Abstract
Tributyltin (TBT) chloride is an endocrine disrupting chemical associated with reproductive complications. Studies have shown that TBT targets the reproductive tract, impairing ovarian folliculogenesis, and uterine morphophysiology. In this investigation, we assessed whether subchronic and low dose of TBT exposure results in abnormal ovarian follicular reserve and other irregularities in female mice. TBT was administered to female mice (500 ng/kg/day for 12 days via gavage), and reproductive tract morphophysiology was assessed. We further assessed reproductive tract inflammation and oxidative stress. Improper functioning of the reproductive tract in TBT mice was observed. Specifically, irregular estrous cyclicity and abnormal ovarian morphology coupled with reduction in primordial and primary follicle numbers was observed, suggesting ovarian reserve depletion. In addition, improper follicular development and a reduction in antral follicles, corpora lutea, and total healthy ovarian follicles together with an increase in cystic follicles were apparent. Evidence of uterine atrophy, reduction in endometrial gland number, and inflammation and oxidative stress were seen in TBT mice. Further, strong negative correlations were observed between testosterone levels and primordial, primary, and total healthy ovarian follicles. Thus, these data suggest that the subchronic and low dose of TBT exposure impaired ovarian follicular reserve, uterine gland number, and other reproductive features in female mice.
Keywords: tributyltin, endocrine disruptor chemical, ovarian reserve, hyperandrogenism, uterine glands
Tributyltin (TBT) is a persistent organotin (OT) contaminant that is widely used in several agroindustry applications and has been identified as an endocrine disrupting chemical (EDC; Grün et al., 2006). TBT is a tri-OT with high toxicity that could be linked covalently to a heteroatom (O, Cl, etc.), leading to different types of TBT, such as TBT oxide (TBTO) and TBT chloride (Hoch, 2001). TBTO has a degradation half-life ranging from days to several years depending on ecosystem conditions (ECHA, 2008; Rüdel, 2003). Therefore, TBT is able to accumulate in the food chain, leading to complex toxicologic effects on both invertebrate and vertebrate endocrine systems (Antizar-Ladislao, 2008). For instance, TBT induces imposex, the abnormal induction of male sex features in female gastropod mollusks, leading to improper reproductive function (Fent, 1996; Fernandez et al., 2005).
The European Food Safety Authority (EFSA) and U.S. Environmental Protection Agency (EPA) established human tolerable daily intake levels of 250 and 300 ng/kg/day of TBTO and TBT, respectively, which was derived by applying a 100-fold safety factor to the mouse no observed adverse effect level of 25 μg/kg/day (EFSA, 2004; US EPA, 1997; Vos et al., 1990). In humans, the principal route of exposure to TBT is ingestion by consumption of contaminated food (Chien et al., 2002; Merlo et al., 2018). Seafood samples collected in Asian, European, and North American markets in 1997 exhibited TBT levels that averaged 185 ng/g dry-weight (dw; Antizar-Ladislao, 2008). Commercial and wild oysters collected in Shanghai, China between 2014 and 2015 showed TBT levels ranging from 17.6 to 68.1 and 2.46 to 79.1 ng Sn g−1 dw, respectively (Chen et al., 2019). Kannan et al. (2010) and Whalen et al. (1999) reported a range from 64 to 155 ng/ml for OT/TBT levels (260–600 ng/g dw) in human whole blood collected from 32 volunteers from both males and females in Michigan, USA in 1998. Workers exposed to fumes of OT scraps between 2011 and 2012 had trimethyltin and dimethyltin blood levels ranging 43–147 and 1–2.5 µg/gCr, respectively (Ichihara et al., 2019). Our studies and other previous studies reported that TBT exposure using low doses in rodent models (100–500 ng/kg/day) are responsible for metabolic, reproductive, cardiovascular, and other abnormalities (Bertuloso et al., 2015; Grün et al., 2006; Merlo et al., 2016; Sena et al., 2017; Ximenes et al., 2017).
TBTO and TBT represents a health public concern because it is a known EDC and reproductive toxicant, which targets the ovary (US EPA, 1997; Chamorro-García et al., 2013; de Araújo et al., 2018; Sena et al., 2017). This is of further concern because the ovary plays a key role as an integral modulator of reproductive and nonreproductive female health. The mammalian female is born with a finite number of ovarian primordial follicles known as the ovarian follicular reserve (Bhattacharya and Keating, 2012; Craig et al., 2011). After puberty, proper folliculogenesis begins as the irreversible maturation of dormant primordial follicles to primary follicles, then preantral follicles, and ultimately mature antral follicles for ovulation (Hannon et al., 2016). Our previous studies reported that TBT exposure (100 ng/kg/day) for 15 or 30 days impaired estrous cyclicity, altered ovarian folliculogenesis by increasing cystic and atretic ovarian follicles, reduced corpora lutea (CL) number, and increased serum testosterone levels in female rats (de Araújo et al., 2018; Sena et al., 2017). However, it was not known if TBT exposure is able to impair ovarian follicular reserve in an adult mouse model, independent of adult rodent experimental model used, their time, and/or dose exposure. In addition, using a Swiss female mice model exposed to different doses of TBT (100, 250, 500 and 750 ng/kg/day) for different times (7, 10 and 12 days), we observed only that 500 ng/kg/day dose exposure for 12 days alters estrous cyclicity (data not published). Thus, this study was designed to test the hypothesis that subchronic and low dose TBT exposure (500 ng/kg/day for 12 days) causes ovarian follicular reserve impairment, hyperandrogenism, uterine gland changes, and/or other adverse reproductive outcomes in female mice. Specifically, this study focused on the effects of TBT exposure on estrous cyclicity, reproductive tract morphology, ovarian follicular development, oxidative stress (OS), sex hormones in vivo, and expression of reproductive and OS genes.
MATERIALS AND METHODS
Experimental animals
Adult female C57BL/6 mice (7–8 weeks old, 20–25 g) were maintained in controlled temperature between 23°C and 25°C with a 12:12-h light/dark cycles. Mouse chow and filtered tap water were provided ad libitum. All the protocols were approved by the Ethics Committee of Animals of the Federal University of Espírito Santo (No. 46/2016). The mice were weighed and divided into the following 2 groups (day 0): (1) Control (CON, n = 15) mice were treated daily with a vehicle (0.4% ethanol) and (2) TBT chloride (n = 15) mice were treated daily with TBT (500 ng/kg/day, TBT [96%], Sigma-Aldrich, St Louis, Missouri) for 12 days by gavage. Mice exposed to TBT were referred to as the TBT mice throughout the investigation. Animals were weighed every 3 days and anesthetized on the last day of treatment (day 12) using ketamine and xylazine (90 mg/kg and 4.5 mg/kg, ip) prior to euthanasia, and wet organ weights (wt) were obtained (Supplementary Table 1, n = 5). TBT doses and oral route of exposure were selected by measuring the serum tin levels and comparing the current findings with our and other previous studies that demonstrated toxicity on metabolic and reproductive tissues (Bertuloso et al., 2015; de Araújo et al., 2018; Kirchner et al., 2010; Sena et al., 2017). In addition, the selected dose (500 ng/kg/day) was used because of a previous study indicating that it causes adverse effects in mice and is a dose close to the estimated human intake (Penza et al., 2011).
Estrous cycle assessment
The estrous cycle was assessed as previously described (Nelson et al., 1982). Briefly, vaginal smears were obtained daily at 10:00 am. The smears were examined as stained preparations with hematoxylin and eosin (H&E) and observed with a light microscope. The estrous cycle stages were classified as proestrus (P), estrus (E), or metestrus-diestrus (M-D) based on the observed ratios of cornified epithelial, nucleated epithelial, and polymorphonuclear leukocytes. The frequencies of the estrous cycles and the days spent in the different phases were compared between the CON and TBT mice (n = 12). A second set of mice was evaluated using the same methods to confirm the possible abnormalities in the estrous cycle (Supplementary Figure 1).
Hormonal assays
Serum samples were obtained in morning of M-D phase, and the ovarian sex steroids levels were evaluated. Estrogen (E2) levels were measured using the E2 ELISA kit (n = 5; EIA-2693, DRG Instruments GmbH, Germany; Podratz et al., 2015; Rossi et al., 2016). Progesterone (P4) levels were measured using the P4 ELISA kit (n = 5; EIA-2693, DRG Instruments GmbH, Germany; Podratz et al., 2015; Rossi et al., 2016). Testosterone levels were measured using a testosterone ELISA kit (n = 5; EIA-1559, DRG International, Inc., USA). The assay detection limit for testosterone was 1.76 ng/ml. The intra-assay coefficient of variation for each assay was between 1.8% and 2.6%. The inter-assay coefficient of variation for each assay was between 2.9% and 6.0% (Podratz et al., 2015; Rossi et al., 2016).
Morphological analysis
Morphological analysis of the ovaries and uteri were performed (n = 5). The ovaries and uteri were removed in the M-D phase and fixed in PBS-formalin at room temperature. Sections of the ovaries and uteri were stained with H&E and examined for morphological parameters using a light microscope as previously published (Podratz et al., 2015). For the ovaries, the ovarian follicles and CL were counted and expressed as units per area (mm2). Ovarian follicles were classified according to the method of Myers et al. (2004). Briefly, follicles were classified as primordial if they contained an oocyte surrounded by a partial or complete layer of squamous granulosa cells (GCs). Follicles were classified as primary follicles if they contained a single layer of cuboidal GCs. Follicles were classified as preantral when they contained 2–4 layers of GCs with no antral space. Antral (An) follicles contained 3 or more layers of GCs and a clearly defined antral space. The atretic (At) and cystic ovarian follicles were also evaluated as described previously by Shi et al. (2009). The total number of ovarian healthy follicles (the sum of primordial, primary, preantral and antral follicles) and unhealthy follicles (the sum of atretic and cystic follicles), ovarian granulosa thickness and theca area were evaluated (Caldwell et al., 2014). Additionally, the assessments for each uterine cross-section were used to evaluate uterine endometrial (End) and myometrial (Myo) areas (Supplementary Figure 4). Endometrial uterine gland (GE) number was also evaluated (Richardson et al., 2018). PAS staining was performed in uterine sections to evaluate a mucus gland score (Witte et al., 2012). The ovaries and uteri (without uterine horns) were analyzed in multiple sections with different histologic planes throughout the whole organs (until 50 μm distance among sections) with high-quality images, resulting in a total of 15–20 measurements/animal (n = 4–6 per group), as previously described (de Araújo et al., 2018; Sena et al., 2017). All evaluations were conducted with an Olympus microscope (AX70; Center Valley, Pennsylvania, USA) and photographed with an AxioCamICc1 camera. Two independent analyzers performed these observations. A second set of mice was evaluated to confirm the possible abnormalities in the ovarian reserve, follicular development, and the total number of ovarian healthy follicles and unhealthy follicles (Supplementary Figure 2).
Inflammation assessment
TBT exposure is associated with inflammatory events (Ceotto Freitas-Lima et al., 2018). Thus, the numbers of mast cells in ovarian and uterine tissues were evaluated (n = 4). Ovarian and uterine sections were stained with Alcian Blue using a standard protocol (Sigma). Each of these sections was used to obtain 20 photomicrographs under a light microscope (40× objective). Briefly, we examined the photomicrographs for the presence and number of nuclei in cells that contained purple cytoplasmic granules. The ovarian and uterine areas to be analyzed were randomly selected with the exception that fields containing medium-sized blood vessels were carefully avoided. The number of positively stained cells was expressed per unit area (mm2; Bertuloso et al., 2015). In addition, ovarian and uterine neutrophil and macrophage numbers were indirectly measured by the myeloperoxidase (MPO) and n-acetyl-β-D-glucosaminidase (NAG) activity assays (Araújo et al., 2010; Barcelos et al., 2005). Briefly, the ovaries and uteri were weighed, homogenized, and centrifuged, and the pellets were resuspended in 0.05 M NaPO4 buffer (pH 5.4), followed by 3 freeze-thaw cycles using N2(l). The MPO activity in the supernatant samples was assayed by measuring the change in absorbance (optical density [OD]) at 450 nm using tetramethylbenzidine (1.6 mM) and H2O2 (0.3 mM). For NAG evaluation, the ovaries and uterus were homogenized centrifuged, and the supernatant was incubated with p-nitrophenyl-n-acetyl-β-d-glucosaminide (Sigma-Aldrich), which was prepared in citrate/phosphate buffer (pH 4.5). Hydrolysis of the substrate was determined by measuring absorption at 400 nm.
OS assessment
To detect the superoxide anion () levels, ovarian and uterine cryosections (8 μm, n = 5) were incubated with the -sensitive fluorescent dye dihydroethidium (DHE; Merlo et al., 2016). Images were obtained using a Leica microscope (DM 2500). The signal intensity was analyzed in 20 sections per tissue. In addition, uterine samples were prepared for a reduced glutathione (GSH) and thiobarbituric reactive species (TBARS) quantification assay (Syam et al., 2017).
Serum TBARS levels were also evaluated. Briefly, the serum samples were mixed with 1 ml of 10% trichloroacetic acid and 1 ml of 0.67% thiobarbituric acid; subsequently, the samples were heated in a boiling water bath for 15 min. TBARS were determined by absorbance at 530 and 600 nm and expressed as nmol/g calculated from a standard curve using standard dilutions (Coutinho et al., 2016).
Protein extraction and immunoblotting
Ovarian and uterine total protein levels were obtained (Bertuloso et al., 2015). Briefly, the samples (n = 5) were loaded onto an SDS/PAGE gel to perform immunoblotting analysis (Bio-Rad). The primary antibodies included antiestrogen receptor alpha (ERα, sc7207; 1:500, SCBT, Inc), antiaromatase (CYP19, sc374176; 1:500, SCBT, Inc), and antiglyceraldehyde 3-phosphate dehydrogenase (GAPDH, sc25778, 1:1000, SCBT, Inc). ERα and GAPDH proteins were detected using a secondary antirabbit IgG alkaline phosphatase conjugate (sc-2007, 1:1000, SCBT, Inc), CYP19 protein was detected using a secondary antimouse IgG alkaline phosphatase conjugate (A3562, 1:1000, Sigma). The blots for ERα, CYP19, and their respective GAPDH controls were visualized using a color development reaction containing nitroblue tetrazolium chloride and 5-bromo-4-chloro-3-in-dolyl phosphate p-toluidine salt (sc24981, SCBT, Inc). The protein bands were analyzed by densitometry using ImageJ software. The relative expression levels were normalized by dividing the values for the protein of interest by the corresponding internal control values.
Statistical analysis
All data are reported as the mean ± SEM. To identify possible outliers in the data, a 2-sided Grubbs’ test was used. When the Grubbs’ test identified 1 outlier, we used an adapted ROUT method to detect any outliers from that column of data and removed them according to the Q setting at 1% (alpha = 0.01). D’Agostino and Pearson omnibus tests were used to assess normality of the data. Comparisons between the groups were performed using Student’s t tests for Gaussian data. Additionally, for the nonGaussian data, a Mann-Whitney test was used. A value of p < .05 was regarded as statistically significant. To evaluate the relationship between the assessed parameters, Spearman’s or Pearson’s correlation was used if a nonGaussian or Gaussian distribution, respectively, was detected. All correlations were obtained from paired animal values. Finally, when statistical significance was identified, we tested whether linear or nonlinear regression was better fitting. Statistical analyses and graphical construction were performed using GraphPad Prism version 6.00 (La Jolla, California, USA).
RESULTS
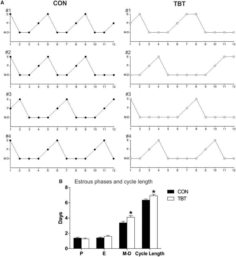
TBT Mice Have Abnormal Estrous Cycles
TBT mice displayed irregular (Figure 1A) and longer estrous cycles (CON: 6.35 ± 0.15; TBT: 6.92 ± 0.19 days, p < .05, n = 12; Figure 1B) and spent more days in the M-D phase (CON: 3.37 ± 0.20; TBT: 4.10 ± 0.22 days, p < .05, n = 12; Figure 1B) compared with the CON mice. Thus, TBT exposure led to abnormal estrous cyclicity in female mice.
Figure 1.
TBT mice have an abnormal estrous cycle. A, Graphic representation of the estrous cycle in CON and TBT mice determined by vaginal cytology for 15 days. B, Graphic representation of the number of days in each stage of the estrous cycle and the total cycle length. Proestrus (P), estrus (E), metestrus-diestrus (M-D). *p < .05 versus CON (Student’s t test; n = 10–12).
TBT Exposure Effects in Body and Organs Weight
To determine the TBT effect on the biometry, bw, reproductive tract wet weights, and metabolic organ wet weights were assessed (Supplementary Table 1, n = 5). The initial and final bw were similar between the CON and TBT mice (Supplementary Table 1, p > .05). Uterus, ovary, liver, spleen, adrenal gland, kidney, heart, pancreas, parametrial, retroabdominal and retroperitoneal fat tissue weights, and adiposity were also similar between CON and TBT mice (Supplementary Table 1, p > .05).
Sexual Hormones Levels After TBT Exposure
No significant differences were observed in serum P4 and E2 levels between the CON and TBT mice (Table 1, p > .05, n = 5). However, an increase in serum testosterone levels was observed in TBT mice compared with CON mice (Table 1, p < .05, n = 5).
Table 1.
Sex Hormonal Levels in the Female Mice
| P4 (ng/ml) | Test (ng/ml) | E2 (pg/ml) | |
|---|---|---|---|
| CON | 3.44 ± 1.24 | 0.32 ± 0.01 | 23.60 ± 2.11 |
| TBT | 3.60 ± 1.21 | 0.37 ± 0.01* | 22.20 ± 3.14 |
The values are expressed as mean ± SEM (n = 5).
E2, estrogen; P4, progesterone; Test, testosterone.
p < .05 versus CON (Student t test).
TBT Exposure Impairs Ovarian Follicular Reserve in Female Mice
The ovarian sections from CON mice contained ovarian follicles with regular stages of development (Figs. 2A, A1, and A2) and presence of CL (Figure 2A1). However, TBT ovaries displayed irregular morphology and reduced presence of CL (Figs. 2B, B1, and B2). Specifically, fewer primordial and primary ovarian follicle numbers were observed in TBT mice compared with CON mice (54.12% and 32.96% reduction, respectively, p < .01 and .05, Figs. 2C and 2D), suggesting a reduction in ovarian follicular reserve in TBT mice compared with CON mice.
Figure 2.
TBT exposure leads to abnormal ovarian follicular development in female mice. Representative sections from (A, A1, and A2) CON and (B, B1, and B2) TBT ovaries were stained with H&E, which indicates the CL, cystic follicles (Cy), antral follicles (An), and atretic follicles (At). Reduced ovarian (C) primordial and (D) primary ovarian follicles number. (E) Preantral ovarian follicles number. Reduced ovarian (F) antral follicles and (G) CL number. H, Atretic ovarian follicles number. I, Increased ovarian cystic follicles in the TBT mice. J, Reduced total healthy ovarian follicles number. K, Total unhealthy ovarian follicles number. *p < .05, **p < .01 versus CON (Student’s t test; n = 4–6).
TBT Exposure Impairs Ovarian Follicular Development in Female Mice
The ovarian sections from TBT mice a reduced number of antral (An) ovarian follicles (26.22%, p < .01, Figure 2F) and CL (28.44%, p < .01, Figure 2G) compared with CON ovaries. Further, TBT ovaries had an increase in the number of cystic ovarian follicles (Cy) compared with CON (39.94%, p < .01, Figure 2I). No significant changes were observed in the number of preantral and atretic ovarian follicles (At) between the CON and TBT mice (p > .05, Figs. 2E and 2H). Total numbers of healthy ovarian follicles were also reduced in TBT mice (28.77%, p < .05, Figure 2J), but similar numbers of unhealthy total ovarian follicles were observed in CON and TBT mice (p > .05, Figure 2K).
We also evaluated the theca area and granulosa thickness. No significant changes were observed in theca area and granulosa thickness between CON and TBT mice (p > .05, Supplementary Figs. 3A and 3B).
Ovarian Aromatase Expression in Female Mice
No significant change was observed in ovarian aromatase (CYP19) protein expression between CON and TBT mice (p > .05, Supplementary Figure 3C).
TBT Induces Uterus Morphology Abnormalities in Female Mice
TBT uteri (Figs. 3C, C1, and C2) were atrophic compared with CON uteri (Figs. 3A, A1, and A2). TBT uterine End (35.31%, p < .001, Figure 3E) and Myo areas were reduced compared with CON mice (37.98%, p < .001, Figure 3F).
Figure 3.
TBT induces uterus atrophy in female mice. Representative sections from the (A, A1, and A2) CON and (C, C1, and C2) TBT uteri were stained with H&E, which indicates atrophy in the TBT uterus. (A, A1, and A2) The regular aspects of the End, GEs, Myo were observed in the CON uterus. E and F, Reduced End and Myo area in the TBT mice. G, Reduced GE number in TBT uterus. B and D, CON and TBT uterine sections stained with PAS. H, Score PAS glands. I, Reduced uterine ERα protein expression in TBT mice. *p < .05 versus.CON (Student’s t test). L, Lumen; LE, luminal epithelium; GE, endometrial gland (n = 4–6).
The number of uterine GEs was evaluated. GE reduction was observed in TBT mice compared with CON mice (31.76%, p < .001, Figs. 3A2, C2, and G). PAS staining was performed in uterine sections to evaluate the presence of mucus inside of GE. A similar PAS score in GEs were observed between CON and TBT mice (p > .05, Figs. 3B, 3D, and 3H).
TBT Induces a Reduction in Uterine ERα Expression in Female Mice
A reduction in uterine ERα protein expression was observed between CON and TBT mice (p < .05, Figure 3I). Specifically, TBT exposure reduced ERα protein to 27.21%.
TBT Mice Have Reproductive Tract Inflammation
Only a few positive mast cells were observed in the ovaries of CON and TBT mice (Figs. 4A, A1, C, and C1). For this reason, we were not able to evaluate an ovarian number of mast cells. However, an increase in the uterine mast cell number (Figs. 4B, B1, D, and D1) was observed in the TBT mice compared with the CON mice, (83.40%, p < .001, Figure 4G). No significant change in the ovarian MPO activity was observed between CON and TBT mice (p > .05, Figure 4E). An increase in the ovarian NAG activity was observed between CON and TBT mice (55.38%, p < .01, Figure 4F). An increase in uterine MPO (32.70%, p < .05, Figure 4H) and NAG (87.24%, p < .01, Figure. 4I) activities were observed in TBT mice compared with CON mice.
Figure 4.
Inflammation in the reproductive tract in female mice. Representative mast cell sections from the (A, A1) CON and (C, C1) TBT ovaries were stained with Alcian Blue (arrow). Uterine representative mast cells evaluation in (B, B1) CON and (D, D1) TBT female mice. Ovarian (E) MPO and (F) NAG activities. Increased (G) mast cells number, (H) MPO, and (I) NAG activities in the TBT uterus. *p < .05, **p < .01, ***p < .001 versus CON (Student’s t test). NAG, N-acetyl-β-D-glucosaminidase (macrophage); MOP, myeloperoxidase (neutrophil; n = 4–6).
TBT Exposure Increases Serum and Uterine OS in Female Mice
The serum and reproductive tract redox balance were assessed (Supplementary Figure 5 and Figure 5). An increase in serum TBARS levels was observed in TBT mice compared with CON mice (55.78%, p < .05, Supplementary Figure 5).
Figure 5.
TBT exposure increases uterine OS in female mice. Representative (A and B) ovarian and (D and E) uterine DHE-stained sections obtained from CON and TBT mice. C, Ovarian levels. Increased (F) and (G) TBARS levels in the uterus of the TBT mice. H, Uterine GSH levels (n = 4–6). *p < .05 versus CON (Student’s t test and Mann-Whitney test).
No significant change was observed in ovarian levels between CON and TBT mice (n = 4, p > .05, Figs. 5A–C). However, high uterine levels were observed between CON and TBT mice (103.16%, n = 4, p < .05, Figs. 5D–F). An increase in the uterine TBARS levels was observed in TBT mice compared with CON mice (151.52%, p < .05, Figure 5G). However, no significant change was observed in the uterine GSH levels between the experimental groups (n = 5, p > .05, Figure 5H).
Correlation Among Serum Testosterone Levels, Ovarian Follicles, and Inflammation Assessed and Uterine Parameters
To evaluate the relationship between the serum testosterone levels, ovarian follicular development toxicity (eg, primary, primordial, antral ovarian, total healthy, and cystic ovarian follicles), CL numbers, ovarian inflammation (NAG; Figure 6) and uterine parameters (ie, End and Myo area) and uterine GEs (Supplementary Figure 6), pairwise correlation analyses were performed, and a linear fit was plotted.
Figure 6.
The correlation among serum testosterone levels, ovarian follicular development and inflammation. The values of cycle length were plotted with the (A) serum testosterone levels. The (B) primordial, (C) primary, (D) antral, and (E) total healthy ovarian follicles were correlated with serum testosterone levels. F, Ovarian CL number was plotted with testosterone levels. The (G) cystic ovarian follicles were correlated with serum testosterone levels. Ovarian inflammation (NAG) is plotted with serum testosterone levels. Statistical significance (p < .05) was tested using the Spearman’s or Pearson’s test if a nonGaussian or Gaussian data distribution, respectively, was detected.
Serum testosterone levels were correlated with some ovarian follicular development parameters (Figure 6). We observed a negative linear correlation between primordial and primary ovarian follicles numbers and serum testosterone levels (Figs. 6B and 6C, p < .05 and .001). We also observed a negative linear correlation between total healthy ovarian follicle number and serum testosterone levels (Figure 6E, p < .05). However, no significant linear correlation was observed between ovarian antral (Figure 6D, p = .1661), cystic follicles (Figure 6G, p = .7930), CL (Figure 6F, p = .1043), ovarian inflammation (NAG; Figure 6H, p = .0908), and serum testosterone levels. In addition, no significant linear correlation was observed between estrous cycle length and serum testosterone levels (Figure 6A, p = .7877). No significant linear correlation was observed between serum testosterone levels and GE, Myo and End area (p > .05, Supplementary Figs. 6A–C).
DISCUSSION
Our study provides evidence that subchronic and low dose TBT exposure (500 ng/kg/day for 12 days) is responsible for improper functioning of the reproductive tract in female mice. Specifically, TBT exposure caused irregular estrous cyclicity, with a reduction in primordial and primary ovarian follicles number, suggesting that TBT exposure impairs ovarian follicular reserve in female mice. TBT exposure also caused abnormal ovarian follicular development, with a reduction in antral and total healthy ovarian follicles and an increase in cystic ovarian follicles. Further, TBT exposure resulted in high serum testosterone levels, uterine atrophy with a reduction in (GE) numbers, reproductive tract inflammation and OS. Further, strong negative correlations were observed between testosterone levels and primordial, primary, and total healthy ovarian follicles. Collectively, these data suggest that TBT exposure impairs ovarian follicular reserve and other reproductive features in female mice.
Our previous studies reported that 100 ng/kg TBT for 15 or 30 days leads to abnormal estrous cyclicity in female rats, with the exposed rats spending more time in the M-D phase and experiencing an overall increase in the cycle length compared with controls (de Araújo et al., 2018; Podratz et al., 2012; Sena et al., 2017). Our results are consistent with these previous findings. In this study, we observed increased time spent in M-D in the TBT mice compared with CON mice. This change led to an overall increase in the cycle length in the TBT mice. Thus, the abnormal estrous cyclicity could be associated with an irregular ovary and/or sex hormone signature.
Our results are also consistent with previous studies that show disruptions in ovarian follicular development and steroidogenesis after exposure to TBT or other OTs such as triphenyltin (TPT; Grote et al., 2006; Podratz et al., 2012). Specifically, increases in atretic and cystic ovarian follicles were observed in female pubertal rodents exposed to 6 mg of TPT, during postnatal (PND) 23–53, and 100 μg/kg of TBT, beginning at gestational day 6 until lactation (Si et al., 2012; Watermann et al., 2008). Nakanishi et al. (2006) reported an increase in estrogen levels in human placental choriocarcinoma cells after TBT exposure for 48 h (0, 1, 10, and 100 nM). However, the effects of OTs on ovarian steroidogenesis are also controversial. Grote et al. (2006) observed an increase in serum estrogen levels without significant changes in progesterone levels in PND 53 female rats and similar changes were observed in these sex hormones in PND 33 female rats after TPT exposure (2 mg or 6 mg/kg/day). An increase in serum testosterone, an increase in cystic ovarian follicles, and a reduction in CL number were also observed in our previous studies using exposure to 100 ng/kg of TBT for 15 or 30 days in female rats (de Araújo et al., 2018; Sena et al., 2017). Our data are consistent with these previous studies; however, we observed that TBT mice had a reduction in primordial, primary, antral, and total health ovarian follicles, suggesting that TBT exposure impairs the ovarian follicular reserve. The depletion of primordial and/or primary follicles, leading to a decrease in antral and total ovarian follicle numbers, in addition to the accelerated decline by which these primordial follicles are lost, is hypothesized to be the main mechanism by which women transition into menopause or other reproductive abnormalities, such as premature ovarian failure (POF; Faddy et al., 1992; Gougeon et al., 1994; Tatone et al., 2008). Associated with the development of POF is the loss of fertility, which in most cases is due to the absence or reduction of ovarian follicles, and in other cases, the inability of remaining follicles to respond to hormonal stimulation (Nelson, 2009). Hannon et al. (2016) suggested that the exposure to phthalates, known EDCs, reduces primordial and total ovarian follicles, accelerating ovarian aging in female mice. In addition, perinatal BPA exposure causes declines in ovarian reserve in female mice (Acevedo et al., 2018).
However, unlike the studies by de Araújo et al. (2018) and Sena et al. (2017), our studies indicates that TBT exposure does not result in altered progesterone and estrogen levels, or ovarian aromatase protein expression. Particularly, a common feature of the consequences of TBT exposure on steroidogenesis control is the varying degree of irregularities, possibly resulting from the sensitivity and/or control of abnormal enzyme expression in different models that are also dependent on species, sex, age, TBT dose, and the time and type of chemical used (Ahn et al., 2007; Saitoh et al., 2001; Schoenfelder et al., 2003).
Previous studies indicate that TBT exposure at 100 ng/kg for 15 or 30 days causes mammalian uterine abnormalities in female rats (de Araújo et al., 2018; Sena et al., 2017). Our results indicating that TBT exposure causes uterine atrophy associated with low GE and Myo areas and a reduction in uterine ERα protein expression in mice are consistent with these previous studies (de Araújo et al., 2018; Sena et al., 2017). However, our study also shows a reduction in GE number after subchronic and low dose of TBT exposure in female mice. Uterine GEs are critical for proper function and determine, in part, the uterine embryotrophic potential. GEs produce substances needed for conceptus survival, development and implantation and their absence and/or reduction are associated with reproductive complications (Burton et al., 2002; Dunlap et al., 2011; Franco et al., 2011). TBT is able to impair fertility, leading to a reduction in the number of litters and pups in female rats exposed for 15 days (100 ng/kg TBT) and evaluated for natural mating during 90 days (Sena et al., 2017). It is possible that TBT-induced uterine abnormalities are responsible, in part, for the TBT-induced impairments in fertility.
TBT exposure is associated with inflammation in the female reproductive tract (de Araújo et al., 2018; Sena et al., 2017). Sena et al. (2017) observed an increase in uterine MPO activity (neutrophil) and uterine NAG activity (macrophage) after TBT exposure (100 ng/kg) for 15 days in female rats. Similarly, de Araújo et al. (2018) reported an increase in uterine NAG activity and mast cell number, associated with an increase in ovarian MPO activity in female rats exposed to TBT (100 ng/kg/day) for 30 days. Similarly, we observed high ovarian NAG activity, uterine mast cells, MPO, and NAG activities in female mice. These data suggest that subchronic and low dose of TBT exposure are able to lead to inflammation in the reproductive tract in female mice.
Reproductive tract complications after TBT exposure are associated with OS development (de Araújo et al., 2018). de Araújo et al. (2018) reported an increase in ovarian superoxide anion levels in female rats exposed to TBT (100 ng/kg/day TBT) for 30 days. Similarly, we observed high uterine superoxide anion and TBARS levels in female mice. These data suggest that TBT exposure is able to lead to reproductive tract abnormalities, at least in part, by irregular redox imbalance.
The strengths of this study include the evaluation of reduced ovarian reserve, the relationship of the ovarian reserve with an increase in testosterone levels and a reduction in uterine gland number in the adult female mice using estrous cycle evaluation, sex steroids assessment and different histology and staining evaluations. The study is strengthened by the assessment of correlation among ovarian reserve markers and testosterone levels. A limitation of the study is that we did not assess the accumulation of TBT and/or their metabolites in the blood and/or other tissues in this model. In addition, we have not conducted recovery experiments using the mouse model. Thus, these questions remain to be determined in future studies.
In conclusion, this study demonstrated that subchronic and low dose TBT exposure resulted in reproductive abnormalities in female mice. TBT exposure induced abnormal estrous cyclicity, associated with a reduction in primordial and primary follicles, suggesting impairment in ovarian follicular reserve. In addition, TBT exposure caused irregular ovarian follicular development, leading to low antral and total healthy ovarian follicle number. Further, the TBT-induced reduction in the ovarian reserve was associated with increases in serum testosterone levels. Last, TBT exposure causes uterine atrophy and reduction in GE number. Therefore, this study increases our understanding of the toxicologic effects of TBT on reproductive function in adult female mice.
SUPPLEMENTARY DATA
Supplementary data are available at Toxicological Sciences online.
Supplementary Material
FUNDING
This research was supported by FAPES No. 03/2017-UNIVERSAL (No. 179/2017), Conselho Nacional de Desenvolvimento Científico e Tecnológico (No. 304724/2017-3/No. 12/2017), FAPES/CNPq (PRONEX No. 24/2018, No. 572/2018). J.B.G. awarded grants by FAPES and CNPq. It was also supported by the National Institutes of Health (T32 ES 007326).
DECLARATION OF CONFLICTING INTERESTS
The authors declared no potential conflicts of interest with respect to the research, authorship, and/or publication of this article.
REFERENCES
- Acevedo N., Rubin B. S., Schaeberle C. M., Soto A. M. (2018). Perinatal BPA exposure and reproductive axis function in CD-1 mice. Reprod. Toxicol. 79, 39–46. [DOI] [PMC free article] [PubMed] [Google Scholar]
- Ahn R. S., Han S.-J., Kim S. C., Kwon H. B. (2007). Effects of butyltin compounds on follicular steroidogenesis in the bullfrog (Rana catesbeiana). Environ. Toxicol. Pharmacol. 24, 149–154. [DOI] [PubMed] [Google Scholar]
- Antizar-Ladislao B. (2008). Environmental levels, toxicity and human exposure to tributyltin (TBT)-contaminated marine environment. A review. Environ. Int. 34, 292–308. [DOI] [PubMed] [Google Scholar]
- Araújo F. A., et al. (2010). Atorvastatin inhibits inflammatory angiogenesis in mice through down regulation of VEGF, TNF-α and TGF-β1. Biomed. Pharmacother. 64, 29–34. [DOI] [PubMed] [Google Scholar]
- Barcelos L. S., Talvani A., Teixeira A. S., Vieira L. Q., Cassali G. D., Andrade S. P., Teixeira M. M (2005). Impaired inflammatory angiogenesis, but not leukocyte influx, in mice lacking TNFR1. J. Leukoc. Biol. 78, 352–358. [DOI] [PubMed] [Google Scholar]
- Bertuloso B. D., Podratz P. L., Merlo E., de Araújo J. F. P., Lima L. C. F., de Miguel E. C., de Souza L. N., Gava A. L., de Oliveira M., Miranda-Alves L., et al. (2015). Tributyltin chloride leads to adiposity and impairs metabolic functions in the rat liver and pancreas. Toxicol. Lett. 235, 45–59. [DOI] [PubMed] [Google Scholar]
- Bhattacharya P., Keating A. F. (2012). Impact of environmental exposures on ovarian function and role of xenobiotic metabolism during ovotoxicity. Toxicol. Appl. Pharmacol. 261, 227–235. [DOI] [PMC free article] [PubMed] [Google Scholar]
- Burton G. J., Watson A. L., Hempstock J., Skepper J. N., Jauniaux E. (2002). Uterine glands provide histiotrophic nutrition for the human fetus during the first trimester of pregnancy. J. Clin. Endocrinol. Metab. 87, 2954–2959. [DOI] [PubMed] [Google Scholar]
- Caldwell A. S. L., Middleton L. J., Jimenez M., Desai R., McMahon A. C., Allan C. M., Handelsman D. J., Walters K. A. (2014). Characterization of reproductive, metabolic, and endocrine features of polycystic ovary syndrome in female hyperandrogenic mouse models. Endocrinology 155, 3146–3159. [DOI] [PubMed] [Google Scholar]
- Ceotto Freitas-Lima L., Merlo E., Campos Zicker M., Navia-Pelaez J. M., de Oliveira M., dos Santos Aggum Capettini L., Nogueira C. R., Versiani Matos Ferreira A., Sousa Santos S. H., Bernardes Graceli J., et al. (2018). Tributyltin impacts in metabolic syndrome development through disruption of angiotensin II receptor signaling pathways in white adipose tissue from adult female rats. Toxicol. Lett. 299, 21–31. [DOI] [PubMed] [Google Scholar]
- Chamorro-García R., Sahu M., Abbey R. J., Laude J., Pham N., Blumberg B. (2013). Transgenerational inheritance of increased fat depot size, stem cell reprogramming, and hepatic steatosis elicited by prenatal exposure to the obesogen tributyltin in mice. Environ. Health Perspect. 121, 359–366. [DOI] [PMC free article] [PubMed] [Google Scholar]
- Chen C., Chen L., Huang Q., Chen Z., Zhang W. (2019). Organotin contamination in commercial and wild oysters from China: Increasing occurrence of triphenyltin. Sci. Total Environ. 650, 2527–2534. [DOI] [PubMed] [Google Scholar]
- Chien L.-C., Hung T.-C., Choang K.-Y., Yeh C.-Y., Meng P.-J., Shieh M.-J., Han B.-C. (2002). Daily intake of TBT, Cu, Zn, Cd and As for fishermen in Taiwan. Sci. Total Environ. 285, 177–185. [DOI] [PubMed] [Google Scholar]
- Coutinho J. V. S., Freitas-Lima L. C., Freitas F. F. C. T., Freitas F. P. S., Podratz P. L., Magnago R. P. L., Porto M. L., Meyrelles S. S., Vasquez E. C., Brandão P. A. A., Carneiro M. T. W. D., et al. (2016). Tributyltin chloride induces renal dysfunction by inflammation and oxidative stress in female rats. Toxicol. Lett. 260, 52–69. [DOI] [PubMed] [Google Scholar]
- Craig Z. R., Wang W., Flaws J. A. (2011). Endocrine-disrupting chemicals in ovarian function: Effects on steroidogenesis, metabolism and nuclear receptor signaling. Reproduction 142, 633–646. [DOI] [PubMed] [Google Scholar]
- de Araújo J. F. P., Podratz P. L., Sena G. C., Merlo E., Freitas-Lima L. C., Ayub J. G. M., Pereira A. F. Z., Santos-Silva A. P., Miranda-Alves L., Silva I. V., et al. (2018). The obesogen tributyltin induces abnormal ovarian adipogenesis in adult female rats. Toxicol. Lett. 295, 99–114. [DOI] [PubMed] [Google Scholar]
- Dunlap K. A., Filant J., Hayashi K., Rucker E. B., Song G., Deng J. M., Behringer R. R., DeMayo F. J., Lydon J., Jeong J.-W., et al. (2011). Postnatal deletion of Wnt7a inhibits uterine gland morphogenesis and compromises adult fertility in mice1. Biol. Reprod. 85, 386–396. [DOI] [PMC free article] [PubMed] [Google Scholar]
- EFSA. (2004). Opinion of the Scientific Panel on contaminants in the food chain [CONTAM] to assess the health risks to consumers associated with exposure to organotins in foodstuffs. EFSA J. 2, 102. [Google Scholar]
- European Chemicals Agency (ECHA). (2008). Member state committee support document for identification of Bis(tributyltin) oxide as a substance of very high concern. CAS No. 56-35-9. October 2008.
- Faddy M. J., Gosden R. G., Gougeon A., Richardson S. J., Nelson J. F. (1992). Accelerated disappearance of ovarian follicles in mid-life: Implications for forecasting menopause. Hum. Reprod. 7, 1342–1346. [DOI] [PubMed] [Google Scholar]
- Fent K. (1996). Ecotoxicology of organotin compounds. Crit. Rev. Toxicol. 26, 1–117. [PubMed] [Google Scholar]
- Fernandez M. A., Wagener A. d L. R., Limaverde A. M., Scofield A. L., Pinheiro F. M., Rodrigues E. (2005). Imposex and surface sediment speciation: A combined approach to evaluate organotin contamination in Guanabara Bay, Rio de Janeiro, Brazil. Mar. Environ. Res. 59, 435–452. [DOI] [PubMed] [Google Scholar]
- Franco H. L., Dai D., Lee K. Y., Rubel C. A., Roop D., Boerboom D., Jeong J. ‐W., Lydon J. P., Bagchi I. C., Bagchi M. K., et al. (2011). WNT4 is a key regulator of normal postnatal uterine development and progesterone signaling during embryo implantation and decidualization in the mouse. FASEB J. 25, 1176–1187. [DOI] [PMC free article] [PubMed] [Google Scholar]
- Gougeon A., Ecochard R., Thalabard J. C. (1994). Age-related changes of the population of human ovarian follicles: Increase in the disappearance rate of non-growing and early-growing follicles in aging women. Biol. Reprod. 50, 653–663. [DOI] [PubMed] [Google Scholar]
- Grote K., Andrade A. J. M., Grande S. W., Kuriyama S. N., Talsness C. E., Appel K. E., Chahoud I. (2006). Effects of peripubertal exposure to triphenyltin on female sexual development of the rat. Toxicology 222, 17–24. [DOI] [PubMed] [Google Scholar]
- Grün F., Watanabe H., Zamanian Z., Maeda L., Arima K., Cubacha R., Gardiner D. M., Kanno J., Iguchi T., Blumberg B., et al. (2006). Endocrine-disrupting organotin compounds are potent inducers of adipogenesis in vertebrates. Mol. Endocrinol. 20, 2141–2155. [DOI] [PubMed] [Google Scholar]
- Hannon P. R., Niermann S., Flaws J. A. (2016). Acute exposure to di(2-ethylhexyl) phthalate in adulthood causes adverse reproductive outcomes later in life and accelerates reproductive aging in female mice. Toxicol. Sci. 150, 97–108. [DOI] [PMC free article] [PubMed] [Google Scholar]
- Hoch M. (2001). Organotin compounds in the environment — an overview. Appl. Geochem.16, 719–743. [Google Scholar]
- Ichihara G., Iida M., Watanabe E., Fujie T., Kaji T., Lee E., Kim Y. (2019). Urinary trimethyl tin reflects blood trimethyl tin in workers recycling organotins. J. Occup. Health61, 257–260. [DOI] [PMC free article] [PubMed] [Google Scholar]
- Kannan K., Takahashi S., Fujiwara N., Mizukawa H., Tanabe S. (2010). Organotin compounds, including butyltins and octyltins, in house dust from Albany, New York, USA. Arch. Environ. Contam. Toxicol. 58, 901–907. [DOI] [PubMed] [Google Scholar]
- Kirchner S., Kieu T., Chow C., Casey S., Blumberg B. (2010). Prenatal exposure to the environmental obesogen tributyltin predisposes multipotent stem cells to become adipocytes. Mol. Endocrinol. 24, 526–539. [DOI] [PMC free article] [PubMed] [Google Scholar]
- Merlo E., Podratz P. L., Sena G. C., de Araújo J. F. P., Lima L. C. F., Alves I. S. S., Gama-de-Souza L. N., Pelição R., Rodrigues L. C. M., Brandão P. A. A., et al. (2016). The environmental pollutant tributyltin chloride disrupts the hypothalamic-pituitary-adrenal axis at different levels in female rats. Endocrinology 157, 2978–2995. [DOI] [PubMed] [Google Scholar]
- Merlo E., Silva I. V., Cardoso R. C., Graceli R. B. (2018). The obesogen tributyltin induces features of polycystic ovary syndrome (PCOS): A review. J. Toxicol. Environ. Health B Crit. Rev. 21, 181–206. [DOI] [PubMed] [Google Scholar]
- Myers M., Britt K. L., Wreford N. G. M., Ebling F. J. P., Kerr J. B. (2004). Methods for quantifying follicular numbers within the mouse ovary. Reproduction 127, 569–580. [DOI] [PubMed] [Google Scholar]
- Nakanishi T., Hiromori Y., Yokoyama H., Koyanagi M., Itoh N., Nishikawa J.-I., Tanaka K. (2006). Organotin compounds enhance 17β-hydroxysteroid dehydrogenase type I activity in human choriocarcinoma JAr cells: Potential promotion of 17β-estradiol biosynthesis in human placenta. Biochem. Pharmacol. 71, 1349–1357. [DOI] [PubMed] [Google Scholar]
- Nelson J. F., Felicio L. S., Randall P. K., Sims C., Finch C. E. (1982). A longitudinal study of estrous cyclicity in aging C57BL/6J MICE: I. Cycle frequency, length and vaginal cytology1. Biol. Reprod. 27, 327–339. [DOI] [PubMed] [Google Scholar]
- Nelson L. M. (2009). Primary Ovarian Insufficiency. N. Engl. J. Med. 360, 606–614. [DOI] [PMC free article] [PubMed] [Google Scholar]
- Penza M., Jeremic M., Marrazzo E., Maggi A., Ciana P., Rando G., Grigolato P. G., Di Lorenzo D. (2011). The environmental chemical tributyltin chloride (TBT) shows both estrogenic and adipogenic activities in mice which might depend on the exposure dose. Toxicol. Appl. Pharmacol 255, 65–75. [DOI] [PubMed] [Google Scholar]
- Podratz P. L., Merlo E., Sena G. C., Morozesk M., Bonomo M. M., Matsumoto S. T., da Costa M. B., Zamprogno G. C., Brandão P. A. A., Carneiro M. T. W. D., et al. (2015). Accumulation of organotins in seafood leads to reproductive tract abnormalities in female rats. Reprod. Toxicol. 57, 29–42. [DOI] [PubMed] [Google Scholar]
- Podratz P. L., Filho V. S. D., Lopes P. F. I., Sena G. C., Matsumoto S. T., Samoto V. Y., Takiya C. M., de Castro Miguel E., Silva I. V., Graceli J. B., et al. (2012). Tributyltin impairs the reproductive cycle in female rats. J. Toxicol. Environ. Health A 75, 1035–1046. [DOI] [PubMed] [Google Scholar]
- Richardson K. A., Hannon P. R., Johnson-Walker Y. J., Myint M. S., Flaws J. A., Nowak R. A. (2018). Di (2-ethylhexyl) phthalate (DEHP) alters proliferation and uterine gland numbers in the uteri of adult exposed mice. Reprod. Toxicol. 77, 70–79. [DOI] [PubMed] [Google Scholar]
- Rossi E. M., Marques V. B., Nunes D. d O., Carneiro M. T. W. D., Podratz P. L., Merlo E., Santos L. d., Graceli J. B. (2016). Acute iron overload leads to hypothalamic-pituitary-gonadal axis abnormalities in female rats. Toxicol. Lett. 240, 196–213. [DOI] [PubMed] [Google Scholar]
- Rüdel H. (2003). Case study: Bioavailability of tin and tin compounds. Ecotoxicol. Environ. Saf. 56, 180–189. [DOI] [PubMed] [Google Scholar]
- Saitoh M., Yanase T., Morinaga H., Tanabe M., Mu Y. M., Nishi Y., Nomura M., Okabe T., Goto K., Takayanagi R.,. et al. (2001). Tributyltin or triphenyltin inhibits aromatase activity in the human granulosa-like tumor cell line KGN. Biochem. Biophys. Res. Commun. 289, 198–204. [DOI] [PubMed] [Google Scholar]
- Schoenfelder M., Schams D., Einspanier R. (2003). Steroidogenesis during in vitro maturation of bovine cumulus oocyte complexes and possible effects of tri-butyltin on granulosa cells. J. Steroid Biochem. Mol. Biol. 84, 291–300. [DOI] [PubMed] [Google Scholar]
- Sena G. C., Freitas-Lima L. C., Merlo E., Podratz P. L., de Araújo J. F. P., Brandão P. A. A., Carneiro M. T. W. D., Zicker M. C., Ferreira A. V. M., Takiya C. M., et al. (2017). Environmental obesogen tributyltin chloride leads to abnormal hypothalamic-pituitary-gonadal axis function by disruption in kisspeptin/leptin signaling in female rats. Toxicol. Appl. Pharmacol. 319, 22–38. [DOI] [PubMed] [Google Scholar]
- Shi D., Dyck M. K., Uwiera R. R. E., Russell J. C., Proctor S. D., Vine D. F. (2009). A unique rodent model of cardiometabolic risk associated with the metabolic syndrome and polycystic ovary syndrome. Endocrinology 150, 4425–4436. [DOI] [PubMed] [Google Scholar]
- Si J., Han X., Zhang F., Xin Q., An L., Li G., Li C. (2012). Perinatal exposure to low doses of tributyltin chloride advances puberty and affects patterns of estrous cyclicity in female mice. Environ. Toxicol. 27, 662–670. [DOI] [PubMed] [Google Scholar]
- Syam S., Bustamam A., Hashim N. M., Ghaderian M., Hobani Y. H., Makeen A., Abdelwahab S. I., Mohan S. (2017). Corrigendum to “β-Mangostin suppresses LA-7 cells proliferation in vitro and in vivo : INVOLVEMENT of antioxidant enzyme modulation; suppression of matrix metalloproteinase and α6β4 integrin signaling pathways” [J. Funct. Foods 22 (2016) 504–517]. J. Funct. Foods 34, 478–479. [Google Scholar]
- Tatone C., Amicarelli F., Carbone M. C., Monteleone P., Caserta D., Marci R., Artini P. G., Piomboni P., Focarelli R. (2008). Cellular and molecular aspects of ovarian follicle ageing. Hum. Reprod. Update 14, 131–142. [DOI] [PubMed] [Google Scholar]
- United States Environmental Protection Agency (US EPA). (1997). Tributyltin Oxide: Toxicological Review.CAS No. 56-35-9. July 1997. [Google Scholar]
- Vos J. G., Klerk A. D., Krajnc E. I., Loveren H. V., Rozing J. (1990). Immunotoxicity of bis(tri-n-butyltin)oxide in the rat: Effects on thymus-dependent immunity and on nonspecific resistance following long-term exposure in young versus aged rats. Toxicol. Appl. Pharmacol. 105, 144–155. [DOI] [PubMed] [Google Scholar]
- Watermann B., Grote K., Gnass K., Kolodzey H., Thomsen A., Appel K. E., Candia-Carnevali D., Schulte-Oehlmann U. (2008). Histological alterations in ovaries of pubertal female rats induced by triphenyltin. Exp. Toxicol. Pathol. 60, 313–321. [DOI] [PubMed] [Google Scholar]
- Whalen M. M., Loganathan B. G., Kannan K. (1999). Immunotoxicity of environmentally relevant concentrations of butyltins on human natural killer cells in vitro. Environ. Res. 81, 108–116. [DOI] [PubMed] [Google Scholar]
- Witte T. S., Melkus E., Walter I., Senge B., Schwab S., Aurich C., Heuwieser W. (2012). Effects of oral treatment with N-acetylcysteine on the viscosity of intrauterine mucus and endometrial function in estrous mares. Theriogenology 78, 1199–1208. [DOI] [PubMed] [Google Scholar]
- Ximenes C. F., Rodrigues S. M. L., Podratz P. L., Merlo E., de Araújo J. F. P., Rodrigues L. C. M., Coitinho J. B., Vassallo D. V., Graceli J. B., Stefanon I. (2017). Tributyltin chloride disrupts aortic vascular reactivity and increases reactive oxygen species production in female rats. Environ. Sci. Pollut. Res. 24, 24509–24520. [DOI] [PubMed] [Google Scholar]
Associated Data
This section collects any data citations, data availability statements, or supplementary materials included in this article.






