Abstract
Objective
To estimate the risks of daily hospital admissions for cause specific major cardiovascular diseases associated with short term exposure to ambient fine particulate matter (aerodynamic diameter ≤2.5 μm; PM2.5) pollution in China.
Design
National time series study.
Setting
184 major cities in China.
Population
8 834 533 hospital admissions for cardiovascular causes in 184 Chinese cities recorded by the national database of Urban Employee Basic Medical Insurance from 1 January 2014 to 31 December 2017.
Main outcome measures
Daily counts of city specific hospital admissions for primary diagnoses of ischaemic heart disease, heart failure, heart rhythm disturbances, ischaemic stroke, and haemorrhagic stroke among different demographic groups were used to estimate the associations between PM2.5 and morbidity. An overdispersed generalised additive model was used to estimate city specific associations between PM2.5 and cardiovascular admissions, and random effects meta-analysis used to combine the city specific estimates.
Results
Over the study period, a mean of 47 hospital admissions per day (standard deviation 74) occurred for cardiovascular disease, 26 (53) for ischaemic heart disease, one (five) for heart failure, two (four) for heart rhythm disturbances, 14 (28) for ischaemic stroke, and two (four) for haemorrhagic stroke. At the national average level, an increase of 10 μg/m3 in PM2.5 was associated with a 0.26% (95% confidence interval 0.17% to 0.35%) increase in hospital admissions on the same day for cardiovascular disease, 0.31% (0.22% to 0.40%) for ischaemic heart disease, 0.27% (0.04% to 0.51%) for heart failure, 0.29% (0.12% to 0.46%) for heart rhythm disturbances, and 0.29% (0.18% to 0.40%) for ischaemic stroke, but not with haemorrhagic stroke (−0.02% (−0.23% to 0.19%)). The national average association of PM2.5 with cardiovascular disease was slightly non-linear, with a sharp slope at PM2.5 levels below 50 μg/m3, a moderate slope at 50-250 μg/m3, and a plateau at concentrations higher than 250 μg/m3. Compared with days with PM2.5 up to 15 μg/m3, days with PM2.5 of 15-25, 25-35, 35-75, and 75 μg/m3 or more were significantly associated with increases in cardiovascular admissions of 1.1% (0 to 2.2%), 1.9% (0.6% to 3.2%), 2.6% (1.3% to 3.9%), and 3.8% (2.1% to 5.5%), respectively.According to projections, achieving the Chinese grade 2 (35 μg/m3), Chinese grade 1 (15 μg/m3), and World Health Organization (10 μg/m3) regulatory limits for annual mean PM2.5 concentrations would reduce the annual number of admissions for cardiovascular disease in China. Assuming causality, which should be done with caution, this reduction would translate into an estimated 36 448 (95% confidence interval 24 441 to 48 471), 85 270 (57 129 to 113 494), and 97 516 (65 320 to 129 820), respectively.
Conclusions
These data suggest that in China, short term exposure to PM2.5 is associated with increased hospital admissions for all major cardiovascular diseases except for haemorrhagic stroke, even for exposure levels not exceeding the current regulatory limits.
Introduction
Cardiovascular disease is the leading cause of death and disability worldwide.1 2 A large body of epidemiological and clinical research has shown the adverse effects of short term exposure to ambient air pollution on cardiovascular health.3 4 Among air pollutants, ambient fine particulate matter with an aerodynamic diameter up to 2.5 microns (PM2.5) has been widely regarded as an important toxic component of air pollution mixtures.5 Exposure to PM2.5 is considered to have been responsible for about 4.2 million deaths worldwide in 2015, 1.5 million of which were from ischaemic heart disease and 0.9 million from cerebrovascular disease.6 However, most evidence of the association was assessed between short term exposure to PM2.5 and cardiovascular mortality. To measure the broader impact of air pollution to the general population, hospital admission data (including those involving less severe disease) are widely used as a proxy, are expected to be more sensitive, and can better evaluate the temporal sequence between exposure to air pollution and clinical presentation of disease.7 8
In addition, the associations between PM2.5 and morbidity of cause specific cardiovascular diseases (ischaemic heart disease, heart failure, heart rhythm disturbances, ischaemic stroke, haemorrhagic stroke, and overall cardiovascular disease) have been limited, particularly in developing countries that have different air pollution levels and chemical profiles of pollution from those in developed countries.9 A recent meta-analysis identified only nine studies on the association between PM2.5 and morbidity in low and middle income countries, and the findings were less consistent than those for mortality.10 The effects of PM2.5 at high concentrations on cardiovascular morbidity, especially on cause specific cardiovascular diseases, remain uncertain.
China, the largest developing country, produced air pollution levels among the highest countries recorded worldwide.9 According to Global Burden of Disease 2013 estimates, the population weighted mean PM2.5 in China increased from 39.3 μg/m3 in 1990 to 54.3 μg/m3 in 2013.9 In recent years, with the government’s efforts, a tangible improvement in air quality was noted in China. A recent study reported that the mean value of annual average PM2.5 concentrations in 74 key Chinese cities fell from 72.2 μg/m3 in 2013 to 47.0 μg/m3 in 2017.11 Ambient PM2.5 pollution remains serious, and still poses a continuing challenge for public health in China. Since 2013 when PM2.5 levels have been monitored in major cities, a few studies have assessed the associations between PM2.5 levels and cardiovascular disease.12 13 14 However, the findings from these studies were inconsistent, subjected to the small number of cities involved and different subtypes of cardiovascular disease selected to investigate. Considering the differences in PM2.5 levels and sociodemographic characteristics across cities of varying sizes, the generalisability of these findings is uncertain at the national level. Data on the association between PM2.5 and cardiovascular morbidity in the Chinese population are scarce, especially in multicity assessments.12 13
In the present study, we conducted a national time series analysis to examine the short term association between PM2.5 pollution and hospital admissions for cause specific major cardiovascular diseases in China, and investigated potential, city specific, modifying factors.
Methods
Study sites
A total of 184 cities in China were included in our analysis, based on the availability of both health and PM2.5 data. We excluded cities with records of less than one year because of the feasibility of model fit. Individuals’ detailed information of the disease diagnosis was required to identify the cause specific cardiovascular admissions. We also excluded cities with no information on International Classification of Diseases (ICD) code or those whose text of disease diagnosis cannot be classified as categories of cardiovascular disease. Supplementary figure S1 shows the locations of the 184 cities, representing their geographical distribution across China.
Data collection
China has three main programmes for health insurance: the urban employee basic medical insurance (UEBMI) for urban employees or retired individuals, urban resident basic medical insurance for urban residents without formal employment, and the new rural cooperative medical scheme for rural residents. These three programmes covered more than 92% of the population by 2011.15 Private medical insurance has little coverage in China and is generally supplementary to the basic schemes. All employers in urban areas—including government agencies and institutions, state owned enterprises, private businesses, social organisations, and other private entities and their employees (retirees included)—are obligated to enrol in UEBMI. At the end of 2016, the UEBMI database included 0.28 billion beneficiaries. The size of this population allows us to examine the association between PM2.5 levels and cause specific cardiovascular diseases. The health data used in this study were extracted from the UEBMI database within the period of 2014 to 2017. Information regarding the number of people enrolled in the database, city residents, and coverage rates of these cities for the UEBMI database were published previously16 and also presented in supplementary table S1.
Generally, a claim for each billable medical service must be submitted to a centralised health information system in China. Hospital admissions for all cardiovascular diseases included ischaemic heart disease, heart failure, heart rhythm disturbances, and stroke (ischaemic stroke or haemorrhagic stroke).17 We identified hospital admissions for each outcome based on the primary diagnosis. For each admission, we extracted data on the date of admission, the primary diagnosis for admission (ICD-10 codes and text), sex, age, and location of the patient.
Air pollution and meteorological data
We collected data on PM2.5 levels in each city from the National Air Pollution Monitoring System. Each city has one to 17 monitoring stations. The number of stations for each city is presented in supplementary table S2. A series of standards and regulations have been issued regarding the location of automated monitors and the air quality monitoring process by the Chinese government (GB3095-2012),18 ensuring that the monitoring reflects general urban background levels of pollutants. We also collected monitoring data on sulphur dioxide (SO2), nitrogen dioxide (NO2), carbon monoxide (CO), and ozone (O3) from the same platform. These monitoring measurements have been widely used to estimate population air pollution exposures in China.19 20 In each city, the daily concentrations of PM2.5, SO2, NO2, and CO, and the maximum mean concentrations of ozone each day over an 8 hour period were averaged across monitoring stations.19 20 During the study period, 0.66%, 0.15%, 0.15%, 0.15%, and 0.60% of data were missing for PM2.5, SO2, NO2, CO, and O3, respectively. Days with missing data were excluded from this analysis.
Meteorological data (daily mean air temperature and relative humidity) in each city were obtained from the China Meteorological Data Sharing Service System. Each city had one to three monitors. As used in other studies,4 20 21 we calculated the daily mean temperature and relative humidity by averaging all valid monitoring measurements within each city. During the study period, the missing rate of temperature and relative humidity was only 0.25%.
Statistical analysis
We applied a two stage analytical approach to estimate the regional and national average associations between PM2.5 levels and daily hospital admissions for cardiovascular disease.20 22 In the first stage, for each city, we fitted a quasi-Poisson regression in a generalised additive model allowing for overdispersed admission counts to obtain city specific estimates. Estimation in generalised additive model is based on a combination of the local scoring algorithm and the backfitting algorithm.23 As in other environmental health studies,19 20 24 the outcome in the first stage analysis is the city specific daily count of the health event. In the model, several confounding covariates were incorporated, including daily mean temperature, relative humidity, calendar time, public holiday, and day of the week, which were predefined according to previous published studies.17 19 20 A natural cubic spline function of calendar time with seven degrees of freedom per year was incorporated into the model to adjust for seasonality and time trends.19 Confounding effects of time invariant or slowly varying risk factors at the individual level (eg, sex, age, and comorbidities) could be naturally controlled in the model.17 19 20 25 We also controlled for the effects of meteorological factors by using natural cubic splines, with six degrees of freedom for the average temperature on the same and previous two days, and three degrees of freedom for the average relative humidity on the same and previous two days.19 Two indicator variables for public holiday and day of the week were also included in the model, as shown below:
| Log[E(Yt)]=α+β (PM2.5)+day of the week+public holiday+ns(calendar time, df=7/year)+ns(relative humidity, df=3)+ns(temperature, df=6) |
(Where E(Yt)=expected count of admissions on day t; β=log relative risk of hospital admission associated with a unit increase of PM2.5; ns()=natural cubic spline function; and df=degrees of freedom.)
Different lag patterns in the acute effects of PM2.5 were also explored. A lag of 0 days (that is, lag 0) corresponded to the association between PM2.5 and the risk of hospital admission on the same day. Lag 1 or lag 2 referred to the risk of disease associated with PM2.5 one or two days before the event, respectively. In addition, lag 01 or lag 02 (which noted the risk of disease associated with average PM2.5 concentrations on the same and previous one or two days of admission, respectively) were also conducted. In the second stage analysis, we used random effects meta-analyses to pool the city specific estimates at national and regional levels. We also plotted the national average exposure-response curve for the association between PM2.5 levels and hospital admission for cardiovascular disease following an approach used in previous studies.19 26 Briefly, we applied a cubic spline with two knots at the 25th and 75th percentiles of PM2.5 levels across all cities. We then fitted random effect models to combine the city specific components of spline estimates.
Stratified analyses by sex, age (18-64, 65-74, and ≥75), and geographical region were conducted. Considering the substantial differences in PM2.5 pollution, geographical, and climatic characteristics, we divided cities into southern and northern regions, separated by the Huai River-Qinling Mountains line.19 20 We implemented a two sample test for assessing statistically significant differences in the estimates (E) between subgroups (eg, female v male sex), based on the point estimate and standard error (SE): Z=(Emale-Efemale)/√(SE(Emale)2+SE(Efemale)2).27 We also fitted a multivariable meta-regression model to assess whether city characteristics would modify the risk of hospital admission for cardiovascular disease in relation to short term elevations in PM2.5 concentrations.19 20 These city characteristics included city specific annual average and standard deviation values of daily PM2.5 concentrations during the study period, city specific annual average number of days with daily PM2.5 concentration exceeding different thresholds (35 and 75 μg/m3), annual average of daily mean temperature and relative humidity, gross domestic product per capita, average age of people enrolled in UEBMI, smoking rate, and the coverage rate of the population by UEBMI. Data on smoking rates were extracted from the National Health Services Survey by province.28
Furthermore, to evaluate the association between varying daily levels of PM2.5 and hospital admission for cardiovascular disease, daily data were categorised into five groups of daily PM2.5 concentrations (≤15, 15-25, 25-35, 35-75, and ≥75 μg/m3).8 29 The World Health Organization’s air quality guideline for maximum daily PM2.5 concentrations is 25 μg/m3, while both the United States and Chinese grade 1 standard for daily PM2.5 concentrations is 35 μg/m3, and the Chinese grade 2 standard is 75 μg/m3.
To gauge the potential public health impact of our effect estimates, we calculated the projected annual reduction in hospital admissions for cardiovascular disease attributable to PM2.5 reduction in China. This strategy has been used in previous nationwide studies.17 30 The annual reduction in hospital admissions was calculated as (exp(β×Δx)−1)×N, where β is the national average estimate for an increase in PM2.5 by 1 μg/m3, N is the number of admissions for cardiovascular disease in 2017 (obtained from the China Health and Family Planning Yearbook), and Δx were the differences between mean of annual average PM2.5 concentration across the cities (50 μg/m3) and PM2.5 regulatory limits (35, 15, and 10 μg/m3). For annual mean PM2.5 concentrations, the Chinese grade 2 standard is 35 μg/m3, Chinese grade 1 standard is 15 μg/m3, and WHO air quality guideline is 10 μg/m3.
Sensitivity analysis
A series of sensitivity analyses assessed the stability of the estimates:
Two-pollutant models were fitted with adjustment for SO2, NO2, CO, and O3.
Owing to the difference in study periods between cities, we evaluated the associations in cities with only three year data (78 cities) or four year data (106 cities).
We checked whether the estimates were robust to the changes in the degrees of freedom for calendar time (6-10 per year), temperature (2-6), and humidity (2-6), respectively.
Cities with fewer than three monitoring stations were excluded.
To explore the potential influence of measurement errors, different exposure metrics were used to assess the associations (that is, daily maximum, daily minimum, city wide median, city wide 75% percentile or 25% percentile).
Penalised spline functions were applied for time and meteorological variables.
Poisson modelling was used instead of quasi-Poisson regression in the first stage to obtain city specific estimates.
We conducted statistical analyses in R version 3.2.2 (R Foundation for Statistical Computing, Vienna, Austria), and Stata version 13 (StataCorp, College Station, TX). The results are reported as percentage changes and 95% confidence intervals in daily hospital admissions associated with an incremental increase in PM2.5 concentrations of 10 μg/m3. Percentage change equals relative risk minus 1 and then multiplied by 100.
Patient and public involvement
As the outcome in the analysis was the city specific daily count of the health event, no members of the public were directly involved in the study design, outcome measures, analysis of data, or interpretation of study results. The results of this study will be reported via the media centre of the authors’ institutions (www.bjmu.edu.cn) after the publication where the official news will be written under authors’ supervision to avoid over-interpretation. Other dissemination includes scientific meetings and mass media (WeChat). No plans exist to involve members of the public in dissemination.
Results
Table 1 presents the demographic characteristics of people enrolled in the UEBMI programme in the 184 Chinese cities in 2017. Overall, the study population included 54.4% male individuals and 4.9% individuals aged 75 or more. A total of 8 834 533 hospital admissions for cardiovascular disease were identified in 184 cities (94 southern cities and 90 northern cities). The summary statistics on daily hospital admission of all cardiovascular diseases as well as cause specific major cardiovascular diseases, PM2.5 levels, and weather conditions are shown in table 2. Over the study period, a mean of 47 hospital admissions per day (standard deviation 74) occurred for cardiovascular disease, 26 (53) for ischaemic heart disease, one (five) for heart failure, two (four) for heart rhythm disturbances, 14 (28) for ischaemic stroke, and two (four) for haemorrhagic stroke. For annual average PM2.5 concentrations, the mean value across all cities was 50 μg/m3 and the standard deviation value across all cities was 34 μg/m3. City specific characteristics (that is, annual average or standard deviation values of PM2.5 concentrations, annual average temperature and relative humidity, gross domestic product per capita, average age of people enrolled in UEBMI, smoking rate, and the rate of missing PM2.5 data) in 184 Chinese cities are presented in supplementary table S2. At the national level, daily PM2.5 concentrations were positively correlated with levels of SO2, NO2, and CO (r=0.56-0.64), but were not correlated with O3 (r=−0.02; supplementary table S3).
Table 1.
Demographic characteristics of individuals enrolled in the UEBMI programme in 184 Chinese cities in 2017, by geographical region
| Variable | No (%) of enrolled individuals | ||
|---|---|---|---|
| Nationwide | North* | South* | |
| Total | 197 230 556 | 69 967 333 | 127 263 223 |
| Sex | |||
| Male | 107 209 773 (54.4) | 38 609 360 (55.2) | 68 600 413 (53.9) |
| Female | 72 507 689 (36.8) | 31 357 973 (44.8) | 58 662 810 (46.1) |
| Age | |||
| 18-64 | 172 616 807 (87.5) | 59 580 421 (85.2) | 113 036 386 (88.8) |
| 65-74 | 14 553 516 (7.4) | 6 177 314 (8.8) | 8 376 202 (6.6) |
| ≥75 | 9 645 159 (4.9) | 4 196 266 (6.0) | 5 448 893 (4.3) |
UEBMI=urban employee basic medical insurance.
Southern and northern regions separated by the Huai River-Qinling Mountains line.
Table 2.
Summary statistics on daily hospital admissions for all cardiovascular diseases, cause specific major cardiovascular diseases, PM2.5 levels, and weather conditions in 184 Chinese cities, 2014-17, by geographical region
| Variable | Nationwide | North* | South* |
|---|---|---|---|
| No of cities | 184 | 90 | 94 |
| Annual average PM2.5 (μg/m3, mean (SD)) | 50 (19) | 55 (23) | 46 (13) |
| Annual standard deviation of PM2.5 (μg/m3, mean (SD)) | 34 (15) | 39 (17) | 29 (9) |
| Annual average temperature (°C, mean (SD)) | 14 (5) | 10 (4) | 18 (3) |
| Annual average relative humidity (%, mean (SD)) | 68 (12) | 57 (8) | 77 (5) |
| Daily hospital admissions (mean (SD)) | |||
| All cardiovascular diseases | 47 (74) | 51 (87) | 33 (56) |
| Ischaemic heart disease | 26 (53) | 33 (66) | 20 (35) |
| Heart failure | 1 (5) | 1 (7) | 1 (1) |
| Heart rhythm disturbances | 2 (4) | 2 (6) | 1 (1) |
| Ischaemic stroke | 14 (28) | 17 (29) | 12 (26) |
| Haemorrhagic stroke | 2 (4) | 2 (3) | 2 (5) |
PM2.5=particulate matter with aerodynamic diameter ≤2.5 μm; SD=standard deviation.
Southern and northern regions separated by the Huai River-Qinling Mountains line.
Figure 1 shows the national average estimates of the associations between PM2.5 and hospital admissions for all cardiovascular diseases as well as cause specific major cardiovascular diseases on different lag days. We observed similar lag patterns for the effects of all health outcomes except for haemorrhagic stroke. Briefly, for the single-day lag patterns, lag day 0 generated the highest estimates for all outcomes. For a 10 μg/m3 increase in PM2.5 concentrations, we observed significant increments of the hospital admission on the same day as 0.26% (95% confidence interval 0.17% to 0.35%) for cardiovascular disease, 0.31% (0.22% to 0.40%) for ischaemic heart disease, 0.27% (0.04% to 0.51%) for heart failure, 0.29% (0.12% to 0.46%) for heart rhythm disturbances, and 0.29% (0.18% to 0.40%) for ischaemic stroke, but not for haemorrhagic stroke (−0.02% (−0.23% to 0.19%); fig 1 and supplementary table S4). Percentage change of the hospital admission per 10 μg/m3 increase in lag 02 PM2.5 concentrations were broadly similar to the effect size estimated in the lag 0 model for all outcomes. The associations between PM2.5 and same day hospital admission for cardiovascular disease (lag day 0) were weakened but remained significant after we adjusted for SO2 (0.13% change; 0.03% to 0.22%), NO2 (0.11% change; 0.04% to 0.18%), CO (0.19% change; 0.10% to 0.29%), and O3 (0.24% change; 0.15% to 0.33%; table 3). To further reveal the confounding effects by other air pollutants, we conducted a subgroup analysis based on the annual average levels of copollutants divided into thirds. Consistent associations were observed across subgroups (supplementary table S5). We have also examined the associations between gaseous pollutants and admissions for cardiovascular disease using single-pollutant models. The results from single-pollutant models on each of the copollutants are presented in supplementary table S6. All the gaseous pollutants were associated with admissions for cardiovascular disease.
Fig 1.
National average percentage change (%) in daily hospital admissions for cause specific cardiovascular diseases per 10 μg/m3 increase in PM2.5 concentrations on different lag days in 184 Chinese cities, 2014-17. PM2.5=particulate matter with aerodynamic diameter ≤2.5 μm; lag 01=average PM2.5 concentrations over two days (that is, the same day and previous day of admission); lag 02=average PM2.5 concentrations over three days (that is, the same day and previous two days of admission)
Table 3.
Percentage change of daily hospital admissions for cardiovascular disease associated with 10 μg/m3 increase in concurrent day (lag 0) concentrations of PM2.5, in two-pollutant models in 184 Chinese cities, 2014-17
| Variables | Percentage change (%; 95% CI)* | P value |
|---|---|---|
| Adjust SO2 | 0.13 (0.03 to 0.22) | 0.009 |
| Adjust NO2 | 0.11 (0.04 to 0.18) | 0.004 |
| Adjust CO | 0.19 (0.10 to 0.29) | <0.001 |
| Adjust O3 | 0.24 (0.15 to 0.33) | <0.001 |
PM2.5=particulate matter with aerodynamic diameter ≤2.5 μm.
Adjusted for temperature, relative humidity, calendar time, day of week, and public holiday.
Figure 2 shows the estimated exposure-response curve for the association between PM2.5 levels and hospital admission for all cardiovascular diseases. The curve increased steeply when PM2.5 levels were below 50 μg/m3, increased moderately at 50-250 μg/m3, and plateaued at concentrations above 250 μg/m3. The exposure-response curves for the associations between PM2.5 and admission for cause specific cardiovascular outcomes are shown in supplementary figure S2. To accommodate the non-linearity of the association, table 4 shows the percentage changes in daily admission for cardiovascular disease according to categories of daily PM2.5 levels. Compared with days when PM2.5 concentrations were 15 μg/m3 or less, higher PM2.5 concentrations were associated with a significant increase in cardiovascular admissions, ranging from 1.1% (0% to 2.2%) to 3.8% (2.1% to 5.5%). Corresponding results for cause specific cardiovascular diseases are presented in supplementary table S7.
Fig 2.

National average exposure-response association curve between concurrent day PM2.5 concentrations (lag 0) and percentage change (%) in daily hospital admissions for cardiovascular disease in 184 Chinese cities, 2014-17. PM2.5=particulate matter with aerodynamic diameter ≤2.5 μm; solid line=percentage change; dashed lines=95% confidence intervals
Table 4.
Percentage change in daily hospital admissions for cardiovascular disease for categories of concurrent day PM2.5 concentrations (lag 0) in 184 Chinese cities, 2014-17
| PM2.5 (μg/m3) | Percentage change (%; 95% CI)* | P value |
|---|---|---|
| ≤15 | Reference | |
| 15-25 | 1.1 (0 to 2.2) | 0.04 |
| 25-35 | 1.9 (0.6 to 3.2) | 0.004 |
| 35-75 | 2.6 (1.3 to 3.9) | <0.001 |
| ≥75 | 3.8 (2.1 to 5.5) | <0.001 |
PM2.5=particulate matter with aerodynamic diameter ≤2.5 μm.
Adjusted for temperature, relative humidity, calendar time, day of week, and public holiday.
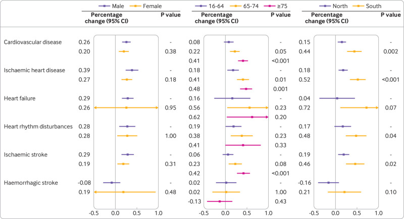
Figure 3 shows the associations between PM2.5 levels (lag day 0) and hospital admission for all cardiovascular diseases and cause specific cardiovascular diseases stratified by sex, age, and region. The association by age group varied for different outcomes. The estimates were consistently higher in individuals aged 75 or older than in those aged 18-64 for all cardiovascular diseases, ischaemic heart disease, and ischaemic stroke, except for heart failure, heart rhythm disturbances, and haemorrhagic stroke. The differences in the estimates between men and women were not significant (all P>0.05). The effect estimates of hospital admission for all causes analysed were generally higher in the southern region than in the northern region, although the differences were not always significant (P>0.05 for heart failure and haemorrhagic stroke). We further divided the 184 cities into six regions based on geographical location (east, middle south, southwest, northwest, north, and northeast). The estimates were greater in the middle south, east, and north (supplementary table S8).
Fig 3.
National average percentage change in daily hospital admissions for cause specific cardiovascular diseases per 10 μg/m3 increase in concurrent day concentrations of PM2.5 (lag 0) stratified by sex, age, and geographical region. Numbers of total study population and each health outcome are presented in tables 1 and 2. PM2.5=particulate matter with aerodynamic diameter ≤2.5 μm
Supplementary table S9 presents the projected annual reduction in hospital admissions for cardiovascular disease attributable to PM2.5 reduction in China. Assuming causality, which should be done with caution, achieving the Chinese grade 2 (35 μg/m3), Chinese grade 1 (15 μg/m3), and WHO (10 μg/m3) limits would reduce the annual number of admissions for cardiovascular disease in China by an estimated 36 448 (95% confidence interval 24 441 to 48 471), 85 270 (57 129 to 113 494), and 97 516 (65 320 to 129 820), respectively. This reduction in admissions would correspond to saving medical expenses of ¥418.42m (£46.06m, €54.03m, $59.47m; 280.58 to 556.45), 978.90m (655.84 to 1302.91), and 1119.48m (749.87 to 1490.33) annually.
Table 5 presents the meta-regression results of effect modification on the association between concurrent day PM2.5 levels (lag 0) and hospital admission for cardiovascular disease by city level characteristics. The associations were stronger in cities with higher annual average temperatures (P=0.006) and relative humidity (P=0.006). The average age of people enrolled in UEBMI (P=0.44), smoking rate (P=0.27), gross domestic product per capita (P=0.87), annual average number of days with PM2.5 more than 35 μg/m3 (P=0.71) or more than 75 μg/m3 (P=0.56), and coverage rate by UEBMI (P=0.10) in cities did not modify the acute effect of PM2.5 on hospital admission for cardiovascular disease. Regarding the cities’ background levels of PM2.5, we observed that although both point estimations were less than 0 (mean −0.057% and standard deviation −0.151%), none was statistically significant (P=0.06 and 0.10, respectively; table 5). Consequently, despite a possible tendency towards attenuation, we did not find strong evidence that long term background levels of PM2.5 (mean or standard deviation) in cities modified the acute effects of short term exposure to PM2.5 on cardiovascular disease.
Table 5.
Multivariable meta-regression results of the modification effects of city level characteristics on the associations between concurrent day PM2.5 levels (lag 0) and daily hospital admissions for cardiovascular disease in 184 cities in China, 2014-17
| Variables | Percentage change (%; 95% CI) | P value |
|---|---|---|
| Annual average PM2.5 levels (10 μg/m3) | −0.057 (−0.116 to 0.003) | 0.06 |
| Annual standard deviation of PM2.5 concentrations (10 μg/m3)* | −0.151 (−0.330 to 0.027) | 0.10 |
| Annual average temperature (°C) | 0.038 (0.011 to 0.065) | 0.006 |
| Annual average relative humidity (%)† | 0.013 (0.004 to 0.022) | 0.006 |
| GDP per capita (¥10 000) | 0.005 (−0.052 to 0.062) | 0.87 |
| Average age (year) | 0.012 (−0.019 to 0.044) | 0.44 |
| Smoking rate (%) | −0.023 (−0.066 to 0.019) | 0.27 |
| Coverage rate by UEBMI (%) | −0.007 (−0.015 to 0.001) | 0.10 |
| Annual average number of days with PM2.5 >35 μg/m3‡ | ― | 0.71 |
| Annual average number of days with PM2.5 >75 μg/m3‡ | ― | 0.56 |
10 000 (£1169; $1456; €1377). PM2.5=particulate matter with aerodynamic diameter ≤2.5 μm; GDP=gross domestic product; UEBMI=urban employee basic medical insurance. The primary meta-regression model was multivariable including annual average PM2.5 levels, temperature, GDP per capita, average age of people enrolled in UEBMI, smoking rate, and population coverage rate by UEBMI.
Percentage change of the annual standard deviation of PM2.5 concentrations was adjusted for all the variables in the primary meta-regression model.
Percentage change of the relative humidity was adjusted for all the variables in the primary meta-regression model except for temperature, owing to the collinearity between the two variables.
Annual average number of days with PM2.5 greater than 35 μg/m3 and 75 μg/m3 was adjusted separately for all the variables in the primary meta-regression model, owing to the collinearity between the two variables. Percentage changes and their 95% confidence intervals for the two variables were not presented because the coefficients were too small.
Supplementary Table S10 presents the results of the sensitivity analyses. The association between PM2.5 levels and hospital admissions for cardiovascular disease did not change with different degrees of freedom for time (6-10 per year), temperature (2-6), and humidity (2-6). The associations were consistently observed for both cities with only three year data and cities with four year data. The effect estimate remained stable when we used penalised spline functions in the model (0.26% change, 95% confidence interval 0.18% to 0.35%) or used the Poisson model in the first stage instead (0.25% change, 0.17% to 0.34%). The estimate was relatively unchanged after excluding cities with up to two monitors (0.27% change, 0.18% to 0.36%). We saw significant associations between hospital admissions for cardiovascular disease and all the different metrics used for PM2.5 exposure (that is, daily maximum, daily minimum, city wide median, city wide 75% percentile, or city wide 25% percentile).
Discussion
Principal findings and interpretations
To our knowledge, this study is the first nationwide investigation in China of the association between PM2.5 levels and hospital admissions for cardiovascular morbidity. Overall, we found that short term exposure to PM2.5 was associated with increased hospital admissions for cardiovascular disease, independent of other air pollutants. The associations varied in cities with different annual average temperatures or relative humidity. Moreover, we observed similar effects for all cause specific morbidity related to cardiovascular diseases but not for haemorrhagic stroke.
The association between PM2.5 and cardiovascular morbidity has been documented in developed countries. For example, a study of 204 urban counties in the US reported a significant correlation between PM2.5 and hospital admissions for cerebrovascular disease, ischaemic heart disease, heart failure, and heart rhythm disturbances in Medicare enrollees (aged >65).17 Similarly, another study of Medicare data with a longer study period reported a 0.80% (95% confidence interval 0.59% to 1.01%) increase in hospital admissions for cardiovascular disease associated with a 10 μg/m3 increase in concurrent day PM2.5 concentrations.31 An analysis of data from five central and eastern European cities indicated that a 10 μg/m3 increase in PM2.5 concentrations was associated with a 1.8% (0.1% to 3.4%) increase in cardiovascular admissions.22 In a meta-analysis of time series studies primarily conducted in western developed countries, a 10 μg/m3 increase in PM2.5 concentrations corresponded to a 0.90% (0.26% to 1.53%) increase in cardiovascular admissions.32
We estimated a 0.26% increase in hospital admissions for cardiovascular disease associated with a 10 μg/m3 increment of PM2.5 concentrations. The magnitude of our effect estimate was generally lower than previous estimates from multicity or meta-analyses done in developed countries.17 22 31 32 This difference could have several possible explanations. Firstly, the levels of PM2.5 were much higher in China (50 μg/m3 in this study) than in Europe and the US (about 15 μg/m3). In this study, we noted a plateau in the exposure-response curve at high PM2.5 levels, in line with a recent analysis of global PM2.5 mortality.4 This saturation effect might be due to people vulnerable to PM2.5 who might have developed symptoms and sought treatment before PM2.5 concentrations reached a fairly high level.19 Secondly, the lower estimate in our study might be partly attributable to the difference in the chemical profile of pollution. Previous studies have shown that chemical components of PM2.5 exerted varied impacts on hospital admissions.33 34 PM2.5 in China’s air has a larger proportion of crustal constituents,35 resulting in lower toxicity.36 Finally, the variations in socioeconomic status, meteorological factors, geographical conditions, and population susceptibility might also partly explain the lower estimate in our study.
In China, epidemiological studies have linked PM2.5 exposure to increased risk of cardiovascular disease,12 13 but most of these studies were based on mortality data. A meta-analysis of health effects of particulate matter pollution in China showed the insufficiency of evidence of hospital admission, indicating that more studies should be conducted on the association between particulate matter and morbidity risk.13 Hospital admission, an important morbidity measure, not only confers a greater statistical power to characterise the association with air pollution but also serves as a proxy for measuring the impact of air pollution in a broader segment of the population. It represents an excellent means to capture cardiovascular events because people generally go to hospital promptly when they develop cardiovascular symptoms. By contrast, death could occur long after symptom onset. Therefore, hospital admission data are expected to be more sensitive to evaluate the temporal sequence between exposure to air pollution and clinical presentation of disease.7 8
We estimated a 0.26% increase in hospital admissions for cardiovascular disease per 10 μg/m3 increment of PM2.5. China has a large population of about 1.4 billion. The air pollution in China is serious and the overwhelming majority of the population is exposed to PM2.5. The annual average PM2.5 concentration across the cities during the study period was 50 µg/m3. Achieving the WHO PM2.5 guideline would reduce nearly 100 000 hospital admissions for cardiovascular disease and save the medical cost of over ¥1bn annually, indicating that air quality improvements in China could yield remarkable public health benefits (supplementary table S9).
We found a slightly non-linear curve for the association between PM2.5 levels and hospital admission for cardiovascular disease, which was rarely reported in previous studies. The curve increased sharply at low PM2.5 concentrations without a discernible threshold below which no significant associations were observed. This finding is complemented by the significant associations observed at PM2.5 levels below the current regulatory limits (eg, the WHO air quality guideline for daily PM2.5 concentrations of 25 μg/m3). Our findings are supported by those of previous studies also reporting the health effects of PM2.5 at levels below current regulatory limits of various countries and WHO.24 37 38 However, we saw an apparent plateauing trend at high concentrations.39 The exposure-response curve was steeper at lower PM2.5 concentrations, suggesting that a unit reduction of PM2.5 at relatively lower levels might generate more health benefits. Our findings can provide evidence based information for further control of air pollution in China.
We observed immediate (concurrent) associations between short term PM2.5 exposure and almost all cardiovascular outcomes (supplementary table S4) except for the haemorrhagic stroke, which were in line with previous literatures.17 19 24 The highest estimates for single-day lags were observed for the concurrent day, indicating that an even shorter duration of PM2.5 exposure (even less than one day) could increase the risk of hospital admissions for major cardiovascular diseases. Several previous studies have even reported associations between exposure to air pollution for several hours and hospital admissions for cardiovascular disease.29 40 41 Although haemorrhagic and ischaemic stroke share similar risk factors and have a similar clinical presentation, they are different clinical entities.42 Research has shown that exposure to ambient pollution of particular matter could adversely affect vascular endothelial function, the activity of the sympathetic nervous system, and systemic inflammation, leading to vasoconstriction, increased plasma viscosity, and a risk of blood clotting and thrombosis.43 44 These pathophysiological changes are more closely related to the development and progression of ischaemic stroke than haemorrhagic stroke. Most studies from developed countries have examined the associations between air pollution and ischaemic and haemorrhagic stroke separately.29 45 46 47 Consistent with previous publications, we observed that PM2.5 was associated with ischaemic stroke but not with intracranial haemorrhage.48 49 50
We saw significant heterogeneity on the associations between PM2.5 and cardiovascular disease across different geographical regions, which was consistent with a multicity study on PM2.5 mortality.19 The underlying reasons for the spatial heterogeneity were difficult to determine but were still somewhat plausible in terms of the toxicity or hazards of various particle constituents and sources, long term PM2.5 levels, and weather conditions. Investigations of the effect modification by city characteristics could provide further insights into the association between air pollution and cardiovascular disease. In this study, the associations were stronger in cities with a higher annual average temperature and relative humidity. Similarly, a recent study in China reported a greater acute effect of PM2.5 concentrations on mortality risk in cities with a higher annual average temperature.19 Epidemiological studies have indicated associations between ambient temperature and mortality or morbidity from cardiovascular disease.51 52 PM2.5 and high temperatures could synergistically affect cardiovascular disease. Ambient temperature also has a role in the emission, transportation, dilution, chemical transformation, and deposition of air pollutants,53 and could affect exposure patterns as well. In addition, individuals in warmer areas generally spend more time outdoors, and consequently, studies in these areas have smaller errors in exposure measurement.
Strengths and limitations
This study had a very large sample, and we analysed the national data under a uniform framework, providing a unique opportunity to assess the association with different subtypes of cardiovascular disease and minimising the impact of selection and publication bias. Moreover, the large range of air pollution levels in China allowed us to investigate the acute effect of PM2.5 with cardiovascular disease beyond the levels of pollution experienced by developed countries. From the perspective of wide coverage of pollution level, our study can therefore provide more representative estimates of the relations between short term exposure to PM2.5 and cause specific cardiovascular disease.
Our study had several limitations. Firstly, as in other time series studies, exposure measurement error was possible because we used averaged values across the monitoring stations as a proxy for individual exposure. Data on residents’ address were considered as personal private information and not available in our analysis. Ground level monitoring station in a large geographical area might not reflect the individual level exposure of air pollutants. However, such non-differential error generally biases the effect estimates downward.54 Moreover, we conducted the sensitivity analysis excluding cities with up to two monitoring stations. To further explore the effect of measurement error, we used city wide lowest, city wide highest, 25th percentile, median, and 75th percentile values of PM2.5 levels, as the exposure metrics. Consistent associations between PM2.5 and hospital admissions for cardiovascular disease were observed. Secondly, we noted that only urban employed and retired individuals were included in this analysis, the associations in urban residents without any formal employment or rural residents were unclear. Because of the differences in sociodemographic characteristics and air pollution levels between rural and urban areas, the generalisability of our findings should be interpreted with caution.
Thirdly, as in other environmental health studies using large administrative health databases,19 20 24 data on several patient level variables were not available in this study, such as comorbidities and cigarette smoking, which limited the ability for us to adjust for confounding risk factors at the individual level and explore potential susceptible population. However, the time series analysis had a self control design, to control the confounding by slowly varying risk factors at the individual level. This design compared participants with themselves at different levels of air pollutants. Fourthly, misclassification bias caused by diagnostic error should be considered when interpreting the findings. However, this error is unlikely related to air pollutant levels and typically reduce the precision of the estimates and bias the risk estimates downward.55 Fifthly, level of circulating viral infections such as influenza and respiratory syncytial virus was not considered in the model, due to the lack of relevant data. Finally, no attempts have been made to analyse the components of the particulates, which might have had a different impact on regional biological effects, because nationwide data on components of PM2.5 were not available in this study.
Conclusions
This national time series study in China found possible associations between transient elevation in PM2.5 concentrations and hospital admissions for cardiovascular diseases, even at levels below the current regulatory limits. A plateau was observed in the exposure-response association at PM2.5 concentrations above 250 μg/m3. Short term exposure to fine particulate matter was associated with increased hospital admissions for all major cardiovascular diseases except for haemorrhagic stroke.
What is already known on this topic
Epidemiological studies have reported a positive association between fine particulate air pollution and cardiovascular morbidity, although most of these studies were conducted in developed countries
The association between fine particulate air pollution and cardiovascular morbidity remains unclear in developing countries, where air pollution levels, compositions, and sources are substantially different
What this study adds
Short term exposure to fine particulate air pollution (particles of aerodynamic diameter ≤2.5 μm), even at levels below the current regulatory limits, could be associated with increased hospital admissions for cardiovascular disease, with a plateau observed in the exposure-response curve at fine particulate concentrations above 250 μg/m3
In China, short term exposure to fine particulate matter was associated with increased hospital admissions for all major cardiovascular diseases except for haemorrhagic stroke in 2014-17
These data could help inform policy makers regarding ambient air quality standards and management of public health disease
Web extra.
Extra material supplied by authors
Web appendix: Supplemental material
Contributors: YH (yhhu@bjmu.edu.cn) and PG (peigao@bjmu.edu.cn) contributed equally as correspondence authors. YH, YT, and PG contributed to the study concept. YH had full access to all the data in the study and takes responsibility for the integrity of the data. YT, HL, and YiW contributed to the statistical analysis and tables’ development of this article. YT, HL, YiW, YS, ML, YC, JS, YaW, XW, LC, CW, PG, and YH interpreted the findings and drafted the article. All the authors contributed to the critical revision of the article for important intellectual content. YH and PG are study guarantors. The corresponding authors attest that all listed authors meet authorship criteria and that no others meeting the criteria have been omitted.
Funding: This study was supported by the National Natural Science Foundation of China (grant 81872695, 91846112, and 81573226) and the National Thousand Talents Programme for Distinguished Young Scholars, China (QNQR201501). The funders were not involved in the research and preparation of the article, including study design; collection, analysis, and interpretation of data; writing of the article; or in the decision to submit it for publication.
Competing interests: All authors have completed the ICMJE uniform disclosure form at www.icmje.org/coi_disclosure.pdf and declare: supported from the National Natural Science Foundation of China and the National Thousand Talents Programme for Distinguished Young Scholars of China; no financial relationships with any organisations that might have an interest in the submitted work; no other relationships or activities that could appear to have influenced the submitted work.
Ethical approval: This study was exempted from institutional review board approval by the ethics committee of Peking University Health Science Centre, Beijing, China. The need for informed consent was also waived by the institutional review board. Data were analysed at aggregate level and no participants were contacted.
Data sharing: Air pollution data used in this study can be obtained from the China Environmental Monitoring Centre (http://106.37.208.233:20035). Meteorological data can be accessed from the China Meteorological Data Sharing Service System (http://data.cma.cn/). Summarised health data and data analysis commands can be accessed by contacting the National Insurance Claims for Epidemiological Research Group, School of Public Health, Peking University (0016156078@bjmu.edu.cn).
The lead authors (YH and PG) affirm that the manuscript is an honest, accurate, and transparent account of the study being reported; that no important aspects of the study have been omitted; and that any discrepancies from the study as planned (and, if relevant, registered) have been explained.
References
- 1. GBD 2016 Causes of Death Collaborators Global, regional, and national age-sex specific mortality for 264 causes of death, 1980-2016: a systematic analysis for the Global Burden of Disease Study 2016. Lancet 2017;390:1151-210. 10.1016/S0140-6736(17)32152-9 [DOI] [PMC free article] [PubMed] [Google Scholar]
- 2. GBD 2016 DALYs and HALE Collaborators Global, regional, and national disability-adjusted life-years (DALYs) for 333 diseases and injuries and healthy life expectancy (HALE) for 195 countries and territories, 1990-2016: a systematic analysis for the Global Burden of Disease Study 2016. Lancet 2017;390:1260-344. 10.1016/S0140-6736(17)32130-X [DOI] [PMC free article] [PubMed] [Google Scholar]
- 3. Brook RD, Rajagopalan S, Pope CA, 3rd, et al. American Heart Association Council on Epidemiology and Prevention, Council on the Kidney in Cardiovascular Disease, and Council on Nutrition, Physical Activity and Metabolism Particulate matter air pollution and cardiovascular disease: An update to the scientific statement from the American Heart Association. Circulation 2010;121:2331-78. 10.1161/CIR.0b013e3181dbece1 [DOI] [PubMed] [Google Scholar]
- 4. Liu C, Chen R, Sera F, et al. Ambient Particulate Air Pollution and Daily Mortality in 652 Cities. N Engl J Med 2019;381:705-15. 10.1056/NEJMoa1817364 [DOI] [PMC free article] [PubMed] [Google Scholar]
- 5. Pope CA, 3rd, Dockery DW. Health effects of fine particulate air pollution: lines that connect. J Air Waste Manag Assoc 2006;56:709-42. 10.1080/10473289.2006.10464485 [DOI] [PubMed] [Google Scholar]
- 6. Cohen AJ, Brauer M, Burnett R, et al. Estimates and 25-year trends of the global burden of disease attributable to ambient air pollution: an analysis of data from the Global Burden of Diseases Study 2015. Lancet 2017;389:1907-18. 10.1016/S0140-6736(17)30505-6 [DOI] [PMC free article] [PubMed] [Google Scholar]
- 7. Villeneuve PJ, Chen L, Stieb D, Rowe BH. Associations between outdoor air pollution and emergency department visits for stroke in Edmonton, Canada. Eur J Epidemiol 2006;21:689-700. 10.1007/s10654-006-9050-9 [DOI] [PubMed] [Google Scholar]
- 8. Liu H, Tian Y, Xiang X, et al. Ambient Particulate Matter Concentrations and Hospital Admissions in 26 of China’s Largest Cities: A Case-Crossover Study. Epidemiology 2018;29:649-57. 10.1097/EDE.0000000000000869 [DOI] [PubMed] [Google Scholar]
- 9. Brauer M, Freedman G, Frostad J, et al. Ambient Air Pollution Exposure Estimation for the Global Burden of Disease 2013. Environ Sci Technol 2016;50:79-88. 10.1021/acs.est.5b03709 [DOI] [PubMed] [Google Scholar]
- 10. Newell K, Kartsonaki C, Lam KBH, Kurmi OP. Cardiorespiratory health effects of particulate ambient air pollution exposure in low-income and middle-income countries: a systematic review and meta-analysis. Lancet Planet Health 2017;1:e368-80. 10.1016/S2542-5196(17)30166-3 [DOI] [PubMed] [Google Scholar]
- 11. Huang J, Pan X, Guo X, Li G. Health impact of China’s Air Pollution Prevention and Control Action Plan: an analysis of national air quality monitoring and mortality data. Lancet Planet Health 2018;2:e313-23. 10.1016/S2542-5196(18)30141-4 [DOI] [PubMed] [Google Scholar]
- 12. Shang Y, Sun Z, Cao J, et al. Systematic review of Chinese studies of short-term exposure to air pollution and daily mortality. Environ Int 2013;54:100-11. 10.1016/j.envint.2013.01.010 [DOI] [PubMed] [Google Scholar]
- 13. Lu F, Xu D, Cheng Y, et al. Systematic review and meta-analysis of the adverse health effects of ambient PM2.5 and PM10 pollution in the Chinese population. Environ Res 2015;136:196-204. 10.1016/j.envres.2014.06.029 [DOI] [PubMed] [Google Scholar]
- 14. Amsalu E, Wang T, Li H, et al. Acute effects of fine particulate matter (PM2.5) on hospital admissions for cardiovascular disease in Beijing, China: a time-series study. Environ Health 2019;18:70. 10.1186/s12940-019-0506-2 [DOI] [PMC free article] [PubMed] [Google Scholar]
- 15. Yip WC, Hsiao WC, Chen W, Hu S, Ma J, Maynard A. Early appraisal of China’s huge and complex health-care reforms. Lancet 2012;379:833-42. 10.1016/S0140-6736(11)61880-1 [DOI] [PubMed] [Google Scholar]
- 16. Tian Y, Liu H, Si Y, et al. Association between temperature variability and daily hospital admissions for cause-specific cardiovascular disease in urban China: A national time-series study. PLoS Med 2019;16:e1002738. 10.1371/journal.pmed.1002738 [DOI] [PMC free article] [PubMed] [Google Scholar]
- 17. Dominici F, Peng RD, Bell ML, et al. Fine particulate air pollution and hospital admission for cardiovascular and respiratory diseases. JAMA 2006;295:1127-34. 10.1001/jama.295.10.1127 [DOI] [PMC free article] [PubMed] [Google Scholar]
- 18. Zhao B, Su Y, He S, et al. Evolution and comparative assessment of ambient air quality standards in China. J Integr Environ Sci 2016;13:85-102 10.1080/1943815X.2016.1150301. [DOI] [Google Scholar]
- 19. Chen R, Yin P, Meng X, et al. Fine Particulate Air Pollution and Daily Mortality. A Nationwide Analysis in 272 Chinese Cities. Am J Respir Crit Care Med 2017;196:73-81. 10.1164/rccm.201609-1862OC [DOI] [PubMed] [Google Scholar]
- 20. Yin P, He G, Fan M, et al. Particulate air pollution and mortality in 38 of China’s largest cities: time series analysis. BMJ 2017;356:j667. 10.1136/bmj.j667 [DOI] [PMC free article] [PubMed] [Google Scholar]
- 21. Chen R, Yin P, Wang L, et al. Association between ambient temperature and mortality risk and burden: time series study in 272 main Chinese cities. BMJ 2018;363:k4306. 10.1136/bmj.k4306 [DOI] [PMC free article] [PubMed] [Google Scholar]
- 22. Lanzinger S, Schneider A, Breitner S, et al. UFIREG study group Ultrafine and Fine Particles and Hospital Admissions in Central Europe. Results from the UFIREG Study. Am J Respir Crit Care Med 2016;194:1233-41. 10.1164/rccm.201510-2042OC [DOI] [PubMed] [Google Scholar]
- 23. Dominici F, McDermott A, Zeger SL, Samet JM. On the use of generalized additive models in time-series studies of air pollution and health. Am J Epidemiol 2002;156:193-203. 10.1093/aje/kwf062 [DOI] [PubMed] [Google Scholar]
- 24. Di Q, Dai L, Wang Y, et al. Association of Short-term Exposure to Air Pollution With Mortality in Older Adults. JAMA 2017;318:2446-56. 10.1001/jama.2017.17923 [DOI] [PMC free article] [PubMed] [Google Scholar]
- 25. Bhaskaran K, Gasparrini A, Hajat S, Smeeth L, Armstrong B. Time series regression studies in environmental epidemiology. Int J Epidemiol 2013;42:1187-95. 10.1093/ije/dyt092 [DOI] [PMC free article] [PubMed] [Google Scholar]
- 26. Samoli E, Analitis A, Touloumi G, et al. Estimating the exposure-response relationships between particulate matter and mortality within the APHEA multicity project. Environ Health Perspect 2005;113:88-95. 10.1289/ehp.7387 [DOI] [PMC free article] [PubMed] [Google Scholar]
- 27. Altman DG, Bland JM. Interaction revisited: the difference between two estimates. BMJ 2003;326:219. 10.1136/bmj.326.7382.219 [DOI] [PMC free article] [PubMed] [Google Scholar]
- 28. Wang M, Luo X, Xu S, et al. Trends in smoking prevalence and implication for chronic diseases in China: serial national cross-sectional surveys from 2003 to 2013. Lancet Respir Med 2019;7:35-45. 10.1016/S2213-2600(18)30432-6 [DOI] [PubMed] [Google Scholar]
- 29. Wellenius GA, Burger MR, Coull BA, et al. Ambient air pollution and the risk of acute ischemic stroke. Arch Intern Med 2012;172:229-34. 10.1001/archinternmed.2011.732 [DOI] [PMC free article] [PubMed] [Google Scholar]
- 30. Peng RD, Chang HH, Bell ML, et al. Coarse particulate matter air pollution and hospital admissions for cardiovascular and respiratory diseases among Medicare patients. JAMA 2008;299:2172-9. 10.1001/jama.299.18.2172 [DOI] [PMC free article] [PubMed] [Google Scholar]
- 31. Bell ML, Ebisu K, Peng RD, et al. Seasonal and regional short-term effects of fine particles on hospital admissions in 202 US counties, 1999-2005. Am J Epidemiol 2008;168:1301-10. 10.1093/aje/kwn252 [DOI] [PMC free article] [PubMed] [Google Scholar]
- 32. Atkinson RW, Kang S, Anderson HR, Mills IC, Walton HA. Epidemiological time series studies of PM2.5 and daily mortality and hospital admissions: a systematic review and meta-analysis. Thorax 2014;69:660-5. 10.1136/thoraxjnl-2013-204492 [DOI] [PMC free article] [PubMed] [Google Scholar]
- 33. Peng RD, Bell ML, Geyh AS, et al. Emergency admissions for cardiovascular and respiratory diseases and the chemical composition of fine particle air pollution. Environ Health Perspect 2009;117:957-63. 10.1289/ehp.0800185 [DOI] [PMC free article] [PubMed] [Google Scholar]
- 34. Bell ML, Ebisu K, Peng RD, Samet JM, Dominici F. Hospital admissions and chemical composition of fine particle air pollution. Am J Respir Crit Care Med 2009;179:1115-20. 10.1164/rccm.200808-1240OC [DOI] [PMC free article] [PubMed] [Google Scholar]
- 35. Yang F, Tan J, Zhao Q, et al. Characteristics of PM 2.5 speciation in representative megacities and across China. Atmos Chem Phys 2011;11:5207-19 10.5194/acp-11-5207-2011. [DOI] [Google Scholar]
- 36. Thurston GD, Burnett RT, Turner MC, et al. Ischemic Heart Disease Mortality and Long-Term Exposure to Source-Related Components of U.S. Fine Particle Air Pollution. Environ Health Perspect 2016;124:785-94. 10.1289/ehp.1509777 [DOI] [PMC free article] [PubMed] [Google Scholar]
- 37. Shi L, Zanobetti A, Kloog I, et al. Low-Concentration PM2.5 and Mortality: Estimating Acute and Chronic Effects in a Population-Based Study. Environ Health Perspect 2016;124:46-52. 10.1289/ehp.1409111 [DOI] [PMC free article] [PubMed] [Google Scholar]
- 38. Liu H, Tian Y, Xiang X, et al. Ambient Particulate Matter Concentrations and Hospital Admissions in 26 of China’s Largest Cities: A Case-Crossover Study. Epidemiology 2018;29:649-57. 10.1097/EDE.0000000000000869 [DOI] [PubMed] [Google Scholar]
- 39. Costa AF, Hoek G, Brunekreef B, Ponce de Leon AC. Air Pollution and Deaths among Elderly Residents of São Paulo, Brazil: An Analysis of Mortality Displacement. Environ Health Perspect 2017;125:349-54. 10.1289/EHP98 [DOI] [PMC free article] [PubMed] [Google Scholar]
- 40. Bhaskaran K, Hajat S, Armstrong B, et al. The effects of hourly differences in air pollution on the risk of myocardial infarction: case crossover analysis of the MINAP database. BMJ 2011;343:d5531. 10.1136/bmj.d5531 [DOI] [PMC free article] [PubMed] [Google Scholar]
- 41. Burgan O, Smargiassi A, Perron S, Kosatsky T. Cardiovascular effects of sub-daily levels of ambient fine particles: a systematic review. Environ Health 2010;9:26. 10.1186/1476-069X-9-26 [DOI] [PMC free article] [PubMed] [Google Scholar]
- 42. O’Donnell MJ, Xavier D, Liu L, et al. INTERSTROKE investigators Risk factors for ischaemic and intracerebral haemorrhagic stroke in 22 countries (the INTERSTROKE study): a case-control study. Lancet 2010;376:112-23. 10.1016/S0140-6736(10)60834-3 [DOI] [PubMed] [Google Scholar]
- 43. Lucking AJ, Lundback M, Mills NL, et al. Diesel exhaust inhalation increases thrombus formation in man. Eur Heart J 2008;29:3043-51. 10.1093/eurheartj/ehn464 [DOI] [PubMed] [Google Scholar]
- 44. Lucking AJ, Lundbäck M, Barath SL, et al. Particle traps prevent adverse vascular and prothrombotic effects of diesel engine exhaust inhalation in men. Circulation 2011;123:1721-8. 10.1161/CIRCULATIONAHA.110.987263 [DOI] [PubMed] [Google Scholar]
- 45. Lisabeth LD, Escobar JD, Dvonch JT, et al. Ambient air pollution and risk for ischemic stroke and transient ischemic attack. Ann Neurol 2008;64:53-9. 10.1002/ana.21403 [DOI] [PMC free article] [PubMed] [Google Scholar]
- 46. Yitshak Sade M, Novack V, Ifergane G, Horev A, Kloog I. Air Pollution and Ischemic Stroke Among Young Adults. Stroke 2015;46:3348-53. 10.1161/STROKEAHA.115.010992 [DOI] [PubMed] [Google Scholar]
- 47. Maheswaran R, Pearson T, Beevers SD, Campbell MJ, Wolfe CD. Air Pollution and Subtypes, Severity and Vulnerability to Ischemic Stroke-A Population Based Case-Crossover Study. PLoS One 2016;11:e0158556. 10.1371/journal.pone.0158556 [DOI] [PMC free article] [PubMed] [Google Scholar]
- 48. Liu H, Tian Y, Xu Y, Zhang J. Ambient Particulate Matter Concentrations and Hospitalization for Stroke in 26 Chinese Cities: A Case-Crossover Study. Stroke 2017;48:2052-9. 10.1161/STROKEAHA.116.016482 [DOI] [PubMed] [Google Scholar]
- 49. Wang W, Liu C, Ying Z, et al. Particulate air pollution and ischemic stroke hospitalization: How the associations vary by constituents in Shanghai, China. Sci Total Environ 2019;695:133780. 10.1016/j.scitotenv.2019.133780 [DOI] [PubMed] [Google Scholar]
- 50. Shah AS, Lee KK, McAllister DA, et al. Short term exposure to air pollution and stroke: systematic review and meta-analysis. BMJ 2015;350:h1295. 10.1136/bmj.h1295 [DOI] [PMC free article] [PubMed] [Google Scholar]
- 51. Phung D, Thai PK, Guo Y, Morawska L, Rutherford S, Chu C. Ambient temperature and risk of cardiovascular hospitalization: An updated systematic review and meta-analysis. Sci Total Environ 2016;550:1084-102. 10.1016/j.scitotenv.2016.01.154 [DOI] [PubMed] [Google Scholar]
- 52. Moghadamnia MT, Ardalan A, Mesdaghinia A, Keshtkar A, Naddafi K, Yekaninejad MS. Ambient temperature and cardiovascular mortality: a systematic review and meta-analysis. PeerJ 2017;5:e3574. 10.7717/peerj.3574 [DOI] [PMC free article] [PubMed] [Google Scholar]
- 53. Macdonald RW, Harner T, Fyfe J. Recent climate change in the Arctic and its impact on contaminant pathways and interpretation of temporal trend data. Sci Total Environ 2005;342:5-86. 10.1016/j.scitotenv.2004.12.059 [DOI] [PubMed] [Google Scholar]
- 54. Goldman GT, Mulholland JA, Russell AG, et al. Impact of exposure measurement error in air pollution epidemiology: effect of error type in time-series studies. Environ Health 2011;10:61. 10.1186/1476-069X-10-61 [DOI] [PMC free article] [PubMed] [Google Scholar]
- 55. Wellenius GA, Schwartz J, Mittleman MA. Air pollution and hospital admissions for ischemic and hemorrhagic stroke among medicare beneficiaries. Stroke 2005;36:2549-53. 10.1161/01.STR.0000189687.78760.47 [DOI] [PubMed] [Google Scholar]
Associated Data
This section collects any data citations, data availability statements, or supplementary materials included in this article.
Supplementary Materials
Web appendix: Supplemental material


