Abstract
Difficulty performing rhythmic tasks often co-occurs with literacy difficulties. Motivated by evidence showing that people can vary in their performance across different rhythmic tasks, we asked whether two rhythmic skills identified as distinct in school-age children and young adults would reveal similar or different relationships with two literacy skills known to be important for successful reading development. We addressed our question by focusing on fifty-five typically developing children (ages 5–8). Results show that drumming to a beat predicted the variability of rapid naming but not of phonological awareness, whereas tapping rhythmic patterns predicted phonological awareness, but not rapid naming. Our finding suggest that rhythmic interventions can be tailored to address PA and RAN deficits specifically in reading disabled children.
Keywords: rhythm, literacy, beat, patterns, phonological awareness, rapid naming
Introduction
Rather than being a global, unitary skill, rhythm is a combination of multiple skills, as people can vary in their performance on different rhythmic tests (Iversen, Patel, & Ohgushi, 2008; Tierney & Kraus, 2015; Di Pietro, Laganaro, Leemann, & Schider, 2004; Fries & Swihart, 1990; Liegeois-Chauvel, Peretz, Babai, Laguitton, & Chauvel, 1998; Phillips-Silver, Toivianen, Gosselin et al., 2011). A recent study extended previous findings to school-age children and documented that the ability to drum along to an isochronous beat dissociates from the ability to remember and repeat rhythmic patterns in early childhood (Bonacina, Krizman, White-Schwoch, Nicol, & Kraus, 2019). Motivated by this discovery and the knowledge that difficulties in performing rhythmic tasks can co-occur with language/reading difficulties, we wanted to investigate the relations between these two rhythmic skills vis-à-vis phonological awareness (PA) and rapid automatized naming (RAN). PA and RAN represent the two constructs most reliably implicated in reading ability (Norton & Wolf, 2012). PA refers to the knowledge of the different sounds of a language and the ability to manipulate them (Kirby, Parilla, & Pfeiffer, 2003; Scarborough & Brady, 2002) whereas RAN refers to the ability to quickly retrieve and produce the sounds associated with a visually presented stimulus (Norton & Wolf, 2012; Scarborough & Brady, 2002). The discussion about their relationships and their existence as truly independent subskills is ongoing, with some studies reporting them as moderately correlated in typically developing school-age children (Swanson et al., 2003; Wagner et al., 1999).
The link between rhythm skills and language skills has been extensively documented in poor readers (Flaugnacco et al., 2014; Corriveau & Goswami, 2009; Thomson & Goswami, 2008). However these studies did not directly compare two dissociated rhythmic tasks with respect to the two most essential scaffolds for reading development, namely PA and RAN. Moreover, these studies focus on impaired populations. Knowing whether PA and RAN similarly or distinctively contribute to distinct rhythmic skills (beat- or patterns- based task) in typically developing children could reveal common mechanisms on which both rhythm and language rely. Such results could inform targeted rhythmic activities to specifically address PA and RAN deficits in reading disabled children.
We pitted two hypotheses against each other: (i) the two rhythmic skills (drumming to an isochronous beat and tapping rhythmic patterns) would relate to both PA and RAN; (ii) each rhythmic skill would only correlate with one literacy skill. In particular we predict that the beat-based task would relate to RAN, whereas the pattern-based task would relate to PA.
Methods:
Participants:
Fifty-five children aged 5 to 7.9 years (mean = 6.37 SD = 0.638, 29 girls) participated in this study. None of the participants had a history of a neurologic condition or diagnosis of autism spectrum disorder, learning disabilities, or attention disorder. Depending on their age, intelligence was assessed by WPPSI III (N=51) or WISC 5 (N= 4) on the Information and Matrix Reasoning subtests. On average, the children’s scaled score for the verbal subtest was 12.9 (SD = 3.05; percentile = 76.21) and for the non-verbal subtest was 13.3 (SD= 2.92; percentile = 79.49).
Some of the children (N = 16) were involved in music or dance programs, according to the history form completed by the parents. No differences in rhythmic skills were found between the children who participated in music or dance training and the ones who did not (Drumming to an isochronous beat: t= −.356, p= .723; Tapping rhythmic patterns: t= −1.329, p= .189). The absence of any rhythmic skills difference may be due to the fact that the music experiences reported started fairly recently (Mean years of experience = 1.65 SD = 0.7) and occupied the kids for about 2 hours in a week with some variability (Mean hours/week = 1.81, SD = 1.35), presumably not enough systematicity and duration to gain any strong benefit. All procedures were approved by the Northwestern University Institutional Review Board and the children and a parent/guardian gave their informed assent and consent.
Literacy and rhythmic tests:
Phonological Awareness:
Phonological awareness (PA) was assessed using the Elision and Blending Words subtests of the Comprehensive Test of Phonological Processing, 2nd edition (CTOPP-2; Wagner, Torgesen, Rashotte, & Pearson, 1999; 2013). The Elision subtest requires children to create a new, real word by removing a phoneme or syllable from an existing word (i.e. Say “toothbrush” without saying “tooth”), while the Blending Words subtest requires children to combine syllables or phonemes to make a real word (i.e. “What do these sounds make? Cow-boy”). The arithmetic average of the raw scores (number of correct answers) on these subtests was used to calculate PA performance, with a higher number indicating better performance. Raw scores were used for all tests, as age was taken into account in the regression model, and standard scores account for developmental trends.
Rapid Automatized Naming:
Rapid automatized naming (RAN) was assessed using the Rapid Digit Naming and Rapid Letter Naming subtests of the CTOPP-2. The composite of these two scores is termed rapid symbolic naming in the CTOPP-2 manual. The child named four rows of nine numbers (Rapid Digit Naming) or letters (Rapid Letter Naming) out loud as fast as he/she could. The arithmetic average of the time (in seconds) on each subtest was used to calculate RAN performance, with a lower number indicating better performance.
Drumming to an isochronous beat:
Drumming to an isochronous beat (Beat) is a rhythmic task in which the participant is asked to drum with their dominant hand along to an isochronous pacing beat presented through headphones. Four trials were presented consisting of a snare drum pacing sound repeated with a constant inter-onset-interval (IOI). Two trials were presented at 2.5 Hz (50 beats each) followed by two at 1.67 Hz (33 beats each). The consistency of each participant’s drumming was averaged across all trials (both IOIs) and was calculated using circular statistics. From each hit on the conga drum by the child, a phase angle θ was calculated based on the difference between the time of the actual hit and the child’s hit, which was then divided by the ISI rate and multiplied by 360 degrees. An average was taken of all the vectors of a given rate to compute a value R which represents how consistently a child was able to maintain the rate of drumming, with a higher number indicating better performance (refer to Woodruff Carr et al. 2014 for details on data processing and analyses). The use of two rates allowed us to assess general synchronization ability rather than the ability to synchronize to a specific rate and eliminated the potential bias of an individual’s preferred tempo for isochronous drumming.
Tapping rhythmic patterns:
Tapping rhythmic patterns (Patterns) requires the participant to listen to three repetitions of a rhythmic sequence without drumming and then drum out the sequence during a pause, producing the sequence exactly when it would have occurred had it repeated a fourth time. Ten trials were presented (a mix of strongly and weakly metrical sequences) via loudspeaker. The performance of each participant was calculated as percentage correct, which counts the proportion of drum hits and pauses that are correctly executed. For each sequence, the analysis determined whether the participant correctly produced either a rest or a drum hit in a 250 msec window centered on the timing of either the expected rest or hit, respectively. The score for each trial, therefore, consisted of the number of correctly performed hits or rests divided by the total number of analyzed segments (refer to Tierney et al. 2017 for details on data processing and analyses). The final score was the average percent correct across the ten trials, with a higher number indicating better performance.
Data analysis
To check whether the distribution for both PA and RAN scores was approximately normal, we performed the Shapiro Wilk test. The test for both PA and RAN is non-significant (PA, p= .443; RAN, p= .160) therefore their distribution is likely to be normal. We plotted in Figure 1 the histograms of their scores distribution, for both raw scores and percentiles.
Figure 1.

Distribution of PA and RAN performances. Top row displays histogram for raw scores, bottom row displays percentile.
To investigate the relationships among the literacy tests and rhythmic tasks, Pearson’s correlations controlling for sex and participant’s age were run among the four measures. Furthermore, two independent linear regressions were performed to investigate the unique contribution of the two distinct rhythmic measures (Beat and Patterns) to literacy skills, considering phonological awareness (raw scores) and rapid naming (seconds) as the dependent variables. Prior to running these analyses, we employed a reciprocal transformation for the Beat data, using the equation 1/((XHighest − Xi) + 1), where XHighest is the highest score of all subjects, in order to obtain a normal distribution for that measure.
Results
We explored the relationship between each behavioral task and the participant age when the task was performed. PA and RAN, which are highly correlated (r = −.445**), relate with Age (PA, r= .347**; RAN, r= −.412**), revealing that older children perform better at each task, as expected for raw scores in typically developing children (Figure 2). Mean and Standard Deviation (raw and percentile) for each composite score is reported in Table 1.
Figure 2.

PA (in grey) and RAN (in black) performances on y-axis plotted against participants’ age x-axis. Lines of best fit are plotted. As for PA higher score means better, as for RAN lower score means better.
Table 1.
Mean and standard deviation for Phonological Awareness and Rapid Naming (raw scores and percentile)
| Phonological Awareness (Elision, Blending) | Rapid Naming (Digit, Letter) | |
|---|---|---|
| Mean, Standard Deviation (raw scores) | 20.482; 4.48 | 29.57; 9.31 |
| Mean, Standard Deviation (percentile) | 69.86; 19.35 | 62.12; 18.81 |
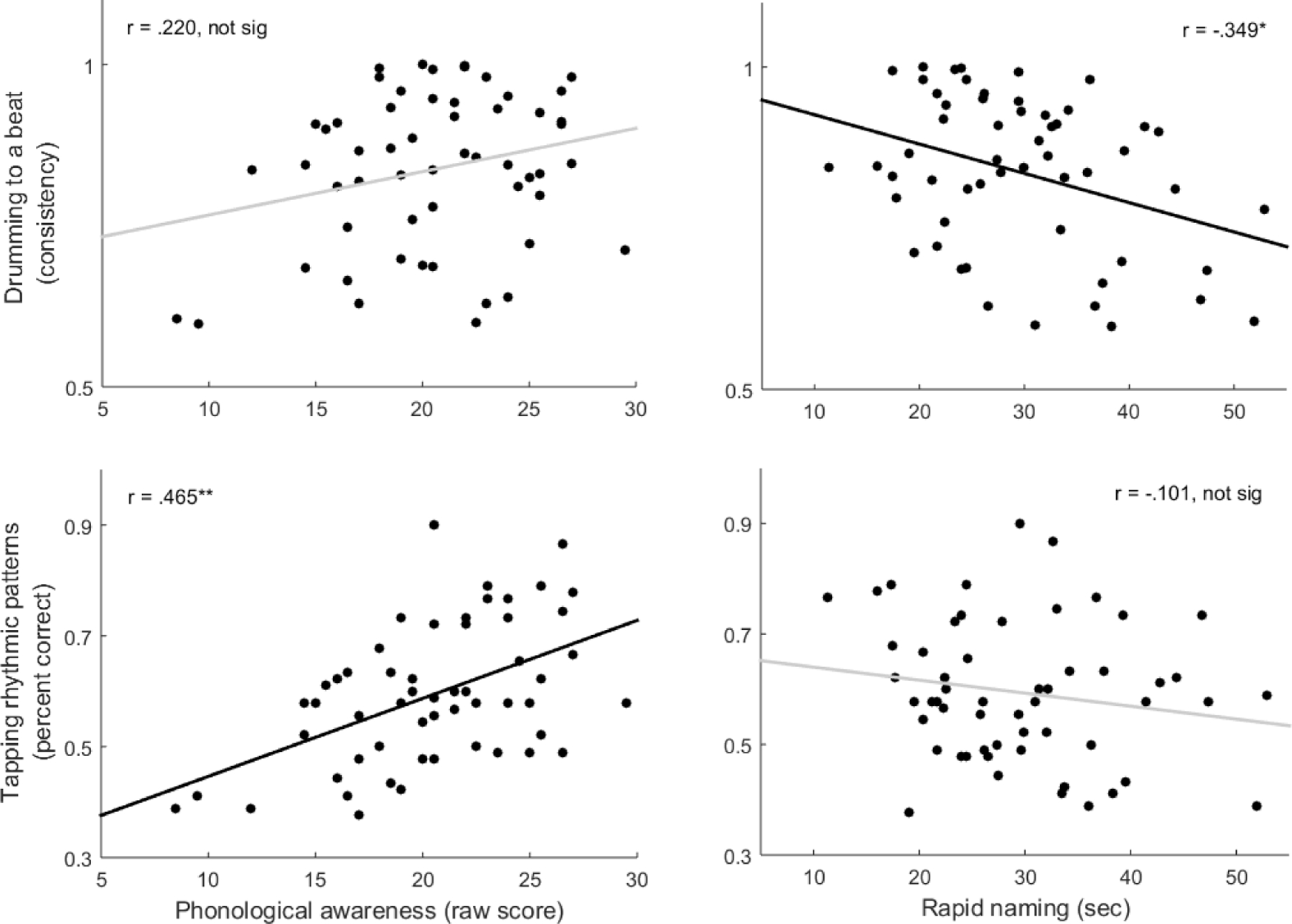
Consistent with previous reports, there was no correlation between performance on the Beat and Patterns tests (r = .181, p = .195). Participants who were better at phonological awareness had better performance on Patterns (r = .465, p ≤ .001), without showing a systematic relationship to Beat performance (r = .220, p = .114)1. Participants who were better at rapid naming performed better on Beat (r = −.349, p = .011) with no association to Patterns performance (r = −.101, p = .470). Table 2 shows all the correlations explored and Figure 3 shows the scatterplots related to literacy and rhythmic skills relationships.
Table 2.
Results of Pearson’s partial correlations controlling for Sex and Age
| Phonological Awareness | Rapid Naming | Drumming to a beat | Tapping rhythmic patterns | |
|---|---|---|---|---|
| Phonological Awareness | 1.000 | |||
| Rapid Naming | −.445** | 1.000 | ||
| Drumming to a beat | .220 | −.349* | 1.000 | |
| Tapping rhythmic patterns | .465** | −.101 | .181 | 1.000 |
p < 0.05
p < 0.01
Figure 3.

Drumming to a beat performance (first row) and Tapping to rhythmic patterns (second row) plotted against Phonological Awareness (first column) and Rapid Naming (second column). Lines of best fit are plotted. A black line indicates statistical significance (p < .05) while a gray line indicates no statistical significance (p > .05).
To explore the contributions of drumming to a beat and tapping out rhythmic patterns in predicting the two literacy skills considered, we ran two separate linear regressions using the raw score of each literacy skill as the dependent variable. Sex, age, matrix reasoning, Beat, and Patterns were considered as independent variables. Only Patterns predicted subjects’ phonological awareness performance. In contrast, only Beat predicted subjects’ rapid naming performance. Table 3 shows full regression results.
Table 3.
Results of linear regression
| Predictors | Phonological Awareness β |
Rapid Naming β |
|---|---|---|
| Drumming to a beat | .148 | −.337* |
| Tapping rhythmic patterns | .416** | −.027 |
| Sex, Age, Matrix reasoning | ✔ | ✔ |
| R2 | .339 | .284 |
p < 0.05
p < 0.01
Discussion
This study reinforces the idea of rhythm as a multidimensional skill set. Here we supported this finding in a cohort of school-age children, and we also showed that two rhythmic skills relate distinctively to PA and RAN. Specifically, we showed that drumming to a beat predicted the variability of RAN, but not of PA, whereas tapping rhythmic patterns predicted PA, but not RAN. The rhythmic-pattern task considered in our study requires the ability to retain and integrate temporal information about the relationship among sounds which engages the ability to attend to, think about, and manipulate sounds within words, all foundational processes of PA. Drumming to an isochronous beat, instead, requires the ability to temporally coordinate an action with a predictable external event; it is evocative of the pace and the processes involved in linking and producing a spoken word related to a visually presented stimulus, which underlies RAN. Our finding supplements previous results showing the absence of relationship between literacy skills (PA/RAN) and rhythmic skills (drumming to a beat/tapping rhythmic patterns) in young adults (Tierney et al., 2017). In particular, our results are consistent with the idea that these associations may change with age and may manifest themselves only in young children who are still in the process of learning and refining their reading ability.
While further investigation is necessary to understand how these links may differ in reading impaired populations and across languages, our findings can be promising in informing music-based interventions for the different reader profiles identified in the literature (i) children with no deficit in either PA or RAN, (ii) children with a deficit in PA only, (iii) children with a deficit in RAN only, and (iv) children with deficits in both PA and RAN (Wolf & Bowers 1999). Specifically, the distinctive predictive roles of drumming to the beat and tapping rhythmic patterns for RAN and PA raise the possibility of tailoring specific rhythmic activities as part of a broader music intervention when dealing with children with a PA deficit only, or RAN deficit only (Politimou, Dalla Bella, Farrugia, & Franco, 2019). Increasing evidence shows how rhythm scaffolds the development of language and communication skills. As early as infancy, rhythmic information in speech provides primary cues to discriminate between languages (Nazzi, Bertoncini, and Mehler, 1998) and to identify phonemes (Eimas, Siqueland, Jusczyk, & Vigorito, 1971). Accentuating stress and rhythmic patterns is the most common and natural strategy used by parents and teachers to teach language to children, and it is what inspires many interventions for speech and language delays (Goswami, 2002; Schneider, Roth, & Ennemoser, 2000). While music training in general is thought to foster language development, it is the rhythmic components of music that have been highlighted as particularly effective (Tallal, 2004; Goswami, 2011).
Acknowledgments and funding
We thank past and present members of the Auditory Neuroscience Laboratory for their contribution to this work and children and families who participated in this study. This work was supported by the National Institute of Health (R01 HD069414; F31 DC016205), the National Science Foundation (BCS 1430400), National Association of Music Merchants, Hunter Family Foundation, Dana foundation, and the G. Harold and Leila Y. Mathers Charitable Foundation.
Footnotes
Publisher's Disclaimer: This Author Accepted Manuscript is a PDF file of an unedited peer-reviewed manuscript that has been accepted for publication but has not been copyedited or corrected. The official version of record that is published in the journal is kept up to date and so may therefore differ from this version.
Declaration of interest
The authors declare no competing interests.
Ethics approval
All procedures performed in this study were approved by Northwestern University Institutional Review Board.
Consent
Parents or legal guardians provided informed consent and assent was given by the child prior to participation.
The trending behavior between PA and beat performance is entirely driven by the two observations in the lower left corner of the top left scatterplot in figure 3. If we were to exclude those two points, then we will get r = .077, p = .592. Conversely, removing those two subjects with poor PA scores leaves the PA / Rhythm Pattern finding nearly unaffected: r = .410, p = .003. We take this as evidence supporting our claim that the relationship between PA and Beat performance is not robust, while the PA and Rhythm Pattern performance is.
References
- 1.Bonacina S, Krizman J, White-Schwoch T, Nicol T, Kraus N (in press) How rhythmic skills relate and develop in school-age children. Global Pediatric Health. [DOI] [PMC free article] [PubMed] [Google Scholar]
- 2.Corriveau KH, & Goswami U (2009). Rhythmic motor entrainment in children with speech and language impairments: tapping to the beat. cortex, 45(1), 119–130. [DOI] [PubMed] [Google Scholar]
- 3.Di Pietro M, Laganaro M, Leemann B, & Schnider A (2004). Receptive amusia: temporal auditory processing deficit in a professional musician following a left temporo-parietal lesion. Neuropsychologia, 42(7), 868–877. [DOI] [PubMed] [Google Scholar]
- 4.Eimas PD, Siqueland ER, Jusczyk P, & Vigorito J (1971). Speech perception in infants. Science, 171(3968), 303–306. [DOI] [PubMed] [Google Scholar]
- 5.Flaugnacco E, Lopez L, Terribili C, Zoia S, Buda S, Tilli S, … & Schön D (2014). Rhythm perception and production predict reading abilities in developmental dyslexia. Frontiers in human neuroscience, 8, 392. [DOI] [PMC free article] [PubMed] [Google Scholar]
- 6.Fries W, & Swihart AA (1990). Disturbance of rhythm sense following right hemisphere damage. Neuropsychologia, 28(12), 1317–1323. [DOI] [PubMed] [Google Scholar]
- 7.Goswami U, Thomson J, Richardson U, Stainthorp R, Hughes D, Rosen S, & Scott SK (2002). Amplitude envelope onsets and developmental dyslexia: A new hypothesis. Proceedings of the National Academy of Sciences, 99(16), 10911–10916. [DOI] [PMC free article] [PubMed] [Google Scholar]
- 8.Goswami U 2011. A temporal sampling framework for developmental dyslexia. Trends Cogn Sci 15:3–10 [DOI] [PubMed] [Google Scholar]
- 9.Iversen JR, Patel AD, & Ohgushi K (2008). Perception of rhythmic grouping depends on auditory experience. The Journal of the Acoustical Society of America, 124(4), 2263–2271. [DOI] [PubMed] [Google Scholar]
- 10.Liégeois-Chauvel C, Peretz I, Babaï M, Laguitton V, & Chauvel P (1998). Contribution of different cortical areas in the temporal lobes to music processing. Brain: a journal of neurology, 121(10), 1853–1867. [DOI] [PubMed] [Google Scholar]
- 11.Kirby JR, Parrila RK, & Pfeiffer SL (2003). Naming speed and phonological awareness as predictors of reading development. Journal of Educational Psychology, 95(3), 453. [Google Scholar]
- 12.Nazzi T, Bertoncini J, & Mehler J (1998). Language discrimination by newborns: toward an understanding of the role of rhythm. Journal of Experimental Psychology: Human perception and performance, 24(3), 756. [DOI] [PubMed] [Google Scholar]
- 13.Norton ES, & Wolf M (2012). Rapid automatized naming (RAN) and reading fluency: Implications for understanding and treatment of reading disabilities. Annual review of psychology, 63, 427–452. [DOI] [PubMed] [Google Scholar]
- 14.Phillips-Silver J, Toiviainen P, Gosselin N, Piché O, Nozaradan S, Palmer C, & Peretz I (2011). Born to dance but beat deaf: a new form of congenital amusia. Neuropsychologia, 49(5), 961–969. [DOI] [PubMed] [Google Scholar]
- 15.Politimou N, Dalla Bella S, Farrugia N, & Franco F (2019). Born to speak and sing: Musical predictors of language development in pre-schoolers. Frontiers in Psychology, 10. [DOI] [PMC free article] [PubMed] [Google Scholar]
- 16.Scarborough HS, & Brady SA (2002). Toward a Common Terminology for Talking about Speech and Reading: A Glossary of the “Phon” Words and Some Related Terms. Journal of Literacy Research, 34(3), 299–336. [Google Scholar]
- 17.Schneider W, Roth E, & Ennemoser M (2000). Training phonological skills and letter knowledge in children at risk for dyslexia: A comparison of three kindergarten intervention programs. Journal of Educational Psychology, 92(2), 284–295. [Google Scholar]
- 18.Swanson HL, Trainin G, Necoechea DM, & Hammill DD (2003). Rapid naming, phonological awareness, and reading: A meta-analysis of the correlation evidence. Review of Educational Research, 73(4), 407–440. [Google Scholar]
- 19.Tallal P 2004. Improving language and literacy is a matter of time. Nat Rev Neurosci 5:721–8. [DOI] [PubMed] [Google Scholar]
- 20.Thomson JM, & Goswami U (2008). Rhythmic processing in children with developmental dyslexia: auditory and motor rhythms link to reading and spelling. Journal of Physiology-Paris, 102(1–3), 120–129. [DOI] [PubMed] [Google Scholar]
- 21.Tierney A, & Kraus N (2015). Evidence for multiple rhythmic skills. PloS one, 10(9), e0136645. [DOI] [PMC free article] [PubMed] [Google Scholar]
- 22.Tierney A, White-Schwoch T, MacLean J, & Kraus N (2017). Individual differences in rhythm skills: links with neural consistency and linguistic ability. Journal of cognitive neuroscience, 29(5), 855–868. [DOI] [PubMed] [Google Scholar]
- 23.Torgesen JK, Wagner RK, Rashotte CA, Burgess S, & Hecht S (1997). Contributions of phonological awareness and rapid automatic naming ability to the growth of word-reading skills in second-to fifth-grade children. Scientific studies of reading, 1(2), 161–185. [Google Scholar]
- 24.Torgesen JK, Wagner RK, & Rashotte CA (1994). Longitudinal Studies of Phonological Processing and Reading. Journal of Learning Disabilities, 27(5), 276–286. [DOI] [PubMed] [Google Scholar]
- 25.Wagner RK, Torgesen JK, & Rashotte CA (1999). Comprehensive Test of Phonological Processing. CTOPP. Pro-ed. [Google Scholar]
- 26.Wolf M, & Bowers PG (1999). The double-deficit hypothesis for the developmental dyslexias. Journal of educational psychology, 91(3), 415. [Google Scholar]
- 27.Woodruff Carr K, White-Schwoch T, Tierney AT, Strait DL, & Kraus N (2014). Beat synchronization predicts neural speech encoding and reading readiness in preschoolers. Proceedings of the National Academy of Sciences, 111(40), 14559–14564. [DOI] [PMC free article] [PubMed] [Google Scholar]
