Abstract
This chapter reports the applicability of ionic liquids in the formation of different types of multicomponent reactions. Easy work-up, relatively short reaction times, good to high yields of the desired products, mild reaction conditions, low cost, availability, and reusability of the employed ionic liquids are the striking features of the reported methodologies.
Keywords: Ionic Liquid, Short Reaction Time, Ethyl Cyanoacetate, Acidic Ionic Liquid, Ionic Liquid Phase
Introduction
During the last few years, multicomponent reactions (MCRs) have proved to be remarkably successful in generating molecular complexity in a single synthetic operation. These processes consist of two or more synthetic steps, which are progressed without isolation of any intermediates, thus reducing time and saving both energy and raw materials. MCRs are powerful tools in the modern drug discovery process and allow fast, automated, and high-throughput generation of the libraries of organic compounds.
In recent years, use of ionic liquids in organic reactions is attracted the attention of organic chemists. This attention can be attributed to their important physicochemical properties, e.g., low melting point, negligible vapor pressure, low flammability, tunable polarity, miscibility with other organic or inorganic compounds, and their low solubility toward compounds of low polarity. Because of these unique properties, ionic liquids have found widespread applications in organic reactions, i.e., as solvent catalyst, co-catalyst, or catalyst activator for the reactions. This chapter attempts to present a summary of recent developments in the rapidly growing field of the application of ionic liquids in multicomponent reactions.
Ionic Liquids Based on 1-Butyl-3-methylimidazolium
1-Butyl-3-methylimidazolium
In view of the rapidly increasing importance of imidazolium-based ionic liquids as novel reaction media, use of 1-butyl-3-methylimidazolium tetrafluoroborate ([bmim][BF4]) as a recyclable solvent and promoter for greener organic synthesis is attracted the attention of many organic chemists.
The Passerini reaction, also called the 3-CC reaction, which consists of the reaction of a carboxylic acid, a carbonyl compound, and an isocyanide providing an α-(acyloxy)carboxamide in a single step, was carried out for the first time in [bmim][BF4] (Fig. 12.1) [1].
Fig. 12.1.

The Passerini reaction promoted in [bmim][BF4]
This reaction was done with a variety of substituted aromatic and aliphatic carboxylic acids and aldehydes. Unlike the aromatic aldehydes that produced the corresponding products in high purity and good yields, reactions with aliphatic aldehydes produced several unidentified substances together with the desired α-(acyloxy)carboxamide products. In the case of ketones, cyclohexanone was successfully included into this 3-CC process and gave the corresponding products in reasonable yield, but attempts to use acetophenone as the carbonyl substrate failed. The inactivity of the acetophenone in this reaction may be due to the steric effect of the relatively bulky phenyl group.
Actually, a steric congestion effect was also manifested with other substrates. For example, with aromatic carboxylic acids or aldehydes substituted on the o-position of the aromatic ring, the reactions gave lower yields compared with those unsubstituted or substituted on p- or m-position. This method had the advantages of high efficiency, a green nature, simple operation, and ease of recovery and reuse of the reaction medium. The recovered [bmim][BF4] could be successively recycled in subsequent reactions without obvious loss in its efficiency.
Three categories of agents against the human immunodeficiency virus (HIV) are nucleoside analogues, protease inhibitors, such as thiourea derivatives. Therefore, Le and his coworkers developed a simple, mild, and efficient method for the synthesis of thiourea derivatives via the reaction of phenyl isothiocyanate and amines in [bmim][BF4] (Fig. 12.2) [2]. The method is also useful for the preparation of 1,3-disubstituted thioureas from the reaction of butylisocyanate with aniline and/or butyl amine. They have found that the ionic liquid which plays the dual role of solvent and promoter is recyclable and can be reused in subsequent runs without decrease of the yield.
Fig. 12.2.

Preparation of thiourea derivatives in [bmim][BF4]
1,3,4-Thiadiazoles have attracted significant interest in medicinal chemistry and many fields of technology. Some of the technological applications involve dyes, lubricating compositions, optically active liquid crystals, and photographic materials. In medicinal field, one of the best-known drugs based on 1,3,4-thiadiazole is the acetazolamide (Acetazola), which is a carbonic anhydrase inhibitor launched in 1954.
In 2008, Rostamizadeh and his coworkers reported that one-pot condensation of hydrazine hydrate with phenylisothiocyanate and benzaldehydes in the presence of [bmim][BF4] led to the formation of 1,3,4-thiadiazoles in excellent yields during relatively short reaction times (Fig. 12.3) [3]. A mechanism was proposed for these reactions (Fig. 12.4). From where it can be observed that after from formation of 4-phenylthiosemicarbazide, the ionic liquid amplifies the partial positive charge on carbon in carbonyl group, producing thiosemicarbazone intermediate (1). In the next step, the ionic liquid accelerates the cyclization to form a cyclic intermediate (2) followed by aromatization to final 1,3,4-thiadiazole product, affecting its activity and the rate enhancement role in this process. Here, the ionic liquid acted not only as a solvating medium but also as a promoter, and catalyst for the reaction, giving rise to advantage of both mild temperature conditions and the nonrequirement of a catalyst.
Fig. 12.3.

Synthesis of 1,3,4-thiadiazoles promoted by [bmim][BF4]
Fig. 12.4.

Mechanism of the synthesis 1,3,4-thiadiazoles in [bmim][BF4]
The easy work-up, the absence of a catalyst, and short reaction times when nonvolatile ionic liquid is used as the reaction medium make the method amenable for scale-up operations.
Tetrahydroquinoline derivatives are an important class of compounds in the field of pharmaceuticals due to their wide-spectrum biological activities including psychotropic, antiallergenic, anti-inflammatory, and estrogenic behaviors.
Particularly, isoquinolonic acids are useful precursors for the total synthesis of naturally occurring phenanthridine alkaloids such as corynoline, oxocorynoline, and epicorynoline as well as indenoisoquinolines possessing significant antitumor activity.
In view of the emerging importance of the ionic liquids as novel reaction media, Yadav and his coworkers explored the use of ionic liquids as promoters for the synthesis of cis-quinolonic acids. The reactions of various aldehydes, amines, and homophthalic anhydride were studied in different ionic liquids (Fig. 12.5) [4]. Among these ionic liquids, [bmim][BF4] was found to be superior in terms of yields, reaction rates, and reusability.
Fig. 12.5.

Synthesis of cis-quinolonic acids in [bmim][BF4]
In all cases, the reactions proceeded efficiently at ambient temperature under mild conditions to afford the corresponding isoquinolonic acids in high yields. However, in the absence of ionic liquids, the reaction did not yield any product even after a long reaction time. This observation clearly indicated the efficiency of ionic liquids for this transformation.
Li and coworkers reported their primary results on the Mannich reaction catalyzed by a cation-functionalized acidic ionic liquid, 1-carboxymethyl-3-methylimidazolium tetrafluoroborate ([cmmim][BF4]) in the mixture of water and 1-butyl-3-methylimidazolium tetrafluoroborate ([bmim][BF4]) (Fig. 12.6) [5]. β-aminoketone derivatives were synthesized successfully in aqueous [bmim][BF4] with satisfactory to excellent yields, and the catalyst-containing aqueous media can be recycled at least six times with similar activity. In their procedure, the recovered catalyst-containing aqueous media could be reused directly (straightforwardly) without other manipulation such as distillation and dehydration.
Fig. 12.6.

Condensation of aldehydes, ketones, and amines in ionic liquids
Investigations showed that electron-donating substituents of aniline and aromatic aldehydes were disadvantageous to Mannich reaction; the yields of 4-methyl-aniline were lower than those of other aromatic amines. Moreover, no β-aminoketones were obtained on using 4-aminoanisole as an amine component.
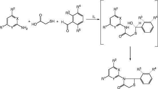
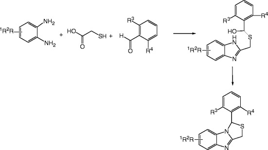
Benzimidazoles possess important pharmacological activities such as antimicrobial, antifungal, antiparkinson, anticancer, and antibiotic. The one-pot regioselective synthesis of these compounds has been performed by taking a heteroaromatic amine and/or 1,2-phenylenediamine with 2-mercaptoacetic acid and an aromatic aldehyde in ionic liquids, namely, 1-butyl-3-methylimidazolium trifluoroborate ([bmim][BF4]) and 1-methoxyethyl-3-methylimidazolium trifluoroacetate ([MOEMIM][TFA]). The reaction has been carried out under nitrogen atmosphere (Figs. 12.7, 12.8) [6]. Consideration of the yields of compounds revealed that [MOEMIM][TFA] is a better reaction media in comparison to [bmim][BF4].
Fig. 12.7.

Synthesis of benzimidazoles in [bmim][BF4]
Fig. 12.8.

Preparation of benimidazoles promoted by [MOEMIM][TFA]
This may be attributed due to the ability of [MOEMIM][TFA] to hydrogen bond with aromatic/heterocyclic/1,2-phenylenediamine. Studies for recyclability of the regenerated ionic liquids cleared that the yield of the products decreases in various cycles, yet ionic liquid can be reused with significant success. The absence of catalyst and recyclability of ionic liquid make this procedure cleaner and promising for scale-up.
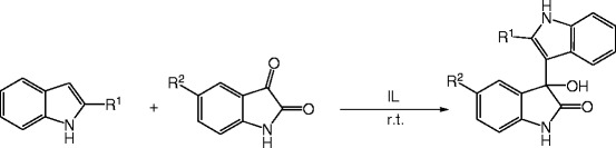
Isatin is the privileged lead molecule for designing potential bioactive agents, and its derivatives have been shown to possess a broad spectrum of bioactivity as many of which were assessed anti-HIV, antiviral, antitumor, antifungal, antiangiogenic, anticonvulsants, anti-Parkinson’s disease therapeutic, and effective SARS coronavirus 3CL protease inhibitor. Rad-moghadam and coworkers had demonstrated the application of three ionic liquids in the synthesis of 3- (indol-3-yl) -3-hydroxy indolin-2-ones (Fig. 12.9) and symmetrical as well as unsymmetrical 3,3-di(indol-3-yl)indolin-2-ones (Fig. 12.10) of biological interests at room temperature [7]. The reaction of an indole and an isatin derivative even 3:1 mole ratio under catalysis of N,N,N,N-tetramethylguanidinium triflate (TMGTf) or [bmim]BF4-LiCl ionic liquids gave solely the 1:1 adduct, 3- (indol-3-yl) -3-hydroxy indolin-2-ones, in fairly high yields at room temperature. It seems that in the case of [bmim]BF4-LiCl, Li+ played the same role as H+ in TMGTf. Similar reaction in N,N,N,N-tetramethylguanidinium trifluoroacetate (TMGT) favored to form solely symmetrical 3,3-di(indol-3-yl) indolin-2-ones. The probable mechanism of the reaction is shown in Fig. 12.11.
Fig. 12.9.

Synthesis of 3- (indol-3-yl) -3-hydroxy indolin-2-ones in ionic liquids
Fig. 12.10.

Synthesis of symmetrical 3- (indol-3-yl) -3-hydroxy indolin-2-ones
Fig. 12.11.

Probable mechanism of the synthesis of 3- (indol-3-yl) -3-hydroxy indolin-2-ones
Experimental simplicity associated with the high yield of products, recyclability of ionic liquids, and short reaction times render the methods presented here highly competitive compared to existing procedures.
1-Butyl-3-methylimidazolium Hexafluorophosphate
1-(α-aloxyalkyl)benzotriazoles are of great importance for biochemistry and antitumor activity. Le and coworkers used three-component condensation of benzotriazole, aldehydes, and alcohols in 1-butyl-3-methylimidazolium hexafluorophosphate ([bmim][PF6]) in the presence of catalytic amounts of sulfuric acid for preparation of these type of compounds (Fig. 12.12) [8].
Fig. 12.12.

Synthesis of 1-(α-aloxyalkyl)benzotriazoles in [bmim][PF6]
The ionic liquid can be recovered after extracting the product with ether. The recovered ionic liquid can be reused. The ionic liquid played the dual role of solvent and promoter. This method consists many obvious advantages compared to the conventional methods, including rate acceleration, environmentally more benign, and the simplicity of isolation of the product, higher yield, and possibility of recycling of the ionic liquid.
Thiazolidinone and their derivatives are important heterocyclic compounds due to their broad biological activities such as anti-inflammatory, antiproliferative, anticyclooxygenases (COX-1 and COX-2), antihistaminic, and antibacterial activities. More importantly, some of the 2,3-diaryl-1,3-thiazolidin-4-ones were found to be highly effective against HIV-1 replication.
In 2009, Zhang et al. have investigated the preparation of thiazolidinones via the one-pot three-component condensations of aldehydes, amines, and 2-mercaptoacetic acid in ionic liquids (Fig. 12.13) [9].
Fig. 12.13.

Synthesis of thiazolidinone in [bmim][PF6]
They found that out of the two ILs studied, namely, [bmim][PF6] and [bmim][BF4], [bmim][PF6] gave better results presumably due to its hydrophobic activation activity. It is postulated that water formed in situ from the condensation process is miscible with hydrophilic [bmim][BF4] and thus detained, which prevents the reaction from completion. In contrast, the hydrophobic nature of [bmim][PF6] would create a microenvironment to drive the equilibrium by extruding water out of the ionic liquid phase and thus results in a higher conversion.
Ionic liquids exhibited enhanced reactivity by reducing reaction time and improving the yields significantly. The recovered [bmim][PF6] could be successively recycled for at least five times without obvious loss in its efficiency.
Nitrones are effective 1,3-dipoles, and they can undergo readily cycloaddition with electron-deficient olefins to produce substituted isoxazolidines. Yadav and coworkers reported that these type of reactions are efficiently promoted in ionic liquid [bmim][PF6] (Fig. 12.14) [10]. The method is highly regio- and diastereoselective, and products are obtained in excellent yields. They also showed that the same results can be obtained by using [bmim][BF4] ionic liquid.
Fig. 12.14.

1,3-Dipolar cycloaddition reaction
The simple experimental and product isolation procedures combined with ease of recovery and reuse of this novel reaction media contribute to the development of green strategy for the preparation of isoxazolidines. Furthermore, the use of [bmim][PF6]solvent system for this transformation avoids the use of toxic or corrosive reagents and high temperature reaction conditions, and thus, it provides convenient procedure to carry out the reactions at ambient temperature.
3,4-Dihydropyrimidine-2-(1H)-ones (DHPMs) and their derivatives have attracted considerable interest because of their therapeutic and pharmacological properties. They have emerged as integral backbones of several channel blockers, antihypertensive agents, β-1a antagonists, and neuropeptide Y (NPY) antagonists. Different types of methods are reported for the preparation of DHPMs, out of which the Biginelli’s method is the most important.
The classical Biginelli synthesis is a one-pot condensation using β-dicarbonyl compounds with aldehydes (aromatic and aliphatic ones) and urea or thiourea in ethanol solution containing catalytic amounts of acid. Peng et al. for the first time reported a novel method for the synthesis of dihydropyrimidinones by three-component Biginelli condensations of aldehydes with 1,3-dicarbonyl compounds and urea using room temperature ionic liquids based on [bmim][BF4] or [bmim][PF6] as catalyst under solvent-free and neutral conditions (Fig. 12.15) [11].
Fig. 12.15.

The Biginelli reaction catalyzed by [bmim][PF6]
The main advantages of this methodology are (1) relatively simple catalytic system, (2) shorter reaction times, (3) higher yields, (4) free of organic solvent, and (5) easy synthetic procedure. Comparison between the results obtained in [bmim][BF4] and [bmim][PF6] indicated that the BF−4 and PF−6 anions have some impact on the catalytic performance, and the PF−6 anion is more favorable for such reactions.
1-n-Butyl-3-methylimidazolium Bromide
Imidazo[1,2-a]pyridines have emerged as versatile biologically active compounds spanning applications in anti-inflammatory and antibacterial agents, as inhibitors of gastric acids secretion, as calcium channel blockers, and in antiulcer-based therapies.
Shaabani et al. reported a facile method for the synthesis of imidazo[1,2-a]azines by a one-pot three-component condensation of an aldehyde, a 2-aminoazine, and trimethylsilylcyanide, as an isocyanide equivalent, in the presence of 1-n-butyl-3-methylimidazolium bromide ([bmim][Br]) as a promoter under classical heating conditions in high yields with rather short reaction times (Fig. 12.16) [12].
Fig. 12.16.

Use of [bmim][Br] in the synthesis of imidazo[1,2-a]azines
The efficiency and the yield of the reaction in [bmim][Br] was higher than those obtained in other solvents, such as MeOH, EtOH, CH2Cl2, and toluene and other ionic liquids like [bmim][PF6] and [bmim][BF4]. [bmim][Br] was separated from the reaction medium easily by washing with water and evaporating the solvent under vacuum and reused for subsequent reactions.
It is well known that pyrimidine systems as purine analogues exhibit a wide range of biological activities. Among them, the furo[2,3-d]pyrimidine derivatives act as sedatives, antihistamines, diuretics, muscle relaxants, and antiulcer agents.
Shaabani and co-workers reported the synthesis of furo[2,3-d]pyrimidine-2,4(1H,3H)-diones via the three-component condensation of N,N′-dimethylbarbituric acid, aldehyde, and an alkyl or aryl isocyanide in 1-butyl-3-methylimidazolium bromide ([bmim][Br]) as the solvent and promoter at room temperature (Fig. 12.17) [13].
Fig. 12.17.

Synthesis of furo[2,3-d]pyrimidine derivatives promoted by [bmim][Br]
They have found that the presence of electron-withdrawing functional groups is necessary for the formation of the desired product.
On the contrary, with aromatic aldehydes carrying electron-releasing groups (such as 4-CH3, or 4-OCH3), products were obtained in poor yields. Several significant advantages, such as operational simplicity, mild reaction conditions, enhanced rates, improved yields, ease of isolation of products, recyclability, and the eco-friendly nature of the solvent, make this method a useful and attractive strategy for the synthesis of 2-aminofuran derivatives.
Imidazo[1,2-a]pyridines, an important class of pharmaceutical compounds, exhibit a wide spectrum of biological activities. Shaabani and coworkers developed the synthesis of 3-aminoimidazo [1,2-a] pyridines via the three-component condensation of an aldehyde 1,2-amino-5-methylpyridine or 2-amino-5-bromopyridine 2 and 3 isocyanide in 1-butyl-3-methylimidazolium bromide ([bmim][Br]) at room temperature (Fig. 12.18) [14].
Fig. 12.18.

[bmim][Br] promoted the synthesis of imidazo[1,2-a]pyridines
Under the selected conditions, the ionic liquid [bmim][Br] can be easily separated by washing with water and evaporating the solvent under vacuum, and reuse it for subsequent reactions.
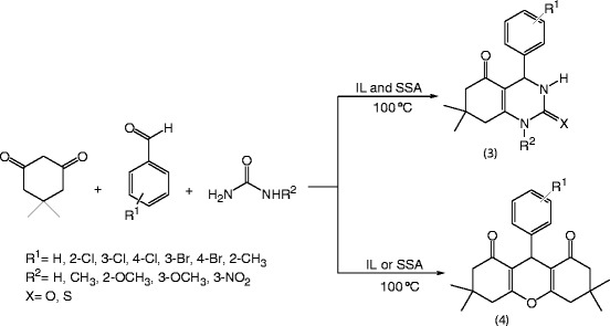
Biginelli-like reactions were performed by using a conjunction of silica sulfuric acid (SSA) as a solid acid and 1-butyl-3-methylimidazolium bromide [bmim][Br] as an ionic liquid. It is important to note that in the presence of only one of the two species, SSA or IL, the reaction proceeds in a different way, so that (4) were formed as the main products of the reaction (Fig. 12.19) [15].
Fig. 12.19.

Biginelli-like reactions in the presence of SSA and IL
The reason for this behavior is not clear, although an explanation may be presented, namely, that the N-acylium intermediate formation is accelerated and stabilized in the presence of SSA and IL (pathway A). However, the reaction proceeds via pathway B in the presence of only IL or only SSA (Fig. 12.20).
Fig. 12.20.

Pathways of the Biginelli-like reaction in [bmim][Br]
The IL effects can be explained with solvophobic interactions that generate an internal pressure, which promoted the association of the reactants in a solvent cavity during the activation process and showed an acceleration of the multicomponent reactions (MCRs) in comparison to conventional solvents. The reaction proceeded very efficiently with benzaldehyde and electron releasing and electron-withdrawing ortho-, meta-, and para-substituted benzaldehydes. IL was easily separated from the reaction medium by washing with water and distillation of the solvent under vacuum and it can be reused for subsequent reactions and recycled. IL showed no loss of efficiency with regard to reaction time and yield after four successive runs.
Butyl Methyl Imidazolium Hydroxide
Ranu et al. reported the dramatic influence of a new tailor-made, task-specific, and stable ionic liquid, butyl methyl imidazolium hydroxide ([bmim][OH]), in Michael addition. They have discovered that a task-specific ionic liquid [bmim][OH] efficiently promoted the Michael addition of 1,3-dicarbonyl compounds, cyano esters, and nitro alkanes to a variety of conjugated ketones, carboxylic esters, and nitriles without requiring any other catalyst and solvent (Fig. 12.21) [16]. Very interestingly, all open-chain 1,3-dicarbonyl compounds such as acetylacetone, ethyl acetoacetate, diethyl malonate, and ethyl cyanoacetate reacted with methyl vinyl ketone and chalcone to give the usual monoaddition products, whereas the same reactions with methyl acrylate or acrylonitrile provided exclusively bis-addition products.
Fig. 12.21.

Michel addition promoted in [bmim][OH]
In general, the great significance of this rather unusual bis-addition is the formation of two C–C bonds in one step. These adducts have great synthetic potential, as they contain several important functional groups. This ionic liquid, [bmim][OH], is very successful in catalyzing this process and making it feasible within a reasonable time period at room temperature to provide high yields of products. All the reactions are very clean and reasonably fast. The reaction conditions are mild (room temperature), accepting several functional groups present in the molecules.
The following mechanism was proposed for these transformations (Fig. 12.22).
Fig. 12.22.

Proposed mechanism for the Michel addition in [bmim][OH]
Several thiols and dithiols underwent double conjugate addition with conjugated terminal acetylenic ketones in the presence of [bmim][OH], to produce the corresponding β-keto 1,3-dithane derivatives (Fig. 12.23). It should be noted that in the case of C-S Michel addition, [bmim][OH] was diluted with another neutral ionic liquid, [bmim][Br], to get the best results. These compounds are of much importance in organic synthesis.
Fig. 12.23.

Addition of thiols with terminal acetylenic ketones
Active methylene compounds such as 1,3-diketones, 1,3-keto carboxylic esters, malononitrile, and ethyl cyanoacetate were alkylated by alkyl halides catalyzed by the ionic liquid [bmim][OH] under microwave irradiation. The alkyl halides included allyl, benzyl, methyl, and butyl bromides/iodides. The open-chain 1,3-ketones produced the monoalkylated products, whereas the cyclic diketones provided the dialkylated products in one stroke. Malononitrile and ethyl cyanoacetate also furnished the dialkylated products (Fig. 12.24) [17].
Fig. 12.24.

Alkylation of 1,3-diketones compounds in [bmim][OH]
The highly substituted pyridine derivatives are of intense attention because of their potential for biological activities, and thus, an efficient procedure for their synthesis is of high importance. The basic ionic liquid, [bmim][OH], efficiently promotes a one-pot, three-component condensation of aldehydes, malononitrile, and thiophenols to produce highly substituted pyridines in high yields at room temperature (Fig. 12.25) [18]. The present procedure using a basic ionic liquid, [bmim][OH], in place of conventional bases provides a selective, high-yielding one-pot synthesis of highly substituted pyridines through a three-component condensation process. Significantly, the formation of a side product, enaminonitrile, was virtually eliminated. The other advantage of this procedure is that it does not require the use of hazardous organic solvent. The residual ionic liquid was rinsed with ethyl acetate, dried under a vacuum, and recycled.
Fig. 12.25.

Preparation of highly substituted pyridins in [bmim][OH]
The first step of this process involves the Knoevenagel condensation of an aldehyde with malononitrile to form the corresponding Knoevenagel product (5). The second molecule of malononitrile then undergoes Michael addition to 5 followed by simultaneous thiolate addition to C ≡ N of the adduct and cyclization to dihydropyridine (6) which on aromatization and oxidation (air) under the reaction conditions leads to pyridine.
It may be speculated that the difference in basicity of [bmim][OH] used in this reaction compared to 1,4-diazabicyclo[2.2.2]octane (DABCO), and Et3N may play a crucial role in suppressing the enaminonitrile formation. The use of other ionic liquids such as [bmim][Br] or [bmim][BF4] failed to push the reaction to the pyridine stage, and the reaction was stopped at an intermediate step with the formation of compound 5 (Fig. 12.26).
Fig. 12.26.

Proposed mechanism for the synthesis of highly substituted pyridines in [bmim][OH]
A Mannich-type reaction including the one-pot three-component condensation of benzaldehydes, anilines, and ketones in [bmim][OH] was reported by Gong et al. (Fig. 12.27) [19]. It should be noted that benzaldehydes and anilines carrying either electron-donating or electron-withdrawing substituents all reacted well. Particularly, aryl aldehydes bearing an electron-withdrawing group are favorable for the transformation, while anilines with electron-donating groups are beneficial for these reactions.
Fig. 12.27.

Mannich-type reaction promoted by [bmim][OH]
The most attractive part of this work is that [bmim][OH] is easily recycled and can be reused without obvious loss of the catalytic activity. This approach could make a valuable contribution to the synthesis of β-amino carbonyl compounds.
The ionic liquid [bmim][OH] has also been used as an efficient catalyst for the synthesis of a variety of 4H-benzo[b]pyran derivatives by a one-pot three-component condensation of aldehydes, cyclohexa-1,3-diones, and malononitrile/ethyl cyanoacetate at room temperature (Fig. 12.28) [20].
Fig. 12.28.

Synthesis of 4H-benzo[b]pyran derivative in [bmim][OH]
The significant advantages offered by this methodology were (1) operational simplicity, (2) general applicability to all types of aldehydes, (3) mild reaction conditions, (4) excellent yields of products, and (5) green procedure avoiding hazardous organic solvents and providing reusability of ionic liquid catalyst.
An efficient three-component, one-pot synthesis of functionalized pyrroles, catalyzed by basic ILs in aqueous media, has been described (Fig. 12.29) [21].
Fig. 12.29.

Synthesis of pyrrols catalyzed by ILs
Among the ionic liquids used, the basic functionalized ionic liquid, butyl methyl imidazolium hydroxide [bmim][OH], was the most effective catalyst. The [bmim]OH/H2O catalyst system could be reused for at least five recycles without appreciable loss of efficiency. Reactions in aqueous media offer many advantages such as simple operation and high efficiency in many organic transformations that involve water-soluble substrates and reagents. These advantages become even more attractive if such reactions can be conducted using ILs in aqueous media. The presented protocol not only is simple and high yielding but also greatly decreases environmental pollution. The probable mechanism of the reaction is shown in (Fig. 12.30).
Fig. 12.30.

Probable mechanism of the synthesis of pyrroles promoted by [bmim][OH]
Other 1-Butyl-3-methylimidazolium-Based Ionic Liquids
Indole and its derivatives have versatile biological activities and found in various biologically active natural products. Chakraborti and coworkers reported the catalytic applications of various room-temperature ionic liquids (RTILs) during the reaction of aldehydes with indole under solvent-free conditions for the synthesis of bis(indolyl)methanes. The reaction of indole with benzaldehyde under neat conditions and at room temperature was considered for a model study (Fig. 12.31).
Fig. 12.31.

Condensation of indole with benzaldehyde using ILs
The catalytic efficiency of the RTILs derived from 1-butyl-3-methylimidazolium (bmim) cation is influenced by the structure of the imidazolium moiety and the counteranion following the order: [bmim][MeSO4] > [bmim][HSO4] ≈ [bmim][MeSO3] > > [bmim][BF4] > [bmim][Br] > [bmim][NTf2] ≈ [bmim][PF6] > [bmim][N(CN)2] ≈ [bmim][ClO4] ≈ [bmim][HCO2] > [bmim][N3] > [bmim][OAc]. Substitution of the C-2 hydrogen in [bmim][MeSO4] decreased the catalytic efficiency. In case of 1-methyl-3-alkylimidazolium methyl sulfates, the best results were obtained with 3-butyl derivative and the catalytic property was retained with ethyl, n-propyl, and n-pentyl groups at N-3 although to a lesser extent with respect to 3-butyl analogue.
The reaction is compatible with a variety of functional groups such as halogen, alkoxy, nitrile, hydroxy, and tert-butylcarbamate (O-t-Boc). The [bmim][MeSO4] exhibits an ampiphilic “electrophile–nucleophile” dual activation role through the intermediate 7 in which the aldehyde carbonyl undergoes hydrogen bond formation (electrophilic activation) with the C-2 hydrogen atom of the bmim cation due to its acidic nature. The quaternary nitrogen atom of the bmim cation undergoes electrostatic interaction with the nitrogen lone pair of the indole and enforces the N–H hydrogen of the indole for hydrogen bond formation with the oxygen atom of the MeSO4 anion (nucleophilic activation) through a six-membered chair-like cyclic structure. In a similar fashion, the intermediate indolyl methanol 8 undergoes complex formation with another molecule of indole and [bmim][MeSO4] forming 9 that leads to the formation of product and liberates the IL (Fig. 12.32). The decrease in the product yield on using C-2 methyl substituted [bmim][MeSO4] provides supports to the electrophilic activation of the aldehyde through hydrogen bond formation with C-2 hydrogen of [bmim][MeSO4].
Fig. 12.32.

Mechanism of the condensation of indole with aldehydes in the presence of [bmim][MeSO4]
The lack of appreciable amount of hydrogen bond formation between the aldehyde carbonyl group and the C-2 hydrogen atom of the bmim cation in the hydroxylic solvents (EtOH and water) that are themselves hydrogen bond donors causes a drastic reduction in the product yield. Similarly, the reaction is retarded in MeCN, a hydrogen bond acceptor, due to disruption of the hydrogen-bonded structures 7/9. These observations suggest that the catalytic efficiency of the IL is best exhibited under neat conditions where a conducive environment for the hydrogen bond formation between the aldehyde carbonyl oxygen and the C-2 hydrogen atom of the bmim cation is available. A similar acceleration effect of the imidazolium-based ILs has been observed during electron transfer reaction by coordination of the acidic C-2 hydrogen atom of imidazolium ILs with the oxygen radical anions.
The influence of the anion in contributing to the catalytic potency toward the IL can be rationalized with this mechanistic proposal. The catalytic activity of ILs is determined by the feasibility of hydrogen bonding between indole and HSO−4, MeSO−3, and BF−4 anions through six-/five-membered chair-/envelop-like cyclic structures 11–13 and 14–16 (Fig. 12.33) [22].
Fig. 12.33.

Hydrogen bond formation between ILs and indole
Compounds bearing 1,3-amino-oxygenated functional groups are ubiquitous to a variety of biologically important natural products and potent drugs including a number of nucleoside antibiotics and HIV protease inhibitors such as ritonavir and lipinavir, and the hypotensive and bradycardiac effects of these compounds have been evaluated.
Sapkal and coworkers explored the use of ionic liquids as promoters and recyclable solvent systems for a one-pot three-component synthesis of amidoalkyl naphthol derivatives under mild conditions (Fig. 12.34) [23].
Fig. 12.34.

[bmim][HSO4] promoted synthesis of amidoalkyl naphthol derivative
They reported for the first time a very simple and efficient methodology for the high-yielding synthesis of amidoalkyl naphthols by the straightforward one-pot three-component condensation of aromatic/heteroaromatic/aliphatic aldehydes, 2-naphthol, and amides or urea at mild (60°C) condition in acidic ionic liquid.
The operational simplicity of the procedure, shorter reaction times, simple work-up procedure, cost-effective recovery, and reusability of ionic liquid make this method much attractive.
Other Imidazole-Based Ionic Liquids
Ionic Liquid–Supported Iodoarenes
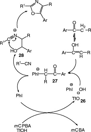
Kawano and Togo introduced an ionic liquid group into iodoarenes, to form ionic liquid–supported iodoarenes, and used them for the promotion of the synthesis of oxazoles [24]. The results of the reactions of acetonitrile, m-chloroperbenzoic acid (mCPBA), trifluoromethanesulfonic acid (TfOH), and acetophenone are shown in Table 12.1, using various IL-supported iodoarenes (IL-supported PhIs). The reactivities of IL-supported iodoarenes (PhIs) 17–25 are shown in entries 1–9, and IL-supported PhI 20 showed the best reactivity. Instead of acetonitrile as solvent, room temperature ILs, such as [emim][OTs], [bmim][PF6], and [bmpy][NTf2], were used in the presence of IL-supported PhI 20 (entries 10–12). However, [emim][OTs] did not promote the oxazole formation at all, while [bmim]PF6 and [bmpy][NTf2] provided the oxazole in moderate to low yields. Thus, use of acetonitrile as solvent yielded the best reactivity as compared with these ILs.
Table 12.1.
Preparation of oxazoles using IL-supported PhI
| |||
|---|---|---|---|
| Entry | Solvent | IL-PhI | Yield (%) |
| 1 | CH3CN | A | 0 |
| 2 | CH3CN | B | 44 |
| 3 | CH3CN | C | 0 |
| 4 | CH3CN | D | 59 |
| 5 | CH3CN | E | <5 |
| 6 | CH3CN | F | 23 |
| 7 | CH3CN | G | 39 |
| 8 | CH3CN | H | 34 |
| 9 | CH3CN | I | 48 |
| 10 | [emim]OTs | D | 0 |
| 11 | [bmim]PF6 | D | 33 |
| 12 | [bmpy]NTf2 | D | 45 |
The proposed reaction pathway is shown in the Fig. 12.35.
Fig. 12.35.

Mechanism of the synthesis of oxazoles in liquid-supported iodoarenes
Here, iodoarene worked as a catalyst. IL-supported PhI can be used in the same preparation of oxazoles from ketones and reused in the same reaction to obtain moderate yields of oxazoles.
1,3-n-Dibutylimidazolium Bromide
Benzodiazepines are an important class of pharmacologically active compounds finding application as anticonvulsant, antianxiety, and hypnotic agents. Benzodiazepine derivatives also find commercial use as dyes for acrylic fibers and as anti-inflammatory agents. Jarikote and coworkers have developed a new and efficient method for the regioselective synthesis of 1,5-benzodiazepines in excellent isolated yields in short reaction times using a room-temperature ionic liquid, namely, 1,3-n-dibutylimidazolium bromide [bbim][Br], as a reaction medium for the first time (Figs. 12.36, 12.37) [25].
Fig. 12.36.

Synthesis of 1,5-benzodiazepines in [bbim][Br]
Fig. 12.37.

Morpholine-catalyzed synthesis of 2-spiro-chroman-4(1H)-ones in [bbim][Br]
Importantly, the IL not only acts as a solvating medium but also as a promoter for the reaction giving rise to twin advantages of ambient temperature conditions and the nonrequirement of a catalyst. The easy work-up procedures, the absence of a catalyst, and recyclability of the nonvolatile IL used as the reaction medium make the method amenable for scale-up operations.
Chromone derivatives, in particular 2-spiro-chroman-4(1H)-ones, are ubiquitous in nature and possess various biological activities which include antiarrhythmic, anti-HIV, antidiabetic, acetyl-CoA carboxylase (ACC) inhibitor, vanilloid receptor antagonist, growth hormone secretagogues, histamine receptor antagonist, and antiviral. Furthermore, these 2-spiro-chroman-4(1H)-ones serve as an important precursor for the synthesis of other medicinally important compounds such as rotenoids and xanthones. Recently, these structural scaffolds have been assigned as privileged structures for drug development. Muthukrishnan and coworkers described an extremely facile and environmental-friendly synthesis of bis-2-spirochromanones in one pot by carrying out Kabbe condensation in [bbim][Br] catalyzed by morpholine (Fig. 12.37) [26].
The role of the ionic liquid [bbim][Br] in the Kabbe condensation may be attributed to its inherent Brönsted/Lewis acidity and high solvating ability. Probably, the highly acidic 2H proton of [bbim]Br activates the carbonyl carbon of both alkanone and acetophenone, thus facilitates the enamine formation as well as the ready cyclization of unsaturated ketone intermediate I to the final product (Fig. 12.38).
Fig. 12.38.

Activation of the carbonyl carbons by [bbim][Br]
1-n-Butylimidazolium Tetrafluoroborate
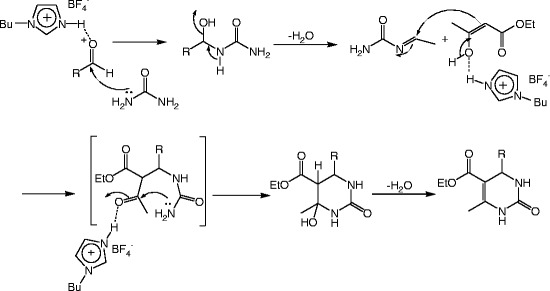
3,4-Dihydropyrimin-2-(1H)-ones (DHPMs) have been synthesized in excellent yields in short reaction times at ambient temperature in the absence of any added catalyst by the reaction of aromatic or aliphatic aldehydes with ethyl acetoacetate (EAA) and urea (or thiourea) at room temperature in 1-n-butylimidazolium tetrafluoroborate ([Hbim][BF4]) under ultrasound irradiation (Fig. 12.39) [27].
Fig. 12.39.

The Biginelli reaction catalyzed by [Hbim][BF4]
The IL [Hbim][BF4] has not only acted as a favorable medium with improved energetics of cavitation for the sonochemical MCR but also promoted the reaction with its inherent Brönsted acidity, thus obviating the necessity of using additional acid catalyst. The Brönsted acidity is conferred by the –NH proton of [Hbim][BF4] (chemical shift of 14.59 ppm) capable of bonding with the carbonyl oxygen of the aldehydes as well as that of the β-keto ester (EAA) (Fig. 12.40).
Fig. 12.40.

Activation of carbonyl groups using [Hbim][BF4]
Based on this evidence, a plausible mechanistic pathway has been postulated (Fig. 12.41).
Fig. 12.41.

Proposed mechanism for the promotion of the Biginelli reaction in the presence of [Hbim][BF4]
1-Ethyl-3-methylimidazole Acetate
Synthesis of imidazole ring system and its derivatives occupy an important place in the realm of natural and synthetic organic chemistry because of their therapeutic and pharmacological properties. They have emerged as an integral part of many biological systems, namely, histidine, histamine, and biotin; an active backbone in existing drugs such as losartan, olmesartan, eprosartan, and trifenagrel; and agrochemical, fungicides, herbicides, and plant growth regulators; and large classes of imidazole derivatives are also used as ionic liquids. In addition to these important applications, imidazole derivatives are ideal scaffolds to make libraries of anti-inflammatory, antiallergic, and analgesic-drug-like compounds and to generate inhibitors of P38 MAP kinase.
The ionic liquid 1-ethyl-3-methylimidazole acetate ([emim][OAc]) was found to be a mild and effective catalyst for the efficient, one-pot, three-component synthesis of 2-aryl-4,5-diphenyl imidazoles at room temperature under ultrasonic irradiation (Fig. 12.42) [28].
Fig. 12.42.

Preparation of 2-aryl-4,5-diphenyl imidazoles in [emim][OAc] under ultrasonic irradiation
This procedure has many obvious advantages compared to those reported in the literatures, including avoiding the use of harmful catalysts, reacting at room temperature, high yields, and simplicity of the methodology.
An Acidic Ionic Liquid
Kitaoka and coworkers provided a new methodology for porphyrin preparation with an acidic IL (Fig. 12.43) [29]. The acidic IL phase separated with dichloromethane becomes quite instrumental for reducing the amount of the halogenated solvents used in porphyrin preparation.
Fig. 12.43.

Synthesis of porphyrin catalyzed by an acidic liquid
More important than the superior productivity in the high reactant concentration is the reusability of the acidic IL to catalyze the formation of porphyrinogens without deterioration of the activity.
Task-Specific Ionic Liquids
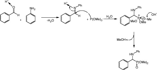
α-Aminophosphonates can act as peptide mimetics, enzyme inhibitors, antibiotic and pharmacological agents, and as herbicides, fungicides, insecticides, and plant growth regulators. Akbari et al. have demonstrated that a readily available, highly efficient, task-specific ionic liquid (TSIL) can be used as a recyclable catalyst for the synthesis of α-aminophosphonates from aldehydes and ketones in water (Fig. 12.44) [30]. This is the first report of a functionalized ionic liquid–catalyzed synthesis of α-aminophosphonates.
Fig. 12.44.

TSIL promoted the synthesis of α-aminophosphonates in H2O
The mechanism of this reaction is believed to involve formation of an activated imine by the ionic liquid so that addition of the phosphite is facilitated to give a phosphonium intermediate, which then undergoes reaction with the water generated during the formation of the imine to give the α-aminophosphonate and methanol (Fig. 12.45).
Fig. 12.45.

Mechanism of the synthesis of α-aminophosphonates
1-Methyl-3-heptyl-imidazolium Tetrafluoroborate
The structures of trisubstituted imidazoles are prevalent in natural products and pharmacologically active compounds, like the known P38 map kinase inhibitor and losartan. Besides, triarylimidazoles display various bioactive effects such as herbicidal, fungicidal, analgesic, anti-inflammatory, and antithrombotic activities as well. The three-component synthesis of 2,4,5-trisubstituted imidazoles, a typical acid-catalyzed reaction, could be conducted successfully with good to excellent yields in a neutral ionic liquid, 1-methyl-3-heptyl-imidazolium tetrafluoroborate ([Hemim][BF4]), under solvent-free and microwave-assisted conditions (Fig. 12.46) [31].
Fig. 12.46.

Synthesis of 2,4,5-trisubstituted imidazoles in [Hemim][BF4] under microwave irradiation
The combined merits of microwave irradiation and ionic liquid make the three-component condensation with safe operation, low pollution, and rapid access to products and simple work-up. The polar nature of ionic liquid makes it ideal for use in solvent-free microwave irradiation. It was shown that [Hemim][BF4] was so extremely suitable as the catalytically active medium that the yields of the products were not dramatically decreased even after four cycles.
1-[2-(Acetoacetyloxy)ethyl]-3-methylimidazolium Hexafluorophosphate-Bound Acetoacetate
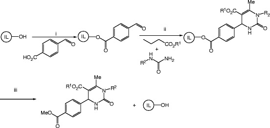
A novel and efficient task-specific ionic liquid synthesis of Biginelli compounds has been developed. Ionic liquid phase–bound acetoacetate reacted with urea or thiourea and various aldehydes in the presence of a cheap catalyst to afford ionic liquid phases supported 3,4-dihydropyrimidine-2-(thi)ones. The desired 3,4-dihydropyrimidine-2-(thi)ones were easily cleaved from the ionic liquid phase by transesterification under mild conditions in good yields and high purity. The task-specific ionic liquid technology represents an attractive alternative to the classical solid- and solution-phase syntheses strategies and combines the advantage of performing homogeneous chemistry for multicomponent reactions. General route used for the synthesis of ionic liquid phase–bound acetoacetate I is as Fig. 12.47. A model Biginelli reaction under microwave irradiation (μω) is as Fig. 12.48 [32].
Fig. 12.47.

Preparation of [HOC2mim][PF6]-bound acetoacetate
Fig. 12.48.

The Biginelli reaction under microwave irradiation
1-[2-(Acetoacetyloxy)ethyl]-3-methylimidazolium Tetrafluoroborate- or Hexafluorophosphate-Bound b-oxo Esters
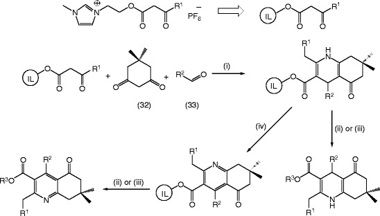
1,4-Dihydropyridine (1,4-DHP) derivatives have been widely explored as a consequence of their pharmacological profile and as the most important calcium channel modulators. Nifedipine 2 represents the prototype 1,4-DHP structure found useful in both antianginal and antihypertensive treatment that has been approved for clinical use. The liquid phase–bound β-keto esters 31(a–c) were prepared by transesterification of methyl or tert-butyl β-oxo carboxylates 30(a, b) with the ionic liquid phases [HOC2mim][PF6] 29a and [HOC2mim][BF4] 29b under solvent-free microwave irradiations (Fig. 12.49) [33].
Fig. 12.49.

Preparation of ionic liquid phase–bound β-oxo esters under microwave irradiations
A new strategy for the synthesis of polyhydroquinolines from task-specific ionic liquids (TSIL) as a soluble support was developed. The preparation of the polyhydroquinolines by a three-component reaction was achieved by using ionic liquid phase–bound β-oxo esters. These starting functionalized esters were synthesized by a solvent less transesterification without catalyst under microwave irradiation. The structure of the intermediate in each step was verified by spectroscopic analysis, and after oxidation of the polyhydroquinolines grafted on the TSIL with 2,3-dichloro-5,6-dicyano-1,4-benzoquinone or after cleavage (transesterification, saponification/acidification), the target compounds were obtained in good yields and high purities.
The ILP-bound β-oxo esters 29(a, b) with PF6 anion are the preferred precursors because after microwave dielectric heating, the excess of β-oxo esters 28(a, b) and eventually unreacted starting ILP 27a were eliminated easily by washing with AcOEt. With the selected ILP-bound β-oxo esters 29(a, b) with PF6 anion, Legeay and coworkers have examined the polyhydroquinoline synthesis under neat conditions (Fig. 12.50).
Fig. 12.50.

Synthesis of 1,4-dihydropyridines using [HOC2mim][PF6]- and [HOC2mim][BF4]-bound β-oxo esters
Reagents and reaction conditions: (1) 32 1 equiv, 33 1.1 equiv, NH4OAc 1.5 equiv, neat, 90°C, 20 min; (2) MeONa 1 equiv, MeOH, reflux, 18 h; (3) LiOH 1 equiv, THF/H2O (2:1), reflux, 20 h, then 3 M HCl; (4) 2,3-dichloro-5,6-dicyano-1,4-benzoquinone (DDQ) 1.1 equiv, CH2Cl2, reflux, 2 h.
1-(2-Hydroxyethyl)-3-methylimidazolium Tetrafluoroborate or Hexafluorophosphate and N-(2-Hydroxyethyl)pyridinium Tetrafluoroborate or Hexafluorophosphate
In 2005, Legeay and his coworkers reported the preparation of two new types of task-specific ionic liquids, 1-(2-hydroxyethyl)-3-methylimidazolium tetrafluoroborate or hexafluorophosphate and N-(2- hydroxyethyl)-pyridinium tetrafluoroborate 3c or hexafluorophosphate ([PEG1-mim][X] and [PEG1-py][X]), via an efficient method, which is shown in Fig. 12.51. [34].
Fig. 12.51.

Preparation of new task-specific ionic liquids
They have demonstrated that the combination of IL phase–bound aldehyde and microwave dielectric heating allows a rapid and practical preparation of Biginelli 3,4-dihydropyrimidine-2(1H)-ones, Hantzsch 1,4-dihydropyridines, pyridines by oxidation, and polyhydroquinolines using a one-pot three-component methodology (Fig. 12.52).
Fig. 12.52.

Use of PEG1-ILP in the synthesis of Biginelli 3,4-dihydropyrimidine-2(1H)-ones
The specific advantages of the IoLiPOS methodology are the following: (1) the reactions under microwave irradiation are performed in homogeneous solution without solvent, (2) the loading capacity of the ILPs is higher because only a molar equivalent of the low-molecular-weight ionic liquid phase is used, (3) the stable intermediates in the sequence can be purified by simple washings with the appropriate solvent and the structure could be verified easily by routine spectroscopic methods at each step, and (4) the final cleavage is possible by transesterification, saponification/acidification, or ester aminolysis.
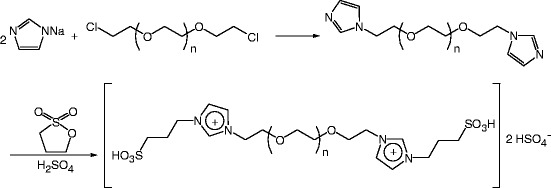
PEG-1000-Based Dicationic Acidic Ionic Liquid
Zhi and co-workers reported a new temperature-dependent biphasic system, including recoverable novel PEG-1000-based dicationic acidic ionic liquid (PEG1000-DAIL) (Fig. 12.53), and its application in the synthesis of 5-oxo-5,6,7,8-tetrahydro-4H-benzo[b]pyrans by a three-component condensation in toluene (Fig. 12.54) [35].
Fig. 12.53.

Synthesis of PEG1000-DAIL
Fig. 12.54.

Application of PEG1000-DAIL in the synthesis of 5-oxo-5,6,7,8-tetrahydro-4H-benzo[b]pyrans
PEG1000-DAIL could be efficiently recovered by simple decantation after reaction without any apparent loss of catalytic activity and little loss of weight even after ten times recycling. The PEG1000-DAIL/toluene system has several advantages: (1) PEG1000-DAIL is a strong Brönsted acid and shows superior catalytic activity, (2) PEG1000-DAIL can be separated by simple decantation without apparent loss of catalytic activity and little loss of weight, and (3) this catalytic system has a wide range of applications for different substrates and the products can be obtained conveniently and in excellent yield and purity. In fact, PEG1000-DAIL/toluene system is an excellent recyclable catalytic reaction media for these types of reactions.
1-Ethyl-3-methylimidazolium (S)-2-Pyrrolidinecarboxylic Acid Salt
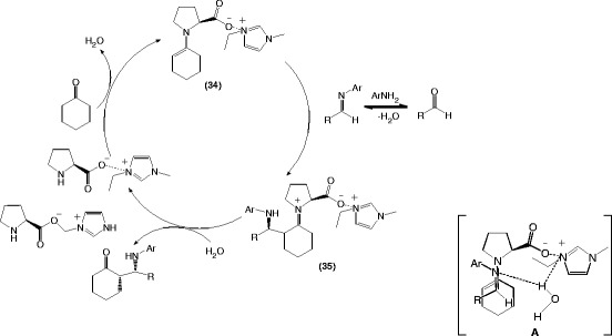
Zheng and coworkers have reported the first use of chiral amino acid ionic liquid, 1-ethyl-3-methylimidazolium (S)-2-pyrrolidinecarboxylic acid salt [emim][Pro], as a catalyst for the one-pot three-component asymmetric Mannich reaction with excellent chemo-, regio-, and enantioselectivities either under mild conditions or at a low temperature (Fig. 12.55) [36].
Fig. 12.55.

Asymmetric Mannich reaction promoted by [emim][Pro]
The chiral amino acid ionic liquid, 1-ethyl-3-methylimidazolium (S)-2-pyrrolidinecarboxylic acid salt [emim][Pro] (1), is synthesized in 70% overall yield by the following procedure (Fig. 12.56).
Fig. 12.56.

Preparation of [emim][Pro]
This asymmetric Mannich reaction could also proceed by an enamine pathway because nucleophilic addition of the in situ–generated enamine would be faster to an imine than to an aldehyde. As shown in the Fig. 12.59, the reaction starts with enamine 34 activation of the cyclohexanone by the proline anion and an electrostatic interaction with the imidazolium moiety of the catalyst. In a second pre-equilibrium, the aldehyde and aniline produce an imine. Then enamine-activated 35 reacts with the imine to form 35 via transition state A. The last step is a dehydration reaction to afford the corresponding product. The catalyst is regenerated in the subsequent step.
Fig. 12.59.

Mechanism of the synthesis of dithiocarbamates in the presence of [pmim][Br]
The stereochemical results can be explained by the plausible transition state A (Fig. 12.57). Because additional water is added and the reaction is conducted in wet solvents, the transition state is stabilized by hydrogen bonding between the nitrogen atom of the imine and the nitrogen atom of the imidazolium moiety of the catalyst. A switch of the facial selectivity is disfavored because of steric repulsion between the Ar group of the imine and the imidazolium moiety of the catalyst.
Fig. 12.57.

Mechanism of the operation of [emim][Pro]
1-Methyl-3-pentylimidazolium Bromide
Dithiocarbamates have received considerable attention in recent times because of their occurrence in a variety of biologically active compounds. They also play pivotal roles in agriculture, and they act as linkers in solid-phase organic synthesis. In addition, functionalized carbamates are an important class of compounds and their medicinal and biological properties warrant study.
An easily accessible neutral ionic liquid, 1-methyl-3-pentylimidazolium bromide ([pmim][Br]) is prepared by Ranu et al. and used for the promotion of the one-pot three-component condensation of an amine, carbon disulfide, and an activated alkene/dichloromethane/epoxide to produce the corresponding dithiocarbamates in high yields at room temperature (Fig. 12.58) [37]. The reactions proceed at faster rate in ionic liquid relative to their rates in other reaction media. These reactions do not require any additional catalyst or solvent. The ionic liquid can be recovered and recycled for subsequent reactions.
Fig. 12.58.

Synthesis of dithiocarbamates in [pmim][Br]
They speculated that the imidazolium cation of [pmim][Br] activates CS2 toward nucleophilic attack by amine to generate a dithiocarbamate anion, which can then undergo Michael-type addition to conjugated alkenes to afford the substituted dithiocarbamate (Fig. 12.59).
The significant advantages of this procedure include remarkably faster reactions relative to those in other procedures, higher yields, excellent regio- and stereoselectivity, and the reusability of the ionic liquids.
3-Methyl-1-sulfonic Acid Imidazolium Chloride
Recently, Zolfigol et al. reported that the ionic liquid, 3-methyl-1-sulfonic acid imidazolium chloride ([msim][Cl]), as a new Brönsted acidic ionic liquid, can be easily prepared from the reaction of 1-methyl imidazole and chlorosulfonic acid at room temperature (Fig. 12.60) [38].
Fig. 12.60.

Preparation of [msim][Cl]
This reagent was capable to catalyze the preparation of bis(indolyl) methanes via the condensation of indoles with aldehydes as well as ketones in the absence of solvent at room temperature (Fig. 12.61). All reactions were performed in relatively short reaction times in high yields.
Fig. 12.61.

Preparation of bis(indolyl) methanes promoted by [msim][Cl]
Other Ionic Liquids
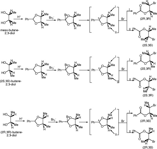
Bromoesters are valuable intermediates in organic synthesis. They could be employed as building blocks in organic, bioorganic, medicinal, and material chemistry. Two kinds of ionic liquids (2) and (3) in Fig. 12.62 have been directly synthesized from l-prolinol (1) by a simple and convenient method in excellent yields [39].
Fig. 12.62.

Preparation of l-prolinol-based ionic liquids
The application of these types of ionic liquids as reagents and solvents for the chemoselective, regioselective, and stereoselective syntheses of 1,2- or 1,3-bromoesters from aromatic aldehydes and 1,2- or 1,3-diols at room temperature has been studied (Fig. 12.63). Good to excellent yields and moderate enantiomeric excesses were obtained under these reaction conditions.
Fig. 12.63.

Synthesis of bromoesters from aldehydes
While there is still a need to use organic solvents for the product extraction, this process provides an opportunity to reduce solvent consumption and the selection of less hazardous reagents compared to the reaction system of traditional brominating reagents. The simplicity of the methodology, ease of the product isolation, mild conditions, and possibility of IL recycling could make this process available in the future on the industrial scales.
Plausible mechanism for stereoselective synthesis of 3-bromobutan-2-yl benzoate is as following (Fig. 12.64).
Fig. 12.64.

Proposed mechanism for the preparation of 1,2- or 1,3-bromoesters
A novel acyclic SO3H-functional Brönsted acidic halogen-free TSIL that bears a butane sulfonic acid group in an acyclic tri-methyl-ammonium cation has been synthesized (Fig. 12.65) [40] and used as the catalyst for one-pot three-component Mannich reaction (Fig. 12.66). The procedure was made up of two-step atom economic reaction. The zwitterionic-type precursor (trimethylammonium butane sulfonate) was prepared through a one-step direct sulfonation reaction of trimethylamine and 1,4-butanesulfone. The zwitterion acidification was accomplished by mixing of zwitterions with sulfuric acid (98%, aq.) to convert the pendant sulfonate group into trimethylbutansulfonic acid ammonium hydrogen sulfate.
Fig. 12.65.

Preparation of [TMBSA][HSO4]
Fig. 12.66.

Mannich reaction promoted by [TMBSA][HSO4]
The chemical yields for both the zwitterions formation and acidification steps were essentially quantitative since neither reaction produced by-products; the TSIL synthesis was 100% atom efficient.
Using this method, β-amino carbonyl compounds were obtained in good yields under the mild conditions. The products could simply be separated from the catalyst/water, and the catalyst could be reused at least seven times without noticeably decreasing the catalytic activity.
Compounds containing 1,3-amino-oxygenated functional groups are frequently found in biologically active natural products and potent drugs such as nucleoside antibiotics and HIV protease inhibitors. Furthermore, 1-amidoalkyl 2-naphthols can be converted to useful and important biological building blocks and to 1-amino methyl 2-naphthols by an amide hydrolysis reaction since compounds exhibit depressor and bradycardia effects in humans.
Hajipour and coworkers reported a new, convenient, mild, and efficient procedure for one-pot three-component synthesis of amidoalkyl naphthol derivatives from various aryl aldehydes, 2-naphthol, and different amides (acetamide, benzamide, and urea) in the presence of N-(4-sulfonic acid) butyl triethyl ammonium hydrogen sulfate ([TEBSA][HSO4]) as an effective and recoverable catalyst under solvent-free conditions (Fig. 12.67) [41].
Fig. 12.67.

Synthesis of amidoalkyl naphthol derivatives in the presence of [TEBSA][HSO4]
The reaction of 2-naphthol with aromatic aldehydes in the presence of acid catalyst is known to provide ortho-quinone methides (o-QMs). The o-QMs were reacted with amides or urea to produce 1-amidoalkyl-2-naphthol derivatives (Fig. 12.68).
Fig. 12.68.

Pathway of the preparation of amidoalkyl naphthol derivatives
The results showed that the catalyst can be employed four times, although the activity of the catalyst gradually decreased. This indicated that the Brönsted acidic ionic liquid ([TEBSA][HSO4]) as a catalyst for the preparation of amidoalkyl naphthols was recyclable.
The advantages of this method, in which a relatively nontoxic (halogen-free) and reusable Brönsted acidic ionic liquid is employed as an effective catalyst, are high catalytic efficiency, short reaction times, high yields, a straightforward work-up, and environmental benignancy.
Dong et al. reported the preparation of a novel Brönsted acid-surfactant-combined halogen-free ionic liquid [DDPA][HSO4] that bears a propane sulfonic acid group in an acyclic dimethyldodecylammonium cation (Fig. 12.69) [42] and its use in the heterogeneous catalysis procedure of one-pot three-component Mannich-type reaction in aqueous media.
Fig. 12.69.

Synthesis of [DDPA][HSO4]
They found that the catalytic procedure is simple, and the catalyst could be reused at least six times without noticeably decreasing the catalytic activity.
It should be noted that in the case of anilines, both the electron-donating and weak electron-withdrawing substituents were advantageous to Mannich reaction. In addition, besides the aromatic ketones, aliphatic ketones could also be employed to give good yields (Fig. 12.70).
Fig. 12.70.

Use of [DDPA][HSO4] in multicomponent reactions
However, in the case of cyclohexanone as substrate anti/syn ratio of the product was nearly 1:1, this procedure could not afford the corresponding Mannich base with the same obvious antiselectivity as the literature reported.
Dong and coworkers have also reported the preparation of some dicationic acidic ionic liquids as halogen-free TSILs that bear dialkane sulfonic acid groups in acyclic diamine cations (Fig. 12.71) [43] and their application as catalysts in a one-pot three-component Biginelli-type reaction (Fig. 12.72).
Fig. 12.71.

Preparation of dicationic acidic ionic liquids
Fig. 12.72.

Synthesis of 3,4-dihydropyrinidin-2-(1H)-ones and -thiones
The products could be separated simply from the catalyst–water system, and the catalysts could be reused at least six times without noticeably reducing catalytic activity. The methodology has the advantages of short reaction times, lack of organic solvent, recyclability of catalysts, and easy work-up for isolation of the products in good yields with high purity.
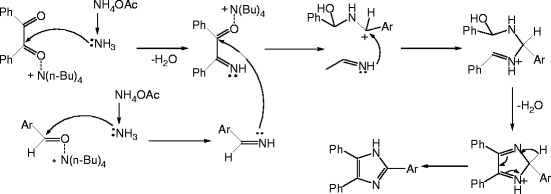
A simple, efficient, and eco-friendly procedure has been developed using tetrabutylammonium bromide ((TBAB), 10 mol%) as a novel neutral ionic liquid catalyst for the synthesis of 2,4,5-triaryl imidazoles by a one-pot three-component condensation of benzil, aryl aldehydes, and ammonium acetate in refluxing isopropanol (Fig. 12.73) [44].
Fig. 12.73.

Synthesis of 2,4,5-triaryl imidazoles in TBAB
A mechanism for the catalytic activity of TBAB in the synthesis of trisubstituted imidazoles may be postulated (Fig. 12.74). The tetrabutylammonium ion probably induces polarization in carbonyl group of aldehydes as well as benzil. Then nucleophilic attack of the nitrogen of ammonia obtained from ammonium acetate, on activated carbonyl, results the formation of aryl aldimine and α-imino keone. Their subsequent reaction followed by intramolecular interaction leads to cyclization.
Fig. 12.74.

Proposed mechanism for the preparation of 2,4,5-triaryl imidazoles in TBAB
This methodology offers several advantages such as excellent yields, short reaction times, and environmentally benign mild reaction conditions; moreover, the catalyst in isopropanol solvent exhibited reusable activity. In addition, the pure products were obtained by simple filtration of the cooled reaction mixture. Furthermore, this procedure is readily amenable to parallel synthesis and generation of combinatorial 2,4,5-trisubstituted imidazole libraries.
2-Aminochromenes represent an important class of compounds being the main components of many naturally occurring products and have been of interest in recent years due to their useful biological and pharmacological aspects, such as anticoagulant, spasmolytic, diuretic, insecticidal, anticancer, and antianaphylactic activities. Some of these can also be employed as cosmetics and pigments and can be utilized as potential biodegradable agrochemicals.
A simple, clean, and environmentally benign three-component process to the synthesis of 2-amino-4H-chromenes using N,N-dimethyl aminoethylbenzyldimethylammoniumchloride, [PhCH2Me2N+CH2CH2NMe2]Cl-, as an efficient catalyst under solvent-free condition was reported by Chen et al. (Fig. 12.75) [45].
Fig. 12.75.

Synthesis of 2-aminochromenes in N,N-dimethyl aminoethylbenzyldimethylammoniumchloride
Following this method, a wide range of aromatic aldehydes easily undergo condensations with α-naphthol and malononitrile under solvent-free condition to afford the desired products of good purity in excellent yields.
This procedure offers several advantages including mild reaction conditions, cleaner reaction, and satisfactory yields of products, as well as a simple experimental and isolation procedure, which makes it an attractive protocol for the synthesis of these compounds. Furthermore, the catalyst can be easily recovered and reused for at least five cycles without losing its activities.
The chiral ionic liquids l-prolinium sulfate (Pro2SO4), l-alaninium hexafluorophosphate (AlaPF6), and l-threoninium nitrate (ThrNO3), which are directly obtainable from a natural α-amino acid, have been used by Yadav et al. for the promotion of an unprecedented version of the Biginelli reaction for an efficient enantio- and diastereoselective synthesis of polyfunctionalized perhydropyrimidine scaffolds of pharmacological potential in a one-pot procedure (Fig. 12.76) [46].
Fig. 12.76.

Chiral ionic liquids catalyzed the preparation of 5-amino-mercaptoperhydropyrimidines
This three-component domino cyclocondensation reaction is effected via ring transformation of an isolable intermediate in a one-pot procedure.
Tentative mechanism for the formation of 5-aminoperhydropyrimidines 7 is as shown in Fig. 12.77.
Fig. 12.77.

Mechanism of the formation of 5-aminoperhydropyrimidines
Tentative mechanism for the formation of 5-mercaptoperhydropyrimidines 10 is as Fig. 12.78.
Fig. 12.78.

Mechanism of the formation of 5-mercaptoperhydropyrimidines
Conclusions
It should be noted that a correct and updated citation and literature survey is very important for researchers to find relevant information, pioneer ideas, and progress of any subject. On the other hand, published data using ionic liquids indicate a wide synthetic potential of the desired reagents and a great interest of researchers in these compounds. A wide range of original procedures for synthesizing various classes of organic compounds, including multicomponent reactions have been developed on the basis of ionic liquids. We hope that the present chapter may be an important source of advance information on activating for the synthesis of new ionic liquids.
Acknowledgment
The authors thank their coworkers, named in the references, for their experimental and intellectual contributions.
Contributor Information
Ali Mohammad, Phone: +91-571-2700920, Email: mohammadali4u@rediffmail.com.
Dr. Inamuddin, Phone: +91-571-2700920, Email: editorinamuddin@yahoo.com
Farhad Shirini, Email: shirini@guilan.ac.ir, Email: fshirini@gmail.com.
Kurosh Rad-Moghadam, Email: radmm@guilan.ac.ire.
References
- 1.Fan X, Li Y, Zhang X, Qu G, Wang J. A novel and green version of Passerini reaction in an ionic liquid ([bmim][BF4]) Can J Chem. 2006;84:794–799. doi: 10.1139/v06-070. [DOI] [Google Scholar]
- 2.Le ZG, Chen ZC, Hu Y, Zheng QG. Organic reactions in ionic liquids: ionic liquid-promoted efficient synthesis of disubstituted and trisubstituted thioureas derivatives. Chinese Chem Lett. 2005;16:201–204. [Google Scholar]
- 3.Rostamizadeh S, Aryan R, Ghaieni HR, Amani AM. An efficient one-pot procedure for the preparation of 1,3,4-thiadiazoles in ionic liquid [bmim][BF4]as dual solvent and catalyst. Heteroatom Chem. 2008;19:320–324. doi: 10.1002/hc.20432. [DOI] [Google Scholar]
- 4.Yadav JS, Reddy BVS, Raj KS, Prasad AR. Room temperature ionic liquids promoted three- component coupling reactions: a facile synthesis of cis-isoquinolonic acids. Tetrahedron. 2003;59:1805–1809. doi: 10.1016/S0040-4020(03)00076-0. [DOI] [Google Scholar]
- 5.Li J, Peng Y, Song G. Mannich reaction catalyzed by carboxyl-functionalized ionic liquid in aqueous media. Catal Lett. 2005;102:159–162. doi: 10.1007/s10562-005-5849-3. [DOI] [Google Scholar]
- 6.Yadav AK, Kumar M, Yadav T, Jain R. An ionic liquid mediated one-pot synthesis of substituted thiazolidinones and benzimidazoles. Tetrahedron Lett. 2009;50:5031–5034. doi: 10.1016/j.tetlet.2009.06.091. [DOI] [Google Scholar]
- 7.Rad-Moghadam K, Sharifi-Kiasaraie M, Taheri-Amlashi H. Synthesis of symmetrical and unsymmetrical 3,3-di(indolyl)indolin-2-ones under controlled catalysis of ionic liquids. Tetrahedron. 2010;66:2316–2321. doi: 10.1016/j.tet.2010.02.017. [DOI] [PMC free article] [PubMed] [Google Scholar]
- 8.Le ZG, Chen ZC, Hu Y, Zheng QG. Organic reactions in ionic liquids: ionic liquid-promoted three-component condensation of benzotriazole with aldehyde and alcohol. Chinese Chem Lett. 2005;16:155–158. [Google Scholar]
- 9.Zhang X, Li X, Li D, Qu G, Wang J, Loiseau PM, Fan X. Ionic liquid mediated and promoted eco-friendly preparation of thiazolidinone and pyrimidine nucleoside–thiazolidinone hybrids and their antiparasitic activities. Bioorg Med Chem Lett. 2009;19:6280–6283. doi: 10.1016/j.bmcl.2009.09.101. [DOI] [PubMed] [Google Scholar]
- 10.Yadav JS, Reddy BVS, Sreedhar P, Murthy CVSR, Mahesh G, Kondaji G, Nagaiah K. Three-component coupling reactions in ionic liquids: one-pot synthesis of isoxazolidines. J Mol Catal A: Chem. 2007;270:160–163. doi: 10.1016/j.molcata.2006.12.038. [DOI] [Google Scholar]
- 11.Peng J, Deng Y. Ionic liquids catalyzed Biginelli reaction under solvent-free conditions. Tetrahedron Lett. 2001;42:5917–5919. doi: 10.1016/S0040-4039(01)01139-X. [DOI] [Google Scholar]
- 12.Shaabani A, Maleki A. Ionic liquid promoted one-pot three-component reaction: synthesis of annulated imidazo[1,2-a]azines using trimethylsilylcyanide. Monatsh für Chemie. 2007;138:51–56. doi: 10.1007/s00706-006-0567-0. [DOI] [Google Scholar]
- 13.Shaabani A, Soleimani E, Darvishi M. Ionic liquid promoted one-pot synthesis of furo[2,3-d]pyrimidine-2,4(1 H,3H)-diones. Monatsh für Chemie. 2007;138:43–46. doi: 10.1007/s00706-006-0558-1. [DOI] [Google Scholar]
- 14.Shaabani A, Soleimani E, Maleki A. Ionic liquid promoted one-pot synthesis of 3- aminoimidazo[1,2-a]pyridines. Tetrahedron Lett. 2006;47:3031–3034. doi: 10.1016/j.tetlet.2006.03.011. [DOI] [Google Scholar]
- 15.Shaabani A, Sarvary A, Rahmati A, Rezayan H. Ionic liquid/silica sulfuric acid promoted fast synthesis of a Biginelli-like scaffold reaction. Lett Org Chem. 2007;4:68–71. doi: 10.2174/157017807780037531. [DOI] [Google Scholar]
- 16.Ranu BC, Banerjee S. Ionic liquid as catalyst and reaction medium. The dramatic influence of a task-specific ionic liquid, [bmim][OH], in Michael addition of active methylene compounds to conjugated ketones, carboxylic esters, and nitriles. J Org Lett. 2005;7:3049–3052. doi: 10.1021/ol051004h. [DOI] [PubMed] [Google Scholar]
- 17.Ranu BC, Banerjee S, Jana R. Ionic liquid as catalyst and solvent: the remarkable effect of a basic ionic liquid, [bmim][OH] on Michael addition and alkylation of active methylene compounds. Tetrahedron. 2007;63:776–782. doi: 10.1016/j.tet.2006.10.077. [DOI] [Google Scholar]
- 18.Ranu BC, Jana R, Sowmiah S. An improved procedure for the three-component synthesis of highly substituted pyridines using ionic liquid. J Org Lett. 2007;72:3152–3154. doi: 10.1021/jo070015g. [DOI] [PubMed] [Google Scholar]
- 19.Gong K, Dong F, Wang HL, Liu ZL. Basic functionalized ionic liquid catalyzed one-pot Mannich-type reaction: three component synthesis of β-amino carbonyl compounds. Monatsh für Chemie. 2007;138:1195–1198. doi: 10.1007/s00706-007-0767-2. [DOI] [Google Scholar]
- 20.Ranu BC, Banejee S, Roy S. A task specific ionic liquid, [bmim][OH]-promoted efficient, green and one-pot synthesis of tetrahydrobenzo[b]pyran derivatives. Indian J Chem. 2008;47B:1108–1112. [Google Scholar]
- 21.Yavari I, Kowsari E. Efficient and green synthesis of tetrasubstituted pyrroles promoted by task-specific basic ionic liquids as catalyst in aqueous media. Mol Divers. 2009;13:519–528. doi: 10.1007/s11030-009-9146-8. [DOI] [PubMed] [Google Scholar]
- 22.Chakraborti AK, Roy SR, Kumar D, Chopra P. Catalytic application of room temperature ionic liquids: [bmim][MeSO4] as a recyclable catalyst for synthesis of bis(indolyl)methanes. Ion-fishing by MALDI-TOF-TOF MS and MS/MS studies to probe the proposed mechanistic model of catalysis. Green Chem. 2008;10:1111–1118. doi: 10.1039/b807572g. [DOI] [Google Scholar]
- 23.Sapkal SB, Shelke KF, Madje BR, Shingate BB, Shingare MS. 1-Butyl-3-methyl imidazolium hydrogen sulphate promoted one-pot three-component synthesis of amidoalkyl naphthols. Bull Korean Chem Soc. 2009;30:2887–2889. doi: 10.5012/bkcs.2009.30.12.2887. [DOI] [Google Scholar]
- 24.Kawano Y, Togo H. Iodoarene-catalyzed one-pot preparation of 2,4,5-trisubstituted oxazoles from alkyl aryl ketones with mCPBA in nitriles. Tetrahedron. 2009;65:6251–6256. doi: 10.1016/j.tet.2009.05.003. [DOI] [Google Scholar]
- 25.Jarikote DV, Siddiqui SA, Rajagopal R, Daniel T, Lahoti RJ, Srinivasan KV. Room temperature ionic liquid promoted synthesis of 1,5-benzodiazepine derivatives under ambient conditions. Tetrahedron Lett. 2003;44:1835–1838. doi: 10.1016/S0040-4039(03)00096-0. [DOI] [Google Scholar]
- 26.Muthukrishnan M, Basavanag UMV, Puranik VG. The first ionic liquid-promoted Kabbe condensation reaction for an expeditious synthesis of privileged bis-spirochromanone scaffolds. Tetrahedron Lett. 2009;50:2643–2648. doi: 10.1016/j.tetlet.2009.03.104. [DOI] [Google Scholar]
- 27.Gholap AR, Venkatesan K, Daniel T, Lahoti RJ, Srinivasan KV. Ionic liquid promoted novel and efficient one pot synthesis of 3,4-dihydropyrimidin-2-(1H)-ones at ambient temperature under ultrasound irradiation. Green Chem. 2004;6:147–150. doi: 10.1039/b314015f. [DOI] [Google Scholar]
- 28.Zang AR, Su Q, Mo Y, Cheng BW, Jun S. Ionic liquid promoted novel and efficient one pot synthesis of 3,4-dihydropyrimidin-2-(1H)-ones at ambient temperature under ultrasound irradiation. Green Chem. 2004;6:147–150. doi: 10.1039/b314015f. [DOI] [Google Scholar]
- 29.Kitaoka S, Nobuoka K, Ishikawa Y (2004) The first utilization of acidic ionic liquid for preparation of tetraarylporphyrins. Chem Commun 1902–1903 [DOI] [PubMed]
- 30.Akbari J, Heydari A. A sulfonic acid functionalized ionic liquid as a homogeneous and recyclable catalyst for the one-pot synthesis of α-aminophosphonates. Tetrahedron Lett. 2009;50:4236–4238. doi: 10.1016/j.tetlet.2009.05.020. [DOI] [Google Scholar]
- 31.Xia M, Lu YD. A novel neutral ionic liquid-catalyzed solvent-free synthesis of 2,4,5-trisubstituted imidazoles under microwave irradiation. J Mol Catal A: Chem. 2007;265:205–208. doi: 10.1016/j.molcata.2006.10.004. [DOI] [Google Scholar]
- 32.Legeay JC, Eynde JJV, Toupet L, Bazureau JP (2007) A three-component condensation protocol based on ionic liquid phase bound acetoacetate for the synthesis of Biginelli 3,4-dihydropyrimidine-2(1H)- ones. Arkivoc iii:13–28
- 33.Legeay JC, Goujon JY, Eynde JJV, Toupet L, Bazureau JP. Liquid-phase synthesis of polyhydroquinoline using task-specific ionic liquid technology. J Comb Chem. 2006;8:829–833. doi: 10.1021/cc0600425. [DOI] [PubMed] [Google Scholar]
- 34.Legeay JC, Eynde JJV, Bazureau JP. Ionic liquid phase technology supported the three component synthesis of Hantzsch 1,4- dihydropyridines and Biginelli 3,4-dihydropyrimidin-2(1H)-ones under microwave dielectric heating. Tetrahedron. 2005;61:12386–12397. doi: 10.1016/j.tet.2005.09.118. [DOI] [Google Scholar]
- 35.Zhi H, Lü C, Zhang Q, Luo J (2009) A new PEG-1000-based dicationic ionic liquid exhibiting temperature-dependent phase behavior with toluene and its application in one-pot synthesis of benzopyrans. Chem Commun 2878–2880 [DOI] [PubMed]
- 36.Zheng X, Qian YB, Wang Y (2010) 2-Pyrrolidinecarboxylic acid ionic liquid as a highly efficient organocatalyst for the asymmetric one-pot Mannich reaction. Eur J Org Chem 515–522
- 37.Ranu BC, Saha A, Banerjee S (2008) Catalysis by ionic liquids: significant rate acceleration with the use of [pmim][Br] in the three-component synthesis of dithiocarbamates. Eur J Org Chem 519–523
- 38.Zolfigol MA, Khazaei A, Moosavi-Zare AR. Ionic liquid 3-methyl-1-sulfonic acid imidazolium chloride as a novel and highly efficient catalyst for the very rapid synthesis of bis(indolyl)methanes under solvent-free conditions. Org Prep Proced Int. 2010;42:95–102. doi: 10.1080/00304940903585495. [DOI] [Google Scholar]
- 39.Bao W, Wang Z. An effective synthesis of bromoesters from aromatic aldehydes using tribromide ionic liquid based on L-prolinol as reagent and reaction medium under mild conditions. Green Chem. 2006;8:1028–1033. doi: 10.1039/b604096a. [DOI] [Google Scholar]
- 40.Dong F, Jun L, Xin-Li Z, Liu Zu-L. Mannich reaction in water using acidic ionic liquid as recoverable and reusable catalyst. Catal Lett. 2007;116:76–80. doi: 10.1007/s10562-007-9095-8. [DOI] [Google Scholar]
- 41.Hajipour AR, Ghayeb Y, Sheikhan N, Ruoho AE. Brönsted acidic ionic liquid as an efficient and reusable catalyst for one-pot synthesis of 1-amidoalkyl 2-naphthols under solvent-free conditions. Tetrahedron Lett. 2009;50:5649–5651. doi: 10.1016/j.tetlet.2009.07.116. [DOI] [Google Scholar]
- 42.Dong F, Zhenghao F, Zuliang L. Functionalized ionic liquid as the recyclable catalyst for Mannich-type reaction in aqueous media. Catal Commun. 2009;10:1267–1270. doi: 10.1016/j.catcom.2009.02.003. [DOI] [Google Scholar]
- 43.Dong F, Zhang DZ, Liu ZL. One-pot three-component Biginelli-type reaction catalyzed by ionic liquids in aqueous media. Monatsh für Chem. 2010;141:419–423. doi: 10.1007/s00706-010-0271-y. [DOI] [Google Scholar]
- 44.Chary MV, Keerthysri NC, Vupallapati SVN, Ligaiah N, Kantevari S. Tetrabutylammonium bromide (TBAB) in isopropanol: an efficient, novel, neutral and recyclable catalytic system for the synthesis of 2,4,5-trisubstituted imidazoles. Catal Commun. 2008;9:2013–2017. doi: 10.1016/j.catcom.2008.03.037. [DOI] [Google Scholar]
- 45.Chen L, Huang XJ, Li YQ, Zhou MY, Zheng WJ. A one-pot multicomponent reaction for the synthesis of 2-amino-2-chromenes promoted by N, N-dimethylamino-functionalized basic ionic liquid catalysis under solvent-free condition. Monatsh für Chem. 2009;140:45–47. doi: 10.1007/s00706-008-0008-3. [DOI] [Google Scholar]
- 46.Yadav LDS, Rai A, Rai VK, Awasthi C. Chiral ionic liquid-catalyzed Biginelli reaction: stereoselective synthesis of polyfunctionalized perhydropyrimidines. Tetrahedron. 2008;64:1420–1429. doi: 10.1016/j.tet.2007.11.044. [DOI] [Google Scholar]
