). Majority (89.2%) of admission type was new. Chi square test revealed that there was no association between Childs’ sex, type of admission, residence and type of morbidity. Pneumonia was the most common co-morbidity across all morbidity groups (27.6% in kwashiorkor, 37.5% in marasmus and 37.7% in marasmic-kwashiorkor). On the other hand, Pulmonary tuberculosis (PTB) had the lowest prevalence across the co-morbidity groups (4.5% in kwashiorkor, 4.8% in marasmus and 5.8% in the marasmic-kwashiorkor) (p = 0.588) (Table 1).
Patterns of co-morbidity
There were various co-morbidities that were recorded in the data. The co-morbidities included PTB, Pneumonia, AGE, acute febrile illness, anaemia, conjunctivitis, malaria, intestinal parasite, burn, candidiasis, cellulitis, congestive heart failure, diarrhoea, Down syndrome, epilepsy, Guillain–Barré syndrome, rickets, scabies, septic shock, skin lesion, nephritic syndrome, hydrocele, hypoglycaemia, and impetigo. The co-morbidities were analysed based on frequencies and the co-morbidities with the lowest frequencies (n < 15) were grouped together and labelled as “others”. Five co-morbidity groups’ namely AGE, Diarrhoea, PTB, Pneumonia and others were finally analysed as a single variable labelled co-morbidity. The median age for pneumonia and diarrhoea was 11 months (IQR 3–24). Age had insignificant association with co-morbidity (P = 0.282). Patterns of co-morbidity differed significantly across sex of children (Table 2).
Table 2.
Co-morbidity groups by admission type and demographic factors among under five children in NEMMH, Southern Ethiopia
| Variables | Total (N and %) | Co-morbidity diseases | P-value* | ||||
|---|---|---|---|---|---|---|---|
| Sex (n = 500) | AGE (%) | Diarrhoea (%) | PTB (%) | Pneumonia (%) | Others (%) | 0.043 | |
| Male | 257 (51.4) | 33 (42.3) | 23 (59) | 4 (26.7) | 69 (58.5) | 51 (48.1) | |
| Female | 243 (48.6) | 45 (57.7) | 16 (41) | 11 (73.3) | 49 (41.5) | 55 (51.9) | |
| Place of Residence (n = 500) | 0.152 | ||||||
| Out of Hossana | 412 (82.4) | 62 (79.5) | 35 (89.7) | 15 (100) | 93 (78.8) | 90 (84.9) | |
| Hossana | 88 (17.6) | 16 (20.5) | 4 (10.3) | 0 (0) | 25 (21.2) | 16 (15.1) | |
| Admission type (n = 498) | 0.672 | ||||||
| New | 444 (89.2) | 72 (92.3) | 34 (87.2) | 12 (80) | 106 (89.8) | 95 (89.6) | |
| Repeat | 54 (10.8) | 6 (7.7) | 5 (12.8) | 3 (20) | 12 (10.2) | 11 (10.4) | |
NOTE: (overall n = 356 was dictated by the variable co-morbidity)
Median age in months(IQR) for AGE 8(2–12), diarrhea 11(3–24), PTB 12(7–36), pneumonia 11(3–24), others 9(3–24) P = 0.282 (Kruskal –Wallis)
*Tested using Chi square
Length of stay in different morbidity and co-morbidity groups
The length of stay on the ward in different morbidity and co-morbidity groups did not differ significantly (p = 0.740 and 0.798 respectively). However, there were significant differences between admission type, with p = 0.016. Children with new admission type had the longest length of stay of 11 days (IQR 7–19) (Table 3).
Table 3.
Comparison of length of stay among under five children with SAM attending NEMMH, Southern Ethiopia
| Variables | Frequency | Median Length of stay in days | Inter quartile range (25–75) in days | *P-value |
|---|---|---|---|---|
| Morbidity (n = 433) | 0.740 | |||
| Kwashiorkor | 186 | 12 | 4–25 | |
| Marasmus | 140 | 8 | 3–18 | |
| Marasmic-Kwashiorkor | 107 | 12 | 8–36 | |
| Co-morbidity (n = 356) | 0.798 | |||
| AGE | 78 | 8 | 2–12 | |
| Diarrhoea | 39 | 11 | 3–24 | |
| PTB | 15 | 12 | 7–36 | |
| Pneumonia | 118 | 11 | 3–24 | |
| Others | 106 | 9 | 3–24 | |
| Admission type (n = 498) | 0.016 | |||
| New | 444 | 11 | 7–19 | |
| Repeat | 54 | 8 | 5–14 |
*Tested using Kruskal –Wallis
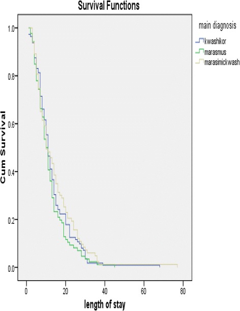
Total person time at risk is 4132 days. The incidence rate was estimated at 0.077 per day or 28.1 per year. The different survival times were depicted using Kaplan Meier survival curves. They compare the chances of survival in the different morbidity groups given that the child was admitted to paediatric ward for a specified number of days. Children with marasmus and repeated admission had reduced survival rates given that the children come from similar area, have similar co-morbidity, sex and age group (Figs. 1 and 2).
Fig. 1.

Survival estimates of child with diagnosis of SAM
Fig. 2.

Survival estimates among children with SAM and admission type
Cox hazard regression was also used to show the instantaneous risk of death given that the child was admitted to paediatric ward. It revealed that admission type was significant (p < 0.001). Children with new admission were 86% less likely to die than repeated admission given that the children were admitted to paediatric ward (HR: 0.14, 95% CI: (0.06, 0.35)) (Table 4).
Table 4.
Probability of death among under five children with SAM attending NEMMH, Southern Ethiopia
| Variables | Hazard ratio (CI) | *P-value |
|---|---|---|
| Morbidity (n = 433) | ||
| Kwashiorkor | 1.055(0.364,3.058) | 0.978 |
| Marasmus | 0.936(0.284,3.081) | 0.922 |
| Marasmic-Kwashiorkor | 1 | |
| Co-morbidity (n = 356) | ||
| AGE | 1 | 0.974 |
| Diarrhoea | 1.795(.298,10.810 | 0.523 |
| PTB | 5.899(0,947,36.755) | 0.057 |
| Pneumonia | 1.639(0.361,7.446) | 0.522 |
| Others | 1 | |
| Admission type (n = 498) | ||
| New | 0.140(0.057,0.348) | 0.001 |
| Repeat | 1 | |
*Tested by using chi-square
Morbidity and mortality trends
Generally, mortality trends vary irregularly in each year but morbidity trends decreased from 2012 to 2014 and increased from 2014 to 2015 (Figs. 3 and 4). Cuzick, a non-parametric test for trends was used to show the significance of the trends. The trends for morbidity were significant (P = 0.008) but the trends for mortality were insignificant (P = 0.851).
Fig. 3.

Morbidity trends of SAM from 2012–2015
Fig. 4.

Mortality trends from 2012–2015
Discussion
This study was conducted on 500 severely malnourished children admitted to Nigest Elleni Mohammad memorial hospital from January 2012 to December 2015 to investigate morbidity and mortality trends and factors associated with mortality of children with SAM.
The findings of the study showed that, mortality trends vary irregularly in each year, but morbidity trend decreased with admission from 2012 to 2014 and increased from 2014 to 2015. The morbidity trends in current study are in agreement with 2015 national report of Uncief. The report showed that, the number of children 6 months to 59 months with SAM admitted into therapeutic feeding programme is increasing every month. The south Ethiopia region has high trend of admission. The increase in admissions is attributed to the failure of the autumn rains that has greatly contributed to the deterioration of the food security in this region [11].
Kwashiorkor was seen as the most frequently recorded type of SAM and had highest presence of comorbid diseases. This is similar with some previous studies [6, 12, 13], but it is inconsistent with study conducted in Colombia [14]. The difference may be due to difference in causes of malnutrition and life styles in the regions.
This study showed no significant association of SAM and comorbid diseases. This is inconsistent with study done in south Ethiopia, which showed morbidity of the child by diarrhoea was associated with SAM [15]. The difference may be due to difference in study design.
Pneumonia was seen the commonest form of comorbid disease. This may be due to inhalation of part of the diet is a common cause of pneumonia in all malnourished patients. Patients should be closely observed whilst they are being fed by the caretaker to ensure that the correct technique is being used [9].
Children with new admission were 86% less likely to die than repeated admission. This may be due to deterioration of diseases in repeated admission, as a result the chance to recover may decreases.
The death rate in current study was 7%. This finding is consistent with the minimum international standards set for management of SAM which was less than 10%. It is also less than the death rate recorded in Jimma University specialized hospital, which was 9.3% [9, 13]. The difference may due to difference in patients load. But the death rate of this study is higher than the target set by federal minster of health, which showed less than 5% [16].
In current study, the average length of stay in the hospital was 11 days; this is consistent with the minimum international standard set for management of severe acute malnutrition, which showed average length of stay less than 30 days [9]. Study conducted in Jimma university specialized hospital and South Ethiopia showed longer average length of stay than current study [12, 13]. The may be due to difference in co-morbid diseases seen among the children.
Co-morbid diseases did not show significant effect on mortality of the children. This is differing from study done in Jimma university specialized hospital, which showed children with comorbidities were more likely to die than without comorbidities. This difference may be due to small sample sizes of current study [13].
This study has the following limitations:
Because of incompleteness, the HIV status has not been included.
The study did not consider biochemical findings and medical supplies that might have influenced outcomes.
The proportion of missing value on morbidity types is big.
Further studies should be done considering multi-factorial aspects including biochemical factors and medical supplies. Studies should also be done in the hospital including HIV status with strict follow up of recording HIV status of the under five children with SAM.
Conclusion
Mortality trends of SAM vary irregularly across the years but morbidity trends increased with admission from 2014 to 2015. An admission type was significantly associated with mortality. Morbidity and co-morbid diseases did not show significant effect on mortality of the children.
Health extension workers should promote good feeding practices and strong family planning service in families. The six strategies that have been found to promote proper nutrition in a community should be implemented by all stakeholders: Basic education, Healthy environment, Maternal and child care, Healthy social and family life, Proper agriculture and Public health measures.
Acknowledgements
We would like to thank Hossana College of Health Sciences Research and Community service for giving us this opportunity to conduct this research. We are also grateful for Nigest Elleni Mohamed memorial hospital administrative bodies, paediatrics ward staffs and data collectors for their cooperation during the entire process of data collection.
Funding
Hossana College of health science funded the research with the budget code of 6252. According to the proposal the funders ensured all the steps from design of study to dissemination.
Availability of data and materials
The datasets during and/or analysed during the current study available from the corresponding author on reasonable request.
Authors' contributions
TY and TL wrote the proposal, participated in data collection, analysed the data and drafted the paper. MA and TT approved the proposal, participated in data analysis and revised subsequent draft of the paper. All authors read and approved the final manuscript.
Competing interests
The authors declare that they have no competing interest.
Consent for publication
“Not applicable” in this section.
Ethics approval and consent to participate
Ethical consideration was obtained from ethics review committee of Hossana College of health sciences. Permission was obtained from NEMMH. Other concerned bodies of the hospital were informed about the study. Information retrieved was kept in the way that could not interfere in personal confidentiality.
Abbreviations
- AGE
Acute gastro enteritis
- CMAM
Community management of acute malnutrition
- HIV
Human immune deficiency virus
- IQR
Inter-quartile range
- NEMMH
Nigest Ellen Mohamed memorial hospital
- PTB
Pulmonary tuberculosis
- SAM
Severe acute malnutrition
- UNICEF
United Nations International Children's Emergency Fund
- WHO
World health organization.
Contributor Information
Tadele Yohannes, Email: Tadejoha@gmail.com.
Tariku Laelago, Email: tarikulalago@gmail.com.
Menen Ayele, Email: menentumelisan@gmail.com.
Temesgen Tamrat, Email: temsigentamrat58@yahoo.com.
References
- 1.WHO. Management of severe malnutrition: a manual for physicians and other senior health workers. Geneva: WHO; 1999.
- 2.WHO. Global strategy for infant and young child feeding. WHA 55/15, April 2002. [PubMed]
- 3.Bhan MK, Bhandari N, Bahl R. Management of the severely malnourished child: perspective from developing countries. BMJ Med J. 2003;326:146–51. doi: 10.1136/bmj.326.7381.146. [DOI] [PMC free article] [PubMed] [Google Scholar]
- 4.Alemu F. Assessment of the impact of malnutrition on children at Dilla referral hospital and unity paediatric clinic, Ethiopia. Int J Nutr Metabol. 2013;5(6):105–113. [Google Scholar]
- 5.UNICEF, WHO (World Health Organization)/World Bank . Levels and Trends in Child Malnutrition. New York, Geneva, and Washington, DC: UNICEF-WHO-The World Bank Joint Child Malnutrition Estimates; 2012. [Google Scholar]
- 6.Munthali E, Jacobs C, Sitali L, Dambe R, Michelo C. Mortality and morbidity patterns in under-five children with severe acute malnutrition (SAM) in Zambia: a five-year retrospective review of hospital-based records (2009–2013) Arch Public Health. 2015;73:23. doi: 10.1186/s13690-015-0072-1. [DOI] [PMC free article] [PubMed] [Google Scholar]
- 7.Demissie S, Worku A. Magnitude and Factors Associated with Malnutrition in Children 6–59 Months of Age in Pastoral Community of Dollo Ado District, Somali Region, Ethiopia. Sci J Public Health. 2013;1(4):175–183. doi: 10.11648/j.sjph.20130104.12. [DOI] [Google Scholar]
- 8.Caulfield LE, de Onis M, Blossner M, Black RE. Under nutrition as an underlying cause of child deaths associated with diarrhoea, pneumonia, malaria, and measles. Am J Clin Nutr. 2004;80(1):193–81. doi: 10.1093/ajcn/80.1.193. [DOI] [PubMed] [Google Scholar]
- 9.Ethiopia federal minster of health . Protocol for the management of severe acute malnutrition. Addis Ababa: FMOH; 2007. [Google Scholar]
- 10.FMOH. Program Implementation Manual of National Nutrition Program (NNP) - I. July 2008 –June 2013. Addis Ababa: Federal Ministry of Health; April 15, 2008.
- 11.UNCIEF. Ethiopia humanitarians report; situation in numbers. 2015.
- 12.Teferi E,LeraM, Sita S,Bogale Z,Datiko DG,Yasin MA,. Treatment outcomes of SAM admitted to therapeutic feedings centers in southern region of Ethiopia. Ethiop J health dev.2010; 24(3).
- 13.Habtemu J, Workicho A, Fessahaye A. Survival status and predictors of mortality in severe acute malnutrition admitted to Jimma University specialized hospital from 2010 to 2012 retrospective longitudinal survey. BMC Pediatrics. 2015;15:1–13. [DOI] [PMC free article] [PubMed]
- 14.Bernal C, Velasquel C, Alcaraz G, Bojero J. Treatment of severe malnutrition in children; experience in implementing the WHO guidelines in Turbo, Colombia. J Pediatric Gastroenterol Nutr. 2008;46(3):322–8. doi: 10.1097/MPG.0b013e318156c2c3. [DOI] [PubMed] [Google Scholar]
- 15.Dereje N. Determinants of Severe Acute Malnutrition among under-five Children in Shashogo Woreda, Southern Ethiopia: A Community Based Matched Case Control Study. Int J Res. 2014;1(6):339–363. [Google Scholar]
- 16.FMOH. Health Sector Development Programme IV 2010/11 – 2014/15. 2010.
Associated Data
This section collects any data citations, data availability statements, or supplementary materials included in this article.
Data Availability Statement
The datasets during and/or analysed during the current study available from the corresponding author on reasonable request.
