Abstract
Nuclear medicine has evolved over the last half-century from a functional imaging modality using a handful of radiopharmaceuticals, many of unknown structure and mechanism of action, into a modern speciality that can properly be described as molecular imaging, with a very large number of specific radioactive probes of known structure that image specific molecular processes. The advances of cancer treatment in recent decades towards targeted and immune therapies, combined with recognition of heterogeneity of cancer cell phenotype among patients, within patients and even within tumours, has created a growing need for personalised molecular imaging to support treatment decision. This article describes the evolution of the present vast range of radioactive probes – radiopharmaceuticals – leveraging a wide variety of chemical disciplines, over the last half century. These radiochemical innovations have been inspired by the need to support personalised medicine and also by the parallel development in development of new radionuclide imaging technologies – from gamma scintigraphy, through single photon emission tomography (SPECT), through the rise of clinical positron emission tomography (PET) and PET-CT, and perhaps in the future, by the advent of total body PET. Thus, in the interdisciplinary world of nuclear medicine and molecular imaging, as quickly as radiochemistry solutions are developed to meet new needs in cancer imaging, new challenges emerge as developments in one contributing technology drive innovations in the others.
Keywords: PET, SPECT, Molecular imaging, Radiochemistry, Radiopharmaceuticals, Total body PET, Radionuclides
Introduction
Advances in gene sequencing and single cell transcriptomics have revolutionised our understanding of clonal heterogeneity and cancer evolution [1]. These next-generation sequencing techniques, applied to tumour biopsy samples, clearly illustrate the complexity and interconnectivity of the tumour microenvironment; tumour cells with distinct molecular signatures dynamically interact with cells from the innate and adaptive immune system, tumour-associated fibroblasts and their surrounding extracellular matrix (Fig. 1). These interactions evolve as disease progresses and generates genetic mutations, resulting in extensive intra- and inter-tumoural heterogeneity. In the modern age of ‘precision medicine,’ it therefore seems antiquated that tumour classification (and resulting treatment decisions), often based on a single biopsy which samples a tiny fraction of the disease at a fixed time point, determines treatment decisions. Rather, what is required is continual monitoring of the disease, across regions within tumours, among different lesions across the whole body, and over time. Despite the power of sequencing and transcriptomics, biopsy sampling, being invasive and intrinsically limited to small samples, cannot provide this.
Fig. 1.
A simplified illustration of the tumour microenvironment. Modified and reprinted from Overchuk et al. [2]
On the other hand, molecular imaging techniques, such as positron emission tomography (PET) and single photon emission computed tomography (SPECT), present the opportunity to spatiotemporally monitor, in the living patient, the expression and activity of key biomarkers associated with the cancer phenotype. Direct conjugation of positron or gamma-emitting radionuclides to small molecule substrates, inhibitors, and larger biomolecules such as peptides, antibodies, and even whole cells, has enabled visualisation, repeatedly and across the whole body, of a wide variety of biological processes in living subjects. Moreover, the substitution of an imaging radionuclide for a therapeutic radioisotope (through alpha- or beta-particle emission) has been effectively used for molecular-targeted cancer treatment. Nuclear medicine imaging techniques, however, have been traditionally difficult to multiplex and hence cannot probe large numbers of different processes/genes, restricting the longitudinal monitoring of disease progression often to a single biomarker. In this review, we explore how recent developments in radiochemistry, alongside scanner development, have evolved from early functional imaging radiopharmaceuticals to provide the current tool-kit to image a wide range of molecular processes and gene expressions - “molecular imaging” – and how further development may overcome this limitation to herald a new era of molecular systems imaging.
Imaging the immune microenvironment
Immunotherapy has led to durable, and in some cases, curative responses in patients with non-solid tumours [3]. The primary goal of these biological therapies is to induce sustained anti-tumour immunity through adoptive transfer of T-cells or enhancement of existing anti-tumour immune responses through targeting immune checkpoint pathways. Molecular imaging of these processes has provided new outlets for probe development and has already been shown to be superior to gold standard biomarker assay response prediction [4]. However, a reductive, single-biomarker imaging approach is unlikely to provide a comprehensive picture of tumour-immune cell interactions and tumour heterogeneity. Key questions explored through molecular imaging of immunotherapy relate to: 1. the activation status of key immune-mediators, such as T-cells; 2. metabolic signatures of tumour-specific immune cells; 3. expression of cell surface markers of immune populations and regulatory pathways; 4. the location and tumour-targeting of adoptively transferred cells; 5. pharmacokinetics of immunotherapies; and 6. accurate monitoring of tumour response to treatment [5]. Answering these questions through molecular imaging requires a wide array of probes, each presenting different radiochemical challenges. These range from small molecules/metabolites (where structural modification must be minimised), peptides (which can tolerate bioconjugation with small prosthetic groups), proteins and nanoparticles (which can often tolerate multiple conjugation/modification), cells (which require the gentlest labelling procedures) and drug delivery systems (e.g. liposomes).
The sodium-iodide symporter – a paradigm for the evolution of molecular imaging
Eighty years on from the first administration of radioiodine to a human subject, [6] the human sodium-iodide symporter has become a paradigm for the evolution of nuclear medicine and radiopharmaceuticals; from crude tools to assess physiological function, towards precision measurement and quantitative imaging of molecular processes and their role in disease. Imaging and treatment of thyroid cancer and other thyroid disease with radioiodine is the archetypal theranostic combination of treatment with companion diagnostic, beginning with use of iodine-131, in the form of iodide ions, as both treatment (exploiting its beta-emission) and diagnostic (by imaging its gamma emissions). Later, new radioisotopes of iodine emerged, including iodine-123 which provided better quality planar scintigraphic (and later still, tomographic - SPECT) images and more favourable dosimetry. More recently, the benefits of PET – superior image quality, sensitivity and resolution - have been realised as the positron emitting radioisotope iodine-124 has become commercially available [7]. For the first half-century of clinical use of radioiodines, they could properly be described as “functional” imaging agents, based on knowledge that thyroid and thyroid cancer (and other specific tissues) were able to accumulate iodide, allowing measurement of function via the amount of radioactivity accumulated. With the identification and cloning, as recently as 1996, [8] of the transporter responsible for this accumulation – the sodium-iodide transporter, NIS (hNIS in its human form), it became meaningful to apply the newly-emerging term molecular imaging to the use of radioiodines in this context.
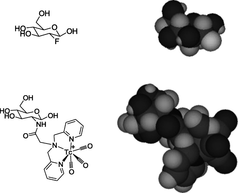
However, the accumulation of iodine in thyroid tissue is not solely dependent on the activity of hNIS; hNIS mediates the initial entry of iodide ions into the thyrocyte, but its retention in and efflux from thyroid tissue is mediated by other processes including transport into the thyroid “colloid,” oxidation by peroxidase, incorporation into thyroid hormones, and later release of these hormones [9]. Thus, radioiodide imaging is not a simple mapping of hNIS activity. To perform true molecular imaging of hNIS, tracers are required that are substrates of hNIS but not of the subsequent iodine-processing cellular machinery. The prototypical example of this is technetium-99 m pertechnetate, a small anion resembling iodide sterically and electrostatically (Fig. 2) which has been used for thyroid imaging using scintigraphy and SPECT for many years. Conveniently, [99mTc]pertechnetate is the chemical form of technetium-99 m eluted from the generator, hence no further chemistry development was required to apply this in the clinic.
Fig. 2.
Imaging the sodium-iodide symporter. Top: Synthetic radiolabelled substrates of the sodium-iodide symporter hNIS used for radionuclide imaging. Left to right: [99mTc]pertechnetate; [18F]tetrafluoroborate; [18F]fluorosulfate; [18F]hexafluorophosphate. Bottom: Images show [18F]tetrafluoroborate PET images of healthy mouse (left), human with unresected thyroid cancer (centre) and, in the same subject, enlarged coronal section of thyroid region showing “cold” region
Until recently, the main use of radioactive hNIS substrates for imaging has been to detect thyroid cancer and inform decisions about its treatment with radioiodine. A new role of molecular imaging as a tool to support modern targeted and immunotherapy emerges from use of hNIS as a reporter gene to track cells administered as part of cell-based immunotherapy regimes, such as chimeric antigen receptor (CAR) T-cell therapies [10]. By including hNIS expression alongside the genetic modifications that endow these cells with targeted therapeutic capability, they can be tracked by imaging with radioactive hNIS substrates, to determine their fate, location, survival and proliferation in the treated patient and in preclinical animal models. Radioiodines can be used for this purpose (iodine-123 for SPECT, iodine-124 for PET) but the sequestration of radioiodine in thyroid tissue due to the combination of hNIS expression and thyroid hormone synthesis reduces availability of radioiodide for targeting the hNIS-expressing therapeutic cells [9]. [99mTc]pertechnetate is therefore more suitable for this reporter gene application, [11] and this has prompted chemists to develop new tracers that, like pertechnetate, are non-metabolisable hNIS substrates to extend this from SPECT to PET to achieve the improved sensitivity and quantification required in this new application. This has recently been achieved with a range of fluorine-18-labelled small anions [18F]tetrafluoroborate, [9, 12, 13] [18F]fluorosulfate [14] and [18F]hexafluorophosphate [15] (Fig. 2). Of these, [18F]tetrafluoroborate is in the vanguard of clinical and preclinical use and has been evaluated in healthy human volunteers, [16] thyroid cancer patients, [12] and preclinical models of cell tracking [9] and gene therapy [17]. These novel tracers extend true hNIS molecular imaging into the remit of PET. They also show that fluorine-18, the most important PET radionuclide and the radiolabel incorporated into hundreds of PET radiotracers via carbon-fluorine bonds, can be incorporated into radiopharmaceuticals by binding to elements other than carbon. This theme will recur later in the article. Reporter gene imaging with these hNIS substrates has shown promise in preclinical models of gene therapy [17] and cell tracking [9] but has yet to be translated to the clinic. The hNIS imaging story thus spans the entire history of nuclear medicine; it illustrates the historic transitions from functional to molecular imaging and from scintigraphy to PET and the way in which new tracer development supports and partners the development of advanced medicines.
FDG and fluorine-18
The foregoing discussion highlights the importance, which cannot be overestimated, of fluorine-18. Indeed, the growth of PET as a ubiquitous clinical imaging modality over the last three decades can be clearly attributed to the invention of a single pivotal radiopharmaceutical, [18F]-2-fluoro-2-deoxyglucose (FDG) [18]. Its wide clinical utility and application in huge numbers of cancer patients has justified vast expenditure to install cyclotrons, radiochemistry facilities and PET scanners in hospitals worldwide. Fluorine-18 is critical to this development because it uniquely can be incorporated into a glucose-like molecule that can be used to image uptake of glucose via GLUT-1 (glucose transporter-1) and its trapping by hexokinase-catalysed phosphorylation [19]. Other radioelements capable of forming covalent bonds in small organic molecules are unsuitable. Radioiodines, for example, can be incorporated by C-I bond formation but not with the requisite resistance to deiodination. Numerous attempts to develop glucose conjugates with chelates of technetium-99 m and other radiometals have stumbled at validation as substrates of GLUT-1 or hexokinase (Fig. 3) [20]. Since only fluorine-18 can be used in this way, the PET infrastructure became indispensable despite its expense. Once this infrastructure became established, the scene was set for new 18F-labelled radiopharmaceuticals to be developed offering greater selectivity for cancer-related targets other than the ubiquitous glucose metabolism. Moreover, the new infrastructure could be used to produce other radionuclides (such as 11C, 64Cu, 13N, 15O, 64Cu), and scanners could be used with non-locally produced, longer half-life PET radionuclides (iodine-124, zirconium-89) and generator-produced radionuclides such as rubidium-82 and gallium-68, to exploit the superior imaging capability offered by PET. We will return later to some of these radionuclides.
Fig. 3.

Radiotracers based on glucose structure (line diagrams and space-filling representations) comparing labelling with 18F (via C-F bond, in the form of fluorodeoxyglucose, FDG) (top); and with 99mTc (via bifunctional chelator as exemplar radiometal conjugate). The large size of the 99mTc complex makes it an unlikely substrate for GLUT-1 or hexokinase
The small size of the fluorine atom means that it can be isosterically incorporated into small biologically important molecules by replacing hydrogen atoms or hydroxyl groups (Fig. 3), or indeed stable fluorine atoms already present in numerous drugs. In addition, its covalent bond with carbon generally has high in vivo kinetic stability. These chemical features, alongside its growing availability, make 18F an important and attractive radiolabel for an enormous range of potential small molecular radiopharmaceuticals, such as FLT ([18F]-3′-fluoro-3′-deoxythymidine, a nucleoside analogue and cell proliferation marker) [21]; F-DOPA ([18F]dihydroxyphenylalanine, a dopamine precursor analogue used in neuroendocrine and brain tumours) [22]; F-MISO ([18F]fluoromisonidazole, a nitroimidazole hypoxia imaging agent) and related nitroimidazole derivatives [23]; [18F]DCFPyL (a prostate-specific membrane antigen (PSMA) ligand used for prostate cancer imaging) and other 18F-labelled PSMA ligands [24]; [18F]fluoroethylcholine [25] and related tracers for prostate and other tumours; and amino acid analogues such as FET ([18F]fluoroethyltyrosine), [26] FSPG (3-[18F]fluoropropyl)-L-glutamic acid (glutamate analogue taken up by cells through the system xC− transporter) [27] and [18F]fluciclovine [28]; to name but a few (Fig. 4). When these agents are small organic drug- or metabolite-like molecules (as in the case of FDG) there is almost no alternative to fluorine-18 except for carbon-11, the short half-life of which precludes widespread distribution and utility. Accordingly, much effort has been expended in recent decades in developing chemistry – much of it beyond the scope of this review - for incorporation fluorine-18 into small molecules [29].
Fig. 4.
Examples of 18F-labelled small molecular imaging agents
However, to realise the full potential of PET in modern targeted imaging and immunotherapy, not just small molecules but also peptides and proteins such as antibodies and engineered antibody analogues have a role as targeting agents. Fluorine-18 is less well-suited chemically to addressing this challenge; nevertheless, innovative solutions are currently being sought, as discussed below.
Peptide and small protein labelling with radiometals – 99mTc, 68Ga and “the need for speed”
One solution to the challenge of labelling peptides and proteins under mild conditions is to use a radiometal rather than fluorine-18. Radiometals can, at least in principle, usually be incorporated into biomolecules in a single step, which greatly simplifies labelling.
The first methodology for radiolabelling peptides and proteins with radiometals began to emerge in the 1970s and 1980s, with technetium-99 m [30, 31] and indium-111 before clinical PET became established. Early developments with 111In labelling using the prototypical bifunctional chelator DTPA (diethylene triamine pentaacetic acid), [32] initially incorporated into antibodies by reaction of its cyclic anhydride with lysine side chain amino groups, were remarkably successful and were a basis for modifications to improve kinetic stability, allowing extension to more labile radiometals such as yttrium-90, by adding rigidity to the backbone or developing macrocyclic derivatives [33]. The radiolabelling process with these early 111In was very simple and efficient, often with sufficient radiochemical yield to avoid the need for purification steps. Indeed, DTPA chelation of 111In became the basis of the first commercial peptide radiopharmaceutical, Octreoscan, for imaging somatostatin-receptor expressing tumours [34].
The chemistry of incorporating technetium-99 m into proteins is more complex and entails redox; numerous bifunctional chelators and cores in different oxidations states (Fig. 5) were developed in the 1990s, most prominently tetradentate sulfur/nitrogen ligands for chelation of Tc = O3+, [35] HYNIC (hydrazinonicotinamide) derivatives, [36] and Tc(CO)3+ [37] for attachment via bifunctional chelators or histidine-tags. However, few were amenable to simple one-step labelling or free of other problems such as radiochemical inhomogeneity or in vivo instability, and 99mTc-labelled protein and peptide-based radiopharmaceuticals made little clinical impact for this reason. Before a simpler and more user-friendly 99mTc-radiolabelling chemistry could be developed, the age of molecular imaging with PET had arrived, and technetium chemistry research waned. Since the turn of the millennium, 99mTc chemistry for biomolecule labelling – indeed, for novel radiopharmaceuticals in general - has been almost entirely neglected, as radiochemists turned instead to 18F (see above) and 68Ga labelling of biomolecules, publications on which have risen dramatically since 2000 as those on 99mTc declined. The most promising peptide-linked bifunctional chelator system to emerge since the millennium is the 1,4,8,11-tetrazaundacane-based chelator (TAU, Fig. 5) [38] which coordinates the TcO2+ core under mild conditions. It has not yet been widely used.
Fig. 5.
Bifunctional chelators and cores for 99mTc labelling of biomolecules (pro = protein or other biomolecule)
Gallium-68 in particular attracted attention for peptide labelling because of the growing availability of the 68Ge/68Ga generator and the close match of its short (68 min) half-life with the typical blood clearance and excretion kinetics of small peptides and peptide-like molecules. It is unsuitable for labelling whole IgG antibodies because these take much longer to clear, but smaller antibody fragments and engineered analogues clear quickly and are compatible with 68Ga [39]. Early bioconjugates of 68Ga made use of the 1,4,7,10-tetraazacyclododecane-1,4,7,10-tetraacetic acid (DOTA) bifunctional chelator [40] which, because of the paramount importance of in vivo stability in therapeutic applications of longer half-life radionuclides, had become established through its use with 111In and the therapeutic radionuclides yttrium-90, copper-64/67, and later lutetium-177. Consequently, several receptor-targeted 68Ga-DOTA derivatives have gradually come into clinical use [41]. However, the slow pace of clinical adoption of such 68Ga tracers has revealed an unfortunate consequence of the way in which PET tracers have developed since the arrival of clinical PET: the inevitable complexity of the multi-step synthesis of 18F-labelled small molecules has led to acceptance that PET radiolabelling generally is complex and requires costly infrastructure, limiting access to these tracers for patients and imposing prolonged (typically months) and demanding validation at each user site. 68Ga labelling of DOTA-conjugates requires high temperature (90 °C), long reaction times (30 min) and low pH, and often gives low molar activity or yield that necessitates a purification step – all of which add complexity that has become accepted. The experience of “conventional” radiopharmacy, making extensive use of 99mTc in very simple kit-based labelling procedures, has taught us that this need not be so: with more efficient labelling chemistry, it should in principle be possible to perform fast, efficient, kit-based labelling with 68Ga with minimal equipment and operator time. The limiting factor is the design of the chelating agent. This realisation spawned numerous designs for bifunctional chelators [41] intended to improve on the labelling kinetics and conditions of DOTA. Thus emerged new bifunctional chelators that can be labelled quickly at room temperature without extremes of pH or need for purification, and hence are amenable to kit-based labelling, offering wider availability and patient benefit. The most effective of these, which include both cyclic (NOTA - 1,4,7-triazacyclononane-N,N′,N″-triacetic acid - derivatives and their phosphate analogues) [42] and acyclic (HBED - N,N′-Di(2-hydroxybenzyl)ethylenediamine-N,N′-diacetic acid, [43] THP – tris(hydroxypyridinone) [44]) chelators, have found wide clinical use (e.g. in tracers targeting somatostatin receptors in neuroendocrine tumours, and PSMA in prostate cancer [45]); examples are shown in Fig. 6. In the case of THP, the labelling conditions are sufficiently mild that simple kit-based labelling of small proteins and antibody fragments is feasible in minutes [39].
Fig. 6.
Examples of cyclic and acyclic bifunctional chelators for gallium-68; some are also useful for other radiometals: 68Ga-DOTA, 68Ga-HBED-CC (one of several isomeric structures), 68Ga-NODAGA, 68Ga-THP and 68GA-DFO; pep = peptide, protein or other biomolecule
The short half-life of gallium-68 means that production and radiolabelling at or near the site of use is necessary, and the 68Ge/68Ga generator makes this possible. In economic or geographic contexts where a longer half-life equivalent is needed, allowing transport of the radiopharmaceutical between sites, scandium-44 (half-life 4.0 h) is emerging as a potential cyclotron- or generator-produced alternative [46]. It can, potentially, be produced in many hospital cyclotrons and readily attached to DOTA-peptide conjugates. If a clinical role for scandium-44 becomes established for these reasons, there may be a need for optimised scandium-specific chelators to be developed.
Chelators and fluorine – inorganic fluorine chemistry
Fluorine-18 is an attractive choice for labelling peptide and small protein-based tracers because of the good match of its half-life with the typical time-scale of scanning combined with its widespread economic availability. However, from a chemical perspective, labelling these biomolecules using [18F]fluoride is extremely challenging [47]. Efficient formation of a stable C-F bond as the final step in synthesis in a biomolecule that cannot tolerate extreme chemical conditions and contains many functional groups that are more nucleophilic than fluoride ions, is currently impossible. The conventional solution necessitates multi-step radiolabelling, whereby an organic prosthetic group, such as fluorobenzoic acid, fluorobenzaldehyde or a click chemistry component, [47] is first radiolabelled, and then incorporated into the biomolecule (Fig. 7a). This complexity, and the accompanying inefficiency, is a significant barrier to wider application of 18F-labelled biomolecules.
Fig. 7.
18F-labelling of biomolecules – the problem and a putative solution. a: Conventional organic prosthetic group labelling is a multistep sequence of reactions; b: Aluminium-fluoride coordination approach: still multi-step; c: idealised one-step approach: not yet achieved under mild conditions
An innovative range of new chemical approaches to this problem has been opened up by recognising that elements other than carbon can be binding sites for fluoride. Boron, silicon and a range of metal ions have been the focus of attempts to incorporate them into biomolecules to serve as selective high-affinity binding sites for fluoride ions, leading to inventive chemistry but, as yet, no general solution [48]. The most widely adopted approach uses aluminium complexes with NOTA-like pentadentate chelators that leave one ligand binding site on the Al3+ ion free to bind a fluoride ion [49]. The kinetics of incorporation of fluoride ions are, however, sub-optimal, and the goal of incorporating [18F]fluoride into a pre-formed aluminium-chelate-biomolecule conjugate as the final synthetic step (Fig. 7c) remains out of reach. Instead, the [18F]fluoride is first complexed with aluminium, and the resulting complex then added to the biomolecule-chelator conjugate, in a multi-step reaction (Fig. 7b) with little or no advantage over conventional organic 18F-labelled prosthetic groups. The search for a metal-chelate fluoride-binding site that can be conjugated to biomolecules and then labelled with [18F]fluoride continues, with gallium and iron bound within triazacyclononane-derived ligands currently at the forefront of development [50].
Theranostics – the example of copper
Early interest in incorporation of copper radionuclides into radiopharmaceuticals [51] focussed on use of copper-67, a beta-emitter with a half-life of 61.8 h, in radioimmunotherapy. The long half-life of 67Cu matches the clearance kinetics of monoclonal antibodies and long-term in vivo stability is the most pressing demand in the design of bifunctional chelators. Despite great therapeutic promise, interest in this application faded because of unreliable and costly production methods for the radionuclide, and is only very recently recovering as more economically feasible production methods emerge.
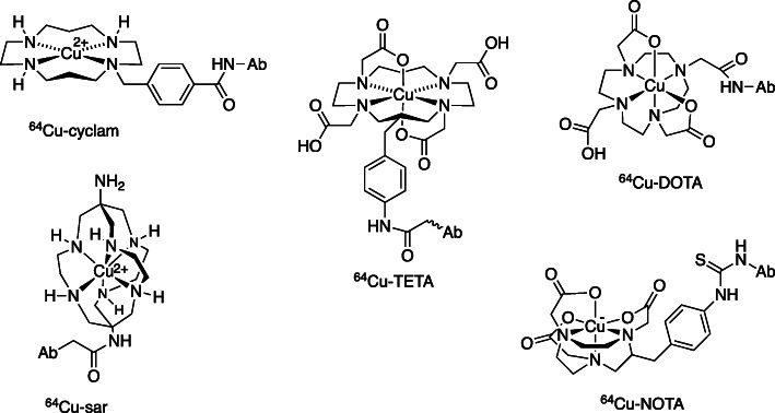
As clinical PET developed, interest turned to the copper-64, which can be produced using a typical biomedical cyclotron. 64Cu is both a beta- and positron- (and Auger electron-) emitter lending itself to both PET and therapeutic application. A “theranostic” pairing, in which 64Cu PET imaging provides quantitative and accurate biodistribution data to underpin dosimetry for therapeutic use of 64Cu and 67Cu, can be envisaged. The half-life of 64Cu is 12.7 h, reasonably compatible with antibodies, peptides and small molecules and sufficiently long that rapid labelling is less important than in vivo stability. Because Cu2+ is intrinsically more kinetically labile than other radiometals discussed above, no acyclic chelators have found use for 67Cu and 64Cu. Against this background, macrocyclic bifunctional copper chelators (Fig. 8) have developed from cyclam and TETA (1,4,8,11-tetraazacyclotetradecane-N,N′,N″,N″‘-tetraacetic acid) in the early 1990s, through DOTA and cross-bridged analogues of TETA designed to enhance kinetic stability, [51] recently settling on NOTA and the cage-like sarcophagine (sar) derivatives (Fig. 8) as the preferred chelators, [52] with a suitable balance of facile labelling and excellent long-term in vivo stability for use with 64Cu and 67Cu, for labelling peptides, antibodies and small proteins. On the other hand, for the generator-produced copper-62 (half-life 9 min) the priorities are reversed: fast labelling is paramount while prolonged in vivo stability is of little consequence.
Fig. 8.
Bifunction chelators for 64/67Cu2+. Each is drawn as an exemplar conjugated to an antibody (Ab) or other biomolecule
ImmunoPET – zirconium-89 and manganese-52
A core demand of imaging in the age of targeted and immune therapy is tracking the fate of antibodies, whether used therapeutically, diagnostically or theranostically. Radiolabelling antibodies has been a focus of radiochemists since the 1980s, as highlighted above, but the demand to extend imaging with antibodies from gamma scintigraphy to PET has highlighted the need for accessible long half-life positron-emitting radionuclides. Zirconium-89 (half-life 3.3 days) [53] and iodine-124 (half-life 4.2 days) [54] have emerged to meet this need. Stability of the antibody-radiolabel link is paramount; speed of labelling, less so. In the case of 89Zr a suitable bifunctional chelator emerged quickly and fortuitously without the long years of trial and optimisation of dozens of ligand systems that characterised the development of copper bifunctional chelators. Desferrioxamine-B (DFO, Fig. 6), a chelator designed by nature (in the evolution of bacteria and fungi) for iron(III) chelation, has shown adequate in vivo stability while being amenable to simple, efficient radiolabelling under mild conditions [55]. With a naturally-present pendant primary amine, it is easily converted to reactive forms that can be conjugated to proteins via primary amine and thiol groups of amino acid side chains. Because DFO is hexadentate, while the Zr4+ ion is quite large and typically found in eight-coordinate structures, several groups have supposed that DFO is sub-optimal as a 89Zr-chelator and have sought extended octadentate versions of DFO to fully encapsulate the metal and enhance resistance to transchelation in vivo. However, it is hard to find clear evidence that transchelation or release of 89Zr occurs to a significant extent in vivo. Free zirconium accumulates in bone, and the now very numerous immunoPET scans performed in humans with antibody-DFO conjugates labelled with 89Zr have not shown off-target uptake in bone [55]. Despite the additional practical challenges associated with longer half-life radionuclides, including higher patient radiation doses and additional demands on handling, disposal and avoidance of contamination, immunoPET with 89Zr-DFO-conjugates is a success story of recent years. It has led to excellent commercial availability of zirconium-89 and perhaps rendered many years of work on 64Cu antibody labelling obsolete – this remains to be seen – since it is cheaper to produce and its long half-life is a better match to the required scanning times and makes distribution from supplier to user easier. Iodine-124, although in principle amenable to protein-labelling chemistry that is well-established (having been developed many years ago for application to gamma emitters 131I, 125I and 123I), has not enjoyed such widespread use so far.
Should it prove necessary or useful to extend the immunoPET scanning times for longer still, a newly emerging longer-lived radionuclide with similar emission properties, manganese-52 (half-life 5.6 days), may provide the solution. The first 52Mn-immunoconugates, labelled without undue difficulty by means of the DOTA (Fig. 6) bifunctional chelator, [56] have shown the requisite in vivo stability. It remains to be seen whether DOTA can, or needs to be, improved upon for this purpose.
Cell tracking
Among the armoury of emerging immunotherapeutics are cell-based therapies such as mesenchymal stem cells and tumour-targeted CAR-T cells. The risks of adverse effects of these therapies, and the need to understand reasons for their success or failure, have highlighted the need for clinical trials to incorporate methodology to track the migration, survival and proliferation of administered therapeutic cells [5] and to enumerate cells reaching the target or off-target tissues.
Tracers to enable the reporter gene approach to cell tracking were briefly introduced earlier in this review; this approach has recently been used in humans to track cytotoxic T lymphocytes carrying a non-human reporter gene, the herpes simplex virus type 1 thymidine kinase (HSV1-TK), by PET with nucleoside analogue 9-[4-[18F]fluoro-3-(hydroxymethyl)butyl]guanine ([18F]FHBG [57].
The simplest approach, complementary to reporter gene imaging, is to administer radiolabelled cells, as has been done routinely in clinical nuclear medicine since the 1980s to localise inflammation and infection using white blood cells labelled with indium-111 [58]. However, the advantages of PET over scintigraphy have prompted development of long half-life positron-emitting cell labelling agents. First and most promising among these is zirconium-89, incorporated into cells by means of a metastable lipophilic complex of 8-hydroxyquinoline or “oxine”, [Zr(oxinate)4] (Fig. 9) [59]. This labelling reagent and method is analogous to the indium-111-oxine complex [In(oxinate)3] and works by a similar mechanism, involving intracellular transchelation, and hence trapping, of zirconium. This allows imaging of cell migration for as much as 1–2 weeks, since the radionuclide is largely retained by the labelled cells. A simplified, good manufacturing practice (GMP)-compatible kit-based method of producing the 89Zr-oxine complex has been reported recently, [60] greatly enhancing the opportunity for wider use in clinical trials of cell-based therapy. An alternative approach to cell labelling is by conjugation of DFO-based zirconium-89 chelates [61] or iodine-124-prosthetic groups [62] (Fig. 9) to proteins on the cell surface. [89Zr(oxinate)4], and analogous [64Cu(oxinate)2] and [52Mn(oxinate)2], have also been used to label liposomal drug formulations for PET imaging of their biodistribution [63].
Fig. 9.
Cell tracking by radionuclide imaging. a: 111In-oxine complex for intracellular labelling of cells for SPECT imaging; b: 89Zr-oxine complex for intracellular labelling cells for PET imaging; c: PET imaging of 5 T33 melanoma cells in mouse using the 89Zr reagent shown in B, 30 min and 7 days after i.v. injection of cells; d: 124I-labelled fluorescent tracer for cell-surface protein labelling cells for PET imaging; e: Fluorescence microscopy of Jurkat, 5 T33 melanoma and human T lymphocytes labelled with 124I reagent shown in D, showing cell surface localisation (green) of the tracer
New challenges and unmet needs
The above discussion has highlighted examples in which radiochemistry challenges posed by new needs for molecular imaging to support advances in targeted and immunotherapies have been met by means of radionuclide imaging. Methods have been developed for production of effective radiolabelled small molecule-, peptide-, protein-, nanoparticle- and cell-based probes for a wide array of targets. In some areas there are obstacles still to be overcome. Despite the rise of PET, and the shortages of 99Mo/99mTc generators besetting the nuclear medicine community in the last decade or so, the great majority of daily radionuclide imaging around the world is still conducted using technetium-99 m scintigraphy and SPECT. The “kit” approach to radiopharmaceutical production originated decades ago with technetium-99 m, and has been extended in recent years to make gallium-68 labelling of sensitive biomolecules simple and quick; yet we have no established easy-to-use (that is, single-step, kit based) technetium-99 m radiochemistry for labelling proteins and peptides; methods developed in the 1990s fall short of this ideal and development since 2000 has been negligible. This decline must be reversed if advances in molecular imaging are to benefit the maximum number of patients worldwide.
Similarly, the wide availability of fluorine-18 has made possible clinical use of a variety of small organic molecular tracers for PET, but the complexity of their synthesis and the associated need for high-capital value facilities and expert radiochemistry staff has limited widespread use of all but a few, and made them very cumbersome to use with proteins. Consequently 18F-labelled proteins have made little impact in the clinic and 18F-labelled peptides are only marginally more established. One-step labelling of these biomolecules using [18F]fluoride under mild, aqueous conditions remains sought-after but elusive.
The many radiochemical innovations described above have been driven not only by the wide range of molecular targets associated with targeted therapy and immunotherapy in cancer, but also by developments in imaging physics which change the expectations of what can be achieved. Most obviously, the availability of PET-CT (PET-computed tomography) scanners and cyclotrons, in turn driven by the clinical importance of FDG, has catalysed production of new radionuclides and development of new radiochemistry to exploit the advantages of PET over scintigraphy and SPECT. The advent of PET-MR (PET-magnetic resonance) has also contributed to new combined modality tracer design [64].
Despite the plethora of molecular targets of interest to imagers to help characterise disease heterogeneity and treatment response, radionuclide imaging of more than one of the molecular characteristics in an individual patient, as outlined in the introduction, is fraught with difficulties including exceeding acceptable radiation doses, the inconvenience of multiple visits for scanning, and extended use of scanner time. Now a new technology is emerging which promises to be a game-changer in this respect, perhaps as important as the advent of clinical PET itself – Total Body PET [65]. The ability to image the whole body simultaneously, and the associated order-of-magnitude increase in sensitivity, reduction in scan time and improvement in resolution, allows not only reduced radiation doses and higher patient throughput, but also the possibility to image multiple phenotypes using several tracers in one patient, allowing a much deeper molecular characterisation of disease across the whole body. This too has the potential to be a new driver for innovative radiochemistry. Cell tracking with PET will become more attractive and feasible using lower quantities of the long half-life radionuclides such as zirconium-89, with greater confidence in the results because of the reduced radiation absorbed dose to the labelled cells, or more prolonged tracking (weeks) of the cells when using comparable doses to conventional PET. The possibility of performing multiple scans with different tracers will stimulate development of a wider range of radiopharmaceuticals, with a greater emphasis on short half-life radionuclides, so that scans can be performed sequentially in tandem. One can envisage sequential use of tracers such as rubidium-82 (characterising blood flow and sodium-potassium ATPase activity in tumours), peptides and hypoxia tracers labelled with generator-produced copper-62 (half-life 9 min), [51] small molecules labelled with nitrogen-13 (half-life 10 min) [29] and carbon-11 (half-life 20 min), [29] combined with conventional radiopharmaceuticals such as FDG and labelled antibodies and cells. This brings into even sharper focus the need for speed and simplicity in radiolabelling methodology.
Conclusion
In the interdisciplinary world of nuclear medicine and molecular imaging, as quickly as radiochemistry solutions are developed to meet new needs in molecular imaging, new challenges emerge, driven both by the advances in therapy they support and by parallel advances in scanning technology, as developments in one contributing technology drive innovations in the others.
Acknowledgements
Not applicable.
Abbreviations
- PET
Positron emission tomography
- SPECT
Single photon emission computed tomography
- NIS
Sodium-iodide symporter
- hNIS
Human sodium-iodide symporter
- CAR
Chimeric antigen receptor
- FDG
[18F]-2-Fluoro-2-deoxyglucose
- GLUT
Glucose transporter
- FLT
[18F]-3′-Fluoro-3′-deoxythymidine
- F-DOPA
[18F]Dihydroxyphenylalanine
- F-MISO
[18F]Fluoromisonidazole
- DCFPyL
2-(3-{1-Carboxy-5-[(6-[(18)F]fluoro-pyridine-3-carbonyl)-amino]-pentyl}-ureido)-pentanedioic acid
- FET
[18F]Fluoroethyltyrosine
- DTPA
Diethylene triamine pentaacetic acid
- HYNIC
Hydrazinonicotinamide
- TAU
1,4,8,11-Tetrazaundacane
- DOTA
1,4,7,10-Tetraazacyclododecane-1,4,7,10-tetraacetic acid
- NOTA
1,4,7-Triazacyclononane-N,N′,N″-triacetic acid
- THP
Tris(hydroxypyridinone)
- sar
Sarcophagine
- DFO
Desferrioxamine-B
- HSV1-TK
Herpes simplex virus type 1 thymidine kinase
- FHBG
9-[4-Fluoro-3-(hydroxymethyl)butyl]guanine
- GMP
Good manufacturing practice
- CT
Computed tomography
- MR
Magnetic resonance
- ATP
Adenosine triphosphate
Authors’ contributions
Both authors contributed to the selection of content and compilation of the article, and reviewed and approved the content.
Funding
THW is funded by Wellcome Trust. This work is funded in part by EPSRC grant EP/S032789/1.
Availability of data and materials
Not applicable.
Ethics approval and consent to participate
Not applicable.
Consent for publication
Not applicable.
Competing interests
The authors declare that they have no competing interests.
Footnotes
Publisher’s Note
Springer Nature remains neutral with regard to jurisdictional claims in published maps and institutional affiliations.
References
- 1.McGranahan N, Swanton C. Clonal heterogeneity and tumor evolution: past, present, and the future. Cell. 2017;168(4):613–628. doi: 10.1016/j.cell.2017.01.018. [DOI] [PubMed] [Google Scholar]
- 2.Overchuk M, Zheng G. Overcoming obstacles in the tumor microenvironment: recent advancements in nanoparticle delivery for cancer theranostics. Biomaterials. 2018;156:217–237. doi: 10.1016/j.biomaterials.2017.10.024. [DOI] [PubMed] [Google Scholar]
- 3.Pardoll DM. The blockade of immune checkpoints in cancer immunotherapy. Nat Rev Cancer. 2012;12(4):252–264. doi: 10.1038/nrc3239. [DOI] [PMC free article] [PubMed] [Google Scholar]
- 4.Bensch F, van der Veen EL, Lub-de Hooge MN, Jorritsma-Smit A, Boellaard R, Kok IC, et al. Zr-89-atezolizumab imaging as a non-invasive approach to assess clinical response to PD-L1 blockade in cancer. Nat Med. 2018;24(12):1852. doi: 10.1038/s41591-018-0255-8. [DOI] [PubMed] [Google Scholar]
- 5.Krekorian M, Fruhwirth GO, Srinivas M, Figdor CG, Heskamp S, Witney TH, et al. Imaging of T-cells and their responses during anti-cancer immunotherapy. Theranostics. 2019;9(25):7924–7947. doi: 10.7150/thno.37924. [DOI] [PMC free article] [PubMed] [Google Scholar]
- 6.Hertz S, Roberts A. Radioactive iodine in the study of thyroid physiology .7. the use of radioactive iodine therapy in hyperthyroidism. JAMA. 1946;131(2):81–86. doi: 10.1001/jama.1946.02870190005002. [DOI] [PubMed] [Google Scholar]
- 7.Freudenberg LS, Jentzen W, Stahl A, Bockisch A, Rosenbaum-Krumme SJ. Clinical applications of I-124-PET/CT in patients with differentiated thyroid cancer. Eur J Nucl Med Mol Imaging. 2011;38:48–56. doi: 10.1007/s00259-011-1773-5. [DOI] [PubMed] [Google Scholar]
- 8.Dai G, Levy O, Carrasco N. Cloning and characterization of the thyroid iodide transporter. Nature. 1996;379(6564):458–460. doi: 10.1038/379458a0. [DOI] [PubMed] [Google Scholar]
- 9.Diocou S, Volpe A, Jauregui-Osoro M, Boudjemeline M, Chuamsaamarkkee K, Man F, et al. F-18 tetrafluoroborate-PET/CT enables sensitive tumor and metastasis in vivo imaging in a sodium iodide symporter-expressing tumor model. Sci Rep. 2017;7:13. doi: 10.1038/s41598-017-01044-4. [DOI] [PMC free article] [PubMed] [Google Scholar]
- 10.Ashmore-Harris C, Iafrate M, Saleem A, Fruhwirth GO. Non-invasive reporter gene imaging of cell therapies, including T cells and stem cells. Mol Ther. 2020;28(6):1392–1416. doi: 10.1016/j.ymthe.2020.03.016. [DOI] [PMC free article] [PubMed] [Google Scholar]
- 11.Fruhwirth GO, Diocou S, Blower PJ, Ng T, Mullen GED. A whole-body dual-modality radionuclide optical strategy for preclinical imaging of metastasis and heterogeneous treatment response in different microenvironments. J Nucl Med. 2014;55(4):686–694. doi: 10.2967/jnumed.113.127480. [DOI] [PMC free article] [PubMed] [Google Scholar]
- 12.O'Doherty J, Jauregui-Osoro M, Brothwood T, Szyszko T, Marsden PK, O'Doherty MJ, et al. F-18-tetrafluoroborate, a PET probe for imaging sodium/iodide symporter expression: whole-body biodistribution, safety, and radiation dosimetry in thyroid cancer patients. J Nucl Med. 2017;58(10):1666–1671. doi: 10.2967/jnumed.117.192252. [DOI] [PMC free article] [PubMed] [Google Scholar]
- 13.Jauregui-Osoro M, Sunassee K, Weeks AJ, Berry DJ, Paul RL, Cleij M, et al. Synthesis and biological evaluation of F-18 tetrafluoroborate: a PET imaging agent for thyroid disease and reporter gene imaging of the sodium/iodide symporter. Eur J Nucl Med Mol Imaging. 2010;37(11):2108–2116. doi: 10.1007/s00259-010-1523-0. [DOI] [PMC free article] [PubMed] [Google Scholar]
- 14.Khoshnevisan A, Chuamsaamarkkee K, Boudjemeline M, Jackson A, Smith GE, Gee AD, et al. F-18-fluorosulfate for PET imaging of the sodium-iodide symporter: synthesis and biologic evaluation in vitro and in vivo. J Nucl Med. 2017;58(1):156–161. doi: 10.2967/jnumed.116.177519. [DOI] [PMC free article] [PubMed] [Google Scholar]
- 15.Jiang HL, Bansal A, Goyal R, Peng KW, Russell SJ, DeGrado TR. Synthesis and evaluation of F-18-hexafluorophosphate as a novel PET probe for imaging of sodium/iodide symporter in a murine C6-glioma tumor model. Bioorg Med Chem. 2018;26(1):225–231. doi: 10.1016/j.bmc.2017.11.034. [DOI] [PubMed] [Google Scholar]
- 16.Jiang HL, Schmit NR, Koenen AR, Bansal A, Pandey MK, Glynn RB, et al. Safety, pharmacokinetics, metabolism and radiation dosimetry of F-18-tetrafluoroborate (F-18-TFB) in healthy human subjects. EJNMMI Res. 2017;7:9. doi: 10.1186/s13550-017-0337-5. [DOI] [PMC free article] [PubMed] [Google Scholar]
- 17.Hickey RD, Mao SA, Glorioso J, Elgilani F, Amiot B, Chen H, et al. Curative ex vivo liver-directed gene therapy in a pig model of hereditary tyrosinemia type 1. Sci Transl Med. 2016;8(349):10. doi: 10.1126/scitranslmed.aaf3838. [DOI] [PMC free article] [PubMed] [Google Scholar]
- 18.Reivich M, Kuhl D, Wolf A, Greenberg J, Phelps M, Ido T, et al. Fluorodeoxyglucose-F-18 method for the measurement of local cerebral glucose-utilization in man. CircRes. 1979;44(1):127–137. doi: 10.1161/01.res.44.1.127. [DOI] [PubMed] [Google Scholar]
- 19.Haberkorn U, Ziegler SI, Oberdorfer F, Trojan H, Haag D, Peschke P, et al. FDG uptake, tumor proliferation and expression of glycolysis associated genes in animal tumor-models. Nucl Med Biol. 1994;21(6):827–834. doi: 10.1016/0969-8051(94)90162-7. [DOI] [PubMed] [Google Scholar]
- 20.Bowen ML, Lim NC, Ewart CB, Misri R, Ferreira CL, Hafeli U, et al. Glucosamine conjugates bearing N,N,O-donors: potential imaging agents utilizing the M(CO)3+ core (M = Re, Tc) Dalton Trans. 2009;42:9216–9227. doi: 10.1039/b914310f. [DOI] [PubMed] [Google Scholar]
- 21.Bollineni VR, Kramer GM, Jansma EP, Liu Y, Oyen WJG. A systematic review on F-18 FLT-PET uptake as a measure of treatment response in cancer patients. Eur J Cancer. 2016;55:81–97. doi: 10.1016/j.ejca.2015.11.018. [DOI] [PubMed] [Google Scholar]
- 22.Somme F, Bender L, Namer IJ, Noel G, Bund C. Usefulness of18F-FDOPA PET for the management of primary brain tumors: a systematic review of the literature. Cancer Imaging. 2020;20(1):13. doi: 10.1186/s40644-020-00348-5. [DOI] [PMC free article] [PubMed] [Google Scholar]
- 23.Fleming IN, Manavaki R, Blower PJ, West C, Williams KJ, Harris AL, et al. Imaging tumour hypoxia with positron emission tomography. Br J Cancer. 2015;112(2):238–250. doi: 10.1038/bjc.2014.610. [DOI] [PMC free article] [PubMed] [Google Scholar]
- 24.Bouvet V, Wuest M, Jans HS, Janzen N, Genady AR, Valliant JF, et al. Automated synthesis of F-18 DCFPyL via direct radiofluorination and validation in preclinical prostate cancer models. EJNMMI Res. 2016;6:15. doi: 10.1186/s13550-016-0195-6. [DOI] [PMC free article] [PubMed] [Google Scholar]
- 25.Pascali G, D'Antonio L, Bovone P, Gerundini P, August T. Optimization of automated large-scale production of F-18 fluoroethylcholine for PET prostate cancer imaging. Nucl Med Biol. 2009;36(5):569–574. doi: 10.1016/j.nucmedbio.2009.01.004. [DOI] [PubMed] [Google Scholar]
- 26.Huang CF, McConathy J. Fluorine-18 labeled amino acids for oncologic imaging with positron emission tomography. Curr Top Med Chem. 2013;13(8):871–891. doi: 10.2174/1568026611313080002. [DOI] [PubMed] [Google Scholar]
- 27.McCormick PN, Greenwood HE, Glaser M, Maddocks ODK, Gendron T, Sander K, et al. Assessment of tumor redox status through (S)-4-(3- F-18 fluoropropyl)-L-glutamic acid PET imaging of system xc- activity. Cancer Res. 2019;79(4):853–863. doi: 10.1158/0008-5472.CAN-18-2634. [DOI] [PMC free article] [PubMed] [Google Scholar]
- 28.Sorensen J, Owenius R, Lax M, Johansson S. Regional distribution and kinetics of F-18 fluciclovine (anti- F-18 FACBC), a tracer of amino acid transport, in subjects with primary prostate cancer. Eur J Nucl Med Mol Imaging. 40(3):2013, 394–402. [DOI] [PubMed]
- 29.Deng XY, Rong J, Wang L, Vasdev N, Zhang L, Josephson L, et al. Chemistry for positron emission tomography: recent advances in C-11-, F-18-, N-13-, and O-15-labeling reactions. Angew Chem-Int Edit. 2019;(9):58, 2580–2605. [DOI] [PMC free article] [PubMed]
- 30.Fritzberg AR, Abrams PG, Beaumier PL, Kasina S, Morgan AC, Rao TN, et al. Specific and stable labeling of antibodies with technetium-99m with a diamide dithiolate chelating agent. Proc Natl Acad Sci U S A. 1988;85(11):4025–4029. doi: 10.1073/pnas.85.11.4025. [DOI] [PMC free article] [PubMed] [Google Scholar]
- 31.Mather SJ, Ellison D. Reduction-mediated Tc-99m labeling of monoclonal-antibodies. J Nucl Med. 1990;31(5):692–697. [PubMed] [Google Scholar]
- 32.Powe J, Pak KY, Paik CH, Steplewski Z, Ebbert MA, Herlyn D, et al. Labeling monoclonal-antibodies and F(ab')2 fragments with (in-111) indium using cyclic DTPA anhydride and their in vivo behavior in mice bearing human-tumor xenografts. Cancer Drug Deliv. 1984;1(2):125–135. doi: 10.1089/cdd.1984.1.125. [DOI] [PubMed] [Google Scholar]
- 33.Camera L, Kinuya S, Garmestani K, Pai LH, Brechbiel MW, Gansow OA, et al. Evaluation of a new DTPA-derivative chelator - comparative biodistribution and imaging studies of in-111 labeled B3 monoclonal-antibody in athymic mice bearing human epidermoid carcinoma xenografts. Nucl Med Biol 1993;20(8):955–62. [DOI] [PubMed]
- 34.Bakker WH, Albert R, Bruns C, Breeman WAP, Hofland LJ, Marbach P, et al. In-111-DTPA-D-Phe1 -octreotide, a potential radiopharmaceutical for imaging of somatostatin receptor-positive tumors - synthesis, radiolabeling and in vitro validation. Life Sci. 1991;49(22):1583–1591. doi: 10.1016/0024-3205(91)90052-D. [DOI] [PubMed] [Google Scholar]
- 35.Dilworth JR, Parrott SJ. The biomedical chemistry of technetium and rhenium. Chem Soc Rev. 1998;27(1):43–55. doi: 10.1039/a827043z. [DOI] [Google Scholar]
- 36.Meszaros LK, Dose A, Biagini SCG, Blower PJ. Hydrazinonicotinic acid (HYNIC) - coordination chemistry and applications in radiopharmaceutical chemistry. Inorg Chim Acta. 2010;363(6):1059–1069. doi: 10.1016/j.ica.2010.01.009. [DOI] [Google Scholar]
- 37.Alberto R, Schibli R, Egli A, Schubiger AP, Abram U, Kaden TA. A novel organometallic aqua complex of technetium for the labeling of biomolecules: synthesis of Tc-99m(OH2)(3)(CO)(3) (+) from (TcO4)-Tc-99m (−) in aqueous solution and its reaction with a bifunctional ligand. J Am Chem Soc. 1998;120(31):7987–7988. doi: 10.1021/ja980745t. [DOI] [Google Scholar]
- 38.Abiraj K, Mansi R, Tamma ML, Forrer F, Cescato R, Reubi JC, et al. Tetraamine-derived bifunctional chelators for technetium-99m labelling: synthesis, bioconjugation and evaluation as targeted SPECT imaging probes for GRP-receptor-positive tumours. Chem-Eur J. 2010;16(7):2115–2124. doi: 10.1002/chem.200902011. [DOI] [PubMed] [Google Scholar]
- 39.Nawaz S, Mullen GED, Sunassee K, Bordoloi J, Blower PJ, Ballinger JR. Simple, mild, one-step labelling of proteins with gallium-68 using a tris(hydroxypyridinone) bifunctional chelator: a Ga-68-THP-scFv targeting the prostate-specific membrane antigen. EJNMMI Res. 2017;7:9. doi: 10.1186/s13550-017-0336-6. [DOI] [PMC free article] [PubMed] [Google Scholar]
- 40.Jackson JA, Hungnes IN, Ma MT, Rivas C. Bioconjugates of chelators with peptides and proteins in nuclear medicine: historical importance, current innovations, and future challenges. Bioconjug Chem. 2020;31(3):483–491. doi: 10.1021/acs.bioconjchem.0c00015. [DOI] [PubMed] [Google Scholar]
- 41.Spang P, Herrmann C, Roesch F. Bifunctional gallium-68 chelators: past, present, and future. Semin Nucl Med. 2016;46(5):373–394. doi: 10.1053/j.semnuclmed.2016.04.003. [DOI] [PubMed] [Google Scholar]
- 42.Notni J, Pohle K, Wester HJ. Comparative gallium-68 labeling of TRAP-, NOTA-, and DOTA-peptides: practical consequences for the future of gallium-68-PET. EJNMMI Res. 2012;2:5. doi: 10.1186/2191-219X-2-5. [DOI] [PMC free article] [PubMed] [Google Scholar]
- 43.Eppard E, Homann T, de la Fuente A, Essler M, Rosch F. Optimization of labeling PSMA(HBED) with ethanol-postprocessed Ga-68 and its quality control systems. J Nucl Med. 2017;58(3):432–437. doi: 10.2967/jnumed.116.177634. [DOI] [PubMed] [Google Scholar]
- 44.Young JD, Abbate V, Imberti C, Meszaros LK, Ma MT, Terry SYA, et al. Ga-68-THP-PSMA: a PET imaging agent for prostate cancer offering rapid, room-temperature, 1-step kit-based radiolabeling. J Nucl Med. 2017;58(8):1270–1277. doi: 10.2967/jnumed.117.191882. [DOI] [PMC free article] [PubMed] [Google Scholar]
- 45.Hofman MS, Eu P, Jackson P, Hong E, Binns D, Iravani A, et al. Cold kit for prostate-specific membrane antigen (PSMA) PET imaging: phase 1 study of Ga-68-tris (fydroxypyridinone)-PSMA PET/CT in patients with prostate cancer. J Nucl Med. 2018;59(4):625–631. doi: 10.2967/jnumed.117.199554. [DOI] [PMC free article] [PubMed] [Google Scholar]
- 46.Chaple IF, Lapi SE. Production and use of the first-row transition metal PET radionuclides Sc-43,Sc-44, Mn-52, and Ti-45. J Nucl Med. 2018;59(11):1655–1659. doi: 10.2967/jnumed.118.213264. [DOI] [PubMed] [Google Scholar]
- 47.Waldmann CM, Stuparu AD, van Dam RM, Slavik R. The search for an alternative to Ga-68 Ga-DOTA-TATE in neuroendocrine tumor theranostics: current state of F-18-labeled somatostatin analog development. Theranostics. 2019;9(5):1336–1347. doi: 10.7150/thno.31806. [DOI] [PMC free article] [PubMed] [Google Scholar]
- 48.Smith GE, Sladen HL, Biagini SCG, Blower PJ. Inorganic approaches for radiolabelling biomolecules with fluorine-18 for imaging with positron emission tomography. Dalton Trans. 2011;40(23):6196–6205. doi: 10.1039/c0dt01594f. [DOI] [PubMed] [Google Scholar]
- 49.Fersing C, Bouhlel A, Cantelli C, Garrigue P, Lisowski V, Guillet B. A comprehensive review of non-covalent radiofluorination approaches using aluminum F-18 fluoride: will F-18 AlF replace Ga-68 for metal chelate labeling? Molecules. 2019;24(16):41. doi: 10.3390/molecules24162866. [DOI] [PMC free article] [PubMed] [Google Scholar]
- 50.Blower PJ, Levason W, Luthra SK, McRobbie G, Monzittu FM, Mules TO, et al. Exploring transition metal fluoride chelates - synthesis, properties and prospects towards potential PET probes. Dalton Trans. 2019;48(20):6767–6776. doi: 10.1039/C8DT03696A. [DOI] [PubMed] [Google Scholar]
- 51.Blower PJ, Lewis JS, Zweit J. Copper radionuclides and radiopharmaceuticals in nuclear medicine. Nucl Med Biol. 1996;23(8):957–980. doi: 10.1016/S0969-8051(96)00130-8. [DOI] [PubMed] [Google Scholar]
- 52.Cooper MS, Ma MT, Sunassee K, Shaw KP, Williams JD, Paul RL, et al. Comparison of cu-64-Complexing Bifunctional Chelators for Radioimmunoconjugation: labeling efficiency, specific activity, and in vitro/in vivo stability. Bioconjug Chem. 2012;23(5):1029–1039. doi: 10.1021/bc300037w. [DOI] [PMC free article] [PubMed] [Google Scholar]
- 53.Vugts DJ, Visser GWM, van Dongen G. Zr-89-PET radiochemistry in the development and application of therapeutic monoclonal antibodies and other biologicals. Curr Top Med Chem. 2013;13(4):446–457. doi: 10.2174/1568026611313040005. [DOI] [PubMed] [Google Scholar]
- 54.Lu Z, Pham TT, Rajkumar V, Yu ZL, Pedley RB, Arstad E, et al. A dual reporter iodinated labeling reagent for cancer positron emission tomography imaging and fluorescence-guided surgery. J Med Chem. 2018;61(4):1636–1645. doi: 10.1021/acs.jmedchem.7b01746. [DOI] [PMC free article] [PubMed] [Google Scholar]
- 55.Bhatt NB, Pandya DN, Wadas TJ. Recent advances in zirconium-89 chelator development. Molecules. 2018;23(3):24. doi: 10.3390/molecules23030638. [DOI] [PMC free article] [PubMed] [Google Scholar]
- 56.Fonslet J, Tietze S, Jensen AI, Graves SA, Severin GW. Optimized procedures for manganese-52: production, separation and radiolabeling. Appl Radiat Isot. 2017;121:38–43. doi: 10.1016/j.apradiso.2016.11.021. [DOI] [PubMed] [Google Scholar]
- 57.Keu KV, Witney TH, Yaghoubi S, Rosenberg J, Kurien A, Magnusson R, et al. Reporter gene imaging of targeted T cell immunotherapy in recurrent glioma. Sci Transl Med. 2017;9(373):10. doi: 10.1126/scitranslmed.aag2196. [DOI] [PMC free article] [PubMed] [Google Scholar]
- 58.Segal AW, Arnot RN, Thakur ML, Lavender JP. Indium-111-labeled leukocytes for localization of abscesses. Lancet. 1976;2(7994):1056–1058. doi: 10.1016/S0140-6736(76)90969-7. [DOI] [PubMed] [Google Scholar]
- 59.Charoenphun P, Meszaros LK, Chuamsaamarkkee K, Sharif-Paghaleh E, Ballinger JR, Ferris TJ, et al. Zr-89 Oxinate(4) for long-term in vivo cell tracking by positron emission tomography. Eur J Nucl Med Mol Imaging. 2015;42(2):278–287. doi: 10.1007/s00259-014-2945-x. [DOI] [PMC free article] [PubMed] [Google Scholar]
- 60.Man F, Khan A, Minino A, Blower PJ, de Rosales RTM. A kit formulation for the preparation of [89Zr]Zr(oxinate)4 for PET cell tracking: white blood cell labelling and comparison with [111In]In(oxinate)3. Nucl Med Biol. 2020;90–91:31–40. doi: 10.1016/j.nucmedbio.2020.09.002. [DOI] [PMC free article] [PubMed] [Google Scholar]
- 61.Bansal A, Pandey MK, Demirhan YE, Nesbitt JJ, Crespo-Diaz RJ, Terzic A, et al. Novel Zr-89 cell labeling approach for PET-based cell trafficking studies. EJNMMI Res. 2015;5:11. doi: 10.1186/s13550-015-0098-y. [DOI] [PMC free article] [PubMed] [Google Scholar]
- 62.Pham TT, Lu Z, Davis C, Li C, Sun FF, Maher J, et al. Iodine-124 based dual positron emission tomography and fluorescent labeling reagents for in vivo cell tracking. Bioconjug Chem. 2020;31(4):1107–1116. doi: 10.1021/acs.bioconjchem.9b00799. [DOI] [PMC free article] [PubMed] [Google Scholar]
- 63.Edmonds S, Volpe A, Shmeeda H, Parente-Pereira AC, Radia R, Baguna-Torres J, et al. Exploiting the metal-chelating properties of the drug cargo for in vivo positron emission tomography imaging of liposomal nanomedicines. ACS Nano. 2016;10(11):10294–10307. doi: 10.1021/acsnano.6b05935. [DOI] [PMC free article] [PubMed] [Google Scholar]
- 64.de Rosales RTM, Tavare R, Paul RL, Jauregui-Osoro M, Protti A, Glaria A, et al. Synthesis of cu-64(II)-bis(dithiocarbamatebisphosphonate) and its conjugation with superparamagnetic iron oxide nanoparticles: in vivo evaluation as dual-modality PET-MRI agent. Angew Chem-Int Edit. 2011;50(24):5509–5513. doi: 10.1002/anie.201007894. [DOI] [PMC free article] [PubMed] [Google Scholar]
- 65.Jones T. Total body PET imaging from mice to humans. Front Phys. 2020;8:4. doi: 10.3389/fphy.2020.00077. [DOI] [Google Scholar]
Associated Data
This section collects any data citations, data availability statements, or supplementary materials included in this article.
Data Availability Statement
Not applicable.








