Abstract
Treatment for visceral leishmaniasis (VL) is hampered mainly by drug toxicity, their high cost, and parasite resistance. Drug development is a long and pricey process, and therefore, drug repositioning may be an alternative worth pursuing. Cardenolides are used to treat cardiac diseases, especially those obtained from Digitalis species. In the present study, cardenolide digitoxigenin (DIGI) obtained from a methanolic extract of Digitalis lanata leaves was tested for its antileishmanial activity against Leishmania infantum species. Results showed that 50% Leishmania and murine macrophage inhibitory concentrations (IC50 and CC50, respectively) were of 6.9 ± 1.5 and 295.3 ± 14.5 μg/mL, respectively. With amphotericin B (AmpB) deoxycholate, used as a control drug, values of 0.13 ± 0.02 and 0.79 ± 0.12 μg/mL, respectively, were observed. Selectivity index (SI) values were of 42.8 and 6.1 for DIGI and AmpB, respectively. Preliminary studies suggested that the mechanism of action for DIGI is to cause alterations in the mitochondrial membrane potential, to increase the levels of reactive oxygen species and induce accumulation of lipid bodies in the parasites. DIGI was incorporated into Pluronic® F127-based polymeric micelles, and the formula (DIGI/Mic) was used to treat L. infantum–infected mice. Miltefosine was used as a control drug. Results showed that animals treated with either miltefosine, DIGI, or DIGI/Mic presented significant reductions in the parasite load in their spleens, livers, bone marrows, and draining lymph nodes, as well as the development of a specific Th1-type response, when compared with the controls. Results obtained 1 day after treatment were corroborated with data corresponding to 15 days after therapy. Importantly, treatment with DIGI/Mic induced better parasitological and immunological responses when compared with miltefosine- and DIGI-treated mice. In conclusion, DIGI/Mic has the potential to be used as a therapeutic agent to protect against L. infantum infection, and it is therefore worth of consideration in future studies addressing VL treatment.
Keywords: Treatment, Digitoxigenin, Drug repositioning, Visceral leishmaniasis, Amphotericin B deoxycholate, Miltefosine
Introduction
Leishmaniases are protozoal vector-borne diseases that affect both humans and animals. There are approximately 380 million people at risk of contracting infection and 2.0 million cases registered annually (WHO 2018). This disease complex is caused by some species of the Leishmania genus, being the tegumentary and visceral leishmaniases, the main clinical forms of the disease (Grimaldi and Tesh 1993). Visceral leishmaniasis (VL) is a worldwide-distributed infectious disease that, when symptomatic, causes fever, hepatosplenomegaly, and pancytopenia, among others (Burza et al. 2018). Its diagnosis is accomplished by molecular and/or conventional parasitological techniques, as well as by immunological assays. However, accurate diagnosis depends on the current clinical status and immune response of the infected hosts, with false-negative and/or false-positive results being frequently encountered (Sakkas et al. 2016; Jamal et al. 2017; Van Griensven and Diro 2019).
VL treatment has long relied on the use of pentavalent antimonials. However, long periods of parenteral administration cause toxicity to the patients, who present with symptoms such as cardiac arrhythmias, prolonged QT interval, ventricular premature beats, ventricular tachycardia, and fibrillation (Sundar and Chakravarty 2015). In addition, parasite resistance has been reported, limiting their effectiveness as clinical antileishmanial drugs (Sundar and Singh 2018). Other therapeutic agents are also available and are currently being employed to treat VL. Despite presenting high efficacy, toxicity and/or high costs are also limitations for their widespread use within a clinical setting (Chakravarty and Sundar 2019). Amphotericin B (AmpB) deoxycholate is one of these alternative drugs, which toxic effects include nephrotoxicity, hypokalemia, and myocarditis (Mohamed-Ahmed et al. 2012). AmpB-containing lipid formulations were developed with the aim to reduce side effects. Besides their low toxicity, these formulations have shown to induce high therapeutic responses, but their high cost is still a limiting factor (Sundar et al. 2019). Miltefosine was originally used as an antitumor agent, and its leishmanicidal potential was reported in the 1980s (Dorlo et al. 2012). It was the first drug used to treat VL via oral administration. Miltefosine inhibits the biosynthesis of the glycosyl phosphatidyl inositol receptor, a key molecule for Leishmania intracellular survival. Unfortunately, miltefosine is teratogenic, and parasite resistance has been also registered (Rijal et al. 2013; Srivastava et al. 2017).
In this context, there is currently an urgent need to identify novel effective, non-toxic, low-cost antileishmanial agents. Drug discovery is a long and expensive process, and leishmaniasis is a neglected disease (Hughes et al. 2011). Thus, drug repositioning may well represent an attractive alternative, since compounds with known biological functions have been proved to be effective against parasites (Andrade-Neto et al. 2018). Cardenolides are glycosides able to inhibit Na+/K+-ATPases by obstructing the Na+/K+ pump mechanism (Mijatovic and Kiss 2013; Patel et al. 2019). These compounds are clinically used to treat cardiac diseases, such as congestive heart failure (Gheorghiade et al. 2009), and they have been reported also to possess antitumor (Slingerland et al. 2013), antimalarial (Chan et al. 2016), and antioxidant (Xu et al. 2017) activities, among others (Eid et al. 2012; Gurel et al. 2017). In the present study, a cardenolide derivate called digitoxigenin (DIGI) was obtained from a methanolic extract of Digitalis lanata leaves, and its antileishmanial activity was evaluated against L. infantum species.
Experimental results showed that DIGI was effective against parasites, presenting a higher selectivity index (SI) than AmpB, with corresponding high efficacy in the treatment of infected murine macrophages. Preliminary studies showed that DIGI induced alterations in the parasite mitochondrial membrane potential (ΔΨm) and stimulated the production of reactive oxygen species (ROS) and the accumulation of lipid bodies in the parasites. Furthermore, studies in vivo showed that DIGI administered either in a free format or incorporated into poloxamer 407–based polymeric micelle system (DIGI/Mic) significantly reduced the parasite load in the spleens, livers, bone marrows (BM), and draining lymph nodes (dLNs) of L. infantum–infected mice, 1 and 15 days post-treatment. Immunological data demonstrated that both DIGI and DIGI/Mic stimulated also the development of an antileishmanial Th1-type cellular and humoral immune response 1 and 15 days after treatment, suggesting the potential of this cardenolide derivate as an effective alternative therapeutic agent against VL.
Materials and methods
Ethics statement, experimental animals, and chemicals
The study was approved by the Committee for the Ethical Handling of Research Animals of Federal University of Minas Gerais (UFMG; Belo Horizonte, Minas Gerais, Brazil), with protocol number 085/2017. BALB/c mice (female, 8 weeks old) were purchased from the Institute of Biological Sciences of UFMG, and they were kept under pathogen-free conditions. Poloxamer 407 (Pluronic® F127), miltefosine, and AmpB were acquired from Sigma-Aldrich (catalog numbers 16758, 58066-85-6, and 1397-89-3, respectively; St. Louis, USA).
Extraction and purification of DIGI
DIGI was obtained according to the method reported by Pádua et al. (2005), with few modifications. Briefly, a methanolic extract from Digitalis lanata leaves (kindly donated by Prof. Wolfgang Kreis, University of Erlangen-Nuremberg, Germany), which is an industrial refuse resulting from the extraction of digoxin, was resuspended (17 g) in 200 mL acetone and sonicated for 30 min at room temperature. The acetonic extract obtained was filtrated through a sintered Büchner funnel (no. 1–100- to 160-μm pore sizes), and the process was repeated with the insoluble material using 100 mL acetone. The acetone extract was filtered over 30 g of activated charcoal powder under reduced pressure to remove chlorophyll and other pigments. The active charcoal was washed with acetone (100 mL), and the filtrate was evaporated to dryness to allow the dry extract to enrich in cardenolides (10 g). The dry extract was dissolved in 400 mL methanol and stirred on an oil bath until the temperature reached 55 °C. Then, 350 mL 1 M hydrochloric acid was added, and the solution was stirred for 35 min at room temperature. Next, it was partitioned with dichloromethane (3 × 200 mL), and the organic layer was neutralized by partition with 50 mL 3% (w/v) NaHCO3 aqueous solution. The organic layer was then washed with water (3 × 100 mL) and dried over anhydrous sodium sulfate, and dichloromethane was evaporated to dryness to get the dried residue (7.0 g), which was dissolved in dichloromethane (100 mL) and filtered under reduced pressure over silica gel (50.0 g; 0.04–0.063 mm) deposited in a sintered Buchner funnel (no. 4–10- to 16-μm pore sizes). The silica gel was sequentially washed using mixtures of dichloromethane (A) and ethyl acetate (B): 100% A (100 mL), 95% A/5% B (950 mL), 90% A/10% B (750 mL), and 70% A/30% B (250 mL). Forty-one fractions were collected (50 mL each); the solvent was removed in a fume hood for 18 h at room temperature, and fractions were submitted to thin-layer chromatography analysis over silica gel (eluent: ethyl acetate; spray reagent: Kedde). Fractions containing DIGI (fractions 25 to 34) were pooled and used to purify the molecule (1.4 g; purity > 98%; Fig. 1).
Fig. 1.

Chemical structure of digitoxigenin molecule
Parasites
L. infantum (MHOM/BR/1970/BH46) parasites were grown at a 24 °C in complete Schneider’s medium (Sigma-Aldrich, USA), supplemented with 20% (v/v) heat-inactivated fetal bovine serum (FBS; Sigma-Aldrich, USA) and 20 mM l-glutamine pH 7.4 (Coelho et al. 2003).
Antileishmanial activity
Fifty percent of L. infantum inhibitory concentration (IC50) was evaluated by incubating parasite stationary promastigotes (106 cells) with DIGI (0 to 50.0 μg/mL) or AmpB (0 to 10.0 μg/mL; Sigma-Aldrich, USA) in 96-well culture plates (Nunc, Nunclon, Roskilde, Denmark) for 48 h at 24 °C. Cell viability was assessed using the 3-(4.5-dimethylthiazol-2-yl)-2.5-diphenyl tetrazolium bromide (Sigma-Aldrich, USA) method. Optical density (OD) values were measured in a microplate spectrophotometer (Molecular Devices, SpectraMax Plus, San Jose, CA, USA) at 570 nm. IC50 values were calculated by sigmoidal regression of dose-response curves in Microsoft Excel software (version 10.0) (Tavares et al. 2018).
Cytotoxicity assay
Cytotoxicity was evaluated ex vivo in murine macrophages and human red blood cells, for which concentrations inhibiting 50% of macrophages (CC50) and red blood cells (RBC50) were determined. Briefly, murine cells (5 × 105) or a 5% human red blood cell suspension were incubated in the presence of DIGI (0 to 100.0 μg/mL) or AmpB (0 to 10.0 μg/mL) in RPMI 1640 medium for 48 h (murine macrophages) or 1 h (red blood cells) at 37 °C in 5% CO2. Macrophage viability was assessed by MTT method. The red blood cell suspension was centrifuged at 1000×g for 10 min at 4 °C, after which percentage of cell lysis was evaluated spectrophotometrically at 570 nm. The absence of (blank) or 100% hemolysis was determined by replacing DIGI with an equal volume of phosphate-buffered saline pH 7.4 (PBS) or distilled water, respectively. CC50 and RBC50 values were calculated by sigmoidal regression of dose-response curves in Microsoft Excel software (version 10.0) (Sousa et al. 2019). SI was calculated as the ratio between CC50 and IC50 values.
Treatment of infected macrophages
To evaluate the efficacy of DIGI for treating infected macrophages, murine cells (5 × 105) were plated on round glass coverslips in 24-well plates in RPMI 1640 medium supplemented with 20% (v/v) FBS and 20 mM l-glutamine pH 7.4 and incubated for 24 h at 37 °C in 5% CO2. Stationary promastigotes were then added to the wells at a ratio of 10 parasites per macrophage, and cultures were incubated further for 48 h at 37 °C in 5% CO2. Free parasites were removed by extensive washing with RPMI 1640 medium, and infected macrophages were treated with DIGI (0, 2.5, 5.0, and 10.0 μg/mL) or AmpB (0, 0.25, 0.5, and 1.0 μg/mL) for 48 h at 24 °C in 5% CO2. After fixation with 4% paraformaldehyde, cells were washed and stained with Giemsa, and the infection percentage, the number of amastigotes per infected macrophage, and the reduction in the infection percentage were determined by counting 200 cells, in triplicate, using an optical microscope (Tavares et al. 2018).
Evaluation of mitochondrial membrane potential and integrity
Stationary promastigotes (107 cells) were cultured in the absence or presence of DIGI (13.8 μg/mL, corresponding to 2× the IC50 value) during 24 h at 25 °C. Parasites were washed with PBS and incubated with MitoTracker Red CM-H2XROS (500 nM; Invitrogen, USA) or propidium iodide (1.0 μg/mL; Sigma-Aldrich) for 30 and 15 min, respectively, in the dark and at room temperature. After washing twice with PBS, samples were added to a black 96-well plate, and fluorescence intensity was measured using a fluorometer (FLx800, BioTek Instruments, Inc., Winooski, VT, USA), with excitation and emission wavelengths of 540 and 600 nm, respectively. Carbonyl cyanide-4-(trifluoromethoxy)phenylhydrazon (FCCP, 5.0 μM; Sigma-Aldrich, USA) and pre-heated parasites at 65 °C for 10 min were used as positive controls (Sousa et al. 2019).
Production of reactive oxygen species
Stationary promastigotes (107 cells) were cultured in the absence or presence of DIGI (13.8 μg/mL, corresponding to 2× the IC50 value) for 24 h at 25 °C. Parasites were washed with PBS and incubated with 20 μM cell-permeant 2′,7′-dichlorodihydrofluorescein diacetate (H2DCFDA; Sigma-Aldrich, USA) for 30 min in the dark and at room temperature. After washing twice with PBS, samples were added to a black 96-well plate, and fluorescence intensity was measured using a fluorometer (FLx800, BioTek Instruments, Inc., Winooski, VT, USA), with excitation and emission wavelengths of 485 and 528 nm, respectively. H2O2-treated parasites (4.0 mM; Sigma-Aldrich, USA) were used as positive control (Sousa et al. 2019).
Infection, treatment, and toxicity assay
Mice (n = 12 per group) were infected subcutaneously with 107 L. infantum stationary-phase promastigotes and 60 days post-infection; they were grouped and treated with one of the following therapeutic regimens: 50 μL of PBS (saline group), 50 μL of empty micelles (10 mg/kg body weight) (B/Mic group), 2 mg miltefosine/kg body weight (miltefosine group), 50 μL of free DIGI (5 mg/kg body weight) (DIGI group), or 50 μL of DIGI-containing micelles (5 mg/kg body weight) (DIGI/Mic group). Except for miltefosine which was administered orally, all other regimens were administered subcutaneously, every 2 days for a total period of 10 days. Half of the animals were euthanized 1 and 15 days post-therapy, when biochemical, immunological, and parasitological analyses were performed. To evaluate toxicity in vivo, sera samples from the infected and then treated mice were collected 1 and 15 days post-treatment, with which the levels of aspartate aminotransferase (AST), alanine aminotransferase (ALT), and creatine kinase—muscle brain fraction (CK-MB) markers were measured using commercial kits (Labtest Diagnostica®, Belo Horizonte), according to the manufacturer’s instructions.
Cytokine and nitrite production
The spleens were collected from the infected and treated mice 1 and 15 days post-treatment and spleen cells (5 × 106 cells/mL) were incubated in DMEM (medium) supplemented with 20% (v/v) FBS and 20 mM l-glutamine at pH 7.4 or stimulated with L. infantum soluble Leishmania antigen (SLA, 50 μg/mL) for 48 h at 37 °C in 5% CO2. IFN-γ, IL-4, IL-10, IL-12p70, and GM-CSF levels were measured in the culture supernatant by capture ELISA technique, using commercial kits (BD PharMingen®, San Diego, CA, USA) according to the manufacturer’s instructions. Nitrite production was evaluated in these same supernatants by Griess method. The IFN-γ source in miltefosine-, DIGI-, and DIGI/Mic-treated mice was evaluated by addition of anti-CD4 (GK 1.5) or anti-CD8 (53-6.7) monoclonal antibodies (5 μg each; PharMingen®, USA) to the stimulated cultures. Appropriate isotype-matched controls (rat IgG2a (R35-95) and rat IgG2b (95-1)) were used. In addition, IFN-γ, TNF-α, and IL-10-producing CD4+ and CD8+ T cell frequency were evaluated in the saline-, B/Mic-, miltefosine-, DIGI-, and DIGI/Mic-treated mice by flow cytometry using cells collected 15 days post-treatment. Briefly, splenocytes (5 × 106 cells/mL) were cultured in RPMI 1640 (medium) or stimulated with SLA (50 μg/mL) for 48 h at 37 °C in 5% CO2. IFN-γ, TNF-α, and IL-10-producing CD4+ and CD8+ T cell frequency were determined by their relative flow cytometry size (forward laser scatter—FSC) and granularity (side laser scatter—SSC). After selection of the R1 region of containing FSCLow and SSCLow phenotype cells, IFN-γ+, TNF-α, and IL-10+, T cell frequency was calculated based on the analysis of density plot distribution of CD4/FL1 or CD8/FL1 versus IFN-γ/FL2+, TNF-α/FL2+, and IL-10/FL2+ cells. Results were expressed as indexes, which were calculated as the ratio between CD4+ and CD8+ T cell percentages in the stimulated versus unstimulated (control) cultures (Mendonça et al. 2018).
Humoral response
The levels of antiparasite IgG1 and IgG2a isotype antibodies in sera samples collected from infected and treated mice were evaluated by ELISA assay, 1 and 15 days post-treatment. L. infantum SLA was used as antigen (1.0 μg/well), and sera samples were diluted 1:100 in PBS-T (PBS plus 0.05% (v/v) Tween 20). Antimouse IgG1 and IgG2a horseradish-peroxidase conjugated antibodies (Sigma-Aldrich, USA) were used at a 1:10,000 dilution in PBS-T. Reactions were developed using H2O2, ortho-phenylenediamine, and citrate-phosphate buffer at pH 5.0 for 30 min and in the dark and stopped by addition of 2 N H2SO4. OD values were measured in an ELISA microplate spectrophotometer (Molecular Devices, SpectraMax Plus, Canada) at 492 nm.
Parasite load
Parasite load in the spleens, livers, BMs, and dLNs collected from the infected and treated mice 1 and 15 days post-treatment was evaluated by limiting dilution technique (Tavares et al. 2018). Briefly, organs were macerated in a glass tissue grinder using sterile PBS, and tissue debris was removed by centrifugation at 150×g. Cells were concentrated by centrifugation at 2000×g, resuspended in 1 mL of complete Schneider’s medium, and serially diluted 10−1 to 10−12 in the same medium. Each sample was plated in triplicate and cultured at 24 °C for 7 days. Results were expressed as the negative log of the titer (the dilution corresponding to the last positive well) adjusted per milligram of organ.
Splenic parasitism
The splenic parasite load was evaluated also by qPCR technique, as described previously (Duarte et al. 2016; Antonia et al. 2018). Briefly, spleen DNA was extracted and resuspended, and the parasite load was estimated by qPCR using the primers forward (CCTATTTTACACCAACCCCCAGT) and reverse (GGGTAGGGGCGTTCTGCGAAA). Mouse β-actin gene (forward: CAGAGCAAGAGAGGTATCC and reverse: TCATTGTAGAAGGTGTGGTGC) was used as an endogenous control. Reactions were processed in an ABI Prism 7500 Sequence Detection System (96-well plate; Applied Biosystems) using 2× SYBR™ Select Master Mix (5 μL; Applied Biosystems, USA) supplemented with each primer at a final concentration of 2 mM (1 μL) and 4 μL of DNA (25 ng/μL). Samples were incubated at 95 °C for 10 min and submitted to 40 cycles of 15 s at 95 °C followed by 1 min at 60 °C. After each cycle, fluorescence data were collected. A standard curve was run in parallel, which was performed in duplicate and expressed as the number of L. infantum organisms per total DNA.
Statistical analysis
Statistical analysis was performed using GraphPad Prism™ (version 6.0 for Windows). Results were analyzed using one-way analysis of variance (ANOVA) followed by Bonferroni’s post-test for comparison between the groups. Results were expressed as mean ± standard deviation. Two independent experiments, presenting similar results, were performed. Differences were considered significant when P < 0.05.
Results
Analysis of antileishmanial activity, cytotoxicity, and treatment of infected macrophages
Antileishmanial activity (IC50) and cytotoxicity (CC50) were evaluated against L. infantum stationary promastigotes and murine macrophages, respectively. Results showed IC50 and CC50 values of 6.9 ± 1.5 and 295.3 ± 14.5 μg/mL for DIGI, respectively, with a corresponding SI value of 42.8, and of 0.13 ± 0.02 and 0.79 ± 0.12 μg/mL for AmpB, respectively, with a SI value of 6.1 (Table 1). The hemolytic activity in human red blood cells showed RBC50 values of 384.6 ± 20.4 and 11.7 ± 2.3 μg/mL for DIGI and AmpB, respectively. Infection percentages of treated macrophages were of 21.1% ± 2.5% for DIGI (10.0 μg/mL) and of 23.4% ± 3.3% for AmpB (1.0 μg/mL), with 0.5 ± 0.1 and 1.0 ± 0.2 amastigotes per infected macrophage, respectively (Table 2). If left untreated, the infection percentage and number of amastigote per infected macrophage were of 68.7% ± 4.0% and 3.9 ± 0.5, respectively. The inhibition of infection using pre-treated parasites showed also that DIGI caused significant reduction in the parasite infection degree after incubation with it (Table 3).
Table 1.
In vitro biological assays. L. infantum stationary promastigotes (106 cells) were incubated with DIGI (0 to 50 μg/mL) or AmpB (0 to 1.0 μg/mL) for 48 h at 24 °C. Cell viability was analyzed by MTT method, and 50% Leishmania inhibitory concentration (IC50) was calculated by sigmoidal regression of the corresponding dose-response curve. Murine macrophages were incubated with DIGI (0 to 100 μg/mL) or AmpB (0 to 10.0 μg/mL), and 50% macrophage inhibitory concentration (CC50) was determined by sigmoidal regression of dose-response curves. The selectivity index (SI) was calculated as the ratio between CC50 and IC50 values; 50% inhibition of human red blood cells (RBC50) viability was calculated by incubating a 5% red blood cell suspension with DIGI (0 to 100.0 μg/mL) or AmpB (0 to 10.0 μg/mL) for 1 h at 37 °C in 5% CO2. Percentage of cell lysis was evaluated spectrophotometrically, and the absences of (blank) and 100% hemolysis were determined by replacing DIGI for an equal volume of PBS and distilled water, respectively. Results were expressed as mean ± standard deviation
| Compound | IC50 (μg/mL) | CC50 (μg/mL) | SI | RBC50 (μg/mL) |
|---|---|---|---|---|
| Digitoxigenin | 6.9 ± 1.5 | 295.3 ± 14.5 | 42.8 | 384.6 ± 20.4 |
| Amphotericin B | 0.13 ± 0.02 | 0.79 ± 0.12 | 6.1 | 11.7 ± 2.3 |
Table 2.
Treatment of infected macrophages. Murine macrophages (5 × 105 cells) were incubated in RPMI 1640 medium supplemented with 20% (v/v) FBS and 20 mM l-glutamine at pH 7.4, for 24 h at 37 °C in 5% CO2. L. infantum stationary promastigotes were used to infect macrophages (at a ratio of 10 parasites per macrophage) for 48 h at 37 °C in 5% CO2. Free parasites were removed by extensive washing with medium and infected macrophages were treated with DIGI (0, 2.5, 5.0, and 10.0 μg/mL) or AmpB (0, 0.25, 0.5, and 1.0 μg/mL) for 48 h at 37 °C in 5% CO2. The percentage of infected macrophages, the infectiveness reduction, and the number of amastigotes per infected macrophage were determined by counting 200 cells in triplicate. Results were expressed as mean ± standard deviation
| Compound | Concentration (μg/mL) | Percentage of infected macrophages after treatment | Infectiveness reduction (%) | Number of amastigotes per macrophage |
|---|---|---|---|---|
| Digitoxigenin | 10.0 | 21.1 ± 2.5 | 69.3 | 0.5 ± 0.1 |
| 5.0 | 30.5 ± 4.0 | 55.6 | 1.0 ± 0.4 | |
| 2.5 | 44.4 ± 3.8 | 35.4 | 2.3 ± 0.6 | |
| 0 | 68.7 ± 4.0 | (-) | 3.9 ± 0.5 | |
| Amphotericin B | 1.0 | 23.4 ± 3.3 | 65.9 | 1.0 ± 0.2 |
| 0.50 | 32.1 ± 3.8 | 53.3 | 1.4 ± 0.3 | |
| 0.25 | 44.5 ± 5.2 | 35.2 | 2.5 ± 0.9 | |
| 0 | 68.7 ± 4.0 | (-) | 3.9 ± 0.5 |
Table 3.
Infection percentage using pre-treated parasites
| Compound | Concentration (μg/mL) | Infection percentage using pre-treated parasites | Infectiveness reduction (%) | Number of amastigotes per macrophage |
|---|---|---|---|---|
| Digitoxigenin | 10.0 | 9.5 ± 1.4 | 86.5 | 0.2 ± 0.1 |
| 5.0 | 16.7 ± 1.6 | 76.2 | 0.8 ± 0.3 | |
| 2.5 | 31.2 ± 3.5 | 55.6 | 1.8 ± 0.4 | |
| 0 | 70.3 ± 4.3 | (-) | 3.9 ± 0.4 | |
| Amphotericin B | 1.0 | 25.4 ± 3.0 | 63.9 | 1.2 ± 0.3 |
| 0.50 | 32.4 ± 5.1 | 53.9 | 1.8 ± 0.5 | |
| 0.25 | 49.3 ± 3.2 | 29.9 | 2.6 ± 0.3 | |
| 0 | 70.3 ± 4.3 | (-) | 3.9 ± 0.4 |
Evaluation of the mechanism of action in L. infantum promastigotes
A proof of concept for the mechanism of action of DIGI was evaluated in L. infantum stationary promastigotes. Results showed that the molecule caused an alteration in the ΔΨm in the order of 24.8%, when compared with the untreated controls, while FCCP-treated promastigotes, used as positive control, showed a value of 30.9% (Fig. 2). Treatment with DIGI generated also structural alterations on the integrity of Leishmania membrane in the order of 78.6%, in comparison with an alteration of 165.3% caused by heat treatment of the parasites (control) (Fig. 3). In addition, treatment with DIGI resulted in parasite oxidative stress with an increase in ROS levels of 87.5%, compared with an increase of 321.0% after treatment with H2O2 used as a control (Fig. 4).
Fig. 2.

Evaluation of mitochondrial membrane potential. L. infantum stationary promastigotes (107 cells) were cultured in the absence (control) or presence of DIGI (33.80 μg/mL, corresponding to two times the IC50 value) for 24 h at 25 °C. Cells were incubated for 30 min in the dark with 500 nM MitoTracker Red CM-H2XROS. After washing twice with PBS, treated promastigotes were transferred to a black 96-well plate, and fluorescence intensity was measured using a fluorometer, with excitation and emission wavelengths of 540 and 600 nm, respectively. Promastigotes pre-heated with carbonyl cyanide-4-(trifluoromethoxy)phenylhydrazon (FCCP, 5.0 μM) were used as positive control. Bars indicate the mean plus standard deviation of the groups. Double asterisks and triple asterisks indicate statistically significant differences in relation to the non-treated control (P < 0.01 and P < 0.001, respectively)
Fig. 3.

Evaluation of mitochondrial membrane integrity. Stationary promastigotes (107 cells) were cultured in the absence (control) or presence of DIGI (13.8 μg/mL, corresponding to two times the IC50 value) for 24 h at 25 °C. Parasites were washed in PBS and incubated with propidium iodide (1.0 μg/mL) for 15 min in the dark and at room temperature. After washing twice with PBS, samples were added to a black 96-well plate, and fluorescence intensity was measured using a fluorometer (FLx800, BioTek Instruments, Inc., Winooski, VT, USA), with excitation and emission wavelengths of 540 and 600 nm, respectively. Pre-heated parasites for 10 min at 65 °C were used as positive control. Bars indicate the mean plus standard deviation of the groups. Double asterisks and triple asterisks indicate statistically significant differences in relation to the non-treated control (P < 0.01 and P < 0.001, respectively)
Fig. 4.

Production of reactive oxygen species. L. infantum promastigotes (107 cells) were cultured in the absence (control) or presence of DIGI (13.8 μg/mL, corresponding to two times the IC50 value) for 24 h at 25 °C. Cells were incubated for 30 min in the dark with 20 μM cell-permeant 2′,7′-dichlorodihydrofluorescein diacetate (H2DCFDA). Fluorescence intensity was measured using a fluorometer, with excitation and emission wavelengths of 485 and 528 nm, respectively. H2O2-treated parasites (4.0 mM) were used as positive control. Bars indicate the mean plus standard deviation of the groups. Double asterisks and triple asterisks indicate statistically significant differences in relation to the non-treated control (P < 0.01 and P < 0.001, respectively)
Analysis of treatment toxicity
Organic toxicity of DIGI was evaluated by dosage of hepatic and cardiac markers in sera samples collected from the infected and treated mice, 1 and 15 days post-treatment. Results showed that miltefosine-, DIGI-, and DIGI/Mic-treated mice presented lower levels of alanine aminotransferase (ALT) (Fig. 5a), aspartate transaminase (AST) (Fig. 5b), and creatine kinase-muscle brain fraction (CK-MB) (Fig. 5c) enzymes, when compared with the controls. Notably, DIGI/Mic-treated mice presented the lowest levels of both hepatic and cardiac markers in comparison with the other treated groups.
Fig. 5.
Evaluation of organic toxicity. Alanine aminotransferase (ALT) (a), aspartate aminotransferase (AST) (b), and creatine kinase-muscle brain fraction (CK-MB) (c) enzymes were measured in sera samples of infected and treated mice, collected 1 and 15 days post-treatment. Samples collected from non-infected and non-treated (naive) mice were used as control. Bars represent the mean ± standard deviation of the groups. Single asterisk indicates a statistically significant difference in relation to the saline and B/Mic groups (P < 0.05). Double asterisks indicate a statistically significant difference in relation to the miltefosine group (P < 0.05). Triple asterisks indicate a statistically significant difference in relation to the DIGI group (P < 0.05)
Evaluation of the immune response generated after treatment
The cellular response to treatment after infection was evaluated 1 and 15 days post-treatment on in vitro cultures of murine spleen cells, with were stimulated with SLA L. infantum. One day after therapy, miltefosine-, DIGI-, and DIGI/Mic-treated mice produced significantly higher levels of IFN-γ, IL-12, and GM-CSF, associated with low IL-4 and IL-10 production. On the other hand, spleen cells of the control groups (saline- and B/Mic-receiving mice) produced significantly higher levels of antileishmanial IL-4 and IL-10 (Fig. 6a). Analysis of the source of IFN-γ production in the treated animals using anti-CD4 or anti-CD8 monoclonal antibodies showed that the production of this cytokine declined significantly when both monoclonal antibodies were added to the cultures (Fig. 6b). Evaluation of the humoral response indicated also that miltefosine-, DIGI-, and DIGI/Mic-treated mice produced significantly higher levels of antiparasite IgG2a antibody in comparison with IgG1 (Fig. 6c). Furthermore, evaluation of nitrite secretion in the cell supernatant showed significantly higher levels of this molecule in miltefosine-, DIGI-, or DIGI/Mic-treated mice, when compared with the controls (Fig. 6d). All data mentioned above corresponding to 1 day after therapy were consistent with findings 15 days post-treatment, since miltefosine-, DIGI-, and DIGI/Mic-treated mice continued to produce significantly higher levels of IFN-γ, IL-12, and GM-CSF, as well as low IL-4 and IL-10 levels (Fig. 7a). As observed 1 day post-treatment, both T cell subtypes continued to produce IFN-γ after 15 days of therapy (Fig. 7b), with a maintained Th1-type humoral response corresponding to significantly higher levels of antiparasite IgG2a isotype antibodies in comparison with IgG1 levels (Fig. 7c). Nitrite secretion was likewise increased in the miltefosine-, DIGI-, and DIGI/Mic-treated groups (Fig. 7d). Moreover, a flow cytometry analysis revealed that miltefosine-, DIGI-, and DIGI/Mic-treated mice presented higher IFN-γ and TNF-α-producing CD4+ and CD8+ T cell frequencies when compared with the control groups, which instead showed a higher IL-10-producing T cell frequency (Fig. 8).
Fig. 6.
Immune response developed one day after treatment. The spleens of the L. infantum–infected and then treated mice (n = 6 per group) were collected 1 day after treatment. Spleen cells were cultured in vitro in DMEM (medium) in the absence of stimulus or stimulated with SLA (50.0 μg/mL) for 48 h at 37 °C in 5% CO2. IFN-γ, IL-4, IL-10, IL-12p70, and GM-CSF levels were measured in the cell supernatant by capture ELISA (a). The cultures were incubated also in the absence or presence of anti-CD4 or anti-CD8 monoclonal antibodies (5 μg/mL each) for 48 h at 37 °C in 5% CO2. IFN-γ production was then evaluated in the cell supernatant (b). Murine sera samples were collected. Antiparasite IgG1 and IgG2a antibody levels were measured by indirect ELISA, and the corresponding IgG2a/IgG1 ratios were calculated (c). The cell supernatant used to quantify cytokines (a) was also employed to evaluate nitrite production, and results are shown in panel (d). Bars indicate the mean ± standard deviation of the groups. (*) indicate a statistically significant difference in relation to the saline and B/Mic groups (P < 0.05). Single asterisk indicates a statistically significant difference in relation to the miltefosine group (P < 0.05). Triple asterisks indicate a statistically significant difference in relation to the DIGI group (P < 0.05). Number sign indicates a statistically significant difference in relation to the miltefosine, DIGI, and DIGI/Mic groups (P < 0.05)
Fig. 7.
Immunological profile generated 15 days after treatment. Spleens of the L. infantum–infected and then treated mice (n = 6 per group) were collected 15 days after treatment. Spleen cells were cultured in vitro in DMEM (medium) and left untreated or stimulated with SLA (50.0 μg/mL) for 48 h at 37 °C in 5% CO2. IFN-γ, IL-4, IL-10, IL-12p70, and GM-CSF levels were measured in the cell supernatant by capture ELISA (a). The cultures were incubated also in the absence or presence of anti-CD4 or anti-CD8 monoclonal antibodies (5 μg/mL each) for 48 h at 37 °C in 5% CO2. IFN-γ production was then evaluated in the cell supernatants (b). Murine sera samples were also collected, and anti-parasite IgG1 and IgG2a antibody levels were measured by indirect ELISA. The corresponding IgG2a/IgG1 ratios were calculated and are displayed in panel (c). The same cell supernatants used to quantify cytokines (a) were also employed to evaluate nitrite production (d). Bars indicate the mean ± standard deviation of the groups. Single asterisk indicates a statistically significant difference in relation to the saline and B/Mic groups (P < 0.05). Double asterisks indicate a statistically significant difference in relation to the miltefosine group (P < 0.05). Triple asterisks indicate a statistically significant difference in relation to the DIGI group (P < 0.05). Number sign indicates a statistically significant difference in relation to the miltefosine, DIGI, and DIGI/Mic groups (P < 0.05)
Fig. 8.
Evaluation of intracytoplasmic cytokine-producing T cell frequency. L. infantum–infected mice were treated and euthanized 15 days post-therapy, when their spleen cells were collected and left untreated (medium) or stimulated with L. infantum SLA. IFN-γ, TNF-α, and IL-10-producing T cell frequencies were evaluated in the CD4+ and CD8+ T cell subpopulations. Results were expressed as indexes, which were calculated as the ratio between CD4+ and CD8+ T cell percentages in the SLA-stimulated versus unstimulated (control) cultures. Bars indicate the mean plus standard deviation of the groups. Single asterisk indicates a statistically significant difference in relation to the saline and B/Mic groups (P < 0.05). Double asterisks indicate a statistically significant difference in relation to the miltefosine group (P < 0.05). Triple asterisks indicate a statistically significant difference in relation to the DIGI group (P < 0.05)
Analysis of parasite load after treatment
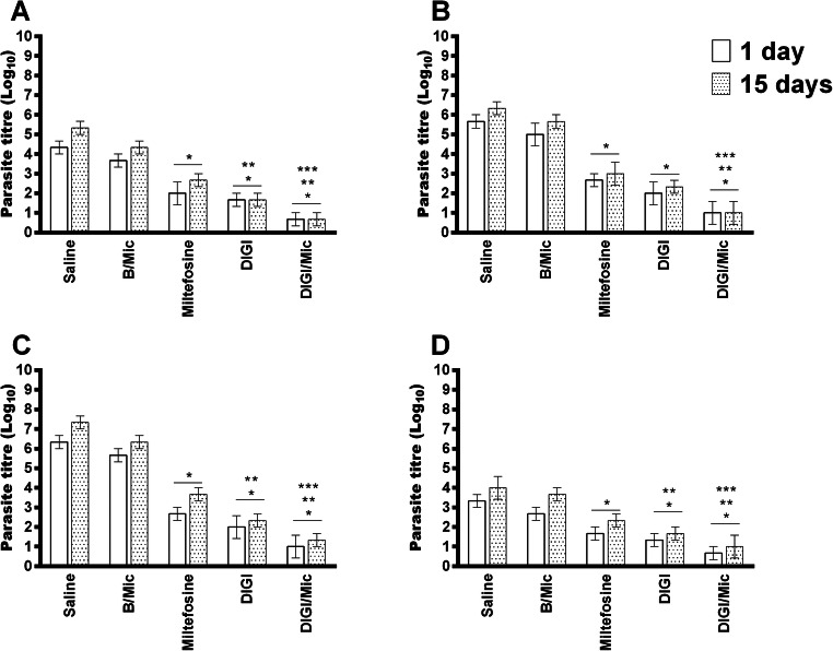
The parasite load in the spleen, liver, BM, and dLNs of the infected and treated mice was evaluated 1 and 15 days post-therapy. Results showed that mice treated with miltefosine, DIGI, and DIGI/Mic presented significant reductions in the parasitism in these organs, when compared with the controls (Fig. 9). One day post-therapy, miltefosine-, DIGI-, and DIGI/Mic-treated mice showed parasite load reductions in the order of 2.3, 2.7, and 3.7-log in their livers (Fig. 9a), of 3.0, 3.7, and 4.7-log in their spleens (Fig. 9b), of 3.6, 5.0, and 6.0-log in their dLNs (Fig. 9c) and of 1.6, 2.0, and 2.6-log in their BMs (Fig. 9a), respectively, when compared with the saline group. Fifteen days post-treatment, reductions in these groups were of 2.6, 3.6, and 4.6-log in their livers; of 3.3, 4.0, and 5.3-log in their spleens; of 3.6, 5.0, and 6.0-log in their dLNs; and of 1.7, 2.3, and 3.0-log in their BMs, respectively, when compared with the saline group. Notably, treatment with DIGI/Mic induced the most significant reductions in the organic parasitism, when compared with the other treated groups. A qPCR technique showed also that the splenic parasitism was significantly reduced after treatment with miltefosine, DIGI, or DIGI/Mic, and mice receiving DIGI/Mic presented the lowest parasite load, when compared with the other groups (Fig. 10).
Fig. 9.
Parasite burden evaluation by limiting dilution technique. Mice were infected with L. infantum promastigotes and then administered with saline or were treated with empty micelles (B/Mic), miltefosine, DIGI, or DIGI/Mic. One and 15 days after treatment, their livers (a), spleens (b), draining lymph nodes (c), and bone marrows (d) were collected for determination of their parasite load by limiting dilution technique. Bars indicate the mean ± standard deviation of the groups. Single asterisk indicates a statistically significant difference in relation to the saline and B/Mic groups (P < 0.05). Double asterisks indicate a statistically significant difference in relation to the miltefosine group (P < 0.05). Triple asterisks indicate a statistically significant difference in relation to the DIGI group (P < 0.05)
Fig. 10.

Splenic parasite load evaluation by quantitative PCR (qPCR). L. infantum–infected BALB/c mice (n = 12 per group) were treated 15 days post-treatment, animals (n = 6 per group) were euthanized, and their spleen collected and the parasite load were estimated by qPCR technique. Results were expressed as the number of parasites per total DNA. Bars indicate the mean ± standard deviation of the groups. Single asterisk indicates a statistically significant difference in relation to the saline and B/Mic groups (P < 0.05). Double asterisks indicate a statistically significant difference in relation to the miltefosine group (P < 0.05). Triple asterisks indicate a statistically significant difference in relation to the DIGI group (P < 0.05)
Discussion
The aim of the present study was to evaluate potential antileishmanial activity of digitoxigenin, a cardenolide derivate, against stationary promastigotes and intracellular amastigotes and on a murine model which was previously infected with L. infantum promastigotes. Initially, in vitro results showed that DIGI reduced by 69.3% the intracellular parasite burden in treated macrophages and by 86.5% the infection of these cells using pre-treated parasites. In comparison, AmpB showed values of 65.9% and 63.9%, respectively. In vivo, treatment with DIGI or DIGI/Mic significantly reduced the parasite load in the spleen, liver, BM, and dLNs of infected mice, 1 and 15 days after treatment, both outperforming miltefosine. These observations suggest a therapeutic action of DIGI against L. infantum infection.
Cardenolides have been used for the treatment of congestive heart failure and atrial arrhythmias (Scalese and Salvatore 2017; Whayne 2018). They act as inhibitors of the Na+/K+-ATPase by suppressing the sodium pump (Patel et al. 2019). In our study, preliminary data suggest that DIGI targets the L. infantum mitochondria, causing alterations in both the parasite mitochondrial membrane potential and integrity, as well as an increase in ROS production. Loss of mitochondrial membrane potential gives rise to a release of protons from the mitochondria into the cell cytosol, which has been reported to contribute to the cytosol acidification and subsequent parasite death (Su et al. 2019). Thus, experimental data on this study suggest a similar mechanism of action for DIGI in L. infantum. There are several studies reporting the effect of cardenolides in heart diseases (Campbell and Mc Donald 2003; Biteker et al. 2017; Gurel et al. 2017), but evaluation of these compounds to treat VL is lacking. Although cardenolides have been reported as toxic compounds (Hauptman et al. 2016; Arbabian et al. 2018), the low doses of either DIGI on its free form or incorporated into a micellar composition (DIGI/Mic) tested in our study did not induce any significant toxicity when used to treat the infected hosts. Conversely, infected animals receiving miltefosine did present with toxicity.
Antileishmanial drug inductors of immunological response are a key for effective parasite control, since they have a direct action on the Leishmania organisms at the same time they stimulate the development of a specific cellular and humoral response, thus allowing infection control (Kedzierski and Evans 2014; Dayakar et al. 2019). VL control usually depends on the magnitude of the Th1-type cellular response, which leads to the production of cytokines, such as IFN-γ, and subsequent activation of infected macrophages (Kaye et al. 2004). In this context, our results showed that treatment with DIGI or DIGI/Mic induced a significant increase in the levels of Th1-type cytokines, such as IFN-γ, IL-12, TNF-α, and GM-CSF, 1 and 15 days post-treatment. On the other hand, cytokines like IL-4 and IL-10 are associated with progression of VL (Singh et al. 2012; Adem et al. 2016). In our study, treatment with DIGI or DIGI/Mic significantly reduced the levels of IL-4 and IL-10, both 1 and 15 days after therapy, suggesting induction of a DIGI-specific Th1-type immune response profile following treatment.
Antileishmanial candidates have been incorporated into delivery systems to improve their therapeutic efficacy and reduce the toxicity of the corresponding pure compounds (Bruni et al. 2017; Wagner et al. 2019). In previous studies, we showed that micellar compositions using Poloxamer 407 (Pluronic® F127–based polymeric micelles proved effective in mammalian models against Leishmania infection (Duarte et al. 2016; Oliveira-de-Siqueira et al. 2017; Mendonça et al. 2019). In a similar fashion, we also developed a clioquinol (ICHQ)-containing Pluronic® F127 polymeric micelle system (ICHQ/Mic) and tested it against L. infantum infection in BALB/c mice (Tavares et al. 2020). In agreement with the data presented in this report, findings on our previous study demonstrated that treatment with miltefosine, ICHQ, or ICHQ/Mic all induced a polarized Th1-type immune response in mice, with significant reductions in the parasite load in distinct organs. Importantly, data proved ICHQ/Mic to be the most effective in inducing immunological and parasitological protection in mice. In a similar fashion, Singh et al. (2017) developed an AmpB-containing micellar formulation based on Pluronic F127 micelles coated with chitosan. The authors showed higher antileishmanial activity in vitro of this composition in comparison with free AmpB, as well as lower cytotoxicity and hemolytic activity in mammalian cells. In addition, this micellar composition reduced the parasite load in L. donovani–infected Syrian hamsters, apart from stimulating the development of a Th1-type immune response in the treated animals. In this context, our current report is in complete agreement with our previous studies and with others described in the literature, with DIGI showing higher therapeutic efficacy when associated to polymeric micelles.
Polymeric micelles as delivery systems present characteristics that make them suitable for administration via subcutaneous route. These polymers can create a semi-rigid gel when in contact with the local tissue where they were administered, turning them into a reservoir system which maintains the active agent within the extracellular space (Tavares et al. 2020). In the course of hours, the gel matrix dilutes and the drug are gradually released into the bloodstream, enabling its systemic action to be exerted in a controlled manner (Mendonça et al. 2019). These properties could allow reduced doses of the formulations to be administered at longer time intervals, thus reducing toxicity to the mammalian hosts, even with those drugs considered cardiotoxic, such as cardenolide derivatives. Therefore, future studies will need to be performed for a more comprehensive evaluation of DIGI as a VL-treating drug before its clinical application in other mammalian hosts, such as humans.
BALB/c mice usually develop a severe infection when a high number of stationary promastigotes, such as the infective inoculum employed here, is used and can result in the development of Th2-type immune response, susceptibility, and visceralization of the infection. In the present study, control group mice developed severe infection, with high parasite load in distinct organs, loss of body weight, and weakness. All animals remaining after this study were therefore sacrificed 15 days post-treatment, adhering to Ethical experimental procedures. Studies evaluating therapeutic agents against murine VL normally perform their analysis at a single time point after treatment (Craft et al. 2014; Raja et al. 2017; Want et al. 2017; Valle et al. 2019). In our study, however, we performed immunological and parasitological evaluations 1 and 15 days after therapy. Nevertheless, a dose-response analysis with an increasing dosage or prolonged exposure to DIGI could determine in a more precise manner the therapeutic efficacy of this cardenolide derivate for treating VL. We are aware that this is a limitation of the work, and thus, additional experiments would be certainly required to fully characterize DIGI as an antileishmanial agent. Nevertheless, data presented here describe for the first time the antileishmanial activity of DIGI both in vitro and in vivo, with promising results suggesting that DIGI/Mic is worth considering in further evaluations for VL treatment.
Acknowledgments
The authors would like to thank Professor Wolfgang Kreis (Universität Erlangen-Nürnberg—Germany) for kindly providing the methanolic extract of Digitalis lanata. The authors also thank the Brazilian agencies Coordenação de Aperfeiçoamento de Pessoal de Nível Superior (CAPES), CNPq, and the Fundação de Amparo à Pesquisa do Estado de Minas Gerais (FAPEMIG) for the student scholarships.
Funding
This work was supported by grant MR/R005850/1 from the Medical Research Council (VAccine deveLopment for complex Intracellular neglecteD pAThogEns—VALIDATE), UK, and grant APQ-408675/2018-7 from the Conselho Nacional de Desenvolvimento Científico e Tecnológico (CNPq), Brazil.
Compliance with ethical standards
Conflict of interest
The authors declare that they have no conflicts of interest.
Footnotes
Publisher’s note
Springer Nature remains neutral with regard to jurisdictional claims in published maps and institutional affiliations.
References
- Adem E, Tajebe F, Getahun M, Kiflie A, Diro E, Hailu A, Shkedy Z, Mengesha B, Mulaw T, Atnafu S, Deressa T, Mathewos B, Abate E, Modolell M, Munder M, Müller I, Takele Y, Kropf P. Successful treatment of human visceral leishmaniasis restores antigen specific IFN-γ, but not IL-10 production. PLoS Negl Trop Dis. 2016;10:e0004468. doi: 10.1371/journal.pntd.0004468. [DOI] [PMC free article] [PubMed] [Google Scholar]
- Andrade-Neto VV, Cunha-Junior EF, Faioes VS, Pereira TM, Silva RL, Leon LL, Torres-Santos EC. Leishmaniasis treatment: update of possibilities for drug repurposing. Front Biosci. 2018;23:967–996. doi: 10.2741/4629. [DOI] [PubMed] [Google Scholar]
- Antonia AL, Wang L, Ko DC (2018) A real-time PCR assay for quantification of parasite burden in murine models of leishmaniasis 6:e5905. 10.7717/peerj.5905 [DOI] [PMC free article] [PubMed]
- Arbabian H, Lee HM, Graudins A. Elderly patients with suspected chronic digoxin toxicity: a comparison of clinical characteristics of patients receiving and not receiving digoxin-Fab. Emerg Med Australas. 2018;30:242–248. doi: 10.1111/1742-6723.12873. [DOI] [PubMed] [Google Scholar]
- Biteker M, Özlek B, Özlek E, Biteker FS, Başaran N, Çekiç EG. Digoxin use in atrial fibrillation. Am J Emerg Med. 2017;35:1196. doi: 10.1016/j.ajem.2017.05.040. [DOI] [PubMed] [Google Scholar]
- Bruni N, Stella B, Giraudo L, Pepa CD, Gastaldi D, Dosio F. Nanostructured delivery systems with improved leishmanicidal activity: a critical review. Int J Nanomedicine. 2017;12:5289–5311. doi: 10.2147/IJN.S140363. [DOI] [PMC free article] [PubMed] [Google Scholar]
- Burza S, Croft SL, Boelaert M. Leishmaniasis. Lancet. 2018;392:951–970. doi: 10.1016/S0140-6736(18)31204-2. [DOI] [PubMed] [Google Scholar]
- Campbell TJ, Mc Donald PS. Digoxin in heart failure and cardiac arrhythmias. Med J Aust. 2003;179:98–102. doi: 10.5694/j.1326-5377.2003.tb05445.x. [DOI] [PubMed] [Google Scholar]
- Chakravarty J, Sundar S. Current and emerging medications for the treatment of leishmaniasis. Expert Opin Pharmacother. 2019;20:1251–1265. doi: 10.1080/14656566.2019.1609940. [DOI] [PubMed] [Google Scholar]
- Chan EW, Wong SK, Chan HT. Apocynaceae species with antiproliferative and/or antiplasmodial properties: a review of ten genera. J Integr Med. 2016;14:269–284. doi: 10.1016/S2095-4964(16)60261-3. [DOI] [PubMed] [Google Scholar]
- Coelho EAF, Tavares CA, Carvalho FA, Chaves KF, Teixeira KN, Rodrigues RC, Charest H, Matlashewski G, Gazzinelli RT, Fernandes AP. Immune responses induced by the Leishmania (Leishmania) donovani A2 antigen, but not by the LACK antigen, are protective against experimental Leishmania (Leishmania) amazonensis infection. Infect Immun. 2003;71:3988–3994. doi: 10.1128/IAI.71.7.3988-3994.2003. [DOI] [PMC free article] [PubMed] [Google Scholar]
- Craft N, Birnbaum R, Quanquin N, Erfe MC, Quant C, Haskell J, Bruhn KW. Topical resiquimod protects against visceral infection with Leishmania infantum chagasi in mice. Clin Vaccine Immunol. 2014;21:1314–1322. doi: 10.1128/CVI.00338-14. [DOI] [PMC free article] [PubMed] [Google Scholar]
- Dayakar A, Chandrasekaran S, Kuchipudi SV, Kalangi SK. Cytokines: key determinants of resistance or disease progression in visceral leishmaniasis: opportunities for novel diagnostics and immunotherapy. Front Immunol. 2019;10:670. doi: 10.3389/fimmu.2019.00670. [DOI] [PMC free article] [PubMed] [Google Scholar]
- Dorlo TP, Balasegaran M, Beijnen JH, Vries PJ. Miltefosine: a review of its pharmacology and therapeutic efficacy in the treatment of leishmaniasis. J Antimicrob Chemother. 2012;67:2576–2597. doi: 10.1093/jac/dks275. [DOI] [PubMed] [Google Scholar]
- Duarte MC, Lage LM, Lage DP, Martins VT, Carvalho AM, Roatt BM, Menezes-Souza D, Tavares CA, Alves RJ, Barichello JM, Coelho EA. Treatment of murine visceral leishmaniasis using an 8-hydroxyquinoline-containing polymeric micelle system. Parasitol Int. 2016;65:728–736. doi: 10.1016/j.parint.2016.07.005. [DOI] [PubMed] [Google Scholar]
- Eid SY, El-Readi MZ, Wink M. Digitonin synergistically enhances the cytotoxicity of plant secondary metabolites in cancer cells. Phytomedicine. 2012;19:1307–1314. doi: 10.1016/j.phymed.2012.09.002. [DOI] [PubMed] [Google Scholar]
- Gheorghiade M, Harinstein ME, Filippatos GS. Digoxin for the treatment of chronic and acute heart failure syndromes. Acute Card Care. 2009;11:83–87. doi: 10.1080/17482940902883246. [DOI] [PubMed] [Google Scholar]
- Grimaldi G, Jr, Tesh RB. Leishmaniases of the New World: current concepts and implications for future research. Clin Microbiol Rev. 1993;6:230–250. doi: 10.1128/cmr.6.3.230. [DOI] [PMC free article] [PubMed] [Google Scholar]
- Gurel E, Karvar S, Yucesan B, Eker I, Sameeullah M. An overview of cardenolides in digitalis - more than a cardiotonic compound. Curr Pharm Des. 2017;23:5104–5114. doi: 10.2174/1381612823666170825125426. [DOI] [PubMed] [Google Scholar]
- Hauptman PJ, Blume SW, Lewis EF, Ward SJACC. Digoxin toxicity and use of digoxin immune Fab: insights from a national hospital database. Heart Fail. 2016;4:357–364. doi: 10.1016/j.jchf.2016.01.011. [DOI] [PubMed] [Google Scholar]
- Hughes JP, Rees SS, Kalindjian SB, Philpott KL. Principles of early drug discovery. Br J Pharmacol. 2011;162:1239–1249. doi: 10.1111/j.1476-5381.2010.01127.x. [DOI] [PMC free article] [PubMed] [Google Scholar]
- Jamal F, Shivam P, Kumari S, Singh MK, Sardar AH, Pushpanjali MS, Narayan S, Gupta AK, Pandey K, Das VNR, Ali V, Bimal S, Das P, Singh SK. Identification of Leishmania donovani antigen in circulating immune complexes of visceral leishmaniasis subjects for diagnosis. PLoS One. 2017;12:e0182474. doi: 10.1371/journal.pone.0182474. [DOI] [PMC free article] [PubMed] [Google Scholar]
- Kaye PM, Svensson M, Ato M, Maroof A, Polley R, Stager S, Zubairi S, Engwerda CR. The immunopathology of experimental visceral leishmaniasis. Immunol Rev. 2004;201:239–253. doi: 10.1111/j.0105-2896.2004.00188.x. [DOI] [PubMed] [Google Scholar]
- Kedzierski L, Evans KJ. Immune responses during cutaneous and visceral leishmaniasis. Parasitology. 2014;30:1–19. doi: 10.1017/S003118201400095X. [DOI] [PubMed] [Google Scholar]
- Mendonça DVC, Lage DP, Calixto SL, Ottoni FM, Tavares GSV, Ludolf F, Chávez-Fumagalli MA, Schneider MS, Duarte MC, Tavares CAP, Alves RJ, Coimbra ES, Coelho EAF. Antileishmanial activity of a naphthoquinone derivate against promastigote and amastigote stages of Leishmania infantum and Leishmania amazonensis and its mechanism of action against L. amazonensis species. Parasitol Res. 2018;117:391–403. doi: 10.1007/s00436-017-5713-6. [DOI] [PubMed] [Google Scholar]
- Mendonça DVC, Tavares GSV, Lage DP, Soyer TG, Carvalho LM, Dias DS, Ribeiro PAF, Ottoni FM, Antinarelli LMR, Vale DL, Ludolf F, Duarte MC, Coimbra ES, Chávez-Fumagalli MA, Roatt BM, Menezes-Souza D, Barichello JM, Alves RJ, Coelho EAF. In vivo antileishmanial efficacy of a naphthoquinone derivate incorporated into a Pluronic® F127-based polymeric micelle system against Leishmania amazonensis infection. Biom Pharmacol. 2019;109:779–787. doi: 10.1016/j.biopha.2018.10.143. [DOI] [PubMed] [Google Scholar]
- Mijatovic T, Kiss R. Cardiotonic steroids-mediated Na+/K+-ATPase targeting could circumvent various chemoresistance pathways. Planta Med. 2013;79:189–198. doi: 10.1055/s-0032-1328243. [DOI] [PubMed] [Google Scholar]
- Mohamed-Ahmed AH, Brocchini S, Croft SL. Recent advances in development of amphotericin B formulations for the treatment of visceral leishmaniasis. Curr Opin Infect Dis. 2012;25:695–702. doi: 10.1097/QCO.0b013e328359eff2. [DOI] [PubMed] [Google Scholar]
- Oliveira-de-Siqueira LB, Cardoso VS, Rodrigues IA, Vazquez-Villa AL, Santos EP, Guimarães BCLR, Coutinho CSC, Vermelho AB, Junior ER. Development and evaluation of zinc phthalocyanine nanoemulsions for use in photodynamic therapy for Leishmania spp. Nanotechnology. 2017;28:065101. doi: 10.1088/1361-6528/28/6/065101. [DOI] [PubMed] [Google Scholar]
- Pádua RM, Oliveira AB, Souza-Filho JD, Vieira GJ, Takahashi JA, Braga FC. Biotransformation of digitoxigenin by Fusarium ciliatum. J Braz Chem Soc. 2005;16:614–619. [Google Scholar]
- Patel CN, Kumar SP, Modi KM, Soni MN, Modi NR, Pandya HÁ. Cardiotonic steroids as potential Na(+)/K(+)-ATPase inhibitors - a computational study. J Recept Signal Transduct Res. 2019;39:226–234. doi: 10.1080/10799893.2019.1660893. [DOI] [PubMed] [Google Scholar]
- Raja MRC, Velappan AB, Chellappan D, Debnath J, Kar Mahapatra S. Eugenol derived immunomodulatory molecules against visceral leishmaniasis. Eur J Med Chem. 2017;139:503–518. doi: 10.1016/j.ejmech.2017.08.030. [DOI] [PubMed] [Google Scholar]
- Rijal S, Ostyn B, Uranw S, Rai K, Bhattarai NR, Dorlo T, Beijnen JH, Vanaerschot M, Decuypere S, Dhakal SS, Das ML, Karki P, Singh R, Boelaert M, Dujardin JC. Increasing failure of miltefosine in the treatment of Kala-azar in Nepal and the potential role of parasite drug resistance, reinfection, or noncompliance. Clin Infect Dis. 2013;56:1530–1538. doi: 10.1093/cid/cit102. [DOI] [PubMed] [Google Scholar]
- Sakkas H, Gartzonika C, Levidiotou S. Laboratory diagnosis of human visceral leishmaniasis. J Vector Borne Dis. 2016;53:8–16. [PubMed] [Google Scholar]
- Scalese MJ, Salvatore DJ. Role of digoxin in atrial fibrillation. J Pharm Pract. 2017;30:434–440. doi: 10.1177/0897190016642361. [DOI] [PubMed] [Google Scholar]
- Singh OP, Stober CB, Singh AK, Blackwell JM, Sundar S. Cytokine responses to novel antigens in an Indian population living in an area endemic for visceral leishmaniasis. PLoS Negl Trop Dis. 2012;6:e1874. doi: 10.1371/journal.pntd.0001874. [DOI] [PMC free article] [PubMed] [Google Scholar]
- Singh PK, Pawar VK, Jaiswal AK, Singh Y, Srikanth CH, Chaurasia M, Bora HK, Raval K, Meher JG, Gayen JR, Dube A, Chourasia MK. Chitosan coated Pluronic F127 micelles for effective delivery of amphotericin B in experimental visceral leishmaniasis. Int J Biol Macromol. 2017;105:1220–1231. doi: 10.1016/j.ijbiomac.2017.07.161. [DOI] [PubMed] [Google Scholar]
- Slingerland M, Cerella C, Guchelaar HJ, Diederich M, Gelderblom H. Cardiac glycosides in cancer therapy: from preclinical investigations towards clinical trials. Investig New Drugs. 2013;31:1087–1094. doi: 10.1007/s10637-013-9984-1. [DOI] [PubMed] [Google Scholar]
- Sousa JKT, Antinarelli LMR, Mendonça DVC, Lage DP, Tavares GSV, Dias DS, Ribeiro PAF, Ludolf F, Coelho VTS, Oliveira-da-Silva JA, Perin L, Oliveira BA, Alvarenga DF, Chávez-Fumagalli MA, Brandão GC, Nobre V, Pereira GR, Coimbra ES, Coelho EAF. A chloroquinoline derivate presents effective in vitro and in vivo antileishmanial activity against Leishmania species that cause tegumentary and visceral leishmaniasis. Parasitol Int. 2019;73:101966. doi: 10.1016/j.parint.2019.101966. [DOI] [PubMed] [Google Scholar]
- Srivastava S, Mishra J, Gupta AK, Singh A, Shankar P, Singh S. Laboratory confirmed miltefosine resistant cases of visceral leishmaniasis from India. Parasit Vectors. 2017;10:49. doi: 10.1186/s13071-017-1969-z. [DOI] [PMC free article] [PubMed] [Google Scholar]
- Su LJ, Zhang JH, Gomez H, Murugan R, Hong X, Xu D, Jiang F, Peng ZY (2019) Reactive oxygen species-induced lipid peroxidation in apoptosis, autophagy, and ferroptosis. Oxidative Med Cell Longev 2019:5080843 [DOI] [PMC free article] [PubMed]
- Sundar S, Chakravarty J. Investigational drugs for visceral leishmaniasis. Expert Opin Investig Drugs. 2015;24:43–59. doi: 10.1517/13543784.2014.954035. [DOI] [PMC free article] [PubMed] [Google Scholar]
- Sundar S, Singh A. Chemotherapeutics of visceral leishmaniasis: present and future developments. Parasitology. 2018;145:481–489. doi: 10.1017/S0031182017002116. [DOI] [PMC free article] [PubMed] [Google Scholar]
- Sundar S, Singh A, Agrawal N, Chakravarty J. Effectiveness of single-dose liposomal amphotericin B in visceral leishmaniasis in Bihar. Am J Trop Med Hyg. 2019;101:795–798. doi: 10.4269/ajtmh.19-0179. [DOI] [PMC free article] [PubMed] [Google Scholar]
- Tavares GSV, Mendonça DVC, Lage DP, Granato JDT, Ottoni FM, Ludolf F, Chávez-Fumagalli MA, Duarte MC, Tavares CAP, Alves RJ, Coimbra ES, Coelho EAF. Antileishmanial activity, cytotoxicity and mechanism of action of clioquinol against Leishmania infantum and Leishmania amazonensis species. Basic Clin Pharmacol Toxicol. 2018;123:236–246. doi: 10.1111/bcpt.12990. [DOI] [PubMed] [Google Scholar]
- Tavares GSV, Mendonça DVC, Pereira IAG, Oliveira-da-Silva JA, Ramos FF, Lage DP, Machado AS, Carvalho LM, Reis TAR, Perin L, Carvalho AMRS, Ottoni FM, Ludolf F, Freitas CS, Bandeira RS, Silva AM, Chávez-Fumagalli MA, Duarte MC, Menezes-Souza D, Alves RJ, Roatt BM, Coelho EAF. A clioquinol-containing Pluronic® F127 polymeric micelle system is effective in the treatment of visceral leishmaniasis in a murine model. Parasite. 2020;27:29. doi: 10.1051/parasite/2020027. [DOI] [PMC free article] [PubMed] [Google Scholar]
- Valle IV, Machado ME, Araújo CDCB, Cunha-Junior EF, Pacheco JS, Torres-Santos EC, Silva LCRP, Cabral LM, Carmo FA, Sathler PC. Oral pentamidine-loaded poly(d,l-lactic-co-glycolic) acid nanoparticles: an alternative approach for leishmaniasis treatment. Nanotechnology. 2019;30:455102. doi: 10.1088/1361-6528/ab373e. [DOI] [PubMed] [Google Scholar]
- Van Griensven J, Diro E. Visceral leishmaniasis: recent advances in diagnostics and treatment regimens. Infect Dis Clin N Am. 2019;33:79–99. doi: 10.1016/j.idc.2018.10.005. [DOI] [PubMed] [Google Scholar]
- Wagner V, Minguez-Menendez A, Pena J, Fernández-Prada C. Innovative solutions for the control of leishmaniases: nanoscale drug delivery systems. Curr Pharm Des. 2019;25:1582–1592. doi: 10.2174/1381612825666190621154552. [DOI] [PubMed] [Google Scholar]
- Want MY, Islammudin M, Chouhan G, Ozbak HA, Hemeg HA, Chattopadhyay AP, Afrin F. Nanoliposomal artemisinin for the treatment of murine visceral leishmaniasis. Int J Nanomedicine. 2017;12:2189–2204. doi: 10.2147/IJN.S106548. [DOI] [PMC free article] [PubMed] [Google Scholar]
- Whayne TF., Jr Clinical use of digitalis: a state of the art review. Am J Cardiovasc Drugs. 2018;18:427–440. doi: 10.1007/s40256-018-0292-1. [DOI] [PubMed] [Google Scholar]
- World Health Organization (2018) Leishmaniasis. http://www.who.int/topics/leishmaniasis/en/, 2018, Accessed data: 2 June 2018
- Xu J, Guo Y, Sui T, Wang Q, Zhang Y, Zhang R, Wang M, Guan S, Wang L. Molecular mechanisms of antioxidant and anti-aging effects induced by convallatoxin in Caenorhabditis elegans. Free Radic Res. 2017;51:529–544. doi: 10.1080/10715762.2017.1331037. [DOI] [PubMed] [Google Scholar]





