Abstract
In this work we describe methods for synthesizing and incorporating a wide range of photocleavable groups into proteins. These are based on the di-methoxyl nitro phenyl ethyl (DMNPE) group. Using a common ketone starting material, we have modified the DMNPE core with different peptides and small molecules. We describe how these can be incorporated into DMNPE either by solution or solid phase methods. In addition, we show how the ketone group can be effectively converted into a hydrazone group and ultimately into a diazo. The potential pitfall of azine formation is also delineated, as are the strategies for avoiding this side product. We then show how these modified diazo groups can then be reacted with the carboxyl groups of the protein to make the final ester product. Finally, we show how the ultimate product can be purified, and the products identified using 280 nm and 345 nm ratios, as well as ESI-MS characterization. The combined methods should allow the incorporation of many possible photocleavable groups into a range of proteins, and allow the ultimate properties of the modified protein to be subsequently toggled with light.
Keywords: Photocleavable groups, DMNPE, protein modification, photo-activated depot
Introduction
Controlling the activity of biomolecules with an external stimulus allows for the study of a wide array of chemical and biological systems. Such tools also have the potential to treat diseases. This is especially true for disease states that require fine temporal control of drug release, such as diabetes.(Bergenstal et al., 2010; Weissberg-Benchell, Antisdel-Lomaglio, & Seshadri, 2003) Recently, the activity of many biomolecules has been brought into control with the help of chemical and physical (mechanical, electrical, sound, light, etc.) stimuli.(Caldwell et al., 2018; He et al., 2017; Hernot & Klibanov, 2008; Kost, Wolfrum, & Langer, 1987; Nappini, Al Kayal, Berti, Norden, & Baglioni, 2011; Pinheiro, Baptista, & Lima, 2008; Wu, Deiters, Cropp, King, & Schultz, 2004) Light is a useful trigger for biological molecules, because light itself is relatively easy to manipulate in space and time.
Proteins are a particularly useful class of molecules to bring under light control as they perform a wide array of critical biochemical functions and can also be associated with disease states. Attaining light control of proteins provides us an opportunity to better understand these functions, or more effectively treat diseases. Cellular processes such as protein localization and protein-protein interactions have also been studied using this approach.(Caldwell et al., 2018; Priestman & Lawrence, 2010)
In our lab, we have used light to control the release of therapeutic proteins from injectable dermal depots.(P. K. Jain, D. Karunakaran, & S. H. Friedman, 2013; K. Nadendla & S. H. Friedman, 2017; Sarode, Jain, & Friedman, 2016; Sarode, Kover, Tong, Zhang, & Friedman, 2016) This requires the incorporation of photocleavable (PC) groups that link to solubility-modulating moieties (polymers, peptides or small molecules). We called this the Photoactivated Depot or PAD approach. The PAD approach was developed as the insulin delivery component of an artificial pancreas. An artificial pancreas mimics the functions of a normal pancreas, namely blood glucose detection and insulin release. Typically, the artificial pancreas consists of an insulin pump, a continuous blood glucose monitor and an algorithm that translates blood glucose information into a required dose, delivered by the insulin pump. Insulin pumps have reservoirs, which deliver the required insulin dose into the body through a cannula. This cannula is the major weakness of the system, as it is easily crimped, snagged, or dislodged. More importantly, it is readily biofouled, leading to occlusion and variable delivery. We are attempting to avoid many of these issues by using the minimally invasive PAD approach. In this, an LED light source placed over the skin at the site of depot can trigger the release of insulin with the help of a transcutaneous irradiation. The amount of therapeutic insulin released from the depot can also be adjusted by varying the intensity of light from the light source. Thus, the photoactivated insulin approach can be used to capture the continuously variable release enabled by pumps, without their associated weaknesses.
This chapter will focus on the chemical methods that we have used to modify proteins with photocleavable (PC) groups as a way of linking solubility modulating moieties. Chemical methods have strengths and weaknesses in comparison to genetic methods. The advantage is that they can be conveniently applied directly to native proteins, and the properties of the PC groups can be readily varied. Genetic methods have the advantage of greater homogeneity and potentially ease of production, once the higher cost of system development has been paid. We have found the methods described below to be an efficient way of introducing photo-toggled property modulation into insulin and related proteins.
Methods
Materials
| Name | Vendor | Catalog # |
|---|---|---|
| Acetic acid | Fisher Scientific | A38S-500 |
| Acetone | Fisher Scientific | A18-4 |
| Acetonitrile (ACN) | Fisher Scientific | A998-4 |
| Chemmatrix Rink amide resin | PCAS BioMatrix Inc | 1744 |
| Dichloromethane (DCM) | Fisher Scientific | D151-4 |
| Diethyl ether | Acros Organics (Fisher Scientific) | 61508-0010 |
| Dimethyl sulfoxide (DMSO) | Fisher Scientific | D128-4 |
| Ethanol | Acros Organics (Fisher Scientific) | 61509-0010 |
| Human recombinant insulin | SAFC (Sigma Aldrich) | 91077C-1G |
| Hydrazine monohydrate 65% | Sigma Aldrich | 207942-100G |
| Hydrochloric acid (1 N) | Fisher Scientific | SA48-4 |
| Manganese (IV) oxide | Sigma Aldrich | 217646-100G |
| N-methylpyrrolidone (NMP) | Fisher Scientific | BP1172-4 |
| N,N-diisopropylethylamine (DIEA) | Fisher Scientific | BP592-500 |
| O-(7-Azabenzotriazol-1-yl)-N,N,N′,N′-tetramethyluronium hexafluorophosphate (HATU) | Chemimpex Int. Ltd. | 12881 |
| Sigmacote | Sigma Aldrich | SL2-100ML |
| Trifluoroacetic acid (TFA) | Fisher Scientific | O4901-500 |
The PC group we have used most extensively is the dimethoxy nitro phenyl ethyl (DMNPE) group. We use a modified DMNPE that incorporates an additional carboxylate function (Compound 1, Figure 1). This intermediate was originally synthesized by Holmes.(Holmes, 1997) The additional COOH allows us to readily condense any amine with different chemical properties on the DMNPE moiety imparting desirable properties to the PC group and ultimately to the protein after conjugation. We have effectively used resin-bound amines as well as solution phase amines.
Figure 1. Overall reaction scheme.

A) Solid phase synthesis of DMNPE hydrazones on solid phase. B) Solution phase synthesis of DMNPE hydrazones. C) Incorporation of both solution and solid phase derived DMNPE-diazo compounds into proteins.
Our general strategy is to convert the resulting ketone into a hydrazone and finally into a diazo group, which can then react with the protein through esterification of the carboxylates on proteins (termini/side chains).(Chibnall, Mangan, & Rees, 1958; P. K. Jain et al., 2013; K. Nadendla & S. H. Friedman, 2017; Ruttenberg, 1972; Wilcox, 1967) Figure 1 summarizes the overall approach, described in detail below. We have confirmed the carboxyl group as the site of reaction by demonstrating an increase in protein isoelectric point after the reaction, showing the acidic nature of the modification site (i.e. the carboxyl groups).(K. Nadendla & S. H. Friedman, 2017)
Condensation of amine of interest with compound 1
As discussed above, an amine of interest is coupled to the carboxylic acid on compound 1 prior to the conversion of ketone into hydrazone. A wide range of amines have been incorporated including neutral, hydrophobic (unpublished), peptidic and positively charged amines. The amines in Figure 2 have all been successfully incorporated into insulin by our group.(Piyush K Jain, Dipu Karunakaran, & Simon H Friedman, 2013; Karthik Nadendla & Simon H Friedman, 2017) Coupling reactions are performed either in solution or on solid phase, depending on the nature of amine. Methods are discussed below for each approach.
Figure 2.

Example amines used to modify DMNPE and subsequently attach to proteins.
Condensation of the amine of interest with compound 1 in solution
Weigh 40 mg (150 μmol, 60 mM) of compound 1 and dissolve in 2.5 ml of anhydrous NMP.
Dissolve 56.5 mg (150 μmol, 60 mM) of HATU in the above solution and let the mixture stand for 5 minutes.
To the above solution, add 124 μl (750 μmol, 300 mM) DIEA.
Then add 165 μmol of amine of interest.
Stir the contents to make the solution homogenous and allow to react for 3 hours.
Depending on the nature of amide product, an ideal purification method can be chosen (partitioning/silica chromatography/preparative HPLC). Reversed phase (C18) chromatography (0-100% acetonitrile gradient, with 0.1% TFA in solvents) can resolve the contents in typical reaction mixtures. The amide fraction can be identified by collecting all peaks (monitored at 345 nm) and infusing each fraction on an ESI-MS. Fractions showing the M+1 mass when run on a positive ion mode contains the amide product. The fractions of all runs should be pooled, dried under vacuum and stored at −20 °C until used for the next reaction.
Condensation of an N-terminus of a peptide with compound 1 on solid phase
Peptides can be linked to compound 1’s carboxylic acid either on solid phase or in solution. However, it is advantageous to perform this condensation on solid phase for two reasons – a) if the peptide has a side chain that interferes with coupling reaction (for instance lysine), normal solid phase side chain protection will prevent this or b) if the successive reaction (hydrazone synthesis) cannot be performed in solution. For example, some hydrophobic peptides can be insoluble in many polar solvents including acetonitrile in which the synthesis is usually performed.
We have found success using a Chemmatrix Rinkamide resin (PEG based) for two reasons – a) synthesis results in a peptide with C terminal amide which does not interfere with successive reactions, and b) it is observed that the successive reaction (conversion of ketone to hydrazone) was unsuccessful when a polystyrene based resin was used. This will be elaborated upon shortly.
A typical protocol for linking a resin-bound peptide to compound 1 is as follows:
Dissolve 0.2 g (750 μmol, 300 mM) of compound 1 in 2.25 ml anhydrous NMP.
Add 0.29 g (750 μmol, 300 mM) of HATU to activate compound 1. Let the materials dissolve and allow for activation for another 5 minutes.
To the above mixture, add 250 μl (1.5 mmol, 600 mM) of DIEA.
Transfer this activated mixture immediately to a peptide synthesis reaction vessel containing 306 mg (150 μmol) of Chemmatrix Resin linked with a peptide (terminated in a free amine, i.e. Fmoc deprotected). Gently rotate the peptide synthesis vessel.
After 3 hours of reaction, wash the solid phase thoroughly with NMP and then DCM.
Dry the solid phase to remove any traces of DCM using nitrogen gas flow or vacuum.
Store the modified peptide on solid phase at −20 °C until the used for next reaction.
Conversion of the ketone into a hydrazone
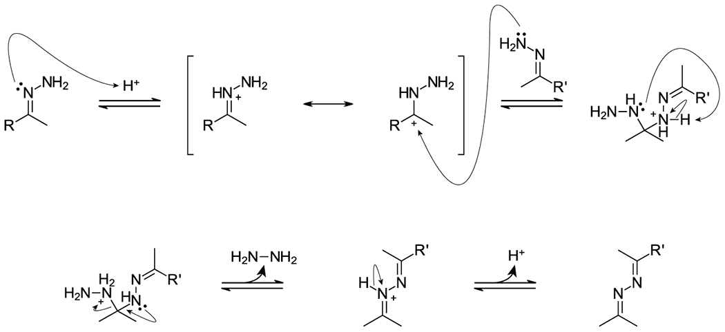
The resulting ketone, whether generated by solution or solid phase, is converted into a hydrazone by a reversible carbonyl addition reaction with hydrazine. It should be noted that many hydrazones are unstable. After the formation of the hydrazone and its purification from a reaction mixture, there is a potential for hydrazones to react with each other to form azines (Figure 3). This formation is a bimolecular reaction, i.e., the rate of formation of azines is dependent on the concentration of reactants (both reactants being two hydrazone molecules). We have observed that the rate of azine formation is significantly lowered if the hydrazone solutions are handled at lower concentrations. For similar reasons, it is recommended to not store hydrazones, but use them immediately for the successive diazotization reaction.
Figure 3.

Mechanism of azine formation.
Since the ketone derivatives are synthesized either in solution or on solid phase, conversion into a hydrazone is also performed in respective conditions. In order to drive the reaction forward, the ketone is reacted with an excess of hydrazine at higher temperatures. Excess hydrazine not only assures ~100% conversion of ketone, but also prevents the formation of azines. The solvent of choice is acetonitrile as it is polar and volatile and can be easily removed by evaporation. However, mixtures of solvents may be used to assist in solvation of ketone. Pure hydrazones are usually seen as two closely eluting peaks on chromatography. We have interpreted this as the E/Z isomers, which resolve on chromatographic columns (normal and reversed phase) and have identical molecular weights. Methods for synthesis and purification are discussed below.
Hydrazone formation from ketones in solution
In a glass reaction vessel, dissolve 100 μmol (30 mM) of ketone in 3.3 ml of ethanol:acetonitrile (1:1) mixture. Note that the ratio of ethanol:acetonitrile may be varied depending on the solubility of ketone. For example, ethanol:acetonitrile ratio can vary as much as 1:9 for more hydrophobic ketones.
Add 30 μl (500 μmol) glacial acetic acid and mix the contents.
To this mixture, add 100 μl of 65% hydrazine monohydrate. Mix the contents.
Seal the reaction vessel and incubate it on a heat block at 90°C, in the fume hood. We typically have used heavy glass vials for this. The capped vial is a convenient way of retaining the solvent under modest pressure and temperature but is not without risk. Caution should be used with any sealed heated vessel. In our case, the heavy metal heat block provides some measure of protection. Remove the reaction from the heat block after 4 hours, let the reaction vessel cool down to room temperature in the hood with the sash down. Upon cooling to room temperature open the vessel. Purify and dry the hydrazone, which should be used immediately for the next reaction.
An ideal purification method is chosen based on the nature of the product. We have purified neutral and hydrophobic hydrazones successfully by silica chromatography. Peptidic and polar hydrazones cannot be purified by normal phase chromatography as they bind tightly to the column and do not elute. In these cases, reverse phase (C18) preparative HPLC should be used to purify such hydrazones. Some positively charged hydrazones can be obtained by precipitating out of the reaction mixture directly with cold diethyl ether. In such cases, pure hydrazone precipitate can be obtained as a pellet after centrifugation, and supernatant containing excess reagents and solvents can be discarded.
Conversion of peptidic ketones into hydrazones on solid phase
As discussed earlier, this reaction in our hands is most effective on a PEG based Chemmatrix Rinkamide resin. Reactions attempted on a polystyrene resin were unsuccessful.
Suspend 205 mg (100 μmol, 30 mM) Chemmatrix Rinkamide resin in 3.4 ml NMP:ethanol (9:1) solvent mixture.
Add 17.2 μl (300 μmol, 88 mM) glacial acetic acid and mix thoroughly.
To the above mixture, add 194 μl 65% hydrazine monohydrate.
Immediately seal the vessel tightly. As described above, take caution with any sealed and heated vessel that may break. Shake the reaction vessel to suspend the solid phase homogenously, at 60°C for 18 hours. We have used a heated shaker for this in the hood.
Wash the solid phase extensively with NMP, followed by DCM. Dry the resin under vacuum.
To cleave the peptide hydrazone off the solid phase, add 10 ml 95% TFA 5% water mixture to the dried resin. Allow the cleavage reaction to continue with shaking for 1 hour.
Collect the TFA solution of peptidic hydrazone by filtration into a flask. Wash resin with additional TFA to extract any traces left.
Evaporate TFA from the flask using your method of choice.
After evaporation is completed, dissolve the crude product in DMSO. Purify the peptidic hydrazone by preparative C18 chromotography by injecting this DMSO solution on to the column. Use a 0-100% acetonitrile gradient, with the mobile phases containing 0.1% TFA. Monitor the chromatogram at 345 nm.
The hydrazone fraction (identified by ESI-MS) should be dried in vacuum using a rotovap as quickly as possible to prevent formation of azines.
This dried hydrazone should be used immediately for the successive diazotization reaction.
Diazotization of hydrazones
The dried, purified hydrazones discussed in the previous sections are to be oxidized immediately and reacted with the target protein. Many oxidizing agents such as manganese dioxide, silver oxide, peroxyacetic acid can possibly be used to obtain the diazonium species.(Adamson et al., 1975; Day, Raymond, Southam, & Whiting, 1966; Morrison, Danishefsky, & Yates, 1961) We will discuss the method of oxidation with manganese dioxide which is what we routinely use. This reaction is straightforward and performed in anhydrous DMSO in which manganese dioxide is insoluble. Therefore, unconsumed manganese dioxide can be easily removed from the reaction mixture by either filtration or centrifugation and the DMSO contains only the diazonium species for reaction with the protein. Other reagents such as peroxyacetic acid are soluble in DMSO which does not allow easy removal from the reaction mixture. This may cause complications when the reaction mixture is added to the protein solution. Thus, we have found that manganese dioxide is a superior reagent for this reaction.
-
Dissolve the dried hydrazone in a minimal amount of anhydrous DMSO. Quantify the concentration of this DMSO hydrazone solution using UV spectroscopy (extinction coefficient 4470 M−1 cm−1 at 345 nm for DMNPE hydrazones). Add additional DMSO to adjust the final concentration of the solution to 11 mM.
It should be noted that non-peptidic hydrophobic and neutral hydrazones were observed to be stable at concentrations as high as 165 mM but the lower 11mM concentration helps protect against azine formation.
Transfer 4.5 ml (50 μmol) of the hydrazone solution into a reaction vessel.
Add 1.8 g (20.7 mmol) of manganese (IV) oxide and shake the reaction vigorously for 45 minutes at room temperature.
Centrifuge the reaction mixture at 15,000g for 4 minutes.
Collect the clear red solution of diazonium species (supernatant). The visually observed red color can be confirmed by examining a small amount of the sample using UV/visible spectroscopy. An absorption band at 450 nm indicates the diazonium species. No further characterization is typically done at this point.
Wash the manganese oxide pellet with additional 15 ml of DMSO to extract any diazo trapped in the pellet. Pool all the supernatants and use this for the reaction with protein immediately.
Reaction of the diazonium with protein
Diazonium compounds are known to react preferably with carboxylic acids on proteins either on aspartic acid and glutamic acid side chains or at the C terminus. We have demonstrated this by observation of pI shifts towards the basic in insulin upon the reaction with DMNPE-diazo. The only acidic groups present are carboxyl groups in aspartic and glutamic acids. The diazo compounds can also react rapidly with nucleophiles such as water and hence we have typically not isolated and purified them. The method described here is optimized for the solvent DMSO using the protein insulin. Insulin being a small and highly constrained protein, is relatively robust and resistant to denaturation. Reactions on other proteins having higher molecular weights may need to be performed in aqueous buffers. This can lead to high background diazo hydrolysis rates, and reagent inactivation. A potential solution to this problem is to simply increase the concentration of diazo-DMNPE derivative in the reaction. For example, in a related system, we successfully reacted diazo-DMNPE with the phosphate groups of double stranded RNA in a predominantly aqueous environment. This was successful but required a hundred fold or more ratio of excess diazo to phosphate group to allow product to form despite significant reagent hydrolysis.(P. K. Jain et al., 2013)
In the case of proteins like insulin that are soluble in DMSO or similar non-nucleophilic solvents, we can use a ratio of 1:1 for the diazo to protein. This is to ensure that only one carboxylic acid per protein is esterified with the diazo group. We confirm this by ESI-MS analysis after HPLC purification. However, if it is required to have multiple ester modifications on a single protein, the ratio may be adjusted to obtain the desired product.
Weigh 290.4 mg (50 μmol) of insulin and dissolve it in 5.25 ml anhydrous DMSO.
After the diazotization reaction (discussed above), add 19.5 ml of the pooled diazo supernatant to the protein solution. Final concentration of both the reactants will be 2 mM.
Allow the reaction to proceed for 24 hours, protected from light.
Purify the protein-PC conjugate by C18 chromatography on a 0-100% acetonitrile gradient with 0.1% TFA in mobile phases. A typical run is shown in Figure 4, depicting the reaction of insulin with DMNPE modified with cyclododecyl amine. Unreacted protein can be distinguished from the protein-PC adducts based on the absorbance at 280 nm and 345 nm. Unreacted protein will only have an absorbance at 280 nm, but the protein-PC conjugate will have absorbance at both 280 + 345 nm in a ratio that depends on the protein. Depending on the quality of the HPLC separation, multiple mono-adduct region-isomers peaks can be observed. These will all have the same 280 nm to 345 nm ratio, and show the same mass when analyzed by ESI-MS. Di-adducts show lower 280 nm to 345 nm ratios, as the proportion of 345nm absorbing DMNPE is higher. In the case of insulin, the 280:345 ratio is ~2:1 for mono-adducts, and ~1:1 for di-adducts. This ratio is a very useful way of identifying products during purification runs, for later confirmation by MS.
To determine the mass of protein conjugates, prepare a 10 μM solution of HPLC purified protein in 0.01 N HCl (~1 nmol in 100 μL). This ensures that the protein is positively charged and therefore can be detected on an electrospray ionization mass spectrometer (ESI-MS). We have exclusively used an AB Sciex QTrap 3200 mass spectrometer in the positive polarity and Enhanced Multiply Charged (EMC) scan mode. In addition we typically use a source temperature of 100°C, declustering potential of 20 V, entrance potential of 8 V and collision energy ov 10 V. We set the (a) collisionally activated dissociation, (b) curtain gas, (c) ion source gas 1 and (d) ion source gas 2 to (a) high, (b) 30 psi, (c) 30 psi and (d) 10 psi respectively. Data is collected at a scan rate of 1000 amu/sec for a mass range 800 – 1700 amu. Q0 trapping should be enabled to allow recording with high signal to noise ratio. Infuse the sample at 10 μL/min and record the data for about 10-100 cycles, depending on the total intensity of ions detected (infusion may be interrupted if the total ion concentration of any mass exceeds 108). Process the raw data with the Bayesian Protein Reconstruct tool which is a part of AB Sciex’s Analyst Biotools package. This tool makes use of raw data for multiple multiply charged species and calculates the actual mass of the protein. For example, infusion of unmodified insulin (M = 5808 amu) yields peaks with following m/z values: 1452, 1161.6, 968 and 829.7, which correspond to M/4, M/5, M/6 and M/7 species of insulin respectively, when recorded for masses between 800 – 1700 amu. The Bayesian Protein Reconstruction tool identifies these m/z species and uses them to reconstruct M. Any small errors in the m/z species identified by ESI-MS (such as ±0.5 amu) may be propagated during the calculation of reconstructed mass. Hence, the reconstructed mass may differ from the theoretical mass by ±3 amu. Unmodified protein can be used as a standard to estimate this error in the calculation of the reconstructed mass of the modified protein. Using a standard of known mass (such as regular human insulin with a mass of 5808) to correct, we can routinely achieve determined masses within 0-1 amu of the expected. The parameters described above work for most peptides but may be adjusted.
Figure 4. Sample analysis of protein/DMNPE derivative reaction products.

DMNPE modified with cyclododecyl amine is reacted with insulin as described in the text. HPLC run monitored at both 280 nm, diagnostic of protein, and 345nm diagnostic of the DMNPE group. The ratio of the signal at 280 nm and 345 nm can be used to differentiate mono and di-adducts, ultimately confirmed by ESI-MS as shown. Multiple peaks showing identical masses on ESI-MS represent regioisomers from multiple possible carboxyl group reaction sites.
Summary
We have established methods for synthesizing and attaching derivatives of DMNPE to proteins. Modified DMNPE reagents with a range of chemical attributes, including neutral, hydrophobic, and positive charges have been synthesized using these methods and effectively conjugated to proteins, suggesting a robust approach. Our aim in developing these methods has been to conveniently but transiently modify the physical properties of insulin and related proteins, specifically solubility. As described, the purpose of this transient reduction in solubility is to allow for the formation of a cutaneous depot that remains at the site of injection. Transcutaneous irradiation can then cleave the PC group, revealing native soluble protein. Light is a powerful and useful trigger, as it can be easily manipulated in space, timing, and degree. All of these parameters are critical for control of drug delivery, but are also critical for understanding and manipulating a wide range of biology. Our hope is that the protocols that we have described will be useful for enabling studies in these broad areas.
Acknowledgements
We acknowledge National Institute of Diabetes and Digestive and Kidney Diseases of the National Institutes of Health (DP3DK106921), University of Missouri Fast Track Award and the UMKC School of Pharmacy Dean’s Bridge Fund for financial support.
References
- Adamson JR, Bywood R, Eastlick DT, Gallagher G, Walker D, & Wilson EM (1975). Amino-acids and peptides. Part II. A new method for preparing diazodiphenylmethane and related compounds. Journal of the Chemical Society, Perkin Transactions 1(20), 2030–2033. [Google Scholar]
- Bergenstal RM, Tamborlane WV, Ahmann A, Buse JB, Dailey G, Davis SN, … Welsh JB (2010). Effectiveness of sensor-augmented insulin-pump therapy in type 1 diabetes. New England Journal of Medicine, 363(4), 311–320. [DOI] [PubMed] [Google Scholar]
- Caldwell RM, Bermudez JG, Thai D, Aonbangkhen C, Schuster BS, Courtney T, … Good MC (2018). Optochemical Control of Protein Localization and Activity within Cell-like Compartments. Biochemistry, 57(18), 2590–2596. [DOI] [PMC free article] [PubMed] [Google Scholar]
- Chibnall AC, Mangan JL, & Rees MW (1958). Studies on the amide and C-terminal residues in proteins. 3. The esterification of proteins. Biochem J, 68(1), 114–118. [DOI] [PMC free article] [PubMed] [Google Scholar]
- Day A, Raymond P, Southam R, & Whiting M (1966). The preparation of secondary aliphatic diazo-compounds from hydrazones. Journal of the Chemical Society C: Organic, 467–469. [Google Scholar]
- He R-Y, Chao S-H, Tsai Y-J, Lee C-C, Yu C-Y, Gao H-D, Huang JJ-T. (2017). Photocontrollable Probe Spatiotemporally Induces Neurotoxic Fibrillar Aggregates and Impairs Nucleocytoplasmic Trafficking. ACS nano, 11(7), 6795–6807. [DOI] [PubMed] [Google Scholar]
- Hernot S, & Klibanov AL (2008). Microbubbles in ultrasound-triggered drug and gene delivery. Advanced drug delivery reviews, 60(10), 1153–1166. [DOI] [PMC free article] [PubMed] [Google Scholar]
- Holmes CP (1997). Model Studies for New o-Nitrobenzyl Photolabile Linkers: Substituent Effects on the Rates of Photochemical Cleavage. Journal of Organic Chemistry, 62(8), 2370–2380. [DOI] [PubMed] [Google Scholar]
- Jain PK, Karunakaran D, & Friedman SH (2013). Construction of a photoactivated insulin depot. Angewandte Chemie International Edition, 52(5), 1404–1409. [DOI] [PubMed] [Google Scholar]
- Jain PK, Karunakaran D, & Friedman SH (2013). Construction of a photoactivated insulin depot. Angew Chem Int Ed Engl, 52(5), 1404–1409. doi: 10.1002/anie.201207264 [DOI] [PubMed] [Google Scholar]
- Kost J, Wolfrum J, & Langer R (1987). Magnetically enhanced insulin release in diabetic rats. Journal of biomedical materials research, 21(12), 1367–1373. [DOI] [PubMed] [Google Scholar]
- Morrison H, Danishefsky S, & Yates P (1961). Communications-Preparation of α-Diazo Ketones. The Journal of Organic Chemistry, 26(7), 2617–2618. [Google Scholar]
- Nadendla K, & Friedman SH (2017). Light Control of Protein Solubility Through Isoelectric Point Modulation. J Am Chem Soc, 139(49), 17861–17869. doi: 10.1021/jacs.7b08465 [DOI] [PMC free article] [PubMed] [Google Scholar]
- Nadendla K, & Friedman SH (2017). Light Control of Protein Solubility Through Isoelectric Point Modulation. Journal of the American Chemical Society, 139(49), 17861–17869. [DOI] [PMC free article] [PubMed] [Google Scholar]
- Nappini S, Al Kayal T, Berti D, Norden B, & Baglioni P (2011). Magnetically triggered release from giant unilamellar vesicles: visualization by means of confocal microscopy. The Journal of Physical Chemistry Letters, 2(7), 713–718. [Google Scholar]
- Pinheiro AV, Baptista P, & Lima JC (2008). Light activation of transcription: photocaging of nucleotides for control over RNA polymerization. Nucleic acids research, 36(14), e90–e90. [DOI] [PMC free article] [PubMed] [Google Scholar]
- Priestman MA, & Lawrence DS (2010). Light-mediated remote control of signaling pathways. Biochimica et Biophysica Acta (BBA)-Proteins and Proteomics, 1804(3), 547–558. [DOI] [PMC free article] [PubMed] [Google Scholar]
- Ruttenberg MA (1972). Human insulin: facile synthesis by modification of porcine insulin. Science, 177(4049), 623–626. [DOI] [PubMed] [Google Scholar]
- Sarode BR, Jain PK, & Friedman SH (2016). Polymerizing Insulin with Photocleavable Linkers to Make Light-Sensitive Macropolymer Depot Materials. Macromol Biosci, 16(8), 1138–1146. doi: 10.1002/mabi.201500471 [DOI] [PMC free article] [PubMed] [Google Scholar]
- Sarode BR, Kover K, Tong PY, Zhang C, & Friedman SH (2016). Light Control of Insulin Release and Blood Glucose Using an Injectable Photoactivated Depot. Mol Pharm, 13(11), 3835–3841. doi: 10.1021/acs.molpharmaceut.6b00633 [DOI] [PMC free article] [PubMed] [Google Scholar]
- Weissberg-Benchell J, Antisdel-Lomaglio J, & Seshadri R (2003). Insulin pump therapy: a meta-analysis. Diabetes care, 26(4), 1079–1087. [DOI] [PubMed] [Google Scholar]
- Wilcox PE (1967). Esterification of proteins. Methods Enzymol, 11, 605–617. [Google Scholar]
- Wu N, Deiters A, Cropp TA, King D, & Schultz PG (2004). A genetically encoded photocaged amino acid. Journal of the American Chemical Society, 126(44), 14306–14307. [DOI] [PubMed] [Google Scholar]
