Disbalanced lymphocyte subpopulations are early markers of mortality in our series of 701 SARS‐CoV‐2 infected patients, when severe lymphopenia has yet to develop. If available, the study of lymphocyte subsets by flow cytometry is recommended to identify high‐risk COVID‐19 patients at hospital admission.

Keywords: COVID‐19, lymphocyte subsets, lymphopenia, mortality, prognosis, organization
Summary
The role of lymphocytes and their main subsets as prognostic factors of death in SARS‐CoV‐2‐infected patients remains unclear, with no information obtained from patients outside China. We aimed to assess whether measuring lymphocyte subpopulations added clinical value to the total lymphocyte counting regarding mortality when they were simultaneously tested at hospital admission. Peripheral blood was analysed in 701 polymerase chain reaction (PCR)‐confirmed consecutive patients by lysed–no washed flow cytometry. Demographic and clinical features were registered in electronic medical records. Statistical analysis was performed after a 3‐month follow‐up. The 112 patients who died were older and had significantly higher frequencies of known co‐morbidities than survivor COVID‐19 patients. A significant reduction in total lymphocytes, CD3+, CD4+, CD8+ and CD19+ counts and CD3+ percentage was found in the group of deceased patients (P < 0·001), while the percentage of CD56+/CD16+ natural killer (NK) cells was significantly higher (P < 0·001). Multivariate logistic regression analysis showed a significantly increased risk of in‐hospital death associated to age [odds ratio (OR) = 2·36, 95% confidence interval (CI) = 1·9–3·0 P < 0·001]; CD4+ T counts ≤ 500 cells/μl, (OR = 2·79, 95% CI = 1·1–6·7, P = 0·021); CD8+ T counts ≤ 100 cells/μl, (OR = 1·98, 95% CI = 1·2–3·3) P = 0·009) and CD56+/CD16+ NK ≥ 30%, (OR = 1·97, 95% CI = 1·1–3·1, P = 0·002) at admission, independent of total lymphocyte numbers and co‐morbidities, with area under the curve 0·85 (95% CI = 0·81–0·88). Reduced counts of CD4+ and CD8+ T cells with proportional expansion of NK lymphocytes at admission were prognostic factors of death in this Spanish series. In COVID‐19 patients with normal levels of lymphocytes or mild lymphopenia, imbalanced lymphocyte subpopulations were early markers of in‐hospital mortality.
Introduction
As declared by the World Health Organization (WHO) in July 2020, the COVID‐19 pandemic caused by the new beta‐coronavirus SARS‐CoV‐2 amounted to more than 14·5 million confirmed cases and more than 600 000 deaths worldwide [1]. The first detected cases of SARS‐CoV‐2 infection in Spain were reported by the end of January 2020 in the Canary and Balearic Islands and later in February, in the Community of Madrid [2]. Since then, more than 73 000 cases had been diagnosed in Madrid, among which 8449 fatal outcomes accounted for a high mortality rate (11%) [3].
Lymphopenia is one of the laboratory hallmarks in hospitalized COVID‐19 patients [4, 5], and is considered a factor of poor prognosis regarding the severity of disease [6, 7]. Main lymphocyte subtypes have found to be altered in series of patients with SARS‐CoV‐2 infection [8, 9, 10, 11, 12, 13, 14, 15, 16, 17, 18, 19, 20, 21, 22]; therefore, some of these subsets are already being postulated as disease biomarkers [23]. Most studies mentioned showed low counts of T cells and their CD4+ and CD8+ subsets in severe cases of COVID‐19. However, detailed information on all T, B and natural killer (NK) lymphocytes subtypes in both percentage and absolute numbers is only available in the publications by Qin et al., with 44 Chinese patients, and Hadjadj et al., with 50 patients from France [8, 12]. A longitudinal study by Liu et al. showed kinetic changes of T, B and NK cell only in absolute numbers. T lymphocytes – in particular CD8+ cell counts – correlated with disease severity, but the three deceased patients among the 13 patients in the severe group were excluded from analysis [11]. In fact, none of the above analysis was targeted for progression to death, and only six studies regarding lymphocyte subsets related to COVID‐19 mortality can be found [4, 24, 25, 26, 27, 28], all from Chinese centers.
Our work aimed to study a large series of COVID‐19 patients to determine the clinical use of these immunological parameters at the early stages of the disease. It was relevant to contrast the results obtained in previous studies in China, and to investigate whether measuring circulating lymphocyte subpopulations adds value to the total lymphocyte count when they are simultaneously performed on COVID‐19 patients at admission.
In this study, we report total lymphocyte and lymphocyte subsets analysis at hospital admission and their relation with fatal progression in a series of 701 COVID‐19 patients from Spain.
Patients and methods
We included 701 adult patients with confirmed SARS‐CoV‐2 hospitalized at the ‘Gregorio Marañón’ General Universitary Hospital from 6 to 26 March. Follow‐up was extended until 26 May to define death (in 112 patients), at which point only 12 patients were yet to be discharged. Demographic (age, sex) data, pre‐existing concurrent diseases, clinical symptoms and signs, laboratory parameters, radiology findings and treatments were registered in electronic medical records. Following the recommended therapeutic protocol of our hospital [29], patients received COVID‐19 treatment, including anti‐viral therapy with lopinavir/ritonavir (Kaletra) and hydroxychloroquine. Our study conforms to the principles outlined in the Declaration of Helsinki.
Routine laboratory examinations performed at hospital admission included reverse–transcriptase polymerase chain reaction (RT–PCR) assay in nasopharyngeal exudates using a 2019‐nCoV nucleic acid detection kit, according to the manufacturers’ protocols (RT–PCR; Roche, Basel, Switzerland and Thermo Fisher Scientific, Fremont, CA, USA) with prior extraction of viral RNA by NucliSENS easyMag (bioMérieux, Marcy‐l’Étoile, France); a cycle threshold value (Ct‐value) of less than 37 was considered positive. T, B and NK lymphocyte immunophenotyping was performed using a standardized lysed–no washed four‐color flow cytometry single platform from BD Bioscience (San Jose, CA, USA). Briefly, 50 μl ethylenediamine tetraacetic acid (EDTA) blood and 10 μl conjugated multi‐test reagents anti‐CD45 peridin‐chlorophyll protein (PerCP), anti‐CD3 fluorescein isothiocyanate (FITC), anti‐CD4 allophycocyanin (APC), anti‐CD8 phycoerythrin (PE), anti‐CD19 APC, anti‐CD56 PE and anti‐CD16 PE were dispensed into Trucount tubes with a sample preparation assistant (SPA) and incubated in the dark for 20 min at room temperature. Following red cell lysis, the samples were acquired and analysed in a fluorescence activated cell sorter (FACS)Calibur cytometer (BD Bioscience, San Jose, CA, USA).
All statistical analyses were conducted with spss version 25.0 software. Gaussian data distribution was previously checked in all variables using the Kolmogorov–Smirnov test. Categorical variables were expressed in frequency or percentage and significance was detected by χ2 test. Continuous variables were expressed as median and interquartile range [(IQR) = P25–P75] and the Mann–Whitney U‐test was used to evaluate statistical significance when comparing them. Receiver operating characteristic (ROC) univariate curves were performed to explore the prognostic ability of clinical characteristics and immunological parameters and to obtain cut‐off values for the categorization of continuous variables. Areas under the curve (AUC) were calculated with a 95% confidence interval (CI). A multivariate logistic regression analysis using the enter method was used to determine the significance of the variables when confronting the risk of death. Each variable was added separately to assess potential confounding relations between them. Variables with strong collinearity (Spearman’s test) were excluded from our models. The statistical significance level was set at 0·05 (two‐sided).
Results
COVID‐19 patients and co‐morbidities
By 26 March, we had studied 701 consecutive hospitalized patients who tested positive for SARS‐CoV‐2 RNA and whose blood was sent for lymphocyte subsets analysis at admission; 112 patients (15·9%) died during hospitalization during a 3‐month follow‐up. The median of duration from admission to death was 5 days (IQR = 3–12; range = 1‒ 52 days). Table 1 shows that, overall, the median age of the patients was 64 years (range = 19–96) and that a significantly higher age was noticed in the group of deceased COVID‐19 patients (range = 38–95 years) when compared to alive patients.
Table 1.
Demographic, clinical and immunological characteristics of COVID‐19 patients at admission and their comparison between survivor and non‐survivor groups
| Demographics | Total (n = 701) | Alive (n = 590) | Dead (n = 112) | P |
|---|---|---|---|---|
| Age (years) | 64 (50–76) | 61 (48–72) | 79 (72–84) | < 0·001 |
| Gender (male) | 406 (57·2%) | 334 (56·6%) | 71(63·9%) | 0·20 |
| Co‐morbidities | ||||
| Hypertension | 305 (43·5%) | 224 (38·0%) | 81 (73·4%) | < 0·001 |
| Dyslipidemia | 224 (32·0%) | 175 (29·7%) | 49 (43·8 %) | 0·003 |
| Diabetes mellitus | 123 (17·5%) | 85 (14·4%) | 38 (33·9%) | < 0·001 |
| Cardiovascular disease | 128 (18·3%) | 97 (16·5%) | 31 (27·7%) | 0·005 |
| COPD | 44 (6·3%) | 28 (4·8%) | 16 (14·3%) | < 0·001 |
| Malignancy | 81 (11·6%) | 61 (10·4%) | 20 (17·9%) | 0·023 |
| Obesity | 51 (7·3%) | 38 (6·5 %) | 13 (11·6%) | 0·054 |
| Kidney disease | 44 (6·3%) | 29 (4·9%) | 15 (13·4%) | 0·001 |
| Respiratory disease (other than COPD) | 66 (9·4%) | 57 (9·7%) | 9 (8·0%) | 0·589 |
| Immunological parameters (normal range) | ||||
| Total lymphocyte/μl (1300–3500) | 930 (665–1265) | 981 (742–1315) | 635 (444–937) | < 0·001 |
| CD3+ T cells/μl (850–2669) | 622 (408–855) | 662 (464–890) | 363 (251–581) | < 0·001 |
| CD4+ T cells/μl (491–1734) | 391 (260–542) | 412 (288–568) | 242 (154–353) | < 0·001 |
| CD8+ T cells/μl (162–1074) | 199 (120–313) | 213 (137–331) | 116 (67–210) | < 0·001 |
| CD19+ B cells/μl (73–562) | 113 (67–166) | 123 (76–171) | 64 (41–120) | < 0·001 |
| CD56+/CD16+ NK cells/μl (108–680) | 162 (107–251) | 168 (108–253) | 157 (87–233) | 0·207 |
| CD3+ T % (57–83) | 65·8 (57·5–73·5) | 66·6 (58·7–74·4) | 60·6 (48·9–68·9) | < 0·001 |
| CD4+ T % (31–62) | 41·2 (34·1–48·0) | 41·5 (34·6–48·4) | 37·3 (27·4–46·9) | 0·006 |
| CD8+ T % (9–38) | 21·6 (15·5–28·7) | 21·9 (16·0–28·9) | 19·1 (11·7–27·2) | 0·020 |
| CD19+ B % (5–24) | 12·1 (8·3–16·7) | 12·2 (8·4–16·7) | 11·3 (6·1–15·9) | 0·075 |
| CD56+/CD16+ NK % (5–30) | 18·2 (12·2–26·1) | 17·3 (11·8–24·5) | 25·5 (15·3–35·1) | < 0·001 |
| CD4+/CD8+ (1–3·5) | 1·91 (1·30–2·76) | 1·90 (1·33–2·71) | 1·98 (1·18–3·14) | 0·935 |
Continuous variables are expressed as median with IQR [mean (P25–P75)] and categorical variables are expressed as n (%). Mann–Whitney U and χ2 tests were used to compare those values obtained in survivor and deceased patients.
COPD = chronic obstructive pulmonary disease; NK =natural killer.
There was a male : female ratio of 1·37 [406 (57·9%) were male and 295 (42·1%) female]; 63·9% of the non‐survivor patients were male and 36·1% were female, gender variable making no significant difference between dead and alive patients (Table 1).
The most common comorbidity was hypertension in 305 cases (43·5%); 224 (32%) cases had dyslipidemia, 123 (17·5%) diabetes mellitus and 44 (6·3%) chronic obstructive pulmonary disease (COPD); other concurrent diseases are shown in Table 1. A significantly higher frequency of hypertension, diabetes mellitus, dyslipidemia, COPD, heart or kidney diseases and cancer was detected in the group of deceased patients when compared to survivors (Table 1).
Lymphocyte subpopulations in COVID‐19
When the total group of COVID‐19 patients was analysed, the median values of total lymphocytes, CD3+ T and CD4+ T cell counts were found below their normal range (Table 1). The medians obtained for other subsets, including CD8+ T, CD19+ B and CD56+/CD16+ NK cell counts, and percentages of all subsets fell within adult normal ranges in the total group of patients as shown in Table 1.
Deceased patients had significantly lower total lymphocytes, CD3+ T, CD4+ T, CD8+ T and CD19+ B cell counts than alive COVID‐19 patients. CD56+/CD16+ NK cell counts were similar in both groups [157 cells/μl (87–233) in non‐survivors versus 168 cells/μl (108–253) in survivors, P = 0·146], with a significant increase in the proportion of CD56+/CD16+ NK cells [25·5% (15·3–35·1) versus 17·3% (11·8–24·5), P < 0·001]. CD3+ T and CD4+ T cell percentages were decreased in deceased patients when compared to survivor patients, while no differences were observed for CD8+ T cell and CD19+ B cell percentages or CD4+/CD8+ ratio between these two groups (Table 1).
Prognostic value of different lymphocyte subpopulations
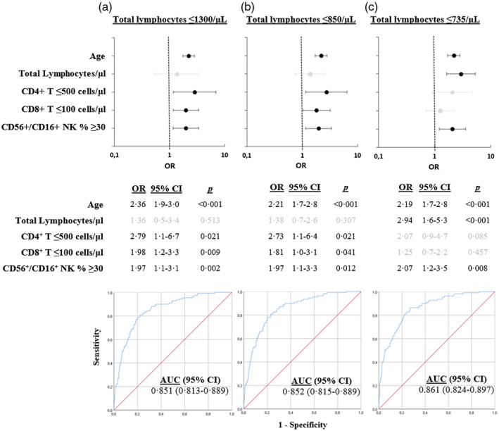
To explore the value of the immunological variables we used ROC curves and AUC calculations, as depicted in Fig. 1. Next, continuous variables were categorized and included in a predictive multivariate analysis for fatal outcome. The cut‐off values for total lymphocytes and lymphocyte subsets were obtained through calculation of Youden’s index, normal reference values [30] and those described by other authors in relation to COVID‐19 [5, 26]. Considering the total number of deaths (n = 112), 11 variables were chosen (Fig. 2, legend) mainly based on our previous findings (i.e. most significant clinical and laboratory values in Table 1 and Fig. 1). Age was included for its statistical significance as well as for the contribution of the biological age‐related changes to immunity and lymphocyte subsets [31, 32]. Those variables having non‐significant differences in between‐groups univariate analyses in Table 1, or variables showing collinearity, such as CD3+ T cells, which depend upon their CD4+ and CD8+ T cell subpopulations (data not shown), were excluded from the multivariate logistic regression. Gender was added, as it has been associated with severity of disease in COVID‐19 patients in previous studies [18, 21] and because of the possible sex‐associated variations in immune system responses [33].
Fig. 1.

Receiver operating characteristic (ROC) analysis of age and lymphocyte subsets among survivor and deceased COVID‐19 patients. All variables were used as raw data except for age, which was grouped by a factor of 10. ROC curves were used to evaluate the age and each of the different lymphocytes subsets as candidate prognostics markers of deadly outcome. In the table, variables are sorted by their value of area under the curve (AUC).
Fig. 2.

Multivariate logistic regression models using decreasing numbers of total lymphocytes with death as the outcome. The following variables were included: age, gender, hypertension, dyslipidemia, diabetes mellitus, chronic obstructive pulmonary disease (COPD), total lymphocytes, CD4+ T cell counts, CD8+ T cell counts, CD19+ B cell counts and %CD56+/CD16+ natural killer (NK) cells. Age was divided by a 10 factor for easier odds ratio (OR) understanding. Faint grey dots and lines in the upper figures and faint grey numbers in tables represent non‐significant OR values.
Figure 2 shows different multivariate logistic regression models with decreasing total lymphocyte counts used as cut‐off values, from 1300/μl corresponding to the lower limit of normal reference range (sensitivity: 0·91, specificity: 0·25) in Fig. 2a to 735/μl, which corresponds to Youden’s index (sensitivity: 0·65, specificity: 0·76) in Fig. 2c. The variables age and percentage of NK cells ≥ 30% independently contributed to the prediction of death in all the multivariate models, as shown in Fig. 2a–c. Moreover, CD4+ T cell counts ≤ 500/μl and CD8+ T cell ≤ 100 cells/μl are also independent predictors for death when the variable total lymphocytes was categorized as 1300/μl (Fig. 2a) to 850/μl (sensitivity: 0·70, specificity: 0·62) in Fig. 2b. Significant results for total lymphocytes were obtained only with lower cut‐off values of this variable (735 lymphocytes/μl), as shown in Fig. 2c. With this more severe lymphopenia, CD4+ and CD8+ T cell subsets lost predictive significance. Thus, a remarkable result in our study was the prognostic value achieved by both variables CD4+ and CD8+ T cell counts when higher numbers of total lymphocytes (i.e. 850 cells/µl and up to normal ranges) were not significant (Fig. 2a,b).
ROC analysis with AUC corresponding to each model in the lower section of Fig. 2 further illustrate their prognostic ability to fatal outcome. AUC values higher than 0·85 were obtained in all the three models (Fig. 2a–c).
Discussion
This is the largest COVID‐19 series to date analysing T, B and NK lymphocyte subpopulations in both percentages and absolute counts. Our results validate those that point out blood lymphocyte subsets as potential routine prognostic biomarkers in COVID‐19 [4, 28], and take part in the huge effort by the international community to define clinical and laboratory parameters associated to severity of disease and death.
Most previous studies on lymphocyte subsets in COVID‐19 patients have focused upon the progression from mild to severe forms of the disease. Reports on lymphocyte subsets regarding mortality are still scarce [4, 24, 25, 26, 27, 28], which is probably due to the high numbers of patients required for reliable statistical analysis.
Deceased patients were older in this Spanish series compared to all Chinese series, and our results corroborated that age is a marker of poor prognosis, as reported in most [4, 24, 25]. No co‐morbid conditions were selected in our multivariate logistic regression models, in contrast to the studies by Du et al. and Liu et al. [24, 25]. With milder lymphopenia or even normal levels of peripheral lymphocytes at admission, reduced CD4+ (≤ 500/µl) and CD8+ (≤ 100/µl) T cell subsets were prognostic markers to death in our COVID‐19 patients, which has not been previously documented. The earliest study by Wu et al. showed a significant decrease in CD8+ T cell counts in 40 of 84 patients with acute respiratory distress syndrome who progressed to death, but this was not significant when subjected to a bivariate Cox analysis [4]. The study by Xu et al. showed that reduced absolute counts of CD4+ and CD8+ T cells, and also of B and NK cells, were risk factors of in‐hospital death. They also described interesting warning values for T and B lymphocytes [26]. Liu et al. concluded that log‐transformed CD4+ T cell counts and CD4+/CD8+ ratio were predictors of death in the hospital setting; B and NK cells were not studied in this not‐peer‐reviewed report [25]. The prospective study by Du and colleagues identified CD8+ T cells < 75 cells/μl among their four final prognostic variables [24]. We noted that the number of variables in the multivariate logistic regression analysis by Liu and Du was probably too high for their sample sizes [24, 25]. More recently, CD8+ T, CD4+ T and NK cell counts have been corroborated as an independent risk factor associated with mortality in the largest series of Chinese COVID‐19 patients [27, 28]. More severe lymphopenia with values below 735 cells/µl was associated with a higher risk of in‐hospital death in our COVID‐19 patients, in agreement with the work by Xu and colleagues [26], but not the other authors [4, 24, 25, 27, 28].
We describe for the first time, to the best of our knowledge, a significantly higher proportion of CD56+/CD16+ NK cells at admission in the group of COVID‐19 patients who later died. This proportional increase within the lower total lymphocyte number characterizing the deceased patients could be a consequence of the reduction in the other lymphocyte subsets (CD3+, CD4+, CD8+, CD19+) cell counts, while maintaining a stable CD56+/CD16+ NK cell count in this group. It could also be compensatory to the reduction of percentages of other lymphocyte subsets, particularly of the T cell compartment. Studies relating the NK population with the risk of death in COVID‐19 are lacking; however, other authors have published changes in the percentages of NK lymphocytes associated with disease severity. Nie et al. have described a significantly higher proportion of NK cells in the severe group when compared to mild COVID‐19 patients, although they did not study progression to death, because critically ill patients were transferred to other designated hospitals in China [14]. Their study included a total of 97 younger patients (median age = 39 years, IQR = 30–60), 7·2% of whom were asymptomatic [14]. Qin et al. also showed a higher percentage of NK related to a more severe course of COVID‐19 [8]. However, Hadjadj et al. found no differences in NK cell percentage between mild, moderate, severe or critical small groups of COVID‐19 patients in France [12]. The diversity of results could be explained by the smaller sample sizes, different ages and/or designs of the studies [31, 34]. In this regard, conventional peripheral blood NK lymphocytes are composed of CD3−CD56+dimCD16+ cells with cytotoxic activity and CD3−CD56+brightCD16− with cytokine production function [35, 36], so different approaches can be used for their determination. Redistribution within the NK cell compartment before the SARS‐CoV‐2 infection may also be considered, as highly differentiated CD3−CD56+dimCD16+CD57+ cells increase and CD3−CD56+brightCD16− decrease during healthy aging [31, 37]. In addition, several measurement techniques can be used. While we measured both phenotypes using a standardized lysed–no‐washed flow cytometry single platform, as did Liu and colleagues [25], other authors have used different techniques or combinations of antibodies [12] or they do not specify their methods [4, 14, 26]. Thus, methodological reasons could also underlie different results by distinct researchers.
Our results add value to the existing clinical evidence, although the contribution of multiple mechanisms leading to the loss of circulating lymphocytes [38, 39], i.e. lymphoid tissue infiltration with blood cell efflux and redistribution, reduction of hematopoietic progenitors and/or lymphopoiesis by proinflammatory cytokines, activation‐induced death of virus‐specific T cells, lymphocyte apoptosis, cell exhaustion, cytopathic effect due to SARS‐CoV‐2 infection of mature T lymphocytes or direct hematopoietic precursor cells viral infection, is yet to be clarified. Additional immunophenotypic markers targeting these effects are suggested to be included in future prospective studies.
The quantitation of lymphocyte subsets by flow cytometry was incorporated into clinical practice following the AIDS pandemic in the 1980s [40]. CD4+ T cell counting remains extremely useful for the classification, prognosis and monitoring of HIV‐infected patients [41]. Furthermore, memory and activated T cell subpopulations constitute additional prognostic factors regarding risk of progression of the disease [42, 43]. Earlier in this century, lymphopenia was found as a consistent finding in SARS‐CoV and Middle East respiratory syndrome (MERS), caused by highly pathogenic coronavirus infections [44, 45, 46, 47, 48]. A longitudinal and complete study of 271 SARS patients with 25 deaths showed that lymphopenia was caused by a decrease in all T, B and NK cell numbers, with these parameters being significantly lower in patients who died compared to those who recovered [46]. Lymphocyte subset testing now raises intense interest, with the new SARS‐CoV‐2 coronavirus causing lymphopenic pneumonia in millions of individuals during the current global outbreak. The evidence of relationships between lymphocyte subsets and functions with the control of SARS‐CoV‐2 and severity of infection is growing [8, 49]. In particular, naive T cell subsets identified by CD45 isoforms and chemokine receptor CCR7, co‐stimulatory molecules (CD27, CD28) and the senescence marker CD57, which correlate with biological age, chronic infections and conditions [31, 50], as well as with the failure to generate SARS‐Cov‐2 antigen‐specific adaptive immune responses [49]. As such cellular immunosenescence biomarkers may be previous to SARS‐CoV infection, they should be analysed over time – even before admission – in longitudinal studies.
In conclusion, the measurement of lymphocyte subsets by flow cytometry is a quick and easy analysis, relevant in COVID‐19 patients at hospital admission. In our Spanish series, the immunological variables CD4+ and CD8+ T cells as well as CD56+/CD16+NK cells have been proven as earlier prognostic factors of death than total lymphocyte numbers, independent of age and co‐morbidities. Studies with large cohorts of patients from different countries are encouraged for a further systematic review and meta‐analysis, in order to clearly define the value of lymphocyte subsets in diagnostic and prognostic models of COVID‐19.
Funding
This study was not supported.
Disclosures
The authors declare no conflicts of interest.
Author contributions
Study concept and design, writing of the manuscript: J. G.‐H. Acquisition of the data: P. F., J. C. L. B. Q. and P. M. Analysis and interpretation of the data and statistical analysis: S. C.‐M. and J. G.‐H. Literature search: S. C.‐M., J. C. L. B. Q. and J. G.‐H. Critical revision of the manuscript with important intellectual content: E. F.‐C. All authors participated in the review and final approval of the manuscript.
Acknowledgments
The authors thank Jose M Bellón, PhD, from the Instituto de Investigación Sanitaria ‘Gregorio Marañón’ (IiSGM), for his statistical analysis discussion. The authors also thank all physicians, nurses and sanitary staff in the front line of our Hospital COVID‐19 team. In particular, we are deeply grateful to deceased Professor A. Tejedor.
Data Availability Statement
The data that support the findings of this study are available from the corresponding author J. G.‐H. on reasonable request.
References
- 1. World Health Organization (WHO) . Situation Report – 183. Coronavirus disease (COVID‐19). Geneva, Switzerland: World Health Organization, 2020. [Google Scholar]
- 2. Díez‐Fuertes F, Iglesias‐Caballero M, Monzón S et al Phylodynamics of SARS‐CoV‐2 transmission in Spain. bioRxiv 2020. 10.1101/2020.04.20.050039. [DOI] [Google Scholar]
- 3. Spanish Goverment . Actualización no. 168. Enfermedad por el coronavirus (COVID‐19). Madrid, Spain: Ministerio de Sanidad, 2020. [Google Scholar]
- 4. Wu C, Chen X, Cai Y et al Risk factors associated with acute respiratory distress syndrome and death in patients with coronavirus disease 2019 pneumonia in Wuhan, China. JAMA Intern Med 2020; 180:934–43. [DOI] [PMC free article] [PubMed] [Google Scholar]
- 5. Zhou F, Yu T, Du R et al Clinical course and risk factors for mortality of adult inpatients with COVID‐19 in Wuhan, China: a retrospective cohort study. Lancet 2020; 395:1054–62. [DOI] [PMC free article] [PubMed] [Google Scholar]
- 6. Zhao Q, Meng M, Kumar R et al Lymphopenia is associated with severe coronavirus disease 2019 (COVID‐19) infections: a systemic review and meta‐analysis. Int J Infect Dis 2020; 96:131–5. [DOI] [PMC free article] [PubMed] [Google Scholar]
- 7. Zhao X, Zhang B, Li P et al Incidence, clinical characteristics and prognostic factor of patients with COVID‐19: a systematic review and meta‐analysis. medRxiv 2020. 10.1101/2020.03.17.20037572. [DOI] [Google Scholar]
- 8. Qin C, Zhou L, Hu Z et al Dysregulation of immune response in patients with coronavirus 2019 (COVID‐19) in Wuhan, China. Clin Infect Dis 2020; 71:762–8. [DOI] [PMC free article] [PubMed] [Google Scholar]
- 9. Chen G, Wu D, Guo W et al Clinical and immunological features of severe and moderate coronavirus disease 2019. J Clin Invest 2020; 130:2620–9. [DOI] [PMC free article] [PubMed] [Google Scholar]
- 10. Liu Z, Long W, Tu M et al Lymphocyte subset (CD4+, CD8+) counts reflect the severity of infection and predict the clinical outcomes in patients with COVID‐19. J Infect 2020; 81:318–56. [DOI] [PMC free article] [PubMed] [Google Scholar]
- 11. Liu J, Li S, Liu J et al Longitudinal characteristics of lymphocyte responses and cytokine profiles in the peripheral blood of SARS‐CoV‐2 infected patients. EBioMedicine 2020; 55:102763. [DOI] [PMC free article] [PubMed] [Google Scholar]
- 12. Hadjadj J, Yatim N, Barnabei L, et al Impaired type I interferon activity and inflammatory responses in severe COVID‐19 patients. Science 2020;369(6504):718–24. [DOI] [PMC free article] [PubMed] [Google Scholar]
- 13. Wang F, Nie J, Wang H et al Characteristics of peripheral lymphocyte subset alteration in COVID‐19 pneumonia. J Infect Dis 2020; 221:1762–9. [DOI] [PMC free article] [PubMed] [Google Scholar]
- 14. Nie S, Zhao X, Zhao K, Zhang Z, Zhang Z, Zhang Z. Metabolic disturbances and inflammatory dysfunction predict severity of coronavirus disease 2019 (COVID‐19): a retrospective study. medRxiv 2020. 10.1101/2020.03.24.20042283. [DOI] [Google Scholar]
- 15. Zheng M, Gao Y, Wang G et al Functional exhaustion of antiviral lymphocytes in COVID‐19 patients. Cell Mol Immunol 2020; 17:533–5. [DOI] [PMC free article] [PubMed] [Google Scholar]
- 16. Jiang M, Guo Y, Luo Q et al T‐cell subset counts in peripheral blood can be used as discriminatory biomarkers for diagnosis and severity prediction of coronavirus disease 2019. J Infect Dis 2020; 222:198–202. [DOI] [PMC free article] [PubMed] [Google Scholar]
- 17. Moratto D, Chiarini M, Giustini V et al Flow cytometry identifies risk factors and dynamic changes in patients with COVID‐19. J Clin Immunol 2020; 40:970–3. [DOI] [PMC free article] [PubMed] [Google Scholar]
- 18. He R, Lu Z, Zhang L et al The clinical course and its correlated immune status in COVID‐19 pneumonia. J Clin Virol 2020; 127:104361. [DOI] [PMC free article] [PubMed] [Google Scholar]
- 19. Diao B, Wang C, Tan Y et al Reduction and functional exhaustion of T cells in patients with coronavirus disease 2019 (COVID‐19). Front Immunol 2020; 11:827. [DOI] [PMC free article] [PubMed] [Google Scholar]
- 20. Wan S, Yi Q, Fan S et al Relationships among lymphocyte subsets, cytokines, and the pulmonary inflammation index in coronavirus (COVID‐19) infected patients. Br J Haematol 2020; 189:428–37. [DOI] [PMC free article] [PubMed] [Google Scholar]
- 21. Zhang X, Tan Y, Ling Y et al Viral and host factors related to the clinical outcome of COVID‐19. Nature 2020; 583:437–40. [DOI] [PubMed] [Google Scholar]
- 22. Urra JM, Cabrera CM, Porras L, Rodenas I. Selective CD8 cell reduction by SARS‐CoV‐2 is associated with a worse prognosis and systemic inflammation in COVID‐19 patients. Clin Immunol 2020; 217:108486. [DOI] [PMC free article] [PubMed] [Google Scholar]
- 23. Vabret N, Britton GJ, Gruber C et al Immunology of COVID‐19: current state of the science. Immunity 2020; 52:910–41. [DOI] [PMC free article] [PubMed] [Google Scholar]
- 24. Du RH, Liang LR, Yang CQ et al Predictors of mortality for patients with COVID‐19 pneumonia caused by SARS‐CoV‐2: a prospective cohort study. Eur Respir J 2020; 55:2000524. [DOI] [PMC free article] [PubMed] [Google Scholar]
- 25. Liu Q, Fang X, Tokuno S et al Prediction of the clinical outcome of COVID‐19 patients using T lymphocyte subsets with 340 cases from Wuhan, China: a retrospective cohort study and a web visualization tool. medRxiv 2020. 10.1101/2020.04.06.20056127. [DOI] [Google Scholar]
- 26. Xu B, Fan CY, Wang AL et al Suppressed T cell‐mediated immunity in patients with COVID‐19: a clinical retrospective study in Wuhan, China. J Infect 2020; 81:e51–e60. [DOI] [PMC free article] [PubMed] [Google Scholar]
- 27. Luo M, Liu J, Jiang W, Yue S, Liu H, Wei S. IL‐6 and CD8+ T cell counts combined are an early predictor of in‐hospital mortality of patients with COVID‐19. JCI Insight 2020; 5:e139024. [DOI] [PMC free article] [PubMed] [Google Scholar]
- 28. Luo Y, Mao L, Yuan X et al Prediction model based on the combination of cytokines and lymphocyte subsets for prognosis of SARS‐CoV‐2 infection. J Clin Immunol 2020; 40:960–9. [DOI] [PMC free article] [PubMed] [Google Scholar]
- 29. Hospital General Universitario Gregorio Mara ñó n (HGUGM) . Protocolo de tratamiento COVID‐19 HGUGM [Treatment protocol for COVID‐19, HGUGM]. Madrid, Spain: HGUGM, 2020. [Google Scholar]
- 30. Omana‐Zapata I, Mutschmann C, Schmitz J et al Accurate and reproducible enumeration of T‐, B‐, and NK lymphocytes using the BD FACSLyric 10‐color system: a multisite clinical evaluation. PLOS ONE 2019; 14:e0211207. [DOI] [PMC free article] [PubMed] [Google Scholar]
- 31. Phan MT, Chun S, Kim SH et al Natural killer cell subsets and receptor expression in peripheral blood mononuclear cells of a healthy Korean population: reference range, influence of age and sex, and correlation between NK cell receptors and cytotoxicity. Hum Immunol 2017; 78:103–12. [DOI] [PubMed] [Google Scholar]
- 32. Pawelec G. The human immunosenescence phenotype: does it exist? Semin Immunopathol 2020; 42:537–44. [DOI] [PMC free article] [PubMed] [Google Scholar]
- 33. Klein SL, Flanagan KL. Sex differences in immune responses. Nat Rev Immunol 2016; 16:626–38. [DOI] [PubMed] [Google Scholar]
- 34. Sun D, Li H, Lu XX et al Clinical features of severe pediatric patients with coronavirus disease 2019 in Wuhan: a single center’s observational study. World J Pediatr 2020; 16:251–9. [DOI] [PMC free article] [PubMed] [Google Scholar]
- 35. Cooper MA, Fehniger TA, Caligiuri MA. The biology of human natural killer‐cell subsets. Trends Immunol 2001; 22:633–40. [DOI] [PubMed] [Google Scholar]
- 36. Vivier E, Tomasello E, Baratin M, Walzer T, Ugolini S. Functions of natural killer cells. Nat Immunol 2008; 9:503–10. [DOI] [PubMed] [Google Scholar]
- 37. Gayoso I, Sanchez‐Correa B, Campos C et al Immunosenescence of human natural killer cells. J Innate Immun 2011; 3:337–43. [DOI] [PubMed] [Google Scholar]
- 38. Zhou T, Su TT, Mudianto T, Wang J. Immune asynchrony in COVID‐19 pathogenesis and potential immunotherapies. J Exp Med 2020; 217:e20200674. [DOI] [PMC free article] [PubMed] [Google Scholar]
- 39. Jafarzadeh A, Jafarzadeh S, Nozari P, Mokhtari P, Nemati M. Lymphopenia an important immunological abnormality in patients with COVID‐19: possible mechanisms. Scand J Immunol 2020. 10.1111/sji.12967. [DOI] [PubMed] [Google Scholar]
- 40. Centers for Disease Control . Opportunistic infections and Kaposi’s sarcoma among Haitians in the United States. Morb Mort Wkly Rep 1982; 31:353–4, 60–61. [PubMed] [Google Scholar]
- 41. Schneider E, Whitmore S, Glynn KM et al Revised surveillance case definitions for HIV infection among adults, adolescents, and children aged < 18 months and for HIV infection and AIDS among children aged 18 months to < 13 years – United States, 2008. MMWR Recomm Rep 2008; 57:1–12. [PubMed] [Google Scholar]
- 42. Benito JM, Zabay JM, Gil J et al Quantitative alterations of the functionally distinct subsets of CD4 and CD8 T lymphocytes in asymptomatic HIV infection: changes in the expression of CD45RO, CD45RA, CD11b, CD38, HLA‐DR, and CD25 antigens. J Acquir Immune Defic 1997; 14:128–35. [DOI] [PubMed] [Google Scholar]
- 43. Carbone J, Gil J, Benito JM et al Increased levels of activated subsets of CD4 T cells add to the prognostic value of low CD4 T cell counts in a cohort of HIV‐infected drug users. AIDS 2000; 14:2823–9. [DOI] [PubMed] [Google Scholar]
- 44. Shin HS, Kim Y, Kim G et al Immune responses to middle east respiratory syndrome coronavirus during the acute and convalescent phases of human infection. Clin Infect Dis 2019; 68:984–92. [DOI] [PMC free article] [PubMed] [Google Scholar]
- 45. Cunha CB, Opal SM. Middle East respiratory syndrome (MERS): a new zoonotic viral pneumonia. Virulence 2014; 5:650–4. [DOI] [PMC free article] [PubMed] [Google Scholar]
- 46. He Z, Zhao C, Dong Q et al Effects of severe acute respiratory syndrome (SARS) coronavirus infection on peripheral blood lymphocytes and their subsets. Int J Infect Dis 2005; 9:323–30. [DOI] [PMC free article] [PubMed] [Google Scholar]
- 47. Yao Z, Zheng Z, Wu K, Junhua Z. Immune environment modulation in pneumonia patients caused by coronavirus: SARS‐CoV, MERS‐CoV and SARS‐CoV‐2. Aging 2020; 12:7639–51. [DOI] [PMC free article] [PubMed] [Google Scholar]
- 48. Li T, Qiu Z, Zhang L et al Significant changes of peripheral T lymphocyte subsets in patients with severe acute respiratory syndrome. J Infect Dis 2004; 189:648–51. [DOI] [PMC free article] [PubMed] [Google Scholar]
- 49. Rydyznski Moderbacher C, Ramirez SI, Dan JM et al Antigen‐specific adaptive immunity to SARS‐CoV‐2 in acute COVID‐19 and associations with age and disease severity. Cell 2020; 183:996–1012.e19. [DOI] [PMC free article] [PubMed] [Google Scholar]
- 50. Cunha LL, Perazzio SF, Azzi J, Cravedi P, Riella LV. Remodeling of the immune response with aging: immunosenescence and its potential impact on COVID‐19 immune response. Front Immunol 2020; 11:1748. [DOI] [PMC free article] [PubMed] [Google Scholar]
Associated Data
This section collects any data citations, data availability statements, or supplementary materials included in this article.
Data Availability Statement
The data that support the findings of this study are available from the corresponding author J. G.‐H. on reasonable request.
