Abstract
Since viral hepatitis, as discussed in preceding chapters, has emerged as a major public health problem throughout the world affecting several hundreds of millions of people, and since no effective chemotherapy has been developed so far that can completely treat viral hepatitis, attempts are continued to find potential drugs against this disease. In this respect, the development of medicinal chemistry has been rewarding, as it covers all aspects of drug design such as recognition of important drug targets, computational chemistry, optimization of drug activity based on their structure-activity relationship, finding the three-dimensional structures of compounds by X-ray crystallography, NMR, molecular dynamics, and then synthesis of the drugs and evaluating their activity. The present chapter, thus, presents such medicinal chemistry study on anti-HAV, anti-HDV, and anti-HEV drugs.
Keywords: 3Cpro inhibitors, Anti-HAV agents, Anti-HDV agents, Antihepatitis agents, Anti-HEV agents, Phosphorodiamidate morpholino oligomers, Small delta antigen inhibitors
1. Introduction
During the last few decades, there has been a revolution in the drug industry due to development of medicinal chemistry and studies on the basic cause of development of different diseases. The development of medicinal chemistry has been rewarding (Bowen and Zhong, 2016). It has greatly facilitated the development of drugs and understanding the mechanism of drug actions. In its usual sense, medicinal chemistry simply meant the application of organic chemistry to drug synthesis, but now, under its umbrella come various other aspects of drug design, such as identification of metabolites, studies of enzymes responsible for different diseases, computational chemistry, study of three-dimensional structures of molecules and enzymes, study of physicochemical properties of drug molecules, topology, development of quantitative structure-activity relationships, molecular modeling, X-ray crystallography, nuclear magnetic resonance (NMR), and molecular dynamics (Gupta, 2011). Thus all research directed to design and develop drugs can be included in medicinal chemistry. Medicinal chemistry has been organic chemistry in the chemistry departments, where the chemists used to only find out ways of synthesis of a particular drug. Now it has become a valuable subject of pharmacy departments with the name pharmaceutical chemistry, where the pharmacists focus on medicinal chemistry to understand and predict what changes in molecular structures will lead to enhance the biologic activity vis-à-vis a medicinal chemist who viewed medicinal chemistry as strictly application oriented. Thus, medicinal chemistry is a complex science that has gone beyond the hands of classical organic chemists. Now a career in medicinal chemistry has become rewarding but more challenging, too. Today, a medicinal chemist is expected to not only have the knowledge of organic chemistry but also cause of diseases. At the biologic interface, medicinal chemistry combines to form a set of highly interdisciplinary sciences encompassing synthetic chemistry, computational chemistry, spectroscopy, enzymology, virology, microbiology, toxicology, etc., and thus medicinal chemistry is now playing a significant role in design and development of drugs. In this chapter, we present both experimental and theoretical roles of medicinal chemistry in designing antihepatitis drugs. The virology has provided enough information regarding the life cycles of different life-threatening viruses and the crucial steps necessary for their replication. These crucial steps involve different polymerases and proteases that could be found as important targets for the design of potent antiviral drugs. Now, we describe here the exploitation of such polymerases and proteases that could be successfully utilized for the design of drugs against all five hepatitis viruses: hepatitis A virus (HAV) to hepatitis E virus (HEV). However, in this chapter, we have chosen only the discussion of drugs against HAV, hepatitis D virus (HDV), and HEV, as they are less studied compared to hepatitis B virus (HBV) and hepatitis C virus.
2. Anti-HAV Drugs Studies
2.1. Experimental
For designing anti-HAV drugs, the target that has been extensively exploited is its 3C protease (3Cpro). This HAV 3Cpro is a picornaviral cysteine protease that is essential for cleavage of the initially synthesized viral polyprotein precursor to mature fragments and is therefore required for viral replication in vivo (Huang et al., 1999). It has been observed that this protease cleaves two peptides, corresponding to the viral polyprotein 2 B/2C and 2 C/3A junctions, most efficiently (Jewell et al., 1992). 3Cpro generally recognizes peptide substrates with l-glutamine at the P1 site. Cysteine proteases usually adopt a chymotrypsin-like fold (Allaire et al., 1994, Matthews et al., 1994) and display an active site configuration like those of serine proteases. Because of these specificities, mostly peptide-based compounds were studied as HAV 3Cpro inhibitors. However, so far, the following different types of 3Cpro inhibitors have been studied:
-
a.
peptide aldehyde inhibitors (Malcolm et al., 1995)
-
b.
azaglutamine and keto-glutamine derivatives (Huang et al., 1999, Ramtohul et al., 2002a)
-
c.
azodicarboxamides (Hill and Vederas, 1999)
-
d.
pseudoxazolones (Ramtohul et al., 2002b)
-
e.
serine and threonine β-lactones (Lall et al., 1999, Lall et al., 2000)
-
f.
triazolo[4,3-b]pyridazines (Shamroukh and Ali, 2008)
-
g.
heteroaromatic esters (Huitema et al., 2008)
2.1.1. Peptide Aldehyde Inhibitors
The development of peptide aldehyde inhibitors was based on the modification of acetyl-Leu-Ala-Ala sequence to act as the competitors of the natural substrate Leu-Arg-Thr (Jewell et al., 1992, Malcolm et al., 1995). On the same basis, some monofluoromethylketones (FMKs) were also developed as 3Cpro inhibitors (Morris et al., 1997), and it was found that when an FMK was complexed with HAV 3Cpro, it had covalent bonding with the catalytic cysteine (Yin et al., 2006). The common feature of substrate required for recognition by all 3C proteases was found to be glutamine residue in P1 position (Krausslich and Wimmer, 1988) (Pn and Pnʹ refer to the binding sites on the left and right sides of the scissile peptide bond, respectively, and the corresponding binding sites on the substrate are referred to by Sn and Snʹ, respectively). Substrates with replacement of glutamine with an alanine were not found to act as 3Cpro substrates (Jewell et al., 1992). With various considerations, Malcolm et al. (1995) studied four peptide aldehydes as 3Cpro inhibitors. These inhibitors were acetyl N,N-dimethylglutaminal (Ac-Q′-H), acetyl leucinylalanylalanyl N,N′-dimethylglutaminal (Ac-LAAQ′-H), the thioester precursor (Ac-LAAQ′-SEt), and the related peptide aldehyde acetyl alanylalanylalanyl N,N-dimethylglutaminal (Ac-AAAQ′-H). Out of these compounds, acetyl leucinylalanylalanyl N,N′-dimethylglutaminal (Ac-LAAQ′-H) was found to be the most active. In this inhibitor, if leucine (L) residue was replaced with alanine residue (A), it resulted in a fivefold loss in activity.
2.1.2. AzaGlutamine and Keto-Glutamine Derivatives
Since HAV 3Cpro generally recognizes peptide substrates with l-glutamine at the P1 site, four types of analogs having an azaglutamine residue, as shown in Fig. 5.1 by A, B, C, and D, were chemically synthesized by Huang et al. (1999). These compounds were hydrazo-o-nitrophenyl-sulfenamides (A), frame-shifted hydrazo-o-nitrophenylsulfenamides (B), the azaglutamine sulfonamides (C), and haloacetyl azaglutamine analogs (D).
Figure 5.1.

HAV 3Cpro inhibitors having azaglutamine residue: hydrazo-o-nitrophenyl-sulfenamides (A), frame-shifted hydrazo-o-nitrophenylsulfenamides (B), the azaglutamine sulfonamides (C), and haloacetyl azaglutamine analogs (D) (Huang et al., 1999).
For generation of inhibitors of proteases, including cysteine proteases, incorporation of hydrazine functionality into peptide backbones (azapeptides) was shown to be crucial (Han and Janda, 1996, Fässler et al., 1996, Abeles and Magrath, 1992). However, Huang et al. (1999) examined a number of sulfur-containing azaglutamine derivatives as potential inhibitors of HAV 3Cpro and provided synthetic access to four types of aza-amino acid peptide analogs, as shown in Fig. 5.1. Among all the groups of compounds, only one compound belonging to group B (Rʹ = Ac-Leu-Ala-Ala) and two compounds belonging to group D (X = Cl, and X = Br) were found to be active against HAV 3Cpro. These compounds were found to irreversibly react with the active site thiol (Cys-172) of the protease. It is therefore not unreasonable to expect that such substrate analogs may be developed to act as potent 3Cpro inhibitors.
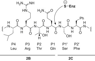
Since the enzyme recognizes peptide substrates with a glutamine residue at the P1 site, a number of ketone-containing glutamine compounds were also synthesized and tested by Ramtohul et al. (2002a) for their inhibition activity against HAV 3Cpro. The crystal structure of HAV 3Cpro has been determined (Bergmann et al., 1997, Bergmann and James, 1999), and it has been found that it has a two-domain β-barrel fold, characteristic of chymotrypsin-like serine proteinases (Bergmann and James, 1999, Gorbalenya and Snijder, 1996, Malcolm, 1995). In HAV 3Cpro an active site cysteine (Cys172) acts as a nucleophile with assistance from a histidine residue (His44), which behaves as a general acid-base catalyst. It leads to the formation of a tetrahedral intermediate being promoted by an electrophilic oxyanion hole (Bergmann and James, 1999, Gorbalenya and Snijder, 1996). In the binding with the substrate, four to five residues (P5 to P1) preceding the scissile bond and two to three residues (P1ʹ to P3ʹ) following it have been found to be involved (Ramtohul et al., 2002a; Schechter and Berger, 1967) (Fig. 5.2 ). Additionally, the enzyme-substrate interaction has also been shown to involve hydrogen bonding between the carbonyl oxygen of P1-glutamine of the enzyme and His191 of S1 in substrate (Bergmann and James, 1999; Gorbalenya and Snijder, 1996, Malcolm, 1995). In search of potential therapeutic leads to develop potent 3Cpro inhibitors, a variety of compounds, as mentioned earlier in Section 2.1.2, were tried. A series of keto-glutamine analogs as 3Cpro Inhibitors were studied by Ramtohul et al. (2002a) to finally design a potent compound 1 having inhibition constant Ki equal to 9 μM. The activity of this compound was not affected in the presence of a 100-fold excess of dithiothreitol (DTT), which indicated that this type of phthalhydrazido system could be a specific inhibitor of HAV 3Cpro that would not react inadvertently with ubiquitous thiols (e.g., glutathione). Additionally, a compound 2 was suggested by these authors to be an interesting lead structure that could be further modified to generate drug candidates for picornaviral cysteine proteases.


Figure 5.2.

A schematic representation of HAV 3C protease showing the sequence of residues at the 2B–2C junction.
Reprinted with permission from Ramtohul, et al., 2002a. J. Org. Chem. 67, 3169–3178. Copyright American Chemical Society 2002.
2.1.3. Azodicarboxamides
Hill and Vederas (1999) studied a group of azodicarboxamides as HAV 3Cpro inhibitors, among which a few compounds, as shown in Fig. 5.3 , were found to have good inhibition activity. All four compounds, 3–6, had their activity in the micromolar range as 23, 10, 32, and 62 μM, respectively. Hill and Vederas argued that these compounds inhibit the protease through the formation of a covalent complex with the enzyme. When the most active compound 4 was modeled into the active site of HAV 3Cpro based upon a cocrystal structure of HAV 3Cpro with a covalent addition of acetyl-Val-Phe-amide to Cys 172, it was observed that the carbonyl oxygen, which has the hydrogen bonding with the backbone nitrogen residue 170, neither appeared to fall into the oxyanion hole canonically nor to form any hydrogen bond with the nitrogen of Cys172 (Fig. 5.4 ). Also, the phenyl ring of the compound did not appear to fully enter the S2ʹ pocket because of the rigidity of the compound relative to the peptide. These azodicarboxamides were suggested to be potentially useful for cocrystallization studies, since recognition elements could be built onto either side of the azo moiety. This can span both the P and Pʹ sites of the active site, while usually cysteine protease inhibitors utilize recognition on only one side of the active site (Hill and Vederas, 1999).
Figure 5.3.

Some azodicarboxamides acting against HAV 3C proteases.
Figure 5.4.

Molecular modeling of the most active compound (4) into the active site of HAV 3Cpro based upon a cocrystal structure of the protease with a covalent addition of acetyl-Val-Phe-amide to Cys172. The inhibitor molecule is shown in green with oxygen in red and nitrogen in blue.
Reprinted with permission from Hill, Vederas, 1999. J.Org.Chem. 64, 9538–9546. Copyright American Chemical Society 1999.
2.1.4. Pseudoxazolones
Some pseudoxazolones, as represented by 7–10 in Fig. 5.5 , were studied by Ramtohul et al. (2002b). In the entire series, these compounds were found to have the highest activity, having IC50 values of 6, 4, 3, and 4 μM, respectively. The enzyme inactivation by these compounds was suggested to involve covalent modification of the active site cysteine residue through nucleophilic addition of the thiolate to the imine moiety of the compounds. However, these pseudoxazolones were found to completely lose their activity in the presence of DTT. This indicated that added thiol reacts rapidly with these compounds, so such compounds were not assumed to be useful drug candidates without considerable modifications (Ramtohul et al., 2002b). However, they were suggested to be valuable biochemical tools to derive important information about enzyme-inhibitor interaction.
Figure 5.5.

Some representative pseudoxazolones studied as HAV 3Cpro inhibitors.
2.1.5. Serine and Threonine β-Lactones
Lall et al. (1999) studied β-lactone functionality in the enantiomeric serine derivatives to find its effect on HAV 3Cpro inhibition and found that compounds such as 11 and 12 could display good irreversible and reversible inhibition, respectively, of this enzyme. This work was based on the fact that many of the naturally occurring β-lactones possess potent biologic activity (Lowe and Vederas, 1995, Pommier and Pons, 1995, Yang and Romo, 1999) and that the ability of the thiols to open the four-membered ring by nucleophilic attack at either the carbonyl or at β-position might be useful to make them irreversible inhibitors of cysteine proteases. These two compounds were, however, N-Cbz-serine β-lactones.

Despite the absence of a P1 glutamine side chain important for substrate recognition, compound 11 was found to be a good time-dependent irreversible inhibitor of HAV 3Cpro (Kinact = 0.70 min−1, KI = 1.84 × 10−4 M, and Kinact/KI = 3800M−1min−1) at an enzyme concentration of 0.1 μM, and the enantiomer 12 was found to be a competitive reversible inhibitor of HAV 3Cpro with KI equal to 1.50 μM at a similar enzyme concentration. Thus, Lall et al. suggested that HAV 3Cpro active site may have different modes of binding for enantiomers 11 and 12, so the former acts as an irreversible inhibitor and the latter as a reversible inhibitor.
Encouraged by this, Lall et al. later studied some threonine β-lactones (13) with different configurations at α and β positions and R = SO2(CHn)2Ph (n = 1 or 2) (Lall et al., 2002). Among threonine β-lactones, the two D-allo-threonine β-lactones, 14 and 15, were found to be the most active against HAV 3Cpro with IC50 values of 5 and 12 μM, respectively. Thus both the communications of Lall et al., 1999, Lall et al., 2000 established the role of β-lactones in the inhibition of HAV 3C protease.

2.1.6. Heteroaromatic Esters
In an attempt to find broad-spectrum inhibitors of 3C and 3C-like (3CL) proteases of picornaviruses and coronaviruses, respectively, Huitema et al. (2008) screened a large library of heteroaromatic esters with some representative structures, as shown in Fig. 5.6 . Three compounds in the library having furan rings were found to inhibit HAV 3Cpro with KI values between 120 and 240 nM. These compounds were reported to be among the most potent nonpeptidic 3Cpro inhibitors reported so far. The most potent compound, however, screened against HAV 3Cpro was 20 with an IC50 value of 53 ± 2 nM. A modeling study was performed on this compound to find that halopyridinyl moiety of the compound fits tightly into the S1-binding pocket and that its nitrogen is hydrogen-bonded to Nε2 of His191 (3.0 Å) and the halogen atom points out toward the solvent (Fig. 5.7A ). Further, the carbonyl oxygen of the ester in the oxyanion hole of the enzyme forms two hydrogen bonds, one with nitrogen of Gly170 (3.1 Å) and other with nitrogen of Cys172 (2.7 Å). Similar interactions of this compound are shown with severe acute respiratory syndrome (SARS) 3CL protease (Fig. 5.7B).
Figure 5.6.

Some representative structures of heteroaromatic esters studied as 3Cpro and 3CLpro inhibitors by Huitema et al. (2008).
Figure 5.7.

Docking of compound 20 in HAV 3Cpro (A) and SARS 3CLpro (B). In both the cases the compound is shown to have three hydrogen bonds with each protease and its halopyridinyl moiety to be engulfed into the S1 binding pocket.
Reprinted with permission from Huitema et al., 2002a, 2008. Bioorg. Med. Chem. 16, 5761–5777. Copyright Elsevier 2008.
2.2. Theoretical
No substantial theoretical studies are available on HAV inhibitors except the one discussed before in Section 2.1.6 for heteroaromatic esters.
3. Anti-HDV Drugs Studies
3.1. Experimental
As already discussed, HDV can cause severe liver disease, but so far, no specific therapy has been developed against this virus. In fact, in its life cycle, no crucial target has been found to be exploited for drug design. However, through some studies, it has been pointed out that the prenylation site of large delta antigen is a critical determinant of HDV particle assembly, so delta antigen prenylation can be pharmacologically exploited to develop anti-HDV drugs. In this context, a benzodiazepine peptidomimetic (C27H33N5O5S2), BZA-5B, with IUPAC name of “Methyl (2S)-2-[[2-[3-[(2-amino-3-sulfanylpropanoyl)-methylamino]-2-oxo-5-phenyl-3H-1,4-benzodiazepin-1-yl]acetyl]amino]-4-methylsulfanylbutanoate” (21) was developed as an HDV prenylation inhibitor. This drug was originally synthesized as a specific prenyltransferase inhibitor and known to inhibit prenylation of the oncoprotein H-RasV12 (Marsters et al., 1994). Glenn et al. (1998) later studied to establish that this BA-5B could be used as an anti-HDV drug.

Some authors have studied the bile acids (BAs) as anti-HDV agents (Yan et al., 2014, Pereira et al., 2015). BAs, with general structures as shown in Fig. 5.8 , are steroid acids found predominantly in the bile of mammals and vertebrates. A polypeptide known as sodium-taurocholate cotransporting polypeptide (NTCP) is both a BA transporter mediating uptake of BA into hepatocytes and an essential receptor for HBV and HDV. Thus, it is of interest to study as to what extent and through what mechanism BAs can affect HDV cell entry. Inhibitory BAs can inhibit NTCP-mediated HDV entry into hepatocytes, suggesting that modulation of BA pool may affect HDV infection of hepatocytes. It is, however, reasonable to speculate that the conformation of NTCP favorable for substrate binding and that for virus binding may mutually affect each other. BAs act as substrate of NTPC. Working on a set of BAs, Pereira et al. (2015) demonstrated that BAs inhibit HDV cell entry, which occurs most likely through competition for binding to NTCP between BAs and the large HBV surface protein that has been shown to mediate binding of HBV and HDV to NTCP. However, with all efforts, there are still no approved drugs in the market or in advance clinical development stage against HDV.
Figure 5.8.

General structure of bile acids.
3.2. Theoretical
Like HAV inhibitors, not many theoretical studies are available on HDV inhibitors. However, a compound, 3-(((4,7-Dichloro-1,3-benzoxazol-2-yl)methyl)amino)-5-ethyl-6-methylpyridin-2(1H)-one, (L-697661, 22), was developed by Singh et al. (2011) as an anti-HDV drug through virtual screening and molecular docking studies. These authors selected a large set of HDV replication inhibitors from the National Centre for Biotechnology Information Pub-Chem compound database as ligand molecules having the ability to inhibit the replication of small delta antigen (S-HDAg) protein of HDV, which is required for HDV RNA replication in vivo (Kuo et al., 1989). For the docking study, the three-dimensional structure model of S-HDAg protein of HDV was retrieved from Protein Model Database (http://mi.caspur.it/PMDB/) as PM0075974 and used as a receptor. In the docking study, the binding modes and geometric orientation of all compounds were found to be almost identical, suggesting that all inhibitors occupied a common cavity in the receptor. However, compound 22 was considered to be a potential candidate drug for HDV inhibition.

4. Anti-HEV Drugs Studies
4.1. Experimental
It is now known that HEV can be responsible for chronic hepatitis in immunocompromised patients. Unfortunately, there is still no established therapy for this chronic infection, which can rapidly evolve to cirrhosis and can require liver transplantation (Haagsma et al., 2008, Gerolami et al., 2008, Kamar et al., 2008). It was, however, reported that a compound, ribavirin (23), may have antiviral effects (Mallet et al., 2010), but later the follow-up after ribavirin cessation was found to be very short. Although this compound has been shown to inhibit the replication of a wide range of RNA and DNA viruses (Sidwell et al., 1972, Patterson and Fernandez-Larsson, 1990), its sustained effect against HEV has hardly been reported. However, Kamar et al. (2010) reported that ribavirin monotherapy could inhibit the replication of HEV in vivo and might induce a sustained virologic response in patients with chronic HEV infections, but to determine the optimal duration of effect of ribavirin therapy, further studies are still required.
Some authors studied the effect of another antiviral compound, sofosbuvir (24), on HEV infection (Thi et al., 2016) and found that it can inhibit replication of HEV genotype 3 both in subgenomic replicon systems as well as full-length infectious clone, but they suggested that an additive antiviral effect may result if it is combined with ribavirin. Thus, sofosbuvir may be considered an add-on therapy to ribavirin for the treatment of chronic hepatitis E in immunocompromised patients.

In an effort to find a new category of anti-HEV drugs, Nan et al. (2015) tested a series of phosphorodiamidate morpholino oligomers (PMOs) for their ability to inhibit HEV replication in liver cells. PMOs are nuclease-resistant single-stranded DNA analogs containing a backbone of morpholine rings and phosphorodiamidate linkages (Summerton, 1999). A PMO can conjugate to an arginine-rich cell, penetrating the peptide to facilitate the entry into the cells (Abes et al., 2006, Summerton, 1999). These peptide-conjugated PMOs (PPMOs) are water soluble, so they can readily enter the cells. When these PPMOs were studied for HEV inhibition by Nan et al. (2015), it was found that some of them displayed potent inhibition of HEV genotype 1 replication. A PPMO that targeted start site region of HEV ORF1 (PPMO HP1) was observed to also effectively inhibit replication of genotype 3 Kernow-C1 strain in liver cells. The conserved nature of the target of PPMO HP1 and its overall efficacy suggested that this compound may be an HEV-specific inhibitor with antiviral activity across multiple HEV genotypes. In addition to PPMO HP1, three more PPMOs, HP2, HP3U, and HPN3, were found to be promising to be developed as anti-HEV agents. All these PPMOs are given in Table 5.1 with their specifications. It can be seen in Table 5.1 that PPMO HP1 and HP2 are complementary to a sequence in the 5ʹ-end region of genomic and subgenomic RNA, respectively. On the other hand, HP3U is complementary to a sequence in the terminal region of the 3′ UTR, and HPN3 is the reverse complement of HP1 and was intended to interfere with the synthesis of positive-sense genomic RNA. PPMO HP1 and HP2 are complementary to a sequence in the 5ʹ end region of genomic and subgenomic RNA, respectively (Table 5.1). HP3U is complementary to a sequence in the terminal region of the 3′ UTR. HPN3 is the reverse complement of HP1 and was intended to interfere with the synthesis of positive-sense genomic RNA. A nonsense-sequence PPMO CP1 (Zhang et al., 2007), which has little agreement with HEV or human mRNA sequences, was used as a negative control PPMO. CP1 with fluorescein conjugated at its 3ʹ end (CP1–F) was used in the PPMO uptake assay. PPMOs were synthesized with an arginine-rich cell-penetrating peptide (P7) conjugated at the 5ʹ end at AVI BioPharma Inc (Corvallis, OR), as previously described (Abes et al., 2006).
Table 5.1.
PPMOs designed against HEV Sar55 strain
| PPMO | Sequence(5ʹ-3ʹ) | Target site in HEV genome (position) |
|---|---|---|
| HP1 | GGGCCTCCATGGCATCGACC | Start site region of ORF1 (18–37) |
| HP2 | CATGGGCGCAGCAAAAGACA | Start site region of ORF2 (5116–5135) |
| HP3U | GCGCGAAACGCAGAAAAGAG | Terminal region of 3′ UTR (7169–7188) |
| HPN3 | GGTCGATGCCATGGAGGCCC | 3′ terminal region of negative sense RNA |
4.2. Theoretical
No substantial theoretical work is available on anti-HEV drugs.
5. Conclusions
This chapter has presented theoretical and experimental studies on anti-HAV, anti-HDV, and anti-HEV drugs. For anti-HAV, the 3Cpro of the virus has been well exploited, and the following classes of inhibitors have been developed for its inhibition: peptide aldehydes, azaglutamine and keto-glutamine derivatives, azodicarboxamides, pseudoxazolones, serine and threonine β-lactones, triazolo[4,3-b]pyridazines, and heteroaromatic esters. A theoretical study has been conducted on heteroaromatic esters, where the most potent compound of the series (20) when docked into HAV 3Cpro was found to have its halopyridinyl moiety to completely fit into the S1-binding pocket of the enzyme and its nitrogen to have hydrogen bonding with Nε2 of His191 residue of the enzyme. Further, the carbonyl oxygen of the ester in the oxyanion hole of the enzyme was observed to form two hydrogen bonds, one with nitrogen of Gly170 (3.1 Å) and other with nitrogen of Cys172 (2.7 Å), and the halogen atom was found to point toward the solvent (Fig. 5.7A). For anti-HDV drugs, a delta antigen prenylation inhibitor such as 21 and some BAs were studied to inhibit NTCP-mediated HDV entry into hepatocytes. As far as theoretical study on anti-HDV drugs is concerned, a large set of HDV replication inhibitors was selected from the database to be docked in small delta antigen (S-HDAg) protein of HDV. The docking study had shown that the binding modes and geometric orientation of all compounds were almost identical, suggesting that all inhibitors occupied a common cavity in the receptor, but a compound 22 was considered to be a potential candidate drug for HDV inhibition. No more theoretical studies were available on anti-HDV drugs. For HEV therapy, a series of PMOs were studied. PMOs could conjugate to an arginine-rich cell, penetrating the peptide to facilitate the entry into the cells. Out of these peptide-conjugated PMOs (PPMOs), a few were found to be potent inhibitors of HEV genotype 1 replication. Further studies are not available on anti-HEV drugs, and theoretical studies are almost lacking.
References
- Abeles R.H., Magrath J. Cysteine protease inhibition by azapeptide esters. J. Med. Chem. 1992;35:4279–4283. doi: 10.1021/jm00101a004. [DOI] [PubMed] [Google Scholar]
- Abes S., Moulton H.M., Clair P., Prevot P., Youngblood D.S., Wu R.P., Iversen P.L., Lebleu B. Vectorization of morpholino oligomers by the (R-Ahx-R)4 peptide allows efficient splicing correction in the absence of endosomolytic agents. J. Control Release. 2006;116:304–313. doi: 10.1016/j.jconrel.2006.09.011. [DOI] [PubMed] [Google Scholar]
- Allaire M., Chernaia M., Malcolm B.A., James N.G. Picomaviral 3C cysteine proteinases have a fold similar to the chymotrypsin-like serine proteinases. Nature (London) 1994;369:72–77. doi: 10.1038/369072a0. [DOI] [PubMed] [Google Scholar]
- Bergmann E.M., James M.N.G. The 3C proteinases of picornaviruses and other positive-sense, single-stranded rna viruses. In: Von der Helm K., Korant B., editors. Proteases as Targets for Therapy. Springer; Heiderlberg: 1999. pp. 117–143. [Google Scholar]
- Bergmann E.M., Mosimann S.C., Chernaia M.M., Malcolm B.A., James M.N.G. The refined crystal structure of the 3C gene product from hepatitis A virus: specific proteinase activity and RNA recognition. J. Virol. 1997;71:2436–2448. doi: 10.1128/jvi.71.3.2436-2448.1997. [DOI] [PMC free article] [PubMed] [Google Scholar]
- Bergmann E.M., Cherney M.M., McKendrick J., Frormann S., Luo C., Malcolm B.A., Vederas J.C., James M.N.G. Crystal structure of an inhibitor complex of the 3C proteinase from hepatitis A virus (HAV) and implications for the polyprotein processing in HAV. Virology. 1999;265:153–163. doi: 10.1006/viro.1999.9968. [DOI] [PubMed] [Google Scholar]
- Bowen J.P., Zhong H.A. The evolution in medicinal chemistry. Curr. Top. Med. Chem. 2016;16:897–898. doi: 10.2174/1568026616999151029114013. [DOI] [PubMed] [Google Scholar]
- Fässler A., Bold G., Capraro H.-G., Cozens R., Mestan J., Poncioni B., Rӧsel J., Tintelnot-Blomley M., Lang M. J. Med. Chem. 1996;39:3203–3216. doi: 10.1021/jm960022p. [DOI] [PubMed] [Google Scholar]
- Gerolami R., Moal V., Colson P. Chronic hepatitis E with cirrhosis in a kidney-transplant recipient. N. Engl. J. Med. 2008;358:859–860. doi: 10.1056/NEJMc0708687. [DOI] [PubMed] [Google Scholar]
- Glenn J.S., Marsters J.C., Jr., Greenberg H.B. Use of a prenylation inhibitor as a novel antiviral agent. J. Virol. 1998;72:9303–9306. doi: 10.1128/jvi.72.11.9303-9306.1998. [DOI] [PMC free article] [PubMed] [Google Scholar]
- Gorbalenya A.E., Snijder E.J. Viral cystein proteases. Perspect. Drug Discov. Des. 1996;6:64–86. doi: 10.1007/BF02174046. [DOI] [PMC free article] [PubMed] [Google Scholar]
- Gupta S.P. QSAR Studies and Molecular Modeling. Anamaya Publishers; New Delhi: 2011. [Google Scholar]
- Haagsma E.B., van den Berg A.P., Porte R.J. Chronic hepatitis E virus infection in liver transplant recipients. Liver Transpl. 2008;14:547–553. doi: 10.1002/lt.21480. [DOI] [PubMed] [Google Scholar]
- Han H., Janda K.D. Azatides: solution and liquid phase syntheses of a new peptidomimetic. J. Am. Chem. Soc. 1996;118:2539–2544. [Google Scholar]
- Hill R.D., Vederas J.C. Azodicarboxamides: a new class of cysteine proteinase inhibitor for hepatitis A virus and human rhinovirus 3C enzymes. J. Org. Chem. 1999;64:9538–9546. [Google Scholar]
- Huitema C., Zhang J., Yin J., James M.N.G., Vederas J.C., Eltis L.D. Heteroaromatic ester inhibitors of hepatitis A virus 3C proteinase: evaluation of mode of action. Bioorg. Med. Chem. 2008;16:5761–5777. doi: 10.1016/j.bmc.2008.03.059. [DOI] [PMC free article] [PubMed] [Google Scholar]
- Huang Y., Malcolmb B.A., Vederas J.C. Synthesis and testing of azaglutamine derivatives as inhibitors of hepatitis A virus (HAV) 3C proteinase. Bioorg. Med. Chem. 1999;7:607–619. doi: 10.1016/S0968-0896(99)00006-1. [DOI] [PMC free article] [PubMed] [Google Scholar]
- Jewell D.A., Swietnicki W., Dunn B.M., Malcolm B.A. Hepatitis A virus 3C proteinase substrate specificity. Biochemistry. 1992;31:7862–7869. doi: 10.1021/bi00149a017. [DOI] [PubMed] [Google Scholar]
- Kamar N., Mansuy J.M., Cointault O. Hepatitis E virus-related cirrhosis in kidney- and kidney-pancreas-transplant recipients. Am. J. Transplant. 2008;8:1744–1748. doi: 10.1111/j.1600-6143.2008.02286.x. [DOI] [PubMed] [Google Scholar]
- Kamar N., Rostaing L., Abravanel F., Garrouste C., Lhomme S., Esposito L., Basse B., Cointault O., Ribes D., Nogier M.B., Alric L., Peron J.M., Izopet J. Ribavirin therapy inhibits viral replication on patients with chronic hepatitis E virus infection. Gastroenterology. 2010;139:1612–1618. doi: 10.1053/j.gastro.2010.08.002. [DOI] [PubMed] [Google Scholar]
- Krausslich H.G., Wimmer E. Viral proteinases. Annu. Rev. Biochem. 1988;57:701–754. doi: 10.1146/annurev.bi.57.070188.003413. [DOI] [PubMed] [Google Scholar]
- Kuo M.Y., Chao M., Taylor J. Initiation of replication of the human hepatitis delta virus genome from cloned DNA: role of delta antigen. J. Virol. 1989;63:1945–1950. doi: 10.1128/jvi.63.5.1945-1950.1989. [DOI] [PMC free article] [PubMed] [Google Scholar]
- Lall M.J., Karvellas C., Vederas J.C. β-Lactones as a new class of cysteine proteinase inhibitors: inhibition of hepatitis A virus 3C proteinase by N-Cbz-serine β-lactone. Org. Lett. 1999;1:803–806. doi: 10.1021/ol990148r. [DOI] [PubMed] [Google Scholar]
- Lall M.S., Ramtohul Y.K., James M.N.G., Vederas J.C. Serine and threonine β-lactones: a new class of hepatitis A virus 3C cysteine proteinase inhibitors. J. Org. Chem. 2000;67:1536–1547. doi: 10.1021/jo0109016. [DOI] [PubMed] [Google Scholar]
- Lowe C., Vederas J.C. Naturally occurring β-lactones: occurrence, syntheses and properties. Org. Prep. Proced. Int. 1995;27:305–346. [Google Scholar]
- Malcolm B.A. The picornaviral 3C proteinases: cysteine nucleophiles in serine proteinase folds. Protein Sci. 1995;4:1439–1445. doi: 10.1002/pro.5560040801. [DOI] [PMC free article] [PubMed] [Google Scholar]
- Malcolm B.A., Lowe C., Shechosky S., McKay R.T., Yang C.C., Shah V.J., Simon R.J., Vederas J.C., Santi D.V. Peptide aldehyde inhibitors of hepatitis A virus 3C proteinase. Biochemistry. 1995;34:8172–8179. doi: 10.1021/bi00025a024. [DOI] [PubMed] [Google Scholar]
- Mallet V., Nicand E., Sultanik P. Brief communication: case reports of ribavirin treatment for chronic hepatitis E. Ann. Intern. Med. 2010;153:85–89. doi: 10.7326/0003-4819-153-2-201007200-00257. [DOI] [PubMed] [Google Scholar]
- Matthews D.A., Smith W.W., Ferre R.A., Condon B., Budahazi G., Sisson W., Villafranca J.E., Janson C.A., McElroy H.E., Gribskow C.L., Worland S. Cell. 1994;77:761–771. doi: 10.1016/0092-8674(94)90059-0. [DOI] [PubMed] [Google Scholar]
- Marsters J.C., Jr., McDowell R.S., Reynolds M.E., Oare D.A., Somers T.C. Benzodiazepine peptidomimetic inhibitors of farnesyltransferase. Bioorg. Med. Chem. 1994;2:949–957. doi: 10.1016/s0968-0896(00)82044-1. [DOI] [PubMed] [Google Scholar]
- Morris T.S., Frormann S., Shechosky S., Lowe C., Lall M.S., Gauss-Müller V., Purcell R.H., Emerson S.U., Vederas J.C., Malcolm B.A. In vitro and ex vivo inhibition of hepatitis A virus 3C proteinase by a peptidyl monofluoromethyl ketone. Bioorg. Med. Chem. 1997;5:797–807. doi: 10.1016/s0968-0896(97)88649-x. [DOI] [PubMed] [Google Scholar]
- Nan Y., Ma Z., Kannan H., Stein D.A., Iversen P.I., Meng X.-J., Zhang Y.-J. Inhibition of hepatitis E virus replication by peptide-conjugated morpholino oligomers. Antiviral Res. 2015;120:134–139. doi: 10.1016/j.antiviral.2015.06.006. [DOI] [PMC free article] [PubMed] [Google Scholar]
- Patterson J.L., Fernandez-Larsson R. Molecular mechanisms of action of ribavirin. Rev. Infect. Dis. 1990;12:1139–1146. doi: 10.1093/clinids/12.6.1139. [DOI] [PubMed] [Google Scholar]
- Pereira I.V.A., Buchmann B., Sandmann L., Sprinzl K., Schlaphoff V., Döhner K., Vondran F., Sarrazin C., Manns M.P., Souza de Oliveira C.P.M., Sodeik B., Ciesek S., Thomas von Hahn T. Primary biliary acids inhibit hepatitis D virus (HDV) entry into human hepatoma cells expressing the sodium-taurocholate cotransporting polypeptide (NTCP) PLoS One. 2015:1–16. doi: 10.1371/journal.pone.0117152. [DOI] [PMC free article] [PubMed] [Google Scholar]
- Pommier A., Pons J.M. The synthesis of natural 2-oxetanones. Synthesis. 1995;7:729–744. [Google Scholar]
- Ramtohul Y.K., James M.N.G., Vederas J.C. Synthesis and evaluation of keto-glutamine analogues as inhibitors of hepatitis A virus 3C proteinase. J. Org. Chem. 2002;67:3169–3178. doi: 10.1021/jo0157831. [DOI] [PubMed] [Google Scholar]
- Ramtohul Y.K., Martin N.I., Silkin L., James M.N.G., Vederas J.C. Synthesis of pseudoxazolones and their inhibition of the 3C cysteine proteinases from hepatitis A virus and human rhinovirus-14. J. Chem. Soc. Perkin Trans. 2002;1:1351–1359. [Google Scholar]
- Schechter I., Berger A. On the size of the active site in proteases. I. Papain. Biochem. Biophys. Res. Commun. 1967;27:157–162. doi: 10.1016/s0006-291x(67)80055-x. [DOI] [PubMed] [Google Scholar]
- Shamroukh A.H., Ali M.A. Anti-HAV activity of some newly synthesized triazolo[4,3-b]pyridazines. Arch. Pharm. Chem. Life Sci. 2008;341:223–230. doi: 10.1002/ardp.200700181. [DOI] [PubMed] [Google Scholar]
- Sidwell R.W., Huffman J.H., Khare G.P., Allen L.B., Witkowski J.T., Robins R.K. Broad-spectrum antiviral activity of virazole: 1-beta-D-ribofuranosyl-1,2,4-triazole-3-carboxamide. Science. 1972;177:705–706. doi: 10.1126/science.177.4050.705. [DOI] [PubMed] [Google Scholar]
- Singh S., Gupta S.K., Nischal A., Khattri S., Nath R., Pant K.K., Seth P.K. Identification and characterization of novel small-molecule inhibitors against hepatitis delta virus replication by using docking strategies. Hepat. Mon. 2011;11:803–809. doi: 10.5812/kowsar.1735143X.737. [DOI] [PMC free article] [PubMed] [Google Scholar]
- Summerton J. Morpholino antisense oligomers: the case for an RNase H-independent structural type. Biochim. Biophys. Acta. 1999;1489:141–158. doi: 10.1016/s0167-4781(99)00150-5. [DOI] [PubMed] [Google Scholar]
- Thi V.L.D., Debing Y., Wu X., Rice C.M., Neyts J., Moradpour D., Gouttenoire J. Sofosbuvir inhibits hepatitis E virus replication in vitro and results in an additive effect when combined with ribavirin. Gastroenterology. 2016;150:82–85. doi: 10.1053/j.gastro.2015.09.011. [DOI] [PubMed] [Google Scholar]
- Yan H., Peng B., Liu Y., Xu G., He W., Ren B., Jing Z., Sui J., Li W. Viral entry of hepatitis B and D viruses and bile saltstransportation share common molecular determinants on sodiumtaurocholate cotransporting polypeptide. J. Virol. 2014;88:3273–3284. doi: 10.1128/JVI.03478-13. [DOI] [PMC free article] [PubMed] [Google Scholar]
- Yang H.W., Romo D. Methods for the synthesis of optically active β-lactones (2-oxetanones) Tetrahedron. 1999;55:6403–6434. [Google Scholar]
- Yin J., Cherney M.M., Bergmann E.M., Zhang J., Huitema C., Pettersson H., Eltis L.D., Vederas J.C., James M.N. An episulfide cation (thiiranium ring) trapped in the active site of HAV 3C proteinase inactivated by peptide-based ketone inhibitors. J. Mol. Biol. 2006;361:673–686. doi: 10.1016/j.jmb.2006.06.047. [DOI] [PMC free article] [PubMed] [Google Scholar]
- Zhang Y.J., Wang K.Y., Stein D.A., Patel D., Watkins R., Moulton H.M., Iverson P.L., Matson D.O. Inhibition of replication and transcription activator and latency-associated nuclear antigen of Kaposi’s sarcoma-associated herpes virus by morpholino oligomers. Antiviral Res. 2007;73:12–23. doi: 10.1016/j.antiviral.2006.05.017. [DOI] [PMC free article] [PubMed] [Google Scholar]
Further Reading
- Marsters J.C., Jr., Greenberg H.B. Use of a prenylation inhibitor as a novel antiviral agent. J. Virol. 1998;72:9303–9306. doi: 10.1128/jvi.72.11.9303-9306.1998. [DOI] [PMC free article] [PubMed] [Google Scholar]
