Abstract
It has been suggested that the tourism sector is one in which temporary and low-skilled jobs abound. The aim of this study is to analyze the educational and experience requirements associated with job offers in tourism and their corresponding contracts and salaries. Nine thousand job advertisements were analyzed from one of the biggest employment websites in Spain. Online job offers allow a profile of employers' preferences to be drawn up in terms of occupations, educational levels and required experience, as well as the terms of contracts and salaries offered. Internal heterogeneity in the tourism sector arising from the coexistence of different functions and skills is highlighted. Our analysis shows that the occupation crucially conditions salary differences and contract types in tourism job offers.
Keywords: Occupations, Standard contract, Salaries, Required experience, Educational levels, Online job offers, Temporary employment
1. Introduction
The tourism sector is often considered a labour area in which temporary and low-skilled jobs abound. However, it has also been highlighted that there are processes that relativize this image. Moreover, in recent decades, the tourism sector has undergone significant organizational and technological changes (disintermediation, globalization, importance of internet and mobile devices, robotization, among others). There has been a reconsideration of the concept of qualifications in service activities and an improvement in educational levels of the workforce in many tourism destinations (Baum, 2015).
This paper analyzes the educational and experience requirements associated with job offers in the tourism sector. Nine thousand job advertisements were selected between August 2015 to July 2016 from one of the most important employment websites in Spain. The research is based on the idea that the job advertisements published allow a profile of employers' preferences to be drawn up in terms of occupations, educational levels and required experience, as well as contract types and salaries offered. In this sense, this approach is novel as it presents a snapshot of the moment in which employers formulate the image of the ideal employee according to their needs.
We follow the institutionalist approach to the labour market, which considers that the differences in salaries and stability are linked to the characteristics of the sector of activity. Additionally, an important feature that stands out about the tourism sector is its internal heterogeneity. This is due to the coexistence of different functions and abilities, which give rise to a hierarchy of occupations within the sector. Thus, the occupation is fundamental to understand the diversity of skills, experience and education levels required. Therefore, this study considers the implications of occupations to the contract types and salaries in tourism job offers, as well as experience and educational levels.
2. Theoretical framework
Since the 1980s, profound changes have been observed in European labour markets; fundamentally the slide from a fordist model to a global, deregulated, flexible and delocalised one (Urry, 2014). One of the most notable changes concerns the increase in non-standard jobs (Eurofound, 2017). For Bosch (2004), there has been a decline in standard employment traditionally associated with rigidity and a lack of dynamism. Such standard employment can be defined as stable, socially protected and full time; conditions (working hours, salary, social transfers) are regulated by collective agreements or social laws. Companies have also undergone changes that have affected their organization, labour relations and personnel policies. New forms of organising employment have flexibilization as a central theme (Alvesson & Willmott, 1992; Boltanski & Chiapello, 2005; Sennett, 1998; Wilthagen, 1998). The uncertainty and dynamism of current economies lead to a permanent demand for adaptation and change in companies and people. Thus, full-time indefinite employment, which in previous decades was the norm in industrial societies, has progressively been displaced by different forms of flexible employment (part-time, fixed-term, dependent self-employment).
Moreover, other repercussions of this global, flexible and liquid model of business organization are also observable (Bauman, 2013). A second change, which maintains a close connection with this work objectives, is the polarisation of working conditions between wage earners, and the growing number of employees and self-employed whose objective and/or experiential situation lies in precariousness (Anghel, De la Rica, & Lacuesta, 2014; Goos, Manning, & Salomons, 2009). This has given rise to a debate on its characteristics, its impact on social inequality, the quality of employment and its sustainability in the medium term (Robinson, Martins, Solnet, & Baum, 2019; Standing, 2014). This debate also affects its definition; thus, it has been stated that there are distinct meanings of the term precarity -as a labour condition, a class category, and an ontological experience-, being also undoubtedly its political dimension (Millar, 2017). This polysemy in the concept leads some authors to propose the study of drivers and patterns of precarization as a more useful object of study than ‘precarity’ (Alberti, Bessa, Hardy, Trappmann, & Umney, 2018). The condition of precariousness would expand beyond the contractual situation of a part of the employees, giving rise to a new conformation in the global informational capitalism.
Another change is related to overqualification and the incorporation of university students into new work areas. Thus, Tholen, Relly, Warhurst, & Commander, 2016state that there is an increasing number of degrees as well as graduates who enter occupations traditionally not envisaged for them. Indirectly, we must also pay attention to the growing importance of soft skills. Moss and Tilly (1996) define soft skills as “skills, abilities and traits that pertain to personality, attitude and behaviour rather than formal or technical knowledge”. For Eurofound (2017), the growing heterogeneity among self-employed must also be added to all these processes, as well as the weakening of differences between employees and self-employed workers and the appearance of hybrid employment formulas (Célérier, Riesco-Sanz, & Rolle, 2017). This general context should be considered as a starting point for any investigation into the labour markets.
Furthermore, research into employment in the tourism sector has revealed a series of specific features. Ladkin (2006, 2011), Baum, 2007, Baum, 2015, Lucas (2004) and previously Riley, Ladkin, & Szivas, 2002summarize much of the evidence and debate about such employment. Riley et al. (2002) and Ladkin (2006) argue that the internal diversity of the tourism sector in terms of subsectors of activity, size of companies or fluctuations in demand, among others, leads to the existence of different jobs, qualifications and workers. Consistent evidence shows that many of these jobs are part of a set of unattractive jobs; because they mainly offer low salaries (García-Pozo, Campos-Soria, Sánchez-Ollero, & Marchante-Lara, 2011; Lee & Kang, 1998; Riley & Szivas, 2003; Santos & Varejao, 2007), little stability, longer working hours (Lillo-Bañuls & Casado-Díaz, 2011; Lucas, 2004; Park, Yaduma, Lockwood, & Williams, 2016) or a lot of rotation (Lam, 2002). In general, the characteristics of tourism employment point to a negative perception of the sector (Gerogiannis, Kerkofs, & Vargas, 2012; Riley et al., 2002). The approach of Robinson et al. (2019) is very illustrative, connecting the analysis of working conditions in the tourism sector with the concept of decent work and social dimension of sustainability.
However, although it is usual to highlight the low qualifications present in the sector, there is also a somewhat different perspective. Authors such as Riley et al. (2002) from an institutionalist orientation propose that the concept of qualifications is relative. Due to the nature of tourism skills, which can be easily learned on-the-job, employers hire unskilled employees and entrust learning to day-to-day work. Therefore, not only formal education but also informal qualifications acquired through experience must be taken into account (Marhuenda, Martinez, & Navas, 2004).
The truth is that the expansion of service activities has led some authors to rethink the definitions of employment, qualifications and skills (Korczynski, 2005; Witz, Warhurst, & Nickson, 2003). Thus, it is being emphasized that working with customers includes tangible and intangible elements (both emotional and aesthetic dimensions). This discussion about the skills required in a service society affects tourism, since many of these skills would be soft and non-formal ones (Korczynski, 2005; Veijola, 2009). All these factors affect policies on human resources (Lucas, 2004; Marco-Lajara & Úbeda-García, 2013).
This is partly the reason for the problems in linking the skills offered by the education system to those demanded by the tourism sector, and which has led to a certain mutual indifference from both sides (Strietska-Ilina & Tessaring, 2005; Viktorovna & Avtandilovna, 2014). Indeed, this points to a mismatch between, on the one hand, the specific educational offer and students' expectations (Cervera-Taulet & Ruiz-Molina, 2008; Hjalager, 2003) and, on the other, companies' needs (Marhuenda et al., 2004). Even so, there is evidence that there are highly-qualified people in the tourism sector (Ladkin, 2011; Marrero-Rodríguez, 2015; Riley & Szivas, 2003), although operational and medium levels predominate. The latter can, however, hinder the development of professional careers in the sector (Ladkin, 2006). Consequently, authors such as Ladkin (2011) and Churchward and Riley (2002) insist on the importance of considering occupations to better understand the issue of qualifications in the tourism sector.
Regarding salaries in the sector, different topics have been addressed such as gender discrimination (Campos-Soria, Ortega-Aguaza, & Ropero-Garcia, 2009; García-Pozo, Campos-Soria, Sánchez-Ollero, & Marchante-Lara, 2012; Muñoz-Bullon, 2009; Thrane, 2008) or the comparison between tourism and other sectors (Campos-Soria, García-Pozo, Sánchez-Ollero, & Benavides-Chicón, 2011; Silva & Freire-Guimarães, 2017). With regard to the latter, lower average salaries are observed in the tourism sector than in other sectors, these salaries are mainly attributed to the low level of formal education and the presence of low-skilled jobs in tourism (Robinson et al., 2019). There are, however, lower internal inequality levels in the tourism sector due to the downward trend in salaries for even the most qualified individuals (Casado-Diaz & Simon, 2016). It has been mentioned though, that some differences with respect to other sectors are due to segmentation elements (Silva & Freire-Guimarães, 2017).
To summarize, the tourism labour market has an important component of secondary employment (Atkinson, 1984; Carnoy, Castells, & Benner, 1997; Doeringer & Piore, 1985; Osterman, 1987; Villa, 1984), which can affect the demands and requirements of tourism companies. Therefore, this study will focus on the types of contracts and average salaries offered, and their relationship with the requirements for formal education and experience; all mediated by the functions to be performed, i.e., the occupations (Lambert & Bihagen, 2014; Levenson & Zoghi, 2010). This will allow an approximation of the ideal qualities of employees in the tourism sector and the corresponding rewards.
As far as is known, this question has not been addressed from a perspective of job offers, or with massive data records on a national scale, since all the studies consulted have been based on administrative records of employment, on employment or salary surveys, or address business preferences with opinion polls and interviews (Forstenlechner, Madi, Selim, & Rutledge, 2012). In addition, in this paper, it has been possible to disaggregate occupations at a very detailed level, identifying trades and/or very specific positions (cooks, waiters and chefs). In this regard, it should be noted that most academic research on tourism employment rarely reaches this level of disaggregation. Finally, this work maintains an indirect relation with the academic discussion regarding salaries and occupational composition of the tourism sector, since it deals with job offers, not salaries and final contracts. However, it partially accompanies this discussion by offering a snapshot of the moment in which companies' employee preferences are expressed.
As mentioned, the main academic objective of this paper is to analyze companies' employee preferences in the tourism sector, focusing on the internal heterogeneity, and the relative importance that education and experience have on the offer of salaries and contracts. Even if it is a sector with an abundance of low-skilled jobs and low salaries, companies' preferences will allow the internal dynamics of the sector to be addressed in more detail.
From the previous academic literature, the following hypotheses are proposed:
H1
Offers of non-standard contracts predominate.
H2
Average salaries for standard contracts are higher than for non-standard contracts.
H3
High salaries and standard contracts are more likely in managers and professionals than in other occupational groups.
H4
Requirements of experience and educational level are unequally distributed according to occupations.
H5
The required experience is more important than formal educational requirements.
H6
Though the best job offers are associated with formal educational requirements, job offers are much more linked to experience.
3. Methodology
To carry out this research, a database of job offers has been created, based on one of the most important online employment websites in Spain. This data source requires some precautions to be adopted. The first precaution refers to the representativeness of online offers. It should be noted that online job offers do not represent the whole range of business strategies for employee recruitment. The search for employees relies on various strategies that include internal promotion (internal labour market), informal networks (family or professionals) or intermediaries (Addison & Portugal, 2002; Alva, Escot, Fernández-Cornejo, & Cáceres-Ruiz, 2017). However, among these strategies, one option is the use of online employment websites (Anastasiou, 2014).
Indeed, the latter option has grown exponentially thanks to universal access to the Internet in developed countries (Chen, Lin, & Chen, 2012; Suvankulov, 2013); the Internet's greater capacity to provide fast and efficient visibility to offers, since it generates economies of scale when large volumes of employers and employees converge; and also because employment websites often offer additional services (such as pre-selection of candidates, alerts on offers or training for job candidates).
The second precaution refers to the reliability of the information from the Internet. Kureková, Beblavy, & Thum-Thysen, 2015highlight evidence of the importance of using online websites to search for employment, and that these sites can be used to improve knowledge of different elements of the labour market. Having access to large amounts of data on job offers is extremely convenient, since with traditional options a great deal of time and money is used. However, there is still a need to improve the specific methodological approach required by these new sources, among others, the problems of representativeness of the advertisements selected for analysis, given that vacancies can be filled in various ways (Alva et al., 2017), and publishing these vacancies is subject to specific circumstances. These two precautions have resulted in a comparison between the occupational structure in the sample used in this research and that existing in the Spanish tourism sector in 2014. This allowed us to verify that these structures were very similar (IET, Instituto de Estudios Turísticos, 2015; Marrero-Rodríguez, Rodríguez-González, & Ramos-Henríquez, 2016).
Castleberry (2002) also notes that more and more people use the web to search for a job, although they do not always find relevant information about the job's characteristics. In any case, the Internet is changing the way of looking for a job and, at the same time, reducing the search time and costs (Bachmann & Baumgarten, 2013; Stevenson, 2009). This has favoured the emergence of research with methodological approaches similar to the one developed here (Boselli, Cesarini, Mercorio, & Mezzanzanica, 2018; Ladkin & Buhalis, 2016; Lovaglio, Cesarini, Mercorio, & Mezzanzanica, 2018).
Research based on the type of information used here is still relatively scarce. However, for the Spanish case, some literature on the analysis of online recruitment has been found. Morell Blanch and Brunet (1999) analyzed just over 300 online job offers, concluding that advertisements offer very little information about the profile of the position they wish to fill. This has changed radically since the late nineties. More recently, the Spanish Public Employment Service has used online job offers to analyze the preferred professional profiles in some activities, using just over 2000 offers in 2012 and also in 2013 (SEPE, Servicio Público de Empleo Estatal, 2012, SEPE, Servicio Público de Empleo Estatal, 2013). In comparison with these investigations, this paper analyzes a much larger volume of job offers: in total, 9283 advertisements that included 21,338 offered positions.
The third precaution affects the definition of the tourism sector. Academic literature has already detected problems in delimiting employment in this sector (Ladkin, 2006). Here, this issue has been resolved operationally based on the employers' own decisions. The website analyzed places each job offer in a series of categories, one of which is ‘tourism and hospitality’. If employers placed their offer in that category, it was included in the database of analyzed offers. Therefore, all job offers published in the ‘tourism and hospitality’ category on the selected website and those that have also published information regarding the contract and salary offered (job offers were also eliminated with daily salaries, since it distorted the results), educational level and required experience will be the object of study.
The sample has 9283 job offers, which comprise 21,338 vacancies in the tourism sector, published during a one-year period from August 2015 to July 2016 on a major online job- website in Spain. The data consist of information publicly available about job offers with information on contract type, salary range, required experience and educational level and occupation.
Therefore, we have two variables: contract type and salary related to what the employer's offers to the employee; and another two variables: experience and educational level that represent what the employer asks for from the employees. In addition, one last variable: occupation allows moderating, according to our hypothesis, the relationship between what is offered and what is asked for.
In relation to what is offered, following Schmid (2011), we group the range of contracts into two classes: standard contracts, which include all full-time, permanent contracts; and non-standard contracts, where we include the rest of contracts for the job offers, i.e. fixed term contracts, part-time contracts, training contracts, etc. With respect to salary, the job offer informs about the gross minimum and the maximum salary per month or per year; we have homogenized the data, and we have calculated the average gross salary per month. In relation to what is requested for job offer, the required experience has seven levels: no experience, less than 1 year, less than 2 years, less than 3 years, less than 4 years, more than 5 years, and more than 10 years. We have grouped the last four levels into one level that comprises 3 or more years' required experience.
In addition, the required educational level has been coded following the International Standard Classification of Education (ISCED-2011) and distinguishing among: no studies required; lower secondary education (LSE); upper secondary education (USE) which is subdivided into General and Vocational; short cycle tertiary education (SCTE); Bachelor or equivalent (BAC). An additional group comprises requirements for non-formal education such as certifications or specialized courses instead of formal education.
Finally, we have analyzed each offer, using semiautomatic coding with supervised dictionaries, to find the occupation of each job offer. We have taken as reference the International Standard Classification of Occupations (ISCO-08). We use the more general 1-digit level of codification, except for some occupations especially relevant in our analysis, which are coded using the 4-digit level, as is the case of chefs, cooks and waiters. In contrast, other occupations less relevant in terms of number of job offers have been grouped together, as is the case of group 2 (professionals) and 3 (technicians and associate professionals, with exception of chefs). Also group 7 (manual and related trade workers) and group 9 (elementary occupations) are analyzed together. Besides this, the sample has job offers for the groups 1 (managers), 4 (clerical support workers) and the rest of the group 5 (service and sales workers) excluding cooks and waiters (INE, Instituto Nacional de Estadística, 2012).
In order to test the proposed hypotheses, we use, at a first stage, frequency analysis and several statistical contrasts: pairwise chi-square tests, Cramer's V and Dunn's test, to perform an exploratory analysis of data. Their results allow us to analyze hypotheses H1, H2, H3 and H4. At a second stage, hypothesis H5 and H6 are tested using logistic regression to assess how much required experience and educational level explain the probability of accessing the best offers, those offering a standard contract and a high salary (in the 4th quartile of the sample).
We propose two models, the first one taking as explanatory variables required studies and required experience (Model 1) and the second model adding as explanatory variable the occupation (Model 2). Thus, for both models, the response variable is
and the model specification is:
where Xi is the explanatory variable vector, Xi = (required-studiesi, required-experiencei) for Model 1 and Xi = (required-studiesi, required-experiencei, occupationi) for Model 2.
In addition, we repeatedly perform the Wald test to evaluate if the overall effect of each categorical variable is statistically significant, and to test if the estimated coefficients of the different levels of those variables are pairwise significantly different.
4. Results
As a general view, the sample has 7573 job offers with standard contract (35.5%). The overall average salary is 1223.7 €/month; resulting in 1440.8 €/month for standard contracts and 1104.3 €/month for non-standard contracts. Regarding required experience (Fig. 1 ), 21% of the job offers do not require any experience and 34% require at least 3 years suggesting that the sector is, in general, aware about previous experience. Finally, in relation to required educational level, the higher frequencies are observed for lower secondary education (39%) and upper secondary education - vocational branch (18%) (Fig. 1). Thus, the data suggest that the sector does not ask for either higher education (10%) or medium academic level (3%), whereas there is a preference for vocational training (25%) more than for academic education (9%). This result can be explained by the majority of the job offers concerning waiters (40%) and cooks (24%) (Fig. 1).
Fig. 1.
Sample distribution.
Given the above results and that the sample of job offers covers a wide range of occupational levels, it is worth asking if occupation acts as a moderating variable and is able to explain the educational and experience requirements, as well as the corresponding contracts and salaries.
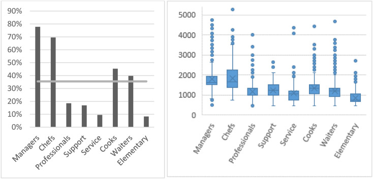
When the occupation is taken into account (Fig. 2 ), we can see that the frequency of standard contracts is very high for managers (78%) and chefs (69%). Cooks (45%) and waiters (39%) are over the average (35%) but with a majority of non-standard contracts. Pairwise chi-square tests find no significant differences between professionals and clerical support (p-value: 0.36) and between service and elementary occupations (p-value: 0.28). Cramer's V is 0.369 indicating a very strong association between occupation and standard contract. In relation to salaries (Fig. 2), the average for managers and chefs are almost the same or higher than for the average of the rest of occupations. Professionals, clerical support workers, cooks and waiters also seem to show a similar salary distribution. In order to evaluate if the differences are statistically significant, we perform Dunn's test for stochastic dominance, which tests for the existence of median differences in multiple pairwise comparisons, with the null hypothesis being that the two groups are equal. The results suggest that the salary distribution is significantly different among all the occupations, except between managers and chefs (p-value = .0187).
Fig. 2.
Standard contract frequency (left) and salary distribution (right) by occupation.
In relation to required experience (Fig. 3 ), the occupations with lower frequencies of no required experience are chefs (1%) and managers (4%), whereas elementary (47%) and professional occupations (55%) show the greatest frequencies of no required experience. Moreover, more than half the job offers for all the occupation levels, except for chefs, managers and cooks, do not require experience or only require at least one year. By contrast, managers, chefs, and cooks show the higher percentages of job offers requiring at least 3 years of experience: managers (48%), chefs (46%) and cooks (28%). Chi-square pairwise test reports significant differences in the distribution of required experience in any pair of occupations (p-value<.001). Cramer's V is 0.27 indicating a moderately strong association between occupation and required experience. Thus, the results suggest a relation between the required experience and the occupation; and in general, we can distinguish two groups of occupations; those where experience is essential, that is, managers, chefs and cooks; and the rest of occupation levels where experience is not so necessary although it could be a plus.
Fig. 3.
Required experience (left) and required educational level (right) by occupation.
In relation to required educational and study level (Fig. 3), the occupations with higher frequency of no studies required are waiters (16%) and cooks (14%). By contrast, the occupations with higher frequency of university degrees as required level are clerical support (21%), managers and professionals (14% each). For all occupations, LSE shows the highest frequency. A bias towards vocational training can also be observed (secondary or superior) in chefs (54%) and cooks (39%). Pairwise chi-square tests find significant difference in the frequency distribution of required studies by occupation (p-value<.001) and Cramer's V was 0.241, indicating a moderate association between both variables.
Finally, in order to evaluate the influence that required studies and experience have on the opportunity of accessing a better offer, we use a logistic regression model. In addition, due above results suggest that occupation is a moderating variable in such relation, we run a second logistic regression model which considers also occupation as explanatory variable.
The reference levels of the explanatory variables are no studies required, no required experience and VII-IX Elementary occupation. In Model 1, Hosmer and Lemeshow R-square is 0.1418 and the Nagelkerke R-square is 0.201. All the independent variables are statistically significant with p-value <.0001, except non-formal education and lower secondary education (LSE). In Model 2, the Hosmer and Lemeshow R-square is 0.2305 and the Nagelkerke R-square is 0.315. All the independent variables are statistically significant except non-formal education, lower secondary education (LSE) is significant when a 95% confidence level is considered (Table 1 ).
Table 1.
Logistic regression results.
| Model 1 |
Model 2 |
|||||
|---|---|---|---|---|---|---|
| Estimate | Pr(>|z|) | Odds Ratios | Estimate | Pr(>|z|) | Odds Ratios | |
| Intercept | −3.655 | < 2E-16 | −4.869 | < 2E-16 | ||
| Managers | 3.885 | < 2E-16 | 48.68 | |||
| Professionals | 1.529 | < 2E-16 | 4.61 | |||
| Chefs | 3.574 | < 2E-16 | 35.64 | |||
| Support | 1.238 | 2.49E-13 | 3.45 | |||
| Service | 0.974 | 1.66E-06 | 2.65 | |||
| Cooks | 1.864 | < 2E-16 | 6.45 | |||
| Waiters | 1.444 | < 2E-16 | 4.24 | |||
| Non-formal Ed. | −0.090 | 0.292 | 0.91 | 0.001 | 0.9913 | 1.00 |
| 2. LSE | −0.124 | 0.109 | 0.88 | −0.191 | 0.0177 | 0.83 |
| 3. USE Voc | 0.662 | < 2E-16 | 1.94 | 0.535 | 1.54E-11 | 1.71 |
| 3. USE Gen | 0.459 | 2.7E-06 | 1.58 | 0.420 | 6.87E-05 | 1.52 |
| 5. SCTE | 0.962 | < 2E-16 | 2.62 | 0.607 | 1.13E-10 | 1.84 |
| 6. Bachelor | 0.866 | 8.6E-14 | 2.38 | 0.642 | 7.16E-06 | 1.90 |
| At least 1Y | 1.174 | < 2E-16 | 3.24 | 0.886 | < 2E-16 | 2.43 |
| At least 2Y | 2.088 | < 2E-16 | 8.07 | 1.568 | < 2E-16 | 4.80 |
| At least 3Y | 2.744 | < 2E-16 | 15.54 | 2.08 | < 2E-16 | 8.01 |
The Wald test's results show that both required educational level and required experience are significant to explain the probability of obtaining the best job offers with p-values less than 2E-16. The results of logistic regression of Model 1 (Table 1) suggest that it is more probable to get the best offer when experience increases. However, higher requirements of education levels do not increase significantly the likelihood to obtain the best offer. In fact, the Wald test does not find differences in the estimated parameter of SCTE or that of Bachelor (p-value = .38). By contrast, all the estimated parameters for required experience are statistically different.
In relation to Model 2, the Wald test's results show that all the explanatory variables are significant to explain the probability of obtaining the best offer with p-values less than 2E-16. Furthermore, the regression results (Table 1) suggest that managers and chefs are the occupations where it is more probable to obtain a job with standard contract and a salary in the 4th quartile. Thus, it is almost 48 times more probable to achieve this kind of offer for a manager's occupation than for an elementary one, and 35.5 times more probable for chefs than for elementary occupations. However, the Wald test finds no differences in the estimated parameters for professionals and clerical support (p-value = .055); professionals and waiters (p-value = .51); clerical support and waiters (p-value = .064) and clerical support and service (p-value = .15). Thus, although all occupation levels are statistically significant to explain the dependent variable with respect to the VII-IX elementary occupation level, there is no significant differences among these pairs of occupation levels. That is, in terms of probabilities of obtaining the best offer, it is not significantly different, for example, that the job offer is for occupations such as clerical support or for waiters or for professionals.
In relation to required studies, except for non-formal education which is not significant at all, the likelihood to obtain a ‘best’ job is slightly higher when some formal education is required than when no studies are needed. However, none of the individual coefficients are significantly different pairwise, except for pairs with LSE or non-formal education. These results seem to indicate that when occupation is considered in the model, the different levels of required education do not lead to significantly different probabilities in obtaining the best offer with respect to no education required at all.
Finally, the influence of required experience is more relevant than that found for required educational level; and the likelihood of best job offers increases with the level of required experience. Thus, it is 8.32 times more probable to achieve the ‘best’ job if the offer asks for at least 3 years' experience than if the offer does not require any experience at all. Moreover, the estimated coefficients of the different levels of experience are significantly different pairwise, according to the Wald test.
We have also estimated an extended version of Model 2 that considers interactions between occupation levels, required education and required experience. In this model, we attempt to find if the required education or the required experience are assessed in different ways across occupations. The results seem to indicate that these interactions do not add value to the analysis, with the exception of Professionals, where at least 2 years' experience is statistically significant (p-value = .0002) with an odd ratio of 38.52.
5. Discussion and conclusions
Published job offers of contracts and salaries show that contractual flexibility is important in the sector, and standard contracts and high salaries seem to be valued. Hypotheses H1 is confirmed (offers of non-standard contracts predominate) and so is H2 (average salaries for standard contracts are higher than for non standard contracts).
Second, H3 (high salaries and standard contracts are more likely for managers and professionals than for the rest of the occupational groups) is only partially confirmed, and requires some additional distinctions. The offers for managerial positions do have a higher frequency of standard contracts but not so the group of professionals. In addition, an unexpected group appears in these better offers: chefs. In this way, chefs and cooks receive better job offers than professionals and clerical support staff. This is quite different from what can be expected when analyzing occupations jointly and comparatively (Anghel et al., 2014; Goos et al., 2009; ISTAS, Instituto Sindical de Ambiente, and Salud, 2011; Lambert & Bihagen, 2014). In this case, a common occurrence is that professionals and clerical support staff receive better salaries than chefs and cooks. From this result, it can be surmised that the latter groups are more valued by the business sector.
The groups of professionals and clerical support staff deserve a comment: not only are the offers of these groups reduced, but also, both in terms of contracts and salaries are in a situation closer to cooks and waiters than to managers. These results show similarities with the results published by Casado-Diaz and Simon (2016), but in their case it affected professionals and not managers. The tourism sector would treat managers as expected, but not professionals.
Another important derivation of H3 results is the case of chefs and cooks. Job offers are more advantageous in terms of contracts and salaries for chefs and cooks than for professionals and clerical support. The particularities of this occupation partially contribute to its scarcity, and make our results understandable. Research has highlighted these particular traits, including the diverse, complex and growing range of their skills, the complicated adjustments between the educational and productive systems for their development, the tensions between their traditional craft status versus pressure towards professionalization, the difficulties for its standardization (which affects certification), while requiring autonomy and self-regulation, among others (Roosipõld & Loogma, 2014; Tongchaiprasit & Ariyabuddhiphongs, 2016; Zopiatis, 2010). In recent decades, the social prestige of this occupation has improved (Pizam, 2016).
Thus, the distribution of salaries and contracts offered respects the occupational hierarchy, as long as chefs are placed above professionals, and cooks are in front of the clerical support staff. The set of occupations involved in the tourism sector does not replicate the total Spanish employed population. We will return on this matter later.
Third, H4 has also been confirmed (the requirements of experience and educational level are unequally distributed according to occupations), H5 (experience is more important than formal educational requirements) and H6 (though the best job offers are associated with requirements of formal studies, they are much more related to experience) are also valid. However, the tourism sector is not indifferent to formal education, especially higher education in some occupational groups. This situation does not invalidate the relative importance of human capital according to occupations, but it does blur the importance of qualifications. Thus, despite qualifications being important, job offers depend more on experience than on educational credits. However, experience often poorly correlates with salary increases, and this indirectly affects tourism policies in formal education.
Fourth, the relative importance that the occupation has in the type of contracts and salaries offered is confirmed. In addition, for the Spanish labour market, our data show that type of contract is as valued as the salary. This suggests, at least in the first level of advertising, standard contracts are a mark of the importance that a company gives to a position and/or to the future employee. Despite a general increase in numbers of non-standard contracts in the economy of developed countries, it should be noted that Spain is one of the countries with the highest relative presence of this type of contract (see statistics published by Eurostat, 2019). Therefore, the value attributed to the type of contract should be qualified in the comparison with other national realities.
Regarding the probabilities of accessing a good job (standard contract and salary in the 4th quartile), managers and chefs are the two most fortunate occupations, since the former are 48 times more likely than elementary occupations of obtaining these best offers, and chefs 35 times more likely. In addition, cooks are more likely to belong to this group of job offers than professionals. Indeed, it is experience that is more important for belonging to this group than formal education. Thus, occupation appears to be of great importance as an explanatory variable.
The analysis of online job offers has confirmed that the occupation variable helps to understand better the internal differences within the tourism sector, in terms of salaries and contracts offered, and companies' preferences for experience or formal education. Moreover, it is likely that this variable condenses competences, responsibilities and abilities that are derived from each job. However, more research is needed to delve deeper into the specific characteristics that the tourism sector may present in terms of its preferences for contractual flexibility and average salaries, especially to clarify to what extent the sector effect seems to be relevant in these differences. The question whether these results are similar or different in nature in similar countries is an interesting one to address in a competitive market study.
6. Theoretical and practical implications
This paper research provides theoretical, methodological and tourism educational policy implications. Three theoretical implications stem from this study. The first theoretical implication considers the relationship between the activity sector and occupation. Most of the academic literature reviewed on tourism employment takes the activity sector as unit of analysis. At the same time, as it has also been previously mentioned, several authors have indicated internal diversity as a characteristic of this sector (Ladkin, 2006; Riley et al., 2002; Robinson et al., 2019). This heterogeneity has been confirmed in this work, since occupation emerges as a fundamental variable to understand differentiated business strategies.
In the theoretical discussion on the mechanisms of aggregation suitable to analyze inequality and classes in contemporary societies, Grusky and Galescu (2005) have argued that occupational groups are the building blocks from which the labour market is built. And this has to do with the fact that employers and employees design or conceive the labour market in terms of occupational groups, among other reasons, due to the increasing professionalization of some segments of the labour market and the emergence of semi-professions. Consequently, many labour identities and concerns are based on occupations and not on occupational groupings, which are the basis of Marxist and Weberian theoretical approaches. Thus, people at the same occupation have certain homogeneity, since they select individuals that have certain coherence with the previous stereotypes of that occupation; once incorporated into the job, training homogenizes even more in attitudes and values; and finally, interactions within the occupation reinforce these two previous elements. Hence this study suggests the importance of the occupation as a central variable in the study of labour markets and socio-economic inequalities.
However, it does not seem appropriate to give up the activity sector dimension because, as it has been pointed out in this paper, as well as in previous studies, some of the occupations analyzed present salary or contractual offers which in other sectors are improved. As a consequence of this, it seems plausible to maintain the activity sector variable and to add the occupation dimension, so that the analysis oriented to the academic knowledge of employment may explore new nuances on the relationship between both dimensions. In addition, considering both variables would approximate the academic discussion related to tourism employment to a much more general field, such as the study of the processes of inequality and social change that have part of its explanation in employment and in the dynamics of the labour markets. This would improve the analysis of the socio-economic impacts of tourism; and it would allow, therefore, a better integration between the theoretical-empirical discussions related to the processes of change in current societies, and their interrelations with the business and labour dynamics in the different sectors of activity (Nolan et al., 2014).
As a second theoretical implication, this research suggests that it is evident that there is an occupational hierarchy in the tourism sector, evidenced through different contractual and salary proposals. This tourism sector hierarchy is only relatively parallel to the whole Spanish occupied population. A theoretical-empirical issue to be addressed in future research is to confirm if chefs and cooks are better treated in other countries, which places them in a better starting position than professionals; moreover, to address in more detail the causes of the worse treatment of professionals. Here we advance three hypotheses: firstly, that there is an overqualification effect, since the Spanish educational system has been concentrated in degrees that give rise to a number of graduates that tourism sector is not capable of absorbing; second, a sector effect due to the activation of hedonic salaries (there are other bonuses offered by the sector); and, thirdly, to a sector effect due to a business consideration that the productivity of the professionals is low due to educational degrees or competencies are not adapted to job positions (Campos-Soria et al., 2011; Casado-Diaz & Simon, 2016; García-Pozo et al., 2011; Lee & Kang, 1998; Riley & Szivas, 2003; Santos & Varejao, 2007; Silva & Freire-Guimarães, 2017; Thrane, 2008).
The occupational hierarchy is relatively stable in the tourism sector, as presented in the annual series of the Labour Force Survey (INE, Instituto Nacional de Estadística, 2019). However, the WHO declaration of a pandemic in March 2020, the expansion of Covid-19, and the declaration of a State of Alarm by the Spanish Government have created a new scenario. The Zero Tourism Scenario in 2020 creates a dramatic question mark over the short-term and long-term evolution of the sector (employer's decisions) and the characteristics of its employment.
A third theoretical implication is relative to the theories of labour segmentation, as the theoretical starting point of this work. Under that approach, the activity sector is fundamental. However, the results of this work suggest the need to better attend its internal heterogeneity, since it seems likely that business management faces different flexibility constraints according to occupational groups.
However, institutional and economic conditions of the Spanish labour market must also be underlined. The work temporality and precariousness in Spain is directly connected to these characteristics. The high unemployment rate and successive labour reforms have influenced the consolidation of a “culture of temporariness and precariousness” (Felgueroso, García-Pérez, & Jansen, 2018; Lorente-Campos & Guamán-Hernández, 2018) and the expansion of discontinuous labour trajectories (Verd & López-Andreu, 2012); with the consequent worsening quality at work (Merino-Llorente, Somarriba-Arechavala, & Negro-Macho, 2012). These last considerations affect the comparisons between countries, desirable for a better and more adjusted knowledge of employment in the tourism sector.
Our results yields methodological implications regarding the analysis of large amount of data available for online job offers and the high level of disaggregation achieved; and the use of online job offers is emerging as an effective complementary approach to study the dynamics of labour markets. However, it is a limitation of this research that job offers are the first step in a process that culminates with an employment contract, that may not always have identical characteristics to the description of the online published offer (we can only observe the first part of the hiring process).
Finally, this study suggests some implications for the tourism educational policy. All of the above poses a double challenge to the tourism sector. On the one hand, there needs to be a better evaluation of qualifications acquired through experience, which would guarantee that competent personnel are retained; and, on the other hand, a more imaginative connection with the educational system is needed. Experience is found to be very important in this sector, it works as a selection criteria, and this affects wages. The tourism educational policy should assess this circumstance in the planning of study plan contents, as well as the mix of traditional lectures, basic knowledge, hands-on practice and training in a company. Either it may address what set of mechanisms make it feasible that, while the degrees obtained in the formal education system are recognized via salaries so it, too, will occur with experience. Current literature has focused more on the different competences and contents that Spanish tourism degrees should include, and less on these implications for university graduates (Ceballos-Hernández, Arias-Martin, Ruiz-Jiménez, Sanz-Domínguez, & Vázquez-Bermúdez, 2010; James, Warhurst, Tholen, & Commander, 2013).
Biographies

Rosa Marrero-Rodríguez is an Associate Professor of Sociology in the Department of Sociology and Anthropology, University of La Laguna (Spain). She is currently the Dean of the Faculty of Social Sciences and Communication. PhD in Sociology (Complutense University of Madrid). Her research fields are the Sociology of Work, in particular the analysis of Labour Markets in Service Activities; and the Sociological analysis of the impacts of Tourism. In this second line, Dr. Marrero has recently studied the unequal involvement of the Business Community in innovation processes and, on the other hand, the opportunities of Immigrants in the Tourism Sector. For correspondence: jrmarrod@ull.edu.es

Sandra Morini-Marrero is an Associate Professor of Finance in the Department of Economics, Accounting and Finance, University of La Laguna. She holds a PhD in Finance and Bachelor of Business Studies. Dr. Morini conducts her research in finance and data modelling areas, prices, sentiment analysis, or machine learning. Her research includes Finance and Tourism.

Jose M. Ramos-Henriquez is an Adjunct Professor of Marketing in the Department of Business Administration and Economic History, University of La Laguna. Dr. Ramos received his PhD in Marketing from University of La Laguna, and he holds a Master in Telecommunication Engineering (Polytechnic University of Madrid). He is a seasoned professional with expertise in software, marketing and tourism. His research focuses on Machine Learning, Tourism and Marketing.
Footnotes
Supplementary data to this article can be found online at https://doi.org/10.1016/j.tmp.2020.100721.
Appendix A. Supplementary data
Supplementary material
References
- Addison J.T., Portugal P. Job search methods and outcomes. Oxford Economic Papers. 2002;54(3):505–533. [Google Scholar]
- Alberti G., Bessa I., Hardy K., Trappmann V., Umney C. In, against and beyond precarity: Work in insecure times. Work, Employment and Society. 2018;32(3):447–457. [Google Scholar]
- Alva K., Escot L., Fernández-Cornejo J.A., Cáceres-Ruiz J.I. Intermediarios del mercado de trabajo y eficacia de los métodos de búsqueda de empleo durante la crisis económica. Cuadernos de Relaciones Laborales. 2017;35(2):415. [Google Scholar]
- Alvesson M., Willmott H. Sage; Londres: 1992. Critical management studies. [Google Scholar]
- Anastasiou S. Recruitment communication practices in job adverts in Greece through a snapshot of internet sites for job vacancies. International Journal of Economics and Management Sciences. 2014;3(2):9–17. [Google Scholar]
- Anghel B., De la Rica S., Lacuesta A. The impact of the great recession on employment polarization in Spain. SERIEs. 2014;5(2–3):143–171. [Google Scholar]
- Atkinson J. Manpower strategies for flexible organisations. Personnel Management. 1984;16(8):28–31. [Google Scholar]
- Bachmann R., Baumgarten D. How do the unemployed search for a job? –evidence from the EU labour force survey. IZA Journal of European Labor Studies. 2013;2(1) doi: 10.1186/2193-9012-2-22. [DOI] [Google Scholar]
- Baum T. Human resources in tourism: Still waiting for change. Tourism Management. 2007;28(6):1383–1399. doi: 10.1016/j.tourman.2007.04.005. [DOI] [Google Scholar]
- Baum T. Human resources in tourism: Still waiting for change? A 2015 reprise. Tourism Management. 2015;50:204–212. doi: 10.1016/j.tourman.2015.02.001. [DOI] [Google Scholar]
- Bauman Z. John Wiley & Sons; 2013. Liquid modernity. [Google Scholar]
- Boltanski L., Chiapello E. Verso; London, UK: 2005. The new spirit of capitalism. [Google Scholar]
- Bosch G. Towards a new standard employment relationship in Western Europe. British Journal of Industrial Relations. 2004;42(4):617–636. [Google Scholar]
- Boselli R., Cesarini M., Mercorio F., Mezzanzanica M. Classifying online job advertisements through machine learning. Future Generation Computer Systems. 2018;86:319–328. doi: 10.1016/j.future.2018.03.035. [DOI] [Google Scholar]
- Campos-Soria J.A., Ortega-Aguaza B., Ropero-Garcia M.A. Gender segregation and wage difference in the hospitality industry. Tourism Economics. 2009;15:847–866. doi: 10.5367/000000009789955152. [DOI] [Google Scholar]
- Campos-Soria J.A., García-Pozo A., Sánchez-Ollero J.L., Benavides-Chicón C.G. A comparative analysis on human capital and wage structure in the Spanish hospitality sector. Journal of Service Science and Management. 2011;4:458–468. doi: 10.4236/jssm.2011.44052. [DOI] [Google Scholar]
- Carnoy M., Castells M., Benner C. Labour markets and employment practices in the age of flexibility: A case study of Silicon Valley. International Labour Review. 1997;136:27. [Google Scholar]
- Casado-Diaz J.M., Simon H. Wage differences in the hospitality sector. Tourism Management. 2016;52:96–109. doi: 10.1016/j.tourman.2015.06.015. [DOI] [Google Scholar]
- Castleberry S.B. The web as an information source for sales recruits: Its effectiveness in aiding anticipatory socialization of salespeople. Industrial Marketing Management. 2002;31(7):573–579. doi: 10.1016/S0019-8501(02)00177-3. [DOI] [Google Scholar]
- Ceballos-Hernández C., Arias-Martin C., Ruiz-Jiménez A., Sanz-Domínguez C., Vázquez-Bermúdez I. La formación en turismo en España: pasado, presente y futuro en el nuevo Espacio Europeo de Educación Superior. Cuadernos de Turismo. 2010;(25):45–67. [Google Scholar]
- Célérier S., Riesco-Sanz A., Rolle P. Trabajo autónomo y transformación del salariado: las reformas española y francesa. Cuadernos de Relaciones Laborales. 2017;35(2):393. doi: 10.5209/CRLA.56769. [DOI] [Google Scholar]
- Cervera-Taulet A., Ruiz-Molina M.E. Tourism education: A strategic analysis model. Journal of Hospitality, Leisure, Sport & Tourism Education. 2008;7(2):59–70. [Google Scholar]
- Chen C.C., Lin M.M., Chen C.M. Exploring the mechanisms of the relationship between website characteristics and organizational attraction. The International Journal of Human Resource Management. 2012;23(4):867–885. doi: 10.1080/09585192.2011.579916. [DOI] [Google Scholar]
- Churchward J., Riley M. Tourism occupations and education: An exploration study. International Journal of Tourism Research. 2002;4(2):77–86. [Google Scholar]
- Doeringer P.B., Piore M.J. ME Sharpe; 1985. Internal labor markets and manpower analysis. [Google Scholar]
- Eurofound . Background paper for Estonian presidency conference ‘future of work: Making it e-easy‘. 2017. Non-standard forms of employment: Recent trends and future prospects. [Google Scholar]
- Eurostat . 2019. Employment and unemployment (LFS) – Overview. https://ec.europa.eu/eurostat/web/lfs/overview Accessed: (Jan 15th, 2019) [Google Scholar]
- Felgueroso F., García-Pérez J.I., Jansen M. La contratación temporal en España: nuevas tendencias, nuevos retos. Papeles de Economía Española. 2018;156:47–61. [Google Scholar]
- Forstenlechner I., Madi M., Selim H., Rutledge E. Emiratisation: Determining the factors that influence the recruitment decisions of employers in the UAE. The International Journal of Human Resource Management. 2012;23(2):406–421. doi: 10.1080/09585192.2011.561243. [DOI] [Google Scholar]
- García-Pozo A., Campos-Soria J.A., Sánchez-Ollero J.L., Marchante-Lara M. Capital humano y salarios en la hostelería española: un análisis regional. Revista de Estudios Regionales. 2011;91:71–96. [Google Scholar]
- García-Pozo A., Campos-Soria J.A., Sánchez-Ollero J.L., Marchante-Lara M. The regional wage gap in the Spanish hospitality sector based on a gender perspective. International Journal of Hospitality Management. 2012;31:266–275. doi: 10.1016/j.ijhm.2011.06.007. [DOI] [Google Scholar]
- Gerogiannis E., Kerkofs P., Vargas O. European Foundation for the Improvement of Living and Working Conditions; Dublin: 2012. Employment and industrial relations in the hotels and restaurants sector. [Google Scholar]
- Goos M., Manning A., Salomons A. Job polarization in Europe. American Economic Review. 2009;99(2):58–63. doi: 10.1257/aer.99.2.58. [DOI] [Google Scholar]
- Grusky D.B., Galescu G. In: Approaches to class analysis. Wright E.O., editor. Cambridge University Press; 2005. Foundations of a neo-Durkheimian class analysis. [Google Scholar]
- Hjalager A. Global tourism careers? Opportunities and dilemmas facing higher education in tourism. Journal of Hospitality, Leisure, Sport & Tourism Education. 2003;2(2):26–37. [Google Scholar]
- IET, Instituto de Estudios Turísticos . Explotación de la Encuesta de Población Activa; 2015. Número de ocupados en la industria turística, según ocupación en los años 2013 y 2014. [Google Scholar]
- INE, Instituto Nacional de Estadística Introducción a la CNO-11. 2012. http://www.ine.es/daco/daco42/clasificaciones/Introduccion_CNO11.V02.pdf
- INE, Instituto Nacional de Estadística Encuesta de Población Activa. 2019. https://www.ine.es/index.htm
- ISTAS, Instituto Sindical de Ambiente, Salud T.Y. Fundación para la prevención de riesgos laborales, comisiones Obreras, Valencia. 2011. Las prácticas empresariales de gestión de la mano de obra en los diferentes grupos ocupacionales. [Google Scholar]
- James S., Warhurst C., Tholen G., Commander J. What we know and what we need to know about graduate skills. Work, Employment and Society. 2013;27(6):952–963. [Google Scholar]
- Korczynski M. Skills in service work: An overview. Human Resource Management Journal. 2005;15(2):3–14. [Google Scholar]
- Kureková L.M., Beblavy M., Thum-Thysen A. Using online vacancies and web surveys to analyse the labour market: A methodological inquiry. IZA Journal of Labor Economics. 2015;4(1) doi: 10.1186/s40172-015-0034-4. [DOI] [Google Scholar]
- Ladkin A. In: An international handbook of tourism education. Airey D., Tribe J., editors. Routledge; Londres: 2006. Careers and employment; pp. 437–449. [Google Scholar]
- Ladkin A. Exploring tourism labor. Annals of Tourism Research. 2011;38(3):1135–1155. [Google Scholar]
- Ladkin A., Buhalis D. Online and social media recruitment: Hospitality employer and prospective employee considerations. International Journal of Contemporary Hospitality Management. 2016;28(2):327–345. [Google Scholar]
- Lam T. New employees' turnover intentions and organizational commitment in the Hong Kong hotel industry. Journal of Hospitality and Tourism Research. 2002;26(3):217–234. [Google Scholar]
- Lambert P.S., Bihagen E. Using occupation-based social classifications. Work, Employment and Society. 2014;28(3):481–494. [Google Scholar]
- Lee C., Kang S. Measuring earnings inequality and median earnings in the tourism industry. Tourism Management. 1998;19(4):341–348. doi: 10.1016/S0261-5177(98)00033-8. [DOI] [Google Scholar]
- Levenson A., Zoghi C. Occupations, human capital and skills. Journal of Labor Research. 2010;31(4):365–386. [Google Scholar]
- Lillo-Bañuls A., Casado-Díaz J.M. Capital humano y turismo: rendimiento educativo, desajuste y satisfacción laboral. Estudios de Economía Aplicada. 2011;29(3):755–780. [Google Scholar]
- Lorente-Campos R., Guamán-Hernández A. Expansion of temporality and erosion of the standard employment relationship in Spain: The emergence of a new paradigm of employment relationship? Cuadernos de Relaciones Laborales. 2018;36(1):35. [Google Scholar]
- Lovaglio P.G., Cesarini M., Mercorio F., Mezzanzanica M. Skills in demand for ICT and statistical occupations: Evidence from web-based job vacancies. Statistical Analysis and Data Mining: The ASA Data Science Journal. 2018;11(2):78–91. doi: 10.1002/sam.11372. [DOI] [Google Scholar]
- Lucas R. Routledge; London-New York: 2004. Employment relations in the hospitality and tourism industries. [Google Scholar]
- Marco-Lajara B., Úbeda-García M. Human resource management approaches in Spanish hotels: An introductory analysis. International Journal of Hospitality Management. 2013;35:339–347. [Google Scholar]
- Marhuenda F., Martinez I., Navas A. Conflicting vocational identities and careers in the sector of tourism. Career Development International. 2004;9(3):222–244. [Google Scholar]
- Marrero-Rodríguez J.R. La sobrecualificación en el sector turístico: el caso español (1987-2011) Cuadernos de Relaciones Laborales. 2015;33(1):149–168. [Google Scholar]
- Marrero-Rodríguez J.R., Rodríguez-González P., Ramos-Henríquez J.M. La flexibilidad laboral en el sector turístico. Un análisis a partir de las ofertas de empleo. Estudios y Perspectivas en Turismo. 2016;25(2):143–163. [Google Scholar]
- Merino-Llorente M.C., Somarriba-Arechavala N., Negro-Macho A.M. Un análisis dinámico de la calidad del trabajo en España. Los efectos de la crisis económica. Estudios de Economía Aplicada. 2012;30(1):261–282. [Google Scholar]
- Millar K.M. Toward a critical politics of precarity. Sociology Compass. 2017;11(6) [Google Scholar]
- Morell Blanch A., Brunet I. El reclutamiento de personal en la nueva sociedad informacional. Papers: Revista de Sociología. 1999;59:173–194. [Google Scholar]
- Moss P., Tilly C. Soft skills and race: An investigation of black men's employment problems. Work and Occupations. 1996;23(3):252–276. [Google Scholar]
- Muñoz-Bullon F. The gap between male and female pay in the Spanish tourism industry. Tourism Management. 2009;30:638–649. doi: 10.1016/j.tourman.2008.11.007. [DOI] [Google Scholar]
- Nolan B., Salverda W., Checchi D., Marx I., McKnight A., Tóth I., van de Werfhorst H. OUP Oxford; 2014. Changing inequalities and societal impacts in rich countries: Thirty countries' experiences. [Google Scholar]
- Osterman P. Choice of employment systems in internal labor markets. Industrial Relations: A Journal of Economy and Society. 1987;26(1):46–67. [Google Scholar]
- Park S., Yaduma N., Lockwood A., Williams A. Demand fluctuations, labour flexibility and productivity. Annals of Tourism Research. 2016;59:93–112. doi: 10.1016/j.annals.2016.04.006. [DOI] [Google Scholar]
- Pizam A. The changing social status of chefs. International Journal of Hospitality Management. 2016;100(59):116–117. [Google Scholar]
- Riley M., Szivas E. Pay determination. A socioeconomic framework. Annals of Tourism Research. 2003;30(2):446–464. [Google Scholar]
- Riley M., Ladkin A., Szivas E. Channel View Publications; England: 2002. Tourism employment. Analysis and planning. [Google Scholar]
- Robinson R.N., Martins A., Solnet D., Baum T. Sustaining precarity: Critically examining tourism and employment. Journal of Sustainable Tourism. 2019;27(7):1008–1025. doi: 10.1080/09669582.2018.1538230. [DOI] [Google Scholar]
- Roosipõld A., Loogma K. Changes in professionalism: The case of Estonian chefs. Professions and Professionalism. 2014;4(3):1–17. [Google Scholar]
- Santos L.D., Varejao J. Employment, pay and discrimination in the tourism industry. Tourism Economics. 2007;13:225–240. [Google Scholar]
- Schmid G. Non-standard employment in Europe: Its development and consequences for the European employment strategy. German Policy Studies. 2011;7(1):171–210. [Google Scholar]
- Sennett R. WW Norton and Company; 1998. The corrosion of character: The personal consequences of work in the new capitalism. [Google Scholar]
- SEPE, Servicio Público de Empleo Estatal . 2012. Los perfiles de la oferta de empleo. Ministerio de Trabajo e Inmigración, Madrid. https://www.sepe.es/HomeSepe/que-es-el-sepe/observatorio/pefiles-de-la-oferta-de-empleo/documentacion-perfiles.html Accessed: Jan 15th, 2019. [Google Scholar]
- SEPE, Servicio Público de Empleo Estatal . 2013. Los perfiles de la oferta de empleo. Ministerio de Trabajo e Inmigración, Madrid. https://www.sepe.es/HomeSepe/que-es-el-sepe/observatorio/pefiles-de-la-oferta-de-empleo/documentacion-perfiles.html. Accessed: Jan 15th, 2019. [Google Scholar]
- Silva J.R., Freire-Guimarães C. Wage differentials in Brazil: Tourism vs. other service sectors. Cogent Economics & Finance. 2017;5(1) [Google Scholar]
- Standing G. The Precariat-the new dangerous class. Amalgam. 2014;6(6–7):115–119. [Google Scholar]
- Stevenson B. Studies of labor market intermediation. University of Chicago Press; 2009. The internet and job search; pp. 67–86. [Google Scholar]
- Strietska-Ilina O., Tessaring M. Cedefop Panorama series, Office for Official Publications of the European Communities; Luxembourg: 2005. Trends and skill needs in tourism. [Google Scholar]
- Suvankulov F. Internet recruitment and job performance: Case of the US Army. The International Journal of Human Resource Management. 2013;24(11):2237–2254. [Google Scholar]
- Tholen G., Relly S.J., Warhurst C., Commander J. Higher education, graduate skills and the skills of graduates: The case of graduates as residential sales estate agents. British Educational Research Journal. 2016;42(3):508–523. doi: 10.1002/berj.3222. [DOI] [Google Scholar]
- Thrane C. Earnings differentiation in the tourism industry: Gender, human capital and socio-demographic effects. Tourism Management. 2008;29(3):514–524. doi: 10.1016/j.tourman.2007.05.017. [DOI] [Google Scholar]
- Tongchaiprasit P., Ariyabuddhiphongs V. Creativity and turnover intention among hotel chefs: The mediating effects of job satisfaction and job stress. International Journal of Hospitality Management. 2016;55:33–40. [Google Scholar]
- Urry J. Polity; Cambridge: 2014. Offshoring. [Google Scholar]
- Veijola S. Introduction: Tourism as work. Tourist Studies. 2009;9(2):83–87. [Google Scholar]
- Verd J.M., López-Andreu M. La inestabilidad del empleo en las trayectorias laborales. Un análisis cuantitativo. Revista Española de Investigaciones Sociológicas (REIS) 2012;138(1):135–148. [Google Scholar]
- Viktorovna K.T., Avtandilovna H.N. Research of competence-based tourism educational system's conformity with requirements of a modern business-society. World Applied Sciences Journal. 2014;30(CMTT):22–24. [Google Scholar]
- Villa P. University of Cambridge; 1984. The structure of labour markets: A comparative analysis of the steel and construction industries in Italy. Doctoral dissertation. [Google Scholar]
- Wilthagen T. 1998. Flexicurity: A new paradigm for labour market policy reform? (Discussion Paper FS-I 98-202, Wissenschaftszentrum, Berlin) [Google Scholar]
- Witz A., Warhurst C., Nickson D. The labour of aesthetics and the aesthetics of organization. Organization. 2003;10(1):33–54. [Google Scholar]
- Zopiatis A. Is it art or science? Chef's competencies for success. International Journal of Hospitality Management. 2010;29(3):459–467. doi: 10.1016/j.ijhm.2009.12.003. [DOI] [Google Scholar]
Associated Data
This section collects any data citations, data availability statements, or supplementary materials included in this article.
Supplementary Materials
Supplementary material



