Abstract

In this paper, thicknesses of interfacial nanolayers of alumina-deionized water (DW) and titanium dioxide-deionized water (DW) nanofluids are studied. Thermal conductivities of both nanofluids were measured in a temperature range of 298 to 353 K at particle volume ratios of 0.2 to 1.5% by experiments. A theoretical model considered both the effects of the interfacial nanolayer and Brownian motion is developed for thermal conductivity. A relational expression between nanolayer thickness and bulk temperature and volume fraction of particles of nanofluids is derived from the theoretical model. With the experimental data of thermal conductivity, changes of nanolayer thickness with nanofluids macroscopic properties (bulk temperature and particle volume ratio) are obtained. The present results show that nanolayer thickness increases with fluid temperature almost linearly and decreases with particle volume fraction in a power law. Based on the present results, simple formulas of interfacial nanolayer thickness as a function of fluid temperature and particle volume fraction are proposed for both water-based nanofluids.
Introduction
The concept of nanofluid, a kind of nanoparticle-laden colloidal solution, was first proposed by Choi in 1995,1 and in this literature, Choi presented that nanofluids could improve the heat transfer coefficient by increased thermal conductivity and by the effect of nanoparticles on fluid flow. Many studies have been conducted on suspension stability, thermophysical properties, and flow properties (heat transfer and flow resistance) of nanofluids, among which there were a great part of studies that were focused on thermal conductivities of nanofluids. Plenty of studies2−4 have shown that addition of nanoparticles could obviously increase thermal conductivities of solutions. Besides, some scholars began to use novel methods like neural network and connectionist methods to study thermal properties of nanofluids.5−8 The interesting phenomenon of increasing heat conduction leads to many academic viewpoints for physical explanations. First, it is a dominant view that Brownian motion causes the increase of nanofluid thermal conductivity. Jang and Choi9 presented four modes of energy transport in nanofluids and concluded that Brownian motion played an important role. Similarly, Prasher et al.10 confirmed that Brownian motion was the main reason for the increase of thermal conductivity via comparing results of experiment data and the calculated value of a prediction model considering Brownian motion. Koo and Kleinstreuer11 and Xu and Yu,12 respectively, constructed a theoretical model based on Brownian motion for predictions of thermal conductivities of copper oxide–DW and alumina–DW nanofluids. Besides, aggregation is also a factor that has an influence on thermal conductivities of nanofluids, especially with small nanoparticles.13,14 Another important factor for increased thermal conductivity is the effect of the interfacial nanolayer, and its effect has been studied by many researchers in recent years. For example, Yu and Choi,15 Leong et al.,16 Xie et al.,17 and Tso et al.18 separately proposed theoretical models for prediction of thermal conductivity with the nanolayer as one of the major factors. Meanwhile, there still are some uncertainties in theory of interfacial nanolayers such as distribution of thermal conductivity in the nanolayer and properties of nanolayer thickness that have not been sufficiently recognized. Up to now, a number of researchers have studied properties of nanolayer thickness by optical experimental measurements19 or by molecular dynamics simulations.20−22 Several prediction models about thickness of the nanolayer have been proposed.23−26 However, these models are all related to the microparameters such as surface tension or Avogadro constant. So far, there has not been a widely accepted method to directly relate nanolayer thickness with macroparameters of nanofluids. How to determine nanolayer thickness is still a key issue that needs further research.
In this paper, alumina and titanium dioxide nanoparticles were selected to prepare nanofluids for their good chemical stability. On the premise of ensuring the dispersibility and stability of nanofluids, thermal conductivities of alumina–DW and titanium dioxide–DW nanofluids in a temperature range of 298 to 353 K and volume fraction ratios of nanoparticles of 0.2 to 1.5% are obtained by experiments. As a microparameter, the thickness of interfacial nanolayers is related to other microparameters that are difficult to measure. In order to quantitatively obtain nanolayer thickness, the relation between nanolayer thickness and macroparameters is derived in the paper by a novel method with combination of experimental results and theoretical analysis. A new theoretical model of thermal conductivity is proposed, and based on the model and experimental data, effects of nanofluid macroscopic properties on nanolayer thickness of both nanofluids are studied and fitting formulas of nanolayer thickness as functions of fluid temperature and particle volume fraction are obtained.
Results and Discussion
Theoretical Model of Nanofluid Thermal Conductivity
Up to now, there are three dominant viewpoints how nanoparticles affect heat conduction of solutions. Because of the small size of nanoparticles, Brownian motion of particles exists in nanofluids and results in the microconvection effect. The influence of Brownian motion will be more significant with higher temperature on account of higher characteristic velocity of Brownian motion.27,28 Also, due to the small size effect, nanoparticles will aggregate in solution with huge surface energy. However, there has been a study13 that proved that the effect of aggregation on nanofluids thermal conductivity is negligible when the particle size is larger than 10 nm. The effect of the interfacial nanolayer has been considered as a primary cause for the increase of thermal conductivity by many studies.17,29 A nanolayer is an interfacial layer between particles and liquid. Liquid molecules form an ordered layer structure as the shell on particle solid surfaces due to intermolecular forces existing between the particle surface and liquid including van der Waals force and Coulombic force.30 Hence, the thermal conductivity of the nanolayer is higher than that of the base liquid.15
Therefore, according to the previous studies, Brownian motion and interfacial nanolayer are the two main factors for the change of thermal conductivities of nanofluids. In this paper, a new theoretical model of thermal conductivity is constructed with the classical solid–liquid two-phase theory,31 Brownian motion theory,10,11 and interfacial nanolayer theory.15,32,33
First, the nanolayer effect is considered. The particle and the nanolayer can be considered to be an equivalent particle with larger size. Thus, the equivalent volume fraction and the equivalent particle thermal conductivity need to be redefined. The equivalent volume fraction can be written as
| 1 |
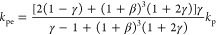
where r is the particle radius, h is the thickness of the nanolayer, n is the particle number per volume, ϕ is the particle volume fraction, and β is the ratio of h to r. The equivalent particle thermal conductivity can be calculated based on effective medium theory32 as
| 2 |
where γ is the ratio of nanolayer thermal conductivity to particle thermal conductivity (γ = kL/kp), kp is the particle thermal conductivity, and kL is the average thermal conductivity in the nanolayer.
The average thermal conductivity can be determined by the following procedure. At the interface between the nanolayer and particle, the nanolayer thermal conductivity should be equal to that of particles, and at the interface between the nanolayer and liquid, the nanolayer thermal conductivity should be equal to that of base liquid. The thermal conductivity inside the nanolayer is assumed to be a linear change across nanolayer thickness at first assumption referenced to the literature.15,33 It is worth mentioning that several forms of thermal conductivity distribution inside the nanolayer, like parabolic distribution, have been tried to be calculated for the nanofluid thermal conductivity, and it is found that the change of distribution forms had little influence on the final results. The distribution of thermal conductivity inside the nanolayer is as follows
| 3 |
where kf is the thermal conductivity of the base fluid and t is the distance from the particle surface to the calculated position. Therefore
| 4 |
For solid–liquid two-phase solutions, the classical thermal conductivity model is the Maxwell model,33 which has been proven to be effective by many research works.34,35,13 The Maxwell model formula is written as
| 5 |
With eqs 1 and 2, a new theoretical formula considering the nanolayer effect can be gotten by replacing ϕ and kp in eq 5 with ϕe and kpe and is written as
| 6 |
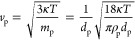
The effect of Brownian motion needs to be considered as well. The velocity of particle movement due to the Brownian effect can be calculated as11
| 7 |
where κ is the Boltzmann constant, ρp is the density of the particle, and dp is the diameter of the particle. After that, the Reynolds number of particle motion can be written as
| 8 |
The value of the Reynolds number of particle motion gotten by order of magnitude analysis is less than 1, which means that the flow falls in the Stokes flow regime. Thus, the effective thermal conductivity of a fluid with a single spherical particle at low Reynolds numbers10,36 can be written as
| 9 |
For multiple spherical particles in Stokes flow, the effective thermal conductivity can be calculated as a semianalytical formula referenced to the literature10,37
| 10 |
where the values of constants a, m, and n depend on particle size and particle concentration. Replacing kf in eq 6 with kfp in eq 10, a theoretical model is gotten
| 11 |
Properties of Nanolayer Thickness
The theoretical model of eq 11 includes both effects of Brownian motion and nanolayer. In order to analyze the influence of nanolayer thickness solely, the term of Brownian motion in eq 11 can be eliminated by the following analysis process.
According to eq 11, as the volume fraction of the particle is close to zero infinitely, the value of keff should be equal to kf. Hence, eqs 12 and 13 can be made.
![]() |
12 |
| 13 |
All the variables in eq 13 except β are pre-given or measured by experiments.
In the experiments, the water-based nanofluids with two kinds of nanoparticles of Al2O3 and TiO2 are prepared with the two-step method.38,39 A small amount of sodium dodecyl benzene sulfonate (SDBS) is added as the dispersant for good stability of the solutions as referenced to the literature.40,41 Besides, magnetic force agitation to homogenize the suspension and ultrasonication to break up the aggregation of particles are used as well. The particle diameter of Al2O3 and TiO2 is 30 nm, and the volume fraction changes from 0.2 to 1.5%. All the particles are supplied with quality inspection certifications ensuring size and quality of particles.
The transient hot wire method42,43 based on one-dimensional unsteady heat conduction is applied in this paper to measure thermal conductivities of nanofluids. Compared with other measurement methods of thermal conductivity, the measurement speed of the transient hot wire method is fast, and the measurement error caused by convection can be reduced due to the short measurement time. So, the measurement accuracy is relatively good. In order to make sure the accuracy of measurement, the thermal conductivity of deionized water has been measured and compared to standard values from the National Institute of Standards and Technology (NIST) refprop 9.1 database. It is shown in Table 1 that the biggest deviation of the measured value from the standard value is 1.13%. Besides, multiple measuring results at different times of nanofluid thermal conductivity are given in Table 2 to verify the repeatability of measurement. As shown in the table, the standard derivation of the measured values on different days is only 0.8%, indicating a good repeatability of measurements.
Table 1. Comparison of Measured Thermal Conductivity with Standard Values (25 °C)(W/(m·k)).
| series | standard value | measured value 1 | measured value 2 | measured value 3 |
|---|---|---|---|---|
| data | 0.6067 | 0.6032 | 0.5998 | 0.6046 |
Table 2. Measuring Results of Alumina–DW Nanofluids (1 g/L, 50 °C) at Different Times.
| time | day 1 | day 2 | day 3 |
|---|---|---|---|
| thermal conductivity (W/(m·k)) | 0.7217 | 0.7246 | 0.7095 |
Experimental results of thermal conductivities of alumina–DW and titanium dioxide–DW nanofluids are given in Figure 1. As shown in the figure, thermal conductivities of both nanofluids increase with fluid temperature and particle volume fraction significantly. At room temperature, the increase rates of thermal conductivity are in the range of 4 to 10%. The results are consistent with those in other studies12,39,44 with similar conditions. Figure 1 also shows that at high temperatures (higher than 50 °C), the increase rates reach 15 to 40% with different volume fractions. Compared to the value of water, thermal conductivities of both nanofluids are increased significantly with slight additions of nanoparticles.
Figure 1.
Measured data of thermal conductivities of (a) Al2O3–DW and (b) TiO2–DW nanofluids.
Therefore, the value of β (the ratio of nanolayer thickness to particle radius) of different particles at varied temperatures and particle volume fractions can be determined by solving eq 13.
Figure 2 presents the results of β based on the experimental data of nanofluid thermal conductivity and eq 13. It is found that the value of β is in a range of approximately 0.03 to 0.2 and it is closely related to fluid temperature and particle volume fraction. For both water-based nanofluids, β increases with the increase of temperature and decreases with the increase of the particle volume fraction. For the phenomenon that the nanolayer thickness changes with temperature and particle concentration, some explanations are given. First, one of the reasons that liquid molecules are arranged more closely on the surface of particles is that the attractive force between particles and liquid molecules is greater than that between liquid molecules themselves. However, as the temperature rises, liquid molecules are likely to break free from the bonds of particles and do irregular thermal motions. Thus, the arrangement of liquid molecules on the surface of particles is looser and the thickness of the nanolayer is increased with higher temperature. When the particle concentration rises, the repulsive force between particles will rise with a closer distance between particles. Thus, liquid molecules between particles are arranged more compactly and the thickness of the nanolayer is smaller.30 Besides, in general, the value of β for TiO2–DW nanofluids is slightly higher than that for Al2O3–DW nanofluids. In addition, it is also shown in Figure 2 that the change laws between β and temperature in case of different particle concentrations are analogous. Thus, there may exist some certain simple relationships between β and temperature.
Figure 2.
Change of β with different temperatures and particle volume fractions of (a) Al2O3–DW and (b) TiO2–DW nanofluids.
The expression of β as a function of temperature is given as
| 14 |
Based on data fitting, the expressions of f1(ϕ) and f2(ϕ) for both nanofluids can be obtained. When the additive is alumina
| 15 |
| 16 |
and when the additive is titanium dioxide
| 17 |
| 18 |
Figure 3 gives the results of β calculated by eq 13 and by the simple eqs 14–18. It is found that the value of β based on eq 14 is very consistent with the value determined by the experimental data of thermal conductivity with eq 13.
Figure 3.
Comparison between calculated values by experimental data and by eq 14 of (a) Al2O3–DW and (b) TiO2–DW nanofluids.
Conclusions
In this paper, effects of nanofluid macroparameters including fluid temperature and particle volume fraction on the thickness of the interfacial nanolayer of alumina–DW and titanium dioxide–DW nanofluids are studied by a novel method with combination of experimental results and theoretical analysis. The value of β (ratio of nanolayer thickness to particle radius) is found to be in a range of approximately 0.03 to 0.2 for both water-based nanofluids, and it increases with fluid temperature almost linearly and decreases with particle volume fraction in a power law. Simple formulas as functions of fluid temperature and particle volume fraction are proposed for the prediction of nanolayer thickness for alumina–DW and titanium dioxide–DW nanofluids. However, the prediction model of nanolayer thickness is verified only by the metal oxide–water-based nanofluids, and experimental and analytical work for other kinds of nanoparticles and other kinds of base fluids needs to be done next.
Acknowledgments
This work is supported by Youth Innovation Promotion Association, Chinese Academy of Sciences.
The authors declare no competing financial interest.
References
- Choi S. U. S. Enhancing thermal conductivity of fluids with nanoparticles, developments and applications of Non-Newtonian flows. J. Heat. Trans.-T. ASME 1995, 231, 99–105. [Google Scholar]
- Eastman J. A.; Choi S. U. S.; Li S.; Thompson L. J.; Lee S. Enhanced thermal conductivity through the development of nanoparticles. MRS Proc. 1996, 457. [Google Scholar]
- Eastman J. A.; Choi S. U. S.; Li S.; Yu W.; Thompson L. J. Anomalously increased effective thermal conductivities of ethylene glycol-based nanofluids containing copper nanoparticles. Appl. Phys. Lett. 2001, 78, 718–720. 10.1063/1.1341218. [DOI] [Google Scholar]
- Kole M.; Dey T. K. Thermal conductivity and viscosity of Al2O3 nanofluid based on car engine coolant. J. Phys. D: Appl. Phys. 2010, 43, 315501. 10.1088/0022-3727/43/31/315501. [DOI] [Google Scholar]
- Sadeghzadeh M.; Maddah H.; Ahmadi M. H.; Khadang A.; Ghazvini M.; Mosavi A.; Nabipour N. Prediction of Thermo-Physical Properties of TiO2-Al2O3/Water Nanoparticles by Using Artificial Neural Network. Nanomaterials 2020, 10, 697. 10.3390/nano10040697. [DOI] [PMC free article] [PubMed] [Google Scholar]
- Razavi R.; Sabaghmoghadam A.; Bemani A.; Baghban A.; Chau K.-W.; Salwana E. Application of ANFIS and LSSVM Strategies for Estimating Thermal Conductivity Enhancement of Metal and Metal oxide based Nanofluids. Eng. Appl. Comp. Fluid. 2019, 13, 560–578. 10.1080/19942060.2019.1620130. [DOI] [Google Scholar]
- Ahmadi M. H.; Mohseni-Gharyehsafa B.; Farzaneh-Gord M.; Jilte R. D.; Kumar R.; Chau K. W. Applicability of connectionist methods to predict dynamic viscosity of silver/water nanofluid by using ANN-MLP, MARS and MPR algorithms. Eng. Appl. Comp. Fluid. 2019, 13, 220–228. 10.1080/19942060.2019.1571442. [DOI] [Google Scholar]
- Baghban A.; Jalali A.; Shafiee M.; Ahmadi M. H.; Chau K. W. Developing an ANFIS based Swarm Concept Model for Estimating Relative Viscosity of Nanofluids. Eng. Appl. Comp. Fluid. 2019, 13, 26–39. 10.1080/19942060.2018.1542345. [DOI] [Google Scholar]
- Jang S. P.; Choi S. U. S. Role of Brownian motion in the enhanced thermal conductivity of nanofluids. Appl. Phys. Lett. 2004, 84, 4316–4318. 10.1063/1.1756684. [DOI] [Google Scholar]
- Prasher R.; Bhattacharya P.; Phelan P. E. Thermal conductivity of nanoscale colloidal solutions (nanofluids). Phys. Rev. Lett. 2005, 94, 025901. 10.1103/PhysRevLett.94.025901. [DOI] [PubMed] [Google Scholar]
- Koo J.; Kleinstreuer C. A new thermal conductivity model for nanofluids. J. Nanopart. Res. 2004, 6, 577–588. 10.1007/s11051-004-3170-5. [DOI] [Google Scholar]
- Xu J.; Yu B. A new model for teat conduction of nanofluids based on fractal distributions of nanoparticles. J. Phys. D: Appl. Phys. 2006, 41, 4486–4490. 10.1088/0022-3727/41/13/139801. [DOI] [Google Scholar]
- Prasher R.; Phelan P. E.; Bhattacharya P. Effect of aggregation kinetics on the thermal conductivity of nanoscale colloidal solutions (nanofluid). Nano Lett. 2006, 6, 1529–1534. 10.1021/nl060992s. [DOI] [PubMed] [Google Scholar]
- Pang C.; Jung J.-Y.; Kang Y. T. Aggregation based model for heat conduction mechanism in nanofluids. Int. J. Heat. Mass. Tran. 2014, 72, 392–399. 10.1016/j.ijheatmasstransfer.2013.12.055. [DOI] [Google Scholar]
- Yu W.; Choi S. U. S. The role of interfacial layers in the enhanced thermal conductivity of nanofluids: a renovated Maxwell model. J. Nanopart. Res. 2003, 5, 167–171. 10.1023/A:1024438603801. [DOI] [Google Scholar]
- Leong K. C.; Yang C.; Murshed S. M. S. A model for the thermal conductivity of nanofluids–the effect of interfacial layer. J. Nanopart. Res. 2006, 8, 245–254. 10.1007/s11051-005-9018-9. [DOI] [Google Scholar]
- Xie H. Q.; Fujii M.; Zhang X. Effect of interfacial nanolayer on the effective thermal conductivity of nanoparticle-fluid mixture. Int. J. Heat. Mass. Tran. 2005, 48, 2926–2932. 10.1016/j.ijheatmasstransfer.2004.10.040. [DOI] [Google Scholar]
- Tso C. Y.; Fu S. C.; Chao C. Y. H. A semi-analytical model for the thermal conductivity of nanofluids and determination of the nanolayer thickness. Int. J. Heat. Mass. Tran. 2014, 70, 202–214. 10.1016/j.ijheatmasstransfer.2013.10.077. [DOI] [Google Scholar]
- Gerardi C.; Cory D.; Buongiorno J.; Hu L. W.; Mckrell T. Nuclear magnetic resonance-baced study of ordered layering on the surface of alumina nanoparticles in water. Appl. Phys. Lett. 2009, 95, 253104. 10.1063/1.3276551. [DOI] [Google Scholar]
- Hu C.; Bai M.; Lv J.; Wang P.; Zhang L.; Li X. Molecular dynamics simulation of nanofluid’s flow behaviors in the near-wall model and main flow model. Microfluid. Nanofluid. 2014, 17, 581–589. 10.1007/s10404-013-1323-5. [DOI] [Google Scholar]
- Li L.; Zhang Y.; Ma H.; Yang M. Molecular dynamics simulation of effect of liquid layering around the nanoparticle on the enhanced thermal conductivity of nanofluids. J. Nanopart. Res. 2010, 12, 811–821. 10.1007/s11051-009-9728-5. [DOI] [Google Scholar]
- Sarkar S.; Selvam R. P. Molecular dynamics simulation of effective thermal conductivity and study of enhanced thermal transport mechanism in nanofluids. J. Appl. Phys. 2007, 102, 074602 10.1063/1.2785009. [DOI] [Google Scholar]
- Berfer F.; Dékány I. Variable thickness of the liquid sorption layers on solid surface. Colloids Surf. A 1998, 141, 305–317. 10.1016/S0927-7757(97)00171-4. [DOI] [Google Scholar]
- Li Z. H.; Gong Y. J.; Pu M.; Wu D.; Sun Y. H.; Wang J.; Liu Y.; Dong B. Z. Determination of interface layer thickness of a pseudo two-phase system by extension of the Debye equation. J. Phys. D: Appl. Phys. 2001, 34, 2085–2088. 10.1088/0022-3727/34/14/301. [DOI] [Google Scholar]
- Wang B. X.; Zhou L. P.; Peng X. F. A fractal model for predicting the effective thermal conductivity of liquid with suspension of nanoparticles. Int. J. Heat Mass Transfer 2003, 46, 2665–2672. 10.1016/S0017-9310(03)00016-4. [DOI] [Google Scholar]
- Kamalvand M.; Karami M. A linear regularity between thermal conductivity enhancement and fluid adsorption in nanofluids. Int. J. Therm. Sci. 2013, 65, 189–195. 10.1016/j.ijthermalsci.2012.10.005. [DOI] [Google Scholar]
- Einstein A.Investigations on the theory of the Brownian movement; Dover Pulieation Inc.: New York, 1956. [Google Scholar]
- Langevin P.Sur la théorie du mouvement brownien. CR Acad Sci: Paris, 1908, 146; pp. 530–533. [Google Scholar]
- Suganthi K. S.; Parthasarathy M.; Rajan K. S. Liquid-layering induced, temperature-dependent thermal conductivity enhancement in ZnO-propylene glycol nanofluids. Chem. Phys. Lett. 2013, 561-562, 120–124. 10.1016/j.cplett.2013.01.044. [DOI] [Google Scholar]
- Israelachvili J. N.Intermolecular and surface forces: revised; 3rd ed. Academic Press: Cambridge, 2011. [Google Scholar]
- Maxwell J. C.Electricity and Magnetism; Clarendon Press: Oxford, 1873. [Google Scholar]
- Schwartz L. M.; Garboczi E. J.; Bentz D. P. Interfacial transport in porous mdia: Application to DC electrical conductivity of mortars. J. Appl. Phys. 1995, 78, 5898–5908. 10.1063/1.360591. [DOI] [Google Scholar]
- Rizvi I. H.; Jain A.; Ghosh S. K.; Mukherjee P. S. Mathematical modelling of thermal conductivity for nanofluid considering interfacial nano-layer. Heat Mass Transfer 2013, 49, 595–600. 10.1007/s00231-013-1117-z. [DOI] [Google Scholar]
- Davis R. H. The effective thermal conductivity of a composite material with spherical inclusions. Int. J. Thermophys. 1986, 7, 609–620. 10.1007/BF00502394. [DOI] [Google Scholar]
- Beck M. P.; Yuan Y.; Warrier P.; Teja A. S. The thermal conductivity of alumina nanofluids in water, ethylene glycol, and ethylene glycol + water mixtures. J. Nanopart. Res. 2010, 12, 1469–1477. 10.1007/s11051-009-9716-9. [DOI] [Google Scholar]
- Acrivos A.; Taylor T. D. Heat and mass transfer from single spheres in Stokes flow. Phys. Fluids 1962, 5, 387–394. 10.1063/1.1706630. [DOI] [Google Scholar]
- Brodkey R. S.; Kim D. S.; Sidner W. Fluid to particle heat transfer in a fluidized bed and to single particles. Int. J. Heat. Mass Transfer 1991, 34, 2327–2337. 10.1016/0017-9310(91)90058-M. [DOI] [Google Scholar]
- Murshed S. M. S.; Leong K. C.; Yang C. Enhanced thermal conductivity of TiO2-water based nanofluid. Int. J. Therm. Sci. 2005, 44, 367–373. 10.1016/j.ijthermalsci.2004.12.005. [DOI] [Google Scholar]
- Xie H.; Wang J.; Xi T.; Liu Y.; Ai F.; Wu Q. Thermal conductivity enhancement of suspensions containing nanosized alumina particle. J. Appl. Phys. 2002, 91, 4568–4572. 10.1063/1.1454184. [DOI] [Google Scholar]
- Yang L.; Du K.; Niu X.; Li Y.; Zhang Y. An experimental and theoretical study of the influence of surfactant on the preparation and stability of ammonia-water nanofluids. Int. J. Refrig. 2011, 34, 1741–1748. 10.1016/j.ijrefrig.2011.06.007. [DOI] [Google Scholar]
- Gallego A.; Cacua K.; Herrera B.; Cabaleiro D.; Pineiro M. M.; Lugo L. Experimental evaluation of the effect in the stability and thermophysical properties of water-Al2O3 based nanofluids using SDBS as dispersant agent. Adv. Powder Technol. 2020, 10.1016/j.apt.2019.11.012. [DOI] [Google Scholar]
- Nagasaka Y.; Nagashima A. Absolute measurement of the thermal conductivity of electrically conducting liquids by the transient hot-wire method. J. Phys. E. Sci. Instrum. 1981, 14, 1435–1440. 10.1088/0022-3735/14/12/020. [DOI] [Google Scholar]
- Bentley J. P. Temperature sensor characteristics and measurement system design. J. Phys. E. Sci. Instrum. 1984, 17, 430. 10.1088/0022-3735/17/6/002. [DOI] [Google Scholar]
- Li C. H.; Peterson G. P. The effect of particle size on the effective thermal conductivity of Al2O3-water nanofluids. J. Appl. Phys. 2007, 101, 3–11. 10.1063/1.2436472. [DOI] [Google Scholar]




