Abstract
CoFeB-based ultrathin films with perpendicular magnetic anisotropy are promising for different emerging technological applications such as nonvolatile memories with low power consumption and high-speed performance. In this work, the dynamical properties of [CoFeB (tCoFeB)/Pd (10 Å)]5 multilayered ultrathin films (1 Å ≤ tCoFeB ≤ 5 Å) are studied by using two complementary methods: time-resolved magneto-optical Kerr effect and broadband ferromagnetic resonance. The perpendicular magnetization is confirmed for multilayers with tCoFeB ≤ 4 Å. The effective perpendicular magnetic anisotropy reaches a clear maximum at tCoFeB = 3 Å. Further increase of CoFeB layer thickness reduces the perpendicular magnetic anisotropy and the magnetization became in-plane oriented for tCoFeB ≥ 5 Å. This behaviour is explained by considering competing contributions from surface and magnetoelastic anisotropies. It was also found that the effective damping parameter αeff decreases with CoFeB layer thickness and for tCoFeB = 4 Å reaches a value of ~ 0.019 that is suitable for microwave applications.
Subject terms: Materials science, Nanoscience and technology, Physics
Introduction
Since the mid 1970s 1,2, materials with perpendicular magnetic anisotropy (PMA) have been studied for a large diversity of applications including, but not limited to, perpendicular recording media1–4, patterned magnetic media5,6, high-density spin-transfer torque magnetic random access memories (STT-MRAM)7–9 and more recently in skyrmion-based devices10–12 and synthetic antiferromagnets for biomedical applications13–15.
Among different materials, CoFeB-based thin films have received great attention since 2010, when Ikeda et al.9 demonstrated that this alloy in contact with a MgO layer can show PMA. This behaviour can be achieved when the CoFeB layer is thin enough, and the CoFeB/MgO interfacial anisotropy contribution9,16,17 overcomes the volumetric terms of the anisotropy energy18. Afterwards, several works have been focused on the optimization of the PMA in CoFeB thin films by using different materials for the capping and/or buffer layers19, including Ta20,21, Hf22,23, Mo24,25, Ru26,27, V26, Nb27, Pt28,29, Pd30–32 and Au33.
Moreover, CoFeB alloys show higher spin polarization than Co, Fe and Ni (up to 65% vs. around 45%)34, and can be grown with a tuned damping parameter (α)9,35. Since damping determines the temporal performance of magnetic devices such as the timescale for magnetization reversal or spin-transfer-torque (STT) switching, α is a key parameter for the development of several technological applications. In particular, materials with low α have been suggested for high-speed spintronic devices, such as in STT-based systems with low switching and power consumption8,36, as well as in magnetic tunnel junctions (MTJs) with high signal-to-noise ratio9, and in magnonic devices37. On the other hand, systems with high α values have been suggested for spin pumping and inverse spin Hall effect applications38–40. Therefore, understanding the behaviour of the α parameter is of particular importance.
Although it was reported that the Gilbert damping (αGilbert) for Co40Fe40B20 alloy can be as low as 0.00441,42, the estimated effective damping (αeff) increases substantially at low thickness9 which is detrimental to the development of STT- and MTJs-based devices. For example, it was reported that 1 or 1.3 nm thick CoFeB layers with PMA show αeff parameters of 0.01235 and 0.0279, respectively. This rise has been associated with the fact that the αeff parameter contains contributions from both intrinsic and extrinsic terms43. The intrinsic term or αGilbert is constant with the resonance frequency but shows temperature dependence43,44. Devolder et al.35 studied the correlation between αGilbert and the g-factor (g) in CoFeB thin films as a function of the alloy composition and annealing conditions. As it was expected in transition metals, the dependence αGilbert ≈ (g − 2)2 was reported45.
On the other hand, it has been suggested that the extrinsic term can be due to different effects such as46:
An inhomogeneity contribution based on the local variations of the magnetization and/or the magnetic anisotropy field due to structural defects and/or thickness variations43. In particular, Devolder et al.35 studied the damping parameter of CoxFe80−xB20 ultrathin films and reported that the inhomogeneity term should be constant with the resonance frequency while it should depend on the sample composition, thickness, and materials used for the capping and/or buffer layers.
A two-magnon scattering (TMS) contribution47,48. Regarding this term, Liu et al.41 performed out-of-plane angular dependence FMR measurements of CoFeB thin films, and they reported that the damping mechanism depends on the layer thickness. It was suggested that αeff is mainly governed by the Gilbert damping in thicker (≥ 4 nm) CoFeB films, while inhomogeneous broadening and two-magnon scattering are the main factors for films thinner than 2 nm.
A contribution from the spin-pumping effect49,50. Although this effect was first suggested by Berger51, it was experimentally confirmed by Mizukami et al.52,53 that the damping of non-magnetic/magnetic/non-magnetic trilayers depends on the non-magnetic material. Large damping parameters were determined when non-magnetic materials with a strong spin–orbit coupling, such as Pt and Pd, were used. Iihama et al.20 investigated the damping parameter of Ta/CoFeB/MgO and Ta/CoFeB/Ta thin films using an all-optical pump-probe method, and they claimed that the enhancement of αeff is caused by the spin pumping effect at the Ta/CoFeB interfaces.
Any change in the magnetization of a ferromagnetic material placed on top of a coplanar waveguide (CPW) induces eddy currents. These eddy currents generate a magnetic field in the ferromagnet that opposes the original change and provides a damping mechanism (αeddy)54,55. Moreover, the generated eddy currents also affect the CPW, and an extra damping mechanism, known as radiative damping (αrad), should be considered56,57.
Although CoFeB/Pd multilayers with strong PMA were first reported in 201030,31, subsequent works have been mainly focused on understanding the contributions of the volumetric (Kv) and surface (Ks) anisotropy terms to the PMA as a function of the CoFeB layer thickness and the number of CoFeB/Pd bilayers32,58,59. In this paper, we have studied the dynamical behaviour of ultrathin [CoFeB (tCoFeB)/Pd (10 Å)]5 films with CoFeB thicknesses ranging from 1 to 5 Å by using both vector network analyzer based ferromagnetic resonance (VNA-FMR) and time-resolved magneto-optical Kerr effect (TR-MOKE) measurements. We observed that PMA was achieved for tCoFeB ≤ 4 Å, and both Kv and Ks were estimated. In addition, we have performed a systematic study of previously unreported characteristic magnetic parameters such as the CoFeB saturation magnetization and the damping parameter in ultrathin CoFeB/Pd films. Moreover, the effective damping parameter and its related intrinsic and extrinsic contributions were analyzed as a function of tCoFeB.
Results and discussion
Figure 1a and b show the in-plane and out-of-plane hysteresis loops of the [CoFeB (tCoFeB)/Pd (10 Å)]5 multilayer stacks, respectively. The loops indicated that our samples show PMA when the CoFeB thickness (tCoFeB) ranged from 1 to 4 Å. However, the easy magnetization axis lays in-plane for the largest tCoFeB (5 Å).
Figure 1.
In-plane (a) and out-of-plane (b) hysteresis loops of [CoFeB (tCoFeB)/Pd (10 Å)]5 multilayer thin films with tCoFeB = 1 (Black filled square), 2 (red open square), 3 (green filled circle), 4 (dark blue open circle) and 5 Å (light blue filled triangle).
Magnetic moment
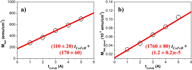
Moreover, the hysteresis loops were used to obtain the values of the saturation magnetization (MSat), which are shown in Fig. 2a. We observed that MSat increases with the CoFeB film thickness from (280 ± 50) to (700 ± 50) emu/cm3 for tCoFeB = 1 and 5 Å, respectively. This behavior was already observed in ultrathin films, such as for example in Pt/Co/Pt60, Ta/CoFeB (t nm)/SiO2 (t = 1, 2, 3, 4, 6, 10 13 nm)61, [Co (t nm)/Pd]862 and [CoFeB (t nm)/Pd (1.0 nm)]10 (t = 0.4, 0.6, 0.8, 1.0 and 1.2 nm) multilayer films32 with perpendicular anisotropy.
Figure 2.
(a) Saturation magnetization, MSat as a function of the CoFeB layer thickness (tCoFeB). (b) MSat_sheet as a function of the CoFeB layer thickness (tCoFeB). The continuous red lines are linear fits.
As the CoFeB thickness was varied, while both the Pd thickness (1 nm) and the number of CoFeB/Pd bilayers (5) were kept constant, the rise of MSat with the CoFeB film thickness could be associated with the increase of the volume magnetic moment contribution while the surface/interface magnetization term should remain constant32. Therefore, the experimental magnetization data can be fitted by a linear dependence (the continuous line in Fig. 2a) and the surface/interfacial magnetization term can be estimated from the extrapolation of this linear dependence to zero thickness. Our analysis determined that the surface/interfacial magnetization of CoFeB/Pd interfaces is (170 ± 60) emu/cm3, which agrees with the value of (180 ± 10) emu/cm3 reported by Ngo et al.32.
In addition, the magnetization per unit area (MSat_sheet) vs. the CoFeB film thickness (tCoFeB) is shown in Fig. 2b. As described by Engel et al.63, MSat_sheet in superlattices can be estimated from
| 1 |
where I is the measured magnetic moment, N is the number of bilayers, A is the area of the films (determined from the software analysis of digital photographs of the samples), Meff_CoFeB is the effective CoFeB saturation magnetization, tCoFeB is the CoFeB layer thickness, Meff_Pd is the effective magnetization of the polarized Pd induced by the ferromagnetic proximity effect63–65, and tPd is the Pd layer thickness (10 Å). A linear fit of (MSat_sheet vs. tCoFeB) is also plotted in Fig. 2b. Assuming that the magnetic moment is uniformly induced in the entire Pd layer, Meff_Pd = (120 ± 20) emu/cm3 was estimated from the extrapolation of the linear fit to zero CoFeB layer thickness (tCoFeB = 0 Å). This saturation magnetization is in good agreement with previous studies on Co/Pd multilayers64–66. Additionally, an effective CoFeB saturation magnetization value of Meff_CoFeB = (1760 ± 80) emu/cm3 was obtained from the linear fit slope.
This value seems to be too large in comparison with the values previously reported for Co40Fe40B20 thin films and estimated from the hysteresis loops (100030 or 1034 emu/cm331,67), ferromagnetic resonance measurements (1019 emu/cm368) or the linear fit of the magnetization per unit area (MSat_sheet) vs the CoFeB film thickness (112069, 115025 or 1200 emu/cm326). Usually, such large Msat values have been reported for CoFeB alloys fabricated with lower B concentration, such as ≈ 1670 and 1830 emu/cm3 for (Co35Fe65)90B10 and (Co35Fe65)87.5B2.5 respectively70, or in CoFeB multilayers in which the boron atoms diffused out of the CoFeB alloy due to the application of an annealing process (1900 emu/cm3 for Ta/Co40Fe40B20/MgO multilayers)71. However, in 2013, Sinha et al.72 studied the perpendicular magnetic anisotropy in Ta/CoFeB (t nm)/MgO multilayers with CoFeB thickness ranging from 0.8 to 5 nm. In agreement with the literature, they reported that the linear fit slope of (MSat_sheet vs. t) provides an effective CoFeB saturation magnetization of Meff_CoFeB = 1210 emu/cm3 for thicker samples (t ≥ 2.2 nm). But large Meff_CoFeB values, such as 1790 emu/cm3, were determined for the thinnest CoFeB layers (t ≤ 2.2 nm). Therefore, it was suggested that the effective saturation magnetization increases from its bulk value below a certain magnetic layer thickness. This behaviour was confirmed in our work as well as in Ref.32, where Ngo et al. reported Meff_CoFeB = 1550 emu/cm3 in CoFeB (t nm)/Pd multilayered thin films.
Anisotropy energy terms
The origin of PMA in ultrathin multilayer stacks, such as (CoFeB/Noble metal) bilayers, is based on the competition between the volumetric (Kv) and surface (Ks) terms of the anisotropy energy18. To distinguish between both contributions, we performed ferromagnetic resonance measurements when the DC external field was applied perpendicular to the sample plane. In general, the FMR spectrum of a thin film depends significantly on the presence of different anisotropies, such as the magnetocrystalline, shape, magnetoelastic and surface contributions, and it can be described through the Kittel equation20,73,74:
| 2 |
where (γ/2π) = (gµ0/h) is the gyromagnetic ratio; g is the g-factor; µ0 is the Bohr magneton; h is Planck's constant; H is the external applied DC magnetic field; Heff is the effective anisotropy field, that is positive for the films with perpendicular magnetization in the absence of external magnetic field and negative for films with in-plane magnetization; θH is the angle of the external applied magnetic field and θ0 is the equilibrium angle of the sample magnetization. The equilibrium angle θ0 can be derived from the equation:
| 3 |
When thin films are saturated and θH = θ0, Eq. (2) can be reduced to74:
| 4 |
Figure 3a shows the perpendicular VNA-FMR spectrum of the [CoFeB (4 Å)/Pd (10 Å)]5 multilayer thin film with PMA as well as a black line, which corresponds to the fits using the Kittel formula (Eq. 4).
Figure 3.
(a) VNA-FMR spectra of the [CoFeB (4 Å)/Pd (10 Å)]5 multilayer thin film with the external magnetic field applied perpendicularly to the sample plane. The black line corresponds to the fits using the Kittel formula (Eq. 4). (b) Time-resolved magneto-optical Kerr effect (TR-MOKE) signals of a [CoFeB (2 Å)/Pd (10 Å)]5 multilayer thin film under different external applied fields (H = 5650, 5060, 4695, 4310 Oe and 3900 Oe) and when H was applied at θH = 78°. Theoretical curves (solid curves) are fits to the experimental data (open symbols) using Eq. (5). Data was moved along the vertical axis for clarity.
However, we should note that we were not able to achieve a good signal-to-noise ratio from samples with the thinnest CoFeB thicknesses (tCoFeB = 1–3 Å). For these samples, our analyses were complemented by performing TR-MOKE measurements. All-optical pump–probe technique has been successfully used for understanding the dinamical response of the ultrafast magnetization, the magnetization precession and the effective damping, in materials with perpendicular anisotropy such as [Co/Pt]n75,76 and [Co/Pd]862 multilayers, L10-FePt alloy epitaxial thin films73 or Ta/CoFeB/MgO(Ta) thin films20. As an example, Fig. 3b shows the TR-MOKE signals for [CoFeB (2 Å)/Pd (10 Å)]5 and as a function of the external applied magnetic field. An ultrafast demagnetization process on the subpicosecond timescale is observed after the application of the pump pulse, followed by a quick remagnetization stage that shows a precessional response in the last section. Both the ferromagnetic resonance frequency (fFMR) and the damping parameter (α) characterize the oscillatory response of the magnetization and it can be fitted by73,77:
| 5 |
where θ0 and A are the background magnitudes, and t0 is the background recovery time. The final term represents the precessional motion where B, fFMR, φ and τ are the amplitude, frequency, phase, and relaxation time, respectively. A good agreement between the model and the experimental data is shown in Fig. 3 (b) and the fits of the fFMR field-dependence were performed through the set of Eqs. (2) and (3)20,73.
The main results of our VNA-FMR and TR-MOKE fits are summarized in Table 1. The gyromagnetic ratio and g-factor did not show any significant dependence with the CoFeB thickness, and we obtained average values of (2.99 ± 0.03) GHz/kOe and (2.14 ± 0.03), respectively, in agreement with the literature23,35,68,78.
Table 1.
Summary of the results for [CoFeB/Pd]N multilayer systems (N = 5 bilayers) as a function of the CoFeB thickness (tCoFeB): the saturation magnetization (Msat) extracted from VSM; the gyromagnetic ratio (γ/2π) and g-factor (g) determined from VNA-FMR fits using Eq. (4); Effective anisotropy field (Heff) determined from VNA-FMR (Eq. 4) and TR-MOKE (Eqs. 2, 3 and 5); Effective anisotropy energy (Keff) determined from Eq. (6); The effective damping (αeff) determined from VNA-FMR and TR-MOKE. Data extracted from the VNA-FMR measurements is shown in black. Data extracted from the TR-MOKE measurements is given in italics and red.
On the other hand, and as observed in the hysteresis loops, the fitted data of Heff shows a transition from positive values for tCoFeB ≤ 4 Å, meaning that the multilayer films show perpendicular magnetization in the absence of external magnetic field, to negative ones (with in-plane magnetization) for tCoFeB = 5 Å (See Fig. 4a). The sample with perpendicular magnetization and the larger positive Heff values corresponds to the multilayer thin film with tCoFeB = 3 Å. Also, we should note that the Heff value for tCoFeB = 1 Å is larger than for tCoFeB ≥ 2 Å. This behavior, in combination with the fact that Co20Fe60B20, with a body-centered-cubic (bcc) crystalline structure, has a lattice parameter of 2.86 Å79, leads us to believe that both the 1 and 2 Å thick CoFeB layers are discontinuous thin films. Even, the continuity of the 3 Å thick CoFeB layers could be in question, which will be suggested below during the discussion related to the damping parameter. So for now, both thinner samples (tCoFeB = 1 and 2 Å) were excluded in the subsequent analysis.
Figure 4.
(a) Heff and (b) (tCoFeB+Pd × Keff_CoFeB) as a function of the CoFeB layer thickness (tCoFeB = 1 – 5 Å) for [CoFeB (tCoFeB)/Pd (10 Å)]5 multilayer thin films. While black open circle are the experimental data determined from the VNA-FMR measurements, black open triangle were determined from the TR-MOKE studies. The red solid line in (b) is the fitting to the model described by Eq. (8).
From the fitted data, the effective anisotropy energy (Keff) can be estimated according to (summarized in Table 1):
| 6 |
Moreover, Keff can be phenomenologically separated into a volume contribution Kv (erg/cm3) and a contribution from the interfaces Ks (erg/cm2), and it can be approximately described by the Néel model80:
| 7 |
where the origin of the factor of 2 in the last term is due to the presence of two identical interfaces per magnetic layer, and t is the magnetic layer thickness. Therefore, both Kv and Ks can be obtained by plotting (t × Keff) versus t. According to the Néel model80, (t × Keff) should show a linear dependence on t, where Kv is the linear dependence slope, and 2Ks corresponds to the intercept with the vertical axis. However, our data shows a deviation from the linear behavior at small CoFeB thicknesses (see Fig. 4b) as already observed in different systems like in Co/Au81 and Ni/Cu82–84 multilayer thin films. This deviation was explained using a phenomenological model that includes the shape anisotropy term, the bulk magnetocrystalline and magnetoelastic anisotropy energies, the surface magnetocrystalline and surface magnetoelastic anisotropy terms83 or the second-order of the magnetoelastic contribution84.
More recently, this non-linearity was also reported for NM/CoFeB/MgO thin films (where NM was Ta69 or Hf23) and it was fitted using the equation proposed by Gowtham et al.69:
| 8 |
where is the effective volumetric contribution that should include the shape anisotropy term and both the bulk magnetocrystalline and bulk magnetoelastic anisotropy energy contributions; is the effective surface term that includes the surface magnetocrystalline and magnetoelastic anisotropy terms as well as the second-order term of the bulk magnetoelastic contribution; and coefficient is related to the second-order term of the surface magnetoelastic contribution.
In agreement with Engel et al.63, we have estimated that (tCoFeB x Keff_CoFeB) = (tCoFeB+Pd x Keff) where tCoFeB+Pd (tCoFeB) is the thickness of the CoFeB/Pd bilayer (CoFeB layer), Keff is the measured effective anisotropy energy of the [CoFeB/Pd]5 system and Keff_CoFeB is the effective anisotropy energy of a CoFeB thin film. Therefore, both Kv_CoFeB and Ks_CoFeB can be obtained by plotting (tCoFeB x Keff_CoFeB) versus tCoFeB (shown in Fig. 4b). Using Eq. (8) to fit the experimental data, we have estimated that , and . Our values are close to the data previously reported in the literature for Hf/CoFeB/MgO23 and Ta/CoFeB/MgO thin films69.
Assuming that the CoFeB layer is amorphous, its bulk magnetocrystalline anisotropy energy contribution should be null. Therefore, we suggest that the volumetric term could be formed by:
| 9 |
where is the shape anisotropy term and is the magnetoelastic anisotropy contribution.
As thin films are generally in a state of biaxial stress (σx = σy = σin_plane and σz = σout_of_plane = 0), the magnetoelastic anisotropy term can be defined by18,85:
| 10 |
where λs and σin_plane are the saturation magnetostriction coefficient and the in-plane applied stresses, respectively. Moreover, σin_plane is related to the in-plane strain εin_plane, via the Young's modulus (E) and the Poisson ratio (ν)86:
| 11 |
As the magnetoelastic anisotropy term favors that the magnetization lies perpendicular to the sample plane and the saturation magnetostriction coefficient of amorphous Fe40Co40B20 is positive λs = 20 × 10–687, the magnetic layer should be under tensile stress with σin_plane ≈ (11 ± 3) × 1010 dyne/cm2 (≈ (11 ± 3) GPa). Using the Young's modulus E = 160 × 1010 dyne/cm2 (= 160 GPa) for CoFeB and the Poisson ratio ν = 1/388, the analysis indicates a tensile in-plane strain of εin_plane ≈ (0.05 ± 0.01). This value is of the same order of magnitude than the strains reported by Gowtham et al.69 for Hf/Co20Fe60B20/MgO heterostructures with thicker CoFeB layers. The in-plane tensile strain in our ultrathin films should be related to the large lattice mismatch (≈36%)18 between Pd (3.88 Å)89 and CoFeB (2.86 Å for bcc)79 lattice parameters.
Effective damping
We then studied the behaviour of the damping parameter (α) as a function of the CoFeB thin film thickness and it was extracted from the frequency linewidths (ΔfFMR) in the VNA-FMR spectra. It was experimentally observed that the measured frequency linewidths (ΔfFMR) are broadened by extrinsic contributions, which affect the calculations of the damping parameter90. Therefore, we used ΔfFMR to determine the apparent damping by90:
| 12 |
Although αapp and the intrinsic damping may differ, we should note that αapp should give an upper limit for the intrinsic or Gilbert damping (αGilbert). Open symbols in Fig. 5a and b show the typical curves of the apparent damping versus the external applied magnetic field for the multilayers with tCoFeB = 4 and 3 Å, respectively. Although we cannot distinguish between the different extrinsic contributions to the linewidth, it is observed that αapp approaches a constant value for large applied fields. We have defined this value as the effective damping αeff (see red lines in Figs. 5a and b).
Figure 5.
Apparent damping αapp as a function of the external applied magnetic field for CoFeB layer thickness of tCoFeB = 4 (a) and 3 Å (b), extracted from VNA-FMR spectra (blavk open circle) and pump-probe measurements (black filled circle). The red (blue) solid lines are the average of αapp determined from the VNA-FMR spectra (pump-probe measurements) for large applied fields and correspond to the αeff.
Again, we should note that the signal-to-noise ratio is significantly low for those samples with the thinnest CoFeB thicknesses (tCoFeB ≤ 3 Å), so optical studies were required to complete our analysis. From the pump-probe measurements, αapp can be determined using73,91:
| 13 |
where fFMR is the resonance frequency and τ is the relaxation time. Both values were fitting parameters in Eq. (5) and they were used to analyze the precessional dynamics (as it was shown in Fig. 3b). Figure 5a and b show the apparent damping versus the external applied magnetic field for multilayers with tCoFeB = 4 and 3 Å, respectively. Again αapp approaches a constant value for large applied fields and we assumed that this value is αeff (see blue lines in Fig. 5a and b).
The evolution of the effective damping (αeff) vs. the CoFeB film thicknesses (tCoFeB) obtained by combining both types of measurements is summarized in Table 1 and shown in Fig. 6. It is important to note that both VNA-FMR and pump-probe have provided similar values. As one can see, samples may be separated into two groups: tCoFeB ≤ 3 Å and tCoFeB ≥ 4 Å. For the first group, the value of αeff is large and decreases quickly with thickness increase. It reaches some kind of saturation at tCoFeB = 4 Å and decreases only slightly (by 10%) for tCoFeB = 5 Å. As Azzawi et al.92 reported in 2016, the non-continuity of thin films leads to the increase of the extrinsic contribution to the damping by adding an extra two-magnon scattering term. Therefore, we have suggested that the increase of αeff for the thinnest CoFeB layers (tCoFeB ≤ 3 Å) could be related to the abrupt rise of the two-magnon scattering contribution due to the non-continuity of the ultrathin layers.
Figure 6.

Evolution of the effective damping (αeff) versus tCoFeB and determined from the TR-MOKE measurements (black open triangle), the perpendicular VNA-FMR (black filled circle) and the in-plane VNA-FMR (red open circle) measurements.
To better understand the effective damping of the samples with nearly continuous CoFeB layers (tCoFeB = 4 and 5 Å), we have tried to distinguish different contributions to the damping parameter that were briefly described in the introduction section. Remembering that eddy currents become important when the magnetic film thickness is comparable to or greater than the skin depth90, and the radiative damping is proportional to the magnetic layer thickness57, neither αeddy nor αrad should have significant contributions in our ultrathin films and they could be ignored. On the other hand, the literature suggests that the two-magnon scattering contribution (αTMS) is minimized in the perpendicular geometry, such as the one mainly used in this work93. In particular, Liu et al.41 studied the angular dependence of the two-magnon scattering contribution in a CoFeB thin film and confirmed that this effect is suppressed in the perpendicular configuration. They determined that the two-magnon contribution is significant when the sample magnetization angle, relative to the perpendicular direction or 0°, is pointed to an angle larger than 45°. Even αTMS can achieve a value as large as the intrinsic damping in the in-plane configuration. Therefore, the αTMS contribution could also be disregarded and the total measured damping should be mainly composed of the intrinsic term and the spin-pumping contribution:
| 14 |
The spin-pumping contribution αs-p can be defined using the formula94–96:
| 15 |
where g is the g-factor; µ0 = (9.27400915 × 10–21) erg/Oe is the Bohr magneton; Meff_CoFeB = (1760 ± 80) emu/cm3 and tCoFeB are the effective saturation magnetization moment and the thickness of the CoFeB layer, respectively; g↑↓ is the CoFeB/Pd interface spin mixing conductance; tPd = 0.5 nm is half the Pd layer thickness and λPd = 9 nm95 is the spin diffusion length for Pd layer. The factor of 2 is related to the fact that the CoFeB layer is sandwiched by two Pd layers.
Considering the damping value for tCoFeB = 4 Å (αeff = (0.019 ± 0.001)) and assuming that αGilbert = 0.00441,42,97, we have estimated that αs-p ≈ (0.015 ± 0.001). From Eq. (15), the CoFeB/Pd interface spin mixing conductance value should be g↑↓ ≈ (3 × 10+15) cm−2. Although this is a rough estimation, g↑↓ is of the same order of magnitude than the values already reported in the literature, particularly 2.21 × 10+15 cm−2 for a CoFeB/Pd interface98 or 0.722 × 10+15 cm−2 for a β-Ta/CoFeB interface61.
Finally, we estimated the two-magnon term (αTMS) for the sample with the most perfectly continuous CoFeB layers, namely the one with tCoFeB = 5 Å. As it was mentioned above, αTMS is negligible in the perpendicular geometry but can have an important contribution in the in-plane configuration. Therefore, for this sample we have compared the damping parameter, determined from in-plane VNA-FMR measurement (shown in Fig. 6) with the perpendicular one. While αeffOP = (0.018 ± 0.001), the in-plane value is αeffIP = (0.037 ± 0.008). Assuming that the difference between both values is due to the two-magnon contribution, we estimated that αTMS = (0.019 ± 0.005), confirming the importance of αTMS in the in-plane configuration and in agreement with literature41.
Summarizing, we have studied the magnetic behaviour of [CoFeB/Pd]5 multilayered thin films using two complementary techniques. The thicknesses of the CoFeB films reported in the literature have usually ranged between 0.5 nm to a few tens of nm. Here, we focused our attention in multilayers where tCoFeB was varied between 1 and 5 Å. Our analysis determined an increase of the effective saturation magnetization from its bulk value to Meff_CoFeB = (1760 ± 80) emu/cm3. PMA was observed in the as-cast samples for CoFeB layer thickness ≤ 4 Å. This behaviour was modeled by considering volumetric and surface anisotropy contributions. Then, we confirmed the presence of a strong surface anisotropy contribution as well as a magnetoelastic anisotropy term. This last term suggests that our ultrathin CoFeB films are under in-plane tensile strain. Finally, an effective damping parameter as low as αeff ≈ (0.019 ± 0.001) was observed for the multilayer with 4 Å CoFeB thickness. We suggested that for tCoFeB ≥ 4 Å the layer is continuous and the main contribution to effective damping is coming from spin-pumping when for lower thicknesses αeff is dominated by two-magnon scattering.
Methods
[CoFeB (tCoFeB)/Pd (10 Å)]5 multilayer thin films were sandwiched between a Ta(20 Å)/Pd(20 Å) seed bilayer and a 50 Å Pd capping layer. Samples were deposited at room temperature on Si(100) substrates using confocal dc magnetron sputtering with a base pressure below 2 × 10−10 Torr and an Ar working gas pressure of 5 mTorr (more details are given in Ref.58). The CoFeB layer thickness (tCoFeB) was varied between 1 and 5 Å and this alloy was sputtered from a Co40Fe40B20 target.
While room temperature magnetic hysteresis loops were measured in a vibrating sample magnetometer (VSM), the dynamical behaviour was studied by comparing TR-MOKE and VNA-FMR measurements. FMR measurements were carried out at room temperature using a coplanar waveguide (CPW) connected to a vector network analyzer. The samples were placed film down on the CPW, and the complex S21 parameter was measured as a function of the external magnetic field over a frequency range up to 20 GHz99. The external DC magnetic field (H) was applied along (θH = 90°) or perpendicular (θH = 0°) to the sample plane for in-plane and perpendicular measurements, respectively, and was always perpendicular to the ac field generated by the CPW. On the other hand, the dynamical response of the magneto-optical signals was obtained by an ultrafast pump-probe system based on a commercial Titanium:sapphire laser amplifier (Femtolasers Compact Pro CE-phase) delivering sub-30-fs laser pulses (approximately 40 nm bandwidth centered at 800 nm) with ~ 1 mJ of energy at a repetition rate of 1 kHz and with carrier-envelope phase (CEP) stabilization capability, seeded by a CEP-stabilised ultrafast laser oscillator (Femtolasers Rainbow). Time-resolved measurements were performed in polar MOKE configuration using 0.7% and 99.3% of the pulse energy for the probe and pump pulses, respectively. The spot size ratio between the pump and probe beams was adjusted to be 4:1 to assure that the probe spot hits a homogeneous pump illuminated area of the sample, and the pump fluence was fixed to 2 mJ/cm2. In order to increase the signal-to-noise ratio of the TR-MOKE signal, the external DC magnetic field was applied at an angle of θH = 78°100. All-optical measurements were performed under ambient conditions.
Acknowledgements
This work was supported by the Portuguese Fundação para a Ciência e a Tecnologia (FCT) and COMPETE 2020 (FEDER) under the projects MIT-EXPL/IRA/0012/2017, POCI-01-0145-FEDER-031302, PTDC/FIS- OTI/32213/2017, EXPL/IF/00541/2015 and UIDB/04968/2020. The authors also acknowledge financial support from the European Union's Horizon 2020 research and innovation programme under the Marie Sklodowska-Curie grant agreement No. 734801 (MAGNAMED Project). The Portuguese team acknowledges the Network of Extreme Conditions Laboratories-NECL support through the project NORTE-01-0145-FEDER-022096. D.N. acknowledges the Spanish Ministry for Science, Innovation and Universities, for funding through the "Ramón y Cajal" program RYC-2017-22820. C.G. acknowledges the financial support received by ANID FONDECYT/REGULAR 1201102, ANID FONDEQUIP EQM140161, and ANID PIA/APOYO AFB180002.
Author contributions
A.S.S., I.J.S., G.N.K., H.C. and D.N. designed the study. C.G. fabricated the samples. A.S.S., S.P.S., S.A.B. performed the measurements. A.S.S., S.A.B., C.G. and G.N.K. discussed the interpretation and the relevance of the FMR-VNA results. A.S.S., I.J.S., H.C. and D.N. discussed the interpretation and the relevance of the pump-probe results. The manuscript was written through the contributions from all the authors. All the authors have given approval to the final version of the manuscript.
Competing interests
The authors declare no competing interests.
Footnotes
Publisher's note
Springer Nature remains neutral with regard to jurisdictional claims in published maps and institutional affiliations.
References
- 1.Iwasaki S, Nakamura Y. The magnetic field distribution of a perpendicular recording head. IEEE Trans. Magn. 1978;14:436–438. doi: 10.1109/TMAG.1978.1059896. [DOI] [Google Scholar]
- 2.Iwasaki S, Nakamura Y, Ouchi K. Perpendicular magnetic recording with a composite anisotropy film. IEEE Trans. Magn. 1979;61:1456–1458. doi: 10.1109/TMAG.1979.1060448. [DOI] [Google Scholar]
- 3.Richter HJ. The transition from longitudinal to perpendicular recording. J. Phys. D. 2007;40:R149. doi: 10.1088/0022-3727/40/9/R01. [DOI] [Google Scholar]
- 4.Piramanayagam SN, Srinivasan K. Recording media research for future hard disk drives. J. Magn. Magn. Mater. 2009;321:485–494. doi: 10.1016/j.jmmm.2008.05.007. [DOI] [Google Scholar]
- 5.Terris BD, Thomson T. Nanofabricated and self-assembled magnetic structures as data storage media. J. Phys. D. 2005;38:R199. doi: 10.1088/0022-3727/38/12/R01. [DOI] [Google Scholar]
- 6.Moser A, Hellwig O, Kercher D, Dobisz E. Off-track margin in bit patterned media. Appl. Phys. Lett. 2007;91:162502. doi: 10.1063/1.2799174. [DOI] [Google Scholar]
- 7.Khvalkovskiy AV, et al. Basic principles of STT-MRAM cell operation in memory arrays. J. Phys. D. 2013;46:074001. doi: 10.1088/0022-3727/46/7/074001. [DOI] [Google Scholar]
- 8.Mangin S, et al. Current-induced magnetization reversal in nanopillars with perpendicular anisotropy. Nat. Mater. 2006;5:210–215. doi: 10.1038/nmat1595. [DOI] [Google Scholar]
- 9.Ikeda S, et al. A perpendicular-anisotropy CoFeB–MgO magnetic tunnel junction. Nat. Mater. 2010;9:721–724. doi: 10.1038/nmat2804. [DOI] [PubMed] [Google Scholar]
- 10.Fert A, Cros V, Sampaio J. Skyrmions on the track. Nat. Nanotechnol. 2013;8:152–156. doi: 10.1038/nnano.2013.29. [DOI] [PubMed] [Google Scholar]
- 11.Moreau-Luchaire C, et al. Additive interfacial chiral interaction in multilayers for stabilization of small individual skyrmions at room temperature. Nat. Nanotechnol. 2016;11:444–448. doi: 10.1038/nnano.2015.313. [DOI] [PubMed] [Google Scholar]
- 12.Woo S, et al. Observation of room-temperature magnetic skyrmions and their current-driven dynamics in ultrathin metallic ferromagnets. Nat. Mater. 2016;15:501–506. doi: 10.1038/nmat4593. [DOI] [PubMed] [Google Scholar]
- 13.Mansell R, et al. Magnetic particles with perpendicular anisotropy for mechanical cancer cell destruction. Sci. Rep. 2017;7:4257. doi: 10.1038/s41598-017-04154-1. [DOI] [PMC free article] [PubMed] [Google Scholar]
- 14.Vemulkar T, Mansell R, Petit DCMC, Cowburn RP, Lesniak MS. Highly tunable perpendicularly magnetized synthetic antiferromagnets for biotechnology applications. Appl. Phys. Lett. 2015;107:012403. doi: 10.1063/1.4926336. [DOI] [PMC free article] [PubMed] [Google Scholar]
- 15.Peixoto L, et al. Magnetic nanostructures for emerging biomedical applications. Appl. Phys. Rev. 2020;7:011310. doi: 10.1063/1.5121702. [DOI] [Google Scholar]
- 16.Endo M, Kanai S, Ikeda S, Matsukura F, Ohno H. Electric-field effects on thickness dependent magnetic anisotropy of sputtered MgO/Co40Fe40B20/Ta structures. Appl. Phys. Lett. 2010;96:212503. doi: 10.1063/1.3429592. [DOI] [Google Scholar]
- 17.Bersweiler M, Sato H, Ohno H. Magnetic and FREE-LAYER PROPERTIES of MgO/(Co)FeB/MgO structures: dependence on CoFeB composition. IEEE Magn. Lett. 2017;8:3109003. doi: 10.1109/LMAG.2017.2748929. [DOI] [Google Scholar]
- 18.Johnson MT, Bloemen PJH, den Broeder FJA, de Vries JJ. Magnetic anisotropy in metallic multilayers. Rep. Prog. Phys. 1996;59:1409–1458. doi: 10.1088/0034-4885/59/11/002. [DOI] [Google Scholar]
- 19.Dieny B, Chshiev M. Perpendicular magnetic anisotropy at transition metal/oxide interfaces and applications. Rev. Mod. Phys. 2017;89:025008. doi: 10.1103/RevModPhys.89.025008. [DOI] [Google Scholar]
- 20.Iihama S, et al. Gilbert damping constants of Ta/CoFeB/MgO(Ta) thin films measured by optical detection of precessional magnetization dynamics. Phys. Rev. B. 2014;89:174416. doi: 10.1103/PhysRevB.89.174416. [DOI] [Google Scholar]
- 21.Watanabe K, et al. Dependence of magnetic properties of MgO/CoFeB/Ta stacks on CoFeB and Ta thicknesses. Jpn. J. Appl. Phys. 2015;54:04DM04. doi: 10.7567/JJAP.54.04DM04. [DOI] [Google Scholar]
- 22.Liu T, Cai JW, Sun L. Large enhanced perpendicular magnetic anisotropy in CoFeB/MgO system with the typical Ta buffer replaced by an Hf layer. AIP Adv. 2012;2:032151. doi: 10.1063/1.4748337. [DOI] [Google Scholar]
- 23.Lourembam J, et al. Thickness-dependent perpendicular magnetic anisotropy and gilbert damping in Hf/Co20Fe60B20/MgO heterostructures. Phys. Rev. Appl. 2018;10:044057. doi: 10.1103/PhysRevApplied.10.044057. [DOI] [Google Scholar]
- 24.Liu T, Zhang Y, Cai JW, Pan HY. Thermally robust Mo/CoFeB/MgO trilayers with strong perpendicular magnetic anisotropy. Sci. Rep. 2014;4:5895. doi: 10.1038/srep05895. [DOI] [PMC free article] [PubMed] [Google Scholar]
- 25.Watanabe K, Fukami S, Sato H, Matsukura F, Ohno H. Magnetic properties of CoFeB–MgO stacks with different buffer-layer materials (Ta or Mo) IEEE Trans. Magn. 2016;52:3400904. doi: 10.1109/TMAG.2016.2514525. [DOI] [Google Scholar]
- 26.Natarajarathinam A, et al. Influence of capping layers on CoFeB anisotropy and damping. J. Appl. Phys. 2012;112:053909. doi: 10.1063/1.4749412. [DOI] [Google Scholar]
- 27.Lee D-S, Chang H-T, Cheng C-W, Chern G. Perpendicular magnetic anisotropy in MgO/CoFeB/Nb and a comparison of the cap layer effect. IEEE Trans. Magn. 2014;50:3201904. [Google Scholar]
- 28.Malinowski G, Kuiper KC, Lavrijsen R, Swagten HJM, Koopmans B. Magnetization dynamics and Gilbert damping in ultrathin Co48Fe32B20 films with out-of-plane anisotropy. Appl. Phys. Lett. 2009;94:102501. doi: 10.1063/1.3093816. [DOI] [Google Scholar]
- 29.Lee D-Y, Shim T-H, Park J-G. Effects of Pt capping layer on perpendicular magnet anisotropy in pseudo-spin valves of Ta/CoFeB/MgO/CoFeB/Pt magnetic-tunneling junctions. Appl. Phys. Lett. 2013;102:212409. doi: 10.1063/1.4808084. [DOI] [Google Scholar]
- 30.Fowley C, et al. Perpendicular magnetic anisotropy in CoFeB/Pd bilayers. IEEE Trans. Magn. 2010;46:2116. doi: 10.1109/TMAG.2010.2044374. [DOI] [Google Scholar]
- 31.Jung JH, Lim SH, Lee SR. Strong perpendicular magnetic anisotropy in thick CoFeB films sandwiched by Pd and MgO layers. Appl. Phys. Lett. 2010;96:042503. doi: 10.1063/1.3299009. [DOI] [Google Scholar]
- 32.Ngo D-T, et al. Perpendicular magnetic anisotropy and the magnetization process in CoFeB/Pd multilayer films. J. Phys. D Appl. Phys. 2014;47:445001. doi: 10.1088/0022-3727/47/44/445001. [DOI] [Google Scholar]
- 33.Kuświk P, Głowiński H, Coy E, Dubowik J, Stobiecki F. Perpendicularly magnetized Co20Fe60B20 layer sandwiched between Au with low Gilbert damping. J. Phys. Condens. Matter. 2017;29:435803. doi: 10.1088/1361-648X/aa834d. [DOI] [PubMed] [Google Scholar]
- 34.Huang SX, Chen TY, Chien CL. Spin polarization of amorphous CoFeB determined by point-contact Andreev reflection. Appl. Phys. Lett. 2008;92:242509. doi: 10.1063/1.2949740. [DOI] [Google Scholar]
- 35.Devolder T, et al. Damping of CoxFe80−xB20 ultrathin films with perpendicular magnetic anisotropy. Appl. Phys. Lett. 2013;102:022407. doi: 10.1063/1.4775684. [DOI] [Google Scholar]
- 36.Tudosa I, Katine JA, Mangin S, Fullerton EE. Perpendicular spin-torque switching with a synthetic antiferromagnetic reference layer. Appl. Phys. Lett. 2010;96:212504. doi: 10.1063/1.3441402. [DOI] [Google Scholar]
- 37.Conca A, et al. Low spin-wave damping in amorphous Co40Fe40B20 thin films. J. Appl. Phys. 2013;113:213909. doi: 10.1063/1.4808462. [DOI] [Google Scholar]
- 38.Ruiz-Calaforra A, et al. The role of the non-magnetic material in spin pumping and magnetization dynamics in NiFe and CoFeB multilayer systems. J. Appl. Phys. 2015;117:163901. doi: 10.1063/1.4918909. [DOI] [Google Scholar]
- 39.Correa MA, et al. Exploring the magnetization dynamics, damping and anisotropy in engineered CoFeB/(Ag, Pt) multilayer films grown onto amorphous substrate. J. Magn. Magn. Mater. 2019;485:75–81. doi: 10.1016/j.jmmm.2019.04.072. [DOI] [Google Scholar]
- 40.Duan Z, et al. Spin-wave modes in permalloy/platinum wires and tuning of the mode damping by spin Hall current. Phys. Rev. B. 2014;90:024427. doi: 10.1103/PhysRevB.90.024427. [DOI] [Google Scholar]
- 41.Liu X, Zhang W, Carter MJ, Xiao G. Ferromagnetic resonance and damping properties of CoFeB thin films as free layers in MgO-based magnetic tunnel junctions. J. Appl. Phys. 2011;110:033910. doi: 10.1063/1.3615961. [DOI] [Google Scholar]
- 42.Okada A, et al. Magnetization dynamics and its scattering mechanism in thin CoFeB films with interfacial anisotropy. PNAS. 2017;114:3815–3820. doi: 10.1073/pnas.1613864114. [DOI] [PMC free article] [PubMed] [Google Scholar]
- 43.Farle M. Ferromagnetic resonance of ultrathin metallic layers. Rep. Prog. Phys. 1998;61:755–826. doi: 10.1088/0034-4885/61/7/001. [DOI] [Google Scholar]
- 44.Bhagat SM, Lubitz P. Temperature variation of ferromagnetic relaxation in the 3d transition metals. Phys. Rev. B. 1974;10:179. doi: 10.1103/PhysRevB.10.179. [DOI] [Google Scholar]
- 45.Kambersky V. On ferromagnetic resonance damping in metals. Czech. J. Phys. B. 1976;26:1366–1383. doi: 10.1007/BF01587621. [DOI] [Google Scholar]
- 46.Barman A, Sinha J. Magnetic damping. In: Barman A, Sinha J, editors. Spin Dynamics and Damping in Ferromagnetic Thin Films and Nanostructures. Berlin: Springer; 2018. pp. 27–44. [Google Scholar]
- 47.Lenz K, et al. Two-magnon scattering and viscous Gilbert damping in ultrathin ferromagnets. Phys. Rev. B. 2006;73:144424. doi: 10.1103/PhysRevB.73.144424. [DOI] [Google Scholar]
- 48.Lindner J, et al. Two-magnon damping in thin films in case of canted magnetization: theory versus experiment. Phys. Rev. B. 2009;80:224421. doi: 10.1103/PhysRevB.80.224421. [DOI] [Google Scholar]
- 49.Tserkovnyak Y, Brataas A, Bauer GEW. Enhanced Gilbert damping in thin ferromagnetic films. Phys. Rev. Lett. 2002;88:117601. doi: 10.1103/PhysRevLett.88.117601. [DOI] [PubMed] [Google Scholar]
- 50.Tserkovnyak Y, Brataas A, Bauer GEW. Spin pumping and magnetization dynamics in metallic multilayers. Phys. Rev. B. 2002;66:224403. doi: 10.1103/PhysRevB.66.224403. [DOI] [Google Scholar]
- 51.Berger L. Emission of spin waves by a magnetic multilayer traversed by a current. Phys. Rev. B. 1996;54:9353. doi: 10.1103/PhysRevB.54.9353. [DOI] [PubMed] [Google Scholar]
- 52.Mizukami S, Ando Y, Miyazaki T. Ferromagnetic resonance linewidth for NM/80NiFe/NM films (NM=Cu, Ta, Pd and Pt) J. Magn. Magn. Mater. 2001;226–230(Part 2):1640–1642. doi: 10.1016/S0304-8853(00)01097-0. [DOI] [Google Scholar]
- 53.Mizukami S, Ando Y, Miyazaki T. Effect of spin diffusion on Gilbert damping for a very thin permalloy layer in Cu/permalloy/Cu/Pt films. Phys. Rev. B. 2002;66:104413. doi: 10.1103/PhysRevB.66.104413. [DOI] [Google Scholar]
- 54.Lock JM. Eddy current damping in thin metallic ferromagnetic films. Br. J. Appl. Phys. 1966;17:1645. doi: 10.1088/0508-3443/17/12/415. [DOI] [Google Scholar]
- 55.van de Riet E, Roozeboom F. Ferromagnetic resonance and eddy currents in high-permeable thin films. J. Appl. Phys. 1997;81:350–354. doi: 10.1063/1.364118. [DOI] [Google Scholar]
- 56.Schoen MAW, Shaw JM, Nembach HT, Weiler M, Silva TJ. Radiative damping in waveguide-based ferromagnetic resonance measured via analysis of perpendicular standing spin waves in sputtered permalloy films. Phys. Rev. B. 2015;92:184417. doi: 10.1103/PhysRevB.92.184417. [DOI] [Google Scholar]
- 57.Schoen MAW, et al. Ultra-low magnetic damping of a metallic ferromagnet. Nat. Phys. 2016;12:839–842. doi: 10.1038/nphys3770. [DOI] [Google Scholar]
- 58.Franco AF, Gonzalez-Fuentes C, Akerman J, Garcia C. Anisotropy constant and exchange coupling strength of perpendicularly magnetized CoFeB/Pd multilayers and exchange springs. Phys. Rev. B. 2017;95:144417. doi: 10.1103/PhysRevB.95.144417. [DOI] [Google Scholar]
- 59.Franco AF, et al. Variable variance Preisach model for multilayers with perpendicular magnetic anisotropy. Phys. Rev. B. 2016;94:064431. doi: 10.1103/PhysRevB.94.064431. [DOI] [Google Scholar]
- 60.Metaxas PJ, et al. Creep and flow regimes of magnetic domain-wall motion in ultrathin Pt/Co/Pt films with perpendicular anisotropy. Phys. Rev. Lett. 2007;99:217208. doi: 10.1103/PhysRevLett.99.217208. [DOI] [PubMed] [Google Scholar]
- 61.Panda SN, Mondal S, Sinha J, Choudhury S, Barman A. All-optical detection of interfacial spin transparency from spin pumping in β-Ta/CoFeB thin films. Sci. Adv. 2019;5:eaav7200. doi: 10.1126/sciadv.aav7200. [DOI] [PMC free article] [PubMed] [Google Scholar]
- 62.Pal S, Rana B, Hellwig O, Thomson T, Barman A. Tunable magnonic frequency and damping in [Co/Pd]8 multilayers with variable Co layer thickness. Appl. Phys. Lett. 2011;98:082501. doi: 10.1063/1.3559222. [DOI] [Google Scholar]
- 63.Engel BN, England CD, Van Leeuwen RA, Wiedmann MH, Falco CM. Interface magnetic anisotropy in epitaxial superlattices. Phys. Rev. Lett. 1991;67:1910. doi: 10.1103/PhysRevLett.67.1910. [DOI] [PubMed] [Google Scholar]
- 64.Bennett WR, England CD, Person DC, Falco CM. Magnetic properties of Pd/Co multilayers. J. Appl. Phys. 1991;69:4384–4390. doi: 10.1063/1.348363. [DOI] [Google Scholar]
- 65.Wu R, Li C, Freeman AJ. Structural, electronic and magnetic properties of Co/Pd(111) and Co/Pt(111) J. Magn. Magn. Mater. 1991;99:71–80. doi: 10.1016/0304-8853(91)90048-F. [DOI] [Google Scholar]
- 66.Obinata A, et al. Electric-field control of magnetic moment in Pd. Sci. Rep. 2015;5:14303. doi: 10.1038/srep14303. [DOI] [PMC free article] [PubMed] [Google Scholar]
- 67.Hayakawa J, et al. Current-driven magnetization switching in CoFeB/MgO/CoFeB magnetic tunnel junctions. Jpn. J. Appl. Phys. 2005;44:L1267. doi: 10.1143/JJAP.44.L1267. [DOI] [Google Scholar]
- 68.Ranjbar M, et al. CoFeB-based spin hall nano-oscillators. IEEE Magn. Lett. 2014;5:3000504. doi: 10.1109/LMAG.2014.2375155. [DOI] [Google Scholar]
- 69.Gowtham PG, Stiehl GM, Ralph DC, Buhrman RA. Thickness-dependent magnetoelasticity and its effects on perpendicular magnetic anisotropy in Ta/CoFeB/MgO thin films. Phys. Rev. B. 2016;93:024404. doi: 10.1103/PhysRevB.93.024404. [DOI] [Google Scholar]
- 70.Munakata M, Aoqui S-I, Yagi M. B-concentration dependence on anisotropy field of CoFeB thin film for gigahertz frequency use. IEEE Trans. Magn. 2005;41:3262–32624. doi: 10.1109/TMAG.2005.854666. [DOI] [Google Scholar]
- 71.Fukami S, et al. Current-induced domain wall motion in perpendicularly magnetized CoFeB nanowire. Appl. Phys. Lett. 2011;98:082504. doi: 10.1063/1.3558917. [DOI] [Google Scholar]
- 72.Sinha J, et al. Enhanced interface perpendicular magnetic anisotropy in Ta|CoFeB|MgO using nitrogen doped Ta underlayers. Appl. Phys. Lett. 2013;102:242405. doi: 10.1063/1.4811269. [DOI] [Google Scholar]
- 73.Mizukami S, et al. Fast magnetization precession observed in L10-FePt epitaxial thin film. Appl. Phys. Lett. 2011;98:052501. doi: 10.1063/1.3549704. [DOI] [Google Scholar]
- 74.Kittel C. On the theory of ferromagnetic resonance absorption. Phys. Rev. 1948;73:155. doi: 10.1103/PhysRev.73.155. [DOI] [Google Scholar]
- 75.Barman A, et al. Ultrafast magnetization dynamics in high perpendicular anisotropy [Co/Pt]n multilayers. J Appl. Phys. 2007;101:09D102. doi: 10.1063/1.2709502. [DOI] [Google Scholar]
- 76.Mizukami S, et al. Gilbert damping in perpendicularly magnetized Pt/Co/Pt films investigated by all-optical pump-probe technique. Appl. Phys. Lett. 2010;96:152502. doi: 10.1063/1.3396983. [DOI] [Google Scholar]
- 77.Song H-S, et al. Observation of the intrinsic Gilbert damping constant in Co/Ni multilayers independent of the stack number with perpendicular anisotropy. Appl. Phys. Lett. 2013;102:102401. doi: 10.1063/1.4795013. [DOI] [Google Scholar]
- 78.Tu HQ, et al. Gilbert damping in CoFeB/GaAs(001) film with enhanced in-plane uniaxial magnetic anisotropy. Sci. Rep. 2017;7:43971. doi: 10.1038/srep43971. [DOI] [PMC free article] [PubMed] [Google Scholar]
- 79.Park C, et al. Annealing effects on structural and transport properties of rf-sputtered CoFeB/MgO/CoFeB magnetic tunnel junctions. J Appl. Phys. 2006;99:08A90. [Google Scholar]
- 80.Néel L. L'approche à la saturation de la magnétostriction. J. Phys. Radium. 1954;15:376–378. doi: 10.1051/jphysrad:01954001505037601. [DOI] [Google Scholar]
- 81.den Broeder FJA, Hoving W, Bloemen PJH. Magnetic anisotropy of multilayers. J. Magn. Magn. Mater. 1991;93:562–570. doi: 10.1016/0304-8853(91)90404-X. [DOI] [Google Scholar]
- 82.Jungblut R, Johnson MT, van den Stegge J, Reinders A, den Broeder FJA. Orientational and structural dependence of magnetic anisotropy of Cu/Ni/Cu sandwiches: misfit interface anisotropy. J. Appl. Phys. 1994;75:6424. doi: 10.1063/1.355372. [DOI] [Google Scholar]
- 83.Bochi G, et al. Perpendicular magnetic anisotropy, domains, and misfit strain in epitaxial Ni/Cu1−xNix/Cu/Si (001) thin films. Phys. Rev. B. 1995;52:7311. doi: 10.1103/PhysRevB.52.7311. [DOI] [PubMed] [Google Scholar]
- 84.Ha K, O'Handley RC. Nonlinear magnetoelastic anisotropy in Cu/Ni/Cu/Si(001) films. J. Appl. Phys. 1999;85:5282. doi: 10.1063/1.369855. [DOI] [Google Scholar]
- 85.Cullity BD, Graham CD. Introduction to the Magnetic Materials. 2. Hoboken: Wiley; 2009. pp. 258–266. [Google Scholar]
- 86.O'Handley RC. Modern Magnetic Materials. New York: Wiley; 1999. pp. 667–669. [Google Scholar]
- 87.O'Handley RC. Magnetostriction of transition-metal-metalloid glasses: Temperature dependence. Phys. Rev. B. 1978;18:930. doi: 10.1103/PhysRevB.18.930. [DOI] [Google Scholar]
- 88.Tang Z, et al. Magneto-mechanical coupling effect in amorphous Co40Fe40B20 films grown on flexible substrates. Appl. Phys. Lett. 2014;105:103504. doi: 10.1063/1.4895628. [DOI] [Google Scholar]
- 89.Arblaster JW. Crystallographic properties of palladium. Platinum Met. Rev. 2012;56:181. doi: 10.1595/147106712X646113. [DOI] [Google Scholar]
- 90.Bilzer, C. Microwave susceptibility of thin ferromagnetic films: metrology and insight into magnetization dynamics (Ph.D. thesis, Universite Paris-Sud 11) https://tel.archives-ouvertes.fr/tel-00202827/document (2008).
- 91.Walowski J, et al. Intrinsic and non-local Gilbert damping in polycrystalline nickel studied by Ti : sapphire laser fs spectroscopy. J. Phys. D Appl. Phys. 2008;41:164016. doi: 10.1088/0022-3727/41/16/164016. [DOI] [Google Scholar]
- 92.Azzawi S, et al. Evolution of damping in ferromagnetic/nonmagnetic thin film bilayers as a functionof nonmagnetic layer thickness. Phys. Rev. B. 2016;93:054402. doi: 10.1103/PhysRevB.93.054402. [DOI] [Google Scholar]
- 93.Hurben MJ, Patton CE. Theory of two magnon scattering microwave relaxation and ferromagnetic resonance linewidth in magnetic thin films. J. Appl. Phys. 1998;83:4344–4365. doi: 10.1063/1.367194. [DOI] [Google Scholar]
- 94.Shaw JM, Nembach HT, Silva TJ. Determination of spin pumping as a source of linewidth in sputtered Co90Fe10/Pd multilayers by use of broadband ferromagnetic resonance spectroscopy. Phys. Rev. B. 2012;85:054412. doi: 10.1103/PhysRevB.85.054412. [DOI] [Google Scholar]
- 95.Foros J, Woltersdorf G, Heinrich B, Brataas A. Scattering of spin current injected in Pd(001) J. Appl. Phys. 2005;97:10A714. doi: 10.1063/1.1853131. [DOI] [Google Scholar]
- 96.Kato T, et al. Perpendicular anisotropy and Gilbert damping in sputtered Co/Pd multilayers. IEEE Trans. Magn. 2012;48:3288–3291. doi: 10.1109/TMAG.2012.2198446. [DOI] [Google Scholar]
- 97.Sato N, O'Brien KP, Millard K, Doyle B, Oguz K. Investigation of extrinsic damping caused by magnetic dead layer in Ta–CoFeB–MgO multilayers with perpendicular anisotropy. J. Appl. Phys. 2016;119:093902. doi: 10.1063/1.4941943. [DOI] [Google Scholar]
- 98.Kim D-J, Kim S-I, Park S-Y, Lee K-D, Park B-G. Ferromagnetic resonance spin pumping in CoFeB with highly resistive non-magnetic electrodes. Curr. Appl. Phys. 2014;14:1344–1348. doi: 10.1016/j.cap.2014.07.013. [DOI] [Google Scholar]
- 99.Tokac M, et al. Interfacial structure dependent spin mixing conductance in cobalt thin films. Phys. Rev. Lett. 2015;115:056601. doi: 10.1103/PhysRevLett.115.056601. [DOI] [PubMed] [Google Scholar]
- 100.Lattery DM, et al. Quantitative analysis and optimization of magnetization precession initiated by ultrafast optical pulses. Appl. Phys. Lett. 2018;113:162405. doi: 10.1063/1.5046683. [DOI] [Google Scholar]






