Numerous empirically validated methods are available to increase communication for individuals with autism spectrum disorder (ASD) and other developmental disabilities (DDs). The Picture Exchange Communication System (PECS) is an augmentative communication system for individuals who have difficulty acquiring vocal language and has been widely implemented with populations with ASD and DD (Bondy, 2012; Landa & Hanley, 2016; Paden, Kodak, Fisher, Gawley-Bullington, & Bouxsein, 2012; Schreibman & Stahmer, 2014). A popular speech-generating device (SGD) app that has been used on iPads targeting manding is Proloquo2Go (Hill & Flores, 2014; Krek, 2015; Lorah et al., 2013). When the iPad’s pictures are touched, Proloquo2Go provides text-to-speech audio. Couper et al. (2014) and McLay et al. (2015) found similar acquisition rates, but 12 of 13 participants with ASD consistently chose an SGD over manual signs or picture exchange (PE) methods for communication.
There exist various potential reasons for the popularity of SGDs over other augmentative and alternative communication (AAC) devices for people with disabilities. SGDs are mainly accessible through an iPad or tablet, and Clark, Austin, and Craike (2015) reported that parents of children with ASD used iPads for various leisure activities for an average of 4.6 out of 5 days. More familiarity could promote more comparative gains against a nonfamiliar method. Additionally, Burckley, Tincani, and Guld Fisher (2015) related stakeholders’ ease of use with iPad apps. Furthermore, an SGD’s voice-output feedback may be an additional variable that enables successful use to be possible (Couper et al., 2014).
Conversely, there exist various potential reasons for the popularity of PECS. The physical exchange of the icon may have the desired concrete appeal in a structured prompt sequence for a learner with ASD (Charlop-Christy, Carpenter, Le, LeBlanc, & Kellet, 2002). Another appeal of PECS is the systematic instruction across six phases targeting spontaneous communication (Bondy & Frost, 1994). Behaviors to achieve increasingly more communicative independence are present in each of the PECS phases. A learner who progresses through all six can be expected to spontaneously make specific requests (e.g., “I want two blue mints.”). The potential for more sophisticated communication could make the use of PECS more popular and potentially successful.
Research comparing the effectiveness of PECS and SGDs with individuals with ASD and DDs is emerging but limited. Agius and Vance (2013) used PECS and the app SoundingBoard to increase manding for preschoolers with ASD. Similarly, Boesch, Wendt, Subramanian, and Hsu (2013) compared PECS with Logan ProxTalker and shared mixed results. There appeared to be no evident communicative increases across participants, regardless of treatment conditions. Likewise, Cummings, Car, and LeBlanc (2012) found inconclusive results when comparing PECS to the SGD, Logan ProxTalker. There appeared little differences in responding between the PECS and SGD conditions.
Beck, Stoner, Bock, and Parton (2008) compared PECS with GoTalk for students with ASD or DDs. Participants learned PECS more quickly, although an increase in communication was seen in both methods. Likewise, Flores et al. (2012) targeted communication and obtained mixed results: There were no large differences in responding from one AAC device to the other.
There exist a few studies comparing a PE method (not PECS) with an SGD for individuals with ASD or other DDs. Lorah et al. (2013) investigated a PE method with Proloquo2Go. They related that manding was more evident with four out of five participants who used the SGD but suggested that success varies across children with ASD. Likewise, van deer Meer et al. (2013) investigated a PE method with Proloquo2Go. However, unlike the former study, the latter suggested that both methods increased manding.
Different acquisition rates could be related to prerequisite skills, and vision is a necessity for computer SGDs without modifications. The same can be claimed for unmodified PE systems. There currently exists a paucity of research for adapted PECS and those with coexisting visual impairment (VI) and DD (Ali, MacFarland, & Umbreit, 2011; Lund & Troha, 2008; Parker, Banda, Davidson, & Liu-Gitz, 2010). These studies created tactile PECS icons to compensate for the VI of the participants. Increased manding skills were demonstrated across all the aforementioned studies.
Less published research exists in which SGDs were used with those who have VI and DDs. Locke and Mirenda (1988) used tactile keyboard symbols that activated an SGD. They reported no evidence to suggest an increase in manding, but the single participant acquired an independent touch behavior to the tactile symbols.
PECS and PE systems have been compared to SGDs in individuals with ASD and other DDs, and adapted PE systems have been investigated for individuals with VI. The purpose of this study was to compare adapted PECS to an iPad-based SGD for the acquisition of independent mands with participants who are at risk of receiving a diagnosis of ASD or other DDs and VI.
Method
Participants
All four participants attended a specialized school for students who have VI with other diagnosed and undiagnosed disabilities. At the time of this study, Mark was the only participant diagnosed with a DD. The participants engaged in a variety of atypical behaviors consistent with a diagnosis of ASD: unusual body language, gestures, and facial expressions; the unlikeliness to approach others or pursue social interactions; the failure of normal reciprocated communication; poor (or absent) verbal or nonverbal communication; repetitive or stereotyped motor movements; hypo- or hyperreaction to sensory input; and a fascination with spinning objects or moving pieces (American Psychiatric Association, 2013; Smith, Segal, & Hutman, 2017). Family members and school staff recognized these behaviors, but ASD diagnostic assessments were not pursued. Stakeholders believed that the severity of concurrent physical and cognitive disabilities made implementing diagnostic instruments impractical.
Sally was a 4-year-old girl diagnosed with cortical visual impairment (CVI), moderate hearing loss (deaf-blind), and neurological disorders. She was able to perceive light and attended briefly to objects that were brightly lit. Sally possessed no functional communication but occasionally pointed to items. Marjorie was a 4-year-old girl diagnosed with CVI and optic atrophy. She was legally blind but briefly attended to objects when stimuli were close and brightly lit. Mark was a 3-year-old boy with CVI and was also nearsighted with astigmatism. He had a severe intellectual disability from brain damage. Mark did not attend to objects and possessed no functional communication. Georgiana was a 3-year-old girl with arthrogryposis multiplex congenita who possessed no visual acuity and did not attend to objects. She possessed no functional communication and moved her body sporadically for no known effect.
Assessment and Materials
M-CHAT-R/F
The Modified Checklist for Autism in Toddlers, Revised With Follow-Up ( M-CHAT-R/F; Robins, Fein, & Barton, 2009) is a screening tool to identify the risk of ASD. The M-CHAT-R/F is intended for children 16–30 months of age, and results suggest a low, medium, or high risk for a potential diagnosis of ASD. This instrument consists of 20 questions where low risk is considered a score of 0–2, medium is 3–7, and high is 8–20. Questions 1, 4, 14, and 19 were not applicable due to participants’ VIs and physical disabilities and were not included for scoring (e.g., scanning for an item, climbing). The resulting scoring of the 16 items suggested a high risk for all participants. Please see Table 1 for participants’ scores.
Table 1.
M-CHAT-R/F items that suggest a risk for a potential diagnosis of autism
| Participant | Item numbers | Score out of 16 applicable items |
|---|---|---|
| Sally | 3, 5, 6, 7, 8, 9, 13, 15, 16, 17, 18 | 11 |
| Marjorie | 3, 6, 7, 8, 9, 10, 11, 13, 15, 16, 17, 18 | 12 |
| Mark | 3, 5, 6, 7, 8, 9, 11, 13, 15, 16, 17 | 11 |
| Georgiana | 3, 6, 7, 9, 10, 13, 15, 16, 17, 18 | 10 |
PECS
PECS instruction consists of six phases (Frost & Bondy, 2002). For the purposes of this intervention, only Phase 1 (How to Communicate) was implemented with adaptations. Adapted PECS materials consisted of a three-ring binder of 10.25 in. by 9.25 in (approximately 26 by 23.5 cm). During the intervention, a single icon (reinforcer) was displayed measuring 5.5 in.2 (approximately 14 cm.). PECS icons had a unique tactile accommodation 1 in. wide by 0.5 in. (approximately 2.5 by 1.3 cm.) high affixed at the bottom of the icon. Icons were attached to the PECS book with Velcro. Please see Table 2 for participants’ icons and tactile representations.
Table 2.
participant icons and tactile representations
| Name | Reinforcer | Reinforcer tactile |
|---|---|---|
| Sally | music | star |
| Mark | music | star |
| Marjorie | peek-a-boo | star |
| Georgiana | music | star |
SGD
SoundingBoard served as a free alternative to Proloquo2Go. Similar features, such as programmable icons and text-to-speech audio, could be individualized with SoundingBoard. SoundingBoard was uploaded to the participants’ iPads and was programmed with customized icons and voice output. When the participant touched the screen, the corresponding name of the icon was announced. Similar to PECS methods, a single displayed icon measured 5.5 in.2 (approximately 14 cm.). The screens were modified to prevent unintentional voicing of the choice when touched. A clear laminate with the tactile accommodation of 1 in. wide by 0.5 in. (approximately 2.5 by 1.3 cm.) high was affixed at the bottom of the icon and a 1 in. wide by 0.5 in. (approximately 2.5 by 1.3 cm.) high opening directly above the tactile. This prevented an accidental audio output of the choice. Touching the programmed opening above the tactile would vocalize the reinforcer. Please see Figs. 1 and 2.
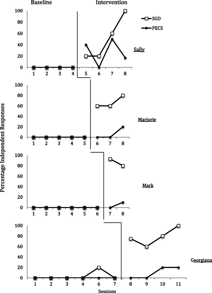
Fig. 1.
Percentage of independent responding during baseline and intervention
Fig. 2.
Examples of reinforcer (left) and distractor (right) icons with tactile symbols (star, circle) and exposed areas above to touch and activate SGD
Procedure
Baseline
Baseline data were collected nonconcurrently. The participants were told, “There is [reinforcer] here. What do you want?” An equal number of alternating trials was conducted with PECS and the SGD—that is, saying, “There is a [reinforcer] here,” using PECS in Trial 1, and then the same procedure was used for the SGD in Trial 1. A choice was scored when the participant put his or her hand on the presented modality. Alternating vocal prompts were used across trials, and each baseline session alternated the presentation of modalities. If a participant accessed the modality, he or she was permitted to manipulate it. However, without training, it was unlikely that the participants would manipulate it successfully (remove it, exchange the PECS icon, or press the specific area of the SGD) to access the reinforcer. Each baseline session ended when participants engaged in escape behavior such as focusing attention elsewhere, pushing materials away, attempting to leave their seat, and so on.
PECS
The participant was placed in a supportive chair directly in front of the teacher, and his or her name was vocally stated to gain attention. After attending was observed (physically motioning the head or body toward the teacher or making a vocalization), a brief, noncontingent reinforcement was presented, “first one is free” (Frost & Bondy, 2002, p. 71). Using errorless teaching, the teacher began each session by putting the student’s hand on the PECS and saying, “There is [reinforcer] here. What do you want?” IImmediately after this vocal prompt, the prompter (a nonvisible teacher or aide standing behind the participant) physically prompted the participant’s hand to feel the adapted PECS icon, remove it, and give it to the teacher. The teacher then presented the item and vocally named it. After several trials, the prompter began to delay the physical prompt after “What do you want?” This delay was no longer than 3 s after the vocal prompt. If a response took longer than 3 s, the prompter initiated the response. However, this did not occur, as all participants’ latency of responding to the teacher’s vocal prompt was less than 3 s. Trials continued until it appeared that the participant was no longer motivated to obtain the reinforcer (i.e., did not manipulate reinforcer, engaged in escape behavior, etc.) or time considerations required a session to be terminated. Trials alternated every other trial with the SGD—that is, 1 PECS, 2 SGD, 3 PECS, 4 SGD, and so on—within the same session.
SGD
The participant was placed in a supportive chair directly in front of the teacher, and his or her name was vocally stated to gain attention. After attending was observed (physically motioning the head or body toward the teacher or making a vocalization), the participant was presented with brief, noncontingent reinforcement of the preferred stimulus. Using errorless teaching, the teacher began each session by putting the student’s hand on the SGD and saying, “There is [reinforcer] here. What do you want?” Immediately after this vocal prompt, the prompter (a nonvisible teacher or aide standing behind the participant) physically prompted the participant’s dominant hand to feel the adapted SGD icon and press it to emit the audio name. As previously mentioned, the SGD was covered in plastic with only a 1 in. by 1 in. area exposed to limit unintentional touches. The teacher then presented the participant with the item. The SGD named the reinforcer, so it was unnecessary for the teacher to name it. After several trials, the prompter began to delay the physical prompt after the teacher’s prompt of “What do you want?” This delay was no longer than 3 s after the vocal prompt was presented. As in the previously mentioned training, this did not occur, as all participants’ latency of responding to the teacher’s vocal prompt was less than 3 s. Trials continued until it appeared that the participant was no longer motivated to obtain the reinforcer (i.e., did not immediately consume or manipulate the reinforcer, engaged in escape behavior, etc.) or time considerations required a session to be terminated. Trials alternated every other trial with the SGD—that is, 1 SGD, 2 PECS, 3 SGD, 4 PECS, and so on—within the same session.
Reinforcer Identification
Reinforcers used for Sally, Mark, and Georgiana were music lasting approximately 10 s from the time the correct PECS icon was exchanged or the correct SGD button was pressed. Marjorie’s reinforcer was playing peek-a-boo. Due to their physical and cognitive disabilities, they were unable to explore and access potential reinforcers unless they were directly presented with the reinforcers. Reinforcers were identified through observation of the participants’ behavior across several settings. Reinforcers were believed to be reinforcing because of prior participant responses when presented with them. For example, Marjorie’s reinforcer of peek-a-boo was identified due to her laughing and smiling when it was used by caregivers and school staff. Similarly, the other participants would respond when music was played with the previously mentioned behaviors. Please see Table 2 for participant reinforcer icons and tactile representations.
Experimental Design
We implemented a nonconcurrent multiple-baseline across-participants design with an embedded multielement phase (Cooper, Heron, & Heward, 2007). Following baseline, PECS and an SGD were presented in alternating trials that amounted to an equal number of opportunities to respond to each method. Baseline consisted of an average of 10 trials, and the intervention had an average of 23 trials across participants.
Dependent Variable
The percentage of independent mands per session was the dependent variable. The percentage was calculated as the number of independent mands divided by the number of trials for that session multiplied by 100. A PECS independent mand was scored when the participant felt the tactile, removed the icon, and presented it in under 3 s after being prompted to its availability. An SGD independent mand was scored when the participant felt the tactile and touched the 1 in. by 1 in. opening directly above the tactile within 2 s after being notified of the reinforcer’s availability. For baseline and intervention, independent mands were calculated for both PECS and the SGD.
Interobserver Agreement
A second clinician was present for 36% of trials to independently observe and record participant responses for interobserver agreement (IOA). The number of trials in agreement divided by the total number of trials and multiplied by 100 determined IOA. IOA was 99%.
Results
The intervention spanned 24 school days. Data for the percentage of independent responses are depicted in Fig. 1. During baseline, Georgiana had one trial during Session 6 where she independently used the SGD to request her reinforcer. There was no independent responding in her previous five sessions, so another baseline session was conducted. Georgiana’s seventh session recorded no independent requesting, so the intervention commenced. No other participant demonstrated independent responding during baseline; Sally had four sessions, Marjorie had five sessions, and Mark had six sessions.
All participants’ percentages of independent responding were greater with the SGD than with the PECS trials. Mark’s independent responding was higher with the SGD but went from 100% to 80%. Sally and Georgiana completed 100% independent requesting, and Marjorie’s was 80%.
Discussion
The differing number of tasks required across methods could have encouraged more rapid acquisition of the SGD than PECS. PECS required a physical exchange between the participant and the teacher. The participant had to touch and feel the icon, remove it, and present it in four tasks, whereas the SGD required touching, feeling, and pressing the exposed area in three tasks. Accessing the same reinforcer in three steps (SGD), versus four (PECS), may have been easier.
Another potential reason to account for more rapid acquisition of the ability to use the SGD than PECS could be familiarity. Although no independent use of any iPad applications prior to the study was reported, it is highly likely that electronic viewing screens were present in the participants’ home settings in the form of televisions, computers, iPads, tablets, phones, and so on for nondisabled family members. Shaping the SGD responses could have been easier due to the participants’ probable interaction or exposure to electronic screens. It was previously mentioned that parents of children with ASD used iPads an average of 4.6 out of 5 days (Clark, Austin, & Craike, 2015). Perhaps the familiarity of the iPad’s electronic screen was more reinforcing than the novel PECS icons. Thus, the participants could have responded more with the SGD than with PECS.
The communication component conceivably affected participant responding. With PECS, the teacher voiced the reinforcer’s name when presented with the icon. With the SGD, SoundingBoard voiced the reinforcer’s name, and the teacher only presented it with no other physical or verbal exchange necessary. Because all four participants displayed behaviors that are related to ASD, it is possible that the communicative deficits related to this disability (American Psychiatric Association, 2013) made the SGD’s voicing of the reinforcer preferable to the teacher’s vocalization.
Results may not be related to ASD but rather to physical disability. Fine motor skills were lacking across participants, and feeling and touching the SGD may have been easier than feeling, touching, and removing the PECS icon. Thus, a lack of responding may have been related more to a physical disability than to any potential communicative impairment. Gregory, DeLeon, and Richmond (2009) suggested that establishing a relation between existing skills and communicative responses may be useful in identifying alterative communication methods. Additionally, Valentino, LeBlanc, and Conde (2018) assessed prerequisite skills to identify optimal modalities for mand training. Perhaps the participants in our study’s physical abilities may not have been sufficient for gross and fine motor response. However, data showed an increase in independent responding across modalities. Nonetheless, it is likely that the participants’ physical disabilities affected and slowed learning.
Limitations existed in this study. We did not implement a procedural integrity checklist. A second observer was present during 36% of trials to determine IOA, but no formal checklist was used. Researchers wishing to replicate this study could create a task analysis enumerating the prescribed teacher’s prompt, the proximities of the AAC device and reinforcer, and the delivery of the reinforcer within the identified time frame. Additionally, a procedural integrity checklist could be created for the error correction procedure of the teacher’s physical prompt, vocal prompt, switch, and second vocal prompt.
Another limitation was that establishing operations were not manipulated to verify that the trained responses functioned as mands. It cannot be stated whether the responses that occurred were mands or simply responses that occurred because of prompting and being reinforced under specific stimulus conditions without determining the presence of the relevant establishing operation. Future research could identify control trials to evaluate the relevant establishing operation for target mands.
A nonconcurrent multiple-baseline across-participants design with an extended multielement phase was implemented with multiple-treatment interference being a potential limitation. Future research could assess whether these effects are present through independent verification (Barlow & Hayes, 1979), where one or another intervention phase is administered independently through a control experiment. PECS and an SGD could be compared through an alternating-treatments design across participants, whereas others could receive baseline measures, followed by Intervention A, in an A-B design. The second intervention could be similarly implemented with a third group, with differences in responding being potentially due to multiple-treatment interference.
The reinforcers’ tactiles were stars across participants. The stimuli were systematically different, thus allowing for confounding variables to affect independent responding. In this scenario, the star itself could have been a more salient reinforcer than the identified reinforcer: The tactile itself, and not the reinforcer, could have occasioned independent responding. Future investigations could vary the tactiles across participants. Researchers are encouraged to continue along this line and determine which features result in quicker communication or more reliable learning based on participant individualities such as physical disability, VI, or any other aspects that may affect success with AAC devices.
Across the participants in this study, the SGD’s program, SoundingBoard, appeared to produce quicker acquisition of independent responding. Three of the four participants indicated this stronger acquisition; however, teachers and clinicians attempting to increase functional communication for those with DDs and VI should still consider various SGDs, including adapted PECS.
Compliance with Ethical Standards
Conflict of Interest
Christopher Bloh declares that he has no conflict of interest. Nicole Johnson declares that she has no conflict of interest. Cheyenne Strohl declares that she has no conflict of interest. Natalie Tidmarsh declares that she has no conflict of interest.
Ethical Approval
All procedures performed in studies involving human participants were in accordance with the ethical standards of the institutional and/or national research committee and with the 1964 Helsinki declaration and its later amendments or comparable ethical standards.
Informed Consent
Informed consent was obtained from all individual participants included in the study.
Footnotes
Publisher’s Note
Springer Nature remains neutral with regard to jurisdictional claims in published maps and institutional affiliations.
References
- Agius, M. M., & Vance, M. (2013). A comparison of PECS and iPad to teach requesting to pre-schoolers with autistic spectrum disorders. Augmentative and Alternative Communication, 1, 58–68. 10.3109/07434618.2015.1108363 [DOI] [PubMed]
- Ali, E., MacFarland, S. Z., & Umbreit, J. (2011). Effectiveness of combining tangible symbols with the Picture Exchange Communication System to teach requesting skills to children with multiple disabilities including visual impairment. Education and Training in Autism and Developmental Disabilities, 46, 425–435. https://www.jstor.org/stable/23880596
- American Psychiatric Association . Diagnostic and statistical manual of mental disorders. 5. Washington, DC: Author; 2013. [Google Scholar]
- Barlow, D. H., & Hayes, S. C. (1979). Alternating treatments design: One strategy for comparing the effects of two treatments in a single study. Journal of Applied Behavior Analysis, 12, 199–210. 10.1901/jaba.1979.12-199 [DOI] [PMC free article] [PubMed]
- Beck, A. R., Stoner, J. B., Bock, J. S., & Parton, T. (2008). Comparison of PECS and the use of VOCA: A replication. Education and Training in Developmental Disabilities, 43, 198–216. https://www.jstor.org/stable/23879930
- Boesch, M. C., Wendt, O., Subramanian, A., & Hsu, N. (2013). Comparing efficacy of the Picture Exchange Communication System (PECS) versus speech-generating device: Effects of social communicative skills and speech development. Augmentative and Alternative Communication, 29, 197–209. 10.1016/j.rasd.2012.12.002 [DOI] [PubMed]
- Bondy, A. (2012). The unusual suspects: Myths and misconceptions associated with PECS. The Psychological Record, 62, 789–816. 10.1007/BF03395836
- Bondy, A., & Frost, L. (1994). The Picture Exchange Communication System. Focus on Autistic Behavior, 9, 1–19. 10.1177/108835769400900301
- Burckley, E., Tincani, M., & Guld Fisher, A. (2015). An iPad-based picture and video activity schedule increases community shopping skills of a young adult with autism spectrum disorder and intellectual disabilities. Developmental Neurorehabilitation, 18,2, 131–136. 10.3109/17518423.2014.945045 [DOI] [PubMed]
- Charlop-Christy, M. H., Carpenter, M., Le, L., LeBlanc, L. A., & Kellet, K. (2002). Using the Picture Exchange Communication System (PECS) with children with autism: Assessment of PRCS acquisition, speech, social-communicative behavior, and problem behavior. Journal of Applied Behavior Analysis, 35, 213–231. 10.1901/jaba.2002.35-213 [DOI] [PMC free article] [PubMed]
- Clark, M. L., Austin, D. W., & Craike, M. J. (2015). Professional and parental attitudes toward iPad application use in autism spectrum disorder. Focus on Autism and Other Developmental Disabilities, 30, 174–181. 10.1177/1088357614537353
- Cooper JO, Heron TE, Heward WL. Applied behavior analysis. 2. Upper Saddle River, NJ: Pearson; 2007. [Google Scholar]
- Couper, L., van der Meer, L., Schafer, M. C. M., McKenzie, E., McLay, L., O’Reilly, M. F., et al. (2014). Comparing acquisition of and preference for manual signs, picture exchange, and speech-generating devices in nine children with autism spectrum disorder. Developmental Neurorehabilitation, 17, 99–109. 10.3109/17518423.2013.870244 [DOI] [PubMed]
- Cummings, A. R., Carr, J. E., & LeBlanc, L. A. (2012). Experimental evaluation of the training structure of the Picture Exchange Communication System (PECS). Research in Autism Spectrum Disorders, 6, 32–45. 10.1016/j.rasd.2011.08.006
- Flores, M., Musgrove, K., Renner, S., Hinton, V., Strozier, S., Franklin, S., & Hil, D. (2012). A comparison of communication using the Apple iPad and a picture-based system. Augmentative and Alternative Communication, 28, 74–84. 10.3109/07434618.2011.644579 [DOI] [PubMed]
- Frost L, Bondy A. The Picture Exchange Communication System training manual. New Castle, DE: Pyramid; 2002. [Google Scholar]
- Gregory, M. K., DeLeon, I. G., & Richman, D. M. (2009). The influence of matching and motor imitation abilities on rapid acquisition of manual signs and exchange-based communicative responses. Journal of Applied Behavior Analysis, 42, 399–404. 10.1901/jaba.2009.42-399 [DOI] [PMC free article] [PubMed]
- Hill DA, Flores MM. Comparing the Picture Exchange Communication System and the iPad for communication of students with autism spectrum disorder and developmental delay. Tech Trends. 2014;58:45–53. doi: 10.1007/s11528-014-0751-8. [DOI] [Google Scholar]
- Krek, T. E. (2015). Effectiveness of Proloquo2Go in enhancing communication in children with autism during ABA therapy (Doctoral dissertation). Retrieved November 17, 2016 from http://trace.tennessee.edu/cgi/viewcontent.cgi?article=4573&context=utk_graddiss&sei-redir=1&referer=https%3A%2F%2Fscholar.google.com%2Fscholar%3Fas_ylo%3D2013%26q%3Dsoundingboard%2Bapp%2Bautism%26hl%3Den%26as_sdt%3D0%2C39#search=%22soundingboard%20app%20autism%22
- Landa, R., & Hanley, G. P. (2016). An evaluation of multiple-schedule variation to reduce high-rate requests in the Picture Exchange Communication System. Journal of Applied Behavior Analysis, 49, 388–393. 10.1002/jaba.285 [DOI] [PubMed]
- Locke, P. A., & Mirenda, P. (1988). A computer-supported communication approach for a child with severe communication, visual, and cognitive impairments: A case study. Augmentative and Alternative Communication, 4, 15–22. 10.1080/07434618812331274567
- Lorah, E. R., Tincani, M., Dodge, J., Gilroy, S., Hickey, A., & Hantula, D. (2013). Evaluating picture exchange and the iPad as a speech generating device to teach communication to young children with autism. Journal of Developmental and Physical Disabilities, 25, 637–649. 10.1007/s10882-013-9337-1
- Lund, S. K., & Troha, J. M. (2008). Teaching young people who are blind and have autism to make requests using a variation on the Picture Exchange Communication System with tactile symbols: A preliminary investigation. Journal of Autism and Developmental Disorders, 38, 719–730. 10.1007/s10803-007-0439-4 [DOI] [PubMed]
- McLay, L., van der Meer, L., Schafer, M. C. M., Couper, L., McKenzie, E., O’Reilly, M., et al. (2015). Comparing acquisition, generalization, maintenance, and preference across three AAC options in four children with autism spectrum disorder. Journal of Developmental and Physical Disabilities, 27, 323–339. 10.1007/s10882-014-9417-x
- Paden, A. R., Kodak, T., Fisher, W. W., Gawley-Bullington, E. M., & Bouxsein, K. J. (2012). Teaching children with autism to engage in peer-directed mands using a Picture Exchange Communication System. Journal of Applied Behavior Analysis, 45, 425–429. 10.1901/jaba.2012.45-425 [DOI] [PMC free article] [PubMed]
- Parker AT, Banda DR, Davidson RC, Liu-Gitz L. Adapting the Picture Exchange Communication System for a student with visual impairment and autism: A case study. AER Journal: Research and Practice in Visual Impairments. 2010;1:2–11. [Google Scholar]
- Robins, D. L., Fein, D., & Barton, M. (2009). The Modified Checklist for Autism in Toddlers, Revised With Follow-Up (M-CHAT-R/F) [Measurement instrument]. Retrieved July 15, 2016 from http://mchatscreen.com/wp-content/uploads/2015/09/M-CHAT-R_F.pdf
- Schreibman, L. E., & Stahmer, A. C. (2014). A randomized trial comparison of the effects of verbal and pictorial naturalistic communication strategies on spoken language for young children with autism. Journal of Autism and Developmental Disorders, 44, 1244–1251. 10.1007/s10803-013-1972-y [DOI] [PMC free article] [PubMed]
- Smith, M., Segal, J., & Hutman, T. (2017). Autism spectrum disorders: A parent’s guide to symptoms and diagnosis on the autism spectrum. HelpGuide. Retrieved November 17, 2017 from https://www.helpguide.org/articles/autism-learning-disabilities/autism-spectrum-disorders.htm
- Valentino, A. L., LeBlanc, L. A., Veazey, S. E., Weaver, L. A., & Raetz, P. B. (2018). Using a prerequisite skills assessment to identify optimal modalities for mand training. Behavior Analysis in Practice. Advance online publication. 10.1007/s40617-018-0256-6 [DOI] [PMC free article] [PubMed]
- van der Meer, L., Kagohara, D., Roche, L., Sutherland, D., Balandin, S., Green, V.A., O’Reilly, M.F., Lancioni, G.E., Marschik, P.B., & Sigafoos J. (2013). Teaching Multi-Step Requesting and Social Communication to Two Children with Autism Spectrum Disorders with Three AAC Options. Augmentative and Alternative Communication, 29(3), 222–234 10.3109/07434618.2013.815801 [DOI] [PubMed]


