Abstract
One of the key roles of public health is to manage outbreaks that endanger the health of the population. The nature of an outbreak can be due to a wide range of causes, and a variety of approaches to detection of epidemics are possible, but the main points are very similar for all outbreaks and are described in this article. The first challenge is to notice an increase in cases, and this is followed by a confirmation that there is indeed an outbreak. Based on descriptive epidemiology, a case definition and a hypothesis are developed, which are preferably confirmed by at least an epidemiologic study. Other aspects of investigation described in this article are the organization of the outbreak investigation, public health action, and the importance of communication.
Keywords: Attack rate, Case–control study, Case definition, Cohort study, Communication, Controls, Epi curve, Laboratory, Outbreak, Relative risk, Surveillance
Introduction
One of the key roles of public health is to manage outbreaks that endanger the health of the population. The nature of an outbreak can range from infectious, zoonotic, or chronic diseases to injury, exposure to toxic substances, or health-damaging behavior. The cause can be incidental, accidental, or intentional, as in the case of a bioterrorism attack. Outbreaks require public health investigators to respond quickly and to make reasonable judgments from a dynamically unfolding set of information. Speed, coordination, and informed judgment are critical in these situations, as problems that first appear limited may actually be significant outbreaks. A variety of approaches to outbreak detection and identification are possible, but the main points to keep in mind are described in the following section.
Outbreak Detection
An outbreak is traditionally characterized by an increasing number of persons who are showing a specific clinical pattern unusual for that particular situation or location. Public health concerns can range from two cases of Chagas disease in a nonendemic area after organ transplantation to hundreds of cases of diarrhea due to a drinking water–related Cryptosporidium outbreak (MacKenzie et al., 1994; Shaffzin et al., 2006).
Outbreaks can be detected in different ways. Thorough surveillance of diseases of public health importance forms the basis of public health investigations and research (Figure 1 ). Health departments can also be contacted by health professionals or members of communities (e.g., school, day care) where an unusual number of cases of a certain disease are noticed. One of the functions of a surveillance system is to monitor trends in a disease or other event. If there is an indication of a possible increase in cases, rapid assessment is required and immediate action is recommended.
Figure 1.

Life cycle of disease control and prevention.
Measles surveillance is an example of intensive surveillance and rapid assessment of cases in the United States. Measles are currently very rare in the Western hemisphere: The number of reported cases between 1997 and 2004 was less than 200 per year (Atkinson et al., 2007). This highly contagious disease is currently most common in the United States among persons who refuse vaccination for personal or religious reasons. Outbreaks are often related to the importation of a case from abroad that acts as a source case for an outbreak (Atkinson et al., 2007). In the United States, suspected measles cases have to be promptly reported to the CDC and to the National Notifiable Diseases Surveillance System (NNDSS), after which an investigation is launched (Figure 2 ; CDC, 2010a).
Figure 2.

Cases of measles, United States, 1980–2004.
Reproduced from Atkinson, W.H.J., McIntyre, L., Wolfe, S. (Eds.), 2007. Epidemiology and Prevention of Vaccine-Preventable Diseases. Public Health Foundation, Washington, DC.
To detect outbreaks in this way, the surveillance system has to be sensitive, and the data have to be collected in a timely manner and regularly analyzed. To ensure that the surveillance system is able to detect cases in a timely fashion, the system itself has to be monitored. One indicator to follow in the measles surveillance system, for example, is the median interval between onset of rash and notification to the public health authority. This indicator measures the time lost to contain the spread of the infection. This is shown by a measles outbreak that occurred in the United States after a 34-year-old minister with an undocumented history of vaccination became infected while traveling abroad (Rooney et al., 2004). The first symptoms were noticed on 2 September 1999; the case was diagnosed on September 5 and the health department was informed on September 7. An epidemiologic and laboratory investigation identified 15 cases linked with the source case (Figure 3 ).
Figure 3.

Epidemic curve depicting date of rash onset and vaccination status for case patients in measles outbreak, United States, September to October 1999.
Reproduced from Rooney, J.A., Milton, D.J., et al., 2004. The largest outbreak of measles in the United States during 1999: imported measles and pockets of susceptibility. J. Infect. Dis. 189 (Suppl. 1), S78–S80.
Another method of outbreak detection is through syndromic surveillance, which monitors nonspecific clinical syndromes. Once a possible outbreak is detected, a specific diagnosis is required to assess whether an outbreak has occurred. Since 1999, the New York City Department of Health has been monitoring and evaluating emergency medical service calls on a daily basis to identify an increase in respiratory illnesses that might represent an infectious disease outbreak (Mostashari et al., 2003). This is also the recommended method to detect possible intentional outbreaks due to bioterrorism (CDC, 2003). Data sources used often already exist but have not been designed specifically for public health surveillance purposes. An example is the International Classification of Diseases (ICD-10), which contains coded health information from physician visit records. Data abstracted from emergency department logs or 911 calls can also be used through analysis of text or other developed coding systems (Pavlin et al., 2003). In the case of a chemical agent, unexplained deaths among young or healthy persons or emission of unexplained odors by patients could indicate an outbreak.
Laboratory tests also play an important role. Cases are not always geographically clustered and for that reason are not always easily linked to an outbreak. The CDC and several state health departments established PulseNet, a molecular subtyping network for foodborne disease surveillance to facilitate the detection and investigation of foodborne outbreaks (Swaminathan et al., 2001). Pulsed-field gel electrophoresis (PFGE) patterns of DNA from bacterial isolates are submitted to the national database and can help link apparently unrelated cases that are geographically dispersed. Though PulseNet can detect clusters of potentially related organisms, epidemiologic assessment is required to determine if the cluster contributes to an outbreak. PulseNet laboratories operate in public health departments in all 50 US states and several national health and agriculture agencies. Most foodborne outbreaks are related to a local contamination such as in a restaurant, but a significant number are due to a wide distribution of food contaminated at various points of production. An example is an Escherichia coli O157 outbreak in 1992 linked with contaminated hamburgers that made more than 500 persons sick in 4 days and caused the deaths of 4 children (CDC, 1993). It took 39 days for the public health system to recognize it as an outbreak and another 10 days to investigate and institute a recall of the contaminated meat. PulseNet can now increase the sensitivity of outbreak detection in many instances. For example, in September 2006, state and CDC officials were able to detect and link multiple small clusters of E. coli O157:H7 infections across the United States within days using PulseNet information. This allowed investigators to rapidly identify fresh spinach as the source of infection (CDC, 2007b). More than 200 cases were detected in 26 states and Canada (Figure 4 ).
Figure 4.

Number of confirmed cases of Escherichia coli O157:H7 by state, United States, October 2006.
Reproduced from Centers for Disease Control and Prevention, 2007. Ongoing multistate outbreak of Escherichia coli serotype O157:H7 infections associated with consumption of fresh spinach – United States, September 2006. MMWR Morb. Mortal. Wkly. Rep. 55.
Organizing an Outbreak Investigation
Once an outbreak is identified, epidemiologic assessment assistance is started by a local public health authority, such as the health department. Depending on the context, other hierarchies or special jurisdictions are involved such as the World Health Organization (WHO) for an international investigation (Gregg, 1996). In the case of an international investigation, the WHO is often involved. The WHO coordinates the Global Outbreak Alert and Response Network (GOARN). This is a technical collaboration of existing institutions and networks that pool human and technical resources for rapid identification, confirmation, and response to outbreaks of international importance.
As soon as a response is initiated, it is important to inform public health authorities at appropriate government levels about the ongoing outbreak. Local and reference laboratories must be informed so that they can prepare for processing specimens (see section Laboratory Preparations). A core team should be assembled made up of persons with epidemiologic, laboratory, communications, and possibly other expertise, such as statistical expertise. This core team should establish a hierarchy for decision and information sharing. They should then create objectives for the investigation and develop plans for reevaluating the objectives as the investigation evolves. It is important to delineate roles and responsibilities for the relevant agencies and to agree on a timeline for reevaluating those roles. A lead agency and principal investigator should be identified. In the case of a large, complex outbreak, the need for additional human resources also has to be discussed. A list of types of expertise (e.g., epidemiologic, laboratory, statistical, communications) is required and availability of experts should be made known so that any gaps in expertise can be filled.
Laboratory Preparations
An important aspect of preparing an outbreak investigation is the logistics involved in conducting laboratory or environmental testing. This includes not only collecting and testing the specimens, but also tracking and monitoring the shipments of specimens. Some of this responsibility falls within the laboratory domain, but field investigators may also have to undertake some of these functions. The first step is to develop specimen collection and shipping protocols. This includes information about the samples that have to be included, such as type, quantity, and timing vis-à-vis disease onset and treatment, but also the type of containers, transport media, and preservatives needed. The protocol must address information to be included on the labels, preshipping requirements, and instructions for shipping.
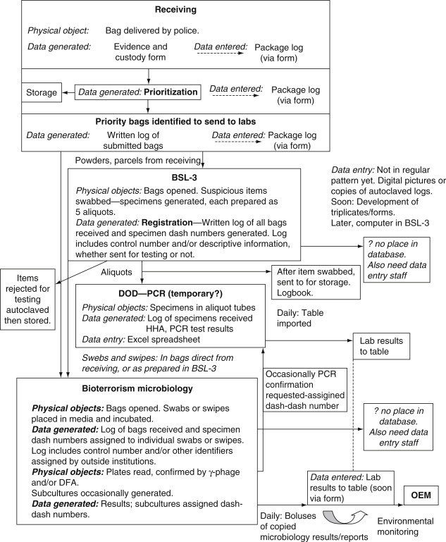
The next step is to develop specimen processing and testing protocols for the receiving laboratories. These include not only the tests each laboratory will conduct but also how the results will be determined and interpreted and how and to whom the results will be released. If indicated, the materials and supplies such as collection kits, testing reagents, control specimens, labels, and shipping supplies are obtained and shipped to the outbreak location. Once the specimens are collected, it is important to label them well and track them. In October 2001, a bioterrorism-related anthrax outbreak in New York City occurred. For weeks the New York Bioterrorism Response Laboratory (BTRL) was overwhelmed by the increasing number of environmental samples. To deal with the situation, a laboratory bioterrorism command center was established, and protocols for sample intake, processing, reporting, security, testing, staffing, and quality control were developed (Heller et al., 2002). The specimen load increased from 1 every 2–3 months to 2700 nasal swabs in 2 weeks and 3200 environmental specimens in 2 months. Staff increased from 2 to 75 persons and 6 tons of laboratory supplies were flown in from the CDC. Figure 5 shows the data flowchart adopted soon after the surge of isolates after the bioterrorism attack.
Figure 5.

Depiction of the data flow at the New York City Bioterrorism Response Laboratory adopted soon after a surge of isolates after a bioterrorism attack, New York City, 2001. BSL, biosafety level; DOD, Department of Defense; OEM, Office of Emergency Management.
Reproduced from Heller, M.B., Bunning, M.L., France, M.E., et al., 2002. Laboratory response to anthrax bioterrorism, New York City, 2001. Emerg. Infect. Dis. 8 (10), 1096–1102.
Objectives for an Investigation
In most cases, an investigation is initiated to limit the spread of a particular illness. Through identification of the cause, source, and mode of transmission, public health measures can be taken to stop the expansion of the outbreak. On 8 October 2000 the Acting District Director of Health Services in Gulu District, Uganda, received two reports concerning unusual illness and deaths (Lamunu et al., 2004). One day later, an outbreak investigation was launched and 2 days later the first interventions to contain the outbreak were instituted: an isolation unit was set up in the local health-care facility, protective material for health staff was dispatched, and the public was alerted of the risk of infection during funerals. On October 14, the National Ebola Task Force was constituted to coordinate and mobilize resources for the outbreak, which lasted for more than 4 months. A total of 425 confirmed cases of Ebola were recorded, with 224 deaths among them.
Identification of the origin or source of the disease by a traceback environmental investigation to prevent further illness is another important aspect of an outbreak investigation. This was done during a multicluster outbreak in Massachusetts. Between February 2003 and May 2004, 10 outbreaks of gastrointestinal illness among schoolchildren at nine different schools were reported to the Department of Public Health (Shaffzin et al., 2006). All the children ate lunch provided by the schools and the disease was characterized by short incubation periods and short durations of illness. Based on prior investigations, a biotoxin or chemical agent was suspected. An environmental investigation identified three distributors who provided the schools with tortillas of different sizes and under various brand names but from one manufacturer. Several deficiencies at the plant were noted such as improper storage, use, and labeling of chemicals and food ingredients and additives, and food contact surfaces were not protected from environmental contamination. Samples were collected and analyzed. After the manufacturer was informed about the suspected cause of the outbreak, the recipe was changed and the amount of calcium propionate and potassium bromate used was lowered (Shaffzin et al., 2006).
Outbreak investigations can also lead to national policy and regulatory changes. In the fall of 1996, 70 cases of E. coli O157:H7 infections were epidemiologically linked to a particular brand of unpasteurized apple juice in Canada; four persons developed hemolytic uremic syndrome, and one person died (Cody et al., 1999). Recalled apple juice grew E. coli O157:H7 with the same PFGE pattern as those from the case isolates. The magnitude and severity of this outbreak led the Food and Drug Administration (FDA) to propose two new regulations (Troxell, 2005). First, all unpasteurized fruit and vegetable juices would have to carry a label stating, “Warning: this product has not been pasteurized and therefore may contain harmful bacteria that can cause serious illness in children, elderly, and persons with weakened immune systems.” The second regulation is the application of Hazard Analysis and Critical Control Point (HACCP) principles to fruit and vegetable juice processing (see Relevant Websites). A HACCP program is a systematic method of identifying key production steps in which contamination may occur and instituting specific monitoring and interventions, such as pasteurization, at those steps.
Outbreaks also provide a natural, observational laboratory for evaluating and identifying defects in public health and regulatory programs.
Confirmation of an Outbreak
The first step in an investigation is to confirm the outbreak. The total number of cases is less relevant than analysis of the whole situation. The critical question is: Are there really more cases of a certain disease than normally expected in that time and location? In 1999, two cases of Plasmodium vivax in the United States among children without travel exposure to an endemic area were the cause of an epidemiologic, entomologic, and environmental outbreak investigation in Suffolk County, New York (CDC, 2000).
Surveillance data can indicate if there is an outbreak, but an increase in the number of reports of a certain disease can be due to several factors, including a random increase in the number of cases, a higher awareness of the disease, a new diagnostic tool, a misdiagnosis, or a change in reporting requirements or forms. For this reason it is important to collect preliminary demographic, geographic, and epidemiologic information to link the cases. When in doubt, one should treat the cases as an outbreak but avoid labeling them before possessing appropriate scientific evidence.
Although incubation periods and clinical syndromes are important as an indication of the source, it is recommended that the diagnosis be confirmed by laboratory tests. While it is often not necessary to confirm the diagnosis for all cases, in the initial phase of an outbreak, the diagnosis of a substantial proportion of the cases should be confirmed. The CDC published a table with possible etiologies of foodborne disease outbreaks and defined an outbreak as an incident in which two or more persons experience a similar illness resulting from the ingestion of a common food (CDC, 2010b). The table includes not only information about incubation periods and clinical syndromes, but also describes the laboratory tests needed to confirm the outbreak etiology.
Confirming an outbreak or its extent may also require active case finding. For example, in a recent outbreak of Acanthamoeba keratitis (AK), the Illinois Department of Public Health investigated a possible increase in AK at one ophthalmology center during the previous 3 years. As a result, the CDC initiated a retrospective survey of 22 ophthalmology centers nationwide to assess whether cases were increasing throughout the United States. Data received from 13 centers demonstrated an increase in culture-confirmed cases of AK across the United States. This triggered a large, multistate investigation at the national level (CDC, 2007b).
Case Definition
One of the most important steps in an outbreak investigation is to develop the case definition. The definition has to be broad enough to capture most if not all cases but should not be so vague that every possible sick person in the targeted location is included. This balance is not always easy to achieve. One solution is to start with a very sensitive but less specific case definition based on preliminary information, which is then adapted after more information is collected and the etiology of the outbreak is clearer.
A case definition always includes information about three factors: person, time, and place. Person-related information includes symptoms, but also demographic information such as gender, age, or profession. There are several possible ways to approach defining symptoms. A case can be defined as having a few symptoms present for each case, or one can give a list and specify a minimum number of symptoms for a case to be included, or a combination of both can be used. If the symptoms are very common, such as cough or diarrhea, or very vague, such as fatigue, many unrelated background cases can be unintentionally included. As a result, the case definition tends to become more stringent in the later stages of an outbreak and includes a specific etiologic diagnosis if possible.
The time and place definition is used to ensure that only cases related with this outbreak are included. In the case of an outbreak, one is not interested in cases throughout the whole country or during the whole year. An example is the case definition used in the previously mentioned Cryptosporidium outbreak: “a person who lived in or visited central Ohio between June 17 and 2000 and who had three or more loose stools in a 24-hour period” (Mathieu et al., 2004: p. 582). In the same investigation, a laboratory-confirmed case patient was defined as “a person who lived in or visited central Ohio between June 17 and August 18, 2000, who had a positive stool test result for C. parvum, along with either diarrhea (three or more loose stools during a 24-hour period), vomiting or abdominal cramps” (Mathieu et al., 2004: p. 583).
Case Ascertainment
There should be an active search for cases that fall within the case definition as soon as there is suspicion of an outbreak. If the case definition includes laboratory confirmation, all the labs in the area should be contacted and probed for information. If the case is associated with a school or a certain community, messages can be passed through school authorities or the media to ask persons with certain symptoms to inform their local health department. In the case of an outbreak linked to a particular venue, a list of persons who attended a particular event can be obtained. By way of a short questionnaire, crucial information, including contact information, date of onset, and some questions related to the possible source of the outbreak should be collected from each person who could be considered a potential case. This information can be used to create a line listing, which is a table that includes key variables on each ill person (Table 1 ; CDC, 2004a). This makes it easy to visualize and summarize important information and to establish a hypothesis for the outbreak by identifying commonalities among the cases.
Table 1.
A line listing for a possible hepatitis outbreak (CDC, 2004a)
| Diagnostic |
Lab |
|||||||||||||
|---|---|---|---|---|---|---|---|---|---|---|---|---|---|---|
| Signs and symptoms |
||||||||||||||
| Case# | Initials | Date of report | Date of onset | Physician diagnosis | N | V | A | F | DU | J | HAIgM | Others | Age | Sex |
| 1 | JG | 10/12 | 12/6 | Hep A | + | + | + | + | + | + | + | SGOT ↓ | 37 | M |
| 2 | BC | 10/12 | 10/5 | Hep A | + | − | + | + | + | + | + | Alt ↓ | 62 | F |
| 3 | HP | 10/13 | 10/4 | Hep A | ± | − | + | + | + | S∗ | + | SGOT ↓ | 30 | F |
| 4 | MC | 10/15 | 10/4 | Hep A | − | − | + | + | ? | − | + | Hbs/Ag− | 17 | F |
S∗, sclera; N, nausea; V, vomiting; A, anorexia; F, fever; DU, dark urine; J, jaundice; HAIgm, hepatitis AIgM antibody test; ?, unknown.
Centers for Disease Control and Prevention, 2004. Epidemiology in the Classroom: How to Investigate an Outbreak: Steps of an Outbreak Investigation. http://www.cdc.gov/excite/classrom/outbreak/.
Descriptive Epidemiology
An important part of the descriptive epidemiology of an outbreak is the epi curve, which will not only indicate when the outbreak started but may also provide clues to the source of the exposure. Traditionally, the number of cases is depicted on the y-axis and time on the x-axis. The time interval chosen can be months, weeks, days, or hours, depending on the estimated incubation period. Traditionally, the time intervals are one-fourth to one-third of the probable incubation period. An epi curve allows visualization of the epidemic's magnitude and the trend over time. The epi curve in Figure 6 shows a continuous transmission in Guinea and an intense transmission in Liberia and Sierra Leone, while a well-confined transmission in Nigeria.
Figure 6.

Number of cases of Ebola virus disease in West African countries (Guinea, Liberia, Nigeria, and Sierra Leone) that have been reported between the beginning of January 2014 (epidemiological week 1) and 25 August 2014 (epidemiological week 34).
WHO, Ebola Response Roadmap Situation Report 1, 29 August 2014.
The curve also helps to estimate the incubation time, which can assist in defining the causative agent and can predict the end of an epidemic. An outbreak with a point source in time and place will give a tight temporal clustering of cases. An example is a norovirus outbreak in the United States linked with a specific restaurant in Eaton County, Michigan, in February 2007. The epi curve shown in Figure 7 reveals a peak in onset of disease around January 30 and a median incubation time of 32 h. Investigation showed that more than 360 restaurant patrons became ill after eating in the restaurant on two consecutive days (CDC, 2007a). If there is person-to-person transmission, each case can cause more cases, shown on the curve as a series of successive peaks. In 1997, passengers and crew members on a cruise ship developed acute respiratory illnesses possibly due to influenza (Miller et al., 2000). The epi curve of the outbreak among the crew members is shown in Figure 8 . If the source is intermittent or continues over a long period of time, the curve will show a mix of individual and clustered cases during a relatively protracted time frame.
Figure 7.

Number of cases of norovirus illness by 4-h intervals of illness onset, among patrons and employees of a restaurant, Eaton County, Michigan, 28 January to 4 February 2006.
Reproduced from Centers for Disease Control and Prevention, 2007. Norovirus outbreak associated with ill food-service workers – Michigan, January to February 2006. MMWR Morb. Mortal. Wkly. Rep. 56 (46), 1212–1216.
Figure 8.

Number of medically attended respiratory illnesses (ARI) and influenza-like illnesses (ILI) among crew on three cruises of one ship during August and September 1997, by date of onset.
Reproduced from Miller, J.M., Tam, T.W.S., et al., 2000. Cruise ships: high-risk passengers and the global spread of new influenza viruses. Clin. Infect. Dis. 31 (2), 433–438.
Description of the geographic distribution of an outbreak provides information about the extent of the problem and can show any clustering or patterns that might provide more information on the source. Depending on the situation, cases can be mapped according to residence, place of occupation, and school or childcare settings, or related to possible relevant activities such as swimming or grocery shopping. A classic example is the map John Snow made to trace the source of a cholera outbreak in Soho, England, in 1854 (Figure 9 ; Snow, 1855).
Figure 9.

Map to identify cause of cholera outbreak, Soho, England, 1854.
Reproduced from Snow, J., 1855. On the Mode of Communication of Cholera. John Churchill, London. Available at: http://www.ph.ucla.edu/epi/snow/Snow_Laura_Ball.pdf.
Another aspect of the descriptive epidemiology of an outbreak is the characterization of cases. Depending on the outbreak etiology and source, variables used to characterize the cases can include age, sex, race, occupation, leisure activities, health status, and drug use. The purpose is to identify common potential risk factors among cases.
Hypothesis
Based on the potential etiologic agents and vehicles, potential mode of transmission, types of exposure, population exposed, and timing and extent of exposure, hypotheses can be developed. This information is collected through the descriptive epidemiology and line listing as mentioned previously; however, in some cases, in-depth interviews with a limited number of suspect cases may also be indicated.
Testing of the Hypothesis
The next step is to design the appropriate study to test the hypothesis. The purpose is to assess and quantify the relationship between an exposure and the outbreak-related event. Even if the hypothesis seems easy to accept, a study must be considered (Reingold, 1998). In case there are several possible exposures linked with the outbreak, all exposures must be tested. The general idea is to compare observed outbreak data with data collected from a comparison group that provides baseline or ‘expected’ data (Gregg, 1996). If the outbreak occurred in a well-defined population, a cohort study is recommended; otherwise, a case–control study is conducted.
In a cohort study, the occurrence of an event is compared among persons who were and were not exposed to a certain risk factor. The advantage of a cohort study is that attack rates and relative risk can be directly calculated. This design better suits outbreaks in which a limited and identifiable number of people were exposed to the risk factor or where one risk factor can have different outcomes. A typical example is a food-related outbreak at an event with a known guest list such as a wedding. People attending the event are asked if they became ill (thus meeting the case definition) but also which dishes they ate. This enables the investigators to calculate attack rates of disease among people who ate certain dishes. The attack rate is the incidence of disease in a defined group.
The relative risk qualifies the relationship between the risk factor and the outbreak-related disease. It indicates how much more likely a person who is exposed to a certain risk factor is to develop the outbreak-related illness compared with a person who was not exposed. Table 2 shows the data of a classic outbreak investigation related to a salmonellosis outbreak at a church dinner in Oswego, New York, in 1940 (CDC, 2004b). The relative risk related to ice cream was much higher than those of other food items, indicating that the outbreak was related to the ice cream.
Table 2.
Number of ill and healthy people who ate certain food items, attack rates, and relative risk for each food item – outbreak of salmonellosis, Oswego, New York, 1940
| Number of persons who ate item |
Number of persons who did not eat item |
Relative risk | |||||
|---|---|---|---|---|---|---|---|
| Ill | Total | Attack rate (%) | Ill | Total | Attack rate (%) | ||
| Baked ham | 29 | 46 | 63 | 17 | 29 | 59 | 1.07 |
| Spinach | 26 | 43 | 60 | 20 | 32 | 62 | 0.97 |
| Potatoes | 23 | 37 | 62 | 23 | 37 | 62 | 1.00 |
| Jellies | 16 | 23 | 70 | 30 | 52 | 58 | 1.21 |
| Rolls | 21 | 37 | 57 | 25 | 38 | 66 | 0.86 |
| Coffee | 19 | 31 | 61 | 27 | 44 | 61 | 1.00 |
| Cake | 27 | 40 | 68 | 19 | 35 | 54 | 1.26 |
| Ice cream | 43 | 54 | 80 | 3 | 21 | 14 | 5.71a |
p < 0.001.
Centers for Disease Control and Prevention, 2004. Steps of an Outbreak investigation. Available at: http://www.cdc.gov/excite/classroom/outbreak/steps.htm (accessed June 2008).
The relative risk is calculated by the ratio of the attack rates:
A relative risk of 1 means that the risk of illness is the same among exposed and nonexposed persons and that the exposure is not associated with the event. A relative risk greater than 1 means that the risk of illness is greater among exposed than among nonexposed persons and that the exposure could be associated with the event. A relative risk smaller than 1 means that the risk of illness is smaller among exposed than among nonexposed persons and that the exposure could be protective.
A case–control study design compares past exposures among people who have (‘cases’) and do not have (‘controls’) the outbreak-related illness. Continuing with the wedding example, in the case of a foodborne outbreak, sick and healthy attendees are questioned about the dishes they consumed. Exposures to the factor of interest are compared for the cases and controls. If the exposure to the factor is the same in the two groups, it is unlikely that that factor caused the outbreak-related event. A case–control study requires fewer financial and human resources. This design is also better if multiple exposures are related to the outbreak. The measure of association between exposure and disease is quantified by an odds ratio, that is, the ratio of the odds of a certain outcome. It is often used as an approximation for the relative risk. Using the data layout and notation mentioned above:
An important activity in designing a case–control study is the selection of controls. Controls provide information about the estimated exposure that is expected in the studied population if the exposure was not related to the illness in question. Controls must be selected independently from their exposure status, representative of the population in question, and should have the potential to be exposed to the risk factor without having the disease in question. An example is a large hepatitis A outbreak that occurred among patrons in a Pennsylvania restaurant (Wheeler et al., 2005). For the case–control study, 240 cases, as many as could be interviewed in a 2-week time period, were included. The 130 controls included meal companions of patients or persons who were identified through credit card receipts as having dined in the restaurant during a certain time period. Controls were excluded if they reported having symptoms or a history of acute hepatitis A or were vaccinated for hepatitis A. In March 2003, a nosocomial outbreak of severe acute respiratory syndrome (SARS) occurred in a hospital in Singapore (Teleman et al., 2004). To investigate factors associated with the transmission of SARS, a case–control study was conducted with 36 cases and 50 controls. The controls were selected among health-care workers working in the same ward as the cases, but who did not develop the disease although they had a history of exposure (exposure defined as being within close physical proximity (1 m) of a patient subsequently confirmed with SARS).
As the previous examples show, controls can be selected among different population groups, depending on the outbreak. In a community outbreak, a random sample of the healthy population may, in theory, be the best control group. In practice, however, persons in a random sample may be difficult to contact and enroll. Often random digit dialing is used, though this method has a potential for selection bias (Bunin et al., 2007).
The number of controls depends on the required precision and the number of cases. If there are more than 50 cases, one control can be selected for each case. If there are fewer cases, two or three controls per case may be needed to obtain sufficient statistical power to identify significant association.
Results from case–control and cohort studies have to be interpreted with caution as much will depend on the sample size and the related precision of the outcome. Tests of statistical significance must be used to determine the probability that an observed relative risk could have been found due to chance alone. This probability is called the p-value. A very small p-value means that the chances of finding relative risk due to chance alone are very small. If the p-value is smaller than a predetermined cutoff, often 0.05, the relative risk is considered statistically significant. The most used statistical test is the X2:
(The corresponding p-value for the chi-square can be found in a chi-square distribution table.)
Communication
From the time a possible outbreak is detected until it is under control, communication is very important. The amount of information to be shared is crucial, as well as the method of communication to the right persons and groups at the right time. During the investigation, the epidemiologist should maintain regular briefings with local health officials. However, communication with the public is just as crucial. Often one person will be designated to communicate with the press and public. The content, frequency, and form of communication (e.g., internal meetings, email, press releases, or press conferences) have to be adapted to the target audience. The need to protect the health of the population as well as innocent stakeholders who may or may not be responsible for the outbreak must be carefully balanced. As much specific information as is possible and appropriate about etiologic agents, mode of transmission, source and mode of contamination, and interventions and prevention measures should be provided.
Although the need for communication with the public is important, communication with other agencies implicated in the investigation must not be overlooked. There exist several ways to inform public health professionals about ongoing outbreaks. An example is Epi-X, a Web-based system that enables state and local health departments, poison control centers, and other public health professionals to access and share preliminary health surveillance information. Health Alert Network provides health information and has the infrastructure to support the dissemination of that information at the state and local levels in the United States.
Completion of an Investigation
At the end of the investigation, investigators should present findings to local health authorities responsible for implementing control and prevention measures. In addition to an oral briefing, a scientific written report documenting the investigation should be presented. This report can also serve as reference for similar situations in the future and should include all details of the investigation, conclusions, and recommendations.
It is important to discuss at the beginning of the investigation what must occur following the outbreak investigation. One of the most important steps is to conduct a ‘lessons learned’ meeting and to communicate this information to all partners. These findings should be written in a report and if appropriate, published. In this way, the international scientific community can be aware of lessons learned.
Related Issue: Protection of Investigators
In the case of investigation of lethal and easily transmitted disease, the necessary precaution measures must be undertaken to protect health staff and outbreak investigators, because they are vulnerable to contracting the disease in question. During the Ebola outbreak in Kikwit, Democratic Republic of Congo, in 1995, 80 of the 315 laboratory-confirmed cases were among health-care workers (Khan et al., 1999). Only one health-care worker developed the disease after the implementation of personal preventive measures (Figure 10 ). Among the protective equipment were disposable gloves, different types of surgical masks, long-sleeved blouses, and boots (Table 3 ; Kerstiens and Matthys, 1999).
Figure 10.

Ebola hemorrhagic fever cases by date of onset and occupation, Bandundu region, Democratic Republic of the Congo, 1 March to 21 July 1995. The arrow indicates date of initiation of upgraded infection control practices.
Reproduced from Khan, A.S., Tshioko, F.K., Heymann, D.L., et al., 1999. The reemergence of Ebola hemorrhagic fever, Democratic Republic of the Congo, 1995. For the Commission de Lutte contre les Epidémies à Kikwit. J. Infect. Dis. 179 (Suppl. 1), S76–S86.
Table 3.
Distribution scheme for protective equipment initially used in care of patients with Ebola hemorrhagic fever, Bandundu region, Democratic Republic of the Congo, 1995
| Individuals involved with | Isolation ward |
|||||||
|---|---|---|---|---|---|---|---|---|
| Isolation | Cleaning | ‘Garde malade’a | Burial | Emergency ward | Health center | Home visitor | Home health-care giver | |
| Protective equipment | ||||||||
| Plastic goggles | x | x | x | x | ||||
| Surgical mask with HEPA filter | x | x | x | x | ||||
| Disposable surgical mask | x | x | x | |||||
| Disposable gloves | x | x | x | x | x | x | ||
| Surgical cap | x | x | x | |||||
| Long-sleeved surgical blouse (cotton) | x | x | x | x | x | x | ||
| Surgical trousers (cotton) | x | x | x | |||||
| Long plastic aprons (multiple use) | x | x | x | x | x | |||
| Rubber boots | x | x | ||||||
| Rubber kitchen gloves | x | x | x | |||||
| Burial | ||||||||
| Body bags | x | x | ||||||
| Disinfectant and other material | ||||||||
| Hypochlorite | x | x | x | x | ||||
| Chloramine tablets | x | x | x | |||||
| Jerrycan, 20 l | x | x | ||||||
| Plastic basin | x | x | ||||||
| Soap | x | x | x | x | x | |||
| Plastic container (100 l) with tap | x | x | ||||||
| Sprayer | x | x | ||||||
Relative taking care of patient.
Reproduced from Kerstiëns, B., Matthys, F., 1999. Interventions to control virus transmission during an outbreak of Ebola hemorrhagic fever: Experience from Kikwit, Democratic Republic of the Congo, 1995. J. Infect. Dis. 179 (Suppl. 1), S263–S267.
See also
Clinical Epidemiology; Demography, Epidemiology, and Public Health; Disease Classification; Surveillance of Disease: Overview.
Biographies

Dr Els Mathieu is working since 2000 for the Center for Global Health at the Centers for Disease Control and Prevention in Atlanta. She is currently based in Cameroon where she is resident advisor for the Field Epidemiology training program. Her role is to train medical doctors and veterinarians from Central Africa Countries in field epidemiology, including surveillance and conducting outbreak investigations. Before this, she worked 14 years in the Division of Parasitic Diseases and Malaria where she focused on operational research and elaborating tools to monitor and evaluate integrated neglected disease programs in general and lymphatic filariasis in particular. She joined CDC as an Epidemic Intelligence Service Officer. Before that time, she worked for years with Médecin Sans Frontières (MSF) in several countries, among them Vietnam, Chechnya, and South Sudan. She was also a member of the Board of Directors of MSF USA from 2000 to 2003. She is well published in English peer-reviewed journals.
Els Mathieu received her MD in 1991 from University of Gent, Belgium, her diploma in tropical medicine in 1992 from the Institute of Tropical Medicine in Antwerp, and her MPH from John Hopkins School of Public Health in Baltimore (USA).

Dr Yao Sodahlon is currently a Senior Associate Director of the Mectizan Donation Program at the Task force for Global Health, Atlanta, GA, USA. His role includes managing the donation of Mectizan for the elimination of onchocerciasis worldwide and the elimination of lymphatic filariasis (LF) in African countries and Yemen where onchocerciasis is coendemic. He also provides oversight and surveillance of serious adverse events following mass treatment with Mectizan and albendazole for onchocerciasis and LF treatments as well as develops and implements research studies to investigate operational issues. Before moving to the United States, Dr Sodahlon worked for over 10 years in the Ministry of Health of Togo as Director of the Division of Clinical Laboratories (health system policy and development) and contributed to various communicable disease control programs (malaria, TB, schistosomiasis, and LF). He also taught clinical parasitology at the Lome school of medicine and has been a consultant for WHO since 2000, supporting African countries in malaria drug monitoring and policy making. He is well published in French and English peer-reviewed journals.
Yao Sodahlon received his MD in 1989 from University of Lome, Togo, his specialty diploma of Clinical Pathology in 1995 from Louis Pasteur University of Strasbourg (France), and his master's degree in international health in 2003 from Victor Segalen University of Bordeaux (France).
References
- Atkinson W.H.J., McIntyre L., Wolfe S., editors. Epidemiology and Prevention of Vaccine-Preventable Diseases. Public Health Foundation; Washington, DC: 2007. [Google Scholar]
- Bunin G.R., Spector L.G., Olshan A.F. Secular trends in response rates for controls selected by random digit dialing in childhood cancer studies: a report from the Children's Oncology Group. Am. J. Epidemiol. 2007;166(1):109–116. doi: 10.1093/aje/kwm050. [DOI] [PubMed] [Google Scholar]
- CDC Update: West Nile Virus activity—Eastern United States, 2000. MMWR. 2000;49:1044–1047. [PubMed] [Google Scholar]
- CDC . 2004. Epidemiology in the Classroom: How to Investigate an Outbreak: Steps of an Outbreak Investigation.http://www.cdc.gov/excite/classrom/outbreak/ [Google Scholar]
- CDC . 2004. Steps of An Outbreak Investigation. Available at: http://www.cdc.gov/excite/classroom/outbreak/steps.htm (accessed June, 2008) [Google Scholar]
- CDC Norovirus outbreak associated with ill food-service workers – Michigan, January to February 2006. MMWR Morb. Mortal. Wkly. Rep. 2007;56(46):1212–1216. [PubMed] [Google Scholar]
- CDC Ongoing multistate outbreak of Escherichia coli serotype O157:H7 infections associated with consumption of fresh spinach – United States, September 2006. MMWR Morb. Mortal. Wkly. Rep. 2007;55 [PubMed] [Google Scholar]
- CDC Summary of notifiable diseases—United States, 2008. MMWR. 2010;57(54):1–94. [Google Scholar]
- CDC Surveillance for foodborne disease outbreaks—United States, 2007. MMWR. 2010;59:973–979. [PubMed] [Google Scholar]
- Cody S.H., Glynn M.K., Farrar J.A. An outbreak of Escherichia coli O157:H7 infection from unpasteurized commercial apple juice. Ann. Intern. Med. 1999;130(3):202–209. doi: 10.7326/0003-4819-130-3-199902020-00005. [DOI] [PubMed] [Google Scholar]
- Gregg M. Oxford University Press; New York and Oxford: 1996. Field Epidemiology. [Google Scholar]
- Heller M.B., Bunning M.L., France M.E. Laboratory response to anthrax bioterrorism, New York City, 2001. Emerg. Infect. Dis. 2002;8(10):1096–1102. doi: 10.3201/eid0810.020376. [DOI] [PMC free article] [PubMed] [Google Scholar]
- Kerstiëns B., Matthys F. Interventions to control virus transmission during an outbreak of Ebola hemorrhagic fever: experience from Kikwit, Democratic Republic of the Congo, 1995. J. Infect. Dis. 1999;179(Suppl. 1):S263–S267. doi: 10.1086/514320. [DOI] [PubMed] [Google Scholar]
- Khan A.S., Tshioko F.K., Heymann D.L. The reemergence of Ebola hemorrhagic fever, Democratic Republic of the Congo, 1995. J. Infect. Dis. 1999;179(Suppl. 1):S76–S86. doi: 10.1086/514306. [DOI] [PubMed] [Google Scholar]
- Lamunu M., Lutwama J.J. Containing a haemorrhagic fever epidemic: the Ebola experience in Uganda (October 2000–January 2001) Int. J. Infect. Dis. 2004;8(1):27–37. doi: 10.1016/j.ijid.2003.04.001. [DOI] [PubMed] [Google Scholar]
- MacKenzie W.J., Hoxie N.J. A massive outbreak in Milwaukee of cryptosporidium infection transmitted through the public water supply. N. Engl. J. Med. 1994;331(3):161–167. doi: 10.1056/NEJM199407213310304. [DOI] [PubMed] [Google Scholar]
- Mathieu E., Levy D.A. Epidemiologic and environmental investigation of a recreational water outbreak caused by two genotypes of Cryptosporidium parvum in Ohio in 2000. Am. J. Trop. Med. Hyg. 2004;71(5):582–589. [PubMed] [Google Scholar]
- Miller J.M., Tam T.W.S. Cruise ships: high-risk passengers and the global spread of new influenza viruses. Clin. Infect. Dis. 2000;31(2):433–438. doi: 10.1086/313974. [DOI] [PubMed] [Google Scholar]
- Mostashari F., Fine A., Das D., Adams J., Layton M. Use of ambulance dispatch data as an early warning system for community-wide influenza-like illness, New York City. J. Urban Health. 2003;80(Suppl. 1):i43–i49. doi: 10.1007/PL00022314. [DOI] [PMC free article] [PubMed] [Google Scholar]
- Pavlin J.A., Mostashari F. Innovative surveillance methods for rapid detection of disease outbreaks and bioterrorism: results of an interagency workshop on health indicator surveillance. Am. J. Public Health. 2003;93(8):1230–1235. doi: 10.2105/ajph.93.8.1230. [DOI] [PMC free article] [PubMed] [Google Scholar]
- Reingold A.A.L. Outbreak investigations – a perspective. Emerg. Infect. Dis. 1998;4(1):21–27. doi: 10.3201/eid0401.980104. [DOI] [PMC free article] [PubMed] [Google Scholar]
- Rooney J.A., Milton D.J. The largest outbreak of measles in the United States during 1999: imported measles and pockets of susceptibility. J. Infect. Dis. 2004;189(Suppl. 1):S78–S80. doi: 10.1086/377697. [DOI] [PubMed] [Google Scholar]
- Shaffzin J.K., Keithly J., Johnson D., Sackett D., Hoefer D., Hoyt L., Lurie M., Teal A., Rosen B., Tavakoli N., St. George K., Braun-Howland E., Wallace B. 55th Annual Epidemic Intelligence Service Conference; 2006. Large Outbreak of Cryptosporidiosis Associated with a Recreational Water Spraypark – New York 2005. [Google Scholar]
- Snow J. John Churchill; London: 1855. On the Mode of Communication of Cholera. Available at: http://www.ph.ucla.edu/epi/snow/Snow_Laura_Ball.pdf. [Google Scholar]
- Swaminathan B., Barrett T.J. PulseNet: the molecular subtyping network for foodborne bacterial disease surveillance, United States. Emerg. Infect. Dis. 2001;7(3):382–389. doi: 10.3201/eid0703.010303. [DOI] [PMC free article] [PubMed] [Google Scholar]
- Teleman M.D., Boudville I.C. Factors associated with transmission of severe acute respiratory syndrome among health-care workers in Singapore. Epidemiol. Infect. 2004;132(5):797–803. doi: 10.1017/s0950268804002766. [DOI] [PMC free article] [PubMed] [Google Scholar]
- Troxell T. U.S. Department of Health and Human Services Food and Drug Administration, and Center for Food Safety and Applied Nutrition; 2005. Letter to State Regulatory Agencies and Firms That Produce Treated (but Not Pasteurized) and Untreated Juice and Cider. [Google Scholar]
- Wheeler C., Vogt T.M. An outbreak of hepatitis A associated with green onions. N. Engl. J. Med. 2005;353(9):890–897. doi: 10.1056/NEJMoa050855. [DOI] [PubMed] [Google Scholar]
Further Reading
- Centers for Disease Control and Prevention. Principles of Epidemiology.
Relevant Websites
- http://www.cdc.gov/epix – Epi-X: The Epidemic Information Exchange (CDC) (last accessed 10.06.16.).
- http://www.who.int/csr/outbreaknetwork/en – Global Outbreak Alert and Response Network (WHO) (last accessed 10.06.16.).
- http://www.fda.gov/Food/GuidanceRegulation/HACCP/ – Hazard Analysis and Critical Control Point (HACCP).
- http://www2a.cdc.gov/HAN – Health Alert Network (CDC) – (last accessed 10.06.16.).
- http://www.cdc.gov/mmwr – Morbidity and Mortality Weekly Report (MMWR) (last accessed 10.06.16.).
- http://www.bt.cdc.gov/surveillance/syndromedef/index.asp – Syndrome Definitions for Diseases Associated with Critical Bioterrorism-Associated Agents (CDC) (last accessed 10.06.16.).
