Abstract
Bats are known reservoirs for numerous emerging infectious diseases, occupy unique ecological niches, and occur globally except for Antarctica. Given their impact on human and agricultural health, it is critical to understand the mechanisms underlying immunocompetence in this reservoir host. To date, few studies have examined immune function in the Order Chiroptera, particularly among natural colonies of bats. The phytohemagglutinin (PHA) skin test has been widely used to measure delayed-type cellular immune response in a wide variety of vertebrates, and has been routinely employed in immunoecological studies. Although this test is frequently described as a measure of T cell proliferation, recent studies indicate it may represent a combination of immune responses. In mammals, the immune response is differentially, temporally and spatially regulated, therefore, we characterized the infiltrating leukocyte response to the PHA skin test in bats by examining a time-series of histological sections from PHA and saline injection areas in 41 Brazilian free-tailed bats (Tadarida brasiliensis). Results suggest that bats exhibit diverse leukocyte traffic within 6 h, and up to 24 h following subcutaneous PHA injection. There was a significant presence of lymphocytes and neutrophils, as well as eosinophils, basophils, and macrophages observed in the PHA-injected tissues, compared with saline-injected control tissues. We observed a highly significant negative correlation between the number of lymphocytes and neutrophils in PHA-injected tissue, with peak lymphocyte response at 12 h, and peak neutrophil response at 24 h post-injection. These results indicate substantial variation in the immune response of individuals, and may aid our understanding of disease emergence in natural populations of bats.
Keywords: Bat, Cellular immune response, Phytohemagglutinin
Introduction
Bats have been increasingly recognized as reservoirs of high-consequence human pathogens, such as Ebola (Leroy et al. 2005, 2009) and Marburg (Swanepoel et al. 2007; Towner et al. 2009) filoviruses, Nipah (Johara et al. 2001), Hendra (Halpin et al. 1996) and other paramyxoviruses (Chua et al. 2001), coronaviruses (Carrington et al. 2008; Dominguez et al. 2007; Gloza-Rausch et al. 2008; Li et al. 2005; Muller et al. 2007) and lyssaviruses (Kuzmin and Rupprecht 2007). To model and predict how and when these infectious diseases emerge, there has been increasing interest in understanding seasonality in immunological competence as it relates to epizootiology in natural reservoir populations (Dimitrov and Hallam 2009; Halpin et al. 2007). One approach is to investigate variation in disease prevalence in natural host populations in relation to individual and group immune competence, which may non-exclusively be affected by seasonal life history, nutritional status, physiology, behavior, and ecology (Klein 2000; Nelson and Demas 1996; Schuurs and Verheul 1990; Zuk 1996). Currently, there are relatively few assays that have been adapted successfully to field use for investigating the immune dynamics of free-ranging animals, particularly where re-capture probabilities may be low. One exception has been the phytohemagglutinin (PHA) skin test, which is used to measure a delayed-type hypersensitivity (DTH) response through mitogenic activation of lymphocytes (Bonforte et al. 1972; Lawlor et al. 1973; Stadecker et al. 1977). The PHA skin test has previously been reported to result in T cell proliferation with in vitro and in vivo models (Naspitz and Richter 1968). This assay has been employed in a variety of immunoecological studies for mammals (Allen et al. 2009; Christe et al. 2000; Gouy de Bellocq et al. 2006, 2007; Lehmer et al. 2007), birds (Martin et al. 2006), reptiles (Berger et al. 2005; Kahn et al. 2007), and amphibians (Gervasi and Foufopoulos 2008) to investigate the cellular immune response in relation to presumptive energetic trade-offs associated with life history, endocrine dynamics, parasitism, disease, and toxicology (Klasing 2004; Lee 2006). Prior studies using the PHA skin test in bats have suggested that energetic trade-offs with life history or roost ecology may limit the response of different cohorts of individuals (Allen et al. 2009; Christe et al. 2000). Variation in host immunocompetence may be a critical factor in understanding the seasonality of disease emergence and persistence in wildlife reservoirs (Altizer et al. 2006; Nelson et al. 2002).
Recent debate has questioned the interpretation of PHA injection-site swelling as an index of T cell-mediated immunocompetence (Kennedy and Nager 2006; Martin et al. 2006). Notably, other leukocytes (basophils, neutrophils, and eosinophils) may be primarily responsible for localized vasodilatation, infiltration and edema, resulting in inflammation of the PHA injection site (Goto et al. 1978; McCorkle et al. 1980; Stadecker et al. 1977). Recently, a study by Tella et al. (2008) used flow cytometry to demonstrate a significant presence of T helper (Th) and cytotoxic T cell (CTL) subsets in the peripheral circulation of birds injected with PHA. Macroscopic swelling was only found to significantly correlate with the circulating level of CTLs, and the authors suggest that both non-specific and specific axes of the immune system are responding to the in vivo PHA test in birds (Tella et al. 2008). Typically, most studies using the PHA skin test as a measure of immunocompetence examine only superficial measurements of macroscopic swelling following subcutaneous (SC) PHA injection, without histological characterization or flow-cytometry analysis. Identifying the leukocytes responsible for localized infiltration following the PHA skin test is necessary for proper interpretation of macroscopic swelling in relation to the immune response of an individual.
This study examines histological sections of biopsied tissue injection areas taken from individual wild-caught bats, following SC injection with PHA or saline only, at time points of 6, 12 and 24-h post-injection. We characterize the infiltration of leukocytes to the injection area, and evaluate the correlation of leukocyte infiltration to measurements of macroscopic swelling. Previous studies in humans have recognized a reduced response to the PHA skin test in infants and young children (Bonforte et al. 1972; Lawlor et al. 1973). Furthermore, a study of rabies infection in Brazilian free-tailed bats suggested that juvenile bats may be immunocompromised during early weeks of life (Constantine 1986). These findings motivated age stratification in our sampling scheme, to test the hypothesis that juvenile bats may have a reduced response to PHA injection when compared with adult bats.
Materials and methods
Animal sampling
All capture and handling protocols were compliant with the University of Tennessee Institutional Animal Care and Use Committee and the American Society of Mammalogists Guidelines for the Use of Wild Mammals in Research (Gannon et al. 2007), and were authorized under Texas Parks and Wildlife permit SPR-0305-058. A total of 26 adult (1 male, 25 females) and 15 juvenile (7 males, 8 females) Brazilian free-tailed bats were captured in flight using hand nets between 21:00 and 22:00 on July 21, 2008 and July 22, 2008 at the entrance of Frio Cave in Uvalde County, TX (29°26.0927′N, 99°41.0774′W). All bats were immediately freed from netting, placed into individual cloth bags, and transported to a nearby field station for experimental treatments. Following completion of experiments, standard morphological measurements were taken from all bats, including age, mass, sex and forearm length. We did not score the reproductive condition of adult female bats, although the timing of our sampling corresponds to a period when most females are in the later stages of the lactation period, typically characterized as early June through early August (Reichard et al. 2009).
Challenge and tissue collection
Of the 41 bats, we took subsamples of 13–14 bats to obtain even ratios of adults and juveniles, and of juvenile males and females for each time point. Within 2 h of capture, bats were injected SC with lyophilized phytohemagglutinin (Phaseolus vulgaris PHA-P #L8754; Sigma, USA) dissolved in sterile phosphate-buffered saline (PBS) (3 mg/ml), or sterile PBS alone (Allen et al. 2009). Injections were administered in the interfemoral membrane (uropatagium) below the knee at the point of contact with the leg. Prior to injection, the area of the membrane adjacent to each leg was measured with a digital micrometer to the nearest 0.001 mm (Mitutuyo #293-230, Japan). Measurements of all injection areas pre- and post-injection were performed by the same person (AST), and were taken twice and averaged. The experimental area was injected with 0.05 ml of the PHA solution and the contralateral control area was injected with 0.05 ml of sterile PBS only. At time intervals of 6, 12, and 24-h post-injection, swelling measurements were taken immediately prior to aseptic tissue biopsy of PHA and PBS injection areas with a 3-mm dermal punch (Miltex, Inc., PA, USA). Biopsies were taken using one tool per bat, with flame-sterilization between coring the PBS and PHA injection areas. Following biopsy, the cored area was treated with Chlor-A-Flush (lidocaine/antiseptic) and Nexaband tissue adhesive, and bats were returned to cloth bags for 1–2 h prior to morphological measurement and release. All tissue biopsies were immediately fixed in 10% buffered formalin, and after 72 h, transferred to 70% ethanol until processing.
Tissue processing and cell counts
All tissues were embedded in paraffin, and stained with hematoxylin and eosin, and mounted on slides following standard procedures at Auburn University’s College of Veterinary Medicine Histology Laboratory. The person performing cell counts (JAE) was blind to the identity of treatment and time post-injection. Total cells (both infiltrating and pre-existent) with the exception of red blood cells were counted in a minimum of three, 5-μm wide sections perpendicular to the epidermis and along the entire thickness of the biopsy for each individual. Cellular differentiation was performed under light microscopy using a Zeiss Axiophot microscope with a 100× oil-immersion objective. Leukocytes observed in tissue sections were identified based on morphology as lymphocytes, neutrophils, macrophages, eosinophils, and basophils. Mean cell counts (±SD) were calculated for each individual sample and cell type.
Statistical analyses
All statistical analyses were performed using JMP v.7.0.1 (SAS Institute Inc., Cary, NC, USA). Swelling was calculated as the difference between pre- and post-injection measurements individually for saline or PHA-injected areas (Lochmiller et al. 1993; Navara et al. 2006; Smits et al. 1999). Two bats that did not show evidence of cellular infiltration following PHA injection were excluded prior to subsequent analyses (n = 39). A Kruskal–Wallis test was used to compare macroscopic swelling and leukocyte counts for saline-injected versus PHA-injected tissues, separately for each time period (α = 0.05). Spearman’s rank-order correlation was used to evaluate nonparametric correlations between macroscopic swelling and leukocyte counts in PHA-injected tissues across all time points (α = 0.05).
The effects of time point and age (i.e., adult vs. juvenile) on immune response were further investigated for PHA-injected tissues. As different leukocytes are unlikely to act independently in their response to PHA, data were analyzed using a principal components analysis (PCA) to account for correlation among swelling and leukocyte counts. Most variables exhibited a normal distribution, but eosinophil and macrophage counts were log-transformed (x 1 = [Log10 (x + 1)]). Data for swelling and each cell type were then standardized to a z score (z = [(x − μ)/σ]) and entered into a PCA. A one-way ANOVA model with time as a predictor was tested separately for the first two principal components from the PCA (i.e., PC1, PC2). A two-way ANOVA model with time, age, the interaction of time and age was also tested separately on PC1 and PC2 scores. Tukey’s post hoc test was used to identify significant contrasts between categorical level means (α = 0.05).
Results
Morphological distinction of age classes was possible across sampled individuals (n = 41). The forearm length of adult bats (43.4 mm; range 41.3–45.6 mm) was greater compared to forearm length among juvenile bats (41.3 mm; range 39.1–42.9 mm; F 1,39 = 43.1, P < 0.0001). Similarly the mass of adult bats (11.42 g; range 10.00–12.75 g) was greater compared to the mass of juvenile bats (9.48 g; range 8.25–10.00 g; F 1,39 = 113.7, P < 0.0001).
Leukocyte response to PHA injection
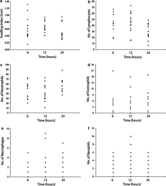
There was significant swelling and infiltration of leukocytes in the PHA-injected tissues that was absent from saline-injected tissues (Figs. 1, 2, 3) at each time point (n 6h = 14, n 12h = 14, n 24h = 13) (Fig. 4). Lymphocytes (40.1 ± 16.3) and neutrophils (48.0 ± 17.4) were observed in highest abundance in the PHA-injected tissue, with fewer numbers of macrophages (1.4 ± 1.0), eosinophils (4.3 ± 1.5), and basophils (3.3 ± 2.3) (Fig. 5). There was a highly significant negative correlation between the presence of lymphocytes and neutrophils in the PHA-injected tissues (ρ = −0.90, P < 0.0001, Fig. 6). The swelling response showed a marginal positive correlation with the presence of basophils (ρ = 0.31, P = 0.06) in PHA-injected tissues, but swelling did not correlate with any other leukocyte counts. No other pair-wise correlations were detected among variables (P ≥ 0.10).
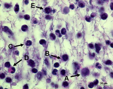
Fig. 1.

A PHA-injected tissue section viewed at 100× at the 6-h time point post-challenge, showing cellular infiltration of a basophils, b lymphocytes, c neutrophils, d eosinophils and e macrophages
Fig. 2.

A saline-injected tissue section viewed at 100× at the 6-h time point post-challenge, showing no cellular infiltration
Fig. 3.

A PHA-injected tissue cross-section of a blood vessel at 100× at the 24-h time point post-challenge, showing perivascular extravasation of a a neutrophil and a b lymphocyte
Fig. 4.

The a mean swelling, and mean cell counts of b lymphocytes, c neutrophils, d eosinophils, e macrophages and f basophils in the PHA-injected (solid bars) versus saline-injected (open bars) tissues, among individuals at each time point post-challenge. Lower or upper 95% confidence intervals on the means are shown
Fig. 5.

The temporal response profile at 6-, 12- and 24-h post-challenge for a swelling, and cell counts of b lymphocytes, c neutrophils, d eosinophils, e macrophages and f basophils in the PHA-injected tissues with evidence of cellular infiltration (n = 39). Each point represents one individual
Fig. 6.

The correlation between the response of lymphocytes and neutrophils in PHA-injected tissues. Each point represents one individual
Temporal and age effects on response to PHA injection
The first two principal components (PC1, PC2) explained 53% of the variation of the immune response in PHA-injected tissues. PC1 had high factor loading on lymphocytes (0.66) and neutrophils (−0.71), whereas factor loadings for all other variables were negligible (<|0.2|). PC2 had high factor loading on the swelling index (−0.67), eosinophils (0.34), and macrophages (0.64), whereas factor loadings for all other variables were negligible (<|0.2|). In the one-way ANOVA model, there was significant variation in PC1 across time points (F 2,36 = 3.88, P = 0.03), but not PC2 (P = 0.33), in PHA-injected tissues. Post hoc comparisons of categorical level means reveal that PC1 at 12 h is significantly greater than PC1 at 24 h (P < 0.05), but neither differs significantly from PC1 at 6 h post-injection (P > 0.05). In the two-way ANOVA model of PC1 scores, the interaction of time and age was not significant (P = 0.68) and this term was removed. In the final two-way ANOVA model of PC1 scores (F 3,35 = 3.19, P = 0.04), time was a significant predictor (P = 0.02), but age was not (P = 0.20). In the two-way ANOVA model of PC2 scores, the time by age interaction was a significant term (P = 0.03), and was included in the final model (F 5,33 = 2.59, P = 0.04). Comparisons of interaction level means suggests that differences in PC2 scores between juvenile and adult bats were greatest at 12-h post-injection, with adults having greater PC2 scores, but none of the pair-wise contrasts between the levels of the interaction term were significant (P > 0.05).
Discussion
This study demonstrates significant variation in the DTH response of individual bats, but also highlights potential challenges for interpreting the response to the PHA skin test as a measure immunocompetence in free-ranging animals. The range of variation in the swelling response to the PHA skin test from bats in this study (n = 41; range = 0.15–1.32 mm) is representative of the variation among swelling responses from a much larger sample of Brazilian free-tailed bats from four different locations and spanning several seasonal periods (n = 266; range = −0.04 to 1.50 mm), using the same injection dose and measurement tools. The macroscopic swelling response of bats did not correlate with the abundance of any specific leukocytes in the injection area, and may reflect the total accumulation of leukocytes in PHA-injected tissues rather than any single leukocyte. Despite observed variation in the proportional abundance of different leukocytes to the PHA-injected area, the functional contribution specific leukocytes could not be assessed. T cells which accumulate in the PHA injection area may primarily secrete cytokines to stimulate the recruitment of other cell types, and are not functioning in antigen presentation (Stadecker et al. 1977). However, reports of elevated CTL subsets in circulation following PHA injection, and the observation of an anamnestic response to secondary challenge, suggest active elements of a specific cell-mediated immune response (Tella et al. 2008). The absence of a correlation between measured swelling and the presence of lymphocytes indicates that macroscopic measurements of PHA response do not provide quantitative information on the T cell response among individuals, despite histological evidence of a significant lymphocyte response to SC PHA injection at the time when swelling response measurements are typically taken in bats (i.e., 10–12-h post-injection) (Allen et al. 2009; Christe et al. 2000). These results contrast the findings of a similar study that characterized the leukocyte response to SC PHA injection in house sparrows (Martin et al. 2006), where swelling was positively correlated with lymphocytes at 6-h post-injection and neutrophils at 12-h post-injection, yet negatively correlated with basophils at 6-h post-injection and neutrophils at 24-h post-injection. However, given that wing web measurements on birds are typically taken 24 h following PHA injection, both studies are consistent in reporting that macroscopic swelling does not correlate with lymphocyte response during typical measurement periods (Martin et al. 2006). The histological findings differ from a recent study that reported a correlation between macroscopic swelling and circulating CTLs in parrots (Order Psittaciformes) (Tella et al. 2008). Nonetheless, the histological data demonstrate that response to the PHA skin test reflects multi-cellular cutaneous immune activity rather than simply a T cell response. Based on these results, we recommend collecting tissue biopsies from injection areas when performing the PHA skin test in vivo with free-ranging animals, to ensure that individual variation in the immune response is accurately measured and interpreted.
Two studies have described intraspecific variation in the immune response to the PHA skin test in bats, and interpreted this variation in the context of energetic trade-offs with life history and ecology (Allen et al. 2009; Christe et al. 2000). Allen et al. (2009) found significant variation in the swelling response to the PHA skin test among Brazilian free-tailed bats that were sampled from cave and bridge roosts, and hypothesized that differences in colony sizes and microenvironment between these two types of roosts may lead to variable energetic investment for adaptive immune responses. Christe et al. (2000) found significant variation in the swelling response to the PHA skin test among greater mouse-eared bats (Myotis myotis) across adult female reproductive stages and parasitism intensity. However, neither study collected tissue biopsies for characterization of the immune response in the PHA injection area.
It is well-known that immunocompetence of animals can decline with age, and reduced responses to mitogens have been reported in older (>65 years) compared with younger (21–30 years) humans (Gillis et al. 1981). Evidence for reduced immune responses of very young animals appears equivocal, as one study reported a higher cell-mediated immune response to PHA injection in juvenile birds compared to adults (Tella et al. 2002), although the opposite pattern was observed in previous studies with humans (Bonforte et al. 1972; Lawlor et al. 1973). Another study reported that pathogen-free Beagle puppies as young as 1 day old mounted similar responses to modified live canine parvovirus and killed rabies vaccines compared to older dogs (Chappuis 1998). One half (8 of 15) of juvenile bats sampled in this study had not reached adult size based on the length of the forearm, but were volant and estimated to be approximately 4 weeks of age (28–33 days) based on post-natal growth rate equations for this species (Allen et al. 2010; Kunz and Robson 1995). Age effects were not detected in the PC1 scores of PHA response, which reflect the activity of lymphocytes and neutrophils. An age by time period interaction was detected in the PC2 scores of PHA response, which is associated with macroscopic swelling and presence of macrophages and eosinophils; however, limited variation in the data set likely reduced power to detect differences between interaction level means (age × time, Power = 0.67). Although age-related differences in immunological response may exist, significant differences between the leukocyte responses of adult and juvenile bats to the PHA skin test were not observed. However, females dominated the adult cohort (25 of 26) in this study and were likely still nursing young (Reichard et al. 2009). Furthermore, it is difficult to refine age estimates of wild-caught adult bats without invasive sampling (i.e., tooth extraction) (Brunet-Rossinni and Wilkinson 2009). The leukocyte response of adult females to PHA may be compromised by energetic trade-offs associated with reproductive activity leading to down-regulation of non-specific defenses (Lee 2006), or could be reduced in very old adult bats, potentially obscuring quantitative comparisons with the response of juvenile bats. Volant juveniles do not appear immunocompromised based on the results in this study, but we cannot speculate on the immunological competence of non-volant suckling bats (i.e., 1–2 weeks of age). As parturition in this species is highly synchronized and the majority of adult females are reproductively active during the maternity season (Reichard et al. 2009), it is difficult to compare the immune response to the PHA skin test in juvenile bats concurrently with non-reproductive adult females. However, it would be prudent to include sampling of suckling bats, as well as non-reproductive adult females and adult male cohorts in future testing of age effects on immune response.
Hormonal fluctuations associated with gender-specific reproductive and mating activities can non-exclusively affect the immune response (Klein 2000; Nelson and Demas 1996; Schuurs and Verheul 1990; Zuk 1996), and may affect the response to the PHA skin test in a variety of animals (Christe et al. 2000; Drazen et al. 2003; Martin et al. 2006; Tschirren et al. 2003). Limited sampling of adult males (n = 1) and male and female juvenile bats (i.e., 2–3 bats/gender/time point) across time periods precluded adequate testing for gender effects in either cohort. However, post-natal growth rates of male and female Brazilian free-tailed bat neonates were not significantly different in a previous study (Kunz and Robson 1995), suggesting similar age-related immunodevelopment among juvenile male and female bats. During the seasonal period sampled in this study, it is rare to find adult male Brazilian free-tailed bats in cave roosts (Reichard et al. 2009), whereas gender ratios are closer to unity in bridge roosts (Keeley and Keeley 2004). Longitudinal testing of adult male and female bats is needed to resolve whether mating and reproductive activity (e.g., pregnancy, lactation) are associated with down-regulated non-specific immune response to PHA, as reported for the greater mouse-eared bat (Christe et al. 2000).
Prior pathogen exposure or active infection may confound the interpretation of individual level variation with induced immune responses in natural populations of free-ranging animals (Lee 2006). Brazilian free-tailed bats are recognized reservoirs of rabies virus, although the prevalence of clinical infection is <1% among free-flying bats (Constantine et al. 1968). A recent study estimated that 33% of adult female (n = 24) and 71% of adult male (n = 7) bats had rabies virus neutralizing antibodies (VNA) in circulation during the female lactation period at Frio Cave, with evidence of rabies virus exposure in all age and gender classes of bats (Turmelle et al. 2010). It is not known whether active circulation of VNA might alter the response to PHA injection, and the abundance of leukocytes in circulation was not characterized prior to PHA injection in the current study. Furthermore, 80% (n = 6) of juvenile bats sampled from a nearby cave demonstrated rabies VNA during the nursing period (Turmelle et al. 2010), which presumably reflects passively acquired maternal antibodies transferred via colostrum (Vos et al. 2003). While it has been reported that the presence of maternally acquired VNA inhibits specific immune defenses in young animals (Chappuis 1998; Muller et al. 2001; Xiang and Ertl 1992), it is not known whether a similar effect would be observed for the non-specific response to PHA or could be a factor in the susceptibility of young bats to other infections. The importance of pre-injection circulating leukocytes to the magnitude and cellular composition of the DTH response warrants additional study.
Although the PHA skin test can be easily employed in field studies to measure non-specific immune responses of individual free-ranging animals, we argue that a variety of factors such as host ecology, life history and pathogen exposure can complicate the interpretation of the swelling response to PHA as a measure of individual immunocompetence, particularly when histological data are not examined. Non-invasive immunological assays that quantify relevant specific immune responses associated with disease pathogenesis are also needed to understand how individual and population level fluctuations in immunocompetence may impact the emergence of viral zoonoses in natural populations of bats.
Acknowledgments
This research was supported in part by a National Science Foundation-National Institutes of Health Ecology of Infectious Disease grant (#0430418 to G.F.M.), and also an Environmental Protection Agency Science-To-Achieve-Results (STAR) Fellowship to AST. The authors wish to thank Bill Cofer for granting access to his property, and S. Duncan for invaluable assistance in the field. The authors also express thanks to B. French (Bat World), B. Landreth and L. Rascoe (Auburn University College of Veterinary Medicine) for technical support. We also thank two anonymous reviewers for providing constructive comments that improved this manuscript.
References
- Allen LC, Turmelle AS, Mendonca MT, Navara KJ, Kunz TH, McCracken GF. Roosting ecology and variation in adaptive and innate immune system function in the Brazilian free-tailed bat (Tadarida brasiliensis) J Comp Physiol B. 2009;179:315–323. doi: 10.1007/s00360-008-0315-3. [DOI] [PMC free article] [PubMed] [Google Scholar]
- Allen LC, Richardson CS, McCracken GF, Kunz TH (2010) Birth size and postnatal growth in cave- and bridge-roosting Brazilian free-tailed bats. J Zool. doi:10.1111/j.1469-7998.2009.00636.x
- Altizer S, Dobson A, Hosseini P, Hudson P, Pascual M, Rohani P. Seasonality and the dynamics of infectious diseases. Ecol Lett. 2006;9:467–484. doi: 10.1111/j.1461-0248.2005.00879.x. [DOI] [PubMed] [Google Scholar]
- Berger S, Martin LB, Wikelski M, Romero LM, Kalko EK, Vitousek MN, Rodl T. Corticosterone suppresses immune activity in territorial Galapagos marine iguanas during reproduction. Horm Behav. 2005;47:419–429. doi: 10.1016/j.yhbeh.2004.11.011. [DOI] [PubMed] [Google Scholar]
- Bonforte RJ, Topilsky M, Siltzbach LE, Glade PR. Phytohemagglutinin skin test: a possible in vivo measure of cell-mediated immunity. J Pediatr. 1972;81:775–780. doi: 10.1016/S0022-3476(72)80101-X. [DOI] [PubMed] [Google Scholar]
- Brunet-Rossinni AK, Wilkinson GS. Methods for age estimation and the study of senescence in bats. In: Kunz TH, Parsons S, editors. Ecological and behavioral methods for the study of bats. Baltimore: Johns Hopkins University Press; 2009. [Google Scholar]
- Carrington CV, Foster JE, Zhu HC, Zhang JX, Smith GJ, Thompson N, Auguste AJ, Ramkissoon V, Adesiyun AA, Guan Y. Detection and phylogenetic analysis of group 1 coronaviruses in South American bats. Emerg Infect Dis. 2008;14:1890–1893. doi: 10.3201/eid1412.080642. [DOI] [PMC free article] [PubMed] [Google Scholar]
- Chappuis G. Neonatal immunity and immunisation in early age: lessons from veterinary medicine. Vaccine. 1998;16:1468–1472. doi: 10.1016/S0264-410X(98)00110-8. [DOI] [PMC free article] [PubMed] [Google Scholar]
- Christe P, Arlettaz R, Vogel P. Variation in intensity of a parasitic mite (Spinturnix myoti) in relation to the reproductive cycle and immunocompetence of its bat host (Myotis myotis) Ecol Lett. 2000;3:207–212. doi: 10.1046/j.1461-0248.2000.00142.x. [DOI] [Google Scholar]
- Chua KB, Wang LF, Lam SK, Crameri G, Yu M, Wise T, Boyle D, Hyatt AD, Eaton BT. Tioman virus, a novel paramyxovirus isolated from fruit bats in Malaysia. Virology. 2001;283:215–229. doi: 10.1006/viro.2000.0882. [DOI] [PubMed] [Google Scholar]
- Constantine DG. Absence of prenatal infection of bats with rabies virus. J Wildl Dis. 1986;22:249–250. doi: 10.7589/0090-3558-22.2.249. [DOI] [PubMed] [Google Scholar]
- Constantine DG, Tierkel ES, Kleckner MD, Hawkins DM. Rabies in New Mexico cavern bats. Public Health Rep. 1968;83:303–316. [PMC free article] [PubMed] [Google Scholar]
- Dimitrov DT, Hallam TG. Effects of immune system diversity and physical variation of immunotypic mixing on the dynamics of rabies in bats. J Biol Dyn. 2009;3:164–179. doi: 10.1080/17513750802702443. [DOI] [PubMed] [Google Scholar]
- Dominguez SR, O’Shea TJ, Oko LM, Holmes KV. Detection of group 1 coronaviruses in bats in North America. Emerg Infect Dis. 2007;13:1295–1300. doi: 10.3201/eid1309.070491. [DOI] [PMC free article] [PubMed] [Google Scholar]
- Drazen DL, Trasy A, Nelson RJ. Photoperiod differentially affects energetics of immunity in pregnant and lactating Siberian hamsters (Phodopus sungorus) Can J Zool. 2003;81:1406–1413. doi: 10.1139/z03-120. [DOI] [Google Scholar]
- Gannon WL, Sikes RS, et al. Guidelines of the American Society of Mammalogists for the use of wild mammals in research. J Mammal. 2007;88:809–823. doi: 10.1644/06-MAMM-F-185R1.1. [DOI] [PMC free article] [PubMed] [Google Scholar]
- Gervasi SS, Foufopoulos J. Costs of plasticity: responses to desiccation decrease post-metamorphic immune function in a pond-breeding amphibian. Funct Ecol. 2008;22:100–108. [Google Scholar]
- Gillis S, Kozak R, Durante M, Weksler ME. Immunological studies of aging. J Clin Invest. 1981;67:937–942. doi: 10.1172/JCI110143. [DOI] [PMC free article] [PubMed] [Google Scholar]
- Gloza-Rausch F, Ipsen A, Seebens A, Gottsche M, Panning M, Felix Drexler J, Petersen N, Annan A, Grywna K, Muller M, Pfefferle S, Drosten C. Detection and prevalence patterns of group I coronaviruses in bats, northern Germany. Emerg Infect Dis. 2008;14:626–631. doi: 10.3201/eid1404.071439. [DOI] [PMC free article] [PubMed] [Google Scholar]
- Goto N, Kodama H, Okada K, Fujimoto Y. Suppression of phytohemagglutinin skin response in thymectomized chickens. Poult Sci. 1978;57:246–250. doi: 10.3382/ps.0570246. [DOI] [PubMed] [Google Scholar]
- Gouy de Bellocq J, Krasnov BR, Khokhlova IS, Pinshow B. Temporal dynamics of a T-cell mediated immune response in desert rodents. Comp Biochem Physiol A Mol Integr Physiol. 2006;145:554–559. doi: 10.1016/j.cbpa.2006.08.045. [DOI] [PubMed] [Google Scholar]
- Gouy de Bellocq J, Porcherie A, Moulia C, Morand S. Immunocompetence does not correlate with resistance to helminth parasites in house mouse subspecies and their hybrids. Parasitol Res. 2007;100:321–328. doi: 10.1007/s00436-006-0273-1. [DOI] [PubMed] [Google Scholar]
- Halpin K, Young P, Field H. Identification of likely natural hosts for equine morbillivirus. Commun Dis Intell. 1996;20:476. [Google Scholar]
- Halpin K, Hyatt AD, Plowright RK, Epstein JH, Daszak P, Field HE, Wang LF, Daniels PW. Emerging viruses: coming in on a wrinkled wing and a prayer. Clin Infect Dis. 2007;44:711–717. doi: 10.1086/511078. [DOI] [PMC free article] [PubMed] [Google Scholar]
- Johara MY, Field H, Rashdi AM, Morrissy C, Heide Bvd, Rosta P, Adzhar Ab, White J, Daniels P, Jamaluddin A, Ksiazek T. Nipah virus infection in bats (Order Chiroptera) in Peninsular Malaysia. Emerg Infect Dis. 2001;7:439–441. doi: 10.3201/eid0703.010312. [DOI] [PMC free article] [PubMed] [Google Scholar]
- Kahn PF, Guyer C, Mendonca MT. Handling, blood sampling, and temporary captivity do not affect plasma corticosterone or movement patterns of gopher tortoises (Gopherus polyphemus) Copeia. 2007;2007:614–621. doi: 10.1643/0045-8511(2007)2007[614:HBSATC]2.0.CO;2. [DOI] [Google Scholar]
- Keeley ATH, Keeley BW. The mating system of Tadarida brasiliensis (Chiroptera: Molossidae) in a large highway bridge colony. J Mammal. 2004;84:113–119. doi: 10.1644/BME-004. [DOI] [Google Scholar]
- Kennedy MW, Nager RG. The perils and prospects of using phytohaemagglutinin in evolutionary ecology. Trends Ecol Evol. 2006;21:653–655. doi: 10.1016/j.tree.2006.09.017. [DOI] [PubMed] [Google Scholar]
- Klasing K. The costs of immunity. Acta Zool Sin. 2004;50:961–969. [Google Scholar]
- Klein SL. Hormones and mating system affect sex and species differences in immune function among vertebrates. Behav Process. 2000;51:149–166. doi: 10.1016/S0376-6357(00)00125-X. [DOI] [PubMed] [Google Scholar]
- Kunz TH, Robson SK. Postnatal growth and development in the Mexican free-tailed bat (Tadarida brasiliensis mexicana): birth size, growth rates, and age estimation. J Mammal. 1995;76:769–783. doi: 10.2307/1382746. [DOI] [Google Scholar]
- Kuzmin I, Rupprecht C. Bat rabies. In: Jackson AC, Wunner WH, editors. Rabies. 2. London: Academic Press; 2007. pp. 259–308. [Google Scholar]
- Lawlor GJ, Jr, Stiehm ER, Kaplan MS, Sengar DP, Terasaki PI. Phytohemagglutinin (PHA) skin test in the diagnosis of cellular immunodeficiency. J Allergy Clin Immunol. 1973;52:31–37. doi: 10.1016/0091-6749(73)90118-8. [DOI] [PubMed] [Google Scholar]
- Lee KA. Linking immune defenses and life history at the levels of the individual and the species. Integr Comp Biol. 2006;46:1000–1015. doi: 10.1093/icb/icl049. [DOI] [PubMed] [Google Scholar]
- Lehmer EM, Clay CA, Wilson E, St Jeor S, Dearing MD. Differential resource allocation in deer mice exposed to sin nombre virus. Physiol Biochem Zool. 2007;80:514–521. doi: 10.1086/520128. [DOI] [PubMed] [Google Scholar]
- Leroy EM, Kumulungui B, Pourrut X, Rouquet P, Hassanin A, Yaba P, Delicat A, Paweska JT, Gonzalez JP, Swanepoel R. Fruit bats as reservoirs of Ebola virus. Nature. 2005;438:575–576. doi: 10.1038/438575a. [DOI] [PubMed] [Google Scholar]
- Leroy EM, Epelboin A, Mondonge V, Pourrut X, Gonzalez JP, Muyembe-Tamfum JJ, Formenty P (2009) Human Ebola outbreak resulting from direct exposure to fruit bats in Luebo, Democratic Republic of Congo, 2007. Vector Borne Zoonotic Dis. doi:10.1089=vbz.2008.0167 [DOI] [PubMed]
- Li W, Shi Z, Yu M, Ren W, Smith C, Epstein JH, Wang H, Crameri G, Hu Z, Zhang H, Zhang J, McEachern J, Field H, Daszak P, Eaton BT, Zhang S, Wang L-F. Bats are natural reservoirs of SARS-like coronaviruses. Science. 2005;310:676–679. doi: 10.1126/science.1118391. [DOI] [PubMed] [Google Scholar]
- Lochmiller RL, Vestey MR, Boren JC. Relationship between protein nutritional status and immunocompetence in northern bobwhite chicks. Auk. 1993;110:503–510. [Google Scholar]
- Martin LB, Han P, Lewittes J, Kuhlman JR, Klasing KC, Wikelski M. Phytohemagglutinin-induced skin swelling in birds: histological support for a classic immunoecological technique. Funct Ecol. 2006;20:290–299. doi: 10.1111/j.1365-2435.2006.01094.x. [DOI] [Google Scholar]
- McCorkle F, Olah I, Glick B. Morphology of the phytohemagglutinin-induced cell response in the chickens wattle. Poult Sci. 1980;59:616–623. doi: 10.3382/ps.0592151. [DOI] [PubMed] [Google Scholar]
- Muller TF, Schuster P, Vos AC, Selhorst T, Wenzel UD, Neubert AM. Effect of maternal immunity on the immune response to oral vaccination against rabies in young foxes. Am J Vet Res. 2001;62:1154–1158. doi: 10.2460/ajvr.2001.62.1154. [DOI] [PubMed] [Google Scholar]
- Muller MA, Paweska JT, Leman PA, Drosten C, Grywna K, Kemp A, Braack L, Sonnenberg K, Niedrig M, Swanepoel R. Coronavirus antibodies in African bat species. Emerg Infect Dis. 2007;13:1367–1370. doi: 10.3201/eid1309.070342. [DOI] [PMC free article] [PubMed] [Google Scholar]
- Naspitz CK, Richter M. The action of phytohemagglutinin in vivo and in vitro: a review. Prog Allergy. 1968;12:1–85. [Google Scholar]
- Navara KJ, Hill GE, Mendonca MT. Yolk testosterone stimulates growth and immunity in house finch chicks. Physiol Biochem Zool. 2006;79:550–555. doi: 10.1086/501054. [DOI] [PubMed] [Google Scholar]
- Nelson RJ, Demas GE. Seasonal changes in immune function. Q Rev Biol. 1996;71:511–548. doi: 10.1086/419555. [DOI] [PubMed] [Google Scholar]
- Nelson RJ, Demas GE, Klein SL, Kriegsfeld LJ. Seasonal patterns of stress, immune function, and disease. Cambridge: University Press; 2002. [Google Scholar]
- Reichard JD, Gonzalez LE, Casey CM, Allen LC, Hristov NI, Kunz TH. Evening emergence behavior and seasonal dynamics in large colonies of Brazilian free-tailed bats. J Mammal. 2009;90:1478–1486. doi: 10.1644/08-MAMM-A-266R1.1. [DOI] [Google Scholar]
- Schuurs AHWM, Verheul HAM. Effects of gender and sex steroids on the immune response. J Steroid Biochem Mol Biol. 1990;35:157–172. doi: 10.1016/0022-4731(90)90270-3. [DOI] [PubMed] [Google Scholar]
- Smits JE, Bortolotti GR, Tella JL. Simplifying the phytohemagglutinin skin-testing technique in studies of avian immunocompetence. Funct Ecol. 1999;13:567–572. doi: 10.1046/j.1365-2435.1999.00338.x. [DOI] [Google Scholar]
- Stadecker MJ, Lukic M, Dvorak A, Leskowitz S. The cutaneous basophil response to phytohemagglutinin in chickens. J Immunol. 1977;118:1564–1568. [PubMed] [Google Scholar]
- Swanepoel R, Smit SB, Rollin PE, Formenty P, Leman PA, Kemp A, Burt FJ, Grobbelaar AA, Croft J, Bausch DG, Zeller H, Leirs H, Braack LE, Libande ML, Zaki S, Nichol ST, Ksiazek TG, Paweska JT. Studies of reservoir hosts for Marburg virus. Emerg Infect Dis. 2007;13:1847–1851. doi: 10.3201/eid1312.071115. [DOI] [PMC free article] [PubMed] [Google Scholar]
- Tella JL, Scheuerlein A, Ricklefs RE. Is cell-mediated immunity related to the evolution of life-history strategies in birds? Proc R Soc Lond B Biol Sci. 2002;269:1059–1066. doi: 10.1098/rspb.2001.1951. [DOI] [PMC free article] [PubMed] [Google Scholar]
- Tella JL, Lemus JA, Carrete M, Blanco G. The PHA test reflects acquired T-cell mediated immunocompetence in birds. PLoS ONE. 2008;3:e3295. doi: 10.1371/journal.pone.0003295. [DOI] [PMC free article] [PubMed] [Google Scholar]
- Towner JS, Amman BR, Sealy TK, Carroll SA, Comer JA, Kemp A, Swanepoel R, Paddock CD, Balinandi S, Khristova ML, Formenty PB, Albarino CG, Miller DM, Reed ZD, Kayiwa JT, Mills JN, Cannon DL, Greer PW, Byaruhanga E, Farnon EC, Atimnedi P, Okware S, Katongole-Mbidde E, Downing R, Tappero JW, Zaki SR, Ksiazek TG, Nichol ST, Rollin PE. Isolation of genetically diverse Marburg viruses from Egyptian fruit bats. PLoS Pathog. 2009;5:e1000536. doi: 10.1371/journal.ppat.1000536. [DOI] [PMC free article] [PubMed] [Google Scholar]
- Tschirren B, Fitze PS, Richner H. Sexual dimorphism in susceptibility to parasites and cell-mediated immunity in great tit nestlings. J Anim Ecol. 2003;72:839–845. doi: 10.1046/j.1365-2656.2003.00755.x. [DOI] [Google Scholar]
- Turmelle AS, Allen LC, Jackson FR, Kunz TH, Rupprecht C, McCracken GF. Ecology of rabies virus exposure in colonies of Brazilian free-tailed bats (Tadarida brasiliensis) at natural and man-made roosts in Texas. Vector Borne Zoonotic Dis. 2010;10:165–175. doi: 10.1089/vbz.2008.0163. [DOI] [PMC free article] [PubMed] [Google Scholar]
- Vos A, Schaarschmidt U, Muluneh A, Muller T. Origin of maternally transferred antibodies against rabies in foxes (Vulpes vulpes) Vet Rec. 2003;153:16–18. doi: 10.1136/vr.153.1.16. [DOI] [PubMed] [Google Scholar]
- Xiang ZQ, Ertl HC. Transfer of maternal antibodies results in inhibition of specific immune responses in the offspring. Virus Res. 1992;24:297–314. doi: 10.1016/0168-1702(92)90125-S. [DOI] [PubMed] [Google Scholar]
- Zuk M. Disease, endocrine-immune interactions, and sexual selection. Ecology. 1996;77:1037–1042. doi: 10.2307/2265574. [DOI] [Google Scholar]
