Abstract
In this study, as a bioisosteric alternative scaffold of the antiviral aryl diketoacids (ADKs), we used 5-hydroxychromone on which two arylmethyloxy substituents were installed. The 5-hydroxychromones (5b–5g) thus prepared showed anti-HCV activity and, depending on the aromatic substituents on the 2-arylmethyloxy moiety, some of the derivatives (5b–5f) were also active against SCV. In addition, unlike the ADKs which showed selective inhibition against the helicase activity of the SCV NTPase/helicase, the 5-hydroxychromones (5b–5f) were active against both NTPase and helicase activities of the target enzyme. Among those, 3-iodobenzyloxy-substituted derivative 5e showed the most potent activity against HCV (EC50 = 4 μM) as well as SCV (IC50 = 4 μM for ATPase activity, 11 μM for helicase activity) and this might be used as a platform structure for future development of the multi-target or broad-spectrum antivirals.
Keywords: Aryl diketoacid (ADK), 5-Hydroxyflavone, 5-Hydroxychromone, Hepatitis C, Severe Acute Respiratory Syndrome (SARS)
Graphical abstract
The 2,6-bis-arylmethyloxy-5-hydroxychromones were identified to have antiviral activity against both hepatitis C virus (HCV) and SARS-associated coronavirus (SCV).

Highlights
▸ Investigation of bioisosteric alternative scaffold of antiviral arylmethyloxy-ADKs. ▸ 2,6-Bis-arylmethyloxy-5-hydroxychromones active against both HCV and SCV. ▸ Antiviral activity against HCV (EC50 = 4 μM). ▸ Inhibition of SCV NTPase (IC50 = 4 μM) as well as ATPase activity (IC50 = 11 μM). ▸ Potential platform structure for multi-target or broad-spectrum antivirals.
1. Introduction
Aryl diketoacid (ADK) has previously been identified to inhibit HIV-1 (human immunodeficiency virus) integrase [1] and RNA-dependent RNA polymerase (RdRp) of hepatitis C virus (HCV) [2], [3]. In our previous communications, we reported the ADKs with an arylmethyloxy or arylmethylamino substituent attached at the 2-, 3-, or 4-position of an aromatic ring (1, Fig. 1 ) as inhibitors of the HCV RdRp activity [4] as well as NTPase/helicase activity of SARS-associated coronavirus (SARS-CoV, SCV) [5]. Inhibition of the two different viral enzymes, HCV RdRp and SCV NTPase/helicase, by the same class of compounds was noteworthy because novel multi-target or broad-spectrum antivirals might be developed from this structure. Later, in order to improve unfavorable physicochemical as well as pharmacokinetic properties associated with the diketoacid moiety [6], bioisosteric replacement of pharmacophoric diketoacid core structure (thick line in 1, Fig. 1) with a β-hydroxyketone moiety (thick line in 2, Fig. 1) of 5-hydroxyflavone scaffold was attempted. Compared with the ADKs, the 5-hydroxyflavone scaffold provides additional advantage because both sides of the central β-hydroxyketone moiety can be substituted (R1–R3 in 2, Fig. 1) to allow extensive structure–activity relationship study. In our recent proof-of-concept study, the key pharmacophoric arylmethyloxy group of the antiviral ADKs was introduced on opposite sides (3- and 7-positions) of the 5-hydroxyflavone core structure to give the corresponding galangin derivatives, 3-O-arylmethyloxygalangins (3) [7] and 7-O-arylmethyloxygalangins (4) [8], and significant anti-HCV activities were observed from both derivatives. However, unlike the ADKs with arylmethyloxy substituents (1) which showed inhibitory activity against both HCV RdRp and SCV NTPase/helicase, the galangin derivatives (3 and 4) lacked anti-SCV activity [9]. This result suggests that the HCV RdRp might have a binding site specific for the 5-hydroxyflavone scaffold around which two hydrophobic sites with similar shapes are located. It can also be assumed that the SCV NTPase/helicase might not be able to accommodate a 2-phenyl group of the galangin scaffold. Thus, in order to confirm this rationale, we intended to use 5-hydroxychromone instead of 5-hydroxyflavone as a platform structure on which two arylmethyloxy substituents were attached at the same time (5′, Fig. 1). However, due to synthetic difficulties associated with synthesis of 5′, we flipped a core AC ring system of the chromone scaffold and introduced the substituents on both 2- and 6-positions. As an enol–keto arrangement on a flat fused AC ring system forming an intramolecular hydrogen bond is believed as a key pharmacophoric element of the flavones as well as the chromones, it was fair to assume that flipping the AC ring system to a keto–enol form (CA ring system) would not affect the pharmacophore of the chromone scaffold. As shown in Fig. 1, the 2,6-bis-O-arylmethyloxy substituents attached to the flipped fused ring system in 5 are superimposable to those at the 3- and 7-positions of 5′. The arylmethyloxy substituent at 6-position was fixed with a 3-chlorobenzyloxy group because it provided the 3-O-arylmethyloxygalangin derivatives (3) with the most potent inhibitory activity against the HCV RdRp (IC50 = 0.1 μM) [7]. In contrast, as the anti-HCV activity of the 7-O-arylmethylgalangin derivatives (4) was found to be critically dependent upon size and position of a hydrophobic aromatic substituent in the arylmethyloxy group [8], the aromatic substituent of the 2-arylmethyloxy group was varied with Cl-, I-, and CN- at 3-, 4-, and 5-positions of the aromatic ring. Herein we report synthesis and evaluation of anti-HCV as well as anti-SCV activity of novel 2-arylmethyloxy-6-(3-chlorobenzyloxy)-5-hydroxychromones 5 (Fig. 1).
Fig. 1.
Structures of ADK with an arylmethyloxy or arylmethylamino substituent (1), 5-hydroxyflavone (2), 3-O-arylmethylgalangins (3), 7-O-arylmethylgalangins (4), 3,7-bis-O-arylmethyl-5-hydroxychromone (5′), and the title compound of this study [2-arylmethyloxy-6-(3-chlorobenzyloxy)-5-hydroxychromone, 5].
2. Results and discussion
2.1. Chemistry
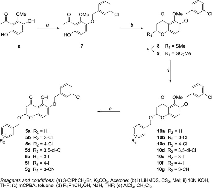
Synthesis of the title compounds, 2-arylmethyloxy-6-(3-chlorobenzyloxy)-5-hydroxychromone (5a–5g) is summarized in Scheme 1 .
Scheme 1.
Synthesis of the title compounds (5a–5g).
Following literature methods [10], 2,5-dihydroxy-6-methoxyacetophenone (6) was prepared from commercially available 2,5-dihydroxyacetophenone. Due to intramolecular hydrogen bonding, the 5-OH group of 6 selectively reacted with 3-ClPhCH2Br in the presence of K2CO3 to provide the alkylated product 7 in 58% yield. Treatment of 7 with LiHMDS, CS2, and MeI in THF provided the corresponding ketene dithioacetal, which was then cyclized under basic conditions to give 2-methylthiochromone 8 in 51% yield [11]. The sulfide 8 was oxidized by mCPBA to 9, whose methylsulfonyl group was then successfully displaced with sodium salt of variously substituted benzyl alcohols to furnish 2,6-bis-arylmethyloxy-5-hydroxychromone derivatives (10a–10g) in 47–71% yield [12]. Final Lewis acid-mediated demethylation of 10 to 5 necessitated careful control of the reaction conditions because of concurrent loss of the arylmethyl moiety. Thus, after optimization of Lewis acid as well as the reaction conditions, use of less than one equivalent (∼0.89) of AlCl3 in CH2Cl2 was found to be the method of choice to provide the desired 2-arylmethyloxy-6-(3-chlorobenzyloxy)-5-hydroxychromones (5a–5g) in moderate (43–57%) yield.
2.2. Biological activity
In this study, we combined the pharmacophoric arylmethyloxy group of 3-O-arylmethylgalangins (3) and 7-O-arylmethylgalangins (4) on the 5-hydroxychromone scaffold to prepare 7 derivatives of 2,6-bis-arylmethyloxy-5-hydroxychromones (5a–5g). The synthesized 5-hydroxychromone derivatives were then evaluated for their antiviral activity against HCV as well as SCV, and the result is summarized in Table 1 .
Table 1.
| Compds | R | Antiviral Activity |
Cytotoxicity (μM)d | ||
|---|---|---|---|---|---|
| HCV (EC50, μM)a | SCV (IC50, μM) |
||||
| NTPaseb | Helicasec | ||||
| 5a | H | >50 | >50 | >50 | >50 |
| 5b | 3-Cl | 17 | 10 | 40 | >50 |
| 5c | 4-Cl | 24 | 28 | 53 | >50 |
| 5d | 3,5-di-Cl | 1 | >50 | >50 | >50 |
| 5e | 3-I | 4 | 4 | 11 | >50 |
| 5f | 4-I | 3 | 23 | 31 | >50 |
| 5g | 3-CN | 17 | 37 | >50 | >50 |
| 1 | 3-(4-chlorobenzyl-amino) | 0.8 [4] | >50 [7] | 11 [5] | >50 |
| 3 | 3-NO2 | 5 [7] | >50 | >50 | >50 |
| 4 | 3-CN | 3 [8] | >50 | >50 | >50 |
Concentration required to inhibit HCV RNA replication by 50% in HCV replicon cell.
Concentration required to inhibit SCV NTPase activity by 50%.
Concentration required to inhibit duplex DNA-unwinding activity of SCV helicase by 50%.
Concentration required to reduce proliferation of normal human fibroblast cell HS27 by 50%.
2.2.1. Anti-HCV activity
While the 5-hydroxychromone derivatives 5b–5g with arylmethyloxy substituents at both 2- and 6-positions showed moderate to potent anti-HCV activity, the compound 5a with 2-benzyloxy substituent (R = H) did not show any anti-HCV activity. More interestingly, compounds with the same type of substituent (5b/5c and 5e/5f) showed similar anti-HCV activity regardless of the position of substitution. In particular, derivatives with bulky iodo substituents (5e and 5f, EC50 = 3–4 μM) were significantly more active than the chlorine- (5b and 5c, EC50 = 17–24 μM) or cyano- (5g, EC50 = 17 μM) substituted ones. In line with these observations, it is noteworthy that the 3,5-di-chloro-substituted derivative 5d showed the most potent anti-HCV activity (EC50 = 1 μM), which is comparable to that of the ADK (1, EC50 = 0.8 μM). Taken together, these results indicate the critical role of the aromatic substituents in binding of the 5-hydroxychromone derivatives to the viral target protein and propose a large hydrophobic binding site in the viral target protein accommodating an aromatic ring with bulky substituents.
As the HCV RdRp was proven to be a viral target enzyme of ADKs [2], [3], [4], it was also assumed as a potential viral target protein of the bioisosteres of ADKs including flavone as well as chromone derivatives. Inhibitory activity of the synthesized 5-hydroxychromone derivatives (5a–5g) against HCV genotype 1b NS5B Δc21 enzyme was estimated [13], but the enzyme activity was not affected by addition of the test compounds (data not shown). Thus, the anti-HCV replicon activity of the 5-hydroxychromone derivatives could be attributed to a different mechanism yet to be determined.
2.2.2. Anti-SCV activity
Viral helicases couple energy from nucleotide triphosphate (NTP) hydrolysis with unwinding of duplex viral nucleic acid and, due to a critical role in viral viability, both NTPase and duplex unwinding activity have been the subjects of antiviral drug discovery campaigns [14], [15]. In our previous study, we have identified ADKs (1) as anti-SCV agents with selective inhibition (IC50 = 5.4–13.6 μM) against duplex DNA-unwinding helicase activity of SCV NTPase/helicase without significant impact on the ATPase activity (1, Table 1) [5]. Unfortunately, presumably due to the presence of additional 2-phenyl group, neither of the two 5-hydroxyflavone derivatives (3 and 4) showed anti-SCV activity (Table 1). Thus, in this study, the 5-hydroxyflavone scaffold was replaced with a 5-hydroxychromone, on which two arylmethyloxy substituents were installed. The resulting derivatives 5a–5g showed interesting structure–activity relationship. First, in comparison with the ADKs which showed selective inhibition against the helicase activity, 5-hydroxy-6-(3-chlorobenzyloxy)-chromone derivatives with chloro- (5b and 5c) or iodo- (5e and 5f) benzyloxy substituent inhibited both NTPase and helicase activities with more potent inhibition against NTPase activity (Table 1). Second, unlike the anti-HCV activity, inhibitory activity against SCV NTPase/helicase was dependent upon the position of the aromatic substituent, and the 3-substituted derivatives (5b and 5e) showed significantly more potent activity compared with the corresponding 4-substituted congeners (5c and 5f) (Table 1). Third, 3,5-di-chloro-substituted derivative 5d, which showed the most potent anti-HCV activity among the series, was not effective in inhibiting the SCV NTPase/helicase (IC50 > 50 μM). Fourth, among the anti-SCV 5-hydroxychromones, 3-iodo-substituted one (5e) showed the most potent activity (IC50 = 4 μM for ATPase activity, 11 μM for helicase activity). Based on these results, it might be concluded that the SCV NTPase/helicase has a hydrophobic binding region specific for 3-substituted aromatic rings attached to the 6-(3-chlorobenzyloxy)-5-hydroxychromone core structure.
2.2.3. Cytotoxicity
The 5-hydroxychromone derivatives (5a–5g) showed no cytostatic effect in human normal fibroblast cell line HS27 up to 50 μM (Table 1).
3. Conclusion
Structure–activity relationship study of the ADKs and the 5-hydroxyflavones proposed that the 5-hydroxychromone derivatives with two arylmethyloxy substituents would show antiviral activity against both HCV and SCV. 2-Arylmethyloxy-6-(3-chlorobenzyloxy)-5-hydroxychromones (5b–5g), thus prepared, showed anti-HCV activity in cell-based assay. As anticipated, depending on the aromatic substituents on the 2-arylmethyloxy moiety, some of the derivatives (5b–5f) were also active against SCV. In addition, unlike the ADKs which showed selective inhibition against the helicase activity of the SCV NTPase/helicase, 2-arylmethyloxy-6-(3-chlorobenzyloxy)-5-hydroxychromones (5b–5f) were active against both NTPase and helicase activities of the target enzyme. Among those, 2-(3-iodobenzyloxy)-6-(3-chlorobenzyloxy)-5-hydroxychromone (5e) showed the most potent activity against HCV (EC50 = 4 μM) as well as SCV (IC50 = 4 μM for ATPase activity, 11 μM for helicase activity). In the absence of structural information of the SCV NTPase/helicase, this result would provide valuable information for designing more potent inhibitors. Also, the antiviral agents active both against HCV and SCV discovered in this study might be used as a platform structure for future development of the multi-target or broad-spectrum antivirals.
4. Experimental
4.1. Chemistry
4.1.1. General remarks
Nuclear magnetic resonance spectra were recorded at 400 MHz for 1H NMR and at 100 MHz for 13C NMR with tetramethylsilane as the internal standard. Chemical shift are reported as s (singlet), d (doublet), t (triplet), q (quartet), m (multiplet), or br s (broad singlet). Coupling constants are reported in hertz (Hz). The chemical shifts are reported as parts per million (δ) relative to the solvent peak. All tested compounds were ≥95% purity as determined by reverse phase HPLC. HPLC was performed on equipment with variable wavelength (VW) UV detector and C18 – A 250 × 4.6 mm column. Analytical conditions were as follows: Gradient used was 20%–60% acetonitrile in water containing 0.1% formic acid (0–3 min), 60%–80% acetonitrile in water containing 0.1% formic acid (3–5 min), 80%–100% acetonitrile in water containing 0.1% formic acid (5–7 min), 100% acetonitrile in water containing 0.1% formic acid (7–15 min), 100%–60% acetonitrile in water containing 0.1% formic acid (15–17 min), 60%–20% acetonitrile in water containing 0.1% formic acid (17–20 min). Flow rate was set to 1 mL/min. UV was detected at two different wavelengths (340 nm and 220 nm).
4.1.2. Synthesis of 1-[3-(3-chloro-benzyloxy)-6-hydroxy-2-methoxy-phenyl]-ethanone (7)
To a solution of 6 (500 mg, 2.74 mmol) and K2CO3 (379 mg, 2.74 mmol) in acetone (20 mL) was slowly added (1-bromomethyl)-3-chlorobenzene (0.32 mL, 2.47 mmol). The reaction mixture was stirred for 2 h at 60 °C and then cooled to room temperature, filtered with acetone, and concentrated under reduced pressure. The crude product was purified by column chromatography on silica gel (Hex:EtOAc = 8:1) to afford 7 (490 mg, 1.60 mmol, 58% yield) as yellow oil: 1H NMR (400 MHz, DMSO-d 6) δ 10.22 (s, 1H), 7.52 (s, 1H), 7.44–7.40 (m, 3H), 7.08 (d, J = 9.0 Hz, 1H), 6.58 (d, J = 9.0 Hz, 1H), 5.07 (s, 2H), 3.79 (s, 3H), 2.47 (s, 3H); 13C NMR (100 MHz, DMSO-d 6) δ 201.7, 149.7, 146.7, 143.2, 139.3, 132.6, 129.9, 127.2, 126.7, 125.6, 122.0, 118.1, 110.5, 69.6, 60.6, 31.8; LC/MS (ESI) m/z Found: 307.0245 (M + H)+; Calcd for C16H15ClO4: 306.0659.
4.1.3. Synthesis of 6-(3-chloro-benzyloxy)-5-methoxy-2-methylsulfanyl-chromen-4-one (8)
The compound 7 (800 mg, 2.61 mmol) obtained above was dissolved in THF (5 mL) and the resulting solution was added to a stirred solution of 1M LiHMDS (7.83 mL, 7.83 mmol) in THF (15 mL) over 10 min at −78 °C. After 30 min, CS2 (0.24 mL, 3.92 mmol) was added in one portion, and the reaction mixture was allowed to warm to 0 °C. After 1 h, MeI (0.36 mL, 5.74 mmol) was added dropwise over 10 min, and stirring was continued for additional 1 h at room temperature. A solution of aq. 10N KOH (10 mL) was added and the reaction mixture was stirred at 60 °C for 30 min. The reaction mixture was allowed to cool to 0 °C and quenched by addition of 1N HCl. After phase separation, the aqueous phase was extracted with CH2Cl2 three times, and the combined organic layers were dried over MgSO4 and concentrated under reduced pressure. The crude product was purified by column chromatography on silica gel (Hex:EtOAc = 2:1) to afford 8 (483 mg, 1.33 mmol, 51% yield) as white powder: 1H NMR (400 MHz, CDCl3) δ 7.44 (s, 1H), 7.31–7.29 (m, 3H), 7.23–7.20 (m, 1H), 7.10–7.07 (m, 1H), 6.08 (s, 1H), 5.13 (s, 2H), 3.97 (s, 3H), 2.50 (s, 3H); 13C NMR (100 MHz, CDCl3) δ 175.4, 168.2, 153.1, 149.7, 149.0, 139.1, 134.7, 130.1, 128.4, 127.7, 125.6, 122.3, 119.2, 113.0, 108.3, 72.2, 62.2, 14.0; LC/MS (ESI) m/z Found 363.0952 (M + H)+; Calcd for C18H15ClO4S: 362.0380.
4.1.4. Synthesis of 6-(3-chloro-benzyloxy)-2-methanesulfonyl-5-methoxy-chromen-4-one (9)
To a stirred solution of 8 (500 mg, 1.38 mmol) in CH2Cl2 (20 mL) was added mCPBA (681 mg, 3.04 mmol) at 0 °C. The reaction mixture was stirred for 12 h at room temperature, and then washed with saturated aq. NaHCO3 solution, dried over MgSO4, and concentrated under reduced pressure. The resulting crude product was purified by column chromatography on silica gel (Hex:EtOAc = 2:1) to afford 9 (387 mg, 0.98 mmol, 71% yield) as off-white powder: 1H NMR (400 MHz, CDCl3) δ 7.44 (s, 1H), 7.37–7.35 (m, 1H), 7.33–7.31 (m, 3H), 7.27 (d, J = 2.2 Hz, 1H), 6.93 (s, 1H), 5.17 (s, 2H), 3.99 (s, 3H), 3.22 (s, 3H); 13C NMR (100 MHz, DMSO-d 6) δ 176.2, 159.2, 151.3, 149.7, 149.2, 138.3, 134.6, 130.1, 128.5, 127.4, 125.3, 122.9, 119.7, 113.9, 122.2, 71.6, 62.0, 40.8; LC/MS (ESI) m/z Found: 395.0849 (M + H)+; Calcd for C18H15ClO6S: 394.0278.
4.1.5. Synthesis of 2-arylmethyloxy-6-(3-chloro-benzyloxy)-5-methoxy-chromen-4-one (10)
The procedure described below for the synthesis of 10a is representative: To a solution of 9 (200 mg, 0.51 mmol) in THF (12 mL) was added NaH (41 mg, 1.02 mmol) and BnOH (0.06 mL, 0.61 mmol) at 0 °C, and the mixture was stirred for 6 h at room temperature. The reaction was quenched with 1N HCl and extracted with CH2Cl2. The combined organic layers was dried over MgSO4 and concentrated under reduced pressure. The crude compound was purified by column chromatography on silica gel (Hex:EtOAc = 3:2) to afford 10a (106 mg, 0.25 mmol, 49% yield) as white powder.
4.1.6. Synthesis of 2-benzyloxy-6-(3-chloro-benzyloxy)-5-methoxy-chromen-4-one (10a)
Reaction of BnOH (87 mg, 0.61 mmol) and 9 (200 mg, 0.51 mmol) according to the procedure described above afforded 10a (106 mg, 0.25 mmol, 49% yield) as white powder: 1H NMR (400 MHz, CDCl3) δ 7.44–7.39 (m, 6H), 7.31–7.30 (m, 3H), 7.20 (d, J = 9.1 Hz, 1H), 7.07 (d, J = 9.1 Hz, 1H), 5.58 (s, 1H), 5.18 (s, 2H), 5.12 (s, 2H), 3.97 (s, 3H); 13C NMR (125 MHz, DMSO-d 6) δ 165.8, 148.8, 147.9, 140.0, 136.3, 135.0, 133.6, 130.9, 129.3, 129.2, 129.1, 128.8, 128.3, 127.8, 126.6, 120.5, 117.9, 113.4, 88.8, 71.5, 70.3, 61.7; LC/MS (ESI) m/z Found 423.1598 (M + H)+; Calcd for C24H19ClO5: 422.0921.
4.1.7. Synthesis of 2,6-bis-(3-chloro-benzyloxy)-5-methoxy-chromen-4-one (10b)
Reaction of (3-chlorophenyl)methanol (87 mg, 0.61 mmol) and 9 (200 mg, 0.51 mmol) according to the procedure described above for the synthesis of 10a afforded 10b (146 mg, 0.32 mmol, 63% yield) as white powder: 1H NMR (400 MHz, CDCl3) δ 7.44 (s, 2H), 7.37–7.35 (m, 2H), 7.31 (s, 4H), 7.23–7.22 (m, 1H), 7.10–7.07 (m, 1H), 5.56 (s, 1H), 5.15 (s, 2H), 5.13 (s, 2H), 3.98 (s, 3H); 13C NMR (100 MHz, CDCl3) δ 178.6, 165.4, 149.6, 149.1, 138.9, 135.8, 134.9, 134.6, 130.2, 129.9, 129.2, 128.3, 127.9, 127.5, 125.8, 125.4, 121.8, 118.2, 112.7, 97.6, 89.0, 72.0, 70.2, 62.1; LC/MS (ESI) m/z Found 457.1011 (M + H)+; Calcd for C24H18Cl2O5: 456.0531.
4.1.8. Synthesis of 6-(3-chloro-benzyloxy)-2-(4-chloro-benzyloxy)-5-methoxy-chromen-4-one (10c)
Reaction of (4-chlorophenyl)methanol (87 mg, 0.61 mmol) and 9 (200 mg, 0.51 mmol) according to the procedure described above for the synthesis of 10a afforded 10c (151 mg, 0.33 mmol, 65% yield) as white powder: 1H NMR (400 MHz, CDCl3) δ 7.44 (s, 1H), 7.41–7.37 (m, 4H), 7.33–7.30 (m, 3H), 7.21 (d, J = 9.2 Hz, 1H), 7.08 (d, J = 9.2 Hz, 1H), 5.59 (s, 1H), 5.15 (s, 2H), 5.13 (s, 2H), 3.98 (s, 3H); 13C NMR (100 MHz, DMSO-d 6) δ 177.2, 165.2, 148.5, 148.3, 139.5, 133.6, 133.4, 133.1, 130.4, 130.2, 128.7, 127.9, 127.3, 126.1, 120.0, 117.4, 112.9, 88.3, 70.0, 69.8, 61.2; LC/MS (ESI) m/z Found 457.1121 (M + H)+; Calcd for C24H18Cl2O5: 456.0531.
4.1.9. Synthesis of 6-(3-chloro-benzyloxy)-2-(3,5-dichloro-benzyloxy)-5-methoxy-chromen-4-one (10d)
Reaction of (3,5-dichlorophenyl)methanol (108 mg, 0.61 mmol) and 9 (200 mg, 0.51 mmol) according to the procedure described above for the synthesis of 10a afforded 10d (177 mg, 0.36 mmol, 71% yield) as white powder: 1H NMR (400 MHz, CDCl3) δ 7.44 (s, 1H), 7.38 (t, J = 1.8 HZ, 1H), 7.33–7.29 (m, 5H), 7.22 (d, J = 9.1 Hz, 1H), 7.08 (d, J = 9.1 Hz, 1H), 5.54 (s, 1H), 5.13 (s, 2H), 5.12 (s, 2H); 13C NMR (100 MHz, CDCl3) δ 177.7, 164.2, 148.7, 148.6, 148.3, 138.0, 136.3, 134.7, 133.7, 129.1, 128.2, 127.4, 126.6, 125.0, 124.5, 120.8, 117.3, 111.9, 88.2, 71.0, 68.4, 61.2; LC/MS (ESI) m/z Found: 491.0715 (M + H)+; Calcd for C24H17Cl3O5: 490.0142.
4.1.10. Synthesis of 6-(3-chloro-benzyloxy)-2-(3-iodo-benzyloxy)-5-methoxy-chromen-4-one (10e)
Reaction of (3-iodophenyl)methanol (143 mg, 0.61 mmol) and 9 (200 mg, 0.51 mmol) according to the procedure described above for the synthesis of 10a afforded 10e (165 mg, 0.30 mmol, 59% yield) as white powder: 1H NMR (400 MHz, CDCl3) δ 7.80–7.72 (m, 2H), 7.44–7.08 (m, 8H), 5.56 (s, 1H), 5.13 (s, 2H), 5.11 (s, 2H), 3.98 (s, 3H); 13C NMR (100 MHz, CDCl3) δ 179.4, 166.1, 150.4, 150.3, 149.9, 139.7, 138.9, 137.5, 136.8, 135.3, 131.3, 130.7, 129.0, 128.3, 127.8, 126.2, 122.5, 119.0, 113.5, 95.4, 89.8, 72.7, 70.8, 62.9; LC/MS (ESI) m/z Found: 549.1215 (M + H)+; Calcd for C24H18ClIO5: 547.9887.
4.1.11. Synthesis of 6-(3-chloro-benzyloxy)-2-(4-iodo-benzyloxy)-5-methoxy-chromen-4-one (10f)
Reaction of (4-iodophenyl)methanol (143 mg, 0.61 mmol) and 9 (200 mg, 0.51 mmol) according to the procedure described above for the synthesis of 10a afforded 10f (170 mg, 0.31 mmol, 61% yield) as white powder: 1H NMR (400 MHz, CDCl3) δ 7.76 (d, J = 8.2 Hz, 2H), 7.44 (s, 1H), 7.32–7.29 (m, 3H), 7.21 (d, J = 9.1 Hz, 1H), 7.18 (d, J = 8.2 Hz, 2H), 7.07 (d, J = 9.1 Hz, 1H), 5.55 (s, 1H), 5.13 (s, 2H), 5.11 (s, 2H), 3.97 (s, 3H); 13C NMR (100 MHz, CDCl3) δ 178.0, 164.8, 149.0, 148.9, 148.5, 138.3, 137.4, 133.9, 132.9, 129.3, 129.0, 127.6, 126.9, 124.8, 121.1, 117.6, 112.1, 94.2, 88.4, 71.3, 69.8, 61.4; LC/MS (ESI) m/z Found 549.0132 (M + H)+; Calcd for C24H18ClIO5: 547.9887.
4.1.12. Synthesis of 3-[6-(3-chloro-benzyloxy)-5-methoxy-4-oxo-4H-chromen-2-yloxymethyl]-benzonitrile (10g)
Reaction of (3-cyanophenyl)methanol (81 mg, 0.61 mmol) and 9 (200 mg, 0.51 mmol) according to the procedure described above for the synthesis of 10a afforded 10g (107 mg, 0.24 mmol, 47% yield) as white powder: 1H NMR (400 MHz, CDCl3) δ 7.76 (s, 1H), 7.71–7.67 (m, 2H), 7.58–7.54 (m, 1H), 7.45 (s, 1H), 7.33–7.30 (m, 3H), 7.24–7.22 (m, 1H), 7.11–7.09 (m, 1H), 5.56 (s, 1H), 5.21 (s, 2H), 5.14 (s, 2H), 3.98 (s, 3H); 13C NMR (100 MHz, CDCl3) δ 178.8, 165.4, 149.8, 149.7, 149.4, 139.1, 135.8, 134.8, 132.8, 132.1, 131.3, 130.2, 130.0, 128.5, 127.7, 125.7, 122.0, 118.4, 113.5, 113.0, 89.3, 72.1, 69.8, 62.3; LC/MS (ESI) m/z Found: 448.1598 (M + H)+; Calcd for C25H18ClNO5: 447.0874.
4.1.13. Synthesis of 2-arylmethyloxy-6-(3-chloro-benzyloxy)-5-hydroxy-chromen-4-one (5)
The procedure described below for the synthesis of 5a is representative: To a solution of 10a (118 mg, 0.28 mmol) in CH2Cl2 (20 mL) was added AlCl3 (33 mg, 0.25 mmol) at 0 °C and the mixture was stirred for 4 h at room temperature. The reaction was quenched with 1N HCl and extracted with EtOAc, dried over MgSO4 and concentrated under reduced pressure. The crude compound was purified by column chromatography on silica gel (Hex:EtOAc:MC = 2:1:1) to afford 5a.
4.1.14. Synthesis of 2-benzyloxy-6-(3-chloro-benzyloxy)-5-hydroxy-chromen-4-one (5a)
The desired compound 5a (65 mg, 0.16 mmol, 57% yield) was obtained as white powder: 1H NMR (400 MHz, CDCl3) δ 13.02 (s, 1H), 7.46–7.40 (m, 5H), 7.37–7.28 (m, 4H), 7.12 (d, J = 9.0 Hz, 1H), 6.74 (d, J = 9.0 Hz, 1H), 5.58 (s, 1H), 5.26 (s, 2H), 5.16 (s, 2H); 13C NMR (100 MHz, CDCl3) δ 185.0, 167.3, 150.9, 148.2, 142.3, 139.0, 134.5, 133.4, 130.2, 129.3, 129.0, 128.2, 128.1, 127.6, 125.6, 122.1, 109.6, 105.2, 86.9, 71.7, 71.5 LC/MS (ESI) m/z Found: 409.1545 (M + H)+; Calcd for C23H17ClO5: 408.0765; HPLC retention time of 10.77 min, >97% pure at 340 nm and >95% pure at 220 nm.
4.1.15. Synthesis of 2,6-bis-(3-chloro-benzyloxy)-5-hydroxy-chromen-4-one (5b)
Reaction of 10b (60 mg, 0.13 mmol) with AlCl3 (15 mg, 0.12 mmol) according to the procedure described above for the synthesis of 5a afforded 5b (32 mg, 0.07 mmol, 54% yield) as: 1H NMR (400 MHz, CDCl3) δ 12.97 (s, 1H), 7.46 (s, 1H), 7.44 (s, 1H), 7.40–7.29 (m, 6H), 7.13 (d, J = 9.0 Hz, 1H), 6.75 (d, J = 9.0 Hz, 1H), 5.57 (s, 1H), 5.23 (s, 2H), 5.16 (s, 2H); 13C NMR (100 MHz, DMSO-d 6) δ 183.2, 166.0, 148.0, 145.8, 140.6, 138.3, 135.3, 132.0, 131.8, 129.3, 129.1, 127.5, 126.9, 126.5, 126.1, 125.7, 124.9, 120.0, 107.4, 104.3, 85.0, 69.3, 68.7; LC/MS (ESI) m/z Found: 443.0911 (M + H)+; Calcd for C23H16Cl2O5: 442.0375; HPLC retention time of 11.20 min, >97% pure at 340 nm and >95% pure at 220 nm.
4.1.16. Synthesis of 6-(3-chloro-benzyloxy)-2-(4-chloro-benzyloxy)-5-hydroxy-chromen-4-one (5c)
Reaction of 10c (280 mg, 0.61 mmol) with AlCl3 (72 mg, 0.54 mmol) according to the procedure described above for the synthesis of 5a afforded 5c (126 mg, 0.28 mmol, 46% yield) as white powder: 1H NMR (400 MHz, CDCl3) δ 12.97 (s, 1H), 7.45 (s, 1H), 7.42–7.36 (m, 4H), 7.34–7.32 (m, 1H), 7.30–7.28 (m, 2H), 7.13 (d, J = 9.0 Hz, 1H), 6.73 (d, J = 9.0 Hz, 1H), 5.56 (s, 1H), 5.22 (s, 2H), 5.16 (s, 2H); 13C NMR (100 MHz, CDCl3) δ 184.0, 166.1, 150.0, 147.2, 141.5, 138.1, 134.4, 133.6, 131.0, 129.0, 128.5, 128.3, 127.3, 126.7, 124.7, 121.3, 108.7, 104.3, 86.0, 70.7, 69.8; LC/MS (ESI) m/z Found: 443.0949 (M + H)+; Calcd for C23H16Cl2O5: 442.0375; HPLC retention time of 11.16 min, >97% pure at 340 nm and >95% pure at 220 nm.
4.1.17. Synthesis of 6-(3-chloro-benzyloxy)-2-(3,5-dichloro-benzyloxy)-5-hydroxy-chromen-4-one (5d)
Reaction of 10d (72 mg, 0.15 mmol) with AlCl3 (18 mg, 0.13 mmol) according to the procedure described above for the synthesis of 5a afforded 5d (34 mg, 0.07 mmol, 47% yield) as white powder: 1H NMR (400 MHz, CDCl3) δ 12.93 (s, 1H), 7.46 (s, 1H), 7.40 (s, 1H), 7.33–7.29 (m, 5H), 7.15 (d, J = 9.0 Hz, 1H), 6.75 (d, J = 9.0 Hz, 1H), 5.56 (s, 1H), 5.20 (s, 2H), 5.17 (s, 1H); 13C NMR (100 MHz, CDCl3) δ 184.9, 166.7, 160.5, 150.9, 148.0, 142.5, 138.9, 136.7, 135.7, 129.9, 129.3, 128.2, 127.6, 126.0, 125.6, 122.2, 113.8, 105.3, 87.0, 71.6, 69.6; LC/MS (ESI) m/z Found: 477.0615 (M + H)+; Calcd for C23H15Cl3O5: 475.9985; HPLC retention time of 11.89 min, >97% pure at 340 nm and >95% pure at 220 nm.
4.1.18. Synthesis of 6-(3-chloro-benzyloxy)-5-hydroxy-2-(3-iodo-benzyloxy)-chromen-4-one (5e)
Reaction of 10e (375 mg, 0.68 mmol) with AlCl3 (80 mg, 0.61 mmol) according to the procedure described above for the synthesis of 5a afforded 5e (198 mg, 0.37 mmol, 54% yield) as white powder: 1H NMR (400 MHz, CDCl3) δ 13.02 (s, 1H), 7.80 (s, 1H), 7.74 (d, J = 7.9 Hz, 1H), 7.46 (s, 1H), 7.40 (d, J = 7.9 Hz, 1H), 7.33–7.29 (m, 3H), 7.19–7.12 (m, 2H), 6.74 (d, J = 8.9 Hz, 1H), 5.56 (s, 1H), 5.19 (s, 2H), 5.16 (s, 2H); 13C NMR (100 MHz, CDCl3) δ 185.0, 167.1, 151.0, 148.2, 142.5, 139.1, 138.4, 136.9, 135.8, 134.6, 130.7, 130.0, 128.3, 127.7, 127.2, 125.7, 122.3, 109.7, 105.4, 94.7, 87.0, 71.7, 70.5; LC/MS (ESI) m/z Found: 535.1316 (M + H)+; Calcd for C23H16ClIO5: 533.9731; HPLC retention time of 11.56 min, >97% pure at 340 nm and >95% pure at 220 nm.
4.1.19. Synthesis of 6-(3-chloro-benzyloxy)-5-hydroxy-2-(4-iodo-benzyloxy)-chromen-4-one (5f)
Reaction of 10f (318 mg, 0.58 mmol) with AlCl3 (68 mg, 0.52 mmol) according to the procedure described above for the synthesis of 5a afforded 5f (132 mg, 0.25 mmol, 43% yield) as white powder: 1H NMR (400 MHz, CDCl3) δ 12.97 (s, 1H), 7.77 (d, J = 8.2 Hz, 2H), 7.46 (s, 1H), 7.35–7.29 (m, 3H), 7.18 (d, J = 8.2 Hz, 2H), 7.13 (d, J = 8.9 Hz, 1H), 6.73 (d, J = 8.9 Hz, 1H), 5.56 (s, 1H), 5.20 (s, 2H), 5.16 (s, 2H); 13C NMR (100 MHz, CDCl3) δ 186.7, 168.8, 152.7, 149.9, 144.2, 140.8, 139.9, 136.3, 134.9, 131.7, 131.5, 130.0, 129.4, 127.4, 124.0, 111.4, 107.0, 96.9, 88.7, 73.4, 72.6; LC/MS (ESI) m/z Found 535.0123 (M + H)+; Calcd for C23H16ClIO5: 533.731 HPLC: retention time of 11.52 min, >97% pure at 340 nm and >95% pure at 220 nm.
4.1.20. Synthesis of 3-[6-(3-chloro-benzyloxy)-5-hydroxy-4-oxo-4H-chromen-2-yloxymethyl]-benzonitrile (5g)
Reaction of 10g (300 mg, 0.67 mmol) with AlCl3 (79 mg, 0.60 mmol) according to the procedure described above for the synthesis of 5a afforded 5g (146 mg, 0.34 mmol, 51% yield) as white powder: 1H NMR (400 MHz, CDCl3) δ 12.91 (s, 1H), 7.76 (s, 1H), 7.72–7.67 (m, 2H), 7.59–7.55 (m, 1H), 7.46 (s, 1H), 7.39–7.30 (m, 3H), 7.14 (d, J = 9.0 Hz, 1H), 6.75 (d, J = 9.0 Hz, 1H), 5.57 (s, 1H), 5.29 (s, 2H), 5.17 (s, 2H); 13C NMR (100 MHz, CDCl3) δ 186.8, 168.6, 152.8, 149.9, 144.4, 140.8, 137.1, 136.4, 134.6, 133.8, 133.0, 131.8, 130.1, 129.5, 127.5, 124.1, 120.0, 115.2, 111.5, 107.2, 88.9, 73.5, 71.8; LC/MS (ESI) m/z Found: 434.1511 (M + H)+; Calcd for C24H16ClNO5: 433.0717; HPLC: retention time of 10.24 min, >97% pure at 340 nm and >95% pure at 220 nm.
4.2. Biological assay
4.2.1. Anti-HCV assay
The human hepatoma cell line Huh-7, carrying the subgenomic HCV genotype 1 replicon with the luc-ubi-neo (reporter/selective) fusion gene, was kindly provided by Dr. Ralf Bartenschlager (University of Heidelberg, Heidelberg, Germany) [16]. Huh-5-2 cells were seeded at a density of 5 × 103 per well in a tissue culture-treated white 96-well view plate in complete DMEM supplemented with 500 μg/mL G418. After incubation for 24 h at 37 °C (5% CO2), medium was refreshed (with G418) and DMSO stock of test compounds was added. After 4 days of incubation at 37 °C, cell culture medium was removed and luciferase activity was determined using the Steady-Glo luciferase assay system (Promega, Leiden, The Netherlands).
4.2.2. Anti-SCV assay
Carboxytetramethylrhodamine (TAMRA)-modified 45-base-oligomer and fluorescein-modified 25-base-oligomer were purchased from Integrated DNA Technologies: 5′-20T25Tam (5′-TTTTTTTTTTTTTTTTTTTTGAGCGGATTACTATACTACATTAGA (TAMRA)-3′) and 3′-0T25Flu (5′-(Fluorescein)TCTAATGTAGTATAGTAATCCGCTC-3′). The helicase substrate was prepared by annealing the two oligomers, which resulted in 25 base pairs of dsDNA with single-stranded 20 dT of 5′-overhang. A 80 μl solution of SCV helicase (150 nM) in 20 mM HEPES (pH 7.4) buffer was added to each well of the 96-well assay plate which already contained 1 μl of various concentrations of chemical compounds. After 5 min incubation at rt, the FRET based dsDNA-unwinding assay was started by addition of 20 μl 5× reaction solution [5 mM MgCl2, 45 mM ATP, 25 mM DTT, and 100 nM dsDNA substrate in 20 mM HEPES (pH 7.4)]. The reaction mixture was further incubated for 2 min at 37 °C and stopped with 100 μl of termination solution [0.1 M EDTA and 0.4 μM trap DNA (unmodified 25 bases 3′-0T25 oligomer) in 20 mM HEPES (pH 7.4)]. The sample was excited at 485 nm and the fluorescence was measured at 535 nm.
4.2.3. Cell viability assay
Normal human fibroblast cells (HS27) were seeded (5 × 103 cells/well) in tissue-cultured COSTAR clear bottom 96-well plate in complete DMEM (Dulbecco’s Modified Eagle Media) and incubated for 1 day (37 °C, 5% CO2). Prepared test compounds dissolved in DMSO were diluted into 6 different concentrations (0.1, 0.5, 1, 5, 10, 50 μM) and added to the media. After 24 h, cell viability was estimated by MTT assay. Each experiment was performed in triplicates and repeated three times.
Acknowledgments
This research was supported by Basic Science Research Program through the National Research Foundation of Korea (NRF) funded by the Ministry of Education, Science and Technology (2010-0008260), by Priority Research Centers Program through the National Research Foundation of Korea (NRF) funded by the Ministry of Education, Science and Technology (2009-0093824), by a grant from ORP 11-28-66 (NIAS), and by a grant from Next Generation Biogreen 21 program PJ007982 (Korea Rural Development Administration). Y.-J. Jeong was supported by a grant of the Korea Healthcare technology R&D Project, Ministry for Health, Welfare & Family Affairs, Republic of Korea (A090410), and the research program 2010 of Kookmin University in Korea.
References
- 1.Hazuda D., Felock P., Witmer M., Wolfe A., Stillmock K., Grobler J.A., Espeseth A., Gabryelski L., Schleif W., Blau C., Miller M.D. Science. 2000;287:646–650. doi: 10.1126/science.287.5453.646. [DOI] [PubMed] [Google Scholar]
- 2.Summa V., Petrocchi A., Pace P., Matassa V.G., De Francesco R., Altamura S., Tomei L., Koch U., Neuner P. J. Med. Chem. 2004;47:14–17. doi: 10.1021/jm0342109. [DOI] [PubMed] [Google Scholar]
- 3.Di Santo R., Fermeglia M., Ferrone M., Paneni M.S., Costi R., Artico M., Roux A., Gabriele M., Tardif K.D., Siddiqui A., Pricl S. J. Med. Chem. 2005;48:6304–6314. doi: 10.1021/jm0504454. [DOI] [PubMed] [Google Scholar]
- 4.Kim J., Kim K.-S., Lee H.S., Park K.-S., Park S.Y., Kang S.-Y., Lee S.J., Park H.S., Kim D.-E., Chong Y. Bioorg. Med. Chem. Lett. 2008;18:4661–4665. doi: 10.1016/j.bmcl.2008.07.008. [DOI] [PubMed] [Google Scholar]
- 5.Lee C., Lee J.M., Lee N.-R., Jin B.-S., Jang K.J., Kim D.-E., Jeong Y.-J., Chong Y. Bioorg. Med. Chem. Lett. 2009;19:1636–1638. doi: 10.1016/j.bmcl.2009.02.010. [DOI] [PMC free article] [PubMed] [Google Scholar]
- 6.Pace P., Nizi E., Pacini B., Pesci S., Matassa V., De Francesco R., Altamura S., Summa V. Bioorg. Med. Chem. Lett. 2004;14:3257–3261. doi: 10.1016/j.bmcl.2004.03.087. [DOI] [PubMed] [Google Scholar]
- 7.Lee H.S., Park K.-S., Lee B., Kim D.-E., Chong Y. Bioorg. Med. Chem. 2010;18:7331–7337. doi: 10.1016/j.bmc.2010.09.021. [DOI] [PubMed] [Google Scholar]
- 8.Lee H.S., Park K.-S., Lee C., Lee B., Kim D.-E., Chong Y. Bioorg. Med. Chem. Lett. 2010;20:5709–5712. doi: 10.1016/j.bmcl.2010.08.012. [DOI] [PubMed] [Google Scholar]
- 9.C. Lee, Y.-J. Jeong, Y. Chong, Unpublished result.
- 10.Quideau S., Looney M.A., Pouységu L., Ham S., Birney D.M. Tetrahedron Lett. 1999;40:615–618. [Google Scholar]
- 11.Lee G.H., Pak C.S. Synth. Commun. 1999;29:2539–2545. [Google Scholar]
- 12.Kim Y.-W., Mobley J.A., Brueggemeier R.W. Bioorg. Med. Chem. Lett. 2003;13:1475–1478. doi: 10.1016/s0960-894x(03)00132-x. [DOI] [PubMed] [Google Scholar]
- 13.Love R.A., Parge H.E., Yu X., Hickey M.J., Diehl W., Gao J., Wriggers H., Ekker A., Wang L., Thomson J.A., Dragovich P.S., Fuhrman S.A. J. Virol. 2003;77:7575–7581. doi: 10.1128/JVI.77.13.7575-7581.2003. [DOI] [PMC free article] [PubMed] [Google Scholar]
- 14.Crute J.J., Grygon C.A., Hargrave K.D., Simoneau B., Faucher A.M., Bolger G., Kibler P., Liuzzi M., Cordingley M.G. Nat. Med. 2002;8:386–391. doi: 10.1038/nm0402-386. [DOI] [PubMed] [Google Scholar]
- 15.Borowski P., Schalinski S., Schmitz H. Antivir. Res. 2002;55:397–412. doi: 10.1016/s0166-3542(02)00096-7. [DOI] [PubMed] [Google Scholar]
- 16.Lohmann V., Korner F., Koch J., Herian U., Theilmann L., Bartenschlager R. Science. 1999;285:110–113. doi: 10.1126/science.285.5424.110. [DOI] [PubMed] [Google Scholar]



