Abstract
INTRODUCTION:
AXA1665 is a novel investigational amino acid (AA) composition specifically designed to impact AA imbalance, ammoniagenesis, and dysregulated anabolic activity associated with cirrhosis.
METHODS:
This 2-part study examined AXA1665 effects on safety, tolerability, and hepatic/muscle physiology in subjects with Child–Pugh A and B cirrhosis. Part 1 established plasma ammonia and AA concentration baselines with a standardized protein supplement. Part 2 included two 15-day domiciled periods separated by a 14-day washout. In period 1, subjects were randomly distributed to 2 groups: AXA1665 14.7 g t.i.d. (group 1) or control t.i.d. (group 2). In period 2, subjects from group 1 crossed over to control and those in group 2 crossed over to AXA1665 4.9 g t.i.d. All subjects were maintained on standard of care (standardized meals; 30-minute daily, supervised, mandatory physical activity; and daily late-evening snack).
RESULTS:
In parts 1 and 2, 23 and 17 participants were enrolled, respectively. Dose-dependent increases were observed in plasma concentrations of AXA1665-constituent AAs. Fasted branched-chain AA-to-aromatic AA and valine-to-phenylalanine ratios were both increased (AXA1665 14.7 g t.i.d. control-adjusted change: 44.3% ± 2.7% and 47.2% ± 3.9%, respectively; P < 0.0001). Despite provision of additional nitrogen, mean fasted plasma ammonia concentration at day 15 numerically decreased (−21.1% in AXA1665 14.7 g t.i.d. vs −3.8% in control; P > 0.05). AXA1665 14.7 g t.i.d. produced a leaner body composition and significantly decreased Liver Frailty Index at day 15 vs control (−0.70 ± 0.15 vs −0.14 ± 0.17; P < 0.05). AXA1665 was safe and well tolerated.
DISCUSSION:
AXA1665 has potential to mitigate core metabolic derangements associated with cirrhosis.
INTRODUCTION
Several conditions that damage the liver can progress to cirrhosis, which is characterized by abnormal liver structure and function (1) and has an underlying complex pathophysiology that includes nitrogen dysregulation (2,3). In 2010, the prevalence of cirrhosis was reported to be 0.27% of US adults (∼633,000 people) (4). Globally, there were 112 and 10.6 million compensated and decompensated cirrhosis cases, respectively, in 2017 (5). Cirrhosis prevalence is likely to increase owing to population growth, aging, and the epidemic of nonalcoholic fatty liver disease (5,6).
Dysregulated nitrogen metabolism in patients with cirrhosis involves 2 core features: amino acid (AA) imbalances and hyperammonemia, which are interrelated and contribute to debilitating complications such as sarcopenia and hepatic encephalopathy (HE) (7–11). For example, hyperammonemia decreases plasma levels of branched-chain AAs (BCAAs) (11), which can lead to muscle mass loss owing to the critical role of leucine in muscle protein synthesis (12). Hyperammonemia also induces myostatin expression, leading to myogenesis inhibition and sarcopenia (13,14), and has been independently linked to increased mortality and hospitalization in patients with cirrhosis (15). Sarcopenia and increased muscle fat infiltration (myosteatosis) limit the ability of muscle to play a compensatory role in ammonia lowering (16,17). Myosteatosis exacerbates complications such as HE and leads to decreased physical function and increased hospitalizations, healthcare burden, and mortality (16). AA imbalances are indicated by low plasma BCAAs and high aromatic AAs (AAAs) (Fischer ratio [FR] and valine-to-phenylalanine ratio [VPR]), markers for progression of liver disease that are associated with HE, and decreased survival in patients with cirrhosis (18–22). Physical function, measured by the Liver Frailty Index (LFI), also predicts outcomes and mortality in patients with cirrhosis (23). As such, therapeutic strategies to correct AA imbalances, restore muscle quantity (increased mass) and quality (decreased fat), and enhance muscle function might improve clinical outcomes in patients with cirrhosis.
Currently, the recommended standard of care (SOC) for patients with cirrhosis and sarcopenia is adequate protein nutrition (24–28), physical activity (29), and a late evening snack (30). When combined with exercise, essential AAs have been shown to increase muscle mass in patients with cirrhosis (31,32). BCAA supplementation in these patients has also demonstrated stimulation of muscle protein synthesis and improved clinical outcomes (33–37). However, provision of BCAAs without additional proteogenic-stimulating essential AAs (eg, histidine, lysine, and threonine) could limit maximal anabolic response in severe catabolic states such as cirrhotic sarcopenia (12,38,39). BCAA supplementation has been associated with increased ammonia, potentially worsening HE risk (18), and might also have the mechanistic potential to result in cataplerosis (40,41). Urea cycle AA (l-ornithine and l-aspartate [LOLA]) supplementation can mitigate elevated ammonia in patients with liver failure and recurrent HE (42–46), and ornithine may also attenuate the potential adverse effect of BCAAs on cataplerosis (40,41). Although ammonia lowering might restore skeletal muscle proteostasis in portacaval-shunted rats (47), direct effects of LOLA on measures of muscle function remain largely unknown.
Investigations thus far have not included a combination of AAs that can simultaneously address the multiple underlying abnormalities that characterize cirrhosis and, consequently, impact anabolism, physical function, and quality of life. Using an integrated approach that included curation of published research (e.g., Devries et al., (48) Kinny-Köster et al., (21), and Butterworth et al. (49)) and the Human Metabolome Database and metabolomic profiling and bioinformatics, we designed AXA1665, a novel composition of BCAAs (leucine, isoleucine, and valine), other essential AAs (histidine, lysine, and threonine), and LOLA in specific ratios to maximize anabolic activity while minimizing ammoniagenesis to support liver health. In this clinical study, conducted under U.S. Food and Drug Administration regulations and guidance in support of research with food, we evaluated the effects of 2 oral AXA1665 doses vs SOC on safety, tolerability, AA pharmacokinetics (PK), and muscle structure and function in subjects with Child–Pugh Class (CPC) A and B cirrhosis.
METHODS
Subjects
This study enrolled male and female subjects aged ≥18 to ≤75 years with mild (CPC-A) and moderate (CPC-B) hepatic insufficiency. Most subjects had compensated cirrhosis (mostly due to nonalcoholic steatohepatitis as documented in the medical record); those with CPC-B presented with mild ascites. Subjects were excluded from the study if they had taken any antibiotics (including rifaximin) and/or lactulose/lactitol to treat elevated ammonia at the time of enrollment or within the 90 days before enrollment. Key inclusion and exclusion criteria are listed in Table 1, Supplementary Digital Content 1, http://links.lww.com/CTG/A354. Written informed consent was obtained from all subjects. The study followed guidelines according to Declaration of Helsinki 1975, International Conference on Harmonization Good Clinical Practice, and all applicable local regulations. The study was approved by an independent institutional review board (Aspire IRB, Santee, CA).
Study design
To examine the effects of AXA1665 on safety, tolerability, and hepatic/muscle physiology, a 2-part study was conducted between December 27, 2017, and June 6, 2018. Study design and procedures are shown in Figures 1a,b.
Figure 1.
Part 1 (ammonia and AAs after protein supplement) and part 2 (AXA1665 or control administered for 15 days) crossover study design (a), part 2 procedures (b), and subject disposition (c). aAXA1665 (powder formulation in water [4 or 8 oz]) or control (4 or 8 oz water) were orally administered t.i.d. 1-hour post-meals on all days except day 15 (single administration). SOC: 30–40 minutes mandatory and supervised physical activity; standardized meals; daily late evening snack. AAs, amino acids; AXAhigh, AXA1665 14.7 g t.i.d.; AXAlow, AXA1665 4.9 g t.i.d.; CRU, clinical research unit; SOC, standard of care; t, time; t.i.d., 3 times a day.
Part 1.
On day 1, subjects were administered a commercially available standardized protein supplement (American Body Building [A.B.B.] Pure Pro 35, containing 35 g of protein) after a ≥8-hour overnight fast. Blood samples were collected immediately before protein supplement (0 hour) and at 0.5, 1, 1.5, 2, 3, 4, and 5 hours after protein supplement to establish ammonia and AA baselines with a standardized protein supplement (Figure 1a). After subjects completed part 1, they were assigned in sequential order to either AXA1665 (group 1) or control (group 2).
Part 2.
Part 2 involved a crossover design of two 15-day periods for each treatment group separated by a 14-day washout (Figure 1a). Subjects randomly distributed to group 1 received AXA1665 14.7 g 3 times a day (t.i.d.) + SOC in period 1 and, after washout, the same subjects crossed over to control + SOC in period 2 (AXAhigh + SOC → control + SOC sequence); group 2 received control + SOC in period 1 and, after washout, crossed over to AXA1665 4.9 g t.i.d. + SOC in period 2 (control + SOC →AXAlow + SOC sequence). During each 15-day period (Figure 1b), subjects were domiciled in the clinical research unit, with controlled meals and physical activity as per SOC (i.e., 30–40 minutes of supervised mandatory physical activity [walking 15–20 minutes before lunch and dinner at subject's usual pace on all study days except on days 1, 8, and 15] + standardized meals [each meal was balanced in macronutrient composition: ∼50% carbohydrates, ∼20% protein, ∼30% fat; total daily calories of approximately 2,500–2,800 kcal/d] + late evening snack [Lärabar, containing ∼4 g of protein and ∼200 kcal]).
AXA1665 (leucine 0.8889 g, isoleucine 0.4444 g, valine 0.8889 g, lysine acetate 0.4703 g, histidine 0.3333 g, threonine 0.3333 g, and ornithine aspartate 1.6667 g in each stick pack) was administered orally as an orange-flavored drink. Each administration was composed of either 1 stick pack (4.9 g of AXA1665 reconstituted in 4 oz of water) t.i.d. (14.7 g/d) or 3 stick packs (14.7 g of AXA1665 reconstituted in 8 oz of water) t.i.d. (44.1 g/d). Control was 4 or 8 oz of water only. Dosing occurred 1 hour after breakfast, lunch, and dinner.
Subjects were discharged from the clinical research unit for washout, during which no study products (either AXA1665 or late evening snack) or over-the-counter AAs/protein supplements were dispensed/consumed as verified by subject food diaries. After washout, hemoglobin ≥9.5 g/dL was required to enter period 2. On days 1, 8, and 15 of each period, blood and urine samples and physiological measurements (body composition, hand grip strength, chair stand, and balance) were taken after an ≥8-hour overnight fast; on days 1 and 15, standardized protein supplement was administered 1 hour before AXA1665 or control (Figure 1b).
Measurements
Baseline assessments.
Demographics (age and sex) and clinical characteristics (disease status, AA ratios, laboratory values, body composition, and physical function) were collected on day 1 (baseline) in both parts 1 and 2 and summarized using descriptive statistics.
PK assessments.
Plasma concentrations of AXA1665 constituent AAs (AAs within AXA1665) and AXA1665 nonconstituent AAs (endogenous AAs not in AXA1665) were determined by liquid chromatography with tandem mass spectrometry (LabCorp, McLeansville, NC) (50). Standard PK parameters were calculated for each AA, including peak plasma concentration (Cmax) and area under the plasma concentration–time curve from time 0–5 hours (AUC0–5 h) on days 1 and 15, and 0–4 hours (AUC0–4 h) and 5–9 hours (AUC5–9 h) on day 8 during part 2. PK parameters were calculated using standard noncompartmental methods (Phoenix WinNonlin version 6.3, Certara USA, Princeton, NJ). AUC was calculated using the linear trapezoidal method and reported as either baseline uncorrected or AUC control corrected (part 2 control data) for AUC0–4 h and AUC5–9 h to account for AAs consumed through standardized food given with AXA1665. AUC and Cmax data are expressed as mean ± SD on day 1 and day 15 and as geometric mean ratios and associated 90% confidence intervals on day 8 of part 2.
AA assessments.
The FR (sum of plasma valine, leucine, and isoleucine divided by the sum of plasma phenylalanine and tyrosine) and VPR were calculated for each subject at 0 hour (fasted/basal values). FR and VPR are expressed as mean percentage change (±SE) from baseline (day 1 of part 2) at day 15 and as absolute fasted mean changes (±SE) over 15 days (days 1, 8, and 15).
Ammonia assessments.
Venous blood samples for ammonia measurements were obtained without use of a tourniquet and immediately placed on ice. Whole blood ammonia concentration was measured immediately using a commercially available bedside ammonia measuring device (PocketChem BA Blood Ammonia Analyser, Woodley Equipment Company, Horwich, Bolton, UK) (51). Plasma ammonia concentration was measured by enzymatic assay on the same day (within a few hours) of blood draw (Cobas 8000 c502 chemistry analyzer, Roche Diagnostics, Indianapolis, IN) (52). Ammonia changes at both 0 hour (fasted/basal levels) and during the 5-hour sampling period (AUC0–5 h) were expressed as mean percentage change (±SE) from baseline to day 15.
Assessment of body composition.
Body fat, lean body mass (LBM), and skeletal muscle mass (SMM) were determined using the InBody 770 system (InBody USA, Los Angeles, CA), a validated tool for assessing whole body composition and segmental lean mass (53). Body fat, LBM, and SMM were normalized for body weight and expressed as percentage of total body mass. Body composition parameters were expressed as absolute mean changes (±SE) from baseline at day 15.
Assessment of physical function.
Dominant hand grip strength (kg) was assessed using the average of 3 measurements from a calibrated hydraulic hand dynamometer (Jamar, Fabrication Enterprises, White Plains, NY). Balance was assessed by the time (seconds) subjects could hold 3 positions (feet side-by-side, staggered, and in tandem) for a maximum of 10 seconds each. Chair stands measured time (seconds) to stand up and sit down in a chair 5 times with arms crossed over the chest. Values obtained from these 3 functional assessments were used to derive the LFI for each individual subject at each time point using the online calculator (https://liverfrailtyindex.ucsf.edu/) (23). LFI was expressed as mean (±SE) absolute and percentage change at day 15 from baseline. The proportion of subjects at day 15 achieving LFI reduction of >0.5 from baseline was also analyzed.
Safety assessments.
Clinical adverse events (AEs) were recorded and physical examinations, vital signs, electrocardiograms, and standard safety laboratory assessments (chemistry and hematology) were performed during both study parts.
Statistical Analysis
Intrasubject comparisons were performed with paired t tests to analyze absolute change or percentage change from baseline at day 8 or day 15 after AXA1665 14.7 g t.i.d. (period 1) vs control (period 2) (AXAhigh + SOC→control + SOC sequence) and control (period 1) vs AXA1665 4.9 g t.i.d. (period 2) (control + SOC→ AXAlow + SOC sequence). A repeated-measures analysis of variance compared the 2 treatments over time. Statistical significance was set at P < 0.05. No multiplicity adjustment was made. All analyses used SAS statistical software (version 9.4, Cary, NC).
RESULTS
Subject disposition and baseline characteristics
Twenty-five subjects were screened for inclusion in part 1, and 23 were enrolled. Seventeen subjects completed part 1 and continued to part 2. Sixteen subjects completed both periods 1 and 2 of part 2 (Figure 1c).
Mean age of the cohort entering part 2 was 53.1 years and most were patients with CPC-A cirrhosis (Table 1). Subjects assigned to group 1 compared with group 2 were mostly men and had greater mean body mass index, higher percentage body fat, and lower percentage LBM. However, height, baseline ammonia, LFI, FR, and VPR were similar between groups. Average baseline LFI in part 2 was 3.6, with 88% of the cohort in prefrail (LFI 3.2–4.5), 12% in robust (LFI <3.2), and none in frail (LFI >4.5) categories (23).
Table 1.
Baseline demographics and clinical characteristics
PK of AXA1665 constituent AAs and nonconstituent AAs on days 1 and 15
Despite protein supplement consumption 1 hour before AXA1665/control on days 1 and 15, supraphysiological concentrations of the AXA1665 constituent AAs were observed with both doses of AXA1665 relative to control (AUC increase of 6%–80% over control), except for threonine with high-dose AXA1665 on days 1 and 15 and aspartate with low-dose AXA1665 on day 15 (Table 2). Day 15 AUC0–5 h with AXA1665 14.7 g t.i.d. was ∼21%–26% lower for the nonconstituent endogenous AAAs (phenylalanine and tyrosine) and methionine with compared with control (Table 2), AAs that were intentionally excluded from AXA1665 composition. Plasma glutamine exposure (AUC0–5 h) remained largely unchanged with both AXA1665 doses (Table 2). PK profiling revealed that systemic exposures (AUC0–5 h and Cmax) were dose dependent for AXA1665 constituent AAs, except for lysine on day 1 and threonine on days 1 and 15 (Table 2).
Table 2.
Amino acid exposure (AUC0–5 and Cmax) on day 1 and day 15 of part 2
Representative time–concentration profiles of constituent AAs (leucine and ornithine) and nonconstituent AAAs (tyrosine and phenylalanine) on days 1 and 15 are in Figure 1, Supplementary Digital Content 2, http://links.lww.com/CTG/A351. Plasma concentrations of leucine and ornithine reached supraphysiologic Cmax within 1–2 hours and returned to baseline 5 hours postadministration. By contrast, plasma concentrations of tyrosine and phenylalanine were decreased, as indicated by a 21%–24% reduction of AUC0–5 h with AXA1665 14.7 g t.i.d. vs control by day 15. Minimal accumulation of constituent and nonconstituent AAs over 15 days was observed with both AXA1665 doses as indicated by similar AUC0–5 h values on days 1 and 15 (Table 2). Nonconstituent AA plasma concentrations were generally similar between AXA1665 and control groups over the 15-day dosing period (see Table 2, Supplementary Digital Content 3, http://links.lww.com/CTG/A355).
Impact of food on AXA1665 constituent and nonconstituent AA plasma concentrations on day 8
AXA1665 administration on day 8 in fasted and fed states (0–4 hours and 5–9 hours after standard meal) resulted in significant dose-dependent increases in constituent AAs leucine (fasted, P < 0.0001; fed, P < 0.001) and ornithine (fasted, P < 0.001; fed, P < 0.01) and decreased trends in nonconstituent AAAs tyrosine and phenylalanine vs corresponding controls (Figure 2). Systemic exposures (AUC and Cmax) and AUC after control correction (i.e., AUCAXA1665–AUCcontrol) of all AXA1665 constituent AAs at both doses in fasted and fed conditions indicate that food did not alter AUC but slightly lowered Cmax (up to 37%) for certain constituent AAs such as aspartate (see Table 3, Supplementary Digital Content 4, http://links.lww.com/CTG/A356).
Figure 2.

Plasma concentration–time profile of AXA1665 constituent AAs leucine (a) and ornithine (b) and nonconstituent AAs tyrosine (c) and phenylalanine (d) in the fasted and fed states on day 8. AXA1665 dose-dependently increased constituent AAs with decreased trends in nonconstituent AAs vs corresponding controls. Data are presented as mean ± SD. AAs, amino acids; t.i.d., 3 times a day.
Effect of AXA1665 on FR, VPR, and ammonia
At day 15, AXA1665 dose-dependently increased fasted FR and VPR from baseline (day 1 of part 2) compared with control: AXA1665 14.7 g t.i.d. control-adjusted change of 44.3 ± 2.7% and 47.2 ± 3.9%, respectively; P < 0.0001 for both (Figure 3a,b). Absolute changes over time for fasted FR and VPR showed that low basal values at day 1 were normalized as early as day 8 and were sustained to day 15 with AXA1665 14.7 g t.i.d., but not in the AXA1665 4.9 g t.i.d. group vs control (see Figure 2, Supplementary Digital Content 5, http://links.lww.com/CTG/A352).
Figure 3.
Change from baseline (day 1 of part 2) for fasted plasma FR (a), VPR (b), and ammonia (c) at day 15. AXA1665 dose-dependently increased fasted FR and VPR and decreased fasted plasma ammonia vs controls. Data are presented as mean ± SE. *P < 0.0001. SOC included 30–40 minutes mandatory physical activity, standardized meals, and daily late evening snack. AXAhigh, AXA1665 14.7 g t.i.d.; AXAlow, AXA1665 4.9 g t.i.d.; FR, Fischer ratio; SOC, standard of care; t.i.d., 3 times a day; VPR, valine-to-phenylalanine ratio.
AXA1665 (4.9 g t.i.d. and 14.7 g t.i.d.) tended to decrease fasted plasma ammonia at day 15 (31.1% and 21.1%, respectively) vs control (22.4% and 3.8%, respectively; P > 0.05 for both) (Figure 3c), despite provision of additional nitrogen through AAs within AXA1665. Effects were dose dependent as demonstrated by a control-adjusted decrease in fasted plasma ammonia concentration at day 15 of 17.2% with AXA1665 14.7 g t.i.d. vs 8.7% with AXA1665 4.9 g t.i.d. AXA1665 did not increase the AUC0–5 h or Cmax of ammonia over 15 days (day 15/day 1 ratio ≤0.95) when assessed by standard clinical laboratory methods (see Table 4, Supplementary Digital Content 6, http://links.lww.com/CTG/A357). Similar changes for AUC and Cmax were observed when ammonia concentration in whole blood was measured using a bedside device (data not shown). A composite of 71 paired ammonia assessments showed strong positive linear correlation (R2 = 0.8605) between laboratory and bedside methods (see Figure 3, Supplementary Digital Content 7, http://links.lww.com/CTG/A353).
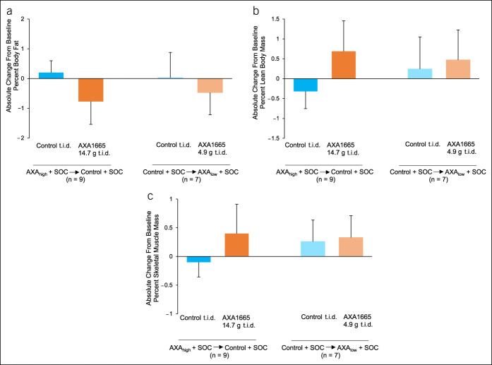
Effect of AXA1665 on body composition and physical function
AXA1665 administration resulted in a leaner body composition as indicated by decreased mean percentage body fat with greater mean percentage LBM and SMM, a key component of LBM vs control at day 15 (Figure 4). These effects were seen without concomitant change in overall body weight (data not shown). Body composition changes were more pronounced with AXA1665 14.7 g t.i.d. relative to AXA1665 4.9 g t.i.d. Dose-dependent effects were supported by a control-adjusted decrease of 0.97% for percentage body fat and increase of 1.01% for percentage LBM with AXA1665 14.7 g t.i.d., corresponding to a 1.3-lb decrease in body fat mass and 1.8-lb increase in LBM from day 1 to day 15. No differences in body composition changes were observed between AXA1665 4.9 g t.i.d. and control groups.
Figure 4.
Absolute change from baseline (day 1 of part 2) in percentage body fat (a), percentage lean body mass (b), and percentage skeletal muscle mass (c) at day 15. AXA1665 14.7 g t.i.d. reduced mean percentage body fat and increased mean percentage LBM and SMM vs controls. Data are presented as mean ± SE. SOC included 30–40 minutes mandatory physical activity, standardized meals, and daily late evening snack. AXAhigh, AXA1665 14.7 g t.i.d.; AXAlow, AXA1665 4.9 g t.i.d.; LBM, lean body mass; SMM, skeletal muscle mass; SOC, standard of care; t.i.d., 3 times a day.
LFI showed significant improvements in both absolute reduction (−0.70 vs −0.14, P < 0.05) and percentage change (20.5% reduction vs 5.0%, P < 0.05) from baseline to day 15 in the AXA1665 14.7 g t.i.d. group vs control group (Figure 5a,b). No LFI differences were observed between AXA1665 4.9 g t.i.d. and control groups. The proportion of subjects who achieved >0.5 reduction in LFI from baseline at day 15 was 2.5 times higher in the AXA1665 14.7 g t.i.d. group vs control group (Figure 5c).
Figure 5.
Absolute change in LFI (a), percent change in LFI (b), and proportion of subjects who achieved an absolute LFI reduction >0.5 (c) from baseline (day 1 of part 2) at day 15. AXAhigh significantly reduced LFI vs control (mean ± SE), indicating improvement in physical function. AXAhigh led to increased proportion of subjects achieving absolute LFI reduction >0.5. *P < 0.05. an = 9 for control t.i.d. SOC included 30–40 minutes mandatory physical activity, standardized meals, and daily late evening snack. AXAhigh, AXA1665 14.7 g t.i.d.; AXAlow, AXA1665 4.9 g t.i.d.; LFI, Liver Frailty Index; SOC, standard of care; t.i.d., 3 times a day.
Effect of AXA1665 on safety and tolerability
No AEs were reported in part 1. Five AEs were reported in 4 subjects (17.4%) in part 2: 1 subject (10.0%) in the AXA1665 14.7 g t.i.d. group (mild headache) and 3 subjects (18.8%) in the control group (period 1: 2 of 7 subjects [28.6%] experienced 3 AEs, including moderate gastroesophageal reflux disease in 1 subject and mild musculoskeletal pain and neck pain in 1 subject; period 2: 1 of 9 subjects [11.1%] experienced mild musculoskeletal chest pain). No AEs were considered related to AXA1665 or led to discontinuation; there were no deaths or serious AEs. No clinically significant safety findings in laboratory, vital signs, physical examination, or electrocardiogram assessments were noted. Absolute increases (within normal range) from day 1 in fasted blood urea nitrogen (BUN) concentrations were observed at both AXA1665 doses vs controls on day 15 (see Table 5, Supplementary Digital Content 8, http://links.lww.com/CTG/A358). BUN changes were observed without concomitant changes in serum creatinine or estimated glomerular filtration rate (eGFR) levels over the 15-day administration period. Laboratory findings of key hepatic, renal, and hematological parameters at day 1 vs day 8 and day 15 are summarized in Table 5, Supplementary Digital Content 8, http://links.lww.com/CTG/A358.
DISCUSSION
AXA1665 impacted AA regulation, tended to decrease fasted plasma ammonia despite the additional nitrogen load delivered by AXA1665, led to a leaner body composition, improved physical function, and was safe and well tolerated. AXA1665 resulted in supraphysiological concentrations of most constituent AAs, which remained increased vs corresponding endogenous AAs, even after consuming standard protein supplement.
AXA1665 increased anabolism-associated AAs (e.g., leucine and valine) and concomitantly decreased ammoniagenic AAAs (e.g., phenylalanine and tyrosine). Basal FR and VPR levels were significantly increased after AXA1665high but not after AXA1665low or control. Similar to BCAAs and AAAs, methionine metabolism is defective in cirrhosis (54,55). Thus, increased FR and VPR, coupled with decreased methionine, are clinically relevant and suggest that AXA1665 might have therapeutic potential to prevent complications of end-stage liver disease, including cirrhotic sarcopenia.
The pattern of lowered ammonia and increased BUN implies that AXA1665 activates the urea cycle and improves nitrogen handling by skeletal muscles; however, muscle protein synthesis and nitrogen balance studies are needed for confirmation. These findings differentiate effects of AXA1665 on plasma ammonia from previous BCAA or high-protein supplementation studies, which showed paradoxical ammonia increase (18,56).
AXA1665 administration led to a leaner body composition and improved physical function, as indicated by significantly improved LFI. Previous studies have shown that LFI ≥4.5 indicates increased frailty associated with mortality (57), whereas LFI ≤3.2 indicates robustness (23). Furthermore, an absolute LFI decrease of >0.5 has been linked to improved survival (58). It is notable that in a controlled 2-week domiciled period, more than half of the subjects administered AXA1665 14.7 g t.i.d. had reduced LFI >0.5. Although LFI could be considered as a screening tool to identify individuals to predict maximal clinical response, longer-term interventional studies are needed to demonstrate direct links between decreased LFI and clinical outcomes.
A key strength of this study is the highly controlled nature of assessments performed in a domiciled setting, which minimized several confounding factors. Although the 2-period crossover design was imbalanced, it allowed investigation of 2 AXA1665 doses simultaneously and evaluation of dose responsiveness on key physiologic parameters. Other limitations include a small cohort size and few subjects with CPC-B (n = 3). Effects of AXA1665 in subjects with severe hepatic insufficiency (CPC-C) also remain to be determined. Although bioimpedance analysis, a point-of-care testing approach, was appropriately used to assess body composition in this population, we acknowledge that cross-sectional imaging (e.g., computerized tomography/MRI) remains the gold standard and that further studies using such techniques might be required to confirm observed effects of AXA1665 on body composition. Because subjects with eGFR <60 mL/min/1.73 m2 were excluded, future trials should consider the impact of AXA1665 on renal function, by inclusion of patients with an eGFR up to 30 mL/min/1.73 m2. Finally, additional studies are needed to examine the effects of AXA1665 in a chronic liver disease population with LFI >4.5.
Routine physical activity or late evening snack alone leads to reversal of anabolic resistance, sarcopenia, and improvements in both survival and health-related quality of life parameters in patients with cirrhosis (30,33,59). It is, therefore, noteworthy that effects of AXA1665 were demonstrated in the context of SOC. These findings suggest the insufficiency of current dietary and exercise recommendations to impact structural and functional markers associated with liver health and provide further support for developing interventions that target core metabolic derangements underlying sarcopenia in cirrhosis (60).
AXA1665 can provide specificity and potency distinct from SOC to regulate both nonconstituent endogenous AAs and key cirrhosis-related molecular mediators. Based on our findings, we postulate that AXA1665 might exert its multifactorial effects through interorgan crosstalk, involving multiple biochemical pathways that simultaneously impact ureagenesis, nitrogen metabolism, ammonia detoxification, and protein synthesis (Figure 6). Lowered ammonia and increased BUN after AXA1665 treatment suggest that AXA1665 activates the urea cycle to enable nitrogen incorporation into urea and reduces blood ammonia. The reduction in blood ammonia could lead to additional salutary effects, including (i) reduction of further muscle breakdown by dampening muscle BCAA catabolism for ammonia detoxification; (ii) interruption of the vicious cycle of glutamine production and ammonia generation by the intestine; and (iii) restoration of myogenesis by decreasing myostatin (61,62). Increased basal FR and VPR, coupled with leaner body phenotype and improved physical function, suggest that AXA1665 impacts the BCAA/AAA ratio, which might reduce further muscle breakdown through increased BCAAs (41). A high BCAA–low ammonia state is conducive to activate mammalian target of rapamycin complex 1, which has been shown to increase myogenesis by activating muscle protein synthesis (63). AXA1665 also provides adequate proteogenic substrate using histidine, lysine, and threonine to fuel myogenesis, which might enhance muscle mass and function.
Figure 6.
Schematic of the proposed multifactorial effects of AXA1665 to modulate multiple metabolic pathways through interorgan crosstalk in subjects with cirrhotic sarcopenia. AXA1665 is postulated to modulate metabolic pathways that improve ammonia handling, rebalance AAs, increase protein synthesis, and, consequently, enhance muscle mass and function. AA, amino acid; Arg, arginine; Asp, aspartate; Cit, citrulline; Gln, glutamine; Glu, glutamic acid; His, histidine; Ile, isoleucine; Leu, leucine; Lys, lysine; Met, methionine; mTORC1, mammalian target of rapamycin complex 1; NH3, ammonia; Orn, ornithine; Phe, phenylalanine; Thr, threonine; Tyr, tyrosine; Val, valine.
In conclusion, these results support AXA1665 as a promising approach to mitigate dysregulated AA metabolism, hyperammonemia, and muscle wasting associated with cirrhosis and its complications, such as sarcopenia. Additional studies are needed to confirm whether these effects of AXA1665 would be sustained and/or amplified with long-term administration in an ambulatory setting in patients with cirrhosis.
CONFLICTS OF INTEREST
Guarantor of the article: Manu V. Chakravarthy, MD, PhD.
Specific author contributions: Study design and conduct of the study: M.V.C., S.C., P.Z., N.T., S.R., and W.C. Collection, analysis, and interpretation of data: M.V.C., S.R., W.C., and A.J.S. Statistical analysis of the data: P Z. and M.V.C. Drafting of the manuscript: M.V.C. Critical revision of the manuscript for important intellectual content: A.J.S., N.T., S.R., W.C. M.V.C., J.N., S.C., and P.Z. N.T., S.R., W.C., M.H., T.T., S.C., R.A., and A.J.S. have critically reviewed and approved the final draft.
Financial support: Medical writing support was provided by Claire Stevens and Sarah Thornburg of Fishawack Communications. Thomas Hanlon contributed to this research. This support was funded by Axcella Health.
Potential competing interests: M.V.C., S.C., P.Z., N.T., S.R., W.C., M.H., T.T., S.C., and R.A.: current or former employees of Axcella Health and might own stock options in the company. A.J.S.: President of Sanyal Biotechnologies; stock options: Genfit, Tiziana, Indalo, Durect, Exhalenz, and Galmed; consultant: Gilead, Intercept, Allergan, Lilly, Novo Nordisk, Astra Zeneca Medimmune, Novartis, Pfizer, Genentech, Merck, Bristol Myers, Boehringer Ingelheim, Immuron, Echosense, GE, OWL, Bird Rock Bio, Tern, Sunrise, RedX, IFMO, Lipocine, Innovate, Zydus, AMRA, and Hemoshear; grant support: Bristol Myers, Intercept, Gilead, Allergan, Merck, Echosense, Novartis, and Boehringer Ingelheim. J.N.: nothing to disclose.
Study Highlights.
WHAT IS KNOWN
✓ AA imbalance and hyperammonemia are core features commonly seen in patients with cirrhosis that contribute to sarcopenia and HE.
✓ The SOC for patients with cirrhosis and sarcopenia includes dietary protein/AA supplementation, physical activity, and provision of a late evening snack.
✓ However, dietary protein and BCAA supplementation have been associated with increased plasma ammonia, which could worsen HE risk.
✓ There is a critical need for novel oral therapies that could mitigate core metabolic derangements associated with cirrhosis and its complications.
WHAT IS NEW HERE
✓ AXA1665 is a specifically designed, novel investigational composition of 8 AAs.
✓ AXA1665 oral administration for 2 weeks in subjects with mild and moderate hepatic insufficiency (CPC A and B) was generally safe and well tolerated.
✓ AXA1665 tended to reduce plasma ammonia despite the additional nitrogen load delivered by AXA1665.
✓ Subjects receiving AXA1665 also had a leaner body composition with improved physical function.
TRANSLATIONAL IMPACT
✓ AXA1665 has the potential to directly address core metabolic derangements associated with complications of cirrhosis, including sarcopenia and HE.
Supplementary Material
Footnotes
SUPPLEMENTARY MATERIAL accompanies this paper at http://links.lww.com/CTG/A350, http://links.lww.com/CTG/A351, http://links.lww.com/CTG/A352, http://links.lww.com/CTG/A353, http://links.lww.com/CTG/A354, http://links.lww.com/CTG/A355, http://links.lww.com/CTG/A356, http://links.lww.com/CTG/A357, http://links.lww.com/CTG/A358
References
- 1.Schuppan D, Afdhal NH. Liver cirrhosis. Lancet 2008;371(9615):838–51. [DOI] [PMC free article] [PubMed] [Google Scholar]
- 2.De Las Heras J, Aldamiz-Echevarria L, Martinez-Chantar ML, et al. An update on the use of benzoate, phenylacetate and phenylbutyrate ammonia scavengers for interrogating and modifying liver nitrogen metabolism and its implications in urea cycle disorders and liver disease. Expert Opin Drug Metab Toxicol 2017;13(4):439–48. [DOI] [PMC free article] [PubMed] [Google Scholar]
- 3.Romero-Gomez M, Montagnese S, Jalan R. Hepatic encephalopathy in patients with acute decompensation of cirrhosis and acute-on-chronic liver failure. J Hepatol 2015;62(2):437–47. [DOI] [PubMed] [Google Scholar]
- 4.Scaglione S, Kliethermes S, Cao G, et al. The epidemiology of cirrhosis in the United States: A population-based study. J Clin Gastroenterol 2015;49(8):690–6. [DOI] [PubMed] [Google Scholar]
- 5.G. B. D. Cirrhosis Collaborators. The global, regional, and national burden of cirrhosis in 195 countries and territories, 1990-2017: A systematic analysis for the Global Burden of Disease Study 2017. Lancet Gastroenterol Hepatol 2020;5(3):245–66. [DOI] [PMC free article] [PubMed] [Google Scholar]
- 6.Estes C, Razavi H, Loomba R, et al. Modeling the epidemic of nonalcoholic fatty liver disease demonstrates an exponential increase in burden of disease. Hepatology 2018;67(1):123–33. [DOI] [PMC free article] [PubMed] [Google Scholar]
- 7.Ansley JD, Isaacs JW, Rikkers LF, et al. Quantitative tests of nitrogen metabolism in cirrhosis: Relation to other manifestations of liver disease. Gastroenterology 1978;75(4):570–9. [PubMed] [Google Scholar]
- 8.Fiati Kenston SS, Song X, Li Z, et al. Mechanistic insight, diagnosis, and treatment of ammonia-induced hepatic encephalopathy. J Gastroenterol Hepatol 2019;34(1):31–9. [DOI] [PubMed] [Google Scholar]
- 9.Maddrey WC. Branched chain amino acid therapy in liver disease. J Am Coll Nutr 1985;4(6):639–50. [DOI] [PubMed] [Google Scholar]
- 10.Swaminathan M, Ellul MA, Cross TJ. Hepatic encephalopathy: Current challenges and future prospects. Hepat Med 2018;10:1–11. [DOI] [PMC free article] [PubMed] [Google Scholar]
- 11.Holecek M, Kandar R, Sispera L, et al. Acute hyperammonemia activates branched-chain amino acid catabolism and decreases their extracellular concentrations: Different sensitivity of red and white muscle. Amino Acids 2011;40(2):575–84. [DOI] [PubMed] [Google Scholar]
- 12.Stokes T, Hector AJ, Morton RW, et al. Recent perspectives regarding the role of dietary protein for the promotion of muscle hypertrophy with resistance exercise training. Nutrients 2018;10(2):180. [DOI] [PMC free article] [PubMed] [Google Scholar]
- 13.Qiu J, Thapaliya S, Runkana A, et al. Hyperammonemia in cirrhosis induces transcriptional regulation of myostatin by an NF-kappaB-mediated mechanism. Proc Natl Acad Sci USA 2013;110(45):18162–7. [DOI] [PMC free article] [PubMed] [Google Scholar]
- 14.Dasarathy S. Cause and management of muscle wasting in chronic liver disease. Curr Opin Gastroenterol 2016;32(3):159–65. [DOI] [PMC free article] [PubMed] [Google Scholar]
- 15.Montano-Loza AJ, Meza-Junco J, Prado CM, et al. Muscle wasting is associated with mortality in patients with cirrhosis. Clin Gastroenterol Hepatol 2012;10(2):166–73; 173.e161. [DOI] [PubMed] [Google Scholar]
- 16.Bhanji RA, Moctezuma-Velazquez C, Duarte-Rojo A, et al. Myosteatosis and sarcopenia are associated with hepatic encephalopathy in patients with cirrhosis. Hepatol Int 2018;12(4):377–86. [DOI] [PubMed] [Google Scholar]
- 17.Butterworth RF. L-ornithine L-aspartate for the treatment of sarcopenia in chronic liver disease: The taming of a vicious cycle. Can J Gastroenterol Hepatol 2019;2019:8182195. [DOI] [PMC free article] [PubMed] [Google Scholar]
- 18.Dam G, Keiding S, Munk OL, et al. Branched-chain amino acids increase arterial blood ammonia in spite of enhanced intrinsic muscle ammonia metabolism in patients with cirrhosis and healthy subjects. Am J Physiol Gastrointest Liver Physiol 2011;301(2):G269–277. [DOI] [PubMed] [Google Scholar]
- 19.Fischer JE, Baldessarini RJ. False neurotransmitters and hepatic failure. Lancet 1971;2(7715):75–80. [DOI] [PubMed] [Google Scholar]
- 20.Fischer JE, Yoshimura N, Aguirre A, et al. Plasma amino acids in patients with hepatic encephalopathy. Effects of amino acid infusions. Am J Surg 1974;127(1):40–7. [DOI] [PubMed] [Google Scholar]
- 21.Kinny-Koster B, Bartels M, Becker S, et al. Plasma amino acid concentrations predict mortality in patients with end-stage liver disease. PLoS One 2016;11(7):e0159205. [DOI] [PMC free article] [PubMed] [Google Scholar]
- 22.Campollo O, Sprengers D, McIntyre N. The BCAA/AAA ratio of plasma amino acids in three different groups of cirrhotics. Rev Invest Clin 1992;44(4):513–8. [PubMed] [Google Scholar]
- 23.Lai JC, Covinsky KE, Dodge JL, et al. Development of a novel frailty index to predict mortality in patients with end-stage liver disease. Hepatology 2017;66(2):564–74. [DOI] [PMC free article] [PubMed] [Google Scholar]
- 24.Johnson TM, Overgard EB, Cohen AE, et al. Nutrition assessment and management in advanced liver disease. Nutr Clin Pract 2013;28(1):15–29. [DOI] [PubMed] [Google Scholar]
- 25.Pinals RS. Changing pattern of alcoholic liver disease. Br Med J 1977;2(6092):958. [DOI] [PMC free article] [PubMed] [Google Scholar]
- 26.Plauth M, Cabre E, Riggio O, et al. ESPEN guidelines on enteral nutrition: Liver disease. Clin Nutr 2006;25(2):285–94. [DOI] [PubMed] [Google Scholar]
- 27.Gluud LL, Dam G, Borre M, et al. Oral branched-chain amino acids have a beneficial effect on manifestations of hepatic encephalopathy in a systematic review with meta-analyses of randomized controlled trials. J Nutr 2013;143(8):1263–8. [DOI] [PubMed] [Google Scholar]
- 28.Kawaguchi T, Shiraishi K, Ito T, et al. Branched-chain amino acids prevent hepatocarcinogenesis and prolong survival of patients with cirrhosis. Clin Gastroenterol Hepatol 2014;12(6):1012–8 e1011. [DOI] [PubMed] [Google Scholar]
- 29.Toshikuni N, Arisawa T, Tsutsumi M. Nutrition and exercise in the management of liver cirrhosis. World J Gastroenterol 2014;20(23):7286–97. [DOI] [PMC free article] [PubMed] [Google Scholar]
- 30.Tsien CD, McCullough AJ, Dasarathy S. Late evening snack: Exploiting a period of anabolic opportunity in cirrhosis. J Gastroenterol Hepatol 2012;27(3):430–41. [DOI] [PubMed] [Google Scholar]
- 31.Chen HW, Ferrando A, White MG, et al. Home-based physical activity and diet intervention to improve physical function in advanced liver disease: A randomized pilot trial. Dig Dis Sci 2020. [Epub ahead of print January 6, 2020.] doi: 10.1007/s10620-019-06034-2. [DOI] [PubMed] [Google Scholar]
- 32.Roman E, Torrades MT, Nadal MJ, et al. Randomized pilot study: Effects of an exercise programme and leucine supplementation in patients with cirrhosis. Dig Dis Sci 2014;59(8):1966–75. [DOI] [PubMed] [Google Scholar]
- 33.Hanai T, Shiraki M, Imai K, et al. Late evening snack with branched-chain amino acids supplementation improves survival in patients with cirrhosis. J Clin Med 2020;9(4):1013. [DOI] [PMC free article] [PubMed] [Google Scholar]
- 34.Marchesini G, Bianchi G, Merli M, et al. Nutritional supplementation with branched-chain amino acids in advanced cirrhosis: A double-blind, randomized trial. Gastroenterology 2003;124(7):1792–801. [DOI] [PubMed] [Google Scholar]
- 35.Muto Y, Sato S, Watanabe A, et al. Effects of oral branched-chain amino acid granules on event-free survival in patients with liver cirrhosis. Clin Gastroenterol Hepatol 2005;3(7):705–13. [DOI] [PubMed] [Google Scholar]
- 36.Gluud LL, Dam G, Les I, et al. Branched-chain amino acids for people with hepatic encephalopathy. Cochrane Database Syst Rev 2017;5:CD001939. [DOI] [PMC free article] [PubMed] [Google Scholar]
- 37.Tsien C, Davuluri G, Singh D, et al. Metabolic and molecular responses to leucine-enriched branched chain amino acid supplementation in the skeletal muscle of alcoholic cirrhosis. Hepatology 2015;61(6):2018–29. [DOI] [PMC free article] [PubMed] [Google Scholar]
- 38.Churchward-Venne TA, Breen L, Di Donato DM, et al. Leucine supplementation of a low-protein mixed macronutrient beverage enhances myofibrillar protein synthesis in young men: A double-blind, randomized trial. Am J Clin Nutr 2014;99(2):276–86. [DOI] [PubMed] [Google Scholar]
- 39.Wolfe RR. Branched-chain amino acids and muscle protein synthesis in humans: Myth or reality? J Int Soc Sports Nutr 2017;14:30. [DOI] [PMC free article] [PubMed] [Google Scholar]
- 40.Holecek M. Branched-chain amino acid supplementation in treatment of liver cirrhosis: Updated views on how to attenuate their harmful effects on cataplerosis and ammonia formation. Nutrition 2017;41:80–5. [DOI] [PubMed] [Google Scholar]
- 41.Holecek M. Branched-chain amino acids in health and disease: Metabolism, alterations in blood plasma, and as supplements. Nutr Metab (Lond) 2018;15:33. [DOI] [PMC free article] [PubMed] [Google Scholar]
- 42.Goh ET, Stokes CS, Sidhu SS, et al. L-ornithine L-aspartate for prevention and treatment of hepatic encephalopathy in people with cirrhosis. Cochrane Database Syst Rev 2018;5:CD012410. [DOI] [PMC free article] [PubMed] [Google Scholar]
- 43.Mittal VV, Sharma BC, Sharma P, et al. A randomized controlled trial comparing lactulose, probiotics, and L-ornithine L-aspartate in treatment of minimal hepatic encephalopathy. Eur J Gastroenterol Hepatol 2011;23(8):725–32. [DOI] [PubMed] [Google Scholar]
- 44.Ndraha S, Hasan I, Simadibrata M. The effect of L-ornithine L-aspartate and branch chain amino acids on encephalopathy and nutritional status in liver cirrhosis with malnutrition. Acta Med Indones 2011;43(1):18–22. [PubMed] [Google Scholar]
- 45.Stauch S, Kircheis G, Adler G, et al. Oral L-ornithine-L-aspartate therapy of chronic hepatic encephalopathy: Results of a placebo-controlled double-blind study. J Hepatol 1998;28(5):856–64. [DOI] [PubMed] [Google Scholar]
- 46.Varakanahalli S, Sharma BC, Srivastava S, et al. Secondary prophylaxis of hepatic encephalopathy in cirrhosis of liver: A double-blind randomized controlled trial of L-ornithine L-aspartate versus placebo. Eur J Gastroenterol Hepatol 2018;30(8):951–8. [DOI] [PubMed] [Google Scholar]
- 47.Kumar A, Davuluri G, Silva RNE, et al. Ammonia lowering reverses sarcopenia of cirrhosis by restoring skeletal muscle proteostasis. Hepatology 2017;65(6):2045–58. [DOI] [PMC free article] [PubMed] [Google Scholar]
- 48.Devries MC, McGlory C, Bolster DR, et al. Leucine, not total protein, content of a supplement is the primary determinant of muscle protein anabolic responses in healthy older women. J Nutr 2018;148(7):1088–95. [DOI] [PubMed] [Google Scholar]
- 49.Butterworth RF, Kircheis G, Hilger N, et al. Efficacy of l-ornithine l-aspartate for the treatment of hepatic encephalopathy and hyperammonemia in cirrhosis: Systematic review and meta-analysis of randomized controlled trials. J Clin Exp Hepatol 2018;8(3):301–13. [DOI] [PMC free article] [PubMed] [Google Scholar]
- 50.Bremer HJ. Disturbances of Amino Acid Metabolism: Clinical Chemistry and Diagnosis . Baltimore, MD: Urban & Schwarzenberg; 1981. [Google Scholar]
- 51.Goggs R, Serrano S, Szladovits B, et al. Clinical investigation of a point-of-care blood ammonia analyzer. Vet Clin Pathol 2008;37(2):198–206. [DOI] [PubMed] [Google Scholar]
- 52.Block DR, Ouverson LJ, Wittwer CA, et al. An approach to analytical validation and testing of body fluid assays for the automated clinical laboratory. Clin Biochem 2018;58:44–52. [DOI] [PubMed] [Google Scholar]
- 53.Ling CH, de Craen AJ, Slagboom PE, et al. Accuracy of direct segmental multi-frequency bioimpedance analysis in the assessment of total body and segmental body composition in middle-aged adult population. Clin Nutr 2011;30(5):610–5. [DOI] [PubMed] [Google Scholar]
- 54.Marchesini G, Bugianesi E, Bianchi G, et al. Defective methionine metabolism in cirrhosis: Relation to severity of liver disease. Hepatology 1992;16(1):149–55. [DOI] [PubMed] [Google Scholar]
- 55.Mato JM, Alonso C, Noureddin M, et al. Biomarkers and subtypes of deranged lipid metabolism in non-alcoholic fatty liver disease. World J Gastroenterol 2019;25(24):3009–20. [DOI] [PMC free article] [PubMed] [Google Scholar]
- 56.Campollo O, Sprengers D, Dam G, et al. Protein tolerance to standard and high protein meals in patients with liver cirrhosis. World J Hepatol 2017;9(14):667–76. [DOI] [PMC free article] [PubMed] [Google Scholar]
- 57.Lai JC, Covinsky KE, McCulloch CE, et al. The Liver Frailty Index improves mortality prediction of the subjective clinician assessment in patients with cirrhosis. Am J Gastroenterol 2018;113(2):235–42. [DOI] [PMC free article] [PubMed] [Google Scholar]
- 58.Lai JC, Kappus MR, Dodge JL, et al. Changes in frailty and its impact on mortality: A multi-center, longitudinal study of >1000 patients with cirrhosis [functional assessment in liver transplantation (Frailt) study]. Hepatology 2019;70(1):1–187.31245883 [Google Scholar]
- 59.Tandon P, Ismond KP, Riess K, et al. Exercise in cirrhosis: Translating evidence and experience to practice. J Hepatol 2018;69(5):1164–77. [DOI] [PubMed] [Google Scholar]
- 60.Sinclair M, Gow PJ, Grossmann M, et al. Review article: Sarcopenia in cirrhosis—aetiology, implications and potential therapeutic interventions. Aliment Pharmacol Ther 2016;43(7):765–77. [DOI] [PubMed] [Google Scholar]
- 61.Holecek M. Evidence of a vicious cycle in glutamine synthesis and breakdown in pathogenesis of hepatic encephalopathy-therapeutic perspectives. Metab Brain Dis 2014;29(1):9–17. [DOI] [PMC free article] [PubMed] [Google Scholar]
- 62.Nishikawa H, Enomoto H, Ishii A, et al. Elevated serum myostatin level is associated with worse survival in patients with liver cirrhosis. J Cachexia Sarcopenia Muscle 2017;8(6):915–25. [DOI] [PMC free article] [PubMed] [Google Scholar]
- 63.Tajiri K, Shimizu Y. Branched-chain amino acids in liver diseases. Transl Gastroenterol Hepatol 2018;3:47. [DOI] [PMC free article] [PubMed] [Google Scholar]
Associated Data
This section collects any data citations, data availability statements, or supplementary materials included in this article.







