Abstract
Given the association between periodontal disease (PdD) and Alzheimer’s disease (AD), we examined correlations between states’ age-adjusted AD mortality rates, AD prevalence, subjective cognitive decline (SCD) prevalence, and oral health data. Data sources include the Centers for Disease Control and Prevention, scientific literature, and oral health rankings formulated by WalletHub.com and Toothbrush.org. Pearson (r) or Spearman (rs) correlation coefficients were generated and evaluated. AD mortality rates correlate with dental visits (r = − 0.50, p = 0.0003), partial (r = 0.39, p = 0.005) or total (r = 0.44, p = 0.001) edentulism, WalletHub.com (rs = 0.30, p = 0.03) and Toothbrush.org (rs = 0.35, p = 0.01) rankings. AD prevalence correlates with dental visits (r = − 0.30, p = 0.03), partial (r = 0.55, p = 0.00003) or total (r = 0.46, p = 0.0009) edentulism, prevalence of any (r = 0.38, p = 0.006) or severe-stage (r = 0.46, p = 0.0009) PdD, and WalletHub.com (rs = 0.38, p = 0.006) rankings. SCD prevalence in adults aged ≥ 45 years correlates with dental visits (r = − 0.69, p < 0.00001), partial (r = 0.33, p = 0.02) or total (r = 0.37, p = 0.008) edentulism, prevalence of any (r = 0.53, p = 0.0001) or severe-stage (r = 0.57, p = 0.00002) PdD, WalletHub.com (rs = 0.53, p = 0.00008) and Toothbrush.org (rs = 0.60, p < 0.00001) rankings. State metrics indicative of compromised oral health correlate with AD mortality rates, AD prevalence and SCD prevalence.
Subject terms: Neuroscience, Neurology
Introduction
Recently, evidence has emerged associating periodontal disease (PdD) with the development of, and cognitive decline in, Alzheimer’s disease (AD)1–7. Direct causation has not been definitively established; however, the preponderance of research points to a causative relationship between PdD and AD8. This comorbidity is consistent with the “antimicrobial protection hypothesis” of AD pathogenesis9–11. The hypothesis asserts that hallmark AD features, including extracellular amyloid-beta (Aβ) plaques, hyper-phosphorylation of tau protein, formation of intracellular neurofibrillary tangles, resultant neuroinflammation and neurodegeneration, are due to host responses to central nervous system (CNS) invasion by pathogens and/or their virulence factors11–15.
Key to the immune response to CNS infection is Aβ itself. Once thought to be an incidental catabolic byproduct without a normal physiological role, Aβ has been shown to function as an antimicrobial peptide, a component of the innate immune system16. In the CNS, Aβ binds and disrupts bacterial, viral, and fungal cell membranes, resulting in aggregation and agglutination of pathogenic organisms17–22. Investigations have shown that Aβ production is induced by exposure to pathogens, their virulence factors and/or chronic neuroinflammation23–25. Accordingly, Aβ represents an immediate and continued physiological response to invading microorganisms, stimulating chronic neuroinflammation and subsequent compromise of blood–brain-barrier function25–27. Over time, this innate immune response, fueled by continued exposure to bacterial virulence factors, chronic CNS infection, or CNS pathogen reactivation, serves to irreversibly prime microglia to switch into an aggressive, pro-inflammatory state28–31.
Consistent with age-dependency of AD development, CNS microglial responses to inflammatory challenge are similarly age-dependent. In young brains, microglial activation is associated with a reparative inflammatory response whereas in aged brains, an exacerbated inflammatory response occurs, resulting in proinflammatory microglial priming, neuronal death, synaptic loss, and cognitive decline32,33. Age-related, microglial-associated neurophysiological deficits have also been demonstrated by the inability to generate long-term potentiation, a cellular correlate for learning and memory, in the hippocampus of systemically-inflamed middle-aged, but not young rats34. Further supporting the role of microglia in this process, these investigators report that minocycline, an inhibitor of microglial activation, restored long term potentiation in systemically-inflamed middle-aged rats.
PdD is a nonreversible, chronic, infectious, systemic inflammatory condition characterized by gram-negative polymicrobial dysbiosis of the sub-gingival microbiome28. Within the subgingival pocket, colonization by causative organisms such as Porphyromonas gingivalis, Tannerella forsythia and Treponema denticola facilitates biofilm formation and PdD development35,36. The host’s exuberant systemic immunologic response to these pathogens results in destruction of gingival connective tissue, resorption of tooth-supporting alveolar bone and tooth loss37,38. Once PdD is established, dental procedures, brushing, flossing, or chewing can induce transient bacteremia, and planktonic dissemination of organisms and their shed outer membrane vesicles to distant organs and tissues, including the heart, liver, brain, coronary and peripheral arteries39–44. Specific to AD, P.gingivalis and its virulence factors, e.g. lipopolysaccharide and gingipains, which are cysteine-proteases associated with bacterial outer membrane and shed membrane vesicles, have been identified in AD brains and in cerebral spinal fluid of suspected AD patients25,45. Furthermore, serum antibody levels against P. gingivalis are increased in AD patients compared to non-AD controls46,47. Repeat episodes of PdD-induced bacteremia provide microorganisms and virulence factors with a hematogenous route to the CNS across a blood–brain barrier compromised by chronic inflammation, or alternatively, direct CNS invasion via the trigeminal nerve or olfactory tract48–50.
SCD is defined as a self-experienced, persistent decline in cognitive capacity relative to a previously normal status51. First described in 1982, SCD is one of the earliest detectable risk factors for AD development52–55. Although SCD patients exhibit normal responses to cognitive tasks, functional magnetic resonance imaging studies have revealed aberrant brain activation patterns and compensatory cortical hyperactivation compared to controls56. Similar to AD, SCD is associated with CNS Aβ deposition and amyloid status in SCD is predictive of self-perceived cognitive state, current cognition and future cognitive decline57–60.
Studies have confirmed comorbid relationships between AD prevalence, progression and severity, and PdD in select cohorts2,4,7,46,61–65. In a large cohort, Chen et al. recently discovered that patients with a 10 year history of PdD had a two-fold greater risk of developing AD compared to patients without PdD7. Unlike AD, little is known regarding the relationship between PdD and SCD; however, one small study has reported a positive correlation66. No previous study has analyzed associations between AD, SCD and PdD on a national level in the U.S. via comparisons of state-specific population data. The present study, utilizing state epidemiological data derived from governmental agencies, and scientific literature, is the first to examine U.S. state relationships between AD, SCD and oral health.
Materials and methods
All methods were carried out in accordance with relevant guidelines and regulations. All experimental protocols were reviewed and approved by the Office of the Medical Directorate, St. Luke’s Cataract & Laser Institute, Tarpon Springs, FL. Because individual patients did not participate as subjects in this research, informed consent was not applicable to the present study. All third party data utilized in this study is available free of charge in the public domain from online databases and government websites (see references for each dataset).
For all 50 U.S. states, age-adjusted AD mortality, age-adjusted AD prevalence, SCD and oral health status data were obtained from several sources. Age-adjusted AD 2016 mortality rates were acquired from the Centers for Disease Control and Prevention (CDC) National Center for Health Statistics website67. Estimates of states’ age-adjusted AD prevalence were obtained from a study by Koller and Bynam which reviewed records of 4.8 million U.S. Medicare beneficiaries across all U.S. states68. State-specific SCD prevalence rates in adults aged ≥ 45 years were obtained from a study of 227,393 respondents across the U.S69. Because CDC oral health data and CDC age-adjusted AD mortality rates were subdivided by gender, a gender-based analysis for these data was also performed. All data used for analysis provided in spreadsheet format in Online Resource 1.
Oral health data reporting percentage of adults visiting a dental clinic and adults > 65 years who have lost all, or ≥ 6 teeth were acquired from the CDC Oral Health Data by Location which completes 400,000 adult interviews each year70. State PdD prevalence rates were obtained from a study by Eke et al. which utilized CDC data from the National Health and Nutrition Examination Survey and Behavioral Risk Factor Surveillance System71. Statistics regarding state water fluoridation rates were obtained from the Office of Disease Prevention and Health Promotion72.
Data from two national, non-peer-reviewed online state oral health ranking scales developed by WalletHub.com and Toothbrush.org were utilized for comparison to AD and SCD data73,74. The WalletHub.com scale, devised by 7 dental health researchers, evaluated state dental health across two key dimensions, “dental habits and care”, and “oral health”. These dimensions utilized 26 weighted metrics to generate composite U.S. state oral health scores. The Toothbrush.org ranking system evaluated state oral health status utilizing 20 metrics. Similar to WalletHub.com, the Toothbrush.org state rating system generated composite state oral health rankings based on “dental habits & care” and “oral health. In order to determine whether the WalletHub.com and Toothbrush.org rankings were consistent, a Bland Altman analysis was performed on the ranking data. Upper and lower limits of agreement were calculated by multiplying the standard deviation by (+) or (−) 1.96, respectively.
State-specific age-adjusted AD mortality rates, age-adjusted AD prevalence data and SCD prevalence data were compared to corresponding oral health data to determine whether there existed significant relationships between state AD, SCD and oral health data. Pearson (r) or Spearman rank (rs), correlation coefficients, were calculated and tested (two-tailed) for statistical significance (p-value ≤ 0.05) against the null hypothesis of no correlation, H0: ρ = 0 using a standard table of critical values for r. Ranked data from WalletHub.com and Toothbrush.org were evaluated using Spearman rank correlation coefficients. Microsoft Excel was used to calculate correlation coefficients and generate scatter plots.
It has been reported by some authors that the Pearson correlation is robust and can withstand violations of assumptions such as normality whereas others state that highly non-normal data distributions can reduce r values and inflate Type I error rates75. Given that non-normal data distributions could potentially affect r, a Kolmogorov–Smirnov test statistic (D) was calculated for each data set to determine whether it is normally distributed. A corresponding p-value ≤ 0.05 indicates that the data set is not normally distributed.
Results
The Kolmogorov–Smirnov test was performed on all Pearson-analyzed data sets to access normality. The age-adjusted AD mortality rates (D = 0.086; p value = 0.73), age-adjusted AD prevalence (D = 0.094; p value = 0.83), and SCD prevalence (D = 0.107; p value = 0.58) data sets were all found to be normally distributed. The CDC oral health survey data sets addressing the percentage of adults who had visited a dentist during the previous year (D = 0.081; p value = 0.88), the percentage of adults > age 65 years who had lost all of their teeth (D = 0.121; p value = 0.42), and the percentage of adults > age 65 years who had lost ≥ 6 teeth (D = 0.099; Pp value = 0.67) were found to be normally distributed. The U.S. all-stage PdD prevalence (D = 0.095; p value = 0.73) and severe-stage PdD prevalence (D = 0.094; p value = 0.73) data sets were found to be normally distributed. In summary, all data sets utilized for Pearson correlation coefficient analysis in the present study were found to be normally distributed.
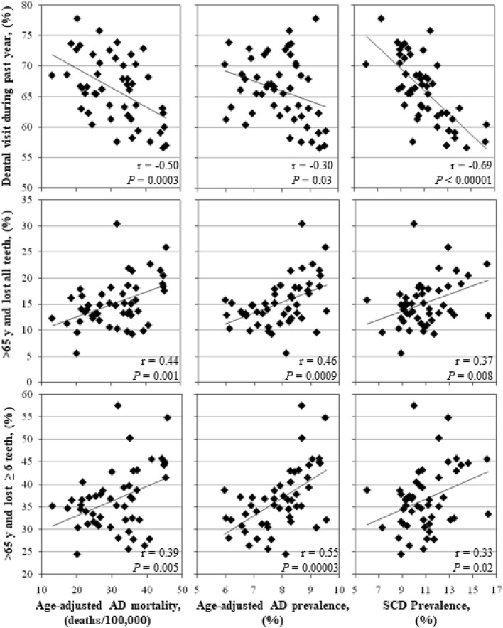
For each state, 2016 CDC oral health survey data addressed the percentage of adults who had visited a dentist during the previous year, the percentage of adults > age 65 years who had lost all of their teeth, and the percentage of adults > age 65 years who had lost ≥ 6 teeth (Table 1, Fig. 1). There were significant negative correlations between the percentage of adults who visited a dentist and age-adjusted AD mortality rates (r = − 0.50; p value = 0.0003), age-adjusted AD prevalence (r = − 0.30; p value = 0.03), and SCD prevalence (r = − 0.69; p value < 0.00001). There were significant positive correlations between the percentage of adults > age 65 years who had lost all of their teeth and age-adjusted AD mortality rate (r = 0.44; p value = 0.001), age-adjusted AD prevalence (r = 0.46; p value = 0.0009), and SCD prevalence (r = 0.37; p value = 0.008). Similarly, there were also significant positive correlations between the percentage of adults > age 65 years who had lost ≥ 6 teeth and age-adjusted AD mortality rate (r = 0.39; p value = 0.005), age-adjusted AD prevalence (r = 0.55; p value = 0.00003), and SCD prevalence (r = 0.33; p value = 0.018).
Table 1.
U.S. state-specific age-adjusted AD mortality rates, age-adjusted AD prevalence, SCD prevalence vs. oral health parameters.
| Oral Health Data | Age-adjusted AD mortality rate | Age-Adjusted AD Prevalence | SCD Prevalence (≥ 45 years) | |||
|---|---|---|---|---|---|---|
| r | p-value | r | p-value | r | p-value | |
| % visiting dentist, past year | ||||||
| all adults | − 0.50 | 0.0003 | − 0.30 | 0.03 | − 0.69 | < 0.00001 |
| females | − 0.52 | 0.0001 | ||||
| males | − 0.42 | 0.003 | ||||
| % lost all teeth, > 65 years | ||||||
| all adults | 0.44 | 0.001 | 0.46 | 0.0009 | 0.37 | 0.008 |
| females | 0.43 | 0.001 | ||||
| males | 0.37 | 0.007 | ||||
| % lost ≥ 6 teeth, > 65 years | ||||||
| all adults | 0.39 | 0.005 | 0.55 | 0.00003 | 0.33 | 0.02 |
| females | 0.36 | 0.009 | ||||
| males | 0.34 | 0.02 | ||||
| All-stage PdDa prevalence | 0.08 | 0.57 | 0.38 | 0.006 | 0.53 | 0.0001 |
| Severe-stage PdD prevalence | 0.15 | 0.30 | 0.46 | 0.0009 | 0.57 | 0.00002 |
| WalletHub.com oral health overall rankingb | 0.30 | 0.03 | 0.38 | 0.006 | 0.53 | 0.00008 |
| Toothbrush.org oral health overall rankingb | 0.35 | 0.01 | 0.25 | 0.08 | 0.60 | < 0.00001 |
| % Drinking water fluoridation | 0.09 | 0.55 | 0.07 | 0.63 | − 0.01 | 0.99 |
AD Alzheimer’s disease, SCD Subjective cognitive decline.
aPeriodontal disease.
br = Spearman correlation coefficient for ranked data (rs).
Figure 1.
CDC dementia data v CDC oral health metrics. Scatter-plots showing correlations between state-specific age-adjusted AD mortality rates, age-adjusted AD prevalence, SCD prevalence and CDC data regarding state population percent visiting a dentist during the past year, and percentage of adults > 65 years who have lost all or ≥ 6 teeth. Each point represents data from one U.S. state. The Pearson correlation coefficient (r) and corresponding P-value are presented for each correlation. AD Alzheimer’s disease, SCD subjective cognitive decline, CDC Centers for Disease Control and Prevention.
Gender-based, age-adjusted AD mortality rate data showed similarly significant correlations with corresponding oral health data regarding percentage of females (r = − 0.52; p value = 0.0001) or males (r = − 0.42; p value = 0.002) visiting a dentist or dental clinic during the previous year, percentage of females (r = 0.43; p value = 0.001) or males (r = 0.37; p value = 0.007) > age 65 years who have lost all their teeth, and percentage of females (r = 0.36; p value = 0.009) or males (r = 0.34; p value = 0.02) > age 65 years who had lost ≥ 6 teeth (Table 1).
Associations between all-stage PdD prevalence and severe-stage PdD prevalence were compared to age-adjusted AD mortality rate, age-adjusted AD prevalence and SCD prevalence (Table 1 and Fig. 2). No significant correlation was found between age-adjusted AD mortality rate and all-stage PdD prevalence (r = 0.08; p value = 0.56) or severe PdD prevalence (r = 0.15; p value = 0.30). Significant correlations were found between total PdD prevalence and age-adjusted AD prevalence (r = 0.38; p value = 0.006) and SCD prevalence (r = 0.53; p value = 0.0001). Significant correlations were found between severe PdD prevalence and age-adjusted AD prevalence (r = 0.46; p value = 0.0009) and SCD prevalence (r = 0.57; p value = 0.00002).
Figure 2.
CDC dementia data v PdD prevalence data. Scatter-plots showing correlations between state-specific age-adjusted AD mortality rates, age-adjusted AD prevalence, SCD prevalence and state PdD prevalence data for all-stages of PdD and severe-stage PdD. Each point represents data from one U.S. state. The Pearson correlation coefficient (r) and corresponding P-value are presented for each correlation. AD Alzheimer’s disease, SCD subjective cognitive decline, PdD periodontal disease, CDC Centers for Disease Control and Prevention.
WalletHub.com and Toothbrush.org U.S. state oral health rankings were compared to respective age-adjusted AD mortality rate, age-adjusted AD prevalence and SCD prevalence (Table 1, Fig. 3). The WalletHub.com total oral health rankings were found to be significantly correlated with age-adjusted AD mortality rate (rs = 0.30; p value = 0.03), age-adjusted AD prevalence (rs = 0.38; p value = 0.006) and SCD prevalence (rs = 0.53; p value = 0.00008). The Toothbrush.org total oral health rankings were significantly correlated with age-adjusted AD mortality rate (rs = 0.35; p value = 0.01) and SCD prevalence (rs = 0.60; p value < 0.00001), however, the correlation with age-adjusted AD prevalence (rs = 0.25) did not reach significance (p value = 0.08). In order to determine whether these two state-by-state ranking systems were consistent with one another, a Bland Altman analysis was performed and revealed no significant differences (r = 0, p-value) between the Toothbrush.org and WalletHub.com state rankings (Fig. 4).
Figure 3.
CDC dementia data v State oral health ranks. Scatter-plots showing correlations between state-specific age-adjusted AD mortality rates, age-adjusted AD prevalence, SCD prevalence and WalletHub.com and Toothbrush,org state oral health rankings. Each point represents data from one U.S. state. The Spearman correlation coefficient (rs) and corresponding p-value are presented for each correlation. AD Alzheimer’s disease, SCD subjective cognitive decline, CDC Centers for Disease Control and Prevention.
Figure 4.

Bland Altman analysis comparing Toothbrush.org and WalletHub.com oral health ranking systems. No significant differences (r = 0, p-value = 1.0) were found between the WalletHub.com and Toothbrush.org ranking systems. Dotted lines represent 95% upper (17.56) and lower (− 17.56) limits of agreement. Bias = 0, S.D. = ± 8.96.
Drinking-water fluoridation, which reduces dental caries but is ineffective against PdD, was utilized as a negative control and examined as a factor associated with AD and SCD (Table 1). No significant correlations were found between the percentage of each states’ population served by fluoridated drinking water and age-adjusted AD mortality rate (r = 0.09; p value = 0.60), age-adjusted AD prevalence (r = 0.07; p value = 0.63) or SCD prevalence (r = − 0.003; p value = 0.99) (Table 1). Additionally, no correlations were found between the percentage of each states’ population that is served by fluoridated drinking water and all-stage PdD prevalence (r = − 0.04; p value = 0.81) or severe stage PdD prevalence (r = 0.005; p value = 0.97), confirming that state water fluoridation rates are unrelated to PdD prevalence.
Discussion
Utilizing state-specific, epidemiologic data, we conducted a nationwide correlational analysis examining possible associations between age-adjusted AD mortality rates, age-adjusted AD prevalence, SCD prevalence and oral health metrics relevant to PdD in the U.S. The rationale underlying these comparisons stems from the “antimicrobial protection hypothesis” of AD and recent investigations linking CNS infection, particularly the chronic, recurring infection that is pathognomonic of PdD, with the development and progression of AD.
All correlations between CDC oral health data and dementia metrics were statistically significant; however, the strongest association existed between SCD prevalence and the percentage of respondents who visited a dental clinic during the previous year. This finding indicates that regular dental care is associated with a lower SCD prevalence among adults ≥ 45 years; however, it is not clear if the underlying cause of the association is due specifically to a reduction in the severity of PdD. Future research comparing oral health habits and dental health visits among SCD patients diagnosed with PdD versus controls could provide additional information. Given that SCD patients are generally younger than AD patients, establishment of a causative link between SCD and PdD could dramatically impact future medical and economic burdens of AD via policies and programs that address timely, routine dental prophylaxis.
It is known that PdD is the main cause of tooth loss in middle aged and older adults76. With regard to tooth loss and edentulous condition among patients older than 65 years, the strongest correlations were observed with age-adjusted AD mortality rates and age-adjusted AD prevalence compared to SCD prevalence. This finding is not unexpected as the AD data comparison reflects a similar age group (i.e.; adults aged 65 + years) compared to the SCD prevalence data (adults ≥ 45 years). These findings are in general agreement with previous studies regarding AD and tooth loss77. Stein et al. found that tooth loss due to PdD doubles the risk of onset of AD78. A recent meta-analysis performed by Dioguardi et al. reported results with increased rates of partial tooth loss (hazard ratio: 1.52) and complete edentulous condition (hazard ratio: 2.26) amongst AD patients compared to controls79. These finding have been supported by other cohort studies. Specifically, the Hisayama study reported correlation between the loss of dental elements and dementia caused specifically by AD, as significant correlations were not found for dementia of vascular origin80. Additionally, the simple absence of teeth did not impact Aβ levels or hippocampal pyramidal cells in transgenic AD model mice whose molar teeth were surgically extracted81. With regard to gender and tooth loss, we found similar, significant correlations between age-adjusted AD mortality rates and CDC oral health data for both males and females.
State prevalence of any-stage PdD, and severe-stage PdD were found to correlate significantly with both age-adjusted AD prevalence and SCD prevalence. However, no significant associations were found between any-stage or severe-stage PdD prevalence and age-adjusted AD mortality rates. A plausible explanation for this seemingly contradictory finding may be due to confounding effects of P. gingivalis and other PdD pathogen-induced mortality from diseases of organ systems other than the CNS. For example, it has been established that in addition to brain, P. gingivalis can migrate to other systemic sites, such as the cardiovascular system and liver40,41. Several studies have reported the presence of PdD pathogens in coronary atheromatous plaques from myocardial infarction patients and all clinically normal areas of coronary and femoral arterial wall samples from patients with a history cardiovascular disease were found to be colonized by P gingivalis42,82. Furthermore, viable PdD pathogens have been cultured from atherosclerotic plaques83. Clinical and epidemiological studies have demonstrated that PdD contributes to increased mortality from heart failure, ischemic heart disease, peripheral vascular disease, stroke, cancer and pneumonia84–92. All of these conditions are also common in elderly patients afflicted with AD. Therefore, mortality due to myocardial infarction, stroke, cancer or pneumonia in a mildly or moderately affected AD patient would necessitate listing the official “cause of death” as an entity other than AD. This reasoning may help to explain why AD prevalence, but not AD mortality, is correlated with PdD prevalence.
The strongest state-by-state correlations existed between PdD (all-stage or severe-stage) prevalence and SCD prevalence. Because active PdD has been shown to result in continued cognitive decline in AD, aggressive PdD treatment may help to slow or reverse cognitive changes in younger patients with SCD. Once approved, another potential option could include treatment with oral gingipain inhibitors which have been shown to reduce CNS bacterial load, block Aβ production, reduce neuroinflammation, and rescue hippocampal neurons in a tissue culture and mouse model25.
Although not specific for PdD, U.S. state rankings from two independent oral health evaluation systems formulated by WalletHub.com and Toothbrush.org were compared to corresponding age-adjusted AD mortality rates, age-adjusted AD prevalence and SCD prevalence. There were significant correlations between WalletHub.com composite state oral health rankings and age-adjusted AD mortality rates, age-adjusted AD prevalence and SCD prevalence. Similarly, significant correlations were found between Toothbrush.org composite state oral health rankings and respective age-adjusted AD mortality rates and SCD prevalence. Given the multi-factorial parameters incorporated into these oral health rating systems, the significance of the associations between state oral health scores and corresponding AD and SCD state epidemiological data is remarkable. Similar state-based ranking scales including factors more specific to PdD-related oral health such as tooth loss, bleeding on probing testing, periodontal pocket depth and degree of gingival recession might be expected to generate even stronger correlations with AD and SCD epidemiological data.
The association between water fluoridation and age-adjusted AD mortality rates, AD prevalence and SCD prevalence was also examined. The addition of fluoride to public water supplies acts to reduce tooth decay and does not impact PdD93. The percent of state populations receiving fluoridated water varies across the U.S. We found no correlation between the percent of each state’s population served by water fluoridation and corresponding state AD or SCD data. This finding supports the hypothesis that the correlations between oral health metrics and AD data observed in this study are specific to PdD rather than other dental conditions such as caries.
There are limitations of the present study. Due to the disparate nature and sources of the data sets, it was impossible to control for, or adjust for all possible confounding variables, such as economic or educational status, medical comorbidities, ethnicity or age. In certain cases, similarly aged groups were directly compared (e.g.: CDC data regarding edentualism in adults aged 65 + v. AD mortality or prevalence) whereas in other cases, the dataset referred to adults of all-ages (e.g.: CDC data reporting percentage of adults visiting a dentist). Unfortunately, datasets adjusted for all possible confounding variables are simply not available. However, given the levels of significance of our findings, we contend that the adult datasets from high-risk (high mortality and/or prevalence) AD states represent populations that are at greater risk for developing AD or cognitive decline later in life.
Other limitations include the inability to conclusively attribute a clinical causation between PdD and AD, limited sample sizes of cross-sectional datasets relative to state populations, and possible inherent biases of the Toothbrush.org and WalletHub.com oral health rankings. Agreement between the results of the Toothbrush.org and Wallethub.com ranking scales based on Bland Altman analysis obviates some concerns regarding bias of either ranking system. Additionally, CDC data are self-reported and could be biased or inaccurate due to regional differences in survey-response behavioral patterns. However, the sampling of separate cohorts (i.e.: all adults v adults > 65 years and variability of questions (e.g.: dental visits v tooth loss), produced responses that consistently associate AD and SCD with poor oral health. Given these circumstances, it is unlikely that the correlations observed between AD data and CDC oral health data are due solely to regionally-related survey response bias. It is established that PdD is the main etiology underlying tooth loss in middle-aged and elderly adults, however, CDC oral health-related data sets would necessarily include other oral health-related etiologies of tooth loss in addition to PdD72. These conditions include trauma, caries, xerostomia, and chronic enamel erosion. One would expect that inclusion of non-PdD-related conditions would serve to confound, dilute and decrease associations between PdD and AD or SCD. However, despite the inability to exclude PdD-unrelated oral conditions from data sets, strong associations with AD and SCD data were still demonstrated. Additionally, several PdD-associated conditions such as stroke, ischemic heart disease, heart failure and peripheral vascular disease are also frequently encountered in AD patients. The presence or absence of any of these conditions could conceivably confound the results of the present study. Unfortunately, it was not possible to consider these effects as the cross-sectional epidemiological data available for this study did not include information on these comorbid conditions.
In conclusion, significant correlations between state age-adjusted AD mortality, age-adjusted AD prevalence, SCD prevalence and statewide indicators of poor oral health in the U.S were found. Because PdD is a modifiable risk factor, government and private insurance programs or initiatives that positively impact PdD prevalence and severity could substantially reduce the clinical, social and financial burden of AD.
Supplementary information
Acknowledgements
We would like to thank Susan B. Udin, Ph.D., Professor, Dept. of Physiology, University at Buffalo, Buffalo, NY, for her help in editing the manuscript.
Author contributions
W.J.S.: Study concept, data collection and analysis, writing, design of figures and tables. R.X.S.: Study concept, data collection, writing, statistical analysis.
Data availability
All data used available in public domain online. Original spreadsheet for data analysis submitted as supplementary material.
Competing interests
The authors declare no competing interests.
Footnotes
Publisher's note
Springer Nature remains neutral with regard to jurisdictional claims in published maps and institutional affiliations.
Supplementary information
is available for this paper at 10.1038/s41598-020-77937-8.
References
- 1.Kamer AR, Craig RG, Dasanayake AP, Brys M, Glodzik-Sobanska L, de Leon MJ. Inflammation and Alzheimer’s disease: possible role of periodontal diseases. Alzheimers Dement. 2008;4(4):242–250. doi: 10.1016/j.jalz.2007.08.004. [DOI] [PubMed] [Google Scholar]
- 2.Noble JM, Scarmeas N, Celenti RS, Elkind MS, Wright CB, Schupf N, Papapavou PN. Serum IgG antibody levels to periodontal microbiota are associated with incident Alzheimer disease. PLoS ONE. 2014;9(12):e114959. doi: 10.1371/journal.pone.0114959. [DOI] [PMC free article] [PubMed] [Google Scholar]
- 3.Gaur S, Agnihotri R. Alzheimer’s disease and chronic periodontitis: is there an association? Geriatr. Gerontol. 2015;15(4):391–404. doi: 10.1111/ggi.12425. [DOI] [PubMed] [Google Scholar]
- 4.Ide M, Harris M, Stevens A, Sussams R, Hopkins V, Cuilliford D, Fuller J, Ibbett P, Raybould R, Thomas R, Puenter U, Teeling J, Perry VH, Holmes C. Periodontitis and cognitive decline in Alzheimer’s disease. PLoS ONE. 2016;11(3):e0151081. doi: 10.1371/journal.pone.0151081. [DOI] [PMC free article] [PubMed] [Google Scholar]
- 5.Noble JM, Borrell LN, Papapanou PN, Elkind MS, Scarmeas N, Wright CB. Periodontitis is associated with cognitive impairment among older adults: analysis of NHANES-III. J. Neurol. Neurosurg. Psychiatry. 2009;80(11):1206–1211. doi: 10.1136/jnnp.2009.174029. [DOI] [PMC free article] [PubMed] [Google Scholar]
- 6.Leira Y, Dominguez C, Seoane J, Seoane-Romero J, Pias-Peleteiro JM, Takkouche B, Blanco J, Aldrey JM. Is periodontal disease associated with Alzheimer’s disease? A systematic review with meta-analysis. Neuroepidemiology. 2017;48(1–2):21–31. doi: 10.1159/000458411. [DOI] [PubMed] [Google Scholar]
- 7.Chen CK, Wu YT, Chang YC. Association between chronic periodontitis and the risk of Alzheimer’s disease: a retrospective, population-based, matched-cohort study. Alzheimers Res. Ther. 2017;9(1):56. doi: 10.1186/s13195-017-0282-6. [DOI] [PMC free article] [PubMed] [Google Scholar]
- 8.Singhrao SK, Olsen I. Assessing the role of Porphyromonas gingivalis in periodontitis to determine a causative relationship with Alzheimer’s disease. J. Oral Microbiol. 2019;11(1):1563405. doi: 10.1080/20002297.2018.1563405. [DOI] [PMC free article] [PubMed] [Google Scholar]
- 9.Itzhaki RF, Lathe R, Balin BJ, Ball MJ, Bearer EL, Braak H, Bullido MJ, Carter C, Clerici M, Cosby SL, Del Tredici K, Field H, Fulop T, Grassi C, Griffin WS, Haas J, Hudson AP, Kamer AR, Kell DB, Licastro F, Letenneur L, Lovheim H, Mancuso R, Miklossy J, Otth C, Palamara AT, Perry G, Preston C, Pretorius E, Strandberg T, Tabet N, Taylor-Robinson SD, Whittum-Hudson JA. Microbes and Alzheimer’s disease. J. Alzheimers Dis. 2016;51(4):979–984. doi: 10.3233/JAD-160152. [DOI] [PMC free article] [PubMed] [Google Scholar]
- 10.Fulop T, Witkowski JM, Bourgade K, Khalil A, Zerif E, Larbi A, Hirokawa K, Pawelec G, Bocti C, Lacombe G, Dupuis G, Frost EH. Can an infection hypothesis explain the beta amyloid hypothesis of Alzheimer’s? Front. Aging Neurosci. 2018;10:224. doi: 10.3389/fnagi.2018.00224. [DOI] [PMC free article] [PubMed] [Google Scholar]
- 11.Sochocka M, Zwolinska K, Leszek J. The infectious etiology of Alzheimer’s disease. Curr. Neuropharmacol. 2017;15(7):996–1009. doi: 10.2174/1570159X15666170313122937. [DOI] [PMC free article] [PubMed] [Google Scholar]
- 12.Kitazawa M, Oddo S, Yamasaki TR, Green KN, LaFerla FM. Lipopolysaccharide-induced inflammation exacerbates tau pathology by a cyclin-dependent kinase 5-mediated pathway in a transgenic model of Alzheimer’s disease. J. Neurosci. 2005;25(39):8843–8853. doi: 10.1523/JNEUROSCI.2868-05.2005. [DOI] [PMC free article] [PubMed] [Google Scholar]
- 13.Lee DC, Rizer J, Selenica ML, Reid P, Kraft C, Johnson A, Blair L, Gordon MN, Dickey CA, Morgan D. LPS-induced inflammation exacerbates phosphor-tau pathology in rTg4510 mice. J. Neuroinflammation. 2010;7:56. doi: 10.1186/1742-2094-7-56. [DOI] [PMC free article] [PubMed] [Google Scholar]
- 14.Kumar A, Singh A, Ekavali A review on Alzheimer’s disease pathophysiology and its management: an update. Pharmacol. Rep. 2015;67(2):195–203. doi: 10.1016/j.pharep.2014.09.004. [DOI] [PubMed] [Google Scholar]
- 15.Krstic D, Knuesel I. Deciphering the mechanism underlying late-onset Alzheimer’s disease. Nat. Rev. Neurol. 2013;9(1):25–34. doi: 10.1038/nrneurol.2012.236. [DOI] [PubMed] [Google Scholar]
- 16.Soscia SJ, Kirby JE, Washicosky KJ, Tucker SM, Ingelsson M, Hyman B, Burton MA, Goldstein LE, Duong S, Tanzi RE, Moir RD. The Alzheimer’s disease-associated amyloid β-protein is an antimicrobial peptide. PLoS ONE. 2010;5(3):e9505. doi: 10.1371/journal.pone.0009505. [DOI] [PMC free article] [PubMed] [Google Scholar]
- 17.Chauhan A, Ray I, Chauhan VP. Interaction of amyloid beta-protein with anionic phospholipids: possible involvement of Lys28 and C-terminus aliphatic amino acids. Neurochem. Res. 2000;25(3):423–429. doi: 10.1023/A:1007509608440. [DOI] [PubMed] [Google Scholar]
- 18.Kumar DK, Choi SH, Washicosky KJ, Elmer WA, Tucker S, Ghofrani J, Lefkowitz A, McColl G, Goldstein LE, Tanzi RE, Moir RD. Amyloid-β peptide protects against microbial infection in mouse and worm models of Alzheimer’s disease. Sci. Transl. Med. 2016;8(34):340–372. doi: 10.1126/scitranslmed.aaf1059. [DOI] [PMC free article] [PubMed] [Google Scholar]
- 19.Ilievski V, Zuchowska PK, Green SJ, Toth PT, Ragozzino ME, Le K, Aljewari HW, O’Brien-Simpson NM, Reynolds EC, Watanabe K. Chronic oral application of a periodontal pathogen results in brain inflammation, neurodegeneration and amyloid beta production in wild type mice. PLoS ONE. 2018;13(10):e0204941. doi: 10.1371/journal.pone.0204941. [DOI] [PMC free article] [PubMed] [Google Scholar]
- 20.Eimer WA, Vijava Kumar DK, Navalpur Shanmugam NK, Rodrieguez AS, MitchellT WKJ, Gyorgy B, Breakefield XO, Tanzi RE, Moir RD. Alzheimer’s disease-associated β-amyloid is rapidly seeded by herpesviridae to protect against brain infection. Neuron. 2018;99(1):56–63. doi: 10.1016/j.neuron.2018.06.030. [DOI] [PMC free article] [PubMed] [Google Scholar]
- 21.Bourgade K, LePage A, Bocti C, Witkowski JM, Dupuis G, Frost EH, Fulop T. Protective effect of amyloid-β peptides against herpes simplex virus-1 infection in a neuronal cell culture model. J. Alzheimers Dis. 2016;50(4):1227–1241. doi: 10.3233/JAD-150652. [DOI] [PubMed] [Google Scholar]
- 22.White MR, Kandel R, Tripathi S, Condon D, Qi L, Taubenberger J, Hartshorn KL. Alzheimer’s associated b-amyloid protein inhibits influenza A virus and modulates viral interactions with phagocytes. PLoS ONE. 2014;9(7):e101364. doi: 10.1371/journal.pone.0101364. [DOI] [PMC free article] [PubMed] [Google Scholar]
- 23.Sheng JG, Bora SH, Xu G, Borchelt DR, Price DL, Koliatsos VE. Lipopolysaccharide-induced neuroinflammation increases intracellular accumulation of amyloid precursor protein and amyloid beta peptide in APPswe transgenic mice. Neurobiol. Dis. 2003;14(1):133–145. doi: 10.1016/S0969-9961(03)00069-X. [DOI] [PubMed] [Google Scholar]
- 24.Lee JW, Lee YK, Yuk DY, Choi DY, Ban SB, Oh KW, Hong JT. Neuro-inflammation induced by lipopolysaccharide causes cognitive impairment through enhancement of beta-amyloid generation. J. Neuroinflammation. 2008;5:37. doi: 10.1186/1742-2094-5-37. [DOI] [PMC free article] [PubMed] [Google Scholar]
- 25.Dominy SS, Lynch C, Ermini F, Nenedyk M, Marczyk A, Konradi A, Nguyen M, Haditsch U, Raha D, Griffin C, Holsinger LJ, Arastu-Kapur S, Kaba S, Lee A, Ryder MI, Potempa B, Mydel P, Hellvard A, Adamowicz K, Hastruk H, Walker GD, Reynolds EC, Faull RL, Curtis MA, Dragunow M, Potempa J. Porphyromonas gingivalis in Alzheimer’s disease brains: evidence for direct causation and treatment with small-molecule inhibitors. Sci. Adv. 2019;5(1):3333. doi: 10.1126/sciadv.aau3333. [DOI] [PMC free article] [PubMed] [Google Scholar]
- 26.Thurgur H, Pinteaux E. Microglia in the neurovascular unit: blood-brain barrier-microglia interactions after central nervous system disorders. Neuroscience. 2019;405:55–67. doi: 10.1016/j.neuroscience.2018.06.046. [DOI] [PubMed] [Google Scholar]
- 27.Diaz-Zuniga J, Munoz Y, Melgar-Rodriguez S, More J, Bruna B, Lobos P, Monasterio G, Vernal R, Paula-Lima A. Serotype b of Aggregatibacter actinomycetemcomitans triggers pro-inflammatory responses and amyloid beta secretion in hippocampal cells: a novel link between periodontitis and Alzheimer’s disease? J. Oral. Microbiol. 2019;11(1):1586423. doi: 10.1080/20002297.2019.1586423. [DOI] [PMC free article] [PubMed] [Google Scholar]
- 28.Teixeira FB, Saito MT, Matheus FC, Prediger RD, Yamada ES, Maia CSF, Lima RR. Periodontitis and Alzheimer’s disease: a possible comorbidity between oral chronic inflammatory condition and neuroinflammation. Front. Aging Neurosci. 2017;9:327. doi: 10.3389/fnagi.2017.00327. [DOI] [PMC free article] [PubMed] [Google Scholar]
- 29.Block ML, Hong JS. Microglia and inflammation-mediated neurodegeneration: multiple triggers with a common mechanism. Prog. Neurobiol. 2005;76(2):77–98. doi: 10.1016/j.pneurobio.2005.06.004. [DOI] [PubMed] [Google Scholar]
- 30.Cestari JA, Fabri GM, Kalil J, Nitrini R, Jacob-Filho W, de Siqueira JT, de Siqueira SR. Oral infections and cytokine levels in patients with Alzheimer’s disease and mild cognitive impairment compared with controls. J. Alzheimers Dis. 2016;52(4):1479–1485. doi: 10.3233/JAD-160212. [DOI] [PubMed] [Google Scholar]
- 31.Wu Z, Nakanishi H. Connection between periodontitis and Alzheimer’s disease: possible roles of microglia and leptomeningeal cells . Pharmacol. Sci. 2014;126(1):8–13. doi: 10.1254/jphs.14R11CP. [DOI] [PubMed] [Google Scholar]
- 32.Cunningham C, Hennessey E. Co-morbidity and systemic inflammation as drivers of cognitive decline: new experimental models adopting a broader paradigm in dementia research. Alzheimers Res. Ther. 2015;7(1):33. doi: 10.1186/s13195-015-0117-2. [DOI] [PMC free article] [PubMed] [Google Scholar]
- 33.Wu Z, Tokuda Y, Zhang XW, Nakanishi H. Age-dependent responses of glial cells and leptomeninges during systemic inflammation. Neurobiol. Dis. 2008;32(3):543–551. doi: 10.1016/j.nbd.2008.09.002. [DOI] [PubMed] [Google Scholar]
- 34.Liu X, Wu Z, Hayashi Y, Nakanishi H. Age-dependent neuroinflammatory responses and deficits in long-term potentiation in the hippocampus during systemic inflammation. Neuroscience. 2012;216:133–142. doi: 10.1016/j.neuroscience.2012.04.050. [DOI] [PubMed] [Google Scholar]
- 35.Page RC. Kornman KS (1997) The pathogenesis of human periodontitis: an introduction. Periodontol. 2000;14:9–11. doi: 10.1111/j.1600-0757.1997.tb00189.x. [DOI] [PubMed] [Google Scholar]
- 36.Herbert BA, Novince CM, Kirkwood KL. Aggregatibacter actinomycetemcomitans, a potent immunoregulator of the periodontal host defense system and alveolar bone homeostasis. Mol. Oral Microbiol. 2016;31(3):207–227. doi: 10.1111/omi.12119. [DOI] [PMC free article] [PubMed] [Google Scholar]
- 37.Armitage GC. Development of a classification system for periodontal diseases and conditions. Ann. Periodontol. 1999;4(1):1–6. doi: 10.1902/annals.1999.4.1.1. [DOI] [PubMed] [Google Scholar]
- 38.Bansal T, Dhruvakumar D, Pandey A. Comparative evaluation of C-reactive protein in peripheral blood of patients with healthy gingival, gingivitis and chronic periodontitis: a clinical and particle-enhanced turbidometric immune-analysis. J. Indian Soc. Periodontol. 2014;18(6):739–743. doi: 10.4103/0972-124X.147410. [DOI] [PMC free article] [PubMed] [Google Scholar]
- 39.Forner L, Larsen T, Kilian M, Holmstrup P. Incidence of bacteremia after chewing, tooth brushing and scaling in individuals with periodontal inflammation. J. Clin. Periodontol. 2006;33(6):401–407. doi: 10.1111/j.1600-051X.2006.00924.x. [DOI] [PubMed] [Google Scholar]
- 40.Mahendra J, Mahendra L, Kurian VM, Jaishankar K, Mythilli R. Prevalence of periodontal pathogens in coronary atherosclerotic plaque of patients undergoing coronary artery bypass graft surgery. J. Maxillofac. Oral Surg. 2009;8(2):108–113. doi: 10.1007/s12663-009-0028-5. [DOI] [PMC free article] [PubMed] [Google Scholar]
- 41.Ishikawa M, Yoshida K, Okamura H, Ochiai K, Takamura H, Fujiwara N. Ozaki K (2013) Oral Porphyromonas gingivalis translocates to the liver and regulates hepatic glycogen synthesis through the Akt/GSK-3 signaling pathway. Biochim. Biophys. Acta. 1832;12:2035–2043. doi: 10.1016/j.bbadis.2013.07.012. [DOI] [PubMed] [Google Scholar]
- 42.Mougeot JC, Stevens CB, Paster BJ, Brennan MT, Lockhart PB, Mougeot FKB. Porphyromonas gingivalis is the most abundant species detected in coronary and femoral arteries. J. Oral Microbiol. 2017;9(1):1281562. doi: 10.1080/20002297.2017.1281562. [DOI] [PMC free article] [PubMed] [Google Scholar]
- 43.Singhrao SK, Olsen I. Are Porphyromonas gingivalis outer membrane vesicles microbullets for sporadic Alzheimer’s disease manifestation? J. Alzheimers Dis. Rep. 2018;2(1):219–228. doi: 10.3233/ADR-180080. [DOI] [PMC free article] [PubMed] [Google Scholar]
- 44.Wu H, Moser C, Wang HZ, Hoiby N, Song ZJ. Strategies for combating bacterial biofilm infections. Int. J. Oral Sci. 2015;7(1):1–7. doi: 10.1038/ijos.2014.65. [DOI] [PMC free article] [PubMed] [Google Scholar]
- 45.Poole S, Singhrao SK, Kesavalu L, Curtis MA, Crean S. Determining the presence of periodontopathic virulence factors in short-term postmortem Alzheimer’s disease brain tissue. J. Alzheimers Dis. 2013;36(4):665–677. doi: 10.3233/JAD-121918. [DOI] [PubMed] [Google Scholar]
- 46.Sparks Stein P, Steffen MJ, Smith C, Jicha G, Ebersole JL, Abner E, Dawson D. Serum antibodies to periodontal pathogens are a risk factor for Alzheimer’s disease. Alzheimers Dement. 2012;8(3):196–203. doi: 10.1016/j.jalz.2011.04.006. [DOI] [PMC free article] [PubMed] [Google Scholar]
- 47.Kamer AR, Craing RG, Pirraglia E, Dasanayake AP, Norman RG, Boylan RJ, Nehorayoff A, Glodzik L, Brys M, de Leon MJ. TNF-alpha and antibodies to periodontal bacteria discriminate between Alzheimer’s disease patients and normal subjects. J. Neuroimmunol. 2009;216(1–2):92–97. doi: 10.1016/j.jneuroim.2009.08.013. [DOI] [PMC free article] [PubMed] [Google Scholar]
- 48.Riviere GR, Riviere KH, Smith KS. Molecular and immunological evidence of Treponema in the human brain and their association with Alzheimer’s disease. Oral Microbiol. Immunol. 2002;17(2):113–118. doi: 10.1046/j.0902-0055.2001.00100.x. [DOI] [PubMed] [Google Scholar]
- 49.Olsen I, Singhrao SK. Can oral infection be a risk factor for Alzheimer’s disease? J. Oral Microbiol. 2015;7:29143. doi: 10.3402/jom.v7.29143. [DOI] [PMC free article] [PubMed] [Google Scholar]
- 50.Miklossy J. Alzheimer’s disease: a neurospirochetosis. Analysis of the evidence following Koch’s and Hill’s criteria. J. Neuroinflammation. 2011;8:90. doi: 10.1186/1742-2094-8-90. [DOI] [PMC free article] [PubMed] [Google Scholar]
- 51.Jessen F, Amariglio RE, van Boxtel M, Breteler M, Ceccaldi M, Chételat G, Dubois B, Dufouil C, Ellis KA, van der Flier W, Glodzik L, van Harten AC, de Leon MJ, McHugh P, Mielke MM, Molinuevo JL, Mosconi L, Osorio RS, Perrotin A, Peterson RC, Rabin LA, Rami L, Reisberg B, Rentz DM, Sachdev PS, de la Sayette V, Saykin AJ, Scheltens P, Shulman MB, Slavin MJ, Sperling RA, Stewart R, Uspenskaya O, Vellas B, Visser PJ, Wagner M. A conceptual framework for research on subjective cognitive decline in preclinical Alzheimer’s disease. Alzheimer’s Dement. 2014;10(6):844–852. doi: 10.1016/j.jalz.2014.01.001. [DOI] [PMC free article] [PubMed] [Google Scholar]
- 52.Reisberg B, Ferris SH, deLeon MJ, Crook T. The global deterioration scale for assessment of primary degenerative dementia. Am. J. Psychiatr. 1982;139(9):1136–1139. doi: 10.1176/ajp.139.9.1136. [DOI] [PubMed] [Google Scholar]
- 53.Mizuno A, Ly M, Aizenstein HJ. A homeostatic model of subjective cognitive decline. Brain Sci. 2018;8:12. doi: 10.3390/brainsci8120228. [DOI] [PMC free article] [PubMed] [Google Scholar]
- 54.Mitchell AJ, Beaumont H, Ferguson D, Yadeqarfar M, Stubbs B. Risk of dementia and mild cognitive impairment in older people with subjective memory complaints: meta-analysis. Acta Psychiatr. Scand. 2014;130(6):439–451. doi: 10.1111/acps.12336. [DOI] [PubMed] [Google Scholar]
- 55.Rabin LA, Smart CM, Amariglio RE. Subjective cognitive decline in preclinical Alzheimer’s disease. Annu. Rev. Clin. Psychol. 2017;13:369–396. doi: 10.1146/annurev-clinpsy-032816-045136. [DOI] [PubMed] [Google Scholar]
- 56.Rodda JE, Dannhauser TM, Cutinha DJ, Shergill SS, Walker Z. Subjective cognitive impairment: increased prefrontal cortex activation compared to controls during an encoding task. Int. J. Geriatr. Psychiatry. 2009;24(8):865–874. doi: 10.1002/gps.2207. [DOI] [PubMed] [Google Scholar]
- 57.Amariglio RE, Becker JA, Carmasin J, Wadsworth LP, Lorius N, Sullivan C, Maye JE, Gidicsin C, Pepin LC, Sperling RA, Johnson KA, Rentz DM. Subjective cognitive complaints and amyloid burden in cognitively normal older adults. Neuropsychologica. 2012;50(12):2880–2886. doi: 10.1016/j.neuropsychologia.2012.08.011. [DOI] [PMC free article] [PubMed] [Google Scholar]
- 58.Perrotin A, Mormino EC, Madison CM, Hayenga AO, Jaqust WJ. Subjective cognition and amyloid deposition imaging: a Pittsburgh Compound B positron emission tomography study in normal elderly adults. Arch. Neurol. 2012;69(2):223–229. doi: 10.1001/archneurol.2011.666. [DOI] [PMC free article] [PubMed] [Google Scholar]
- 59.Snitz BE, Weissfeld LA, Cohen AD, Lopez OL, Nebes RD, Aizenstein HJ, McDade E, Price JC, Mathis CA, Klunk WE. Subjective cognitive complaints, personality and brain amyloid-beta in cognitively normal older adults. Am. J. Geriatr. Psychiatry. 2015;23(9):985–993. doi: 10.1016/j.jagp.2015.01.008. [DOI] [PMC free article] [PubMed] [Google Scholar]
- 60.Vogel JW, Varga Dolezalova M, La Joie R, Marks SM, Schwimmer HD, Landau SM, Jagust WJ. Subjective cognitive decline and b-amyloid burden predict cognitive change in healthy elderly. Neurology. 2017;89(19):2002–2009. doi: 10.1212/WNL.0000000000004627. [DOI] [PMC free article] [PubMed] [Google Scholar]
- 61.Martande SS, Pradeep AR, Singh SP, Kumari M, Suke DK, Raju AP, Naik SB, Singh P, Guruprasad CN, Chatterji A. Periodontal health condition in patients with Alzheimer’s disease. Am. J. Alzheimers Dis. Other Dement. 2014;29(6):498–502. doi: 10.1177/1533317514549650. [DOI] [PMC free article] [PubMed] [Google Scholar]
- 62.Kim DH, Jeong SN, Lee JH. Severe periodontitis with tooth loss as a modifiable risk factor for the development of Alzheimer, vascular, and mixed dementia: National Health Insurance Service: National Health Screening cohort . Periodontal Implant. Sci. 2020;50(5):303–312. doi: 10.5051/jpis.2000600030. [DOI] [PMC free article] [PubMed] [Google Scholar]
- 63.de OliveiraAraujo R, Villoria GEM, Luiz RR, Esteves JC, Leao ATT, Feres-Filho EJ. Association between periodontitis and Alzheimer’s disease and its impact on the self-perceived oral health status: a case-control study. Clin. Oral. Investig. 2020;5:2. doi: 10.1007/s00784-020-03489-w. [DOI] [PubMed] [Google Scholar]
- 64.Zhang S, Yang F, Wang Z, Qian X, Ji Y, Gong L, Ge S, Yan F. Poor oral health conditions and cognitive decline: Studies in humans and rats. PLoS ONE. 2020;15(7):e0234659. doi: 10.1371/journal.pone.0234659. [DOI] [PMC free article] [PubMed] [Google Scholar]
- 65.Ryder MI. Porphyromonas gingivalis and Alzheimer disease: Recent findings and potential therapies. J. Periodontal. 2020;91(Suppl 1):S45–S49. doi: 10.1002/JPER.20-0104. [DOI] [PMC free article] [PubMed] [Google Scholar]
- 66.Holmer J, Eriksdotter M, Schultzberg M, Pussinen PJ, Buhlin K. Association between periodontitis and risk of Alzheimer’s disease, mild cognitive impairment and subjective cognitive decline: a case-control study. J. Clin. Periodontol. 2018;45(11):1287–1298. doi: 10.1111/jcpe.13016. [DOI] [PubMed] [Google Scholar]
- 67.Center for Disease Control and Prevention (CDC) National Center for Health Statistics (2016). https://www.cdc.gov/nchs/pressroom/sosmap/alzheimers_mortality/alzheimers_disease.htm. Accessed 31 Dec 2019.
- 68.Koller D, Bynum JPW. Dementia in the USA: State variation in prevalence. J. Public Health. 2015;37(4):597–604. doi: 10.1093/pubmed/fdu080. [DOI] [PMC free article] [PubMed] [Google Scholar]
- 69.Taylor CA, Bouldin ED, Mcguire LC. Subjective cognitive decline among adults aged > 45 years: United States, 2015–2016. MMWR Morb. Mortal. Wkly. Rep. 2018;67:753–757. doi: 10.15585/mmwr.mm6727a1. [DOI] [PMC free article] [PubMed] [Google Scholar]
- 70.Center for Disease Control and Prevention (CDC) Oral health Data 2016 (2016) https://www.cdc.gov/oralhealthdata/. Accessed 18 Dec 2019.
- 71.Eke PI, Zhang X, Lu H, Wei L, Thornton-Evans G, Greenlund KJ, Holt JB, Croft JB. Predicting periodontitis at state and local levels in the United States. J. Dent. Res. 2016;95(5):515–522. doi: 10.1177/0022034516629112. [DOI] [PMC free article] [PubMed] [Google Scholar]
- 72.Office of Disease Prevention and Health Promotion, State-level data (2014) Population served by community water systems with optimally fluoridated water in 2014 (percent). Accessed 18 Dec 2019.
- 73.McCann A. (2018) States the best & worst dental health. https://wallethub.com/edu/states-with-best-worst-dental-health/31498/#methodology. Accessed 18 Dec 2019.
- 74.Toothbrush.org. (2019) Which states have the best oral health in 2019? https://www.toothbrush.org/us-oralhealth/#1522615299403-de84557e-4a32. Accessed 18 Dec 2019.
- 75.Bishara AJ, Hittner JB. Testing the significance of a correlation with non-normal data: comparison of Pearson, Spearman, transformation, and resampling approaches. Psychol. Method. 2012;17:399–417. doi: 10.1037/a0028087. [DOI] [PubMed] [Google Scholar]
- 76.Klock KS, Haugejorden O. Primary reasons for extraction of permanent teeth in Norway: changes from 1968 to 1988. Community Dent. Oral Epidemiol. 1991;19(6):336–341. doi: 10.1111/j.1600-0528.1991.tb00183.x. [DOI] [PubMed] [Google Scholar]
- 77.Kondo K, Niino M, Shido K. A case-control study of Alzheimer’s disease in Japan: significance of lifestyles. Dementia. 1994;5(6):314–326. doi: 10.1159/000106741. [DOI] [PubMed] [Google Scholar]
- 78.Stein PS, Desrosiers M, Donegan SJ, Yepes JF, Kryscio RJ. Tooth loss, dementia and neuropathology in the nun study. J Am Dent Assoc. 2007;138(10):1314–1322. doi: 10.14219/jada.archive.2007.0046. [DOI] [PubMed] [Google Scholar]
- 79.Dioguardi M, Gioia GD, Caloro GA, Capocasale G, Zhurakivska K, Troiano G, Lo Russo L, Lo Muzio L. The association between tooth loss and Alzheimer’s disease: a systemic review with meta-analysis of case control studies. Dent. J. 2019;7:2. doi: 10.3390/dj7020049. [DOI] [PMC free article] [PubMed] [Google Scholar]
- 80.Takeuchi K, Ohara T, Furuta M, Takeshita T, Shibata Y, Hata J, Yoshida D, Yamashita Y, Ninomiya T. Tooth loss and risk of dementia in the community: the Hisayama study. J. Am. Geriatr. Soc. 2017;65(5):e95–e100. doi: 10.1111/jgs.14791. [DOI] [PubMed] [Google Scholar]
- 81.Oue H, Miyamoto Y, Koretake K, Okada S, Doi K, Jung CG, Michikawa M, Akagawa Y. Tooth loss might not alter molecular pathogenesis in an aged transgenic Alzheimer’s disease model mouse. Gerodontol. 2016;33(3):308–314. doi: 10.1111/ger.12153. [DOI] [PubMed] [Google Scholar]
- 82.Joshi C, Bapat R, Anderson W, Dawson D, Hijazi K, Cherukara G. Detection of periodontal microorganisms in coronary atheromatous plaque specimens of myocardial infarction patients: a systematic review and meta-analysis. Trends Cardiovasc. Med. 2019;19:30175–30176. doi: 10.1016/j.tcm.2019.12.005. [DOI] [PubMed] [Google Scholar]
- 83.Kozarov EV, Dorn BR, Shelburne CE, Dunn WA, Progulske-Fox A. Human atherosclerotic plaque contains viable invasive Actinobacillus actinomycetemcomitans and Porphyromonas gingivalis. Arteroscler. Thromb. Vasc. Biol. 2005;25(3):e17–18. doi: 10.1161/01.ATV.0000155018.67835.1a. [DOI] [PubMed] [Google Scholar]
- 84.Lee HU, Choi EK, Park JB, Han KD, Oh S. Tooth loss predicts myocardial infarction, heart failure, stroke and death. J. Dent. Res. 2019;98(2):164–170. doi: 10.1177/0022034518814829. [DOI] [PubMed] [Google Scholar]
- 85.Watt RG, Tsakos G, de Oliveira C, Hamer M. Tooth loss and cardiovascular disease mortality risk: results from the Scottish Health Survey. PLoS ONE. 2012;7(2):e30797. doi: 10.1371/journal.pone.0030797. [DOI] [PMC free article] [PubMed] [Google Scholar]
- 86.Janket SJ, Baird AE, Chuang SK, Jones JA. Meta-analysis of periodontal disease and risk of coronary heart disease and stroke. Oral Surg. Oral Med. Oral Pathol. Oral Radiol. Endod. 2003;95(5):559–569. doi: 10.1067/moe.2003.107. [DOI] [PubMed] [Google Scholar]
- 87.Bahekar AA, Singh S, Saha S, Molnar J, Arora R. The prevalence and incidence of coronary heart disease is significantly increased in periodontitis: a meta-analysis. Am. Heart J. 2007;154(5):830–837. doi: 10.1016/j.ahj.2007.06.037. [DOI] [PubMed] [Google Scholar]
- 88.Humphrey LL, Fu R, Buckley DI, Freeman M, Halfand M. Periodontal disease and coronary heart disease incidence: a systemic review and meta-analysis. J. Gen. Intern. Med. 2008;23(12):2079–2086. doi: 10.1007/s11606-008-0787-6. [DOI] [PMC free article] [PubMed] [Google Scholar]
- 89.Wu T, Trevisan M, Genco RJ, Dorn JP, Falkner KL, Sempos CT. Periodontal disease and risk of cerebrovascular disease: the first national healthand nutrition examination survey and its follow-up study. Arch. Inten. Med. 2000;160(18):2749–2755. doi: 10.1001/archinte.160.18.2749. [DOI] [PubMed] [Google Scholar]
- 90.Joshy G, Arora M, Korda RJ, Chalmers J, Banks E. Is poor oral health a risk marker for incident cardiovascular disease hospitalization and all-cause mortality? Findings from 172630 participants from the prospective 45 and Up Study. BMJ Open. 2016;6(8):e012386. doi: 10.1136/bmjopen-2016-012386. [DOI] [PMC free article] [PubMed] [Google Scholar]
- 91.Jansson L, Kalkali H, Mulk Niazi F. Mortality rate and oral health: a cohort study over 44 years in the county of Stockholm. Acta Odont. Scand. 2018;76(4):299–304. doi: 10.1080/00016357.2018.1423576. [DOI] [PubMed] [Google Scholar]
- 92.Iwasaki M, Taylor GW, Awano S, Yoshida A, Kataoka S, Ansai T, Nakamura H. Periodontal disease and pneumonia mortality in haemodialysis patients: a 7-year cohort study. J. Clin. Periodontol. 2018;4(1):38–45. doi: 10.1111/jcpe.12828. [DOI] [PubMed] [Google Scholar]
- 93.Centers for Disease Control and Prevention Recommendations for using fluoride to prevent and control dental caries in the United States. MMWR Recomm Rep. 2001;50(14):1–42. [PubMed] [Google Scholar]
Associated Data
This section collects any data citations, data availability statements, or supplementary materials included in this article.
Supplementary Materials
Data Availability Statement
All data used available in public domain online. Original spreadsheet for data analysis submitted as supplementary material.



