Correction to: Neurol Ther (2019) 8:461–475 10.1007/s40120-019-0146-z
Figures 1a, 1b and 3 were published incorrectly in the original version. The corrected images are given as follows.
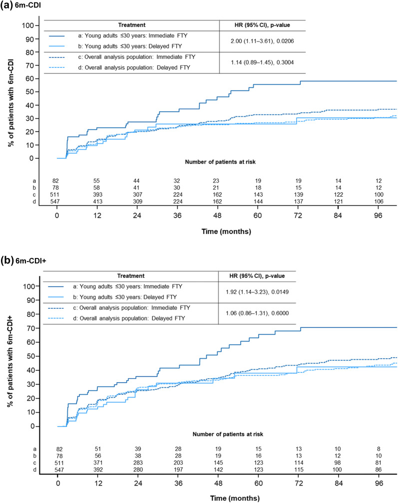
Fig. 1 Kaplan–Meier estimates of time to 6 m-CDI (a) and 6 m-CDI+ (b) in young adult patients and the overall analysis population from pooled FREEDOMS/FREEDOMS II studies. The Cox regression model was adjusted for sex, age, baseline EDSS and number of relapses in the 2 years prior to the study. Subjects with baseline EDSS score < 2.0 were excluded for 6m-CDI. Subjects with baseline EDSS score ≤ 2.0 were excluded for 6m-CDI+ 6m-CDI 6-month confirmed disability improvement, 6m-CDI+ 6-month confirmed disability improvement-plus, CI confidence interval, EDSS Expanded Disability Status Scale, FTY fingolimod, HR hazard ratio
Fig. 3 Time to EDSS ≥ 4.0 in young adult patients and the overall analysis population from pooled FREEDOMS/FREEDOMS II studies. The Cox regression model was adjusted for sex, age, baseline EDSS and number of relapses in the 2 years prior to the study. Subjects with baseline EDSS score ≥ 4.0 were excluded. CI confidence interval, EDSS Expanded Disability Status Scale, FTY fingolimod, HR hazard ratio


