Abstract
There has been a recent surge of interest and progress in creating subwavelength free-space optical potentials for ultracold atoms. A key open question is whether geometric potentials, which are repulsive and ubiquitous in the creation of subwavelength free-space potentials, forbid the creation of narrow traps with long lifetimes. Here, we show that it is possible to create such traps. We propose two schemes for realizing subwavelength traps and demonstrate their superiority over existing proposals. We analyze the lifetime of atoms in such traps and show that long-lived bound states are possible. This work allows for subwavelength control and manipulation of ultracold matter, with applications in quantum chemistry and quantum simulation.
Coherent manipulation of atoms using light is at the heart of cold-atom-based quantum technologies such as quantum information processing and quantum simulation [1,2]. The most commonly used methods to trap atoms optically are based on the ac-Stark shift induced in a two-level system by an off-resonant laser field, which provides a conservative potential that is proportional to laser intensity. The spatial resolution of such a trapping potential is diffraction limited, unless operated near surfaces [3–8]. In contrast, a three-level system with two coupling fields offers more flexibility and can generate a subwavelength optical potential even in the far field: although the intensity profiles of both laser beams involved are diffraction limited, the internal structure of the state can change in space on length scales much shorter than the wavelength λ of the lasers [9–20]. Such a subwavelength internal-state structure can lead to subwavelength potentials either by creating spatially varying sensitivity to a standard ac-Stark shift [21–23] or by inducing a conservative subwavelength geometric potential [24–26].
Subwavelength traps can be useful in atom-based approaches to quantum information processing [27,28], anyon braiding [29], and quantum materials engineering, as well as for efficient loading into traps close to surfaces [3–8]. The use of dynamically adjustable subwavelength tweezers [30,31], in which atoms can be brought together and apart, can also enable controlled ultracold quantum chemistry [32–34].
To trap atoms on a subwavelength scale, the optical potential must provide a local minimum. The geometric scalar potential associated with a laser-induced internal-state structure is always repulsive and increases in magnitude as its spatial extent is reduced. This repulsive contribution must be considered when engineering attractive subwavelength optical potentials. A trap based on the combination of ac-Stark shift and subwavelength localization [9–16,35–55] within a three-level system was proposed in Ref. [21], but the geometric potentials arising from nonadiabatic corrections to the Born-Oppenheimer approximation [24,25] were not considered. In this paper, we show that even with the repulsive nonadiabatic corrections, attractive subwavelength potentials are still possible. We also propose two alternative schemes for the generation of traps that offer longer trapping times as compared to the approach of Ref. [21]. We analyze the performance of all three approaches and show that 14-nm-wide traps offering 100-ms trapping times are feasible. Compared with near-field methods, our far-field approach not only avoids losses and decoherence mechanisms associated with proximity to surfaces, but also provides more flexibility in time-dependent control of the shape and position of the trapping potentials [56] and, additionally, works not only in one and two dimensions but also in three dimensions.
I. MODEL
We start with a single-atom Hamiltonian,
| (1) |
where m is the mass, p is the momentum, and Hal describes the atom-light interaction. We consider three schemes shown in Fig. 1: (a) electromagnetically induced transparency (EIT), (b) blue-detuned ac-Stark, and (c) red-detuned ac-Stark [21]. For the EITscheme ,
| (2) |
in the basis of bare atomic states {|r〉, |g〉 |e〉}, where 2Ωp and 2Ωc(x) are Rabi frequencies of a spatially homogeneous probe field and a spatially varying control field, respectively. For the two ac-Stark schemes, in the limit of large single-photon detuning |Δ| ≫ Ωc(x), Ωp, |δ| [see Figs. 1(b) and 1(c)], the intermediate state |e〉 can be adiabatically eliminated, resulting in an effective two-state Hamiltonian,
| (3) |
in the {|r〉, |g〉} basis.
FIG. 1.
(a) Level diagram for the EITscheme, showing a spatially homogeneous field Ωp (solid blue bar) and a spatially varying field (red bar with gradient). Γ is the linewidth of the excited state. (b) Level diagram for the blue-detuned ac-Stark scheme. The intermediate state |r〉 is dressed by coupling it to the excited state |e〉 with a spatially dependent and a large detuning Δ ≫ Ωc, which gives rise to a light shift of state |r〉. The ground state |g〉 is coupled to state |r〉 with a spatially uniform Ωp and detuning δ = 0. (c) Level diagram for the red-detuned ac-Stark scheme [21]. The difference from panel (b) is that is maximal at x = 0 and that |Δ|≫ Ωc, δ now indicates the amount of red detuning. Moreover, the detuning is chosen to exactly compensate for the light shift of |r〉 at x = 0. (a’, b’) Sketches of the relevant eigenstates (an atom depicted by a green ball is trapped in the blue potential): (a’) for the (a) scheme; (b’) for the (b) scheme, which for x < w is equivalent to the (c) scheme. Although E± are diffraction limited, E0 has a subwavelength shape characterized by the width w, which can be expressed using the enhancement factor defined as s = σ/w.
Within the Born-Oppenheimer approximation, we first diagonalize Hal, which leads to position-dependent eigenstates. Nonadiabatic corrections give rise to geometric scalar U and vector A potentials, defined as and , where R is a unitary operator diagonalizing Hal [24,25]. The resulting Hamiltonian is given by . Below, we focus on the potential R†HalR + U(x) experienced by three-level atoms under three different schemes.
II. EIT SCHEME
In Refs. [24–26], subwavelength barriers were considered in the EITconfiguration assuming two-photon resonance, i.e., δr = 0 in Fig. 1(a). The approximate dark state |D〉 ∝ Ωc(x)|g〉 − Ωp|r〉 then experiences only a repulsive geometric potential 〈D|U|D〉. On the other hand, in the presence of a finite detuning δr for state |r〉, the dark state |D〉 can acquire a negative energy shift E0(x) with an absolute value greater than the positive geometric potential. Moreover, we see that, as we move from large to small x, the state |D〉 changes its character from |g〉 to |r〉 at x = w defined via Ωc(w) = Ωp. Therefore, for Ω0 ≫ Ωp, we can engineer subwavelength traps with width w ≪ σ. However, at first glance, it is not obvious whether the additional contribution from the repulsive geometric potential would cancel the attractive potential. Moreover, the approximate dark state experiencing the trapping potential can have a significant admixture of state |e〉, leading to loss. Below, we address these two issues.
In the following, for simplicity, we set Δ = 0 because, for a single trap in the EITconfiguration, nearly all results (except the tunneling losses to the lower dressed-state |−〉) are Δ independent. For |δr +U(x)| ≪ Ωp, the bright states |±〉 are well separated from the dark state. In this case, the ground state is composed of the dark state with a small admixture of bright states, so that the geometric potential and the energy shift E0 can be calculated separately [see Fig. 1(a’)]. Note that, for all schemes, we take into account the decay Γ of state |e〉 perturbatively. We are interested in a spatially dependent [57] control Rabi frequency . For small x, Ωc ≈ Ω0x/σ, so that the total effective potential Vtot = |〈D|r〉|2δr + UD is equal to
| (4) |
where we use and w = σΩp/Ω0. We see explicitly that the trapping potential has the subwavelength width w, which can be characterized by the enhancement factor s = σ/w, and that UD is always repulsive. In addition, we note that 〈D|A(x)|D〉 = 0 (see Ref. [25]).
To compare all three schemes, we start by considering traps that have a specific width w and support a single bound state. Furthermore, we assume that our maximum Rabi frequency Ωc(x) is limited to Ω0. In that case, if we drop factors of order unity, our scheme supports a single bound state when the kinetic energy Ew = 1/(2mw2) is equal to the depth of the potential Vtot.
The leading source of loss comes from the admixture of the short-lived state |e〉. There are two processes leading to this admixture: (1) imperfect EIT due to δr ≠ 0 and (2) nonadiabatic off-diagonal corrections. Both processes admix |D〉 with |±〉, which in turn have significant overlap with |e〉. Within second-order perturbation theory, the loss rates from processes (1) and (2) are and , respectively. Here UD± = 〈D|U|±〉 and we use the fact that, for a trap with a single bound state, the off-diagonal [25] terms of U are of the same order as Ew. Thus, up to factors of order unity, the total losses are . We would like to note that we can modify the EITsetup so that nonadiabatic corrections are further suppressed (see Appendix A) and the only (and unavoidable) losses come from imperfect EIT. The decay rate for the bound state can be expressed using Eσ, Ω0, and s as ΓD ∼ Γs6(Eσ/Ω0)2, where Eσ ~ 1/(2mσ2). An additional constraint on available widths w comes from the fact that our perturbative analysis holds only for |Vtot| and Ew much smaller than the gap to the bright states |±〉, leading to Ew ≪ Ωp, which is equivalent to s3 ≪ Ω0/Eσ. Another source of losses is tunneling from the subwavelength-trapped state [22] to state |−〉, which, based on a Landau-Zener-like estimate (see Appendix B), is negligible for s3 ≪ Ω0/Eσ. The specific experimental parameters are analyzed after the presentation of all three schemes.
III. BLUE-DETUNED ac-STARK SCHEME
The second scheme we propose is shown in Fig. 1(b) and is described by the Hamiltonian (3) with δ = 0. Here, the intermediate state |r〉 is dressed by coupling it to the excited state |e〉 with a spatially dependent Rabi frequency . Together with a large blue detuning |Δ| ≫ Ωc(x), this leads to a light shift of state |r〉. At large x, state |0〉 is equal to |g〉, whereas, at x = 0, it is proportional to |g〉 − |r〉. The light shift E0 describing the trapped state |0〉 is equal to
| (5) |
where the width w equals σ/s with
| (6) |
Intuitively, the width w is equal to the distance at which the ac-stark shift is equal to the coupling Ωp.
For this scheme, the nonadiabatic potential U is equal to
| (7) |
with and . Note that the off-diagonal terms are significantly greater than the diagonal ones (i.e., α < |β|), especially for x ≲ w, as shown in Fig. 2(a). For Ωp = Ew, which leads to a single bound state, we obtain β on the order of the energy E0(x). Note that our derivation works for arbitrary fractional probabilities fr = |ψr(x)/ψ(x)|, whereas the method in Ref. [21] works only for fractional probabilities fr ≪ 1, where ψr = 〈r|ψ〉 is the r component of the ground-state wave function ψ.
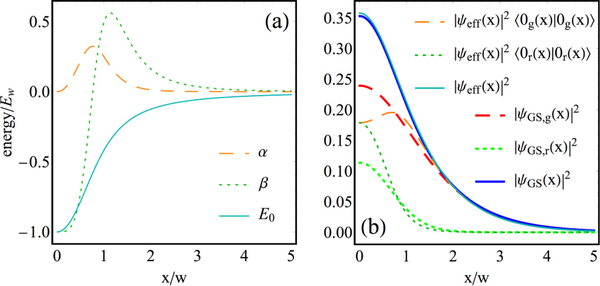
FIG. 2.
Analysis of the blue-detuned ac-Stark scheme [Fig. 1(b)]. (a) The light shift E0(x), as well as the diagonal and off-diagonal couplings coming from the nonadiabatic potential U in Eq. (7) parametrized by α and β. (b) Properties of the ground state obtained from the effective Hamiltonian and from the full Hamiltonian (see main text for details). Figures are shown in units of w and Ew, making them applicable to all s ≫ 1.
In order to analyze the impact of U, we compare the ground state of the effective Hamiltonian without U with the exact solution of the full Hamiltonian given by Eqs. (1) and (3). Even though |〈0|U|+〉| ~ Ew ~ Ωp is large and on the order of the energy difference E+ − E0 ~ Ωp, we see in Fig. 2(b) that the probability densities (and therefore the widths) of the ground states ψeff of Heff and ψGS of the full Hamiltonian are nearly the same. However, from the comparison of components |g〉 and |r〉 of the ground state in Fig. 2(b), we see that the trapped atoms are not exactly in the eigenstate |0〉. This partially explains why the nonadiabatic corrections do not influence the width of the ground state: the components of the true ground state are smoother (spatial gradients are smaller) than those of the ground state |0〉 of Hal, which leads to weaker nonadiabatic corrections for the true ground state. In summary, even though the nonadiabatic potential U can be on the order of Ew for subwavelength traps, the width of the ground state is only very weakly influenced by U.
We now turn to the analysis of the trap lifetime. The leading contribution to losses comes from the admixture Pe of the short-lived state |e〉. Pe is determined by the characteristic coupling strength Ωc(w) ≈ Ω0/s within the trapped region and by the detuning Δ as Pe ∼ [Ω0/(Δs)]2 ∼ s6(Eσ/Ω0)2. In principle, the condition Δ > Ω0 might give an upper limit on s, which, based on Eq. (6), for Ωp = Ew, is s4 < Ω0/Eσ. However, this is not a constraint for any of the results considered here.
IV. RED-DETUNED ac-STARK SCHEME
Finally, we analyze the third scheme, which was proposed in Ref. [21], where we take into account nonadiabatic corrections for arbitrary fractional probabilities. This scheme differs from the blue-detuned ac-Stark scheme in that, first, the control Rabi frequency is which, for small x, is ≈Ω0[1 − x2/(2σ2)]; second, the detuning is chosen to exactly compensate for the ac-Stark shift at the center of the trap [60]; and third, the detuning Δ now indicates the amount of red detuning. The resulting E0 w, and s are identical to those in the blue-detuned ac-Stark scheme, Eqs. (5) and (6). We find that, for x ≲ w, the nonadiabatic corrections have nearly exactly the same form as in the blue-detuned ac-Stark scheme and differ only in the sign of the off-diagonal terms: .
To derive the lifetime of this trap, we can set Ωc(x) to Ω0 within the trapped region, which leads to . This expression is identical to the one in the EITand blue-detuned ac-Stark schemes, except for the more favorable scaling with s (s6 vs s8). The intuition behind the difference between the two schemes based on the ac-Stark shift is the following: in the red-detuned ac-Stark scheme, the atoms are trapped in the region of maximal scattering from state |e〉, whereas, in our blue-detuned ac-Stark scheme, atoms are trapped in the region of minimal scattering from state |e〉.
V. ATOMIC LEVELS
Very well-isolated three-levels systems (either ladder type or Λ type) are required for efficient implementation of these subwavelength trapping schemes. The strong Ωc(x) beam can off-resonantly couple |g〉 and |r〉 to states outside the three-level system and can limit lifetimes in addition to providing undesired additional confinement for the atoms in these subwavelength lattices [26,61]. This can significantly reduce the upper bound on the magnitude of Ωc(x) [56,61] and therefore limit the width of the traps that can be realized. Here, in order to mitigate the issues discussed above, we propose using metastable states 3P0 and 3P2 in Yb atoms for the implementation of subwavelength trapping schemes.
For the blue- and red-detuned ac-Stark schemes, we use |g〉 = |(6s2) 1S0, F = 1/2〉, |r〉 = |(6s6p) 3P2, F = 3/2〉, and |e〉 = |(5d6s) 3D2〉 in 171Yb, as shown in Fig. 3(a). The hyperfine structure should not play a crucial role as Ωp only couples | 1S0, F = 1/2〉 with | 3P2, F = 3/2〉 as allowed by dipole selection rules and Ωc (x) is blue- or red-detuned relative to the entire fine-structure manifold 3D2. Note that the transition (6s2) 1S0 ↔ (6s6p) 3P2 is a weak, forbidden transition [62,63] and requires a narrow, stable laser to address it.
FIG. 3.
(a) Atomic levels for the blue- and red-detuned ac-Stark schemes in 171Yb. (b) Atomic levels for the EITscheme in bosonic Yb atoms. In all schemes, the main limitation comes from the admixture of levels outside the three-level system.
For the EIT scheme, we use |g〉 = |(6s6p) 3P0〉, |r〉 = |(6s6p) 3P2〉, and |e〉 = |(6s7s) 3S1〉 in bosonic Yb atoms, as shown in Fig. 3(b). High-polarization purity of the light fields is required for proper implementation of this scheme. In addition, the lifetime of atoms in the subwavelength traps for this scheme may be limited by fine-structure changing collisions of atoms in 3P2 [64]. We note that all three schemes can be generalized to two dimensions, whereas blue- and red-detuned ac-Stark trapping schemes can be extended to three dimensions.
VI. ACHIEVABLE TRAP PARAMETERS
We showed above that, for fixed Ω0, the two schemes proposed here provide superior performance to the red-detuned ac-Stark scheme due to the s6 vs s8 scaling of the losses. We now discuss what widths of the trapping potentials are achievable when we include fundamental limitations imposed on the magnitude of Ω0. We set the trapping time T to be equal to 100 ms. Depending on the scheme and on σ (equal to λ/2π for the lattice, and to 3 μm for the tweezer; denoted by subscripts λ and 3μm, respectively), we find maximal Ω0 and s such that the off-resonant position-dependent light shifts are less than 0.1Ew and that TΓPe ~ 1:
| Setup | sλ | s3 μm | ||||
|---|---|---|---|---|---|---|
| EIT | 7.0 | 14.0 | 7.0 | 1.5 | 68.0 | 44.0 |
| Blue-ac | 2.3 | 16.0 | 20.0 | 0.75 | 48.0 | 63.0 |
| Red-ac | 0.85 | 42.0 | 7.0 | 0.19 | 190.0 | 16.0 |
We see that the EITand the blue-detuned ac-Stark schemes allow for greater Ω0, which translates into narrower traps. Note that narrower traps can be achieved, however, at the cost of reducing the lifetime of atoms in these traps. We would like to note that the presented results—for the sake of clarity and brevity—are based on the estimates neglecting factors on the order of the unity.
VII. APPLICATIONS
We now make a few remarks related to the applications pointed out in the introduction. Note that, if one’s goal is simply to use the expansion of a control field Ωc(x) around its nodes to create traps with tight bound states with minimal scattering, then our EITscheme has no advantages over a simple two-level blue-detuned trap. Indeed, in our case, up to an additive constant, the potential near a node is given by , while the population of the excited state is given by . On the other hand, if one uses the same field Ωc(x) to create a simple two-level blue-detuned trap (with detuning Δ), one obtains and . In other words, our scheme is identical to the two-level scheme provided one replaces Δ with .
However, our goal is not only to create a tight bound state in a trap of subwavelength width w but also to make the trapping potential nearly constant for |x| > w so that we can make and possibly independently move several traps, or a full lattice of traps, with subwavelength separations. In that case, a simple two-level scheme will not work. Instead, one has to use one of the subwavelength schemes we discuss here.
Recently, lattices of repulsive subwavelength barriers and subwavelength spacings were proposed [56,65] and realized [61] by time-averaging over different configurations of a dynamically applied optical Kronig-Penney potential. By extending the stroboscopic protocol [56,65] to lattices of subwavelength traps, it may be possible to “paint” arbitrary time-averaged potential landscapes for atoms with subwavelength resolution.
ACKNOWLEDGMENTS
We are particularly grateful to Misha Lukin and Peter Zoller for stimulating discussions. We also thank Mikhail Baranov, Tommaso Calarco, Gretchen Campbell, Steve Eckel, Mateusz Lacki, Mingwu Lu, and Jeff Thompson for helpful discussions. Y.W., S.S., T-C.T., J.V.P., and S.L.R. acknowledge support by the NSF PFC at JQI and ONR Grant No. N000141712411. P.B. and A.V.G. acknowledge support by the NSF PFC at JQI, AFOSR, AFOSR MURI, ARL CDQI, ARO, ARO MURI, and the NSF PFCQC program. L.J. acknowledges support by ARO MURI, ARL CDQI, the Sloan Foundation, and the Packard Foundation. F.J. acknowledges support by the DFG Collaborative Research Center SFB 1225 (ISOQUANT) and the DFG (Project-ID 377616843).
APPENDIX A: MODIFIED EIT SCHEME
Here, we show how to suppress nonadiabatic corrections in the EITscheme. The idea is that Ωc(0) does not necessarily have to go to zero and that the gradient of Ωc(x) around x = w can be smaller than for linear Ωc(x) ~ x0/σ. Nonadiabatic corrections can then be suppressed by using the following control field [66]: Ωc(x) = Ω0[1 + ν − cos(kx)], which does not go to zero as deeply and as sharply as the linear Ωc(x).
Expanding Ωc(x) around a minimum for ν > 0, we find
| (A1) |
with η = ν Ω0/Ωp and , and which gives rise to
whose depth can be tuned to accommodate one or more bound states. By operating at η > 0, we can use appropriate |δr| ~ Ew to engineer trapping potentials with negligible nonadiabatic potential U. Therefore, when it comes to losses, this modified EIT scheme allows us to gain up to a factor of ~2.
APPENDIX B: LANDAU-ZENER ESTIMATES OF LOSSES TO LOWER DRESSED STATES
Another source of losses is tunneling from the single bound state we consider to state |−〉. Note that, due to the conservation of energy, atoms in |−〉 will have large kinetic energy. Following Ref. [22], the loss rate ΓLZ can be estimated using a Landau-Zener-like argument, which, in our setup, leads to
| (B1) |
where ν is a factor of order unity, and Δ0− is the energy difference between two dressed states involved in the tunneling.
In the EIT scheme, we have Δ0− ∼ |E−(0)| ∼ Ωp because the tunneling occurs around x ∼ 0, where the gap between ED and E− is smallest and where the atoms are trapped. This leads to the condition 1 ≪ Ωp/Ew = Ωc/(Eσs3). Note that we obtained the same condition from the requirement Ew ≪ Ωp, which enabled us to treat nonadiabatic potentials and light shifts separately and perturbatively. We can further suppress tunneling losses by working at Δ ≠ 0.
In the blue-detuned ac-Stark scheme, Δ0− ∼ |E−| ∼ |Δ|, so this tunneling loss rate is strongly suppressed as exp[−|Δ|/Ew].
In the red-detuned ac-Stark scheme, there is no state below the state of interest and therefore no tunneling.
References
- [1].Gross C and Bloch I, Science 357, 995 (2017). [DOI] [PubMed] [Google Scholar]
- [2].Lewenstein M, Sanpera A, and Ahufinger V, Ultracold Atoms in Optical Lattices: Simulating Quantum Many-Body Systems (Oxford University, Oxford, 2012). [Google Scholar]
- [3].González-Tudela A, Hung CL, Chang DE, Cirac JI, and Kimble HJ, Nat. Photonics 9, 320 (2015). [Google Scholar]
- [4].Mitsch R, Sayrin C, Albrecht B, Schneeweiss P, and Rauschenbeutel A, Nat. Commun. 5, 5713 (2014). [DOI] [PMC free article] [PubMed] [Google Scholar]
- [5].Thompson JD, Tiecke TG, de Leon NP, Feist J, Akimov AV, Gullans M, Zibrov AS, Vuletić V, and Lukin MD, Science 340, 1202 (2013). [DOI] [PubMed] [Google Scholar]
- [6].Chang DE, Thompson JD, Park H, Vuletić V, Zibrov AS, Zoller P, and Lukin MD, Phys. Rev. Lett. 103, 123004 (2009). [DOI] [PubMed] [Google Scholar]
- [7].Gullans M, Tiecke TG, Chang DE, Feist J, Thompson JD, Cirac JI, Zoller P, and Lukin MD, Phys. Rev. Lett. 109, 235309 (2012). [DOI] [PubMed] [Google Scholar]
- [8].Romero-Isart O, Navau C, Sanchez A, Zoller P, and Cirac JI, Phys. Rev. Lett. 111, 145304 (2013). [DOI] [PubMed] [Google Scholar]
- [9].Agarwal GS and Kapale KT, J. Phys. B: At., Mol. Opt. Phys. 39, 3437 (2006). [Google Scholar]
- [10].Bajcsy M, Zibrov AS, and Lukin MD, Nature (London) 426, 638 (2003). [DOI] [PubMed] [Google Scholar]
- [11].Dutton Z, Budde M, Slowe C, and Hau LV, Science 293, 663 (2001). [DOI] [PubMed] [Google Scholar]
- [12].Gorshkov AV, Jiang L, Greiner M, Zoller P, and Lukin MD, Phys. Rev. Lett. 100, 093005 (2008). [DOI] [PubMed] [Google Scholar]
- [13].Juzeliūnas G, Ruseckas J, Öhberg P, and Fleischhauer M, Lith. J. Phys. 47, 351 (2007). [DOI] [PubMed] [Google Scholar]
- [14].Miles JA, Simmons ZJ, and Yavuz DD, Phys. Rev. X 3, 031014 (2013). [Google Scholar]
- [15].Sahrai M, Tajalli H, Kapale KT, and Zubairy MS, Phys. Rev. A 72, 013820 (2005). [Google Scholar]
- [16].Yavuz DD and Proite NA, Phys. Rev. A 76, 041802(R) (2007). [Google Scholar]
- [17].Subhankar S, Wang Y, Tsui TC, Rolston SL, and Porto JV, Phys. Rev. X 9, 21002 (2019). [DOI] [PMC free article] [PubMed] [Google Scholar]
- [18].McDonald M, Trisnadi J, Yao KX, and Chin C, Phys. Rev. X 9, 21001 (2019). [Google Scholar]
- [19].Tonyushkin A and Sleator T, Phys. Rev. A 74, 053615 (2006). [Google Scholar]
- [20].Turlapov A, Tonyushkin A, and Sleator T, Phys. Rev. A 68, 023408 (2003). [Google Scholar]
- [21].Yavuz DD, Proite NA, and Green JT, Phys. Rev. A 79, 055401 (2009). [Google Scholar]
- [22].Yi W, Daley AJ, Pupillo G, and Zoller P, New J. Phys. 10, 073015 (2008). [Google Scholar]
- [23].Lundblad N, Lee PJ, Spielman IB, Brown BL, Phillips WD, and Porto JV, Phys. Rev. Lett. 100, 150401 (2008). [DOI] [PubMed] [Google Scholar]
- [24].Łacki M, Baranov MA, Pichler H, and Zoller P, Phys. Rev. Lett. 117, 233001 (2016). [DOI] [PubMed] [Google Scholar]
- [25].Jendrzejewski F, Eckel S, Tiecke TG, Juzeliunas G, Campbell GK, Jiang L, and Gorshkov AV, Phys. Rev. A 94, 063422 (2016). [DOI] [PMC free article] [PubMed] [Google Scholar]
- [26].Wang Y, Subhankar S, Bienias P, Łacki M, Tsui TC, Baranov MA, Gorshkov AV, Zoller P, Porto JV, and Rolston SL, Phys. Rev. Lett. 120, 083601 (2018). [DOI] [PMC free article] [PubMed] [Google Scholar]
- [27].Perczel J, Borregaard J, Chang DE, Pichler H, Yelin SF, Zoller P, and Lukin MD, Phys. Rev. Lett. 119, 023603 (2017). [DOI] [PubMed] [Google Scholar]
- [28].Grankin A, Guimond PO, Vasilyev DV, Vermersch B, and Zoller P, Phys. Rev. A 98, 043825 (2018). [DOI] [PubMed] [Google Scholar]
- [29].Grass T, Gullans M, Bienias P, Zhu G, Ghazaryan A, Ghaemi P, and Hafezi M, Phys. Rev. B 98, 155124 (2018). [Google Scholar]
- [30].Barredo D, De Leseleuc S, Lienhard V, Lahaye T, and Browaeys A, Science 354, 1021 (2016). [DOI] [PubMed] [Google Scholar]
- [31].Endres M, Bernien H, Keesling A, Levine H, Anschuetz ER, Krajenbrink A, Senko C, Vuletic V, Greiner M, and Lukin MD, Science 354, 1024 (2016). [DOI] [PubMed] [Google Scholar]
- [32].Lühmann D-S, Weitenberg C, and Sengstock K, Phys. Rev. X 5, 031016 (2015). [Google Scholar]
- [33].Ospelkaus S, Ni KK, Wang D, De Miranda MH, Neyenhuis B, Quéméner G, Julienne PS, Bohn JL, Jin DS, and Ye J, Science 327, 853 (2010). [DOI] [PubMed] [Google Scholar]
- [34].Liu LR, Hood JD, Yu Y, Zhang JT, Hutzler NR, Rosenband T, and Ni KK, Science 360, 900 (2018). [DOI] [PubMed] [Google Scholar]
- [35].Kapale KT, in Progress in Optics, edited by Wolf E (Elsevier, Amsterdam, 2013), Vol. 58, pp. 199–250. [Google Scholar]
- [36].Johnson KS, Thywissen JH, Dekker NH, Berggren KK, Chu AP, Younkin R, and Prentiss M, Science 280, 1583 (1998). [DOI] [PubMed] [Google Scholar]
- [37].Thomas JE, Opt. Lett. 14, 1186 (1989). [DOI] [PubMed] [Google Scholar]
- [38].Stokes KD, Schnurr C, Gardner JR, Marable M, Welch GR, and Thomas JE, Phys. Rev. Lett 67, 1997 (1991). [DOI] [PubMed] [Google Scholar]
- [39].Schrader D, Dotsenko I, Khudaverdyan M, Miroshnychenko Y, Rauschenbeutel A, and Meschede D, Phys. Rev. Lett. 93, 150501 (2004). [DOI] [PubMed] [Google Scholar]
- [40].Gardner JR, Marable ML, Welch GR, and Thomas JE, Phys. Rev. Lett. 70, 3404 (1993). [DOI] [PubMed] [Google Scholar]
- [41].Zhang C, Rolston SL, and Das Sarma S, Phys. Rev. A 74, 042316 (2006). [Google Scholar]
- [42].Lee PJ, Anderlini M, Brown BL, Sebby-Strabley J, Phillips WD, and Porto JV, Phys. Rev. Lett. 99, 020402 (2007). [DOI] [PubMed] [Google Scholar]
- [43].Kapale KT and Agarwal GS, Opt. Lett. 35, 2792 (2010). [DOI] [PubMed] [Google Scholar]
- [44].Le Kien F, Rempe G, Schleich WP, and Zubairy MS, Phys. Rev. A 56, 2972 (1997). [Google Scholar]
- [45].Qamar S, Zhu SY, and Zubairy MS, Phys. Rev. A 61, 063806 (2000). [Google Scholar]
- [46].Paspalakis E and Knight PL, Phys. Rev. A 63, 065802 (2001). [Google Scholar]
- [47].Hell SW, Science 316, 1153 (2007). [DOI] [PubMed] [Google Scholar]
- [48].Li H, Sautenkov VA, Kash MM, Sokolov AV, Welch GR, Rostovtsev YV, Zubairy MS, and Scully MO, Phys. Rev. A 78, 013803 (2008). [Google Scholar]
- [49].Mompart J, Ahufinger V, and Birkl G, Phys. Rev. A 79, 053638 (2009). [Google Scholar]
- [50].Sun Q, Al-Amri M, Scully MO, and Zubairy MS, Phys. Rev. A 83, 063818 (2011). [Google Scholar]
- [51].Proite NA, Simmons ZJ, and Yavuz DD, Phys. Rev. A 83, 041803(R) (2011). [Google Scholar]
- [52].Qi Y, Zhou F, Huang T, Niu Y, and Gong S, J. Mod. Opt. 59, 1092 (2012). [Google Scholar]
- [53].Viscor D, Rubio JL, Birkl G, Mompart J, and Ahufinger V, Phys. Rev. A 86, 063409 (2012). [Google Scholar]
- [54].Yavuz DD and Simmons ZJ, Phys. Rev. A 86, 013817 (2012). [Google Scholar]
- [55].Rubio JL, Viscor D, and Ahufinger V, Opt. Express 21, 022139 (2013). [DOI] [PubMed] [Google Scholar]
- [56].Subhankar S, Bienias P, Titum P, Tsui T-C, Wang Y, Gorshkov AV, Rolston SL, and Porto JV, New J. Phys. 21, 113058 (2019). [DOI] [PMC free article] [PubMed] [Google Scholar]
- [57].Such an intensity profile can be approximately implemented by using existing techniques such as intensity masks [58], Hermite-Gaussian laser modes, or holographic techniques [59].
- [58].Eckel S, Lee JG, Jendrzejewski F, Murray N, Clark CW, Lobb CJ, Phillips WD, Edwards M, and Campbell GK, Nature (London) 506, 200 (2014). [DOI] [PubMed] [Google Scholar]
- [59].Gaunt AL, Schmidutz TF, Gotlibovych I, Smith RP, and Hadzibabic Z, Phys. Rev. Lett. 110, 200406 (2013). [DOI] [PubMed] [Google Scholar]
- [60].Depending on the desired parameters of the trap, choosing a slightly larger detuning δ can sometimes slightly improve the scheme by achieving the optimal trade-off between nonadiabaticity and scattering. However, the improvement is insignificant, so we chose to focus on to simplify the presentation.
- [61].Tsui T-C, Wang Y, Subhankar S, Porto JV, and Rolston SL, Phys. Rev. A 101, 041603 (2020). [DOI] [PMC free article] [PubMed] [Google Scholar]
- [62].Porsev SG, Rakhlina YG, and Kozlov MG, Phys. Rev. A 60, 2781 (1999). [Google Scholar]
- [63].Porsev SG and Derevianko A, Phys. Rev. A 69, 042506 (2004). [Google Scholar]
- [64].Yamaguchi A, Ph.D. thesis, Physics Department, Kyoto University, 2008. [Google Scholar]
- [65].Lacki M, Zoller P, and Baranov MA, Phys. Rev. A 100, 033610 (2019). [Google Scholar]
- [66].Yang D, Laflamme C, Vasilyev DV, Baranov MA, and Zoller P, Phys. Rev. Lett. 120, 133601 (2018). [DOI] [PubMed] [Google Scholar]



