Abstract
In this paper we consider two classes of posets labeled over an alphabet A. The class
is built from the letters and closed under the operations of series finite,
and
products, and finite parallel product. In the class
,
and
products are replaced by
and
powers. We prove that
and
are freely generated in their respective natural varieties of algebras
and
, and that the equational theory of
is decidable.
Keywords: Transfinite N-free posets, Series-parallel posets, Variety, Free algebra, Series product, Parallel product,
-power,
-power, Decidability
Introduction
In his generalization of the algebraic approach of recognizable languages from finite words to
-words, Wilke [22] introduced right binoids, that are two-sorted algebras equipped with a binary product and an
-power. The operations are linked together by equalities reflecting their properties. These equalities define a variety of algebras. This algebraic study of
-words have since been extended to more general structures, such as for example partial words (or equivalently, labeled posets) or transfinite strings (long words). In [8], shuffle binoids are right binoids equipped with a shuffle operation that enables to take into consideration N-free posets with finite antichains and
-chains instead of
-words. In [3, 5], the structure of right binoids in two parts is modified in order to enable products to extend over
, ie. small ordinals (
,
) and countable ordinals. The latter algebras are enriched in [10, 11] with operations such as for example reverse
-power in order to take into account countable linear orderings (scattered in some cases). Some of the previous algebraic enrichments were also applied to shuffle binoids [4, 12]. The motivations in [3–5, 10, 11, 17, 22] are mainly the study of the links between automata, rational expressions, algebraic recognition and monadic second-order logic. In [7–9, 12, 22] the authors focus essentially on varieties of algebras; for example, free algebras are characterized in the corresponding varieties, and decisions algorithms for equivalence of terms are provided.
Let us denote by
the reverse ordering of
. In this paper we focus on algebras equipped with a parallel product, series product, and either
and
products or
and
powers. For example, the class
of N-free posets in which antichains are finite and chains are scattered and countable orderings lies in this framework. In [2, 6] this class has been studied from the point of view of automata, rational expression and logic. We prove here that
is the free algebra in a variety
of algebras equipped with a parallel product, series product, and
and
products. By removing the parallel product, it follows that
, the class of scattered and countable words over A, is also a free algebra in the corresponding variety. We also consider the class
where the
and
products are replaced by
and
powers, and show that it is freely generated in the corresponding variety
. Relying of decision results of [2] we prove that the equality of terms of
is decidable.
Linear Orderings and Posets
We let
denote the cardinality of a set E, and [n] the set
, for any non-negative integer
.
Let J be a set equipped with a strict order <. The ordering J is linear if either
or
for any distinct
. We denote by
the backward linear ordering obtained from the set J with the reverse ordering. A linear ordering J is dense if for any
such that
, there exists an element i of J such that
. It is scattered if it contains no infinite dense sub-ordering. The ordering
of natural integers is scattered as well as the ordering
of all integers (negative, 0 and positive). Ordinals are also scattered orderings. We let
,
and
denote respectively the class of finite linear orderings, the class of countable ordinals and the class of countable scattered linear orderings. We also let 0 and 1 denote respectively the empty and the singleton linear ordering. We refer to [20] for more details on linear orderings and ordinals.
A poset
is a set P partially ordered by <. For short we often denote the poset
by P. The width of P is
where
denotes the least upper bound of the set. In this paper, we restrict to posets with finite antichains and countable and scattered chains.
Let
and
be two disjoint posets. The union (or parallel composition)
of
and
is the poset
. The sum (or sequential composition)
is the poset
. The sum of two posets can be generalized to a J-sum of any linearly ordered sequence
of pairwise disjoint posets by
. The sequence
is called a J-factorization, or (sequential) factorization for short, of the poset
. A poset P is sequential if it admits a J-factorization where J contains at least two elements
with
, or P is a singleton. It is parallel when
for some
. A poset is sequentially irreducible (resp. parallelly irreducible) when P is either a singleton or a parallel poset (resp. a singleton or a sequential poset). A sequential factorization
of
is irreducible when all the
are sequentially irreducible. It is non-trivial if all the
are non-empty. The notions of irreducible and non-trivial parallel factorization are defined similarly. A poset is scattered if all its chains are scattered. The class
of series-parallel scattered and countable posets is the smallest class of posets containing 0, the singleton, and closed under finite parallel composition and sum indexed by countable scattered linear orderings. By extension of a well-known result on finite posets [18, 21], it has a nice characterization in terms of graph properties:
coincides with the class of scattered countable N-free posets without infinite antichains [6]. Recall that
is N-free if there is no
such that
.
When
and
or
for some
then
is a factor of P; the factors of
and S are also factors of P.
F. Hausdorff proposed in [16] an inductive definition of scattered linear orderings. In fact, each countable and scattered linear ordering is obtained using sums indexed by finite linear orderings,
and
. This has been adapted in [6] to
.
We let
denote the closure of a set E of posets under finite disjoint union and finite disjoint sum.
Definition 1
The classes of countable and scattered posets (equivalent up to isomorphism)
and
are defined inductively as follows:
and the class
of countable and scattered posets by
.
The following theorem extends a result of Hausdorff on linear orderings [16].
Theorem 1
([6]).
.
For every
,
can be decomposed as the closure of
by finite disjoint union and finite disjoint sum:
Theorem 2
([6]). For all
,
, let
Then
.
Example 1
is the set of all finite N-free posets. Its subset
is the set of all finite linear orderings. The linear orderings
and
are contained in
. Each poset of
has some chain isomorphic to either
or
, but can not have a chain isomorphic to
and another isomorphic to
. The ordering
of all integers is in
. For all
,
.
Define a well-ordering on
by
if and only if
or
and
. As a consequence of Theorems 1 and 2, for any
there exists a unique pair
as small as possible such that
.
Definition 2
The rank
r(P) of
is the smallest pair
such that
.
Example 2
The linear ordering
has rank
. Each linear ordering I of
has rank
for some
. For all
,
.
Remark 1
Let
with
,
. Assume that
is a non-trivial J-factorization of P for some
. If
(resp.
), then, for all
,
. In addition, for all
such that
, for all
there exists
such that
(resp.
) and
![]() |
This implies that, for all
,
(resp.
) is of rank
.
Lemma 1
Let
be a sequential poset such that
,
. Let
and
be some non-trivial J- and
-factorizations of P where
. Then
.
Proof
Assume by contradiction that
. Assume wlog that
and
. Let
and
for some
. Then
. As a consequence of Remark 1,
. Observe that there exists
such that R is a sequential factor of
. Let
. As a consequence of Remark 1,
. Furthermore,
. Thus
too. We have
, and by Theorem 2,
, which is a contradiction.
In [6] an equivalence relation
over the elements of a poset of
is given, such that
is isomorphic to a countable and scattered linear ordering (Lemma 9), and such that each equivalence class is a sequentially irreducible factor of P (Lemma 10). This leads to the following proposition.
Proposition 1
([6]). Each poset of
admits a unique irreducible sequential factorization.
Definition 1 and Theorem 1 provide a well-founded definition of
which we consider from now as a set, although originally defined as a class.
Labeled Posets
An alphabet A is a non-empty set (not necessarily finite) whose elements are called letters or labels. In the literature a word over A is a totally ordered sequence of elements of A. The sequence may have properties depending on the context, for example it can be finite, an ordinal, or a countable scattered linear ordering. The notion of a finite word has early been extended to partial orderings (finite partial words or pomsets [14, 15, 23]). In this paper we consider a mixture between the notions of finite partial words and words indexed by scattered and countable linear orderings.
A poset P is labeled by A when it is equipped with a labeling total map
. Also, the finite labeled posets of width at most 1 correspond to the usual notion of words. We let
denote the empty labeled poset. For short, the singleton poset labeled by
is denoted by a, and we often make no distinction between a poset and a labeled poset, except for operations.
The sequential product (or concatenation, denoted by
or
for short) and the parallel product
of two labeled posets are respectively obtained by the sequential and parallel compositions of the corresponding (unlabeled) posets. By extension, the sequential product
of a linearly ordered sequence of labeled posets is the poset
in which the label of the elements is kept. In particular, the
-product (resp.
-product) of an
-sequence (resp.
-sequence) of labeled posets
(resp.
) is denoted by
(resp.
). The
-power (resp.
-power)
(resp.
) of the poset P is the
-product (resp.
-product) of an
-sequence (resp.
-sequence) of posets that are all isomorphic to P. As usual, in this paper we consider two labeled posets to be identical if they are isomorphic. By extension, the rank r(P) of a labeled poset P is the rank of its underlying unlabeled poset.
Let A and B be two alphabets and let P be a poset labeled by A. For all
, let
be some poset labeled by B, and let
. The poset labeled by B consisting of P in which each element labeled by the letter a is replaced by
, for all
, is denoted by
. If the underlying posets of P and of all the
are in
, then so is
.
Definition 3
Let A be an alphabet. We define:
, the smallest set of posets labeled by A containing
, a for all
, and closed under operations of sequential, parallel,
and
-products. According to Theorem 1, the underlying posets are precisely those of
;
, the smallest subset of
containing
, a for all
, and closed under operations of sequential product,
-power and
-power;
, the smallest subset of
containing
, a for all
, and closed under operations of sequential product,
-product and
-product;
, the smallest subset of
containing
, a for all
, and closed under operations of sequential and parallel product,
-power and
-power;
, the smallest subset of
containing
, a for all
, and closed under operations of sequential product, parallel product and
-product (note that there is no
-product here).
Note that
and
.
Varieties
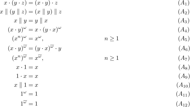
In this section we define the different varieties studied throughout this paper by listing the axioms they satisfy. The usual notions and results of universal algebra apply to our case, even if we use here for example operations of infinite arity. For more details about universal algebra, we refer the reader to [1]. In the following 1 is considered as a neutral element (the interpretation of a constant).
for all
-sequences
and all decompositions
for all
-sequences
and all decompositions
Definition 4
We define
, the collection of algebras
satisfying the axioms ()–(), ()–() and ()–();
, the collection of algebras
satisfying the axioms (), (), () and ()–();
, the collection of algebras
satisfying the axioms ()–(), ()–() and ()–();
, the collection of algebras
satisfying the axioms ()–();
, the collection of algebras
satisfying the axioms (), ()–() and (),().
In order to simplify the notation, an algebra whose set of elements is S is sometimes denoted by S when there is no ambiguity.
Freeness
Throughout this section, A denotes an alphabet. We start by proving the freeness of
.
Theorem 3
is freely generated by A in
.
Proof
For all
, let
denote the set of posets of
of rank
or less. Let
be any algebra of
and let
be any function. We show that h can be extended into a homomorphism of
-algebras
in a unique way. Define
as
where each
is defined by induction over
as follows. Let us denote by
. Let
. If
then
. Otherwise
if
and
then
;- if
:- if P is a sequential poset then it has a factorization
where each
20
is a non-empty poset of rank lower than
and
. Define
by 
- otherwise, P is a parallel poset. Write
where each
is a sequential poset and
. Then, define
by 
By Theorem 2, the factorizations used in the definition of
exist. However, observe that the sequential ones ((19) and (20)) are not unique. This would question the fact that
is a well-defined function. For all
of rank
, we show that:
does not depend on the factorization of P and thus is well-defined;
commutes with all the operations of
:
, for some
;
, for some
.
We proceed by induction on
. Let us start by proving that
maps
to the same element of M regardless of the factorization of P. If
the theorem follows immediately. Otherwise, assume first that
. By Lemma 1, all the possible factorizations of P as in (19) are either all
-factorizations or all
-factorizations. Assume wlog that P admits only
-factorizations as in (19). Let
and
be two different such
-factorizations. By definition of 
![]() |
There exists a sequence
of non-empty posets such that
and for all
there exist
such that
![]() |
By induction hypothesis
commutes with all the operations of
. Then, we have for all
:
![]() |
Thus
can be written as
![]() |
We have
. The case where P admits only
-factorizations as in (19) is proved symmetrically using () instead of (). In addition, using () instead of () and arguments similar to those of the previous case, we prove that when P is sequential and
,
does not depend on the factorization of P.
Thus, we have proved that
is well-defined for sequential posets of rank
. In addition, the irreducible parallel factorization is unique modulo the commutativity of
. Thus
is well-defined for all posets of rank
, for all
. Furthermore, proving that
commutes with all the operations in
can be done by induction on r(P) too. The arguments are very similar to those used to prove that
is well-defined. It follows that
is a homomorphism of
-algebras. In addition, since
relies on h then
is unique.
The proofs of the following theorems rely on the same arguments. It suffices to restrict
to the operations of the corresponding variety. In particular, this provides a new proof of Theorem 5.
Theorem 4
is freely generated by A in
.
Theorem 5
([12]).
is freely generated by A in
.
In the remainder of this section, we prove the freeness of
in
. The arguments are similar to those of the proof of Theorem 6.1 in [12] in which the variety considered is
without
-power. We need the following result.
Theorem 6
([9]).
is freely generated by A in
.
Lemma 2
Let A and B be two alphabets. Let
such that S is closed under sequential product,
-power and
-power. Let
be some function defined by
for some
. Then, the function
extending f defined by
, for all
, is a homomorphism from
to
.
Furthermore, if
is bijective, S is generated by G, and G contains only sequentially irreducible posets then
is bijective.
Proof
Let
whose irreducible sequential factorization is
for some
, where each
. Note that
![]() |
Let
and
be some sequential factorizations of u. Then, one can prove easily that
![]() |
relying on the uniqueness of the irreducible sequential factorization of u (Proposition 1).
Let us prove now that when f is bijective and S is generated by a set of sequentially irreducible posets then
is bijective. Let
and assume that
and
. Let
and
be the irreducible sequential factorizations of respectively u and v, for some
, where each
and
are in A. By definition of
,
and
where each
and
. Then, for all
and for all
,
and
are sequentially irreducible posets of G. Assume that
. Then
and, for all
,
. We have, for all
,
since
is injective by hypothesis. In addition, as G generates S, each element P of S can be written as
where each
, for some
. Since
is surjective by hypothesis, for all
there exists
such that
. Then
.
As a consequence of HSP Birkhoff’s Theorem (see eg. [1, Theorem 1.3.8]) and Lemma 2:
Corollary 1
For all
closed under sequential product,
-power and
-power and generated by a set of sequentially irreducible posets of
,
is a
-algebra.
Corollary 2
For all
closed under sequential product,
-power and
-power and generated by a set G of sequentially irreducible posets of
,
is freely generated by G in
.
We are now ready to prove the following theorem.
Theorem 7
is freely generated by A in
.
Proof
For all
, let
be the subset of
consisting all its posets of width lower or equal to i. Then
. Note that
and
. Observe that for all
,
is closed under sequential product,
-power and
-power. In addition, for all
,
is generated by its sequentially irreducible posets. By Corollary 1, for all
,
can be considered as a
-algebra. In addition, by Corollary 2, for all
,
is freely generated by its sequentially irreducible posets in
. Then, for all
and
, a function
can be extended in a unique homomorphism of
-algebras
.
Let S be some
-algebra and let
be some function. We show that h can be extended into a homomorphism of
-algebras
in a unique way. Indeed, we define
as
where each
is defined, by induction on i, as follows:
when
,
is defined by
;when
,
is the unique homomorphism of
-algebras
extending h (Theorem 6);- when
,
is defined as follows:- on posets P of width lower than i,
is
; - on sequential posets P of width i,
is
; - on parallel posets P of width i,
is defined relying on the irreducible parallel factorization
of P, for some
, by: 
Proving that
is a homomorphism of
-algebras is routine. Furthermore, the uniqueness of
comes from the facts that
extends h and that A is a generating set of
.
Decidability
Throughout this section, A denotes an alphabet. The set of terms of some signature over A is the smallest set of finite words built from A using the operations of the corresponding signature. In this section we prove the decidability of the equational theory of
.
Let
be the signature of
-algebras. We start by defining the set of terms in which we are interested.
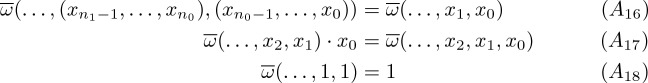
Definition 5
The set of terms
over A is the smallest set satisfying the following conditions:
;if
then
;if
then
.
By equipping
with the operations of
, we define a structure called the term algebra
over A. Note that
can be considered also as the set of trees whose leaves are labeled by
and whose internal nodes are labeled by the operations of
where the out-degree of each internal node coincides with the arity of the corresponding operation.
Two terms
are equivalent if
can be derived from t using the axioms which
satisfy (denoted
). This equivalence relation is actually a congruence. It is well-known that
is absolutely free i.e. it is freely generated by A in the class containing all the algebras of signature
. In addition, as a consequence of Theorem 7,
is isomorphic to
(see eg. [1, Theorem 1.3.2]). This isomorphism can be defined by
and
for all
.
Then we have:
Proposition 2
Let
. Then
if and only if
holds in
.
As a consequence, proving the decidability of the equational theory of
can be reduced to decide whether
.
Theorem 8
Let
. It is decidable whether
.
We now give a quick outline of the proof. The terms t and
can be interpreted as particular forms of rational expressions over languages of
, see [6]. By extension of a well-known result of Büchi on ordinals, it is known from [2] that a language of
is rational if and only if it is definable in an extension, named P-MSO, of the so-called monadic second-order logic. Two P-MSO formulæ
and
such that
and
can effectively be built from t and
. We have
if and only if
. Theorem 8 follows from the decidability of the P-MSO theory of
[2, Theorem 6].
This decision procedure has a non-elementary complexity. Another proof with an exponential complexity (in the size of
) can be derived from the proof of [12, Theorem 7.6], in which the
-power is not considered, by replacing the use of [12, Theorem 7.3] by [9, Corollary 3.19].
Acknowledgements
We would like to thank the anonymous referees for their comments on this work. One of them pointed out that Theorem 3 can be deduced from Theorem 1 using the theory of categories, and in particular works by Fiore and Hur [13], Robinson [19], Adámek, Rosicky, Velbil et al.
Contributor Information
Nataša Jonoska, Email: jonoska@mail.usf.edu.
Dmytro Savchuk, Email: savchuk@usf.edu.
Amrane Amazigh, Email: Amazigh.Amrane@etu.univ-rouen.fr.
Nicolas Bedon, Email: Nicolas.Bedon@univ-rouen.fr.
References
- 1.Almeida J. Finite Semigroups and Universal Algebra. Singapore: World Scientific; 1994. [Google Scholar]
- 2.Amrane A, Bedon N. Logic and rational languages of scattered and countable series-parallel posets. Theor. Comput. Sci. 2020;809:538–562. doi: 10.1016/j.tcs.2020.01.015. [DOI] [Google Scholar]
- 3.Bedon N. Automata, semigroups and recognizability of words on ordinals. Int. J. Algebra Comput. 1998;8(1):1–21. doi: 10.1142/S0218196798000028. [DOI] [Google Scholar]
- 4.Bedon N. Complementation of branching automata for scattered and countable N-free posets. Int. J. Found. Comput. Sci. 2018;19(25):769–799. doi: 10.1142/S0129054118420042. [DOI] [Google Scholar]
- 5.Bedon N, Carton O. An Eilenberg theorem for words on countable ordinals. In: Lucchesi CL, Moura AV, editors. LATIN’98: Theoretical Informatics; Heidelberg: Springer; 1998. pp. 53–64. [Google Scholar]
- 6.Bedon N, Rispal C. Series-parallel languages on scattered and countable posets. Theor. Comput. Sci. 2011;412(22):2356–2369. doi: 10.1016/j.tcs.2011.01.016. [DOI] [Google Scholar]
-
7.Bloom S, Choffrut C. Long words: the theory of concatenation and
-power. Theor. Comput. Sci. 2001;259(1–2):533–548. doi: 10.1016/S0304-3975(00)00040-2. [DOI] [Google Scholar] - 8.Bloom S, Ésik Z. Shuffle binoids. RAIRO-Theor. Inform. Appl. 1998;32(4–6):175–198. doi: 10.1051/ita/1998324-601751. [DOI] [Google Scholar]
- 9.Bloom S, Ésik Z. Axiomatizing omega and omega-op powers of words. RAIRO-Theor. Inform. Appl. 2004;38(1):3–17. doi: 10.1051/ita:2004005. [DOI] [Google Scholar]
- 10.Carton, O., Colcombet, T., Puppis, G.: Regular languages of words over countable linear orderings. CoRR abs/1702.05342 (2017). http://arxiv.org/abs/1702.05342
- 11.Carton O, Rispal C. Complementation of rational sets on countable scattered linear orderings. Int. J. Found. Comput. Sci. 2005;16(4):767–786. doi: 10.1142/S0129054105003285. [DOI] [Google Scholar]
- 12.Choffrut C, Ésik Z. Two equational theories of partial words. Theor. Comput. Sci. 2018;737:19–39. doi: 10.1016/j.tcs.2018.04.010. [DOI] [Google Scholar]
- 13.Fiore M, Hur CK. On the construction of free algebras for equational systems. Theor. Comput. Sci. 2009;410(18):1704–1729. doi: 10.1016/j.tcs.2008.12.052. [DOI] [Google Scholar]
- 14.Gischer J. The equational theory of pomsets. Theor. Comput. Sci. 1988;61(2–3):199–224. doi: 10.1016/0304-3975(88)90124-7. [DOI] [Google Scholar]
- 15.Grabowski J. On partial languages. Fundam. Inform. 1981;4(1):427–498. [Google Scholar]
- 16.Hausdorff F. Grundzüge einer theorie der geordneten mengen. Mathematische Annalen. 1908;65(4):435–505. doi: 10.1007/BF01451165. [DOI] [Google Scholar]
- 17.Kuske D. Towards a language theory for infinite N-free pomsets. Theor. Comput. Sci. 2003;299:347–386. doi: 10.1016/S0304-3975(02)00370-5. [DOI] [Google Scholar]
- 18.Rival I. Optimal linear extension by interchanging chains. Proc. AMS. 1983;89(3):387–394. doi: 10.1090/S0002-9939-1983-0715851-3. [DOI] [Google Scholar]
- 19.Robinson E. Variations on algebra: monadicity and generalisations of equational theories. Formal Aspects Comput. 2002;13(3–5):308–326. doi: 10.1007/s001650200014. [DOI] [Google Scholar]
- 20.Rosenstein JG. Linear Orderings. Cambridge: Academic Press; 1982. [Google Scholar]
- 21.Valdes J, Tarjan RE, Lawler EL. The recognition of series parallel digraphs. SIAM J. Comput. 1982;11:298–313. doi: 10.1137/0211023. [DOI] [Google Scholar]
- 22.Wilke T. An algebraic theory for regular languages of finite and infinite words. Int. J. Algebra Comput. 1993;3(4):447–489. doi: 10.1142/S0218196793000287. [DOI] [Google Scholar]
- 23.Winkowski J. An algebraic approach to concurrence. In: Bečvář J, editor. Mathematical Foundations of Computer Science 1979; Heidelberg: Springer; 1979. pp. 523–532. [Google Scholar]


















