Abstract
This study aimed to clarify predictive biomarkers of mild and severe ocular complications of Stevens-Johnson syndrome (SJS) and toxic epidermal necrolysis (TEN) by examining the cytokines in tears. In 121 chronic-phase SJS/TEN eyes, cytokines in tear samples collected using Schirmer test strips were measured, and ocular sequelae severity was evaluated using an Ocular Surface Grading Score (OSGS) involving 7 components (conjunctivalization, neovascularization, opacification, keratinization, symblepharon, and upper/lower conjunctival-sac shortening), with findings categorized into grades 0–3 (maximum total OSGS: 21). Changes in cytokines between the mild and severe groups (mild: total OSGS of 10 or less, severe: total OSGS of 11 or more), and changes between SJS/TEN cases with and without each of the 7 components, were compared. In the severe group, there was significant upregulation of interleukin (IL)-8 (P < 0.01) and Granzyme B (GrzB) (P < 0.05). IL-8 was significantly upregulated in eyes with conjunctivalization, neovascularization, or opacification, GrzB was upregulated in eyes with keratinization, interferon-γ-inducible protein 10 (IP-10) was downregulated in eyes with conjunctivalization or neovascularization, and IL-1α was upregulated in eyes with opacification (all: P < 0.05). IL-8 and IP-10 was involved in conjunctivalization and neovascularization, while GrzB was involved in keratinization. IL-8 and GrzB in tears may reflect SJS/TEN-related ocular sequelae severity.
Subject terms: Biomarkers, Diseases, Medical research
Introduction
Stevens-Johnson syndrome (SJS) is an acute inflammatory disease that causes necrosis of the skin and mucous membranes. In SJS patients with extensive skin detachment and a poor prognosis, the disorder is termed toxic epidermal necrolysis (TEN). Symptoms of SJS and TEN include high fever and general malaise, erythema, erosion, blisters that frequently occur over the entire body, including the mouth, oral cavity, eyes, vulva, etc.1–6, which can ultimately lead to death due to concomitant severe complications such as sepsis, respiratory insufficiency, and multiple organ failure.
In the acute phase of SJS/TEN, severe ocular complications (SOC) reportedly occur in 50% of the patients7–12, and in the chronic phase, acute ocular surface damage causes severe scarring and symblepharon. In SJS/TEN cases, the SOC result in persistent visual loss and ocular discomfort, thus greatly affecting the patient’s quality of life (QOL).
In previous studies, we investigated the cytokines in tears of SJS/TEN cases with SOC, and found that in the acute phase, interleukin (IL)-6, IL-8, and monocyte chemoattractant protein-1 (MCP-1) were dramatically increased13, while in the chronic phase, there was a significant downregulation of interferon-γ-induced protein 10 (IP-10), as well as upregulation of IL-6, IL-8, eotaxin, and macrophage inflammatory protein-1 beta (MIP-1β) compared with the tears of normal control subjects14.
However, it remains unknown as to whether or not the inflammatory cytokines in tears differ depending on their severity of scarring of the ocular surface.
Recent studies have reported that SJS/TEN-related SOC progress in the chronic phase15,16, however, the biomarkers to predict the progression have yet to be elucidated. Moreover, the management of those SOC differs depending on each medical facility, so it is important to elucidate the specific predictive biomarkers to help guide treatment. In this study, we examined the differences in inflammatory cytokines in tears between mild and severe phenotypes of the SOC of SJS/TEN in order to elucidate the biomarkers.
Results
In this study, we compared the cytokines among the ‘mild group', ‘severe group', and ‘normal control group' tear samples. The distribution by total Ocular Surface Grading Score (OSGS) of the number of eyes in each group is outlined in Fig. 1. There were 84 eyes in the mild group and 37 eyes the severe group, and images of representative cases are shown in Fig. 1A–D.
Figure 1.
Eye count distribution by total Ocular Surface Grading Score (OSGS) and images of four representative Stevens-Johnson syndrome (SJS) or toxic epidermal necrolysis (TEN) patients. C, conjunctivalization; N, neovascularization; O, opacification; K, keratinization; S, symblepharon; U, upper conjunctival sac shortening; L, lower conjunctival sac shortening; T, total OSGS.
Comparison of cytokines between the mild and severe groups
Compared to the mild group tears, the severe group tears had significant upregulation of IL-8 (P < 0.01) and Granzyme B (GrzB) (P < 0.05) (Fig. 2). This finding suggested that focusing on IL-8 and GrzB might be the predictive biomarkers for the progression of SOC in SJS/TEN. Although there was no significant difference found in regard to the other cytokines, many cytokines tended to increase in the severe group.
Figure 2.
Comparison of cytokines and total immunoglobulin E (IgE) levels in tears from mild and severe cases of SJS/TEN patients with severe ocular complications and those from healthy control subjects. FGF, fibroblast growth factor; IFN-γ, interferon gamma; IgE, immunoglobulin E; IL, interleukin; IP-10, interferon-γ-inducible protein 10; MCP-1, monocyte chemoattractant protein-1; MIP-1β, macrophage inflammatory protein-1 beta; RANTES, regulated on activation, normal T cell expressed and secreted; TNF, tumor necrosis factor.
Relationship between cytokines in tears and components of the ocular surface
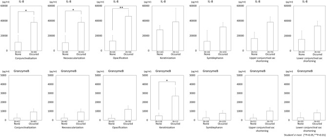
We examined the difference in IL-8 and GrzB between the SJS/TEN cases with and without each of the 7 components, and the results are shown in Fig. 3. In the SJS/TEN cases with conjunctivalization, neovascularization, or opacification, IL-8 was significantly upregulated (P < 0.05, P < 0.05, and P < 0.01, respectively). In the SJS/TEN cases with keratinization, GrzB was significantly upregulated (P < 0.05). Representative cases without conjunctivalization (C), neovascularization (N), and opacification (O) are shown in Fig. 1A (C: 0, N: 0, and O: 0). Representative cases with conjunctivalization, neovascularization, and opacification are shown in Fig. 1B (C: 3, N: 3, and O: 1), C (C: 3, N: 3, and O: 2), and D (C: 3, N: 3, and O: 3). Representative cases without keratinization (K) are shown in Fig. 1A (K: 0), B (K: 0), and C (K: 0). Representative cases with keratinization (K) are shown in Fig. 1D (K: 3).
Figure 3.
Comparison of IL-8 and Granzyme B between SJS/TEN cases with and without each of the 7 ocular-surface components.
It was possible that many of the cytokines measured in this study were not significantly different between the mild and severe cases due to the interplay of multiple components of the ocular surface. Our findings revealed a relationship between IL-8 and GrzB and the specific components of ocular surface. Hence, we then compared other cytokines between SJS/TEN cases with and without each of the 7 components. Upon investigation, IP-10 and IL-1α showed a significant difference between SJS/TEN cases with and without some components (Fig. 4). IP-10 was significantly downregulated In the SJS/TEN cases with conjunctivalization or neovascularization (P < 0.05, P < 0.05, respectively). Moreover, IL-1α was significantly upregulated In the SJS/TEN cases with opacification (P < 0.05). However, no significant difference was observed in regard to the other cytokines.
Figure 4.
Comparison between the normal control subjects and all SJS/TEN cases, and IP-10 and IL-1α between SJS/TEN cases with and without each of the 7 ocular-surface components.
Discussion
In this study, our findings revealed that IL-8 and GrzB were upregulated in the tears of severe SJS/TEN cases compared to the tears of mild SJS/TEN cases. When examined for association with each component of ocular surface, our findings revealed a relationship between cytokines IL-8, GrzB, IP-10, and IL-1α and specific components of ocular surface.
IL-8 was significantly upregulated in the SJS/TEN cases with conjunctivalization, neovascularization, or opacification. In our previously study investigating the progression of 7 components of the ocular surface in chronic SJS/TEN cases, our findings revealed that there is a significant correlation between conjunctivalization, neovascularization, and opacification15. It has previously been reported that IL-8 promotes corneal neovascularization in mouse models17,18. Therefore, it is quite reasonable that IL-8 was found to be upregulated in these three specific disease components. Our findings possibly suggest that the suppression of IL-8 can suppress the progression of conjunctivalization and neovascularization.
Compared to the mild group tears, we found that GrzB was upregulated in the severe group tears. However, GrzB was not detected in any of the normal control group tear samples. In the SJS/TEN cases, GrzB was detected in 70.2% (85 of 121 eyes). Interestingly, the upregulation of GrzB was found to be significantly higher in SJS/TEN cases with keratinization. It should be noted that GrzB is a mediator that reportedly works with perforin in the apoptotic pathway in cases of SJS/TEN5,19–21. Although the role of GrzB on the ocular surface has yet to be fully elucidated, our findings might possibly indicate that keratinization can be caused by the upregulation of GrzB. Thus, the inhibition of GrzB might help contribute to the suppression of keratinization, and might be an effective treatment to reduce the progression of SOC in chronic SJS/TEN cases.
IP-10 was significantly downregulated in all SJS/TEN cases compared to the normal control subjects, similar to the findings in previous reports14,22. Moreover, IP-10 was significantly downregulated in SJS/TEN cases with conjunctivalization and neovascularization. As stated above, conjunctivalization is strongly correlated with neovascularization15. It was previously reported in a corneal-neovascularization mouse-model study that IP-10 acts as an inhibitor of neovascularization23. Hence, it is possible that the downregulation of IP-10 contributes to the progression of conjunctivalization and neovascularization in SJS/TEN cases, and that upregulation of IP-10 might suppress the progression of conjunctivalization and neovascularization. Another studies noted upregulation of IP-10 in eyes with evaporative DED and downregulation of IP-10 in eyes with chronic GVHD24,25. We have found that in eyes with SJS/TEN, IP-10 was downregulated as same as GVHD14.
IL-1α was significantly upregulated in the SJS/TEN cases with opacification. IL-1α reportedly increases during the wound healing process of corneal stromal scarring26. Similarly, IL-1α may have been upregulated in SJS/TEN cases with opacification.
This study might have a limitation due to the cross sectional study. In the future, prospective studies with multiple cytokine measurements over time are needed.
In conclusion, the findings of this study showed that IL-8 in tears might be a biomarker of conjunctivalization and neovascularization, and similarly, GrzB might be a biomarker of keratinization. Moreover, our findings revealed that IP-10 might be a biomarker for the suppression of conjunctivalization and neovascularization. Thus, treatment aimed at maintaining lower levels of IL-8 and GrzB and higher levels of IP-10 may suppress the progression of SOC in chronic-phase SJS/TEN cases. It should be noted that to the best of our knowledge, this is the first report to illustrate the relationship between tear cytokines and the pathological components of the ocular surface in chronic-stage SJS/TEN cases.
Methods
Subjects
The protocol of this study was approved by the Ethics Review Board of Kyoto Prefectural University of Medicine, Kyoto, Japan, and in accordance with the tenets set forth in the Declaration of Helsinki, written informed consent was obtained from all subjects prior to their involvement in the study. Our investigation involved the use of tear samples obtained from 121 eyes of SJS/TEN patients in the chronic stage (i.e., at more than 1 year from disease onset) who were seen between 2016 and 2019 in the Department of Ophthalmology Outpatient Clinic at the Kyoto Prefectural University of Medicine. The average duration of chronicity from onset was 22.9 ± 17.3 years. To meet the inclusion guidelines, all subjects were SJS/TEN patients with SOC. For a control, we also obtained tear samples from 24 eyes of healthy volunteer subjects with no history of ocular disease.
OSGS
The SJS/TEN patients were divided into two groups, i.e., ‘mild' and ‘severe', according to our previously reported OSGS27,28. Briefly, in accordance with our modified OSGS15, the following 7 ocular-surface components were examined in all enrolled SJS/TEN patients: (1) conjunctivalization, (2) neovascularization, (3) opacification, (4) keratinization, (5) symblepharon, and (6) upper and (7) lower conjunctival sac shortening. Each component was graded on a scale from 0 to 3, depending on the severity of involvement. The OSGS results were then combined to produce a total OSGS ranging from 0 to 21, with 21 representing the most severely affected eyes. All patients were divided into 2 groups by total OSGS, with those with a score of 10 or less being considered as the 'mild group' and those with a score of 11 or more being considered as the ‘severe group'.
Cytokines
In the SJS patients with ocular complications, we measured the amount of tear cytokines [i.e., IL-6, IL-8, IL-1α, IL-13, interferon-γ, MCP-1, total immunoglobulin E (IgE), CD178, eotaxin, fibroblast growth factor (FGF), GrzB, IP-10, regulated on activation, normal T cell expressed and secreted (RANTES), MIP-1β, and tumor necrosis factor (TNF)].
Tear samples were collected on Schirmer Tear Production Measuring Strips (Showa Yakuhin Kako Co., Ltd., Tokyo, Japan) according to our previously reported method14. They were immersed in 100 µL Tris-buffered saline, we measured the titre of the above-listed cytokines in 50 µL of TBST containing the tears. The tear volume on the Schirmer test strips was calculated at 1 µL intervals using a standard curve obtained from 0 to 25 µL of distilled water. The concentration of cytokines in the tear samples was measured with the BD CBA Flex Sets and BD human soluble protein master buffer kits (BD Biosciences) .Concentrations were calculated with FCAP Array Software version 3.0 (BD Biosciences)14.
Statistical analysis
Data were expressed as mean and individual values, using JMP PRO version 14 (SAS Institute, Inc., Cary, NC) software. Comparisons between the three groups were evaluated using the Tukey–Kramer test, and comparisons between the mild and severe SJS/TEN groups were evaluated using Student's t-test. In all tests, a P-value of < 0.05 was considered statistically significant.
Author contributions
Y.Y. and M.U. wrote the main manuscript text and prepared the tables. Y.Y., M.U. and H.N. performed experiments. T.I., C.S. and S.K. contributed to material of the research and reviewed the manuscript.
Funding
This work was supported by Grants-in-Aid from the Japanese Ministry of Education, Culture, Sports, Science and Technology, and by the JSPS Core-to-Core Program A (Japanese Society for the Promotion of Science), Advanced Research Networks, and partly by Grants-in-Aid for Scientific Research from the Japanese Ministry of Health, Labor and Welfare.
Competing interests
The authors declare no competing interests.
Footnotes
Publisher's note
Springer Nature remains neutral with regard to jurisdictional claims in published maps and institutional affiliations.
References
- 1.Power WJ, Ghoraishi M, Merayo-Lloves J, Neves RA, Foster CS. Analysis of the acute ophthalmic manifestations of the erythema multi-forme/Stevens-Johnson syndrome/toxic epidermal necrolysis disease spectrum. Ophthalmology. 1995;102:1669–1676. doi: 10.1016/S0161-6420(95)30811-1. [DOI] [PubMed] [Google Scholar]
- 2.Howard GM. The Stevens-Johnson syndrome: ocular prognosis and treatment. Am. J. Ophthalmol. 1963;55:893–900. doi: 10.1016/0002-9394(63)90366-0. [DOI] [PubMed] [Google Scholar]
- 3.Lehman SS. Long-term ocular complication of Stevens-Johnson syndrome. Clin. Pediatr. (Phil.) 1999;38:425–427. doi: 10.1177/000992289903800709. [DOI] [PubMed] [Google Scholar]
- 4.Bastuji-Garin S, et al. Clinical classification of cases of toxic epidermal necrolysis, Stevens-Johnson syndrome, and erythema multiforme. Arch. Dermatol. 1993;129:92–96. doi: 10.1001/archderm.1993.01680220104023. [DOI] [PubMed] [Google Scholar]
- 5.Kohanim S, et al. Stevens-Johnson syndrome/toxic epidermal necrolysis–a comprehensive review and guide to therapy. I. Systemic disease. Ocul. Surf. 2016;14:2–19. doi: 10.1016/j.jtos.2015.10.002. [DOI] [PubMed] [Google Scholar]
- 6.Jain R, et al. Stevens-Johnson syndrome: the role of an ophthalmologist. Surv. Ophthalmol. 2016;61:369–399. doi: 10.1016/j.survophthal.2016.01.004. [DOI] [PubMed] [Google Scholar]
- 7.Sotozono C, et al. Predictive factors associated with acute ocular involvement in Stevens-Johnson syndrome and toxic epidermal necrolysis. Am. J. Ophthalmol. 2015;160:228–237. doi: 10.1016/j.ajo.2015.05.002. [DOI] [PubMed] [Google Scholar]
- 8.Lopez-Garcia JS, et al. Ocular features and histopathologic changes during follow-up of toxic epidermal necrolysis. Ophthalmology. 2011;118:265–271. doi: 10.1016/j.ophtha.2010.06.035. [DOI] [PubMed] [Google Scholar]
- 9.Chang YS, et al. Erythema multiforme, Stevens-Johnson syndrome, and toxic epidermal necrolysis: acute ocular manifestations, causes, and management. Cornea. 2007;26:123–129. doi: 10.1097/ICO.0b013e31802eb264. [DOI] [PubMed] [Google Scholar]
- 10.Revuz J, et al. Toxic epidermal necrolysis. Clinical findings and prognosis factors in 87 patients. Arch. Dermatol. 1987;123:1160–1165. doi: 10.1001/archderm.1987.01660330071012. [DOI] [PubMed] [Google Scholar]
- 11.Correia O, et al. Evolving pattern of drug-induced toxic epidermal necrolysis. Dermatology. 1993;186:32–37. doi: 10.1159/000247299. [DOI] [PubMed] [Google Scholar]
- 12.Oplatek A, et al. Long-term follow-up of patients treated for toxic epidermal necrolysis. J. Burn Care Res. 2006;27:26–33. doi: 10.1097/01.bcr.0000194268.01514.f8. [DOI] [PubMed] [Google Scholar]
- 13.Yagi T, et al. Cytokine storm arising on the ocular surface in a patient with Stevens-Johnson syndrome. Br. J. Ophthalmol. 2011;95:1030–1031. doi: 10.1136/bjo.2010.196295. [DOI] [PubMed] [Google Scholar]
- 14.Ueta M, Nishigaki H, Sotozono C, Kinoshita S. Downregulation of interferon-γ-induced protein 10 in the tears of patients with Stevens-Johnson syndrome with severe ocular complications in the chronic stage. BMJ Open Ophthalmol. 2017;7:1. doi: 10.4236/ojoph.2017.71001. [DOI] [PMC free article] [PubMed] [Google Scholar]
- 15.Yoshikawa Y, et al. Long-term progression of ocular-surface disease in Stevens-Johnson syndrome and toxic epidermal necrolysis. Cornea. 2020;39:745–753. doi: 10.1097/ICO.0000000000002263. [DOI] [PubMed] [Google Scholar]
- 16.Basu S, et al. Chronic ocular sequelae of stevens-johnson syndrome in children: long-term impact of appropriate therapy on natural history of disease. Am. J. Ophthalmol. 2018;189:17–28. doi: 10.1016/j.ajo.2018.01.028. [DOI] [PubMed] [Google Scholar]
- 17.Ghasemi H, Ghazanfari T, Yaraee R, Faghihzadeh S, Hassan ZM. Roles of IL-8 in ocular inflammations: a review. Ocul. Immunol. Inflamm. 2011;19:401–412. doi: 10.3109/09273948.2011.618902. [DOI] [PubMed] [Google Scholar]
- 18.Strieter RM, et al. Interleukin-8. A corneal factor that induces neovascularization. Am. J. Pathol. 1992;141:1279–1284. [PMC free article] [PubMed] [Google Scholar]
- 19.Posadas SJ, et al. Delayed reactions to drugs show levels of perforin, granzyme B, and Fas-L to be related to disease severity. J. Allergy Clin. Immunol. 2002;109:155–161. doi: 10.1067/mai.2002.120563. [DOI] [PubMed] [Google Scholar]
- 20.Nassif A, et al. Drug specific cytotoxic T-cells in the skin lesions of a patient with toxic epidermal necrolysis. J. Investig. Dermatol. 2002;118:728–733. doi: 10.1046/j.1523-1747.2002.01622.x. [DOI] [PubMed] [Google Scholar]
- 21.Nassif A, et al. Toxic epidermal necrolysis: effector cells are drug-specific cytotoxic T cells. J. Allergy Clin. Immunol. 2004;114:1209–1215. doi: 10.1016/j.jaci.2004.07.047. [DOI] [PubMed] [Google Scholar]
- 22.Gurumurthy S, Iyer G, Srinivasan B, Agarwal S, Angayarkanni N. Ocular surface cytokine profile in chronic Stevens-Johnson syndrome and its response to mucous membrane grafting for lid margin keratinisation. Br. J. Ophthalmol. 2018;102:169–176. doi: 10.1136/bjophthalmol-2017-310373. [DOI] [PubMed] [Google Scholar]
- 23.Liu G, Zhang W, Xiao Y, Lu P. Critical role of IP-10 on reducing experimental corneal neovascularization. Curr. Eye Res. 2015;40:891–901. doi: 10.3109/02713683.2014.968934. [DOI] [PubMed] [Google Scholar]
- 24.Enríquez-de-Salamanca A, et al. Tear cytokine and chemokine analysis and clinical correlations in evaporative-type dry eye disease. Mol Vis. 2010;16:862–873. [PMC free article] [PubMed] [Google Scholar]
- 25.Cocho L, et al. Biomarkers in ocular chronic graft versus host disease: tear cytokine- and chemokine-based predictive model. Investig. Ophthalmol. Vis. Sci. 2016;57:746–758. doi: 10.1167/iovs.15-18615. [DOI] [PubMed] [Google Scholar]
- 26.Saikia P, et al. IL-1 and TGF-β modulation of epithelial basement membrane components perlecan and nidogen production by corneal stromal cells. Investig. Ophthalmol. Vis. Sci. 2018;59:5589–5598. doi: 10.1167/iovs.18-25202. [DOI] [PMC free article] [PubMed] [Google Scholar]
- 27.Sotozono C, et al. New grading system for the evaluation of chronic ocular manifestations in patients with Stevens-Johnson syndrome. Ophthalmology. 2007;114:1294–1302. doi: 10.1016/j.ophtha.2006.10.029. [DOI] [PubMed] [Google Scholar]
- 28.Sotozono C, et al. Cultivated oral mucosal epithelial transplantation for persistent epithelial defect in severe ocular surface diseases with acute inflammatory activity. Acta. Ophthalmol. 2014;92:e447–453. doi: 10.1111/aos.12397. [DOI] [PMC free article] [PubMed] [Google Scholar]




