Abstract
Cathepsins are proteases found in all animals as well as other organisms. There are approximately a dozen members of this family, which are distinguished by their structure, their catalytic mechanism, and which proteins they cleave. Most of the members become activated at the low pH found in lysosomes. Cathepsins have been identified as therapeutic targets in the search for new drugs against a number of human pathologies, including cancer, Alzheimer's, and osteoporosis.
A number of natural products have been reported as selective inhibitors of some cathepsins. Chemical structure of natural products as inhibitors of cathepsins can be very diverse. Some peptidic natural products are inhibitors of the cysteine protease cathepsins such as E-64 isolated from Aspergillus, which is a cathepsin B inhibitor, or more recently the marine cyanobacterial metabolite gallinamide A which is a selective inhibitor of human cathepsin L. Also amino acid derivatives have been reported as inhibitors of cathepsin A.
Other natural products include chalcone natural products possessing cytotoxic activities against prostate cancer cells and inhibiting cysteine cathepsins in vitro, antipain and its analogues isolated from Streptomyces as inhibitors of cathepsin K, and natural biflavones as novel inhibitors of cathepsins B and K.
In this review we will report the most representative examples of natural products as inhibitors of cathepsins, especially the ones reported during the last decade.
Keywords: Cathepsins, Depsipeptides, Flavonols, Inhibitors, Terpenes
Introduction
Cathepsins are a family of proteases with high therapeutic value since they are present in humans and parasites. Like many other proteases, cathepsins are activated at low pH provided by the lysosome, so their activity is mainly restricted to these organelles (except for cathepsin K). This family of proteins is classified and distinguished by their structure, their catalytic mechanism, and which protein they cleave. Cathepsins B, C, F, H, K, L, V, O, S, W, and X are cysteine proteases, cathepsins D and E are aspartyl proteases, and cathepsins A and G are serine proteases.
Cathepsins have a vital role in mammalian cellular protein turnover. Among all 11 mammalian cathepsins which are cysteine proteases, some are ubiquitously expressed (cathepsins B, H, X, O, C, and L) and can therefore be assumed to be house-keeping enzymes. The remaining five are selectively expressed in well-defined tissues or cell types: cathepsin K in osteoclasts, V in thymus, S in antigen-presenting cells, F in macrophages, and W in NK and CTL cells [1], [2].
In the last decades, the proteolytic activity of cathepsins has been related to many metabolic processes, also involving disease evolution and immunological response, so the interest of cathepsins as therapeutic targets for many diseases has also increased. For example, activities of cathepsin have been related to cancer [3], cerebrovascular accident [4], Alzheimer’s disease [5], arthritis [6], chronic obstructive pulmonary disease [7], and glaucoma [8], among others. It has also been reported that some viruses have evolved to use cathepsins in their favor to infect the cells, like Ebola virus [9] or SARS coronavirus [10] do.
First Cathepsins Inhibitors
In order to find drug candidates, scientists usually get inspiration from natural products isolated from plants, fungi, and bacteria. One of the first isolated natural products being a cathepsin inhibitor was leupeptin (Fig. 6.1 ) identified in 1969 from a strain of Streptomyces exfoliatus [11], [12]. Leupeptin is a peptidyl aldehyde which exhibited inhibitory activity against cathepsins A, B, and D (IC50 = 4, 1 × 10−3, and 0.26 nM, respectively). Leupeptin was followed by other small peptide aldehydes such as chymostatin [13] with IC50 values against cathepsins A, B, and D of 100, 4.2, and 81 μM, respectively. Antipain, a protease inhibitor isolated from actinomycetes [14], exhibited in vitro inhibitory activity against cathepsins (IC50 = 2, 0.9, and 200 μM against cathepsins A, B, and D, respectively) and the microbial alkaline protease inhibitor (MAPI).
Figure 6.1.

Chemical structures of leupeptin, antipain, diverse chymostatins, and alpha-MAPI.
Unfortunately, aldehyde inhibitors require a nucleophilic attack of cysteine proteases, which makes them a target for nucleophilic attack from other proteases such as serine proteases resulting in nonselective inhibition [14].
E-64 and Derivatives
One of the most used natural products in drug research is the E-64 (Fig. 6.2 ). This compound was first isolated and identified by Hanada et al. from the fungus Aspergillus japonicus in 1978 [15]. Since then it has been shown that E-64 is a potent irreversible inhibitor of several cysteine proteases, eg, papain, cathepsin B, and cathepsin L among others [16]. The main advantage of this inhibitor is its high potency coupled with its low toxicity. However, E-64 is not a general inhibitor of cysteine peptidases. It does not irreversibly inactivate peptidases of clan CD, such as caspases [17].
Figure 6.2.

Chemical structure of cysteine protease inhibitor E-64.
In order to develop analogues with better pharmacokinetic properties (such as inhibitory potency or selectivity), a structural study of the target–inhibitor complex is a powerful tool to understand which functional groups have an important effect in the inhibition. Varughese et al. [18] solved the crystal structure for the complex papain–E-64 via X-ray diffraction (Fig. 6.3 ). Similar to a previously reported papain inhibitor, the benzyloxycarbonylphenylalanylalanine chloromethyl ketone [19], E-64 binds the nonprime S subsites [20] in a very similar way. However, the main difference is that the E-64 isoleucine residue is located at the entry to the hydrophobic pocket of papain’s S2 subsite but does not extend nearly as far into the pocket as the phenylalanine side chain of the chloromethyl ketone inhibitor. They also elucidated the mechanism of inhibition, which consists in the epoxide ring opening by the thiol group in the cysteine residue forming a covalent S—C bond.
Figure 6.3.

Picture of papain–E-64 complex. Dotted lines represent H bonds.
In order to develop a proper drug against cancer, target selectivity is as important as its inhibitory effect. The mechanism of inhibition of the E-64 is the same for many cysteine proteases: the irreversible (covalent-type) binding of the thiol from the cysteine residue with the C of the epoxide. So, the specificity will be denoted by the noncovalent interactions of the inhibitor in the Sn subsites of the cysteine protease active site. Ishida and his group have performed an interesting research about the structural-activity relationship (SAR) among different cysteine proteases with different E-64 analogues [21]. They observed that the binding specificities of the papain-family cysteine proteases against E-64 and its derivatives are mainly determined by the Sn–Pn () interactions, and generally Snʹ–Pnʹ interactions are not observed. On the other hand, they previously reported that the Ile–Pro sequence in E-64 analogues CA030 and CA074 (Fig. 6.4 ), which were first described and synthetized as cathepsin B inhibitors by Towatari et al. [22], is absolutely required for the specific inhibition of cathepsin B [23]. Moreover, crystal structures of human cathepsin B–CA030 [24] and bovine cathepsin B–CA074 [25] complexes showed nearly the same binding mode of the sequence to the Snʹ subsites, and this is remarkably different from the binding modes to other papain-family cysteine proteases (Fig. 6.5 ). The unique structural feature of cathepsin B, ie, the presence of cathepsin B occluding loop near the active site of cathepsin B [26], is missing in other papain-family proteases which creates this situation.
Figure 6.4.

Chemical structures of cathepsin B inhibitors CA030 and CA074.
Figure 6.5.

Picture of cathepsin B–CA074 complex. The presence of an occluding loop in cathepsin B makes the inhibition mode unique in comparison with other cysteine proteases.
The information given by X-ray crystal structure and SAR studies allows researchers to rationally design new drug candidates with enhanced specificity and/or potency. Ishida’s group thought that from the therapeutic point of view, it would be desirable to develop noncovalent-type low-molecular-weight version of E-64 and its analogues for cathepsin B. Epoxy-free versions of known inhibitors such as CA074 were tested, but due to the lack of an epoxy ring in CA074 led to a considerable loss of inhibitory activity. The strategy that they follow was to design compounds that are able to block both Sn and Snʹ subsites simultaneously. Thus, compounds were constructed by manual model building based on X-rays atomic coordinates of cathepsin B–E-64c and B–CA074 complexes, and the possible binding modes and energetic stability of these candidates at the active site of cathepsin B were simulated by molecular dynamics (MD) calculations [27]. Among all synthetized compounds, CAA0445, which includes the peptide structure of both E-64c and CA074 (Fig. 6.6 ), exhibited the most potent inhibitory activity (initial IC50 < 100 nM). MD simulation suggested that the interactions between cathepsin B and CAA0445 were all conserved (Fig. 6.7 ).
Figure 6.6.

Chemical structure of CAA0445 displaying similarities with inhibitors E-64c and CA074.
Figure 6.7.

MD simulation picture of CAA0445 into the active site of cathepsin B. H bonds (dotted lines) are conserved in molecular dynamics calculations. The lack of an electrophilic group in the inhibitor avoids the irreversible bond formation in the active center (Cys 29).
One of the strategies to synthetize new drug candidates from a lead compound is the modification of the chemically reactive portion of the inhibitor, ie, the epoxide ring from E-64. A similar chemical structure to the epoxide is an aziridine, also a three-membered ring with an atom of nitrogen instead of oxygen. These chemical analogues were first synthesized and tested against cysteine proteases by Martichonok et al. [28]. They published some aziridine E-64 analogues and compared the bioactivity against different cysteine protease versions of previously synthetized E-64 epoxy analogues. One of the most interesting conclusions this publication brings is the fact that pH dependency for the inactivation of the enzyme is quite different for the aziridine inhibitors compared with the epoxide inhibitors. This effect can be explained because aziridine ring has the potential to be easily protonated on the nitrogen atom. In addition, aziridines have been shown to be more reactive at low pH [29], and in contrast to E-64, this protonation is likely to occur in the pH range where cysteine proteases are active (optimal for lysosomal activity).
Miraziridine A
The presence of the aziridine ring within a carboxylate group in alpha position is a rare moiety in natural products. In year 2000, Nakao et al. encountered a marine blue sponge related to Theonella mirabilis, during collection cruise at Amami and Tokara Islands, Japan [30]. Some of the extracts of the sponge showed a variety of bioactivities such as antifungal and protease inhibitory. From those extracts, many compounds were isolated, among them miraziridine A (Fig. 6.8 ) a tetrapeptide molecule with the alpha-carboxylic aziridine acid moiety. They also elucidated the structure and tested its inhibitory activity against cathepsin B, with an IC50 value of 2.1 μM. Later, the same compound has been identified in the Red Sea sponge Theonella swinhoei [31].
Figure 6.8.

Chemical structure of miraziridine A.
Schaschke [32] has described further studies over miraziridine A. As he noticed, this natural tetrapeptide seems to be unique because it unifies within one molecule three inhibitory elements: (1) (2R,3R)-aziridine-2,3-dicarboxylic acid, (2) (3S,4S)-4-amino-3-hydroxy-6-methylheptanoic acid (statin), and (3) (E)-(S)-4-amino-7-guanidino-hept-2-enoic acid (vinylogous arginine). The former ones constitute known cysteine and aspartyl protease moieties inhibitors [28], [33], but the latter one might inhibit as trypsin-like serine proteases. In order to investigate this hypothesis compounds containing some of the three mentioned moieties of miraziridine A were synthesized and the inhibitory properties assessed. Therefore, Schaschke decided to develop a synthetic strategy to obtain the compound at laboratory scale.
The retrosynthetic analysis that he proposed (Fig. 6.9 ) involves two key steps: (1) the introduction of fragment 2 at a late stage of the synthesis before the final deprotection step since the aziridine moiety is sensitive to nucleophilic ring opening. (2) The selection of proper protecting groups that allow for a selective unmasking of the N-terminus and also protecting/deprotecting friendly conditions with the double bond present in the vinylogous arginine. Thus, the Bpoc/Boc combination for fragments 4 and 5, respectively, was selected. Starting from 4, miraziridine A was synthetized with a 16% overall yield. Synthetic miraziridine A was tested against trypsin (serine protease), cathepsin B, and cathepsin L (cysteine proteases), as well as pepsin (aspartyl protease), obtaining an enzyme–substrate affinity of 6 × 10−5 M, 1.0 × 106 M−1s−1, 1.5 × 104 M−1s−1, and 1.4 × 10−8 M, respectively.
Figure 6.9.

Retrosynthetic analysis of miraziridine A by Schaschke.
On the other hand, this synthesis has limited applicability to construct libraries of drug candidates. Konno et al. have reported another procedure to the total synthesis of miraziridine A, adopting a route introducing a side chain-unprotected vArg-OEt at the late stage of the backbone construction, which makes it possible to adopt a convenient solid-phase procedure for the fragment preparation [34]. In order to estimate the major effect of miraziridine A on cathepsin B reactive site, three truncated analogs (11–13) (Fig. 6.10 ) were also synthesized.
Figure 6.10.

Chemical structure of mirazidarine A analogues displaying similarities.
They tested the inhibitory activities of synthetic miraziridine A and its analogues against cathepsin B. The IC50 value of the synthetic miraziridine A (2 μM) was very similar to that reported for the natural product (2.1 μM). Comparing IC50 and Ki values of 11 (IC50 = 9 μM Ki = 6.5 μM) and 7 (IC50 = 100 μM Ki = 83 μM), as it was expected, the inhibitory activity is attributable mainly to the aziridine site of miraziridine A. Though the vinylogous arginine site had a rather weak effect compared with the aziridine site, the inhibitory activity of Ac-Leu-Sta-Abu-vArg-OH 12 was about 10 times that of H-Leu-Sta-Abu-OH 13.
Tokaramide A
Also from the marine sponge T. mirabilis, cathepsin B inhibitor tokaramide A (Fig. 6.11 ) was isolated and its structure elucidated by Fusetani et al. [35]. The name of the compound was coined from the name of the site where it was collected, Tokara Archipelago (Japan). During the characterization of the compound, FABMS showed three main ion peaks at m/z 477, 495, and 509, which corresponded to (M + H)+, (M + H + H2O)+, and (M + H + MeOH)+. That suggested the facile formation of a hemiacetal with water or MeOH. Interpretation of 2D NMR data confirmed the presence of the methyl hemiacetal in CD3OH. Further NMR data led to all structural subunits, and the extracted conclusions were that tokaramide A exists in equilibrium mixture of aldehyde, hemiacetal, and cyclic carbinolamine. IC50 against cathepsin B was measured giving a value of inhibition of 29 ng/mL, compared to E-64 which gave a value of 4.9 ng/mL.
Figure 6.11.

Chemical structures of tokaramide A (aldehyde) and its corresponding hemiacetals from water and methanol.
Recently, Konno’s group has reported the first total synthesis of tokaramide A [36]. As they did for miraziridine A, they have developed solid-phase methodology for the synthesis, since they argue solid phase can be a more useful way to obtain a library of similar compounds. However, in the first attempts, they only obtained traces of tokaramide A as its cyclic carbinolamine form. They found that one of the major by-products came from a side reaction in the deprotection step; the acidic conditions favored the dehydration of the cyclic tokaramide A (Fig. 6.12 ). After identifying some other annoying by-products and choosing an alternate path for protection/deprotection steps and conditions, they finally achieved the total synthesis of tokaramide A as a cyclized hemiaminal structure in 12% overall yield.
Figure 6.12.

Dehydration side reaction of tokaramide due to acid deprotection conditions.
Gallinamide A/Symplostatin 4
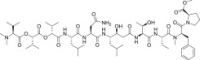
Sponges have always been known as a source of natural products, but more recently marine cyanobacteria have emerged as an important source for drug discovery [37]. Marine cyanobacteria are exceptionally rich in biologically active compounds, offering a great variety of metabolites such as peptides, terpenes, and sugars, commonly decorated with halogen atoms, methyl groups, and functional groups in interesting oxidation states [38]. One of these compounds is gallinamide A (Fig. 6.13 ). However, this compound has majorly been studied for its activity against malaria; recent studies have found that gallinamide A offers inhibitory activity against human cathepsins [39].
Figure 6.13.

Chemical structure of gallinamide A without stereochemical assignation for the N,N-dimethyl isoleucine.
During a field expedition near Piedras La Gallina (on the Caribbean Coast of Panama), Linington et al. collected a small amount of red-tipped Schizothrix cyanobacteria [40]. After isolating the bioactive compound via HPLC-MS, they performed a series of NMR experiments to elucidate the structure. The absolute configuration of the stereocenters was assigned by subsequent degradation and derivatization. However, they were not able to determine the absolute configuration of the carbon atoms on the N,N-dimethyl isoleucine residue. Curiously, the same year another natural product with the same structure, isolated from Symploca cyanobacteria, was reported on the literature, namely symplostatin 4 [41]. In this paper, configuration for all stereocenters was assigned, being (S, S) for the two stereocenters on the N,N-dimethyl isoleucine residue. Nevertheless, they ensured that symplostatin 4 was a different compound from gallinamide A, probably a diastereomer, because the NMR spectrum of both compounds was slightly different. The doubt was not cleared up until the total synthesis of the compound and the possible diastereomers was reported.
Conroy et al. presented the first synthesis of symplostatin 4 and its possible diastereomers, in order to compare the synthetic compounds with those from the natural source [42], [43]. They envisaged that each of the N-terminal diastereomers could be synthesized through a final fragment condensation between the corresponding N-terminal isomeric fragments 14a–d and a key C-terminal imide fragment 15. Synthesis of isomeric depsipeptide fragments 14a–d could be achieved by esterification of a suitably protected (S)-2-hydroxy isocaproic acid unit and the corresponding isomeric isoleucine building block. The access to fragment 15 was proposed from the convergent assembly of three suitably protected building blocks: pyrrolinone unit 16, Boc-protected 4(S)-amino-2-(E)-pentenoic acid 17, and Boc-l-leucine-OH 18 (Fig. 6.14 ).
Figure 6.14.

Retrosynthetic analysis for gallinamide A/symplostatin 4.
The four compounds were synthetized with an overall yield of 30–33%. The 1H and 13C NMR spectral data for the four compounds showed large degrees of similarity, but the subtle differences were enough to discern one from another. The comparison between the spectra of synthetic gallinamide A and symplostatin 4 showed that both natural compounds are identical molecules, with an absolute configuration of 25S, 26S.
As mentioned earlier, gallinamide A has been studied as an antimalarial agent, but more recently this product has shown inhibitory activity against human cysteine cathepsin L and also a high selectivity in front of other human cysteine proteases such as cathepsins V and B, as is published in a work by Miller et al. [39]. Recent studies reveal that cathepsin L is present in many tumors and can perform an important role in bone metastasis [44]. In their work, Miller et al. first demonstrated that gallinamide A blocks the binding of the activity-based probe (ABP) DCG-04, a biotin-labeled derivative of the potent cysteine cathepsin inhibitor E-64c. Unlike experiments measuring enzyme inhibition, ABP studies investigate the ability of a compound to compete with a potent active site-directed probe. Then, they measured the IC50 and it was shown to be time-dependent in preincubation dose–response experiments. With immediate mixing of enzyme, substrate, and inhibitor gallinamide A, an IC50 of 47 nM was observed. Following a preincubation of enzyme and inhibitor for 30 min prior to addition of the substrate, gallinamide A displayed increased potency, with an IC50 of 5.0 nM. Time-dependent inhibition is a hallmark of slow-binding inhibitors.
Selectivity was also tested for gallinamide A. Its inhibitory activity was tested against the homologous human cysteine proteases cathepsin V and cathepsin B. Also were obtained IC50 values with and without preincubation of inhibitor and enzyme, as described for cathepsin L. Interestingly, gallinamide A displayed a 10-fold increase in potency for cathepsin L relative to cathepsin V without preincubation, which increases to 28-fold after allowing preincubation for 30 min. Selectivity was even bigger for cathepsin L when compared with cathepsin B, which showed a 320-fold increase of IC50 following 30 min of preincubation. Experiments showed also that gallinamide A inhibits irreversibly cathepsin L, hypothetically via a Michael addition to the reactive gallinamide A enamide. Computational studies were also performed to find the most stable enzyme–inhibitor complex, in order to gather information about the noncovalent interactions and bring information to rationally develop bioactive analogues of gallinamide A.
Grassypeptolides
Another prolific source of bioactive secondary metabolites comes from the Lyngbya cyanobacteria genus [45]. Luesch’s group has been investigating Lyngbya confervoides, a marine cyanobacterium in Florida waters, and they have reported the isolation of a new cytotoxic depsipeptide, grassypeptolide A (Fig. 6.15 ) [46]. This 31-membered ring of the cyclic depsipeptide contains interesting moieties such as 2-aminobutyric acid (Aba) and 2-amino-3-methylbutyric acid (Maba), thiazoline rings, and an unusually high number of d-amino acids. NMR and X-ray techniques were used to elucidate the structure of the compound. The cytotoxic activity of grassypeptolide A was evaluated in four cell lines derived from human osteosarcoma (U2OS), cervical carcinoma (HeLa), colorectal adenocarcinoma (HT29), and neuroblastoma (IMR-32) with IC50 values of 2.2, 1.0, 1.5, and 4.2 μM, respectively, which denoted moderate broad-spectrum activity. It has been previously reported that thiazolines of lissoclinamide 7, a cytotoxic-related cyclic peptide, are important to its biological activity [47].
Figure 6.15.

Chemical structure of depsipeptide grassypeptolide A.
Two years later, Luesch’s group reported the isolation and chemical structure elucidation of two new grassypeptolides, namely B and C, from L. confervoides [48]. The chemical structures were elucidated using NMR, X-rays, and MS experiments, and it was observed that the difference between three grassypeptolides resided in only two of the residues (Fig. 6.16 ). Moreover, A and C were found to be epimers. The question that worried the researchers is whether the intact molecules can interconvert. There is some precedent for similar natural products for example, a synthetic diastereomer of lissoclinamide 7 showed conversion to the natural isomer in the presence of pyridine and CDCl3 at 60°C, although the reverse conversion was not observed [47]. Using these same conditions, Luesch’s group was not able to convert intact grassypeptolide C into grassypeptolide A or vice versa. A reduced tendency for base-induced interconversion may reflect less overall strain in the macrocycle; grassypeptolides A and C are 31-membered, whereas lissoclinamide 7 is 21-membered. Compounds B and C were tested alongside A in two cell lines, HT29 (colorectal adenocarcinoma) and HeLa (cervical carcinoma). Surprisingly, C was 16–23 times more potent than A and 65-fold more potent than B. Presumably this is due to differences in conformation and suggests that the region around the MePhe is crucial to cytotoxicity. It is interesting that C, the most active of the series, was recovered as the minor component from the cyanobacterial extract. This could be an indication that A requires activation by epimerization, possibly as a strategy for self-resistance by the producing organism.
Figure 6.16.

Chemical structures of grassypeptolides. The differences among three natural products are very subtle.
Total synthesis of grassypeptolide A confirmed the structure [49], but in order to investigate the path of activity that the inhibitor follows further studies were performed by Kwan et al. [50]. Prompted by findings for similar cyclic peptides, Kwan et al. investigated the metal binding of grassypeptolides A and C and found that they bind to Cu2+ and Zn2+ ions [48]. Both of these metals are known to play crucial roles in the mechanism of certain enzymes: matrix metalloproteases (MMPs) and Cu Zn-superoxide dismutase, for example. In this work they decided to screen grassypeptolide A (the most abundant natural product of the series) against a representative panel of proteases. However, except for a weak effect on MMP13, they did not observe inhibition of any metalloprotease in the panel. Instead, the strongest hits were the cysteine protease cathepsin L, the serine protease activated protein C (APC: EC 3.4.21.69), and dipeptidyl peptidase 8 (DPP8: EC 3.4.14.5), which were inhibited to 6%, 14% and 23% residual activity, respectively, relative to solvent control at a screening concentration of 20 μM.
Cyclohexenyl Inhibitors
Another kind of compound with cytotoxic activity described as inhibitors of cathepsin L and other cysteine cathepsins are cyclohexenyl chalcone derivatives panduratin A and nicolaioidesin C (Fig. 6.17 ) [51]. Panduratin A and the related nicolaioidesin C were both found in the red rhizomes of a variety of Boesenbergia pandurata (fingerroot) [52], [53]. Isolated panduratin A has shown considerable cytotoxic effects in human androgen-independent prostate cancer cells PC-3 and DU-145 and apoptosis with little or no effect on normal human prostate epithelial cells [54]. Knowing that cathepsins are involved in some cancer processes, these results opened a new research line in order to relate the cytotoxic activity of the cyclohexenyl chalcones with inhibition of cathepsins.
Figure 6.17.

Chemical structures of (±)-panduratin A and (±)-nicolaioidesin C.
Both panduratin A and nicolaioidesin C are found as racemic mixtures in nature [55]. In addition, the total syntheses of these compounds have been reported as a mixture of enantiomers, via Diels–Alder cyclohexenyl formation by Porco et al. [56], [57]. Majumdar et al. used the reported syntheses by Porco to obtain enough amounts of compound in order to perform a series of experiments to relate the bioactivity of these cyclohexenyl chalcones with cathepsin inhibition and compare the results with the activity of the natural extracts [51]. Cytotoxicity assays with racemic panduratin A and nicolaioidesin C against human androgen-independent prostate cancer cells PC-3 and DU-145 showed an estimated IC50 of 4 μM for panduratin A and 20 μM for nicolaioidesin C, which is consistent with the activity for the natural extracts. Synthetic panduratin A was subjected to protease profiling experiments and the results demonstrated that panduratin A possesses substantial inhibitory activity against cathepsins G, H, K, L, S, V, and X. Both synthetic (+) and (−)-panduratin A enantiomers were also tested for their ability to inhibit selected cathepsins. The IC50 values of (+) and (−) were similar to those determined for the racemic mixture. While nicolaioidesin C was not subjected to a full protease profiling protocol, selected assays demonstrated anticathepsin K activity (IC50 = 4.4 μM) similar to that observed for panduratin A. Importantly, protease profiling assays of panduratin A did not show activities against other classes of proteases, including matrix metalloproteases, caspases, and papain. Based on protease profiling results and the significance of cathepsin L in prostate cancer, Majumdar et al. also tested the synthetic racemic cyclohexenyl chalcone compounds in a cell-free human cathepsin L enzyme assay. Using the nonselective protease inhibitor E-64 as a positive control, the presence of panduratin A and nicolaioidesin C resulted in significantly reduced human cathepsin L enzyme activity, with a calculated IC50 of 1.8 and 1 μM, respectively.
Benzophenone Inhibitors
Several compounds isolated from diverse plants from the Garcinia genus have shown many interesting biological activities. Polycyclic polyprenylated acylphloroglucinol (PPAP) isolated from those plants, have gained interest due to their many biological properties, such as anticancer, antiviral, anticonceptive, or antiinflammatory [58], [59], [60]. Martins et al. have published a study which describes the in vitro inhibitory activity of three natural products isolated from Garcinia brasiliensis against different cysteine and serine proteases, including cathepsin B and cathepsin G, respectively [61], namely guttiferone A, 7-epiclusianone, and garciniaphenone (Fig. 6.18 ). These natural polyprenylated benzophenones were isolated from the ethanolic and hexanic extracts of G. brasiliensis dried and powdered seeds and fruits, as it has been previously reported by them [62], [63], [64] and were tested for their potential to inhibit papain, trypsin, and cathepsins B and G by spectrofluorometric measurements. Referring to cathepsins, leupeptin and chymostatin were used as reference inhibitors in the trials of cathepsin B and cathepsin G, respectively. One of the benzophenone derivatives, guttiferone A, has avidly inhibited all assayed enzymes with different degrees of selectivity for the proteases. It is important to highlight that its IC50 value (2.7 ± 0.1 μM) against cathepsin G is almost the same to that obtained from the classical inhibitor of serine proteases, chymostatin (2.1 ± 0.1 μM). On cathepsin B, guttiferone A was also the most active compound of the series (2.1 ± 0.2 μM). However, in this case the activity was lower than the control compound leupeptin (0.047 ± 0.003 μM). The other two natural products gave lower inhibition values, for 7-epiclusianone IC50 values were 73.7 ± 5.8 μM and 37.9 ± 2.1 μM for cathepsin B and cathepsin G, respectively, while garciniaphenone offered IC50 values of 103.5 ± 4.4 μM and 97.6 ± 5.2 μM.
Figure 6.18.

Chemical structures of natural polycyclic PPAPs.
After those results, one of the conclusions that Martins et al. reported was that the activity was related to the amount of prenyl groups (3-methyl-but-2-en-1-yl) in the molecule, since the activity was lower for compounds having less number of prenyl groups. SAR studies were also performed for guttiferone A with flexible docking simulations. Then it was stated that the presence of the bicycle[3.3.1]-nonanetrione and 13,14-dihydroxy substituted phenyl groups and keto–enol tautomeric form [63] where the bridge carbon is hydroxylated enhances the enzymatic inhibitory activity [61]. Likewise this biological effect on serine and cysteine proteases improves according to the number of prenyl groups attached at the diphenylmethanone moiety and the coplanarity between bridge hydroxyl/carbonyl and 13,14-dihydroxyphenyl/phenyl groups. Further research performed by Murata et al. linked the activity against cathepsins B and G of garciniaphenone and 7-epiclusianone with the antiproliferative effect in various cancer cells [65]. Again, better results were observed for the molecule with more prenyl groups. The explanation in this case is the increase of hydrophobicity and thus, the capacity to penetrate cells also increases.
Biber et al. published the first total synthesis of 7-epiclusianone and structural analogues in Nature Chemistry in 2011 [66]. According to the biological properties related to the structure, the rigid bicyclic framework with its lipophilic side chains and its hydrophilic trione moiety affects the bioactivity, so in their retrosynthetic analysis is described a clear separation of the framework (that is, the bicyclo[3.3.1]nonanetrione core) construction and a later decoration (the introduction of the corresponding substituents). A strict realization of this concept would allow for a variety of substitution patterns without changing the entire synthetic strategy and offers the chance of a future bioactivity-directed synthesis of defined PPAP libraries. The natural compound 7-epiclusianone was obtained in a 7-step procedure with an overall chemical yield of 22%.
Ursolic Acid
In order to find drug candidates for cancer therapies among diverse natural products targeting cathepsins and proteases for cancer therapies, Jedinak et al. conducted a research in which 16 natural products from different plants used in traditional Slovakian medicine were tested against cathepsin B, urokinase, thrombin, and trypsin [67]. The collection of natural products included seven alkaloids, seven flavonoids, and two triterpenes, and the natural flavonoid quercetin was used as a standard for all tested proteases. Among the tested compounds, the triterpenes inhibited all the proteases at the μM scale, while most alkaloids barely had any effect on any protease (IC50 > 1 mM). Some flavonoids moderately inhibited urokinase, but many of them inhibited cathepsin B. The compound with major activity was the triterpene β-ursolic acid (Fig. 6.19 ) which inhibited cathepsin B (IC50 = 10 μM) similar to the standard (IC50 = 11 μM). The effect of β-ursolic acid that inhibited in vitro cell growth of a large list of cancer cell lines including mouse melanoma B16 cells [68] was evaluated in vivo at daily doses of 50, 75, and 100 mg/kg for its ability to inhibit lung colonization. No mortality and no body weight changes were observed at chosen doses. The most interesting fact is that the macroscopic appearance of the lungs from untreated and treated mice clearly showed that ursolic acid at the dose of 50 mg/kg reduced the number of lung metastases, but the effect was lower at higher doses. Unfortunately, this fact was not explained, and along with the mechanism of ursolic acid action should be further investigated.
Figure 6.19.

Chemical structure of β-ursolic acid.
In a more recent study, inhibitory activity of ursolic acid was also evaluated against cathepsin L [69]. Similar natural products and synthetic analogues were also tested, and the results were a moderate IC50 for the ursolic acid (39.5 ± 4.7 μM) which improved most for the synthetic analogue in which the hydroxyl group was changed by an oxime and an extra methyl group was added (2.4 ± 4.7 μM) (Fig. 6.20 ). Another natural compound, which gave a good inhibitory value against cathepsin L, was schinol (9.1 ± 2.3 μM), which also improved when an oxime functional group was introduced (2.6 ± 0.2 μM) (Fig. 6.20). Another publication reported activity of Punica granatum extracts against cathepsin D, an aspartic protease, and the isolated bioactive compounds were piperine and ursolic acid [70]. The crude extracts with different solvents were tested, obtaining the best result for the chloroform extract (IC50 = 5.95 μg/mL), isolated piperine (IC50 = 42.28 μM), and ursolic acid (IC50 = 18.76 μM). Semisynthetic analogues were also tested with a slight improvement of the inhibition values.
Figure 6.20.

Chemical structures of oxime derivatives of ursolic acid and schinol. The oxime derivatives showed better inhibitory activity against cathepsin L which was lost if the acids were derived as esters.
Flavonoids
Flavonoids are a class of plant or fungal secondary metabolites. Their chemical structure consists of two phenyl rings (A and B) and a heterocyclic ring (C) (Fig. 6.21 ). Plant diversity is an important source of natural products, and Cerrado biome, which covers 23% of the Brazil land surface, is rich in nonstudied medicinal plants [71]. Ramalho et al. tested the bioactivity against human cathepsin B and cathepsin L of solvent extracts from seven Cerrado plants, in order to find new lead compounds for cancer therapy research [72]. Among the evaluated extracts, ethanolic extract from Myrcia lingua leaves had the major inhibitory activity against both cathepsins. This extract was selected to continue the bioactivity-guided fractionation; compounds F1–F18 (Fig. 6.21) were identified as inhibitors and their inhibitory activity tested individually against cathepsins B and L (Table 6.1 ).
Figure 6.21.

Chemical structures of flavonoid-active compounds from ethanolic extracts of M. lingua leaves.
Table 6.1.
Inhibitory Activity of Flavonoids Against Cathepsins L and B
| Compound | IC50 (μM) |
|
|---|---|---|
| Cathepsin L | Cathepsin B | |
| F1 | 114.5 ± 10.3 | 37.2 ± 3.0 |
| F2 | ND | 17.2 ± 1.4 |
| F3 | – | 193.4 ± 32.9 |
| F4 | ND | 22.4 ± 3.2 |
| F5 | 23.9 ± 2.1 | 4.9 ± 0.5 |
| F6 | 26.3 ± 1.8 | 8.2 ± 0.9 |
| F7 | 28.4 ± 2.3 | 15.0 ± 1.1 |
| F8 | 115.0 ± 8.6 | – |
| F9 | – | – |
| F10 | 47.2 ± 2.9 | – |
| F11 | 79.2 ± 4.1 | 36.2 ± 4.1 |
| F12 | – | – |
| F13 | – | – |
| F14 | – | – |
| F15 | 179.0 ± 15.9 | 174.2 ± 15.4 |
| F16 | – | – |
| F17 | – | – |
| F18 | – | – |
| E-64a | 0.027 ± 0.004 | 0.037 ± 0.004 |
Note: The values represent means of three individual experiments ± SE.
ND, not determined. Empty space represented as (–) means values >250 μM. P < .05, Student’s t-test analysis.
E-64 as reference positive control.
The obtained results revealed that the presence of hydroxyl groups in ring B is important for cathepsin B inhibition. Comparison of the activity of flavonoids F6 and F11 showed that the presence of hydroxyl group in ring C might contribute to the inhibitory activity. The replacement of the hydroxyl group in R3 by a hydrogen substituent caused a decrease in the potency of inhibition of cathepsin B. The analysis of the enzyme inhibition of flavan-3-ols derivatives F15–F18 demonstrated the importance of both double bond between C2 and C3 and the ketone group at C4, once these compounds cannot inhibit cathepsins B and L. They also observed that inhibition of cathepsin B was completely lost with the replacement of hydroxyl groups by methoxyl substituents in ring B, as it can be observed for the entries F1, F9, and F6, F12–F14 (Table 6.1). All these insights demonstrated the importance of hydroxyl groups on ring B.
Flavonoids F5–F7 were selected to determine the type of inhibition of cathepsin B. Compounds showed uncompetitive inhibition (Ki = 11.3, 9.0, and 11.4 μM, respectively); ie, the inhibitor only inhibited the enzyme–substrate complex and did not interact with the free enzyme.
Flavonoids and Triterpenes as Parasitic Cathepsin L Inhibitors
Leishmaniasis is a tropical disease caused by parasites of Leishmania which is transmitted to the mammalian host by the bite of sandflies. The different species of parasite can lead to cutaneous leishmaniasis, mucocutaneous leishmaniasis, or visceral leishmaniasis [73]. Studies demonstrated that cathepsins L and B from Leishmania mexicana represent a determinant key for virulence in Leishmania infection [74]. In a recently published work, de Sousa et al. [75] tested in vitro activity of some flavonoids and triterpenes isolated from plants against recombinant cathepsin L-like rCPB2.8 from L. mexicana, which is an isoform without the C-terminal extension that has been used as a target in the search for new leishmanicidal compounds [76]. Selected natural products for the study were biflavonoids agathisflavone isolated from the leaves of Ouratea nigroviolacea [77] and tetrahydrorobustaflavone isolated from the fruits of Schinus terebenthifolius [78], ursolic acid analogue 3-oxo-urs-12-en-28-oic acid isolated from Vochysia thyrsoidea [79], and the commercially available flavonoid quercetin (Fig. 6.22 ).
Figure 6.22.

Chemical structures of natural products as inhibitors of rCPB2.8 activity.
The compounds were subjected to protease inhibition assays against human cathepsins L and B, and L. mexicana cathepsin L-like rCPB2.8 protease. Agathisflavone gave the highest inhibitory activity against rCPB2.8 protease (IC50 0.43 ± 0.04 μM), followed by tetrahydrorobustaflavone (IC50 2.20 ± 0.24 μM) and 3-oxo-urs-12-en-28-oic acid (IC50 3.78 ± 0.40 μM). Quercetin presented moderate inhibition (IC50 18.03 ± 1.85 μM). However, only 3-oxo-urs-12-en-28-oic acid showed significant selectivity when comparing inhibitory activity of rCPB2.8 and human cathepsin L. In constrast, the inhibitory activity was 27-fold higher for rCPB2.8 compared to human cathepsin L, while for the rest of compounds this ratio was reduced to 1.5- to 2-fold higher for rCPB2.8 compared to human cathepsin L. Kinetic studies of the inhibitory activity against rCPB2.8 were also performed for all compounds, except for quercetin. Experiments showed partially noncompetitive inhibition for agathisflavone and 3-oxo-urs-12-en-28-oic acid, and uncompetitive inhibition for tetrahydrorobustaflavone. In conclusion, the authors highlighted that these compounds could be further investigated as complements to current drugs in order to afford new pharmaceutical possibilities against leishmaniasis.
Acridones as Cathepsin V Inhibitors
Cathepsin V was identified as a lysosomal cysteine protease specifically expressed in thymus, testis, and corneal epithelium [80]. The enzyme is considered as a potential diagnostic marker for colon tumors [81] and expressed in colorectal and breast carcinomas but not in normal colon or mammary tissue. Thus, it may become a valuable drug target for oncology. Severino et al. [82] presented the first example of the use of natural products as reversible and competitive inhibitors of cathepsin V in the literature. They described the biological evaluation and type of inhibition studies for a series of acridone alkaloids as potent inhibitors of cathepsin V. Molecular modeling and preliminary SAR studies were also performed to investigate the molecular basis underlying the binding affinity and inhibitory potency of this series of naturally occurring compounds. In total, 11 acridone alkaloids were isolated from the methanol extract of the stem bark of Swinglea glutinosa [83] and tested against recombinant human cathepsin V (Table 6.2 ).
Table 6.2.
Chemical Structures and Inhibitory Activities of Acridones Against Cathepsin V
![]() | |||||
|---|---|---|---|---|---|
| Compound | R1 | R2 | R3 | R4 | IC50 (μM) |
| Acridone 1 | —OH | —OCH3 | 2.5 ± 0.2 | ||
| Acridone 2 | —OH | —H | 3.9 ± 0.9 | ||
| Acridone 3 | —OH | —OCH3 | —H | 2.2 ± 0.2 | |
| Acridone 4 | —H | —OH | —H | 25 ± 5 | |
| Acridone 5 | —H | —OH | —OCH3 | —H | 10 ± 1 |
| Acridone 6 | —H | —OCH3 | —OCH3 | —H | 2.2 ± 0.6 |
| Acridone 7 | —OCH3 | —OCH3 | —OCH3 | —H | 1.2 ± 0.1 |
| Compound | Structure | IC50 (μM) |
|---|---|---|
| Acridone 8 | ![]() |
48 ± 5 |
| Acridone 9 | ![]() |
44 ± 3 |
| Acridone 10 | ![]() |
5.2 ± 0.2 |
| Acridone 11 | ![]() |
2.8 ± 0.7 |
As can be seen in Table 6.2, acridone 7 was the most potent inhibitor, with an IC50 value of 1.2 μM. This compound was used as a representative inhibitor of cathepsin V for computational studies. It can be seen that the inhibitor binds to the central region of the cathepsin V substrate-binding site, close to the catalytic residues Cys25 and His159. The inhibitor interacts to the enzyme through a set of four hydrogen bonds: (1) the 1-hydroxyl substituent is positioned at the S1 pocket as a hydrogen bond donor to the main-chain carbonyl group of Gly23; (2) the oxygen atom of the 2-methoxy substituent accepts a hydrogen bond from the NH2 side chain of Gln19; (3) the 5-hydroxyl substituent binds to the S2 pocket acting as a hydrogen bond donor to the main-chain carbonyl group of Leu157; and (4) the 9-carbonyl group binds to the S3 pocket by accepting a hydrogen bond from the NH main-chain of Gly66. In addition to the polar contacts, nonpolar interactions contribute to the orientation of 7 in the cathepsin V binding site. In conclusion, SAR and computational studies highlighted acridone 7 as a lead compound for designing synthetic competitive inhibitors of cathepsin V, as it has been reported recently by the same research group [84].
Grassystatins as Cathepsin D and E Inhibitors
Cathepsins D and E are related aspartyl proteases. Kwan et al. described the isolation, structure determination, and biological evaluation of three linear modified peptides, grassystatins A–C (Fig. 6.23 ) from cyanobacteria L. confervoides [85]. All three contain a statin unit, which was first described in the broad-spectrum natural aspartic protease inhibitor pepstatin A [86]. To test aspartic and other protease inhibitory activity, they screened compound grassystatin A against 59 diverse proteases and found selective inhibition of the aspartic proteases cathepsins D and E. Moreover, the three grassystatins were able to discriminate between these two enzymes, while pepstatin A did not. The IC50 values reported for pure cathepsins D and E showed a great inhibitory potency and what is more important, a great selectivity for cathepsin E. For cathepsin D, grassystatins A, B, and C gave 26.5 ± 5.4 nM, 7.27 ± 0.9 nM, and 1.62 ± 0.3 μM, respectively, and for cathepsin E 886 ± 135 pM, 354 ± 192 pM, and 42.9 ± 1.7 nM.
Figure 6.23.

Chemical structures of grassystatins A–C.
Inhibitors of Cathepsin K
Cathepsin K is a cysteine protease involved in osteoclast-mediated bone resorption and identified as a major drug target for the treatment of osteoporosis. Numerous potent inhibitors of cathepsin K have already been identified from natural sources including epoxide inhibitors such as E-64 [87] as well as various small peptide-based aldehydes of natural product origin as leupeptin, chymostatin, antipain, and alpha-MAPI mentioned above. These compounds, together with pepstatin [88] are all potent cathepsin K inhibitors (antipain gave Ki = 41 nM against cathepsin K). However, they are not selective enough at inhibiting only one protease and instead inhibit a whole array of cysteine and serine proteases rendering the inhibitors too toxic for therapeutic use [89].
Two antipain analogues have been recently isolated from L-91-3 strain of Streptomyces collected in the rainforests of British Columbia [90] displaying inhibition activity against cathepsin K. Lichostatinal (Fig. 6.24 ) is a tripeptide aldehyde (Ser-Ile-Arg-H) with agmatine attached by urea linkage to the α-amino group of Ser. Agmatine is a decarboxylated arginine. Lichostatinal is the first example of a natural product to be isolated from a complex mixture by co-crystallization with its biological target [90]. Second compound named as vince-2 results from dehydration of cycloarginine in antipain. This compound is a cathepsin K inhibitor displaying a value of Ki = 295 nM.
Figure 6.24.

Chemical structures of natural product lichostatinal and vince-2.
These natural products did not prove to be useful therapeutic agents toward the treatment of osteoporosis, but they revealed some new insight into the substrate specificity of cathepsin K that aided in the design of new selective inhibitors [91]. Odanacatib (Fig. 6.25 ), a selective inhibitor of cathepsin K, was developed by Merck Frosst/Celera and is expected to be approved for postmenopausal osteoporosis treatment during this year.
Figure 6.25.

Chemical structure of odanacatib (MK–0822).
Compound AC-5-1 (Fig. 6.26 ) is a natural product isolated from the plants of mulberry family Artocarpus comunis [92] and Artocarpus altilis [93] with an IC50 of 170 nM against cathepsin K. Recently, related compounds cycloaltilisins 6 and 7 have been isolated from A. altilis collected in Micronesia [93]. Both compounds are potent inhibitors of cathepsin K. Cycloaltilisin 6 is a dimer of compound AC-5-1 which displays an IC50 against cathepsin K of 98 nM, and cycloaltilisin 7 is a prenylated flavone with an IC50 of 840 nM.
Figure 6.26.

Chemical structures of natural products AC-5-1 and cycloaltilisins 6 and 7.
Total synthesis of cycloaltilisin 7 has been recently reported [94]. The synthetic route starts with the reaction between methyl trihydroxyphenyl ketone and citral affording a regiomeric benzopyran, which after protection is coupled with p-hydroxybenzaldehyde through an aldol reaction. The resulting intermediate is finally cyclized to afford cycloaltilisin 7 (Fig. 6.27 ).
Figure 6.27.

Total synthesis of cycloaltilisin 7.
Summary
A big variety of natural products have been identified as inhibitors of cathepsins. Table 6.3 summarizes main natural products reported as inhibitors of cathepsins.
Table 6.3.
Summary of Natural Products as Cathepsin Inhibitors
| Inhibitor | Structure | Source | Specificity | IC50 |
|---|---|---|---|---|
| Leupeptin | ![]() |
S. exfoliatus | Cat. A, B, and D | 4, 1 × 10−3 and 0.26 nM, respectively |
| E-64 | ![]() |
A. japonicus | Cat. B, K, S, and L | 15, 1, 4.1, and 2.5 nM, respectively |
| Miraziridine A | ![]() |
T. mirabilis | Cat. B | 2.1 μM |
| Tokaramide | ![]() |
T. mirabilis | Cat. B | 29 ng/mL |
| Gallinamide A | ![]() |
Marine cyanobacteria | Cat. L | 5 nM |
| Grassypeptolide A | ![]() |
L. confervoides | Cat. L | 6% residual activity at 20 μM |
| Nicolaioidesin C | ![]() |
Red rhizomes of fingerroot | Cat. K and L | 4.4 and 1 μM, respectively |
| Guttiferone A | ![]() |
G. brasiliensis | Cat. B and G | 2.1 and 2.7 μM, respectively |
| β-Ursolic acid | ![]() |
Many plants, fruits, and herbs | Cat. B, L, and D | 10, 39.5, and 18.8 μM, respectively |
| Schinol | ![]() |
Many plants, fruits, and herbs | Cat. L | 9.1 μM |
| Flavonoid F5 | ![]() |
Fungi | Cat. B and L | 23.9 and 4.9 μM, respectively |
| Acridone 3 | ![]() |
S. glutinosa | Cat. V | 2.2 μM |
| Grassystatin B | ![]() |
L. confervoides | Cat. D and E | 7.27 nM and 354 pM, respectively |
| Lichostatinal | Streptomyces | Cat. K | Ki = 295 nM | |
| Cycloaltilisin 6 | ![]() |
Artocarpus | Cat. K | 98 nM |
Among the first isolated natural products as cathepsin inhibitors are leupeptin and E-64. Leupeptin represents a group of natural products, including also antipain, chymostatins, and alpha-MAPI, displaying a peptidyl aldehyde structure with inhibitory activity against cathepsins. E-64 is a potent irreversible inhibitor of several cysteine proteases including cathepsins B and L. Improved inhibitors derived from E-64 are synthetic compounds CA030 and CA074.
T. mirabilis afforded two natural products displaying activity against cathepsin B: Miraziridine A is a natural product having an aziridine moiety; synthetic studies confirmed aziridine ring to be key for the inhibitory activity, and aldehyde tokaramide.
Gallinamide A and symplostatin 4 are two isomeric natural products isolated from cyanobacteria active against cathepsins B, V, and L. Depsipeptides grassypeptolides A–C were also isolated from a cyanobacteria and were active against cathepsin L.
Cyclohexenyl chalcone derivatives panduratin A and nicolaioidesin C are natural products reported as selective cathepsin inhibitors. Isolation of natural products from the plant G. brasiliensis afforded polyprenylated benzophenones guttiferone A, 7-epiclusianone, and garciniaphenone which inhibited cathepsins B and G. Terpenic compounds β-ursolic acid and schinol present in many plants have also been identified as inhibitors.
A family of flavonoids isolated from fungi are inhibitors of cathepsin B and L in the micromolar range.
Acridone alkaloids isolated from S. glutinosa were active against recombinant human cathepsin V.
Linear modified peptides grassystatins were isolated from a cyanobacteria displaying high activity against aspartyl protease cathepsins D and E.
Two families of natural products have been identified as inhibitors of cathepsin K: dipeptidyl aldehyde such as lichostatinal, isolated from Streptomyces by co-crystallization with its biological target, and prenylated flavones cycloaltilisins, isolated from mulberry plants.
References
- 1.Lecaille F., Kaleta J., Brömme D. Chem. Rev. 2002;102:4459–4488. doi: 10.1021/cr0101656. [DOI] [PubMed] [Google Scholar]
- 2.Brömme D., Kaleta J. Curr. Pharm. Des. 2002;8:1639–1658. doi: 10.2174/1381612023394179. [DOI] [PubMed] [Google Scholar]
- 3.Nomura T., Katunuma M. J. Med. Invest. 2005;52:1–9. doi: 10.2152/jmi.52.1. [DOI] [PubMed] [Google Scholar]
- 4.Lipton P. Physiol. Rev. 1999;79:1431–1568. doi: 10.1152/physrev.1999.79.4.1431. [DOI] [PubMed] [Google Scholar]
- 5.Yamashima T. Prog. Neurobiol. 2013;105:1–23. doi: 10.1016/j.pneurobio.2013.02.004. [DOI] [PubMed] [Google Scholar]
- 6.Raptis S.Z., Shapiro S.D., Simmons P.M., Cheng A.M., Pham C.T. Immunity. 2005;22:679–691. doi: 10.1016/j.immuni.2005.03.015. [DOI] [PubMed] [Google Scholar]
- 7.Rovina N., Koutsoukou A., Koulouris N.G. Mediators Inflamm. 2013;2013:1–9. doi: 10.1155/2013/413735. [DOI] [PMC free article] [PubMed] [Google Scholar]
- 8.Im E., Kazlauskas A. Exp. Eye Res. 2007;84:383–388. doi: 10.1016/j.exer.2006.05.017. [DOI] [PubMed] [Google Scholar]
- 9.Chandran K. Science. 2005;308:1643–1645. doi: 10.1126/science.1110656. [DOI] [PMC free article] [PubMed] [Google Scholar]
- 10.Matthew F., Heise M., Baric R. Virus Res. 2008;133:101–127. doi: 10.1016/j.virusres.2007.03.015. [DOI] [PMC free article] [PubMed] [Google Scholar]
- 11.Aoyagi T., Takeuchi T., Matsuzaki A., Kawamura K., Kondo S., Hamada M., Maeda K., Umezawa H. J. Antibiot. 1969;22:283–286. doi: 10.7164/antibiotics.22.283. [DOI] [PubMed] [Google Scholar]
- 12.Kondo S.I., Kawamura K., Iwanaga J., Hamada M., Aoyagi T. Chem. Pharm. Bull. 1969;17:1896–1901. doi: 10.1248/cpb.17.1896. [DOI] [PubMed] [Google Scholar]
- 13.Umezawa H., Aoyagi T., Morishima H., Kunimoto S., Matsuzaki M. J. Antibiot. 1970;23:425–427. doi: 10.7164/antibiotics.23.425. [DOI] [PubMed] [Google Scholar]
- 14.Suda T., Aoyagi T., Hamada M., Takeuchi T., Umezawa H. J. Antibiot. 1972;25:263–266. doi: 10.7164/antibiotics.25.263. [DOI] [PubMed] [Google Scholar]
- 15.Hanada K., Tamai M., Yamagishi M., Ohmura S., Sawada J., Tanaka I. Agric. Biol. Chem. 1978;42:523–528. [Google Scholar]
- 16.Sugita H., Ishiura S., Suzuki K., Imaghari K. J. Biochem. 1980;87:339–341. doi: 10.1093/oxfordjournals.jbchem.a132742. [DOI] [PubMed] [Google Scholar]
- 17.Powers J.C., Asgian J.L., Ekici Ö.D., James K.E. Chem. Rev. 2002;102:4639–4750. doi: 10.1021/cr010182v. [DOI] [PubMed] [Google Scholar]
- 18.Varughese K.I., Ahmed F.R., Carey P.R., Hasnain S., Huber C.P., Storer A.C. Biochemistry. 1989;28:1330–1332. doi: 10.1021/bi00429a058. [DOI] [PubMed] [Google Scholar]
- 19.Drenth J., Kalk K.H., Swen H.M. Biochemistry. 1976;15:3731–3738. doi: 10.1021/bi00662a014. [DOI] [PubMed] [Google Scholar]
- 20.Schechter I., Berger A. Biochem. Byophys. Res. Commun. 1967;27:157–162. doi: 10.1016/s0006-291x(67)80055-x. [DOI] [PubMed] [Google Scholar]
- 21.Matsumoto K., Mizoue K., Kitamura K., Tse W.-C., Huber C.P., Ishida T. Biopolymers. 1999;51:99–107. doi: 10.1002/(SICI)1097-0282(1999)51:1<99::AID-BIP11>3.0.CO;2-R. [DOI] [PubMed] [Google Scholar]
- 22.Towatari T., Nikawa T., Murata M., Yokoo C., Tamai M., Hanada K., Katunuma N. FEBS Lett. 1991;280:311–315. doi: 10.1016/0014-5793(91)80319-x. [DOI] [PubMed] [Google Scholar]
- 23.Sumiya S., Yoneda T., Kitamura K., Murata M., Yokoo C., Tamai M., Yamamoto A., Inoue M., Ishida T. Chem. Pharm. Bull. 1992;40:299–303. doi: 10.1248/cpb.40.299. [DOI] [PubMed] [Google Scholar]
- 24.Turk D., Podobnik M., Popovic T., Katsunuma N., Bode W., Huber R., Turk V. Biochemistry. 1995;34:4791–4797. doi: 10.1021/bi00014a037. [DOI] [PubMed] [Google Scholar]
- 25.Yamamoto A., Hara T., Tomoo K., Ishida T., Fujii T., Hata Y., Murata M., Kitamura K. J. Biochem. 1997;121:974–977. doi: 10.1093/oxfordjournals.jbchem.a021682. [DOI] [PubMed] [Google Scholar]
- 26.Illy C., Quraishi O., Wang J., Purisima E., Vernet T., Mort J.S. J. Biol. Chem. 1997;272:1197–1202. doi: 10.1074/jbc.272.2.1197. [DOI] [PubMed] [Google Scholar]
- 27.Yamamoto A., Tomoo K., Matsugi K., Hara T., In Y., Murata M., Kitamura K., Ishida T. Biochim. Biophys. Acta. 2002;1597:244–251. doi: 10.1016/s0167-4838(02)00284-4. [DOI] [PubMed] [Google Scholar]
- 28.Martichonok V., Plouffe C., Storer A.C., Ménard R., Jones J.B. J. Med. Chem. 1995;38:3078–3085. doi: 10.1021/jm00016a011. [DOI] [PubMed] [Google Scholar]
- 29.Dermer O.C., Ham G.E. Academic Press; New York: 1969. Ethyleneimine and Other Aziridines; p. 106. [Google Scholar]
- 30.Nakao Y., Fujita M., Warabi K., Matsunaga S., Fusetani N. J. Am. Chem. Soc. 2000;122:10462–10463. [Google Scholar]
- 31.Tabares P., Degel B., Schaschke N., Hentschel U., Schirmeister T. Pharmacognosy Res. 2012;4:63–66. doi: 10.4103/0974-8490.91047. [DOI] [PMC free article] [PubMed] [Google Scholar]
- 32.Schaschke N. Bioorg. Med. Chem. Lett. 2004;14:855–857. doi: 10.1016/j.bmcl.2003.12.030. [DOI] [PubMed] [Google Scholar]
- 33.Rich D.H., Sun E.T.O., Ulm E. J. Med. Chem. 1980;23:27–33. doi: 10.1021/jm00175a006. [DOI] [PubMed] [Google Scholar]
- 34.Konno H., Kubo K., Makabe H., Toshiro E., Hinoda N., Nosaka K., Akaji K. Tetrahedron. 2007;63:9502–9513. [Google Scholar]
- 35.Fusetani N., Fujita M., Nakao Y., Matsunaga S. Bioorg. Med. Chem. Lett. 1999;9:3397–3402. doi: 10.1016/s0960-894x(99)00618-6. [DOI] [PubMed] [Google Scholar]
- 36.Konno H., Nosaka K., Akaji K. Tetrahedron. 2011;67:9502–9513. [Google Scholar]
- 37.Singh R.K., Tiwari S.P., Rai A.K., Mohapatra T.M. J. Antibiot. 2011;64:401–412. doi: 10.1038/ja.2011.21. [DOI] [PubMed] [Google Scholar]
- 38.Nunnery J.K., Mevers E., Gerwick W.H. Curr. Opin. Biotechnol. 2010;21:787–793. doi: 10.1016/j.copbio.2010.09.019. [DOI] [PMC free article] [PubMed] [Google Scholar]
- 39.Miller B., Friedman A.J., Choi H., Hogan J., McCammon J.A., Hook V., Gerwick W.H. J. Nat. Prod. 2014;77:92–99. doi: 10.1021/np400727r. [DOI] [PMC free article] [PubMed] [Google Scholar]
- 40.Linington R.G., Clark B.R., Trimble E.E., Almanza A., Ureña L.-D., Kyle D.E., Gerwick W.H. J. Nat. Prod. 2009;72:14–17. doi: 10.1021/np8003529. [DOI] [PMC free article] [PubMed] [Google Scholar]
- 41.Taori K., Liu Y., Paul V.J., Luesch H. ChemBioChem. 2009;10:1634–1639. doi: 10.1002/cbic.200900192. [DOI] [PubMed] [Google Scholar]
- 42.Conroy T., Guo J.T., Hunt N.H., Payne R.J. Org. Lett. 2010;23:5576–5579. doi: 10.1021/ol1024663. [DOI] [PubMed] [Google Scholar]
- 43.Conroy T., Guo J.T., Ligninton R.G., Hunt N.H., Payne R.J. Chem. Eur. J. 2011;17:13544–13552. doi: 10.1002/chem.201102538. [DOI] [PubMed] [Google Scholar]
- 44.Leto G., Sepporta M.V., Crescimanno M., Flandina C., Tumminello F.M. Biol. Chem. 2010;6:655–664. doi: 10.1515/BC.2010.069. [DOI] [PubMed] [Google Scholar]
- 45.Gerwick W.H., Tan L.T., Sitachitta N. Alkaloids Chem. Biol. 2001;57:75–184. doi: 10.1016/s0099-9598(01)57003-0. [DOI] [PubMed] [Google Scholar]
- 46.Kwan J.C., Rocca J.R., Abboud K.A., Paul V.J., Luesch H. Org. Lett. 2008;5:789–792. doi: 10.1021/ol702946d. [DOI] [PubMed] [Google Scholar]
- 47.Wipf P., Fritch P.C., Geib S.J., Sefler A.M. J. Am. Chem. Soc. 1998;120:4105–4112. [Google Scholar]
- 48.Kwan J.C., Ratnayake R., Abboud K.A., Paul V.J., Luesch H. J. Org. Chem. 2010;23:8012–8023. doi: 10.1021/jo1013564. [DOI] [PMC free article] [PubMed] [Google Scholar]
- 49.Liu H., Liu Y., Xing X., Xu Z., Ye T. Chem. Commun. 2010;46:7486–7488. doi: 10.1039/c0cc01200a. [DOI] [PubMed] [Google Scholar]
- 50.Kwan J.C., Liu Y., Ratnayake R., Hatano R., Kuribara A., Morimoto C., Ohnuma K., Paul V.J., Ye T., Luesch H. ChemBioChem. 2014;15:799–804. doi: 10.1002/cbic.201300762. [DOI] [PMC free article] [PubMed] [Google Scholar]
- 51.Majumdar I.D., Devanabanda A., Fox B., Schwartzman J., Cong H., Porco J.A., Jr., Weber H.C. Biochem. Biophys. Res. Commun. 2011;416:397–402. doi: 10.1016/j.bbrc.2011.11.052. [DOI] [PubMed] [Google Scholar]
- 52.Tuntiwachwuttikul P., Pancharoen O., Reutrakul V., Byrne L.T. Aust. J. Chem. 1984;37:449–453. [Google Scholar]
- 53.Mahidol C., Tuntiwachwuttikul P., Reutrakul V., Taylor W.C. Aust. J. Chem. 1984;37:1739–1745. [Google Scholar]
- 54.Yun J.M., Kweon M.H., Kwon H., Hwang J.K., Mukhtar H. Carcinogenesis. 2006;27:1454–1464. doi: 10.1093/carcin/bgi348. [DOI] [PubMed] [Google Scholar]
- 55.Gu J.Q., Park E.J., Vigo J.S., Graham J.G., Fong H.H., Pezzuto J.M., Kinghorn A.D. J. Nat. Prod. 2002;65:1616–1620. doi: 10.1021/np020249p. [DOI] [PubMed] [Google Scholar]
- 56.Cong H., Becker C.F., Elliott S.J., Grinstaff M.W., Porco J.A., Jr. J. Am. Chem. Soc. 2010;132:7514–7518. doi: 10.1021/ja102482b. [DOI] [PMC free article] [PubMed] [Google Scholar]
- 57.Cong H., Ledbetter D., Rowe G.T., Caradonna J.P., Porco J.A., Jr. J. Am. Chem. Soc. 2008;130:9214–9215. doi: 10.1021/ja803094u. [DOI] [PMC free article] [PubMed] [Google Scholar]
- 58.Doriguetto A.C., Martins F.T., Ellena J.A., Salloum R., Santos M.H., Moreira M.E.C., Schneedorf J.M., Nagem T.J. Chem. Biodivers. 2007;4:488–499. doi: 10.1002/cbdv.200790041. [DOI] [PubMed] [Google Scholar]
- 59.Cruz A.J., Lemos V.S., Santos M.H., Nagem T.J., Cortes S.F. Phytomedicine. 2006;13:442–445. doi: 10.1016/j.phymed.2005.01.014. [DOI] [PubMed] [Google Scholar]
- 60.Santa-Cecília F.V., Freitas L.A.S., Vilela F.C., Veloso C.C., Rocha C.Q., Moreira M.E.C., Dias D.F., Giusti-Paiva A., dos Santos M.H. Eur. J. Pharmacol. 2011;670:280–285. doi: 10.1016/j.ejphar.2011.08.032. [DOI] [PubMed] [Google Scholar]
- 61.Martins F.T., Assis D.M., dos Santos M.H., Camps I., Veloso M.P., Juliano M.A., Alves L.C., Doriguetto A.C. Eur. J. Med. Chem. 2009;44:1230–1239. doi: 10.1016/j.ejmech.2008.09.018. [DOI] [PubMed] [Google Scholar]
- 62.Martins F.T., Cruz J.W., Jr., Derogis P.B.M.C., Santos M.H., Veloso M.P., Ellena J.A., Doriguetto A.C. J. Braz. Chem. Soc. 2007;18:1515–1523. [Google Scholar]
- 63.Derogis P.B.M.C., Martins F.T., Souza T.C., Moreira M.E.C., Filho J.D.S., Doriguetto A.C., Souza K.R., Veloso M.P., Santos M.H. Magn. Reson. Chem. 2008;46:278–282. doi: 10.1002/mrc.2166. [DOI] [PubMed] [Google Scholar]
- 64.Martins F.T., Camps I., Doriguetto A.C., Santos M.H., Ellena J., Barbosa L.C.A. Helv. Chim. Acta. 2008;91:1313–1325. [Google Scholar]
- 65.Murata R.M., Yatsuda R., dos Santos M.H., Kohn L.K., Martins F.T., Nagem T.J., Alencar S.M., de Carvalho J.E., Rosalen P.L. Phytother. Res. 2010;24:379–383. doi: 10.1002/ptr.2954. [DOI] [PubMed] [Google Scholar]
- 66.Biber N., Möws K., Plietker B. Nat. Chem. 2011;3:938–942. doi: 10.1038/nchem.1170. [DOI] [PubMed] [Google Scholar]
- 67.Jedinák A., Mucková M., Kostálová D., Maliar T., Masterova I. Z. Naturforsch. 2006;61c:777–782. doi: 10.1515/znc-2006-11-1203. [DOI] [PubMed] [Google Scholar]
- 68.Es-Saady D., Simon A., Ollier M., Maurizis J.C., Chulia A.J., Delage C. Cancer Lett. 1996;106:193–197. doi: 10.1016/0304-3835(96)04312-1. [DOI] [PubMed] [Google Scholar]
- 69.Ramalho S.D., De Sousa L.R.F., Neboa L., Maganhi S.H., Caracelli I., Zukerman-Schpector J., Lima M.I.S., Alves M.F.M., da Silva M.F.G.F., Fernandes J.B., Vieira P.C. Chem. Biodivers. 2014;11:1354–1363. doi: 10.1002/cbdv.201400065. [DOI] [PubMed] [Google Scholar]
- 70.Chaturvedi A.K., Luqman S., Dubey V., Thakur J.P., Saikia D., Chanotiya C.S., Shanker K., Negi A.S. Med. Chem. Res. 2013;22:3953–3958. [Google Scholar]
- 71.Pinheiro M.H.O., Monteiro R. Braz. J. Biol. 2010;70:95–102. doi: 10.1590/s1519-69842010000100013. [DOI] [PubMed] [Google Scholar]
- 72.Ramalho S.D., de Sousa L.R.F., Burgera M.C.M., Lima M.I.S., da Silva M.F.G.F., Fernandes J.B., Vieira P.C. Nat. Prod. Res. 2015;29:2212–2214. doi: 10.1080/14786419.2014.1002404. [DOI] [PubMed] [Google Scholar]
- 73.Berman J.D. Clin. Infect. Dis. 1997;24:684–703. doi: 10.1093/clind/24.4.684. [DOI] [PubMed] [Google Scholar]
- 74.Alexander J., Coombs G.H., Mottram J.C. J. Immunol. 1998;161:6794–6801. [PubMed] [Google Scholar]
- 75.de Sousa L.R.F., Wu H., Nebo L., Fernandes J.B., da Silva M.F.G.F., Kiefer W., Schirmeister T., Vieira P.C. Exp. Parasitol. 2015;156:42–48. doi: 10.1016/j.exppara.2015.05.016. [DOI] [PubMed] [Google Scholar]
- 76.Alves C.Q., David J.M., David J.P., Villareal C.F., Soares M.B.P., de Queiroz L.P. Quim. Nova. 2012;35:1137–1140. [Google Scholar]
- 77.Mbing J.N., Enguehard-Gueiffier C., Atchade A.T., Allouchi H., Gangoue-Pieboji J., Mbafor J.T. Phytochemistry. 2006;67:2666–2670. doi: 10.1016/j.phytochem.2006.07.027. [DOI] [PubMed] [Google Scholar]
- 78.Kassem M.E.S., El-Desoky S.K., Sharaf M. Chem. Nat. Comp. 2004;40:447–450. [Google Scholar]
- 79.de Sousa L.R.F., da Silva J.A., Vieira P.C., Costa M.B., dos Santos M.L., Sbardelotto A.B. Quim. Nova. 2014;37:288–292. [Google Scholar]
- 80.Adachi W., Kawamoto S., Ohno I., Nishida K., Kinoshita S., Matsubara K., Okubo K. Invest. Ophthalmol. Vis. Sci. 1998;39:1789–1796. [PubMed] [Google Scholar]
- 81.Santamaria I., Velasco G., Cazorla M., Fueyo A., Campo E., Lopez-Otin C. Cancer Res. 1998;58:1624–1630. [PubMed] [Google Scholar]
- 82.Severino R.P., Guido R.V.C., Marques E.F., Brömme D., das M.F., da Silva G.F., Fernandes J.B., Andricopulo A.D., Vieira P.C. Bioorg. Med. Chem. 2011;19:1477–1481. doi: 10.1016/j.bmc.2010.12.056. [DOI] [PubMed] [Google Scholar]
- 83.Dos Santos D.A.P., Vieira P.C., Da Silva M.F.G.F., Fernandes J.B., Rattray L., Croft S.L. J. Braz. Chem. Soc. 2009;20:644–651. [Google Scholar]
- 84.Marques E.F., Bueno M.A., Duarte P.D., Silva L.R.S.P., Martinelli A.M., dos Santos C.Y., Severino R.P., Brömme D., Vieira P.C., Corrêa A.G. Eur. J. Org. Chem. 2012;54:10–21. doi: 10.1016/j.ejmech.2012.04.002. [DOI] [PubMed] [Google Scholar]
- 85.Kwan J.C., Eksioglu E.A., Liu C., Paul V.J., Luesch H. J. Med. Chem. 2009;52:5732–5747. doi: 10.1021/jm9009394. [DOI] [PMC free article] [PubMed] [Google Scholar]
- 86.Umezawa H., Aoyagi T., Morishima H., Matsuzaki M., Hamada M., Takeuchi T. J. Antibiot. 1970;23:259–262. doi: 10.7164/antibiotics.23.259. [DOI] [PubMed] [Google Scholar]
- 87.Everts V., Beertsen W., Schroder R. Calcif. Tissue Int. 1988;43:172–178. doi: 10.1007/BF02571316. [DOI] [PubMed] [Google Scholar]
- 88.McGowan E.B., Shafiq S.A., Stracher A. Exp. Neurol. 1976;50:649–657. doi: 10.1016/0014-4886(76)90034-0. [DOI] [PubMed] [Google Scholar]
- 89.Marquis R.W. Annual Reports in Medicinal Chemistry. GlaxoSmithKline; Collegeville, PA: 2004. Inhibition of the cysteine protease cathepsin K; pp. 79–98. [Google Scholar]
- 90.M.Sc. Thesis Vincent Paul Lavallée. University of British Columbia; Vancouver (Canada): 2011. [Google Scholar]
- 91.Gauthier J.Y., Chauret N., Cromlish W., Desmarais S., Duong L.T., Falgueyret J.P., Kimmel D.B., Lamontagne S., Léger S., LeRiche T., Li C.S., Massé F., McKay D.J., Nicoll-Griffith D.A., Oballa R.M., Palmer J.T., Percival M.D., Riendeau D., Robichaud J., Rodan G.A., Rodan S.B., Seto C., Thérien M., Truong V.L., Venuti M.C., Wesolowski G., Young R.N., Zamboni R., Black W.C. Bioorg. Med. Chem. Lett. 2008;18:923–928. doi: 10.1016/j.bmcl.2007.12.047. [DOI] [PubMed] [Google Scholar]
- 92.Koshihara Y., Fujimoto Y., Inoue H. Biochem. Pharmacol. 1988;37:2161–2165. doi: 10.1016/0006-2952(88)90576-x. [DOI] [PubMed] [Google Scholar]
- 93.Patil A.D., Freyer A.J., Killmer L., Offen P., Taylor P.B., Votta B.J., Johnson R.K. J. Nat. Prod. 2002;65:624–627. doi: 10.1021/np0105634. [DOI] [PubMed] [Google Scholar]
- 94.Ma X., Yang J., Feng Y., Chen B., Xie Chin Y. J. Org. Chem. 2014;34:2001–2006. [Google Scholar]



















